导数与微分测试题及答案(一)
- 格式:doc
- 大小:339.50 KB
- 文档页数:4
导数与微分习题及答案第二章导数与微分(A)1 .设函数y 二f x ,当自变量x 由x 0改变到x 0 * e x 时,相应函数的改变量 y =()A. f x 0 : =x B . fx^_x C . f x 0 : =x f x 0D . f x 0 x2. 设f(x )在 x 处可,则曲区弋ix °)= () A. - f x oB . f -X 。
C . f x oD . 2f x o3 .函数f x 在点x 0连续,是f x 在点x 0可导的( )A .必要不充分条件B .充分不必要条件C .充分必要条件D .既不充分也不必要条件4.设函数y = f u 是可导的,且u =x 2,则dy=()dxA. f x 2B . xf x 2C . 2xf x 2D . x 2f x 25. 若函数f x 在点a 连续,则f x 在点a () A .左导数存在;B .右导数存在;C .左右导数都存在D .有定义6 . f(x)=x-2在点x=2处的导数是() A . 1 B . 0 C . -1 D .不存在 7.曲线y =2x 3 -5x 2 ? 4x -5在点2,-1处切线斜率等于()A . 8B . 12C . -6D . 68. 设y=e f 卜且f(x 二阶可导,则y"=() A . e f (x ) B . e f *)f "(x )C . e f (x )〔f "(x f "(x jD . e f (x X 【f *(x 9 + f*(x 》e axx < 09. 若f"〔b+sin2x, x,0在x=°处可导'则a,b的值应为()717118.10. 若函数f x 在点X o 处有导数,而函数 g x 在点X o 处没有导数,则 F X 二 f X g X , G X A f X — g X 在x ° 处()A .一定都没有导数B . 一定都有导数C .恰有一个有导数D .至少一个有导数11. 函数fx 与g X 在X o 处都没有导数,则Fx 二fx^gx , G x i=f x -g x 在 X o 处()A .一定都没有导数B . 一定都有导数C .至少一个有导数D .至多一个有导数12. 已知F x 二f !g x 1,在x 二X 。
导数与微分练习题及解析在微积分学中,导数和微分是最基本的概念之一。
它们可以帮助我们研究函数的变化率和性质,广泛应用于物理、经济、工程等各个领域。
为了帮助你更好地理解导数和微分的概念,以下是一些练习题及其解析。
练习题1:求函数f(x) = x^2 + 3x + 2在x = 2处的导数和切线方程。
解析:首先,我们求函数f(x)的导数。
使用求导法则,对于多项式函数来说,可以将每一项的指数与系数相乘,并将指数减一,得到函数的导数。
f'(x) = 2x + 3接下来,我们计算x = 2处的导数值。
f'(2) = 2(2) + 3 = 7切线方程的一般形式为y = mx + b,其中m代表斜率,b代表截距。
根据导数的定义,导数即为切线的斜率。
所以切线的斜率为m = 7。
将切点的坐标代入切线方程,我们可以得到b的值。
2 = 7(2) + b2 = 14 + bb = -12最终的切线方程为y = 7x - 12。
练习题2:求函数f(x) = e^x * sin(x)的导数。
解析:考虑到函数f(x) = e^x * sin(x)是两个函数的乘积,我们可以使用乘积法则来求导。
乘积法则的公式为:(uv)' = u'v + uv'对于e^x和sin(x)两个函数,它们的导数分别为e^x和cos(x)。
根据乘积法则,我们可以将这两个导数与原函数进行组合,得到最终的导数为:f'(x) = (e^x * cos(x)) + (e^x * sin(x))练习题3:求函数f(x) = ln(x^2 + 1)的导数和微分。
解析:首先,我们求函数f(x)的导数。
根据链式法则,可以分别计算外函数和内函数的导数。
设内函数为u = x^2 + 1,则内函数的导数为du/dx = 2x。
外函数为f(u) = ln(u),则外函数的导数为df/du = 1/u。
根据链式法则,函数f(x)的导数为:f'(x) = df/du * du/dx= (1/u) * (2x)= 2x / (x^2 + 1)接下来,我们计算函数f(x)的微分。
MPA公共管理硕士综合知识数学微积分(导数与微分)-试卷1(总分:54.00,做题时间:90分钟)一、数学部分(总题数:30,分数:54.00)1.选择题__________________________________________________________________________________________2.已知g(x)=且复合函数f(g(x))对x的导数为,那么.A.1√D.2由已知条件[f(g(x))]’=f"(g(x)).g’(x)=f"(g(x)).即(C).3.f(x)在(一∞,+∞)内可导,若一x)],则( )是奇函数.A.g(x)B.g(一x)C.g’(x) √D.1+∫0x g(t)dt由已知得g(一x)=g(x),故g(x) g’(x)=一g’(一x) 故g’(x)是奇函数.4.设函数f(x)可导,则的导数y’等于( )A.B.C.D. √5.设函数f(x)在区间(一δ,δ)内有定义,若当x∈(一δ,δ)时,恒有|f(x)|≤x 2,则x=0必是f(x)的( ).A.间断点B.连续但不可导的点C.可导的点,且f"(0)=0 √D.可导的点,且f’(0)≠0令x=0,由|f(0)|≤0知f(0)=0.而0≤|f(x)一f(0)|=|f(x)|≤x 2,由夹逼定理可知所以f(x)在x=0处连续.再讨论f(x)在x=0处的左、右导数,由|f(x)|≤x 2,得一x 2≤f(x)≤x 2.6.设f"(x)=(x一1)(2x+1),x∈(一∞,+∞),则在区间1)内有( ).A.函数f(x)单调减少,且曲线y=f(x)为凹的√B.函数f(x)单调增加,且曲线y=f(x)为凹的C.函数f(x)单调减少,且曲线y=f(x)为凸的D.函数f(x)单调增加,且曲线y=f(x)为凸的因为时,f"(x)=(x一1)(2x+1)<0,f"(x)=4x一1>0 f(x)单调减少且曲线y=f(x)为凹的.7.设函数f(x)对任意的x均满足f(1+x)=af(x),且有f"(0)=b,其中a,b为非零常数,则f(x)在x=1处( ).A.不可导B.可导且f"(1)=aC.可导且f"(1)=bD.可导且f"(1)=ab √在f(1+x)=af(x)中,令x=0,得f(1)=af(0)8.设对任意的x,总有φ(x)≤f(x)≤g(x),且.则A.存在且等于零B.存在但不一定为零C.一定不存在D.不一定存在√举反例说明.比如φ(x)=e -|x|,f(x)=2e -|x|,g(x)=3e -|x|,则有φ(x)≤f(x)≤g(x),且存在.但若取φ(x)=e -|x| +x,f(x)=2e -|x| +x,g(x)=3e -|x| +x,则有9.设f(x),g(x)在[a,b]上可导,且f"(x)g(x)+f(x)g’(x)<0,则当x∈(a,b)时,有( ).A.f(x)g(x)>f(b)g(a)B.f(x)g(x)>f(b)g(a)C.f(a)g(b)>f(b)g(a)D.f(x)g(x)>f(b)g(b) √令F(x)=f(x)g(x),则由题设可知 F’(x)=f"(x)g(x)+f(x)g’(x)<0 (a≤x≤b).于是,F(x)在[a,b]上单调减少,故当x∈(a,b)时,F(x)>F(b),即f(x)g(x)>f(b)g(b).10.下述极限中,等于e的是( )A.B. √C.D.11.设函数f(x)在(a,b)内可微,则( ).A.在[a,b]上连续B.若f(x)在(a,b)上严格单调递增,则f"(x)≠0C.若f(x)严格单调递增,且f(x)≠0√D.在(a,b)内f(x)必存在极限.因为f(x)严格递增,所以f"(x)≥012.填空题__________________________________________________________________________________________13.若函数f(x)在x 0点可导,则填空项1:__________________ (正确答案:正确答案:3f"(x 0 ).)0 )+2f"(x 0 ) =3f"(x 0 ).14.设函数f(x)在x 0点可导,填空项1:__________________ (正确答案:正确答案:不能确定.)因为由f"(x 0 )存在,可知因此,若f(x 0 )=0,则有若f(x 0 )≠0,则有原极限值不能确定.15.设函数f(x)在(一∞,+∞)上满足2f(1+x)+f(1一x)=e x,则f"(1)= 1.填空项1:__________________ (正确答案:正确答案:[*])先求f(x)的表达式.令x=一t,则等式变为由此可解得 3f(1+t)=2e t—e -t,再令1+t=x,可得于是有16.函数f(x)=(x 2 +2x-3)|x 4 -x|的不可导的点的个数是 1.填空项1:__________________ (正确答案:正确答案:1)由|x 4一x|=|x||x一1|(x 2 +x+1),可知f(x)的不可导点至多有两个点:x 1 =0,x 2 =1.下面我们来分析这两点是否不可导.在x 1=0点处,在x 2=1点处所以f(x)在x 2=1点可导,因此f(x)的不可导点只有一个.17.函数y=y(x)是由方程e xy +x一y一2=0所确定,则y’(0)= 1.填空项1:__________________ (正确答案:正确答案:0)在等式e xy +x—y一2=0两边求导,有 e xy (y+xy’)+1一y’=0,由此可得又由方程知y(0)=一1,于是有18.设函数y=y(x)由方程x y =y x所确定,则y’(1)= 1.填空项1:__________________ (正确答案:正确答案:1)利用对数求导法,有ylnx=xlny,上式两边对x x=1时,可解得y(1)=1,代入上式,有y’(1)=1.19.当x≠0时,函数f(x)满足f(x 3,则f"(1)= 1.填空项1:__________________ (正确答案:正确答案:一1)先求函数f(x)的表达式:令等式化为 f"(1)=一1.20.已知填空项1:__________________因f"(x)=而21.计算题__________________________________________________________________________________________22.设f(x)与φ(x)在x=0处均连续,求φ(0)和φ’(0).__________________________________________________________________________________________正确答案:(正确答案:因为f(x)在x=023.求函数x=0点处的左、右导数f - "(0)与f + "(0).__________________________________________________________________________________________正确答案:(y=|x|在x=0点处左、右导数都存在,但不相等.因此,此函数在x=0点处导数不存在.)24.已知f"(a)=a 2,__________________________________________________________________________________________正确答案:(25.__________________________________________________________________________________________正确答案:(正确答案:先将函数化为简单函数的和差,再用导数的四则运算计算更为简单,即所以可得)26.求函数y=ln|x|的导数。
第三章 导数与微分同步练习 一、填空 1、若[]1cos 1)0()(lim=--→xf x f x x ,则)0(f '= 。
2、设)100()3)(2)(1()(----=x x x x x x f ,则)0(f '= 。
3、若)(x e f y -=,且x x x f ln )(=',则1=x dxdy = 。
4、若)()(x f x f =-,且3)1(=-'f ,则)1(f '= 。
5、设某商品的需求函数是Q=10-0.2p ,则当价格p=10时,降价10%,需求量将 。
6、设某商品的需求函数为:Q=100-2p ,则当Q=50时,其边际收益为 。
7、已知x x y ln =,则)10(y = 。
8、已知2arcsin )(),2323(x x f x x f y ='+-=,则:0=x dxdy = 。
9、设1111ln22++-+=x x y ,则y '= 。
10、设方程y y x =确定y 是x 的函数,则dy = 。
11、已知()xke x f =',其中k 为常数,求()x f 的反函数的二阶导数=22dyxd 。
二、选择1、设f 可微,则=---→1)1()2(lim1x f x f x ( )A 、)1(-'-x fB 、)1(-'fC 、)1(f '-D 、)2(f ' 2、若2)(0-='x f ,则=--→)()2(lim000x f x x f xx ( )A 、41 B 、41- C 、1 D 、-1 3、设⎪⎩⎪⎨⎧=≠=0001arctan )(x x xx x f ,则)(x f 在0=x 处( )A 、不连续B 、极限不存在 C、连续且可导 D、连续但不可导 4、下列函数在[]1,1-上可微的有( ) A、x x y sin 32+= B、x x y sin =C、21x x y +=D、x x y cos += 5、设)(x f 为不恒等于零的奇函数,且)0(f '存在,则函数xx f x g )()(=( ) A、在0=x 处极限不存在 B、有跳跃间断点0=x C、在0=x 处右极限不存在 D、有可去间断点0=x6、设函数)(),(21x y x y 的弹性分别为)0(,≠b b a ,则函数)()(21x y x y y =的弹性为( ) A、b a - B、b aC、2112y by ay - D、以上都不对 7、已知)(x f e y =,则y ''=( )A、)(x f e B、)]()([)(x f x f e x f ''+' C、)()(x f e x f '' D、)}()]({[2)(x f x f e x f ''+'8、设函数⎩⎨⎧≤+>+=11)ln()(2x bx x x a x f 在1=x 处可导。
第二章 导数与微分(A)1.设函数()x f y =,当自变量x 由0x 改变到x x ∆+0时,相应函数的改变量=∆y ( )A .()x x f ∆+0B .()x x f ∆+0C .()()00x f x x f -∆+D .()x x f ∆02.设()x f 在0x 处可,则()()=∆-∆-→∆xx f x x f x 000lim ( ) A .()0x f '- B .()0x f -' C .()0x f ' D .()02x f '3.函数()x f 在点0x 连续,是()x f 在点0x 可导的 ( )A .必要不充分条件B .充分不必要条件C .充分必要条件D .既不充分也不必要条件4.设函数()u f y =是可导的,且2x u =,则=dxdy ( ) A .()2x f ' B .()2x f x ' C .()22x f x ' D .()22x f x5.若函数()x f 在点a 连续,则()x f 在点a ( )A .左导数存在;B .右导数存在;C .左右导数都存在D .有定义6.()2-=x x f 在点2=x 处的导数是( )A .1B .0C .-1D .不存在7.曲线545223-+-=x x x y 在点()1,2-处切线斜率等于( )A .8B .12C .-6D .68.设()x f e y =且()x f 二阶可导,则=''y ( )A .()x f eB .()()x f e x f ''C .()()()[]x f x f e x f '''D .()()[](){}x f x f e x f ''+'2 9.若()⎩⎨⎧≥+<=0,2sin 0,x x b x e x f ax 在0=x 处可导,则a ,b 的值应为( ) A .2=a ,1=b B . 1=a ,2=bC .2-=a ,1=bD .2=a ,1-=b10.若函数()x f 在点0x 处有导数,而函数()x g 在点0x 处没有导数,则()()()x g x f x F +=,()()()x g x f x G -=在0x 处( )A .一定都没有导数B .一定都有导数C .恰有一个有导数D .至少一个有导数11.函数()x f 与()x g 在0x 处都没有导数,则()()()x g x f x F +=,()()()x g x f x G -=在0x 处( )A .一定都没有导数B .一定都有导数C .至少一个有导数D .至多一个有导数12.已知()()[]x g f x F =,在0x x =处可导,则( )A .()x f ,()x g 都必须可导B .()x f 必须可导C .()x g 必须可导D .()x f 和()x g 都不一定可导13.xarctg y 1=,则='y ( ) A .211x +- B .211x + C .221x x +- D . 221x x + 14.设()x f 在点a x =处为二阶可导,则()()=-+→hh a f h a f h 0lim ( ) A .()2a f '' B .()a f '' C .()a f ''2 D .()a f ''- 15.设()x f 在()b a ,内连续,且()b a x ,0∈,则在点0x 处( )A .()x f 的极限存在,且可导B .()x f 的极限存在,但不一定可导C .()x f 的极限不存在D .()x f 的极限不一定存在16.设()x f 在点a x =处可导,则()()=--→hh a f a f n 0lim 。
第二章 导数与微分自测自检题参考解答一、填空题1、设()(1)(2)()f x x x x x n =+++ ,则()0f '= 解法一:由定义000()(0)(1)(2)()0(0)limlim0lim(1)(2)()!x x x f x f x x x x n f x x x x x n n →→→-+++-'==-=+++= 解法二:由于()(1)(2)()()f x x x x n x '=++++ ,因此()0f '=!n .2、设()01f x '=-,则()()00lim2h hf x h f x h →---=解:()()()()()()()()()()()()()()()()()()()()()()()()()0000000000000000000000000200lim21lim 21lim21lim 2(2)212lim(2)lim 212(2)lim lim2h h h h h h h h hf x h f x h f x h f x h hf x h f x f x f x h hf x h f x f x h f x h hf x h f x f x h f x h hf x h f x f x h f x h →→→→→→-→-→---=---=--+--=+--+---⋅+--=+--+---⋅+--=+--+---+-()()()000121hf x f x -=''-+=3、设()y y x =由方程cos()0x y e xy +-=所确定,则0d x y==解:对方程两边直接求微分,得到()d cos()0x y e xy +-=,即()()()d d sin d d 0x y e x y xy y x x y +++⋅+=,解出()()sin d d sin x y x ye y xy y x e x xy +++=-+. 在方程cos()0x y e xy +-=中,当0x =时,0y =,因此()()0sin d d d sin x y x y x x y e y xy y x x e x xy ++===+=-=-+.4、曲线arctan y x =在1x =处的切线方程是 ,法线方程是 解:由于(1)4y π=,()21111(1)arctan 12x x y x x ==''===+,因此曲线arctan y x =在1x =处的切线方程为()1142y x π-=-,法线方程为()214y x π-=--,即曲线的切线方程为2420x y π-+-=,法线方程为8480x y π+--=.5、设()f x 在0x 可导,0x x x ∆=-,()()0y f x f x ∆=-,则0lim x y ∆→∆=解:()f x 在0x 可导,则()f x 在0x 连续,由连续的定义,0lim x y ∆→∆=0.二、选择题1、设可导函数()f x 是奇函数,则()f x '是( )A 偶函数B 奇函数C 非奇非偶函数D 不能确定解:因为()f x 是奇函数,因此()()f x f x -=-,即()()f x f x =--,所以()f x '=()()()()()1f x f x f x '''--=---=-,亦即,()()f x f x ''-=,()f x '是偶函数。
第二单元 导数与微分一、基本题1、设()23f '=,则()()232limh f h f h h→--+=2、()cos x y e -=,则()0y '=3、3sin y x =,则dy =4、y =1|x dy ==5、()3ln f x x x =,则()1f ''=6、设()62ln 3x y e =+,则()8y =7、设()23sin 7n y x e -=+,则()n y =8、设210cos 2x y e x x =++,则()10y = ;()12y =9、设()()22f x x y ef e =+,则dy dx=10、曲线2x y e -=+在点0x =处的切线方程为 法线方程为 11、()()()()()123......10f x x x x x x =----,则()1f '= 12、()22,43f x y x xy y =-+,则()()1,1,limh f y h f y h→+-=13、ln 2y z x x ⎛⎫=+ ⎪⎝⎭,则()1,0z x ∂=∂ ;()1,0y f '=14、()zu xy =,则du = 15、2ln xz y=,则12x y dz ===16、yz x=在点()2,1处当0.1x ∆=,0.2y ∆=时的z ∆= ;dz = 17、设233z x xy y =-+,则22z x∂=∂ ;22z y ∂=∂ ;2zy x ∂=∂∂18、22,x z f x y y ⎛⎫=- ⎪⎝⎭,则x f '= ;y f '=19、一元函数可微、可导、连续、极限之间关系:可微可导是连续的 条件; 连续是极限存在的 条件 极限存在是连续的 条件; 连续是可微可导的 条件20、多元函数可微、可导(偏导数存在)、连续之间关系:(1)(),f x y 在点(),x y 处可微分是在该点连续的 条件; (),f x y 在点(),x y 处连续是在该点可微分的 条件(2)(),f x y 在点(),x y 处两偏导数存在是在该点处可微分的 条件; (),f x y 在点(),x y 处可微分是在该点处两偏导数存在的 条件 (3)(),f x y 在点(),x y 处两偏导数存在且连续是在该点处可微分的 条件(4)(),f x y 在点(),x y 处两二阶混合偏导22,z zx y y x∂∂∂∂∂∂连续 是该两混合偏导相等的 条件二、计算题1、xaaa x e y e e x =++ ()0,1a a >≠,求y ' 2、()3ln 32cos 2sin 332x x y e x x +=+-+,求(0)y '3、()2sin 2x y x =,求y ' 4、sin x y x =y '5、y =y ' 6、设ln tan x y arc t ⎧⎪=⎨=⎪⎩,求dy dx7、设sin cos t tx e ty e t⎧=⎨=⎩,求0t dy =8、设()ln(2)111x x f x x x -≤⎧=⎨->⎩,求()2f '-,()f x '9、设函数()22111x f x x ax b x ⎧≤⎪=+⎨⎪+>⎩在点1x =处可导,求,a b10、设()2135f x x x -=++,求()f x '11、设()3sin 2sin 3cos24f x x x =+-,求()f x '12、设()2cos 2z x x y =-,求22z x∂∂;22z y ∂∂;2zx y ∂∂∂13、设(),,sin u v z e u xy v x y +===+,求zx ∂∂;z y∂∂ 14、设()223x z x y =-,求zx ∂∂;z y∂∂ 15、设()2,cos 2,ln 32x y z e x t y t -===+,求dz dt16、函数()y y x =由方程:()1cos x y e e xy -+=所确定的隐函数,求0x dy dx=17、设方程22220x z y z y ++=确定函数(),z z x y =,求zx ∂∂;z y∂∂ 18、设函数(),z z x y =由方程22xy z e z e -+-=所确定,求212x y dz==-19、设()22,y z xf xy g x y x ⎛⎫=++ ⎪⎝⎭,求z x ∂∂;z y ∂∂三、证明题1、设()2arcsin 3y z xy x =+,证明:220z zx xy y x y ∂∂-+=∂∂ 2、设()2sin 2323x y z x y z +-=+-,证明:1z zx y∂∂+=∂∂导数与微分答案二、基本题1、设()23f '=,则()()232limh f h f h h →--+=()4212f '-=-2、设()12f '=-,则()()11limh f f h h→-+=()12f '-=3、()cos x y e -=,则()0y '=sin14、3sin y x =,则233cos dy x x dx =5、()3ln f x x x =,则()15f ''=6、设()62ln 3x y e =+,则()824x y e =7、设()2sin 7n y x -=,则()49sin 7ny x =-8、设210cos 2x y e x x =++,则()10102101021022cos 21010!22cos 210!2x x y e x e x π⎛⎫=++⋅+=-+ ⎪⎝⎭ ;()12122121221222cos 21222cos 22x x y e x e x π⎛⎫=++⋅=+ ⎪⎝⎭9、设()()22f x x y e f e =+,则()()()222222f x x x dy xe f x xf e e dx''=⋅+⋅10、曲线2x y e -=+在点0x =处的切线方程为3y x =- 法线方程为3y x =+11、()()()()()123......10f x x x x x x =----,则()19!f '=-()()()()()123......10f x x x x x x =----⇒⎡⎤⎣⎦()()()()()()()()()123......10123......10f x x x x x x x x x x x '''=----+----⎡⎤⎡⎤⎣⎦⎣⎦ ()()()()()()()23......10123......10x x x x x x x x x '=---+----⇒⎡⎤⎡⎤⎣⎦⎣⎦()()()()11121311009!f '=⋅-⋅-⋅⋅⋅-+=-12、一元函数可微、可导、连续、极限之间关系:可微可导是连续的 充分 条件; 连续是极限存在的 充分 条件 极限存在是连续的 必要 条件; 连续是可微可导的必要 条件 13、()212y x x x x =-+-不可导点2x =-14、ln 2y z x x ⎛⎫=+ ⎪⎝⎭,则()1,01z x ∂=∂ ;()11,02y f '=15、()22,43f x y x xy y =-+,则()()()01,1,lim1,46y h f y h f y f y y h→+-'==-+16、2lnxz y=,则1212x y dz dx dy ===-17、设233z x xy y =-+,则222z x∂=∂ ;226z y y ∂=∂ ;23zy x ∂=-∂∂ 18、()z u xy =,则()()()()11ln z z zdu yz xy dx xz xy dy xy xy dz --=++19、yz x =在点()2,1处当0.1x ∆=,0.2y ∆=时的()()2.1,1.22,10.0714z f f ∆=-= 21110.10.20.07542y dz dx dy dz x x =-+⇒=-⋅+⋅=20、22,x z f x y y ⎛⎫=- ⎪⎝⎭,则1212x f f xf y '''=+ ;1222y xf f yf y '''=--21、(1)(),f x y 在点(),x y 处可微分是在该点连续的 充分 条件; (),f x y 在点(),x y 处连续是在该点可微分的 必要 条件(2)(),f x y 在点(),x y 处两偏导数存在是在该点处可微分的 必要 条件; (),f x y 在点(),x y 处可微分是在该点处两偏导数存在的 充分 条件 (3)(),f x y 在点(),x y 处两偏导数存在且连续是在该点处可微分的 充分条件(4)(),f x y 在点(),x y 处两二阶混合偏导22,z zx y y x∂∂∂∂∂∂连续是该两混合偏导相等的 充分 条件22、曲线2cos 2sin 3x t y t z t=⎧⎪=⎨⎪=⎩上对应于6t π=处的切线方程213z x π-==- , 法平面方程:()1302x y z π⎛⎫--+-+-= ⎪⎝⎭23、曲面27z e z xy -+=在点()2,3,0处的切平面方程()()()322310032120x y z x y z -+---=⇒+--= , 法线方程 :230231x y z ---==-二、计算题1、x a aa x e y e e x =++ ()0,1a a >≠,求y '【解】:()()111ln x a a x a a a x x a a e a x x a a e y e a e x e x e a a e ax e x ---'''=⋅+⋅+=⋅+⋅+2、()3ln 32cos 2sin 332xx y e x x +=+-+,求y ' 【解】:()()()33213323ln 32323cos 22sin 2032x xx x x y e x e x x ⋅⋅+-++'=-+-+ ()()33233ln 323cos 22sin 232x x x e x e x x -+=-++3、sin x y x =y ' 【解】:()1sin sin ln 223xx xy xex x ==++⇒()()1s i n l n22s i n 1c o s l n 3232x x x y e x x x x x x -⎛⎫'=⋅+++⋅+ ⎪⎝⎭4、()2sin 2x y x =,求y ' 【解】:()222lnsin 2lnsin 22cos 2sin 22ln sin 22sin 2x x xxxx y x e y e x x x x ⎛⎫'==⇒=+⋅⋅⎪⎝⎭ ()2l n s i n 222l n s i n 22c ot 2xx e x xx x =+⋅5、y =y ' 【解】:1)()()()()()21ln ln 1ln 13ln 5ln 1ln 212y x x x x x =+--++--+ 2)等式两边同时对x 求导()()212135211221221x y y x x xx x --'=-++-⇒+--+ ()()2213511122121x y y x xx x x ⎡⎤'=++--⎢⎥+--+⎣⎦()()2213511122121x x xx x x ⎡⎤=++--⎢⎥+--+⎣⎦6、函数()y y x =由方程:()1cos x y e e xy -+=所确定的隐函数,求0x dydx =【解】:1)0x =时0y =2)()()()1cos sin x y x y e e xy e e y xy y xy ''''-+=⇒-⋅=-⋅+⎡⎤⎣⎦ ()0,0sin sin 01sin sin x x x y yy e y xy e y xyy y e x xy e x xy==++''=⇒==--7、求由方程:()()cos sin xyy x =所确定的函数()y y x =的导数dydx【解】:1)等式两边同时取对数()()ln cos ln sin x y y x = 2)等式两边同时对x 求导数:()()sin cos ln cos ln sin cos sin y xy x y y x y y x-''+⋅⋅=+⋅⇒ ()()ln cos cot ln sin tan y y xdy dx x x y -=+8、设ln tan x y arc t⎧⎪=⎨=⎪⎩,求dy dx【解】:1)()()2222121ln 12tan 1tan 1t t t x t x t x y arc t y arc t y t ⎧'=⎧⎪⎧+=+⎪⎪⎪=⇒⎨⎨⎨=⎪⎪⎪⎩=⎩'=⎪+⎩2)1t t y dy dx x t'==' 9、设2323sin 10y x t t e t y ⎧=++⎨-+=⎩,求t dy dx =【解】:1)0t =时,1y =2) 6262cos sin cos 01sin t t y y yt t t y x t x t e t e y t e t y y e t '=+⎧'=+⎧⎪⇒⇒⎨⎨⋅''⋅+⋅-='=⎩⎪-⎩3)0,1cos cos 1sin 1sin 62622y y y yt t t y t e te ty dy dy e e t e t dx x t dxt ===⋅⋅'--==⇒=='++ 10、设()ln 111x x f x x x ≥⎧=⎨-<⎩,求()2f ',()f x '【解】:1)()()()2212ln 2x x f f x x =='''===2)()()11ln x f x x f x x'>⇒=⇒=, ()()111x f x x f x '<⇒=-⇒= 1x =为分段点,且()1=ln1=0f ()()()111101lim lim 111x x f x f x f x x ---→→---'===--, ()()()()()()11111ln 01lim lim lim 11111111x x x f x f x x f f f f x x ++++-+→→→--''''====⇒=⇒=-- ()1111x f x xx ⎧>⎪'=⎨⎪≤⎩11、设函数()22111x f x x ax b x ⎧≤⎪=+⎨⎪+>⎩在点1x =处可导,求,a b【解】:1)可导必连续,故()()()()211112lim lim 1lim lim 11x x x x f x f x f ax b x -+-+→→→→==⇒=+=+ 即11a b b a +=⇒-=-2)因为可导,故()()()()()()111111lim lim 11x x f x f f x f f f x x -+-+→→--''=⇒=-- ()()()()221111211111lim lim lim lim 11111x x x x x x ax b ax a x a x x x x x -+-+→→→→--++--+=⇒==----+ 1,2a b =-=12、设()2135f x x x -=++,求()f x '【解】:1)()()()()()()22135131521325f x x x f x x x f x x x '-=++⇒=++++⇒=++=+ 13、设()3sin 2sin 3cos24f x x x =+-,求()f x '【解】:()()()3232sin 2sin 312sin 4261f x x x f x x x =+--⇒=-- ()2612f x x x '⇒=-14、设()2cos 2z x x y =-,求22z x∂∂;22z y ∂∂;2zx y ∂∂∂【解】:1)()()()()22222322cos 22sin 26sin 24cos 2z z x y x x y x x y x x y x x∂∂=---⇒=----∂∂2)()()22222sin 24cos 2z z x x y x x y y y ∂∂=-⇒=--∂∂3)()()22222sin 24cos 2zx y x x y x y∂=-+-∂∂15、设(),,sin u v z e u xy v x y +===+,求zx ∂∂;z y∂∂ 【解】:()()()()()sin u v u v x x u v z z u z ve xy e x y x u x v x++∂∂∂∂∂''''=⋅+⋅=⋅+⋅+∂∂∂∂∂()()()sin cos cos xy x y u v u v ye e x y y x y e ++++=+⋅+=++⎡⎤⎣⎦()()()()()sin u v u v y y u v z z u z ve xy e x y y u y v y++∂∂∂∂∂''''=⋅+⋅=⋅+⋅+∂∂∂∂∂()()()sin cos cos xy x y u v u v xe e x y x x y e++++=+⋅+=++⎡⎤⎣⎦16、设()223x z x y =-,求zx ∂∂;z y∂∂ 【解】:()()22ln 2323x x x y z x y e-=-=()()22ln 2322ln 2323x x y z x e x x y x x y -⎛⎫∂=⋅-+ ⎪∂-⎝⎭()212323x z x x y y -∂=--∂ ,17、设()2,cos 2,ln 32x y z e x t y t -===+,求dzdt【解】:()()()22cos2ln 32cos2ln 326ln 322sin 232t t t t t dz z ee t dt t -+-+⎡⎤⎡⎤⎣⎦⎣⎦+⎛⎫=⇒=⋅-- ⎪+⎝⎭ 18、设方程22220x z y z y ++=确定函数(),z z x y =,求zx ∂∂;z y∂∂ 【解】:1)()222,,2F x y z x z y z y =++2222,41,4x y z F xz F yz F x y z '''==+=+2)2224x z F z xz x F x y z '∂=-=-'∂+, 222414y z F z yz y F x y z '∂+=-=-'∂+19、设方程()222sin xy e y x y +=+确定函数()y y x =,求dy dx【解1】:()()()()()()22222s i n 2c o s 22x y x y e y x y e y x y y x y x y '''''+=+⇒⋅++=+⋅+()()22222cos 22cos xyxy x x y ye y xe y y x y +-'⇒=+-+ 【解2】:1)()()222,sin xy F x y e y x y =+-+ ()()22222cos ,22cos xy xy x y F ye x x y F xe y y x y ''=-+=+-+2)()()()()222222222cos 2cos 2cos 2cos xy xy x xy xy y ye x x y x x y ye F dy dx F xe y x y xe y x y -++-'=-=-='-+-+ 20、设函数(),z z x y =由方程22xy z e z e -+-=所确定,求212x y dz ==-【解】:1)(),,22xy z F x y z e z e -=+--, 12,12x y z ==-⇒= ,,2xy xy z x y z F ye F xe F e --'''=-=-=- 12,,12224xy x z x y z z F z ye z e x F e xe -==-='∂∂=-=⇒='∂-∂-, 12,,12222xy y z x y z z F z xe z e y F e y e -==-='∂∂=-=⇒='∂-∂- 2)2122242x y e e dzdx dy e e==-=+-- 21、设()22,y z xf xy g x y x ⎛⎫=++ ⎪⎝⎭,求z x ∂∂;z y ∂∂ 【解】:1)()()1222z y f xy xyf xy xg g x x ∂'''=++-∂2)()21212z x f xy yg g y x∂'''=++∂三、证明题1、设()2arcsin 3y z xy x =+,证明:220z z x xy y x y∂∂-+=∂∂ 2、设()2sin 2323x y z x y z +-=+-,证明:1z z x y ∂∂+=∂∂ 设()(),,2sin 2323F x y z x y z x y z =+---+。
第二章 导数与微分练习题及习题详细解答练习题2.11.已知质点作直线运动的方程为23s t =+,求该质点在5t =时的瞬时速度.解 由引例2.1可知,质点在任意时刻的瞬时速度d 2d sv t t==.代入5t =,得10v =. 2.求曲线cos y x =在点π(6处的切线方程和法线方程. 解 由导数的几何意义知,曲线cos y x =在π(6点切线的斜率 ππ661(cos )(sin )2x x k x x =='==-=-,所以,切线方程为1π()226y x -=--,即612π=0x y +-.法线方程为π2()6y x =-,即1262π=0x y -+. 3.讨论函数32,0()31,013,1x f x x x x x ⎧≤⎪=+<≤⎨⎪+>⎩在0x =和1=x 处的连续性与可导性.解 在0x =处,0lim ()lim 22x x f x --→→==,0lim ()lim (31)1x x f x x ++→→=+=, 由于0lim ()lim ()x x f x f x -+→→≠,所以不连续,根据可导与连续的关系知,也不可导. 在1x =处,11lim ()lim(31)4x x f x x --→→=+=,311lim ()lim(3)4x x f x x ++→→=+=,(1)4f =, 所以连续.又00(1)(1)3(1)lim lim 3x x f x f xf x x---∆→∆→+∆-∆'===∆∆, 2300(1)(1)33()()(1)lim lim 3x x f x f x x x f x x+++∆→∆→+∆-∆+∆+∆'===∆∆,所以可导.4.已知函数()f x 在点0x 处可导,且0()f x A '=,求下列极限:000(5)()(1)limx f x x f x x ∆→-∆-∆; 000(2)()(2)lim h f x h f x h →+-解 (1)000000(5)()(5)()55()55limlim x x f x x f x f x x f x f x A x x ∆→∆→-∆--∆-'=-=-=-∆-∆;(2)000000(2)()(2)()22()22limlim h h f x h f x f x h f x f x A h h →→+-+-'===.5.求抛物线2y x =上平行于直线43y x =-+的切线方程.解 由于切线平行于43y x =-+,所以斜率为4k =-.又2k y x '==,所以2x =-.对应于抛物线上的点为(2,4)-,所以切线方程为44(2)y x -=-+,即440x y ++=.练习题2.21.求下列函数的导数:(1)100(21)y x =-; (2)22e xxy +=;(3)sin(3π)y x =+; (4)2cos y x =; (5)2e sin x y x =; (6)2ln(1)y x =+; (7)tan 2y x =; (8)cot 3y x =; (9)arctan(31)y x =+; (10)arcsin(41)y x =+. 解 (1)9999100(21)(21)200(21)y x x x ''=--=-; (2)22222e (2)e (41)xxxxy x x x ++''=+=+;(3)cos(3π)(3π)3cos(3π)y x x x ''=+⋅+=+; (4)2cos (cos )2sin cos sin 2y x x x x x ''=⋅=-=-;(5)22222(e )sin e (sin )2e sin e cos e (2sin cos )xxxxxy x x x x x x '''=+=+=+; (6)22212(1)11x y x x x''=⋅+=++; (7)22sec 2(2)2sec 2y x x x ''=⋅=; (8)22csc 3(3)3csc 3y x x x ''=-⋅=-;(9)2213(31)1(31)1(31)y x x x ''=⋅+=++++;(10)(41)y x ''=+=2.设y =d d y x .解对于y =[]1ln ln(1)ln(2)ln(3)ln(4)3y x x x x =+++-+-+ 两边对x 求导,得111111()31234y y x x x x '=+--++++ 所以1111()1234y x x x x '=+--++++ 3.求曲线31x ty t =+⎧⎨=⎩上,点(1,0)处的切线方程. 解 点(1,0)对应参数t 的值为0. 设k 为曲线上对应(1,0)点的切线斜率,则32000d ()30d (1)1t t t y t t k x t ==='===='+,于是,所求切线方程为0y =,即x 轴.4.求由方程3330y x xy --=所确定的隐函数的导数d d y x. 解 方程两边对x 求导,可得22333()0y y x y xy ''--+=由上式解出y ',便得隐函数的导数为22x yy y x+'=-(20y x -≠). 练习题2.31.求下列函数的微分:(1)22sin 34y x x x =+-+; (2)2ln y x x x =-; (3)2(arccos )1y x =-; (4)arctan y x x =; (5)ln tan 2x y =; (6)sin ln 57xy x x x x=++-; (7)1cos 2xy -=; (8)3(e e )x x y -=+.解 (1)22d (sin 34)d (2sin 23)d y x x x x x x x '=+-+=+-; (2)2d (ln )d (ln 12)d y x x x x x x x '=-=+-; (3)2d ((arccos )1)d y x x x '=-=;(4)2d (arctan )d (arctan )d 1xy x x x x x x '==++; (5)2111d (ln tan )d sec d d csc d 222sin tan 2x x y x x x x x x x '==⋅⋅==;(6)2sin cos sin d (ln 57)d (ln 6)d x x x xy x x x x x x x x-'=++-=++; (7)11cos cos d (2)d 2ln 2sec tan d xxy x x x x --'==-⋅;(8)32d (e e )d 3(e e )(e e )d x x x x x xy x x ---'⎡⎤=+=+-⎣⎦. 2.填空. (1)23d d()x x =(2)21d d()1x x =+ (3)2cos2d d()x x = (4)21d d()x x= 解 (1)3x C +; (2)arctan x C +; (3)sin 2x C +; (4)1C x-+. 3解=()f x =064x =,1x ∆=.因为000()()()f x x f x f x x '+∆≈+∆,()f x ''==所以1188.062516=≈=+=.4.半径为10m 的圆盘,当半径改变1cm 时,其面积大约改变多少?解 圆盘面积函数为2S πR =,并取0R 10m =,R 1cm 0.01m ∆==.因为 S 2πR '= 所以面积改变量2S dS 2πR R 2π100.010.2π0.628m ∆≈=⋅∆=⨯⨯=≈.习题二1.如果函数()f x 在点0x 可导,求:(1)000()()limh f x h f x h →--; (2)000()()lim h f x h f x h hαβ→+--.解 (1)0000000()()()()limlim ()h h f x h f x f x h f x f x h h →-→----'=-=--; (2)00000000()()()()()()lim lim h h f x h f x h f x h f x f x f x h h hαβαβ→→+--+-+--=0000000()()()()limlim ()()h h f x h f x f x h f x f x h hαβαβαβαβ→→+---'=+=+-2.求函数3y x =在点(2,8)处的切线方程和法线方程. 解 由导数的几何意义,得3222()312x x k x x =='===切,112k =-法. 所以,切线方程为812(2)y x -=-即12160x y --=.法线方程为18(2)12y x -=--即12980x y +-=.3.设2, 1(), 1x x f x ax b x ⎧≤=⎨+>⎩,试确定,a b 的值,使()f x 在1x =处可导.解 若()f x 在1x =处可导,则必在1x =处连续.1lim ()1x f x -→=,1lim ()x f x a b +→=+, 11lim ()lim ()x x f x f x -+→→=,即1a b +=. 又2111()(1)1(1)limlim lim(1)211x x x f x f x f x x x ----→→→--'===+=--, 111()(1)1(1)(1)lim lim lim 111x x x f x f ax b a x f a x x x ++-+→→→-+--'====--- 所以 2a =,1b =-. 4.求下列各函数的导数:(1)231251y x x x =-++; (2)2sin y x x =; (3)1cos y x x =+; (4)1ln 1ln xy x-=+.解 (1)23413(251)45y x x x x x''=-++=++;(2)22(sin )2sin cos y x x x x x x ''==+; (3)221(cos )sin 1()cos (cos )(cos )x x x y x x x x x x '+-''==-=+++;(4)21ln (1ln )(1ln )(1ln )(1ln )()1ln (1ln )x x x x x y x x ''--+--+''==++ 2211(1ln )(1ln )2(1ln )(1ln )x x x x x x x -+--==-++ . 5.求下列函数的导数:(1)36()y x x =-; (2)y =;(3)2sin (21)y x =-; (4)21sin y x x=; (5)ln1xy x=-; (6)[]ln ln(ln )y x =; (7)ln(y x =; (8)arcsin 2x y x =+解 (1)3533526()()6()(31)y x x x x x x x ''=--=--;(2)322(1)y x -'==-; (3)2sin(21)cos(21)(21)2sin(42)y x x x x ''=-⋅-⋅-=-; (4)22221111111()sin(sin )2sin cos ()2sin cos y x x x x x x x x x x x x'''=+=+⋅-=-; (5)lnln ln(1)1x y x x x ==---,∴1111(1)y x x x x -'=-=--; (6)[]{}[]1ln ln(ln )ln(ln )(ln )ln ln(ln )y x x x x x x ''''=⋅⋅=;(7)((1y x ''==+=;(8)1arcsin22x y '=++arcsin arcsin 22x x=+=.6.若以310cm /s 的速率给一个球形气球充气,那么当气球半径为2cm 时,它的表面积增加的有多快?解 设气球的体积为V ,半径为R ,表面积为S ,则34π3V R =,24πS R =. d d d d d d V V R t R t =⋅,d d d d d d S S Rt R t =⋅, 2d d d d dV 12d 8πd d d d dt 4πd S S V R V R t R t V R R t ∴=⋅⋅=⋅⋅=, 将3d 10cm /s d V t =,2cm R =代入得,2d 10cm /s d St=.7.求下列函数的高阶导数:(1)2sin 2y x x =,求y '''; (2)y =5x y =''. 解 (1)Q 22sin 22cos2y x x x x '=+,22sin 24cos24cos24sin 2y x x x x x x x ''=++-22sin 28cos 24sin 2x x x x x =+-,∴24cos28cos216sin 28sin 28cos2y x x x x x x x x '''=+---212cos 224sin 28cos 2x x x x x =--.(2)Q 2y '==y ''==23222(24)(16)x x x -=-,∴5x y =''1027=. 8.求由下列方程所确定的隐函数的导数: (1)3330y x xy +-=; (2)arctan ln yx=. 解 (1)方程两边对x 求导,得22333()0y y x y xy ''+-+=,从中解出y ',得22y x y y x-'=-. (2)方程两边对x 求导,得2222112221()xy y x yy y x x y x''-+⋅=⋅++, 从中解出y ',得x yy x y+'=-. 9.用对数求导法求下列各函数的导数:(1)y =; (2)cos (sin )x y x = (s i n 0)x >.解 (1)方程两边取对数,得11ln ln(23)ln(6)ln(1)43y x x x =++--+,两边对x 求导,得1211234(6)3(1)y y x x x '=+-+-+, 即211[234(6)3(1)y x x x '=+-+-+ (2)方程两边取对数,得cos ln ln(sin )cos lnsin x y x x x ==⋅两边对x 求导,得11sin ln sin cos cos sin y x x x x y x'=-⋅+⋅⋅ sin lnsin cos cot x x x x =-⋅+⋅,即cos (sin )(sin lnsin cos cot )x y x x x x x '=-⋅+⋅.10.求由下列各参数方程所确定的函数()y y x =的导数:(1)33cos sin x a t y b t ⎧=⎪⎨=⎪⎩; (2)e cos e sin tt x t y t ⎧=⎪⎨=⎪⎩,求π2d d t y x =. 解 (1)22d d 3sin cos d tan d d 3cos sin d yy b t t bt t x x a t t a t===--;(2)Q d d e (sin cos )sin cos d d d e (cos sin )cos sin d t t yy t t t tt x x t t t t t++===--, ∴π2d d t y x =π2sin cos 101cos sin 01t t tt t=++===---. 11.求下列函数的微分: (1)ln sin2x y =; (2)1arctan 1x y x+=-; (3)e 0x yxy -=; (4)24ln y y x +=.解 (1)111d (lnsin )d (cos )d cot d 22222sin 2x x xy x x x x '==⋅⋅=; (2)2221(1)(1)1d d d 1(1)11()1x x y x x x x x x-++=⋅=+-++- (3)方程两边同时取微分,得d(e )d()0x yxy -=,2d de (d d )0x yy x x yy x x y y-⋅-+=, 整理得22d d xy y y x x xy-=+.(4)方程两边同时取微分,得312d d 4d y y y x x y+=, 整理得324d d 21x yy x y =+.12.利用微分求近似值:(1)sin3030︒'; (2解 (1)设()sin f x x =,则0π306x ︒==,π30360x '∆==,()cos f x x '=.11 / 11 000sin3030()()()f x x f x f x x ︒''=+∆≈+∆πππsincos 0.507666360=+⋅≈ (2)设()f x =064x =,1x ∆=,561()6f x x -'=.000()()()f x x f x f x x '=+∆≈+∆5611(64)12 2.00526192-⋅=+≈ 13.已知单摆的振动周期2T =2980cm/s g =,l 为摆长(单位为cm ),设原摆长为20cm ,为使周期T 增大0.05s ,摆长约需加长多少?解由2T =224πgT l =,02T =0.05s T ∆=,22πgT l '=. 所以027d 0.050.050.05 2.23cm 2ππgT l l l T '∆≈=⋅∆=⋅===≈, 即摆长约需加长2.23cm .。
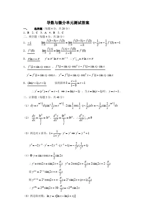
导数与微分单元测试答案一、 选择题(每题4分,共20分)1、B2、C3、A4、B5、C二、填空题(每题4分,共20分)1、1- 1)3(21)21()3()3(lim 2)3()3(lim00-='-=-⋅---=--→→f h f h f h f h f h h 2、)0(f ' )0(0)0()(l i m )(l i m 00f x f x f x x f x x '=--=→→ 3、ππ+x ln 1ln -+='ππππx y x ππ+='∴=x y x ln |14、x x f cos )sin 1(⋅+' ,x x f x x f sin )sin 1(cos )sin 1(2⋅+'-⋅+'' x x f y cos )sin 1(⋅+'=',x x f x x f y sin )sin 1(cos )sin 1(2⋅+'-⋅+''=''5、)1),1(ln(--e e 弦的斜率1011-=--=e e k 1)(-==='∴e e e y x x ⇒)1ln(-=e x ,当)1ln(-=e x 时,1-=e y 。
三、计算题(每题5分,共40分)(1)dx x x x e x d e dy x x )1(1cos 1sin 2)1(sin 21sin 21sin 22-⋅⋅==dx e x x x 1sin 222sin 1-= (2) 32313t tt dx dy ==,3222919t t t dx y d ==,9|122=∴=t dxy d (3)两边对x 求导:y y y'='⋅++2111⇒12+='-y y )11(2)1(2223233+-=+⋅-='⋅-=''---y y y y y y y (4)x x x y 2sin 21cos sin == )22sin(2cos π+=='∴x x y )222sin(2)22cos(2ππ⋅+=+=''x x y 设)22sin(21)(π⋅+=-n x yn n 则)2)1(2sin(2)22cos(2)1(ππ++=⋅+=+n x n x y n n n x x y 2sin 2)2502sin(24949)50(-=⋅+=∴π(5)两边取对数:)]1ln([ln ln x x x y +-=两边求导: xx x x y y +-++-='⋅11)1ln(ln 1 ]11)1ln([ln )1(xx x x x x y x +-++-+='∴ (6)利用定义:!2005)2005()3)(2)(1(lim )0()(lim )0(00=++++=-='→→x x x x xf x f f x x (7))()()()(x a x x x f ϕϕ'-+=' )()(a a f ϕ='∴ 又ax a x a x x a x a f x f a f a x a x --'-+=-'-'=''→→)()()()(lim )()(lim )(ϕϕϕ )]()()([lim x ax a x a x ϕϕϕ'+--=→)(2)()(a a a ϕϕϕ'='+'= [注:因)(x ϕ在a x =处是否二阶可导不知,故只能用定义求。
第二章导数与微分(A)1 .设函数y 二f x ,当自变量x 由x 0改变到x 0 * e x 时,相应函数的改变量 y =()A. f x 0 : =x B . fx^_x C . f x 0 : =x f x 0D . f x 0 x2. 设f(x )在 x 处可,则曲区弋ix °)= () A. - f x oB . f -X 。
C . f x oD . 2f x o3 .函数f x 在点x 0连续,是f x 在点x 0可导的( )A .必要不充分条件B .充分不必要条件C .充分必要条件D .既不充分也不必要条件4.设函数y = f u 是可导的,且u =x 2,则dy=()dxA. f x 2B . xf x 2C . 2xf x 2D . x 2f x 25. 若函数f x 在点a 连续,则f x 在点a () A .左导数存在;B .右导数存在;C .左右导数都存在D .有定义6 . f(x)=x-2在点x=2处的导数是() A . 1 B . 0 C . -1 D .不存在 7.曲线y =2x 3 -5x 2 • 4x -5在点2,-1处切线斜率等于()A . 8B . 12C . -6D . 68. 设y=e f 卜且f(x 二阶可导,则y"=() A . e f (x ) B . e f *)f "(x ) C . e f (x )〔f "(x f "(x jD . e f (x X 【f *(x 9 + f*(x 》e axx < 09. 若f"〔b+sin2x, x,0在x=°处可导'则a,b的值应为()717118.210. 若函数f x 在点X o 处有导数,而函数 g x 在点X o 处没有导数,则 F X 二 f X g X , G X A f X — g X 在 x ° 处()A .一定都没有导数B . 一定都有导数C .恰有一个有导数D .至少一个有导数11. 函数fx 与g X 在X o 处都没有导数,则Fx 二fx^gx , G x i= f x -g x 在 X o 处()A .一定都没有导数B . 一定都有导数C .至少一个有导数D .至多一个有导数12. 已知F x 二f !g x 1,在x 二X 。
第三章导数与微分[单选题]1、设函数,则高阶导数=()A、12!B、11!C、10!D、0【从题库收藏夹删除】【正确答案】 D【您的答案】您未答题【答案解析】本题考察高阶导数计算.因为多项式的最高次幂为11,故=0.[单选题]2、f(x)=4x-x3在点(-1,-3)处的切线方程为( )A、y=x-2B、y=x+2C、y=-x+2D、y=-2x+1【从题库收藏夹删除】【正确答案】 A【您的答案】您未答题【答案解析】f(x)=4x-x3, f(-1)=-4+1=-3,故(-1,-3)在所给的曲线上. 又f ' (x)=4-3x2故f ' (-1)=4-3=1∴过(-1,-3)的切线方程为y=(x+1)-3=x-2.[单选题]3、y=cos3x-cos3x的导数为( )A、3(sin3x-sinxcos2x)B、3(sin3x+sinxcos2x)C、3(sinx-sinxcos2x)D、3(sin3x-sin3xcos2x)【从题库收藏夹删除】【正确答案】 A【您的答案】您未答题【答案解析】 y’=(cos3x)' -(cos3x) '=3cos2x(-sinx)-(-sin3x)×3=3(sin3x-sinxcos2x)[单选题]4、设y=x n+e-x,则y(n)(0)=()A、n!+(-1)nB、n!C、n!+(-1)n-1D、n!-1【从题库收藏夹删除】【正确答案】A【您的答案】您未答题【答案解析】y(n)(x)=n!+(-1)n e-x,从而y(n)(0)=n!+(-1)n[单选题]5、设函数f(x)=arctanx,求=( )A、-2B、1C、3D、0【从题库收藏夹删除】【正确答案】A【您的答案】您未答题【答案解析】[单选题]6、设y=lnx,则y(n)=()A、(-1)n n!x-nB、(-1)n(n-1)!x-2nC、(-1)n-1(n-1)!x-nD、(-1)n-1n!x-n+1【从题库收藏夹删除】【正确答案】C【您的答案】您未答题【答案解析】y′=x-1,y′′=-1!x-2, y′′′=2!x-3,…. y(n)= (-1)n-1(n-1)!x-n[单选题]7、已知函数,则f(x)在点x=0处()A、连续但导数不存在B、间断C、导数f ’(0)=-1D、导数f ’(0)=1【从题库收藏夹删除】【正确答案】B【您的答案】您未答题【答案解析】所以,f(x)在点x=0处间断,答案为B.[单选题]8、y=(2x2-x+1)2的导数为( )A、2(2x2-x+1)(4x-1)B、(2x2-x+1)(4x-1)C、(2x2-x+1)(4x+1)D、(2x2+x+1)(4x-1)【从题库收藏夹删除】【正确答案】A【您的答案】您未答题【答案解析】y’=2(2x2-x+1)(2x2-x+1)’=2(2x2-x+1)(4x-1)[单选题]9、设函数f(x)在x0点可微是f(x)在该点可导的( )A、充分必要条件B、充分条件C、必要条件D、无关条件【从题库收藏夹删除】【正确答案】A【您的答案】您未答题【答案解析】设函数f(x)在x0点可导是f(x)在该点可微的充要条件,对于一元函数,两者是等价的。
大学微积分1试题及答案一、选择题(每题5分,共20分)1. 函数 \( f(x) = x^2 \) 的导数是:A. \( 2x \)B. \( x^2 \)C. \( \frac{1}{x} \)D. \( 2 \)答案:A2. 曲线 \( y = x^3 \) 在点 \( x = 1 \) 处的切线斜率是:A. 1B. 3C. 0D. 2答案:B3. 定积分 \( \int_{0}^{1} x^2 dx \) 的值是:A. 0B. 1C. \( \frac{1}{3} \)D. 2答案:C4. 函数 \( f(x) = e^x \) 的不定积分是:A. \( e^x \)B. \( e^x + C \)C. \( \ln(x) \)D. \( x^e \)答案:B二、填空题(每题5分,共20分)1. 函数 \( f(x) = \sin(x) \) 的导数是 ________。
答案:\( \cos(x) \)2. 曲线 \( y = \ln(x) \) 在点 \( x = e \) 处的切线斜率是________。
答案:13. 定积分 \( \int_{0}^{1} e^x dx \) 的值是 ________。
答案:\( e - 1 \)4. 函数 \( f(x) = \ln(x) \) 的不定积分是 ________。
答案:\( x\ln(x) - x + C \)三、解答题(每题10分,共60分)1. 求函数 \( f(x) = x^3 - 6x^2 + 9x + 1 \) 在 \( x = 2 \) 处的导数。
答案:首先求导数 \( f'(x) = 3x^2 - 12x + 9 \),然后将 \( x = 2 \) 代入得到 \( f'(2) = 3 \cdot 2^2 - 12 \cdot 2 + 9 = 12 - 24 + 9 = -3 \)。
2. 计算定积分 \( \int_{1}^{2} (2x + 1) dx \)。
考研数学一(一元函数的导数与微分概念及其计算)模拟试卷1(题后含答案及解析)题型有:1. 选择题 2. 填空题 3. 解答题选择题下列每题给出的四个选项中,只有一个选项符合题目要求。
1.设函数y=f(x)可微,且曲线y=f(x)在点(x0,f(x0))处的切线与直线y=2-x垂直,则=A.-1.B.0.C.1.D.不存在.正确答案:B解析:由题设可知f′(x0)=1,又△y-dy=0(△x),dy=f′(x0)△x=△x,于是==0,故应选(B).知识模块:一元函数的导数与微分概念及其计算2.设曲线y=x2+ax+b和2y=-1+xy3在点(1,-1)处相切,其中a,b是常数,则A.a=0,b=2.B.a=1,b=-3.C.a=-3,b=1.D.a=-1,b=-1.正确答案:D解析:曲线y=x2+ax+b在点(1,-1)处的斜率y′=(x2+ax+b)′|x=1=2+a.将方程2y=-1+xy3对x求导得2y′=y3+3xy2y′.由此知,该曲线在(1,-1)处的斜率y′(1)为2y′(1)=(-1)3+3y′(1),y′(1)=1.因这两条曲线在(1,-1)处相切,所以在该点它们的斜率相同,即2+a=1,a=-1.又曲线y=x2+ax+b过点(1,-1),所以1+a+b=-1,b=-2-a=-1.因此选(D).知识模块:一元函数的导数与微分概念及其计算3.设f(x0)≠0,f(x)在x=x0连续,则f(x)在x0可导是|f(x)|在x0可导的( )条件.A.充分非必要B.充分必要C.必要非充分D.既非充分也非必要正确答案:B解析:由f(x0)≠0f(x0)>0或f(x0)<0,因f(x)在点x0处连续,则f(x)在x0某邻域是保号的,即δ>0,当|x-x0|<δ时,因此应选(B).知识模块:一元函数的导数与微分概念及其计算4.设f(x)在点x=x0处可导,且f(x0)=0,则f′(x0)=0是|f(x)|在x0可导的( )条件.A.充分非必要B.充分必要C.必要非充分D.既非充分也非必要正确答案:B解析:按定义|f(x)|可导存在,即(≤0)均存在且相等因此应选(B).知识模块:一元函数的导数与微分概念及其计算5.设F(x)=g(x)φ(x),φ(x)在x=a连续但不可导,又g′(a)存在,则g(a)=0是F(x)在x=a可导的( )条件.A.充分必要B.充分非必要C.必要非充分D.既非充分也非必要正确答案:A解析:①因为φ′(a)不存在,所以不能对g(x)φ(x)用乘积的求导法则;②当g(a)≠0时,若F(x)在x=a可导,可对用商的求导法则.(Ⅰ)若g(a)=0,按定义考察则φ(x)=g′(x)φ(a),即F′(a)=g′(a)φ(a).(Ⅱ)再用反证法证明:若F′(a)存在,则必有g(a)=0.若g(a)≠0,由商的求导法则即知φ(x)=在x=a可导,与假设条件φ(a)在x=a处不可导矛盾.因此应选(A).知识模块:一元函数的导数与微分概念及其计算6.函数f(x)=(x2-x-2)|x3-x|的不可导点有A.3个.B.2个.C.1个.D.0个.正确答案:B解析:按定义考察.在x=0处,=(x2-x-2)|x2-1|,于是故f′+(0)≠f′-(0).因此f(x)在x=0不可导.在x=1处,=(x2-x-2)|x2+x|,于是f′+(1)==-2×2×1=-4,f′-(1)==-2×2×(-1)=4.故f′+(1)≠f′-(1).因此f(x)在x=1不可导.在x=-1处,=(x2-x-2)|x2-x|,因为[(x2-x-2)|x2-x|]=0×2=0,而且为有界变量,于是f′(-1)==0.因此f(x)在x=-1可导.应选(B).知识模块:一元函数的导数与微分概念及其计算7.设f(x+1)=af(x)总成立,f′(0)=b,a,b为非零常数,则f(x)在点x=1处A.不可导.B.可导且f′(1)=a.C.可导且f′(1)=b.D.可导且f′(1)=ab·正确答案:D解析:按定义考察因此,应选(D).知识模块:一元函数的导数与微分概念及其计算填空题8.请用等价、同阶、低阶、高阶回答:设f(x)在x0可微,f′(x0)≠0,则△x→0时f(x)在x=x0处的微分与△x比较是( )无穷小,△y=f(x0+△x)-f(x0)与△x比较是( )无穷小,△y—df(x)|x=x0与△x比较是( )无穷小.正确答案:同阶同阶高阶解析:df(x)|x=x0=f′(x0)△x,由=f′(x0)≠0知这时df(x)|x=x0与△x是同阶无穷小量;按定义=f′(x0)≠0,故△y与△x也是同阶无穷小量;按微分定义可知差△y-df(x)|x=x0=0(△x)(△x→0)是比△x高阶的无穷小.知识模块:一元函数的导数与微分概念及其计算9.设=__________.正确答案:Acosb解析:补充定义f(a)=b,则有f′(a)==A.于是=[sinf(x)]′|x=a=cosf(a).f′(a)=Acosb.知识模块:一元函数的导数与微分概念及其计算10.设y=f(lnx)ef(x),其中f(x)可微,则dy=__________.正确答案:ef(x)[f′(lnx)+f′(x)f(lnx)]dx解析:利用一阶微分形式不变性,可得dy=d[f(lnx)ef(x)]=ef(x)[df(lnx)]+f(lnx)def(x) =ef(x)[f′(lnx)dlnx]+f(lnx)ef(x)df(x) =ef(x)[f′(lnx)+f′(x)f(lnx)]dx.知识模块:一元函数的导数与微分概念及其计算11.若y=f(x)存在反函数,且y′≠0,y″存在,则=___________.正确答案:解析:设y=f(x)的反函数是x=φ(y),则反函数的导数可由复合函数求导法则求出:因此知识模块:一元函数的导数与微分概念及其计算12.设函数f(x)有任意阶导数且f′(x)=f2(x),则f(n)(x)=___________(n>2).正确答案:n!fn+1(x)解析:将f′(x)=f2(x)两边求导得f″(x)=2f(x)f′(x)=2f3(x),再求导得(x)=3!f2(x)f′(x)=3!f4(x).由此可归纳证明f(n)(x)=n!fn+1(x).知识模块:一元函数的导数与微分概念及其计算13.对数螺线r=eθ在点(r,θ)=处的切线的直角坐标方程为___________.正确答案:y=-x解析:对数螺线的参数方程为于是它在点处切线的斜率为当θ=时x=0,y=.因此该切线方程为y=-x.知识模块:一元函数的导数与微分概念及其计算解答题解答应写出文字说明、证明过程或演算步骤。
1. 13arctan )1()(2+--=x x x x f ,求f’(1) 2. 设1lim )()1()1(2+++=--∞>-x n x n n e b ax e x x f 是区间),(+∞-∞内是可导函数,试确定常数a,b 3. 设f(x)是周期为2的周期函数,且在点x=1处连续,22cos ]3)(ln[lim 1=+>-xx f x π,求曲线y=f(x)在(-1,f(-1))处的切线方程。
4. 设函数在),(+∞-∞内有定义,对任意的x,y 都有)()()(x f e y f e y x f y x +=+,e f =)0(',求f (x )的表达式5. 设函数0,)(;0,)()(==≠-=-x a x f x x e x x f xϕ,其中的)(x ϕ具有二阶导数,且1)0(',1)0(-==ϕϕ1) 确定常数a 的值,使得f (x )在x=0时连续2) 求f’(x);3) 讨论f’(x)在区间),(+∞-∞内的连续性6. 设函数)()()(x g x f x F =,如果f(x)在x 0点可导,g (x )在x 0点连续不可导,证明:F(x)在x 0点可导⇔f(x 0)=07. 设曲线y=f(x)与曲线y e y x =-++)14tan(π在(1,0)处有公切线. 1)求公切线方程2)计算极限)1(lim +∞>-n n nf n 8. 设f(x)是周期为3的连续函数,在点x=0的某一邻域内恒有x x x f x f 2tan 6)tan 1(2)tan 1(+=--+,已知f(x)在点x=1处可导,求曲线y=f(x)在点(10.f(10))处的切线方程。
9. 设函数f(x)在x ≤x 0时具有二阶导数,00200,)()()(;),()(x x c x x b x x a x F x x x f x F >+-+-=≤=,试确定常数a ,b ,c ,使得F(x)在x 0处二阶可导。
第三章 导数与微分测试题一、选择题(每小题4分,共20分)1、若0()3f x '=-,则000()()lim h f x h f x h→--=( ) (A )3- (B ) 3 (C )6 (D )-92、设tan 2y x =,则='y ( )(A )2sec 2x (B )2sec 2x (C )2sec x (D )22sec 2x3、设),(sin x f y =则=dy ( )(A ) dx x f )(sin '(B ) xdx x f cos )(sin '- (C ) x d x f sin )(sin ' (D ) xdx x f sin )(sin '4、设)0()(32>=x x x f , 则(4)f '=( )(A )2 (B )3 (C )4 (D )55、设)100()4)(3)(2)(1()(++-+-=x x x x x x x f ,则(0)f '=( )(A )1 (B )100! (C )0 (D )50!二、填空题(每小题4分,共20分)1、3333log 3-++=x x y x ,则y '=______________..2、4(2)d x -=_________ dx3、设函数)1ln()(2x x f +=,当=x ______时,该函数的导函数等于零。
4、若函数4x y =,则=)4(y _______.5、求抛物线2y x =在2x =-处的切线方程为_____________.三、解答下列各题(每小题8分,共56分)1、设x e x e y x x-=ln ,求y ' 2、已知x y 1arctan =,则1|'-=x y =_______3、设22sin cos 1tan 1cot x x y x x=+++,求y '' (提示,可先通分化简再求导) 4、设⎩⎨⎧≥+<+-=1,11,)(22x ax x bx x x f ,试求常数a 、b 的值,使)(x f 在1=x 处可导.5、求x xy =)cos(,求dxdy 6、设函数x x y cos 3)1(+=,求'y7、某产品的需求函数和总成本函数分别为q q C p q 205000)(,10800+=-= 求利润函数和边际利润函数,并计算150=q 时的边际利润。
导数与微分测试题(一)
一、选择题(每小题4分,共20分)
1、
设函数10
()10
2
x x f x x ≠⎪=⎨⎪=⎪⎩ 在0x =处( )
A 、不连续;
B 、连续但不可导;
C 、二阶可导;
D 、仅一阶可导; 2、若抛物线2
y ax =与曲线ln y x =相切,则a 等于( ) A 、1; B 、
12; C 、12e
; D 、2e ; 3、设函数()ln 2f x x x =在0x 处可导,且0()2f x '=,则0()f x 等于( )
A 、1;
B 、
2e ; C 、2
e
; D 、e ; 4、设函数()f x 在点x a =处可导,则0()()
lim x f a x f a x x
→+--等于( )
A 、0;
B 、()f a ';
C 、2()f a ';
D 、(2)f a ';
5、设函数()f x 可微,则当0x ∆→时,y dy ∆-与x ∆相比是( ) A 、等价无穷小; B 、同阶非等价无穷小;
C 、低阶无穷小;
D 、高阶无穷小; 二、填空题(每小题4分,共20分) 1、设函数()f x x x =,则(0)f '=______; 2、 设函数()x
f x xe =,则(0)f ''=______;
3、 设函数()f x 在0x 处可导,且0()f x =0,0()f x '=1,则
01
lim ()n nf x n
→∞+=______; 4、 曲线2
28y x x =-+上点______处的切线平行于x 轴,点______处的
切线与x 轴正向的交角为
4
π。
5、 d ______ = x
e dx - 三、解答题
1、(7分)设函数()()()
,()f x x a x x ϕϕ=-在x a =处连续,
求()f a '; 2、(7分)设函数()a
a
x
a x a f x x a a =++,求()f x '; 3、(8分)求曲线 sin cos 2x t y t
=⎧⎨
=⎩ 在 6t π
= 处的切线方程和法线方程;
4、(7分)求由方程 1
sin 02
x y y -+=所确定的隐函数y 的二阶导数22d y dx
5、(7分)设函数12
12()()
()n a a
a n y x a x a x a =---,求 y '
6、(10分)设函数2
1
2
()12
x x f x ax b x ⎧≤
⎪⎪
=⎨
⎪+>
⎪⎩
,适当选择,a b 的值,使得()f x 在1
2
x =
处可导 7(7分)若2
2
()()y f x xf y x +=,其中 ()f x 为可微函数,求dy 8、(7分)设函数()f x 在[,]a b 上连续,且满足
()()0,()()0f a f b f a f b +-''==•>,证明:()f x 在(,)a b 内至少存在一点c ,使得 ()0f c =
导数与微分测试题及答案(一)
一、1-5 CCBCD
二、1. 0; 2. 2; 3. 1; 4.(1,7)、329
(,
)24
; 5. x e --; 三、1. 解:()()()()
()lim
lim ()x a x a f x f a x a x f a a x a x a
ϕϕ→→--'===--;
2. 解:1
12()ln ln a
a x
a a a x x a f x a x ax a a a a a --'=++;
3. 解:当6
t π=
时,曲线上的点为 11(,)22
;
切线的斜率666
2sin 22cos t t t dy
dy t dt k dx dx t dt πππ===-====-, 所以,切线方程 11
2()22y x -=--, 即 4230x y +-=;
法线方程 111
()222
y x -=- , 即 2410x y -+=;
4. 解:方程的两边对x 求12
1cos 022cos dy dy dy y dx dx dx y
-
+=⇒=- 继续求导 2223
24sin sin (2cos )(cos 2)
d y dy y
y dx y dx y =-=-- 5. 解:两边取对数 1122ln ln()ln()ln()n n y a x a a x a a x a =-+-++-
方程的两边对x 求导
1212
1
n
n
a a a y y x a x a x a '=+++
---,则 1211
12()(())()i
n n
a n i i i i n i a a a a
y y x a x a x a x a x a =='=++
+=-----∑∏ 6. 解:因为 可导一定连续,则
2112
2
11
11
(0)lim(),
(0)lim 2224x x f ax b a b f x →
→
+=+=+-==
所以
1111
,2442
a b b a +==- 由可导知
1
112
22
11111
()
1
44242()lim lim lim 1112222
x x x ax b ax a a x f a x x x +→→→
+-
+---'====---
212
1
14()lim
11
22x x f x -→-
'==- 所以 11,4a b ==- 即当11,4a b ==-时,函数()f x 在1
2
x =处可导。
7. 解:两边微分得2
2()()()()2yf x dy y f x dx f y dx xf y dy xdx ''+++=即
22()()
2()()
x y f x f y dy dx yf x xf y '--='+
8. 证明:因为 ()()0f a f b +-''•>,不妨设 ()0,()0f a f b +-''>>
()()()
()lim
lim 0x a
x a f x f a f x f a x a
x a +→+→+-'==>--,则存在 10δ>, 当 11(,)x a a δ∈+时,
11()
0f x x a
>-,又因为1x a >,所以 1()0f x > 同理可知 存在 20δ>,当 22(,)x b b δ∈-时,
22()
0f x x b
>-,又因为2x b <,所以 2()0f x <,取适当小的12,δδ,使得 12a b δδ+<-,则 12x x <,因为()f x 在[,]a b 上连续,则()f x 在12[,]x x 上连续,且1()0f x >,2()0f x <由零点存在定理知 至少存在一点c ,使得
()0f c =,证毕。