电磁场与微波技术(第2版)黄玉兰-习题问题详解
- 格式:doc
- 大小:136.28 KB
- 文档页数:20
第三章习题参考答案带状线为双导体结构,中间填充均匀介质,所以能传输TEM 导波,且为带状线的工作模式。
4.1可由P.107:4.1-7式计算特性阻抗0Z 由介质r ε,导体带厚度与接地板高度的比bt ,以及导体带宽度与接地板高度的比bW确定。
Ω=45.690Z4.5可由P.107:4.1-6式计算⎪⎩⎪⎨⎧>--<=1206.085.012000Z x Z x b W r r εε 其中: 441.0300-=Z x r επ已知:1202.74502.20<=⨯=Z r ε 83.0441.02.7430441.0300=-=-=πεπZ x r 所以: )(66.283.02.3mm bx W =⨯==衰减常数P.109:4.1-10:d c ααα+=c α是中心导体带和接地板导体的衰减常数,d α为介质的衰减常数。
TEM 导波的介质损耗为:)/(2m Np ktg d δα=,其中εμω'=k 由惠勒增量电感法求得的导体衰减常数为)/(m Np :P.11109:4.1-11⎪⎪⎩⎪⎪⎨⎧Ω>Ω<-⨯=-12016.0120)(30107.200003Z B b Z R Z A t b Z R r s r r s c εεπεα 其中:⎪⎭⎫⎝⎛--++-+=t t b t b t b t b W A 2ln 121π ⎪⎭⎫⎝⎛++-++++=t W W t t b t b t W b B πππ4ln 21414.05.01)7.05.0(1)/(155.02001.0100.32.21010222289m Np tg c f ktg r d =⨯⨯===πδεπδα铜的表面电阻在10GHz 下Ω==026.02σωμs R ,74.4=A m Np A t b Z R r s c /122.0)(30107.203=-⨯=-πεαm Np d c /277.0=+=αααdB e Np 686.8lg 1012==m dB m Np d c /41.2/277.0==+=ααα4.6可由P.107:4.1-6式计算⎪⎩⎪⎨⎧>--<=1206.085.012000Z x Z x b W r r εε 其中: 441.0300-=Z x r επ已知:1204.1481002.20>=⨯=Z r ε 194.0441.04.14830441.0300=-=-=πεπZ x r 所以: )(67.02128.016.3)6.085.0(mm x b W =⨯=--= 在10GHz ,带状线的波长为:cm fcr 02.210102.210398=⨯⨯⨯==ελ4.16可由P.130:4.3-27式计算已知Ω=700e Z ,Ω=300o Z ,mm b 4=,1.2=r ε3813.3300==re e Z A ε648.02212212143813.33813.3214=⎥⎥⎦⎤⎢⎢⎣⎡⎪⎪⎭⎫ ⎝⎛+--=⎥⎥⎦⎤⎢⎢⎣⎡⎪⎪⎭⎫ ⎝⎛+--=e e e e k e eA A e45.1300==ro o Z A ε99.022222=⎪⎪⎪⎭⎫⎝⎛+-=o o A A o e e k ππ68.02==o e k k arctg b W π015.0112=⎪⎪⎭⎫⎝⎛--=oee o k k k k arctg b S π mm b 4=mm W 7.268.04=⨯= mm S 06.0015.04=⨯=。
第 1 章 习 题1、 求函数()D Cz By Ax u +++=1的等值面方程。
解:根据等值面的定义:标量场中场值相同的空间点组成的曲面称为标量场的等值面,其方程为)( ),,(为常数c c z y x u =。
设常数E ,则,()E D Cz By Ax =+++1, 即:()1=+++D Cz By Ax E针对不同的常数E (不为0),对应不同的等值面。
2、 已知标量场xy u =,求场中与直线042=-+y x 相切的等值线方程。
解:根据等值线的定义可知:要求解标量场与直线相切的等值线方程,即是求解两个方程存在单解的条件,由直线方程可得:42+-=y x ,代入标量场C xy =,得到: 0422=+-C y y ,满足唯一解的条件:02416=⨯⨯-=∆C ,得到:2=C ,因此,满足条件的等值线方程为:2=xy3、 求矢量场z zy y y x xxy A ˆˆˆ222++=的矢量线方程。
解:由矢量线的微分方程:zy x A dz A dy A dx ==本题中,2xy A x =,y x A y 2=,2zy A z =, 则矢量线为:222zy dzy x dy xy dx ==,由此得到三个联立方程:x dy y dx =,z dz x dx =,zy dz x dy =2,解之,得到: 22y x =,z c x 1=,222x c y =,整理, y x ±=,z c x 1=,x c y 3±=它们代表一簇经过坐标原点的直线。
4、 求标量场z y z x u 2322+=在点M (2,0,-1)处沿z z y xy xx t ˆ3ˆˆ242+-=方向的方向导数。
解:由标量场方向导数的定义式:直角坐标系下,标量场u 在可微点M 处沿l 方向的方向导数为γβαcos cos cos zu y u x u l u ∂∂+∂∂+∂∂=∂∂α、β、γ分别是l 方向的方向角,即l 方向与z y xˆˆˆ、、的夹角。
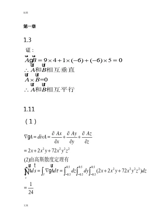
第一章1.3证:941(6)(6)50=0A B A B A B A B =⨯+⨯-+-⨯=∴⨯∴u r u rg u r u ru r u r u r u r和相互垂直和相互平行1.11 (1)22220.50.50.522220.50.50.52272(2)(2272)124sAx Ay AzA divA x y z x x y x y z Ad s Ad dz dy x x y x y z dz ττ---∂∂∂∇==++∂∂∂=++=∇=++=⎰⎰⎰⎰⎰g u r t u r g Ñ由高斯散度定理有1.18(1) 因为闭合路径在xoy 平面, 故有:222()()8(2)(22)()2()8x y z x y x z x sA dl e x e x e y z e dx e dy xdx x dy A dl S XOY A ds e yz e x e dxdy xdxdy A ds →→→→•=+++=+∴•=∇•=+=∇•=∴⎰⎰Ñ因为在面内, 所以,定理成立。
1.21(1) 由梯度公式(2,1,3)|410410x y z x y zx y z u u uu e e e x y ze e e e e e ∂∂∂∇=++∂∂∂=++=++1方向:()(2)最小值为0, 与梯度垂直1.26 证明00u A ∇⨯∇=∇∇=g书上p10 1.25 第二章 2.1333sin 3sin 4qa V e wr qwr J V e aρρρπθθρπ===•=2.3''2'3222,40=l lldl d R Er R ez z ea aez z ea aEr rPez z ea aE dz aeaπρραϕραϕπε= ==--==-=+⎰u r u u r u u r u u rg g gu u r u u ru u r g gu u u u u u u u u u u u u u u u u u u u ru u r u u ru r g gu u rQ用圆柱坐标系进行求解场点坐标为P(0,0,z).线电荷元可以视为点电荷,其到场点的距离矢量得所以点的电场强度为()2'''3222cos sin020lzex ey ea dzE ez aπϕϕϕραε+∴=∴=+⎰u u r u u r u u rgu r u r()2.82235222023522322225052(1)4()()44()35=044()=()0351()=()0352r>b 4()8()4152()=401srs sbr b E d s r E r b r r Eq b r r dr EqE d s b r r r E r b r rE r E d s r E r Eq b r r dr bEq b E r r πππεππεεππππε≤==-=--∴-==-==⎰⎰⎰⎰⎰u r r g u r r g u r r g ÑÑÑ时由高斯定理有即()时由高斯定理有250r ε2.11222122212212221,22()2(2)121122(2r r r r r r b l Eb r l b e a e Eb Ea b e a e E Eb Ea r l Eb r l r e Eb a e Ea E επρπερρεερεεπρπερερερε∑∴=∴==∴=-=-∑∴===∴=⎰⎰g g g g g g g g ÑÑ0000000当r1>b 则,E=Eb-EaqEb ds=同理:r1r2r1r2对于r1<b 且在空腔外,E=Eb-EaqEb ds=,而r22211212121)(3)112,2212(12)222r r r r r r r r a e r e r b r e r e Ea r e r e E Eb Ea r e r e ερρεερρρεεε--<∑∴=∴=-=-=-⎰g Ñ000000r2且在空腔内 E=Eb-Ea qE ds=,Eb=2.14222200(1)0()cos ()sin (2)2cos r a E A a A a AA A r rA aϕϕϕϕφρεεϕ<=-∇∅=-∇∅=-∇•--+-∂==-∂2r s 时,ar>a 时 E=(r-)cos r=e e 圆柱是由导体制成的表面电荷2.20能求出边界处即z=0处的E2 根据D 的法向量分量连续12(5)103r r Z Z z E E εε⇒+=⇒=2.28(1) 2ln22,ln ln66ln(2)62ln lne e lrbl a l rr sr s E e rbu E dl a u uE e bb r a au J E e b r aJ ds I ug e ds b b uuu r a aρρρπερπεπερπδ=====∴======⎰⎰⎰Q g g g g 设内外导体单位长度带电量分别为+和-,利用高斯定理可以求得导体介质的电场为:得到2.34(1)=0=000,2=00B B er arB a B J H μμ∇∴∇=≠∇=∇⨯=u rg u r u u rQ g u rg u rg u r u u r 取圆柱坐标系,若为磁场,根据磁场连续性方程,有所以不是磁场()取直角坐标,所以是磁场。
电磁场电磁波第2版答案【篇一:电磁场与电磁波答案(第四版)谢处方】给定三个矢量a、b和c如下: a?ex?ey2?ez3b??ey4?ezc?ex5?ez2求:(1)aa;(2)a?b;(3)a?b;(4)?ab;(5)a在b上的分量;(6)a?c;(7)a?(8)(a?b)?c和a?(b?c)。
(b?c)和(a?b)?c;解(1)aa?e?e2?e3a??ex?ey?eza(2)a?b?(ex?ey2?ez3)?(?ey4?ez)?ex?ey6?ez4?(3)a?b?(ex?ey2?ez3)?(?ey4?ez)?-11a?b??1 5,得 ??cos??()?135.abab8a?b (5)a在b上的分量 ab?aco? ?sab?bexeyez(4)由 co?sab?(6)a?c?12?3??ex4?ey13?ez10 0?2ex5exeyez1?ex8?ey5?ez20 ez5(7)由于b?c?0?40?2eya?b?12?3??ex10?ey1?ez40?41所以 a?(b?c)?(ex?ey2?ez3)?(ex8?ey5?ez20)??42(a?b)?c?(?ex10?ey1?ez4)?(ex5?ez2)??42ex5exa?(b?c)?1eyez(8)(a?b)?c??10?1?4?ex2?ey40?ez50?2ey5ez202?3?ex55?ey44?ez1181.2三角形的三个顶点为p(0,1,?2)、p(4,1,?3)和p(6,2,5)。
123(1)判断?ppp是否为一直角三角形;123(2)求三角形的面积。
解(1)三个顶点p(0,1,?2)、p(4,1,?3)和p(6,2,5)的位置矢量分别为123r1?ey?ez2,r2?ex4?ey?ez3,r3?ex6?ey2?ez5 则r12?r2?r1?ex4?ez, r23?r3, ?r?2ex2?ey?ez8r31?r1?r3??ex6?ey?ez7由此可见r12?r23?(ex4?ez)?(ex2?ey?ez8)?0故?pp为一直角三角形。
《电磁场与电磁波基础教程》(第2版)习题解答第1章1.1 解:(1)==A B=C(2))))23452A x y zB y zC x z ==+-=+=-,,;A a a a a a -a a a a a A(3)()()+2431223x y z x y z =+-+-+=--=+;A B a a a a a a A B (4)()()23411x y z y z ⋅=+-⋅-+=-;A B a a a a a (5)()()234104x y z y z x y z ⨯=+-⋅-+=---;A B a a a a a a a a (6)()()()1045242x y z x z ⨯⋅=-++⋅-=-;A B C a a a a a(7)()()()x 2104522405x y z x z y ⨯⨯=-++⨯-=-+A B C a a a a a a a a 。
1.2解:cos 68.56θθ⋅===︒;A B A BA 在B 上的投影cos 1.37B A θ===A ;B 在A 上的投影cos 3.21A B θ===B 。
1.3 解:()()()()()()()4264280⋅=-++-=正交A B 。
1.4 解:1110x x y y z z x y y z z y ⋅=⋅=⋅=⋅=⋅=⋅=,,;;a a a a a a a a a a a a 0x x y y z z ⨯=⨯=⨯=;a a a a a a x y z y z x z x y ⨯=⨯=⨯=;,a a a a a a a a a 。
1.5 解:(1)111000z z z z ρρϕϕρϕϕρ⋅=⋅=⋅=⋅=⋅=⋅=,,;,,a a a a a a a a a a a a ;000z z z z z ρρϕϕρϕϕρρϕ⨯=⨯=⨯=⨯=⨯=⨯=,,;,,a a a a a a a a a a a a a a a 。
电磁场与电磁波第二版课后答案本文档为《电磁场与电磁波》第二版的课后答案,包含了所有章节的练习题的答案和解析。
《电磁场与电磁波》是电磁学领域的经典教材,它讲述了电磁场和电磁波的基本原理和应用。
通过学习本书,读者可以深入了解电磁学的基本概念和原理,并且能够解决一些相关问题。
第一章绪论练习题答案1.电磁场是由电荷和电流产生的一种物质性质,具有电场和磁场两种形式。
电磁波是电磁场的振动。
电磁辐射是指电磁波传播的过程。
2.对于一点电荷,其电场是以该点为中心的球对称分布,其强度与距离成反比。
对于无限长直导线产生的电场,其强度与距离呈线性关系,方向垂直于导线轴线。
3.电磁场的本质是相互作用力。
电场力是由于电荷之间的作用产生的,磁场力是由于电流之间的作用产生的。
解析1.电磁场是由电荷和电流产生的物质性质。
当电荷存在时,它会产生一个电场,该电荷周围的空间中存在电场强度。
同时,当电流存在时,它会产生一个磁场,该电流所在的区域存在磁场。
电磁波是电磁场的振动传播。
电磁波是由电磁场的变化引起的,相邻电磁场的振动会相互影响,从而形成了电磁波的传播。
电磁辐射是指电磁波在空间中的传播过程。
当电磁波从一个介质传播到另一个介质时,会发生折射和反射现象。
2.在一点电荷产生的电场中,电场强度与该点到电荷的距离成反比,即\(E = \frac{{k \cdot q}}{{r^2}}\),其中\(E\)为电场强度,\(k\)为电场常数,\(q\)为电荷量,\(r\)为距离。
对于无限长直导线产生的电场,其电场强度与离导线的距离呈线性关系。
当离无限长直导线的距离为\(r\)时,其电场强度可表示为\(E = \frac{{\mu_0 \cdot I}}{{2 \pi \cdot r}}\),其中\(E\)为电场强度,\(\mu_0\)为真空中的磁导率,\(I\)为电流强度。
3.电磁场的本质是相互作用力。
当两个电荷之间有作用力时,这个作用力是由于它们之间的电场力产生的。
《电磁场微波技术与天线》习题及参考答案一、填空题:1、静止电荷所产生的电场,称之为_静电场_;电场强度的方向与正电荷在电场中受力的方向__相同_。
2、电荷之间的相互作用力是通过电场发生的,电流与电流之间的相互作用力是通过磁场发生的。
3、矢量场基本方程的微分形式是:A V和AJ;说明矢量场的散度和旋度可以描述矢量场在空间中的分布和变化规律。
4、矢量场基本方程的积分形式是:SAdSV V dV和l AdlsJdS;说明矢量场的环量和通量可以描述矢量场在空间中的分布和变化规律。
5、矢量分析中的两个重要定理分别是高斯定理和斯托克斯定理,它们的表达式分别是:v和lAdl s rotAdS。
AdV S AdS6、静电系统在真空中的基本方程的积分形式是:∮Ds·d S=q和E·d=0。
7、静电系统在真空中的基本方程的微分形式是:D V和E0。
8、镜象法的理论依据是静电场的唯一性定理。
基本方法是在所求场域的外部放置镜像电荷以等效的取代边界表面的感应电荷或极化电荷。
9、在两种媒质分界面的两侧,电场E的切向分量E1t-E2t=_0__;而磁场B的法向分量B1n-B2n=__0__。
10、法拉弟电磁感应定律的方程式为En=- ddt,当dφ/dt>0时,其感应电流产生的磁场将阻止原磁场增加。
11、在空间通信中,为了克服信号通过电离层后产生的法拉第旋转效应,其发射和接收天线都采用圆极化天线。
12、长度为2h=λ/2的半波振子发射天线,其电流分布为:I (z)=Im sink(h-|z|)。
13、在介电常数为e的均匀各向同性介质中,电位函数为1122xy5z,则电场强22度E=xeye5e。
xyz14、要提高天线效率,应尽可能提高其辐射电阻,降低损耗电阻。
15、GPS接收机采用圆极化天线,以保证接收效果。
二、选择题:1、电荷只能在分子或原子范围内作微小位移的物质称为(D)。
A.导体B.固体C.液体D.2、相同的场源条件下,真空中的电场强度是电介质中的(D)倍。
电磁场与微波技术基础试题一、单项选择题(在每小题的四个备选答案中,选出一个正确答案,并将正确答案的序号填在题干的括号内。
每小题2分,共20分)1.设一个矢量场 =x x+2y y+3z z,则散度为( )A. 0B. 2C. 3D. 62.人们规定电流的方向是( )运动方向。
A.电子B.离子C.正电荷D.负电荷3.在物质中没有自由电子,称这种物质为( )A.导体B.半导体C.绝缘体D.等离子体4.静电场能量的来源是( )A.损耗B.感应C.极化D.做功5.对于各向同性介质,若介电常数为ε,则能量密度we为( )A. •B. E2C. εE2D. εE26.电容器的大小( )A.与导体的形状有关B.与导体的形状无关C.与导体所带的电荷有关D.与导体所带的电荷无关7.电矩为的电偶极子在均匀电场中所受的作用力和库仑力矩为( )A. =0,Tq= •B. =0, = ×C. = •, = ×D. = •, =08.在 =0的磁介质区域中的磁场满足下列方程( )A. × =0, • =0B. ×≠0, •≠0C. ×≠0, • =0D. × =0, •≠09.洛伦兹条件人为地规定的( )A.散度B.旋度C.源D.均不是10.传输线的工作状态与负载有关,当负载短路时,传输线工作在何种状态?( )A.行波B.驻波C.混合波D.都不是二、填空题(每空2分,共20分)1.两个矢量的乘法有______和______两种。
2.面电荷密度ρs( )的定义是______,用它来描述电荷在______的分布。
3.由库仑定律可知,电荷间作用力与电荷的大小成线性关系,因此电荷间的作用力可以用______原理来求。
4.矢量场的性质由它的______决定。
5.在静电场中,电位相同的点集合形成的面称为______。
6.永久磁铁所产生的磁场,称之为______。
7.在电场中电介质在外电场的作用下会产生______,使电场发生变化。
机械工业出版社《微 波 技 术》(第2版) 董金明 林萍实 邓 晖 编著习 题 解一、 传输线理论1-1 一无耗同轴电缆长10m ,内外导体间的电容为600pF 。
若电缆的一端短路, 另一端接有一脉冲发生器及示波器,测得一个脉冲信号来回一次需0.1μs ,求该电缆的特性阻抗Z 0 。
[解] 脉冲信号的传播速度为t l v 2=s /m 102101.010286⨯=⨯⨯=-该电缆的特性阻抗为0C L Z =00C C L =lC εμ=Cv l =8121021060010⨯⨯⨯=-Ω33.83= 补充题1 写出无耗传输线上电压和电流的瞬时表达式。
[解] (本题应注明z 轴的选法)如图,z 轴的原点选在负载端,指向波源。
根据时谐场传输线方程的通解()()()()()())1()(1..210...21.⎪⎪⎩⎪⎪⎨⎧+=-=+=+=--z I z I e A e A Z z I z U z U e A e A z U r i zj z j r i zj z j ββββ。
为传输线的特性阻抗式中02.22.1;;,Z U A U A r i ==:(1),,212.2.的瞬时值为得式设ϕϕj r j i e U U eU U -+==⎪⎩⎪⎨⎧+--++=+-+++=-+-+)()cos()cos([1),()()cos()cos(),(21021A z t U z t U Z t z i V z t U z t U t z u ϕβωϕβωϕβωϕβω1-2 均匀无耗传输线,用聚乙烯(εr =2.25)作电介质。
(1) 对Z 0=300 Ω的平行双导线,导线的半径 r =0.6mm ,求线间距D 。
(2) 对Z 0 =75Ω的同轴线,内导体半径 a =0.6mm ,求外导体半径 b 。
[解] (1) 对于平行双导线(讲义p15式(2-6b ))0C L Z =rD r D ln ln πεπμ=r D ln 1εμπ=r D rln 120ε=300= Ω 得52.42=rD, 即 m m 5.256.052.42=⨯=D (2) 对于同轴线(讲义p15式(2-6c )) Z L补充题1图示Z g e (t ) 题1-4图示 00C L Z =dD d D ln 2ln2πεπμ=d D r ln 60ε=ab r ln 60ε=75= Ω 得52.6=ab, 即 mm 91.36.052.6=⨯=b 1-3 如题图1-3所示,已知Z 0=100Ω, Z L =Z 0 ,又知负载处的电压瞬时值为u 0 (t)=10sin ωt (V), 试求: S 1 、S 2 、S 3 处电压和电流的瞬时值。
3.15 An arc (弧)radius 0.2m lies in the 0z =plane and extends from 02φπ≤≤. It has a charge distribution of 600sin 2nC m φ. Determine the E field at (a) a point ()0,0,1P , and (b) the origin.3.15一个半径为0.2m 的圆弧,位于0z =的平面上,张角为02φπ≤≤,电荷分布为600sin 2nC m φ,求点()0,0,1P 和原点处的E 。
解:(a)微线元0.2dl d d ρφφ==,线元矢径'0.2r ρ=,场点矢量r z =3010.240.2l z dE dl z ρρπερ-=-()()()2302300222323332000.21600sin 20.240.20.2cos 0.2sin 120sin 240.2sin 20.4cossin 0.4sin cos 301.0430cos 2cos sin 0.40.41.04233z E d z z x y d z z x y d z x y πππρφφπερφφφφπερφφφφφφπεφφφπε-=⨯---=---=⎡⎤-=+-⎢⎥⎣⎦⎰⎰⎰2320123300.40.41.0433221.01710V/m15221.01710V/m 15z x y z n z ππερρ⎛⎫=-- ⎪⎝⎭⎛⎫=⨯- ⎪ ⎪⎝⎭⎛⎫=⨯- ⎪ ⎪⎝⎭(b)3010.240.2l dE dl ρρπερ-=-()()()230230222233001340.21600sin 20.240.20.2120sin 240.22cos sin sin cos 300.041500cos sin 335.08710V/m 5.08710V /mE d d x y d x y n ππππρφφπερρφφπερφφφφφπεφφπερρ-=⨯--=--+=⎡⎤=--+⎢⎥⎣⎦=-⨯=-⨯⎰⎰⎰3.16 A finite line extends from 10z m =-to 10z m =and carries a charge distribution of 100znC m . Determine the E field at a point 2 meters away from the line in the 0z =plane.3.16一条从10z m =-向10z m =延伸的直线上,电荷分布为100znC m ,求0z =平面内离直线两米远的点上的E 。
电磁场与微波技术第一二三章课后习题及部分答案第 1 章习题1、求函数()D Cz By Ax u +++=1的等值面方程。
解:根据等值面的定义:标量场中场值相同的空间点组成的曲面称为标量场的等值面,其方程为)( ),,(为常数c c z y x u =。
设常数E ,则,()E D Cz By Ax =+++1,即:()1=+++D Cz By Ax E针对不同的常数E (不为0),对应不同的等值面。
2、已知标量场xy u =,求场中与直线042=-+y x 相切的等值线方程。
解:根据等值线的定义可知:要求解标量场与直线相切的等值线方程,即是求解两个方程存在单解的条件,由直线方程可得:42+-=y x ,代入标量场C xy =,得到: 0422=+-C y y ,满足唯一解的条件:02416=??-=?C ,得到:2=C ,因此,满足条件的等值线方程为:2=xy3、求矢量场z zy y y x xxy A 222++=的矢量线方程。
解:由矢量线的微分方程:zy x A dz A dy A dx ==本题中,2xy A x =,y x A y 2=,2zy A z =,则矢量线为:222zy dzy x dy xy dx ==,由此得到三个联立方程:x dy y dx =,z dz xdx =,zy dzx dy =2,解之,得到: 22y x =,z c x 1=,222x c y =,整理,y x ±=,z c x 1=,x c y 3±=它们代表一簇经过坐标原点的直线。
4、求标量场z y z x u 2322+=在点M (2,0,-1)处沿z z y xy x x t ?3??242+-=方向的方向导数。
解:由标量场方向导数的定义式:直角坐标系下,标量场u 在可微点M 处沿l 方向的方向导数为γβαcos cos cos zuy u x u l u ??+??+??=??α、β、γ分别是l 方向的方向角,即l 方向与z y x、、的夹角。
第一章1.3证:941(6)(6)50=0A B A B A B A B =⨯+⨯-+-⨯=∴⨯∴和相互垂直和相互平行1.11 (1)22220.50.50.522220.50.50.52272(2)(2272)124sAx Ay AzA divA x y z x x y x y zAd s Ad dz dy x x y x y z dzττ---∂∂∂∇==++∂∂∂=++=∇=++=⎰⎰⎰⎰⎰由高斯散度定理有1.18 (1) 因为闭合路径在xoy 平面内, 故有:222()()8(2)(22)()2()8x y z x y x z x sA dl e x e x e y z e dx e dy xdx x dy A dl S XOY A ds e yz e x e dxdy xdxdy A ds →→→→∙=+++=+∴∙=∇∙=+=∇∙=∴⎰⎰因为在面内, 所以,定理成立。
1.21(1) 由梯度公式(2,1,3)|410410x y z x y zx y z u u uu e e e x y ze e e e e e ∂∂∂∇=++∂∂∂=++=++1方向:()(2)最小值为0, 与梯度垂直1.26 证明00u A ∇⨯∇=∇∇=书上p10 1.25第二章 2.13343sin 3sin 4qa V e wr qwr J V e aρρρπθθρπ===∙=2.3''22'3222,40=l lldl d R Er R ez z ea aez z ea aEr r zPez z ea aE dz aeaπρραϕραϕπε= ==--==-=+⎰用圆柱坐标系进行求解场点坐标为P(0,0,z).线电荷元可以视为点电荷,其到场点的距离矢量得所以点的电场强度为()2'''3222cos sin020lzex ey ea dzE ez aπϕϕϕραε+∴=∴=+⎰()2.82235222023522322225052(1)4()()44()35=044()=()0351()=()0352r>b 4()8()4152()=401srs sbr b E d s r E r b r rEq b r r dr EqE d s b r r r E r b r rE r E d s r E r Eq b r r dr bEq bE r r πππεππεεππππε≤==-=--∴-==-==⎰⎰⎰⎰⎰时由高斯定理有即()时由高斯定理有250r ε2.11222122212212221,22()2(2)121122(2r r r r r r b l Eb r l b e a e Eb Ea b e a e E Eb Ea r l Eb r l r e Eb a e Ea E επρπερρεερεεπρπερερερε∑∴=∴==∴=-=-∑∴===∴=⎰⎰000000当r1>b 则,E=Eb-EaqEb ds=同理:r1r2r1r2对于r1<b 且在空腔外,E=Eb-EaqEb ds=,而r22211212121)(3)112,2212(12)222r r r r r r r r a e r e r b r e r e Ea r e r e E Eb Ea r e r e ερρεερρρεεε--<∑∴=∴=-=-=-⎰000000r2且在空腔内 E=Eb-Ea qE ds=,Eb=222200(1)0()cos ()sin (2)2cos r a E A a A a AA A r rA aϕϕϕϕφρεεϕ<=-∇∅=-∇∅=-∇∙--+-∂==-∂2r s 时,ar>a 时 E=(r-)cos r=e e 圆柱是由导体制成的表面电荷2.20能求出边界处即z=0处的E2 根据D 的法向量分量连续12(5)103r r Z Z z E E εε⇒+=⇒=(1) 2ln22,ln ln66ln(2)62ln lne e lrbl a l rr sr s E e rbu E dl a u uE e bb r a au J E e b r aJdsI u g e ds b b uuu r a aρρρπερπεπερπδ=====∴======⎰⎰⎰设内外导体单位长度带电量分别为+和-,利用高斯定理可以求得导体介质的电场为:得到(1)=0 =000,2=00B B er arB a B J H μμ∇∴∇=≠∇=∇⨯=取圆柱坐标系,若为磁场,根据磁场连续性方程,有所以不是磁场()取直角坐标,所以是磁场。
第三章3.22527811(2)14101201.0610sin(310 3.14)/(3)zjkx jz jkx jz z EyH E e jwu jwu x e Emeye ee t v m x ππππ----∂=-∇⨯=-∂=-⨯=-=-⨯⨯+-均匀平面波,波传播方向是方向3.48942032032027207202(1)20,310/31022(2)10(),132102102.710 2.7101(4)Re[2j zjj z j zx y jj z j z y x k Vp m s w kVp f HzE e ex jey E jw E e j eee j eH e e e eeSav E H ππππππππππμππ----------==⨯∴===⨯=+∴∇⨯∇⨯=⨯-⨯∴=⨯-⨯=⨯该波是左旋圆极化波()H=-*112] 2.610/ez w m-=⨯3.102202x yx y x y x y x y φφπφφπφφφφπφφ=-=--=-=≠-=-(1) Exm=Eym 所以为线极性 传播方向为-Z 方向;(2) Exm=Eym 所以为左旋圆极性 传播方向为+Z 方向;(3) Exm=Eym 所以为右旋圆极性 传播方向为+Z 方向;(4) Exm=Eym 所以为线极性 传播方向为+Z 方向;(5) Exm Eym 所以为左旋椭圆极性 传播方向为+Z 方向;3.1612221211212211122212()()2,()()2()()jkz x y jkzx y m m jkzjkzx y x y jkzjkzx y x y e je E m e e je E m e y y y EEm E Emy y y y y y e je E m eEm e je e y y y e je E m e Em e je e y y x φ-+-+--+--=-=+-==++-∴=-=-+=+=++--1-2-1-2(1)E E 反射波E 折射波 E (2)Exm=Eym 222y x y x y πφπφφπφφ=--=-=-所以入射波为左旋圆极性 Exm=Eym 所以反射波为右旋圆极性 Exm=Eym 所以折射波为左旋圆极性第四章 4.10反射系数1012103251+2==1-2z z jz z j τττρτ--+==++∴=驻波比:max max 600,==1.54004900//600 1.545014509004504504509001450450c bc ab vAρλ=⨯==∴==⨯=+===+01>l 01b 02bc 段由z z 所以工作在行驻波状态,驻波系数为点阻抗为纯电阻且小于z ,故为电压波谷点,电流波腹点,段长为/,故为电压波腹点,电流波谷点。
点b 呈现的阻抗为z z 段工作在行波状态()ab 段沿线各点电压u 和电流振幅i u u i i Z max max max max min max max min min max 450(2)900=450,min 0.5900900/min 900/300min 0.75/400bc b v Ac v A ρρ=Ω=⨯=+==Ω======Ωin 段工作在行驻波状态点u i i Z u i 点u u i i Z u i(3)0.4,0.8.1=0.22-=0.3940.14r x OA ρρλλλλλ===∴两圆的交点A,过A 作等反射系数圆,交右半实轴与B 点得驻波系数 4.5,K=延长交电刻度图,读数为0.11,以此为起点,逆时针旋转交于左半实轴。
得电压波各点,距负载长度为0.50.11。
电压最大点与最小点距离为。
电压波腹点距负载距离为(4)000.32, 3.1253.1251.2 1.3(9097.5)1.290.340.1825.513.5l in k Z j Z Z Z j o oB B C Z j Z Z Z j ρρ=∴===+==+=-==-L L in in 以画等反射系数图,与圆图右实半轴交于A 点由A 点沿等反射系数图逆时针转0.32到达B 。
得到B 的归一化阻抗为所以终负载阻抗为以为圆心。
为半径。
至点顺时针旋转点刻度至,读C 点归一化阻抗。
故,第五章 5.12P165 例5.15.16(1)a=22.86mM b=10.16mm102 4.57220 2.286230 1.5343012 2.03242010,1032010,101.51030,01,0,2010222.286c TE a cm c TE a cmc TE a cmc TE b cmcm c TE c TE TE cm c TE c TE TE cm TE TE TE a b c TE c TE cm λλλλλλλλλλλλλλλλλλλ=========<<∴=<<∴=<<<<<<∴时,传波时,传波时,传,TE20,波(2) 4.572cmλ<<5.171. 3. 5 书上P171第六章 6.12212221211111arg 1110lg10lg 0.180.980.98110.2 1.5110.2j s L dB s T s e s s πθπρ=======++===--6.141221220.010.641s s =∴+=+≠∴1121互易s s 有耗第七章7.14002=1.0,17.68m n p cmλλ===∴=。