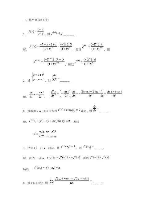
高等数学导数与微分练习题
- 格式:doc
- 大小:370.00 KB
- 文档页数:6
一. 填空题(理工类)1. , 则= _______.解. , 假设, 则, 所以2. 设, 则______.解. ,3. 设函数y = y(x)由方程确定, 则______. 解. , 所以4. 已知f(-x) =-f(x), 且, 则______.解. 由f(-x) =-f(x)得, 所以所以5. 设f(x)可导, 则_______.解.=+=6. 设, 则k = ________.解. , 所以所以7. 已知, 则_______.解. , 所以. 令x2= 2, 所以8. 设f为可导函数, , 则_______.解.9. 设y = f(x)由方程所确定, 则曲线y = f(x)在点(0, 1)处的法线方程为_______.解. 上式二边求导. 所以切线斜率. 法线斜率为, 法线方程为, 即 x-2y + 2 = 0.二. 单项选择题(理工类)1. 设f(x)可导, F(x) = f(x)(1+|sin x|), 则f(0) = 0是F(x)在x = 0处可导的(a) 充分必要条件 (b) 充分但非必要条件 (c) 必要但非充分条件(d) 既非充分又非必要条件解. 必要性:存在, 所以=, 于是======所以, 2f(0) = 0, f(0) = 0充分性:已知f(0) = 0, 所以========所以存在. (a)是答案.2. 已知函数f(x)具有任意阶导数, 且, 则当n为大于2的正整数时, f(x)的n阶导数是(a) (b) (c) (d)解. , 假设=, 所以=, 按数学归纳法=对一切正整数成立. (a)是答案.3. 设函数对任意x均满足f(1 + x) = af(x), 且b, 其中a, b为非零常数, 则(a) f(x)在x = 1处不可导 (b) f(x)在x = 1处可导, 且 a(c) f(x)在x = 1处可导, 且 b (d) f(x)在x = 1处可导, 且ab解. 在f(1 + x) = af(x)中代入=, 所以. (d)是答案注: 因为没有假设可导, 不能对于二边求导.4. 设, 则使存在的最高阶导数n为(a) 0 (b) 1 (c) 2 (d) 3解. .所以n = 2, (c)是答案.5. 设函数y = f(x)在点x0处可导, 当自变量x由x0增加到x0+ ∆x时, 记∆y为f(x)的增量, dy为f(x)的微分, 等于(a) -1 (b) 0 (c) 1 (d) ∞解. 由微分定义∆y = dy + o(∆x), 所以. (b)是答案.6. 设在x = 0处可导, 则(a) a = 1, b = 0 (b) a = 0, b为任意常数 (c) a = 0, b = 0 (d) a = 1, b为任意常数解. 在x = 0处可导一定在x = 0处连续, 所以, 所以b = 0., , 所以 0 = a. (c)是答案.7. 设f(0) = 0, 则f(x)在x = 0处可导的充要条件为(a) h)存在. (b) 存在.(c) h)存在. (d) 存在.解. 由存在可推出(a)中的极限值为, (b)中的极限值为 , (d)中的极限值为, 而(c)中的极限为:;反之(a) 及(c)中的极限值存在, 不一定存在, 举反例如下: y = |x|, 不存在, (a)、(c)二表达式的极限都存在排除(a)及(c). (d)中的极限存在, 不一定存在, 举反例如下: , 排除(d). 所以(b)是答案.由(b)推出存在证明如下:==所以存在.8. 设函数f(x)在(-∞, +∞)上可导, 则(a) 当时, 必有(b) 当时, 必有(c) 当时, 必有(d) 当时, 必有解. (a)不正确. 反例如下: y = x; (b)不正确. 反例如下: ; (c)不正确. 反例如下: ; (d)是答案. 证明如下: 因为, 所以对于充分大的x,单增. 如果, 则证明结束, 否则单增有上界, 则存在(k为有限数). 任取x, 在区间[x, x + 1]上用拉格朗日定理(x < ξ < x + 1)令x → +∞, 于是0 = +∞, 矛盾. 所以.9. 设函数f(x)在x = a处可导, 则函数|f(x)|在x = a处不可导的充分条件是(a) f(a) = 0且. (b) f(a) = 0且.(c) f(a) > 0且. (d) f(a) < 0且.解. (a) 反例f(x) = 0, 取a = 0. 排除(a); (c) 反例: , 取a = 0. f(0) = 1 > 0, , |f(x)| = f(x), 在x = 0可导. 排除(c); (d) 反例: , 取a = 0. 排除(d); 所以(b)是答案. 对于(b)证明如下: 在(b)的条件下证明不存在.不妨假设. . 所以存在δ, 当x ∈ (a-δ, a + δ)时. 所以当x> a时, f(x) > 0. 于是. 当x < a时f(x) < 0. 于是. 所以不存在.三. 计算题(理工类)1.解.2. 已知f(u)可导,解.=3. 设y为x的函数是由方程确定的, 求. 解., 所以4. 已知, 求.解. ,5. 设, 求解. ,6. 设函数f(x)二阶可导, , 且, 求, .解. , 所以=3.所以7. 设曲线x = x(t), y = y(t)由方程组确定. 求该曲线在t = 1处的曲率.解. . 所以所以.所以. 在t = 1的曲率为四. 已知, 其中g(x)有二阶连续导数, 且g(0) = 1(1) 确定a 的值, 使f(x)在x = 0点连续; (2) 求.解. (1) f(x)在x = 0点连续, 所以,所以, 所以g(0) = cos 0 = 1(这说明条件g(0) = 1是多余的). 所以=(2) 方法1:=== (0 < ξ < x)=所以方法2:====五. 已知当x≤ 0时, f(x)有定义且二阶可导, 问a, b, c为何值时二阶可导.解. F(x)连续, 所以, 所以c = f(-0) = f(0);因为F(x)二阶可导, 所以连续, 所以b = , 且存在, 所以, 所以, 所以六. 已知.解., k = 0, 1, 2, …, k = 0, 1, 2, …七. 设, 求.解. 使用莱布尼兹高阶导数公式=所以。
一、单项选择题1.0lim()x x f x A →=,则必有( ).(A )()f x 在0x 点的某个去心邻域内有界. (B) ()f x 在0x 点的任一去心邻域内有界.(C)()f x 在0x 点的某个去心邻域内无界. (D) ()f x 在0x 点的任一去心邻域内无界.2.函数⎩⎨⎧≥+<=0)(x x a x e x f x ,要使()f x 在0x =处连续,则a =( ).(A) 2. (B) 1. (C) 0. (D) -1.3.若()()F x f x '=,则()dF x =⎰( ).(A )()f x . (B) ()F x . (C) ()f x C +. (D) ()F x C +4.方程 410xx --=至少有一根的区间是( ).(A ) 10,2⎛⎫ ⎪⎝⎭. (B )1,12⎛⎫⎪⎝⎭. (C )(2,3). (D )(1,2).二、填空题1. 设()f x 在0x x =处可导,则0lim x x y →∆= .2. 某需求曲线为1002000Q P =-+,则当10P =时的弹性为 .3. 曲线3267yx x =+-在0x =处的法线方程为 .4.2sin 2x t d e dt dx⎰= . 三、求下列极限(1)2211lim 21x x x x →---.(2)1lim(1)2x x x→∞-.(3) 0sin 2lim ln(1)x xx →+. 四、求下列导数和微分(1)已知3cos x y x=, 求dy . (2)求由方程l n2xyy e =+所确定的函数()y f x =的导数dy dx .五、求下列积分(1)221(sec )1x dx x++⎰.(2)20⎰ . (3)sin ⎰. 六、求函数()x f x xe -=的单调区间和极值.七、求由直线2yx =和抛物线2y x =所围成的平面图形的面积.八、证明:当0x >时,(1)l n (1)x x x++>.九、某种商品的成本函数23()200030.010.0002c x x x x =+++(单位:元),求生产100件产品时的平均成本和边际成本.一、 A . B . D . D . 二、(1)0. (2)-1. (3)0x=. (4)] 2sin cos x e x ⋅.三、求极限(1)解:原式=11(1)(1)12limlim (21)(1)213x x x x x x x x →→-++==+-+ (2)解:原式= 111222220011lim[(1)][lim(1)]22x xx x e x x -----→→-=-= (3)解:这是未定型,由洛必达法则原式=00cos 22limlim2(1)cos 2211x x x x x x →→⋅=+=+四、求导数和微分(1)解:23l n3c os 3sin(c os )x xx xy x +'=,23ln3cos 3sin (cos )x x x x dy dx x += (2)解:方程两边对x 求导,()xyy e y xy ''=+, 1xyxyye y xe '=-五、积分1.原式=221sec xdx dx +⎰⎰=tan arctan x x c ++ 2.原式=220118(4)x --=-=⎰3.t =,2,2x t dx tdt ==原式=sin 22(cos )2cos 2cos t tdt td t t t tdt⋅=-=-+⎰⎰⎰2c o s 2s in 2int t t C C=-++=-六、解: 函数定义域为(),-∞+∞,()(1)x x x f x e xe e x ---'=-=- 1x =是驻点 可列表讨论:单调增区间(,1)-∞单调减区间(1,)+∞极大值1(1)f e=. 七、解:解方程组22y x y x =⎧⎨=⎩得交点坐标(0,0) (2,4) 23222004(2)33x A x x dx x ⎡⎤=-=-=⎢⎥⎣⎦⎰ 八、 证明:设 ()(1)ln(1)f x x x x =++- 当0>x 时,()l n (1)11l n (1)0f x x x '=++-=+>故原函数是增函数,0>x ,即()(0)0f x f >= 即(1)ln(1)0x x x ++-> 故 当0x >时,(1)l n (1)x x x++>.九、解:23200030.010.0002()x x x c x x+++=, 23200031000.011000.0002100(100)100c +⨯+⨯+⨯==262'()30.020.0006c x x x =++ 2'(100)30.021000.000610011c =+⨯+⨯=一、单项选择题1. 无穷小量是( ). (A )比零稍大一点的一个数. (B )一个很小很小的数.(C )以零为极限的一个变量. (D )数零.2.下列函数中当0x +→时为无穷大的函数是( ). (A) 21x--. (B) sin 1sec x x+. (C) xe -. (D) 1x e .3.()f x x =在点0x =处的导数( ). (A)1 . (B) 0. (C) -1.. (D) 不存在.4. x 0为驻点是可导函数f x ()在x 0处取得极值的( ). (A) 充要条件. (B) 充分条件. (C) 必要条件. (D) 即非充分又非必要.二、填空题1.0x =是函数1,10(),01x x f x x ⎧--≤<⎪=≤<的第 类间断点.2.设某种商品的需求函数为220Q P =-,则5P =时的边际需求为 . 3.已知曲线3223x y x =-+,则其上切线平行于x 轴的点的坐标为 .4.1-=⎰ . 三、求下列极限1.1lim x →23321x x x +++. 2.23lim(1)x x x →∞-.3.00lim sin xtx e dt x -→⎰. 四、求下列导数和微分1.已知ta n c o s2y x x =⋅, 求dy .2.求由参数方程233cos 2sin x ty t⎧=⎪⎨=⎪⎩所确定的函数()y f x =的导数 dy dx .五、求下列积分1.32x x e dx ⎰. 2.3(dxx +⎰. 3.21ln x xdx ⎰. 六、求函数arctan yx =的凹凸区间和拐点.七、求由抛物线 2x y=与直线22y x =-所围成平面图形的面积.八、证明:当0x >时,2ln(1)2x x x -<+.九、某商品每月销售x 件的收入函数为100()1000,xR x xe-=问每月销售多少件商品时,可使收入最大?一、C. D . D . C . 二、(1)一. (2)—10 . (3)()0,2、22,3⎛⎫⎪⎝⎭.(4)0. 三、求极限 (1)解:因为函数()f x =23321x x x +++在点1x =处连续,故1lim x →2332132(1)3111x x f x ++++===++(2) 原式=(3)2663333lim[1()][lim(1)]xxx x e xx --⋅---→∞→∞+-=-= (3)解: 这是一个未定型,由洛必达法则原式=000lim lim 1cos limcos xxx x x e ex x--→→→== 四、求导数和微分(1)解:22seccos2tan (sin 2)2sec cos22tan sin 2y x x x x x x x x '=+-⋅=-2sec cos 22tan sin 2dy x x x x dx ⎡⎤=-⎣⎦(2)解:2236sin ,6cos dx dy t t t t dt dt=-=,233226cos cos 6sin sin dy t t t t dx t t t ==--五、积分1.原式=33311()33x x e d x e C =+⎰ 2.原式=1323ln 2arcsin dx x x C x +=++⎰3.原式=222222211111ln ln ()ln 222x x x x xdx xd x dx x ⎡⎤==-⋅⎢⎥⎣⎦⎰⎰⎰=22132ln 22ln 244x ⎡⎤-=-⎢⎥⎣⎦六、解:函数定义域为(,)-∞+∞,211y x '=+,222(1)xy x -''=+,令0y ''=得0x =,0x =把定义区间分成两部分(,0)(0,)-∞⋃+∞.可表示为:凹区间(,0)-∞,凸区间(0,)+∞,拐点(0,0).七、解:222y x y x⎧=⎪⎨=-⎪⎩交点()1,1-,()1,1 由定积分的几何意义可得1122210(2))4(1)A x x dx x dx -⎡⎤=--=-⎣⎦⎰⎰1308433x x ⎡⎤=-=⎢⎥⎣⎦八、证:设2()ln(1)2x f x x x =+-+当0x > 21()1011x f x x x x'=-+=>++ 故)(x f 在定义域内单增,即()(0)0f x f >=2ln(1)02x x x +-+>,即当0x >时,2ln(1)2x x x -<+ 九、解:1001001'()1000()100x xR x e xe --⎡⎤=+⋅-⎢⎥⎣⎦=1001000(1)100x x e --令'()0R x =,得驻点x=100 由于收入的最大值存在,而收入函数的驻点仅有一个,故函数在驻点x=100处取得最大值,最大值为:R(100)=1005100101000100e e-⨯⨯=36862≈ 即每月销售100件商品时,可使收入最大为36862.一、单项选择题 1.任意给定0M>,总存在着0X >,当x X<-时,()f x M<-,则( ).(A )lim ()x f x →-∞=-∞ . (B )lim ()x f x →∞=-∞.(C )lim ()x f x →-∞=∞.(D )lim ()x f x →+∞=∞.2.点1x =是函数31,1()1,13,1x x f x x x x ⎧-<⎪==⎨⎪->⎩ 的( ). (A) 连续点. (B) 第一类非可去间断点. (C) 可去间断点. (D) 第二类间断点. 3.设0()2f x '=,则000()()limh f x h f x h →--= ( ).(A )-2. (B )4. (C )2. (D )12.4.罗尔定理中的条件:()f x 在[],a b 上连续,在(,)a b 内可导,且()()f a f b =,是()f x 在(,)a b 内至少存在一点ξ,使得()0f ξ'=成立的( ).(A)必要条件. (B) 充分条件. (C)充要条件. (D)无关条件.二、填空题1.0x →时,2352x x -是x 的 阶无穷小. 2.设某种商品的成本函数C(x)= 210004x ++x=100件产品的边际成本是 . 3.()f x dx '=⎰=. 4.2cos x d tdt dx =⎰.三、求下列极限1.sin lim n xx →∞. 2.[]lim ln(2)ln x x x x →∞+-. 3.201lim cos31x x e x →--. 四、求下列导数和微分(1)已知ln(y x =, 求dy .(2)求由方程cos sin y y x =+所确定的函数()y f x =的导数dydx. 五、求下列积分(1)()xxeex dx --⎰.(2)2. (3)1ln 1e x dx x +⎰. 六、求函数32231214y x x x =+-+的单调区间和极值.七、求由直线x y =和曲线y =所围成的平面图形绕x 轴旋转所得旋转体的体积.八、证明:当1x>时,2(1)2x e e x >+.(7分)九、设某商品的需求函数为402Q p =-,其中p 为价格,试求:(1)需求量对价格的弹性;(2)价格p=15元时需求量对价格的弹性,此时是提价还是降价会使收入增加。
习题3-11.设某产品的总成本C 是产量q 的函数:2+1C q =,求 (1) 从100q =到102q =时,自变量的改变量q ∆; (2) 从100q =到102q =时,函数的改变量C ∆; (3) 从100q =到102q =时,函数的平均变化率; (4) 总成本在100q =处的变化率. 解:(1) q ∆=102-100=2,(2) (102)(100)C C C ∆=-=22102+1)-(100+1)=404((3) 函数的平均变化率为00()()4042022C q q C q C q q +∆-∆===∆∆. (4) 总成本在100q =处的变化率为100()(100)lim 100q C q C q →--22100100100lim lim (100)200100q q q q q →→-==+=- 2.设()f x =(4)f '.解44()(4)(4)lim4x x f x f f x →→-'==-412x →==3.根据函数导数定义,证明(cos )sin x x '=-.证 根据函数导数定义及“和差化积”公式,得0cos()cos (cos )limh x h x x h →+-'=0sin2limsin()22h hhx h →=-+⋅sin x =-.4.已知()f a k '=,求下列极限:(1) 0()()lim;x f a x f a x→-- (2) 0()()lim x f a x f a x x→+--解 (1) 00()()()()limlim ();x x f a x f a f a x f a f a k x x →→----'=-=-=-- (2) 0()()lim x f a x f a x x →+--=0()()()()lim x f a x f a f a f a x x →+-+--00()()()()lim lim x x f a x f a f a x f a x x→→+---=+-()()2f a f a k ''=+= 5.已知.0)0(=f (0)1f '=,计算极限0(2)lim.x f x x→ 解 00(2)(2)(0)lim=2lim 2(0)22x x f x f x f f x x →→-'== 6.求下列函数的导数: (1) 5y x =;(2) y =(3) x y e -=; (4) 2x x y e =; (5) lg y x =;(6) sin 4y π=解(1) ()545x x '=;(2) 31443()4x x -''==;(3) 1()ln x x x e e e e ----'==-;(4) (2)[(2)](2)ln(2)2(ln 21)x x x x x x e e e e e ''===+;(5) 1(lg )ln10x x '=; (6)(sin )04π'=7.问函数⎩⎨⎧=,,sin )(x x x f 00≥<x x 在0=x 处是否可导?如可导,求其导数.解 考察0=x 处的左、右导数(0)f -'=0(0)(0)lim h f h f h -→+-0sin lim 1,h hh-→==(0)f +'=0(0)(0)lim h f h f h+→+-0lim 1h h h +→==, 所以,函数在0=x 处的可导,且(0)1f '=.8.讨论函数2,0()2,011,1x x f x x x x x ⎧-≤⎪=<<⎨⎪+≥⎩在点0=x 和1x =处的连续性与可导性.解 (1)考察0=x 处的左、右导数(0)f -'=0(0)(0)lim h f h f h-→+-0lim 1,h hh -→-==-(0)f +'=0(0)(0)limh f h f h+→+-02lim 2h hh +→==, 所以,函数在0=x 处不可导;又0lim ()lim ()0(0)x x f x f x f -+→→===,所以,函数在0=x 处连续. (2) 考察1x =处的左、右导数(1)f -'=1()(1)lim 1x f x f x -→--122lim 2,1x x x -→-==-(1)f +'=1()(1)lim 1x f x f x +→--21(1)2lim 2,1x x x +→+-==- 所以,函数在1x =处的可导,且(1)2f '=.9.求等边双曲线x y 1=在点⎪⎭⎫⎝⎛2,21处的切线的斜率, 并写出在该点处的切线方程和法线方程.解 由导数的几何意义,得切线斜率为31/21x x k y x =='⎛⎫'== ⎪⎝⎭1/2214x x ==-=-.所求切线方程为,⎪⎭⎫ ⎝⎛--=-2142x y 即.044=-+y x法线方程为,⎪⎭⎫⎝⎛-=-21412x y 即.01582=+-y x10.求曲线ln y x =在点(),1e 处的切线与y 轴的交点. 解 曲线ln y x =在点(),1e 处的切线斜率为111x x ek y x e==⎛⎫'=== ⎪⎝⎭故切线方程为11()y x e e-=-.上式中,令0x =,得0y =.所以,曲线ln y x =在点(),1e 处的切线与y 轴的交点为()0,0.习题3-21.求下列函数的导数:(1) 23sin y x x x =+-;(2) y =;(3) ln 2s t +; (4) cos ln y x x x =⋅(5) 11x y x +=-; (6) 21x e y x =+解 (1) y '=23cos x x +-;(2) 57332422()2()()353y x x x x x x ----''''=+-=+-;(3) sin )0s t t '''=+=t ; (4) cos ln (cos )cos (ln )y x x x x x x x ''''=⋅+⋅cos ln sin ln cos x x x x x x =⋅-⋅+ (5) 22(1)(1)(1)(1)2(1)(1)x x x x y x x ''+--+--'==--; (6) 22222()(1)(1)1(1)x x xe e x x e y x x ''+-+'==++ 222222(1)2(1)(1)(1)x x xe x xe x e x x +--==++ . 2.求下列函数在给定点处的导数: (1) arccos ,y x x =求12x y =';(2) tan sec ρθθθ=+,求4;d d πθρθ=(3) ()f x =(0)f '. 解 (1) y '=arccos +(arccos )x x x x ''=arccos x12x y ='=11arccos2-3π(2)2d tan sec sec tan d ρθθθθθθ=++4d 121d 4πθρπθ==+⋅+=2π(3) 331()ln(1)22x f x x e =-+,333()22(1)x f x e '=-+ 故(0)f '333(0)22(11)4f '=-=+3.曲线32y x x =-+上哪一点的切线与直线210x y --=平行?解 231y x '=-,令2y '=,即231=2x -,得=1x 或=-1x ,代入原曲线方程都有:2y =,故所求点为:()1,2或()-1,2.4.求下列函数的导数: (1) x y sin ln =;(2) 310(1)y x =-;(3) 23(cos )y x x =+;(4) y =(5) 22sin sin y x x =⋅; (6) 2tan[ln(1)]y x =+ ;(7) 1sin 2x y = ;(8)ln x xy e=;(9)ln(y x =;(10))0(arcsin 22222>+-=a ax a x a x y 解(1) y '=()1sin sin x x '⋅cos cot sin x x x==; (2) 39323910(1)(1)30(1)y x x x x ''=--=-; (3) 2223(cos )(cos )y x x x x ''=++223(cos )(12cos (sin ))x x x x =++⋅-223(cos )(1sin 2)x x x =+-;(4) 211ln(2)ln(1)32y x x ==--+y '=221(1)3(2)21x x x '-+-+=213(2)1x x x --+; (5) 2222sin cos sin sin cos 2y x x x x x x '=⋅+⋅⋅222sin 2sin 2sin cos x x x x x =⋅+⋅;(6) 222sec [ln(1)][ln(1)]y x x ''=+⋅+=222222212sec [ln(1)](1)sec [ln(1)]11x x x x x x'+⋅+=+++ ; (7) 1sin 12ln 2(sin )xy x ''=⋅=1sin 112ln 2cos ()xx x'⋅1sin22ln 21cos xx x =-;(8)ln ()ln x x x y e x ''= ln 2ln (ln )ln x x x x x x e x ''-==ln 2ln 1ln xx x e x-;(9)y x ''=22'==+;(10)22y '=22=+5.已知)(u f(1) (csc )y f x =; (2) (tan )tan[()]y f x f x =+.解 (1) (csc )(csc )y f x x '''=⋅=(csc )csc cot f x x x '-⋅⋅ (2) 2(tan )(tan )sec [()]()y f x x f x f x ''''=⋅+⋅=22sec (tan )sec [()]()x f x f x f x ''⋅+⋅.习题3-31.求下列由方程所确定的隐函数()y y x =的导数d d y x: (1) 4444x y xy -=-; (2); sin cos()0y x x y +-=;(3) sin 0x y e e xy --=;(4) arctan y x=.解 (1)方程两边同时对自变量x 求导,得33d d 4444d d y y x y y x x x -=--, 整理得 33d ()d y y x x y x -=+,故33d d y x y x y x+=-; (2) d d cos sin sin()(1)0d d y yy x x x y x x+⋅--⋅-= 整理求得d d y x =sin()cos sin()sin x y y xx y x---+(3) d d cos ()0d d x y y y e exy y x x x--+= 求得 d d y x =cos cos x y e y xy e x xy-+(4)2222111.(22)21()xy y x yy y x x y x'-'=+++ 整理求得 2222xy y x yy x y x y ''-+=++ 故 d d y x =x yx y+-.2.求曲线3335x xy y ++=在点(1,1)处的切线方程和法线方程.解 方程两边同时对自变量x 求导,得2233330x y xy y y ''+++=解得 d d y x =22y x y x+-+,在点(1,1)处,(1,1)1y '=-,于是,在点(1,1)处的切线方程为 11(1)y x -=--,即20x y +-=, 法线方程为 11(1)y x -=-即y x =.3.用对数求导法求下列各函数的导数d d y x: (1) sin (0)x y x x =>; (2) a x x y x a x =++;(3) y =(4) (sin )(cos )y x x y =.解 (1)等式两边取对数ln sin ln y x x =⋅两边对x 求导得11cos ln sin ,y x x x y x'=⋅+⋅ 故 s i n d 1cos ln sin d x y x x x x x x ⎛⎫=⋅+⋅ ⎪⎝⎭. (2) ()1ln a x x y ax a a x -''=++()1ln ln 1a x x axa a x x x -=++⋅+(3) []1ln(1)ln(2)ln(3)ln(4)2y x x x x =-+----- 11111121234y y x x x x ⎛⎫'=+-- ⎪----⎝⎭得11111234y x x x x ⎫'=+--⎪----⎭.(4) lnsin ln cos y x x y =lnsin cot ln cos tan y x y x y x y y ''+=-⋅ d d y x =ln cos cot tan ln sin y y x x y x-+ 4.求下列参数方程所确定的函数的导数d d yx:(1) 221x t t y t ⎧=-⎨=-⎩; (2) 33cos sin x a y a θθ⎧=⎨=⎩. 解 (1) d ()d ()y y t x x t '='212t t -=- (2) 22d ()3sin cos d ()3cos (sin )y y a x x a θθθθθθ'⋅=='⋅-=tan θ- 5.求椭圆6cos 4sin x t y t=⎧⎨=⎩在4t π=相应点处的切线方程.解 d ()d ()y y t x x t '='()()4sin 4cos 2cot 6sin 36cos t t t t t '===--'.4t π=时,切线斜率为4d 2d 3t yxπ==-,()4x π=()4y π=.故所求切线方程为2(3y x -=-- .习题3-41.求函数2x y =当x 由1改变到1.005的微分. 解 因为d d 2d ,y y x x x '== 由题设条件知 1x =,d 1.00510.005x x =∆=-= 故所求微分为 d 210.0050.0y =⨯⨯= 2.求函数sin 2y x =在0x =处的微分. 解 所求微分为00d (sin 2)d 2cos2d x x y x x x x =='===2d x 3.求下列各微分d y : (1) 3cos x y e x =; (2) 2sin 2xy x =; (3) 2ln(1)x y e-=+;(4) y = (5) 23xy e x y =+;(6) 221xy x y +=.解 (1) 33d cos d()d(cos )x x y x e e x =+=33cos 3d sin d xxx e x e x x ⋅-⋅=3(3cos sin )d x e x x x -;(2) 22244dsin 2sin 2d 2cos 2d 2sin 2d d x x x x x x x x xy x x x --== 32(cos 2sin 2)d x x x x x-=; (3) 222212d d(1)d 11x xx x xe y e xe ----=+=-++;(4) d y =2)x =+=(5)方程两边对求微分(d d )3d 2d xy e x y y x x y y +=+.整理得 (2)d (3)d xy xy xe y y ye x -=-解得 3d d 2xyxy ye y x xe y-=-;(6) 方程两边对求微分22d 2d 2d d =0y x xy y xy x x y +++.整理得 22(2)d (2)d xy x y y xy x +=-+解得 222d d 2xy y y x x xy+=-+4.计算下列各数的近似值:(1) 0.03e ;(2)解(1) 0.0310.03e ≈+=1.03;(2)==112(1)516=≈-⋅=1.975. 5.在下列等式的括号中填入适当的函数, 使等式成立.(1) d()3d x =; (2) d()2d x x =;(3) d()sin d t t ω=; (4) 2d(cos )(x =.解(1) 3x c +;(2) 2x c +;(3) 1cos t ωω-;(4) 22d(cos )2sin d x x x x =-x = 即d x =,故22d(cos )4x x =-.习题3-51.求下列函数的二阶导数:(1) 38cos y x x x =+-; (2) 2(1)arctan y x x =+; (3) 2x y xe =;(4) x y x =.解(1) 238sin y x x '=++,6cos y x x ''=+; (2) y '=2arctan 1x x +,y ''=222arctan 1xx x ++; (3) y '=2222x x e x e +,y ''=2222244x x x xe xe x e ++=222(32)x xe x +;(4) ln ln y x x =,1ln 1y x y'=+,y '=(ln 1)x x x + y ''=21()(ln 1)(ln 1)(1ln )x x x x x x x x x x x -''+++=++2. 验证函数2312x xy C e C e -=+(其中12,C C 为任意常数)满足方程60y y y '''+-=.证:23122-3x x y C e C e -'=,231249x x y C e C e -''=+232323121212(49)(2-3)6()x x x x x x C e C e C e C e C e C e ---++-+0=. 3.设函数()y f x =二阶可导,求下列函数的二阶导数: (1) (sin )y f x =; (2) 2(ln )y x f x =.解 (1)求导数d (sin )(sin )cos (sin )d yf x x x f x x'''=⋅=⋅,于是22d (cos )(sin )cos (sin )(sin )d yx f x x f x x x'''''=⋅+⋅⋅ =2cos (sin )sin (sin )x f x x f x '''⋅-⋅ (2) d 2(ln )(ln )d y xf x xf x x '=+22d d yx =2(ln )2(ln )(ln )(ln )f x f x f x f x ''''+++=2(ln )3(ln )(ln )f x f x f x '''++. 4.对下列方程所确定的函数)(x y y =求22d d yx:(1) 2y e xy e +=;(2) arctan y x=.解 (1)方程两边对x 求导0y e y y xy ''++=得 yyy e x'=-+. 因此求得222d ()(1)d ()y y y y y e x y e y x e x ''+-⋅+=-+ =2()(1)()y y y y y y y e x y e e x e x e x --+-⋅+++-+=2322()y y y xy ye y e e x +-+;(2) 方程两边对x 求导2222211()1xy yx yy y x yx x'-'+=++得 x yy x y+'=-. 因此求得222d (1)()()(1)d ()y y x y x y y x x y ''+--+-=- = 2232()()x y x y +-5.对下列参数方程所确定的函数)(x y y =求22d d yx:(1) 2323x t t y t t⎧=-⎪⎨=-⎪⎩(1)t ≠; (2) ⎩⎨⎧-=-=)cos 1()sin (t a y t t a x . 解(1) d ()d ()y y t x x t '='2333(1)222t t t -==+-. 故 22d d y x 3(1)222t t '+=-=34(1)t -; (2) d ()d ()y y t x x t '='()()1cos sin 1cos sin a t t ta t t '-==-'-. 故 22d d yxsin ()1cos (1cos )t t a t '-=- 2cos (1cos )sin sin (1cos )(1cos )t t t tt a t --⋅-=-21(1cos )a t --).,2(Z n n t ∈≠π 6.求下列函数的n 阶导数:(1) 2sin y x =; (2) ln(1)y x =+; (3) 112-=x y ; (4) (1)(2)()y x x x x n =+++ .解(1) 2()()1cos 2(sin )()2n n x x -=1cos 211()2(sin 2)2cos 2,2222x x x π-⎛⎫'=-⋅-=-⋅+ ⎪⎝⎭221cos 211()2sin 22cos 2,222222x x x πππ+⎡⎤⎛⎫⎛⎫''=-⋅-+=-⋅++ ⎪ ⎪⎢⎥⎝⎭⎝⎭⎣⎦2()()1cos 2(sin )()2n n x x +==12cos(2)2n n x π--+;(2) []1ln(1)1x x '+=+[]21ln(1)(1)x x ''+=-+ ,[](3)32ln(1)(1)x x +=+ []()1(1)!ln(1)(1)(1)n n nn x x --+=-+; (3) 21111()1211y x x x ==---+, 故()11(1)!112(1)(1)n n n n n y x x ++⎡⎤-=-⎢⎥-+⎣⎦; (4) 1(1)(2)()(12)n n y x x x x n xn x +=+++=+++++()(1)(1)!!()(1)!22n n n ny n x n x n +=++=++ 复习题3(A )1.已知0()f x k '=(k 为常数),则(1) 000(2)()limx f x x f x x∆→+∆-=∆;(2) 001lim [()()] n n f x f x n→∞+-=(3) 000()(2)lim h f x h f x h h→+--=.1.解 (1)2k ; (2) k ; (3) 3k .(1) 000000(2)()(2)()lim 2lim 2x x f x x f x f x x f x x x∆→∆→+∆-+∆-=∆∆=2k ;(2) 00001()()1lim [()()]lim 1n n f x f x n n f x f x nn→∞→∞+-+-==k ;(3) 000()(2)lim h f x h f x h h →+--=00000()()()(2)lim h f x h f x f x f x h h →+-+--000000()()(2)()lim +2lim 2h h f x h f x f x h f x h h→→+---=-=3k . 2.函数)(x f y =在点0x 处的左导数0()f x -'和右导数0()f x +'都存在,是()f x 在0x 可导的( )A . 充分必要条件;B . 充分但非必要条件;C . 必要但非充分条件;D . 既非充分又非必要条件. 2 .答C . ()f x 在0x 可导的充分必要条件是0()f x -'和0()f x +'都必须存在且相等;反之,0()f x -'和0()f x +'都存在,不能保证()f x 在0x 可导.3.函数()sin f x x =在0=x 处 ()A . 可导;B . 连续但不可导;C . 不连续;D . 极限不存在.3.答B . 函数()sin f x x =在0=x 连续;但(0)1(0)1f f -+''=-≠=,故()s i n f x x =在0=x 不可导.4.设()f x 对定义域中的任意x 均满足(1)()f x mf x +=,且(0)f n '=则必有 ( )A . (1)f '不存在;B . (1)f m '=;C . (1)f n '=;D . (1)f mn '=.4.答D . 0(1)(1)(1)limh f h f f h→+-'=00()(0)()(0)lim lim h h mf h mf f h f m h h →→--== (0)mf mn '==5.解答下列各题:(1)设ln 2y =,求y ';(2) 设a x x a y x a x a =+++(0,1)a a >≠,求d d y x; (3)设22()x y x f e =⋅,)(u f 可导,求d y ;(4) y =d d y x ;(5) 求曲线sin()0xy x y -+=在点(0)π,的切线与法线方程;(6) 已知函数)(x y y =由方程 ⎩⎨⎧==ta y t a x 33sin cos 确定,求d d y x ,22d d y x ; (7) 设(sin )cos 2csc f x x x '=+,求()f x '';(8) 设31x y x =+,求()n y (3)n ≥.5.解(1)y '=22=2cot x x ⋅(2) y '=1ln ()a x x ax a a x -'++由对数求导法,可求得()(1ln )x x x x x '=+故y '=1ln (1ln )a x x ax a a x x -+++; (3) 2222d 2d ()()d x x x y x x f e x f e e '=⋅+⋅=22222()d ()2d x x x xf e x x f e e x '+⋅⋅ =2222[()()]d x x x x f e xe f e x '+⋅;(4)取对数 1ln ln (ln ln )(ln ln )2b y x b a x a x b a ⎡⎤=+-+-⎢⎥⎣⎦两边求导 1y y '=1ln 2b b a a x x ⎛⎫-+ ⎪⎝⎭故y '=1ln 2b a b ax -⎛⎫+ ⎪⎝⎭(5) 两边求导cos()(1)0y xy x y y '+-++=得cos()cos()x y yy x x y +-'=-+,故(0)1+1y ππ-'=, 因此切线方程为 1()1y x ππ=--+,法线方程为(1)()y x ππ=+-; (6) d ()d ()y y t x x t '='223sin cos 3cos (sin )a t t a t t ⋅=⋅-=tan t - 22d d y x 2(tan )3cos (sin )t a t t '-=⋅-22sec 3cos (sin )t a t t -=⋅-=4sec 3sin t a t; (7) 由21(sin )cos 2csc 12sin sin f x x x x x'=+=-+知21()12f x x x '=-+故()f x ''=214x x--;(8) 3321111111x x y x x x x x -+===-+++++ ()n y =1(1)!(1)n nn x +-⋅+(3)n ≥. 6.设函数2,(),ax b f x x +⎧=⎨⎩ 11x x <≥在1x =处可导,求,a b 的值.6.解:因可导必连续,所以211lim ()lim 1x x ax b x -+→→+==,得1a b += 考察1x =处的左、右导数(1)f -'=1()(1)lim 1x f x f x -→--111lim lim 11x x ax b ax a a x x --→→+--===--(1)f +'=1()(1)lim 1x f x f x +→--211lim 2,1x x x +→-==- 所以,得到2,1a b ==-.7. 设函数()g x 在x a =点连续, 且()()()f x x a g x =-, 证明()f x 在x a =的可导,并求出()f a '.7.证:因()g x 在x a =点连续,故lim ()()x ag x g a →=,又()()limx a f x f a x a →-- ()()0limlim ()()x a x a x a g x g x g a x a →→--===- 故()f x 在x a =的可导,()f a '=()g a8.验证函数12y C C e =+其中12,C C 为任意常数)满足方程420xy y y '''+-=.8.证:因12y C C e '=-,12121(4y C C e C C e x''=-++故12121424(4xy y y x C C e C C e x ⎡⎤'''+-=-++⎢⎥⎣⎦(121220C C e C C e ⎤+--+=⎥⎦232323121212(49)(2-3)6()x x x x x x C e C e C e C e C e C e ---++-+0=.(B )1. 设函数()f x 在0x =连续,下列命题错误的是( )A . 若0()lim x f x x→存在,则(0)0f =;B . 若0()lim x f x x→存在,则(0)f '存在;C . 若0(2)()lim x f x f x x→+存在,则(0)0f =;D . 若0()()lim x f x f x x→--存在,则(0)f '存在.1.答:D .A .正确,因为0()limx f x x→存在,则0l i m ()=0x f x →,又()f x 在0x =连续,所以0(0)l i m ()=0x f f x →=; B .正确,因为若0()limx f x x →存在,则0()(0)(0)lim x f x f f x →-'==0()lim x f x x →存在;C .正确,因若0(2)()lim x f x f x x→+存在,则0lim (2)()=lim (2)lim ()=2(0)0x x x f x f x f x f x f →→→++=[],故(0)0f =;D .错,如()f x x =, 0()()lim0x f x f x x→--=,但(0)f '不存在.2. 若21()lim (1)tx x f t t x→∞=+,则()f t '= .2. 2(12)t t e +,221()lim (1)txt x f t t te x→∞=+=,所以()f t '=2()t te '=2(12)t t e +.3.设周期函数()f x 在()-∞∞,周期为3,且0(1)(1)li m 13x f f xx→--=,则曲线)(x f y =在点(4(4))f ,的切线斜率为 .3. -3,00(4)(4)(1)(1)(4)limlim x x f x f f x f f x x →→+-+-'==0(1)(1)limx f f x x →-+=-=0(1)(1)lim x f f t t →--=-0(1)(1)3lim 33x f f x x→--=-=-, 4. 已知(1)(2)(10)()(1)(2)(10)x x x f x x x x ---=+++ ,求(1)f '.4. 解:(1)f '1()(1)lim 1x f x f x →-=-1(1)(2)(10)(1)(2)(10) lim 1x x x x x x x x →---+++=- 1(2)(10)1(2)(9)lim (1)(2)(10) 2391011x x x x x x →---⋅--==+++⋅⋅⋅ =1110 - 5.设()f a '存在,求()()lim x a xf a af x x a→--.5. 解:()()()()()()lim lim x a x a xf a af x xf a af a af a af x x a x a→→--+-=--()()()lim x a f x f a f a a x a→-=--=()()f a af a '-6.设()max{f x x =,在区间(02),内求()f x '.6.解:()max{,f x x x ==⎪⎩0112x x <≤<<,考察1x =处的左、右导数(1)f -'=1()(1)lim 1x f x f x -→--1111lim lim ,12x x x --→→===-(1)f +'=1()(1)lim 1x f x f x +→--11lim 1,1x x x +→-==- 所以,函数在1x =处不可导.故所求导数为:1()1,f x ⎧⎪'=⎨⎪⎩0112x x <<<< 7. 设函数()g x 在0x x =点连续, 且()()f x x a g x =-, 讨论()f x 在0x x =的可导性.7. 解:0000000()()()()limlimx x x x x x g x f x f x f x x x x x →→--'==-- (1)若0()0g x ≠,则0000()lim x x x x g x x x →--不存在,此时()f x 在0x x =不可导(2)若0()0g x =,则0000()()lim 0x x x x g x f x x x →-'==-,此时()f x 在0x x =可导.8. 验证下列命题:(1) 若定义在()-∞∞,内以周期为T 的周期函数()f x 可微,则()f x '也是以周期为T 的周期函数.(2) 若函数()f x 在()a a -,内是可微奇(偶)函数,则()f x '()a a -,内必为偶(奇)函数. 8. 证: (1)因()()f x T f x +=,又0()()()lim h f x h f x f x h→+-'=,因此00()()()()()lim lim h h f x T h f x T f x h f x f x T h h→→++-++-'+===()f x '(2) 若函数()f x 在()a a -,内是可微奇函数,则有0()()()lim h f x h f x f x h →-+--'-=0()()lim h f x h f x h →--+=0()()lim h f x h f x h→--=-=()f x ', 即证得:若函数()f x 在()a a -,内是可微奇函数,则()f x '()a a -,内必为偶函数. 同理可证得:若函数()f x 在()a a -,内是可微偶函数,则()f x '()a a -,内必为奇函数.9. 设函数()f x 可微,且()()()2f x y f x f y xy +=+-,(0)3f '=,求()f x . 9. 解:由()()()2f x y f x f y xy +=+-,令0x y ==,则(0)(0)(0)f f f =+,得(0)0f =()()()limy f x y f x f x y →+-'=0()()2()limy f x f y xy f x y→+--= 0()lim2y f y x y→=-(0)232f x x '=-=-因此()f x 23x x C =-+(C 为任意常数),又(0)0f =则C =0,故()f x 23x x =- 10. 设在()-∞∞,内函数()f x 有定义, 且(0)0f =,(0)f C '=(0C ≠),又2()s i n c o s xg x e x x =+, 对任意,x y 有关系式()()()()()f x y f x g y f y g x +=+成立,证明()()f x C g x '=⋅10. 证:0()()()lim y f x y f x f x y →+-'=0()()()()()lim y f x g y f y g x f x y→+-=00()1()()lim()limy y g y f y f x g x y y →→-=+00()(0)()(0)()lim ()limy y g y g f y f f x g x y y→→--=+ =()(0)()(0)f x g g x f ''+又 2()sin sin 2sin x x g x e x e x x '=+-,得(0)0g '= 故 ()()f x C g x '=⋅.。
微积分综合练习题与参考答案完美版综合练习题1(函数、极限与连续部分)1.填空题(1)函数)2ln(1)(-=x x f 的定义域是 . 答案:2>x 且3≠x .(2)函数24)2ln(1)(x x x f -++=的定义域是 .答案:]2,1()1,2(-⋃--(3)函数74)2(2++=+x x x f ,则=)(x f. 答案:3)(2+=x x f(4)若函数⎪⎩⎪⎨⎧≥<+=0,0,13sin )(x k x xx x f 在0=x 处连续,则=k .答案:1=k(5)函数x x x f 2)1(2-=-,则=)(x f .答案:1)(2-=x x f(6)函数1322+--=x x x y 的间断点是 .答案:1-=x(7)=∞→xx x 1sin lim .答案:1(8)若2sin 4sin lim0=→kxxx ,则=k .答案:2=k 2.单项选择题(1)设函数2e e xx y +=-,则该函数是( ).A .奇函数B .偶函数C .非奇非偶函数D .既奇又偶函数 答案:B(2)下列函数中为奇函数是().A .x x sinB .2e e x x +- C .)1ln(2x x ++ D .2x x +答案:C(3)函数)5ln(4+++=x x xy 的定义域为( ). A .5->x B .4-≠x C .5->x 且0≠x D .5->x 且4-≠x答案:D(4)设1)1(2-=+x x f ,则=)(x f ( )A .)1(+x xB .2x C .)2(-x x D .)1)(2(-+x x 答案:C(5)当=k ( )时,函数⎩⎨⎧=≠+=0,,2)(x k x e x f x 在0=x 处连续.A .0B .1C .2D .3 答案:D(6)当=k ( )时,函数⎩⎨⎧=≠+=0,,1)(2x k x x x f ,在0=x 处连续.A .0B .1C .2D .1- 答案:B (7)函数233)(2+--=x x x x f 的间断点是( )A .2,1==x xB .3=xC .3,2,1===x x xD .无间断点 答案:A 3.计算题(1)423lim 222-+-→x x x x . 解:4121lim )2)(2()1)(2(lim 423lim 22222=+-=+---=-+-→→→x x x x x x x x x x x x (2)329lim 223---→x x x x解:234613lim )1)(3()3)(3(lim 329lim 33223==++=+-+-=---→→→x x x x x x x x x x x x(3)4586lim 224+-+-→x x x x x解:3212lim )1)(4()2)(4(lim 4586lim 44224=--=----=+-+-→→→x x x x x x x x x x x x x综合练习题2(导数与微分部分)1.填空题 (1)曲线1)(+=x x f 在)2,1(点的切斜率是 .答案:21 (2)曲线x x f e )(=在)1,0(点的切线方程是 . 答案:1+=x y(3)已知x x x f 3)(3+=,则)3(f '= . 答案:3ln 33)(2x x x f +=')3(f '=27()3ln 1+(4)已知x x f ln )(=,则)(x f ''= . 答案:x x f 1)(=',)(x f ''=21x- (5)若x x x f -=e )(,则='')0(f.答案:x xx x f --+-=''e e2)(='')0(f 2-(1)若x x f xcos e)(-=,则)0(f '=( ).A. 2B. 1C. -1D. -2 因)(cos e cos )e ()cos e()('+'='='---x x x x f x x x)sin (cos e sin e cos e x x x x x x x +-=--=---所以)0(f '1)0sin 0(cos e 0-=+-=-答案:C(2)设y x =lg2,则d y =( ). A .12d x x B .1d x x ln10 C .ln10x x d D .1d xx 答案:B(3)设)(x f y =是可微函数,则=)2(cos d x f ( ).A .x x f d )2(cos 2'B .x x x f d22sin )2(cos 'C .x x x f d 2sin )2(cos 2'D .x x x f d22sin )2(cos '- 答案:D(4)若3sin )(a x x f +=,其中a 是常数,则='')(x f ( ).A .23cos a x +B .a x 6sin +C .x sin -D .x cos 答案:C3.计算题(1)设xx y 12e =,求y '.解: )1(e e 22121xx x y xx -+=')12(e 1-=x x(2)设x x y 3cos 4sin +=,求y '.解:)sin (cos 34cos 42x x x y -+='x x x 2cos sin 34cos 4-=(3)设xy x 2e 1+=+,求y '. 解:2121(21exx y x -+='+ (4)设x x x y cos ln +=,求y '.解:)sin (cos 12321x x x y -+=' x x tan 2321-=综合练习题3(导数应用部分)1.填空题(1)函数y x =-312()的单调增加区间是 . 答案:),1(+∞(2)函数1)(2+=ax x f 在区间),0(∞+内单调增加,则a 应满足 . 答案:0>a2.单项选择题(1)函数2)1(+=x y 在区间)2,2(-是( ) A .单调增加 B .单调减少 C .先增后减 D .先减后增 答案:D(2)满足方程0)(='x f 的点一定是函数)(x f y =的( ). A .极值点 B .最值点 C .驻点 D . 间断点 答案:C(3)下列结论中( )不正确. A .)(x f 在0x x =处连续,则一定在0x 处可微. B .)(x f 在0x x =处不连续,则一定在0x 处不可导. C .可导函数的极值点一定发生在其驻点上.D .函数的极值点一定发生在不可导点上. 答案: B(4)下列函数在指定区间(,)-∞+∞上单调增加的是( ). A .x sin B .xe C .2xD .x -3答案:B3.应用题(以几何应用为主)(1)欲做一个底为正方形,容积为108m 3的长方体开口容器,怎样做法用料最省?解:设底边的边长为x m ,高为h m ,容器的表面积为y m 2。
导数概念练习题导数是微积分的一个重要概念,它描述了函数在某一点处的变化率,即函数在该点处的斜率。
导数的概念在许多学科中都有广泛的应用,如物理学、工程学、经济学等。
下面是一些导数概念的练习题,帮助大家更好地理解这个概念。
已知函数f(x) = x^2 + 2x + 1,求f'(x)。
已知函数f(x) = sin(x),求f'(x)。
已知函数f(x) = log(x),求f'(x)。
已知函数f(x) = e^x,求f'(x)。
已知函数f(x) = x^n,求f'(x)。
已知函数f(x) = x/ln(x),求f'(x)。
解:f'(x) = (ln(x)-1)/(ln(x))^2已知函数f(x) = arctan(x),求f'(x)。
已知函数f(x) = e^(arctan(x)),求f'(x)。
解:f'(x) = e^(arctan(x))*(1/(1+x^2))已知函数f(x) = sin(e^x),求f'(x)。
解:f'(x) = cos(e^x)*e^x已知函数f(x) = x^sin(x),求f'(x)。
解:f'(x) = sin(x)x^(sin(x)-1)(cos(x)-1)以上练习题可以帮助大家理解导数的概念,并掌握一些常见的导数计算方法。
导数是数学中一个非常重要的概念,它描述了一个函数在某一点处的变化率。
求导数是数学分析中的一个基本技能,也是解决许多实际问题中必不可少的工具。
下面是一些求导数的练习题,供大家参考。
(1)θ=sinx,y=cosx。
(x)=3xx=0为函数的极值点。
随着素质教育的不断推进,高中数学课程中引入了越来越多的抽象概念,其中导数概念便是之一。
导数概念作为微积分的核心概念之一,对于高中生而言,是一个极具挑战性的知识点。
因此,本文旨在探讨高中学生对导数概念的理解情况,为教师提供有益的教学参考,从而提高学生对导数概念的理解和掌握程度。
2) 导数与微分070713.设)(x f 在0x 可导,则=--→hx f h x f h )()2(lim000( ).A)(0x f ' B )(20x f ' C )(0x f '- D )(20x f '-070113.设)(x f 在0x 可导,则=--→hx f h x f h 2)()2(lim000( ).(A) )(0x f ' (B) )(20x f ' (C) )(0x f '- (D) )(20x f '-060113.设x x f e )(=,则=∆-∆+→∆x f x f x )1()1(lim( ).A e 2 B e C080713.下列等式中正确的是( )Adx x x d 1)1(2-= B dx x 2)x 1d(= C dx d x x 2)ln22(= D 050713.下列等式中正确的是( ). A.xdx d arctan )1(2= B.2)1(dx d -= C.dx d x x2)2ln 2(= D.xdx x d cot )(tan =A 先单调下降再单调上升B 单调下降C 先单调上升再单调下降D 单调上升060713. 函数622+-=x x y 在区间)5,2(内满足( ). A. 先单调下降再单调上升 B. 单调下降 C. 先单调上升再单调下降 D. 单调上升080724.函数2)2(2+-=x y 的单调减少区间是 .080124.函数1)(2-=x x f 的单调减少区间是 .070724. 函数2xe y -=的单调减少区间是 .070124.函数x y arctan =的单调增加区间是 .060724.函数1)1(2++=x y 的单调增加区间是 . 060124.函数1)1(2++=x y 的单调减少区间是 .050724.函数)1ln(2x y +=的单调增加区间是 .080732.设2sin sin x e y x +=,求y ' 解:2sin 2sin cos 2cos )(sin )(x x x e x e y x x +='+'='080132.设2x xey =,求y ' 解:222222)()(xx x x e x e e x e x y +='+'='070732.设2sin x e y x -=,求'y 解:x xe x x e y x x 2cos )().(sin sin 2sin -='-'='070132.设x x y e cos ln +=,求'y 解:x xx y e sin )(ln -'=' 060732.设x x e y x ln tan -=,求y '.xx x x x 12-解:由导数四则运算法则得x x x xx x x x x y ++='+'+'='ln 2cos 1)(ln ln )()(tan 222050733.设2cos ln x y =,求d y .解:222222tan 2))(sin .(cos 1)(cos 1x x x x xx y -='-='=', dx x x dx y dy 2tan 2-='=6 060734.设yy x =()是由方程3e y e x y +=确定的函数,求d y .解:等式两端求微分得:左端y e ey yd )(d ==, 右端dy y dx y x x 233e )e (d +=+=由此得y y y x e yd e d 3d 2x =+ 整理后得x y e y y xd 3e d 2-=060134.设yy x =()是由方程y x y e cos =确定的函数,求d y .解:等式两端求微分得 左端y x x y x y d cos )(cos d )cos (d +==右端y y yd e )e(d ==由此得y y x x x y y d e d c o s d s i n =+- 整理后得 y d =050734.设yy x =()是由方程yxy x 2sin 2=确定的函数,求'y 解:等式两端求微分得: 左端y y x ydx x y xd cos sin 2)sin (d 22+== 右端222)2(d yxdyydx y x -==2)2(-+=y y22即曲线2x y =上的点(23,26)和点(23,26-)到点A (0,2)的距离最短 08014某制罐厂要生产一种体积为V 的有盖圆柱形容器,问容器的底半径与高各为多少时用料最省?解:设容器的底半径为r ,高为h ,则其表面积为rV r rh r S2π2π2π222+=+=22π4r V r S -=', 由0='S ,得唯一驻点3π2V r =,此时3π4V h =。
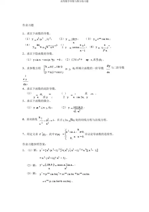
作业习题1、求以下函数的导数。
(1) yx 3 (x 21) 2;(2) ysin x ; ( 3) y e ax sin bx ;x(4)y ln(xx 2a 2);()x 1 ;(6) y x x。
5 yarctan1 ( ) 2、求以下隐函数的导数。
x 1 x(1) y sin x cos(x y) 0 ;(2)已知 e yxy e,求 y (0) 。
3、求参数方程x a(t sin t) 0) 所确立函数的一阶导数dy与二阶导数ya(1(acost )dx2d y。
dx 24、求以下函数的高阶导数。
(1),(n)( ) 2 求(50)。
y x求 y ;2 y x sin 2x, y5、求以下函数的微分。
(1) y x x ,( x 0) ;(2) yarcsin x 。
1 x 26、求双曲线 x2y 21,在点 ( 2a, 3b) 处的切线方程与法线方程。
a 2b 27、用定义求 f (0) ,此中 f (x)x 2sin 1 ,x0,并议论导函数的连续性。
0, x x 0.作业习题参照答案:1、(1)解: y[ x 3 (x 2 1) 2 ] ( x 3 ) ( x 2 1) 2 x 3[( x 2 1)](2)解: (3)解:x 2 ( x 2 1)(7 x 23) 。
y( sin x )xcos x sin x 。
xx 2y (e ax sin bx)ae ax sin bx be ax cosbxe ax (a sin bx b cosbx) 。
(4)解: y[ln( xx 2 a 2 )]1 a2 [ x x 2 a 2 ]x x 21[1x]1。
xx 2 a 2x 2x 2a 2a 2(5)解: y(arctanx1)1( x1)x 11 ( x 12 x 1x )1(x 1) 2 ( x 1) (x 1) 1 。
2( x21)(x1)2x21xxln x(6)解: y[() x]1 x)(e1 x( x ) x ( 1 ln 1 x ) 。
第二章导数与微分一、考试大纲考试内容导数和微分的概念导数的几何意义和物理意义函数的可导性与连续性之间的关系平面曲线的切线和法线导数和微分的四则运算基本初等函数的导数复合函数、反函数、隐函数以及参数方程所确定的函数的微分法高阶导数一阶微分形式的不变性微分中值定理洛必达(L’Hospital)法则函数单调性的判别函数的极值函数图形的凹凸性、拐点及渐近线函数图形的描绘函数的最大值和最小值弧微分曲率的概念曲率圆与曲率半径考试要求1.理解导数和微分的概念,理解导数与微分的关系,理解导数的几何意义,会求平面曲线的切线方程和法线方程,了解导数的物理意义,会用导数描述一些物理量,理解函数的可导性与连续性之间的关系.2.掌握导数的四则运算法则和复合函数的求导法则,掌握基本初等函数的导数公式.了解微分的四则运算法则和一阶微分形式的不变性,会求函数的微分.3.了解高阶导数的概念,会求简单函数的高阶导数.4.会求分段函数的导数,会求隐函数和由参数方程所确定的函数以及反函数的导数.5.理解并会用罗尔(Rolle)定理、拉格朗日(Lagrange)中值定理和泰勒(Taylor)定理,了解并会用柯西(Cauchy)中值定理.6.掌握用洛必达法则求未定式极限的方法.7.理解函数的极值概念,掌握用导数判断函数的单调性和求函数极值的方法,掌握函数最大值和最小值的求法及其应用.8.会用导数判断函数图形的凹凸性(注:在区间 内,设函数 具有二阶导数。
当 时, 的图形是凹的;当 时, 的图形是凸的),会求函数图形的拐点以及水平、铅直和斜渐近线,会描绘函数的图形. 9.了解曲率、曲率圆与曲率半径的概念,会计算曲率和曲率半径. 二、主要内容三、基础题1.如果()f x 为偶函数,且(0)f '存在,证明(0)0f '=. 2.求曲线cos y x =上点1(,)32π处的切线方程和法线方程.3.讨论下列函数在0x =处的连续性与可导性:(1) |sin |y x = ; (2)21sin ,00,0x x y xx ⎧≠⎪=⎨⎪=⎩. 4.已知sin ,0(),0x x f x x x <⎧=⎨≥⎩,求'()f x .5.证明:双曲线2xy a =上任一点处的切线与两坐标轴构成的三角形的面积都等于22a .6.以初速度0v 竖直上抛的物体,其上升高度s 与时间t 的关系是2012s v t gt =-,求: (1) 该物体的速度;(2) 该物体达到最高点的时刻.7.设函数()f x 和()g x 可导,且22()()0f x g x +≠,试求函数y =的导数.8.设()f x 可导,求下列函数y 的导数dy dx: (1)2()y f x =; (2) 22(sin )(cos )y f x f x =+.9.若()f x ''存在,求下列函数y 的二阶导数22d ydx:(1) 2()y f x = (2) ln[()]y f x =.10.求由下列方程所确定的隐函数的导数:dydx(1)+-=3330x y ax ; (2)=-1y y xe . 11.求下列参数方程所确定的函数的导数:(1) 23x aty bt⎧=⎪⎨=⎪⎩; (2)2223131at x t at t ⎧=⎪+⎪⎨⎪⎪+⎩. 12.求下列参数方程所确定的函数的二阶导数22d ydx:(1)cos sin x a ty b t =⎧⎨=⎩ (2)32t tx e y e-⎧=⎨=⎩ 13.求下列函数的微分:(1) =sin2y x x ; (2) 2ln (1)y x =-. 14.计算下列反三角函数值的近似值::(1) arcsin 0.5002; (2) arccos 0.4995.四、提高题1.试从1dx dy y ='导出: (1) 223"(')d x y dy y =-; (2) 32353(")''''(')d x y y y dy y -=. 2.求下列函数所指定的阶的导数:(1) cos ,x y e x =求 (4)y ; (2) ,y xshx =求(100)y ;(3) 2sin 2,y x x =求 (50)y . 3.求函数2sin y x =的n 阶导数的一般表达式.4.求曲线222333x y a +=在点)处的切线方程. 5.求下列方程所确定的隐函数y 的二阶导数22d ydx:(1) tan()y x y =+:(2)1yy xe =+.6.用对数求导法求下列函数的导数:(1);(2)1xx y y x ⎛⎫==⎪+⎝⎭7.求下列参数方程所确定的函数的三阶导数33d ydx:(1) 231,;x t y t t ⎧=-⎨=-⎩ (2) 2ln(1),arctan .x t y t t ⎧=+⎨=-⎩ 8.溶液自水深18cm 顶直径12cm 的正圆锥形漏斗中漏入一直径为10cm 的圆柱形筒中,开始时漏斗中盛满了溶液,已知当溶液在漏斗中深为12cm 时,其表面下降的速率为1/min cm ,问此时圆柱形筒中溶液表面上升的速率为多少?9.设3,0()||0,0x x f x x x ⎧≠⎪=⎨⎪=⎩,求复合函数()[()]x f f x Φ=的导数,并讨论'()x Φ的连续性.三、考研题1.(01,3分) 设=(0)0f ,则()f x 在点0x =可导的充要条件为(A) 201lim (1cosh)h f h→-存在. (B) 01lim (1)h h f e h →-存在.(C) 201lim (1sinh)h f h→-存在. (D) 01lim [(2h)()]h f f h h →-存在.2.(04.4分)设函数()f x 连续,且'(0)0,f >则存在0δ>,使得(A )()f x 在(,0)δ-内单调增加. (B) ()f x 在(0,)δ内单调减少.(C) 对任意的(0,)x δ∈有()(0).f x f > (D) 对任意的(,0)x δ∈-有()(0).f x f >3.(02.3分)已知函数()y y x =由方程2610y e x y x ++-=确定,则(0)y ''= .4.(03.12分)设函数()y y x =在(,)-∞+∞内具有二阶导数,且'0,()y x x y ≠=是()y y x =的反函数.(1) 试将()x x y =所满足的微分方程322(sin )0d xdx y x dy dy ⎛⎫++= ⎪⎝⎭变换为()y y x =满足的微分方程;(2) 求变换后的微分方程满足初始条件3(0)0,'(0)2y y ==的解. 5.(92.3分) 设22()3||f x x x x =+,则使()(0)n f 存在的最高阶数n 为(A) 0. (B) 1. (C) 2. (D) 3.6.(05.3分)设函数()lim n f x =()f x 在(,)-∞+∞内 ( )( A )处处可导 ( B )恰有一个不可导点. ( C ) 恰有两个不可导点 (D)至少有三个不可导点. 7.(06.3分)设函数()=y f x 具有二阶导数,且'''>>∆()0,()0,f x f x x 为自变量x 在点0x 处的增量,y ∆与dy 分别为()f x 在点0x 处对应增量与微分,若0x ∆>,则 ( )( A )0.dy y <<∆ ( B )0y dy <∆<. ( C )0y dy ∆<<. ( D ) 0.dy y <∆< 8.(98.3分)函数23()(2)||f x x x x x =---不可导点的个数是(A )3. (B ) 2 ( C ) 1 . ( D ) 0 9.(97.3分) 对数螺旋线e θρ=在点2(,)(,)2e ππρθ=处的切线的直角坐标方程为.10.(04.3分) 曲线ln y x =上与直线1x y +=垂直的切线方程为 .四、测试题1.填空题(1).已知函数()y y x =由方程2610y e xy x ++-=确定,由''=(0)y . (2.)设函数()y y x =由方程2xy x y =+所确定,则0|x dy == .(3) 曲线33cos sin x t y t⎧=⎪⎨=⎪⎩,上对应于6t π=点处的法线方程是 .(4). 设函数()y y x =由方程2cos()1x y e xy e +-=-所确定,则曲线()y f x =在点(1,0)处的法线方程为 .2.单项选择题(1).设函数()y y x =在任意点x 处的增量2,1y xy a x∆∆=++且当0x ∆→时,a 是x ∆的高阶无穷小,(0),y π=则(1)y 等于(A) 442.().().().B C e D e πππππ(2).()f x 在0x 处存在左、右导数,则()f x 在0x 点( A ) 可导 ( B ) 连续. ( C ) 不可导. ( D ) 不连续.(3).设''0lim ()lim ()x x f x f x a +-→→==,则(A) ()f x 在0x x =处必可导且'0().f x a = ( B ) ()f x 在0x x =处必连续,但未必可导. ( C ) ()f x 在0x x =处必E 有极限但未必连续. ( D ) 以上结论都不对. (4).设()f x 可导,且满足 0(1)(1)lim 1,2x f f x x→=-=-则曲线()y f x =在(1,(1))f 处的切线斜率为: ( A )2. ( B ) -2. (C )12. ( D ) -1.3.讨论2|2|,1(),1x x f x x x -≥⎧⎪=⎨<⎪⎩的可导性.4.求下列函数的导数:(1)0y a => (2) tan (tan )x x y x x =+(3)y =(4)|(3)|y x x x =-5.求下列隐函数的导数'y(1)y x x y = (2)2y x x y =6.求参数式函数的导数'y :2arctan 25tx ty ty e =⎧⎪⎨-+=⎪⎩ 7.求下列函数的微分:(1)(0)x y x x =>(2)21ln(12sin ),(2y x x θθ=-+为常数).8.设()f x 在[,)a +∞可导,lim ()x f x →+∞存在,→+∞'=lim ()x f x b ,求证:0b =.。
>第三章 微分中值定理与导数的应用一、选择题1、则,且存在,,设 ,1)x (f )x (f )x (f 0)x (f 0)x (f 00000-=+''''='>( )是否为极值点不能断定的极值点 不是 的极小值点是的极大值点 是0000x )D ()x (f x )C ( )x (f x )B ()x (f x )A (2、处必有在则处连续且取得极大值,在点函数 x )x (f x x )x (f y 00==( )0)x (f )B ( 0)x ('f )A (00<''= 或不存在 且 0)x (f )D (0)x (f 0)x (f )C (0'00=<''=3、的凸区间是 x e y x -=( )) , 2( (D) ) , (2 (C) 2) , ( (B) 2) , ( (A)∞+-∞+--∞-∞,4、在区间 [-1,1] 上满足罗尔定理条件的函数是 ( )(A)xx sin )x (f = (B)2)1x ()x (f += (C) 3 2x )x (f = (D)1x )x (f 2+=5、设f (x) 和g (x) 都在x=a 处取得极大值,F (x)=f (x)g (x),则F(x)在x=a 处( ) (A) 必取得极大值 (B)必取得极小值 (C)不取极值 (D)不能确定是否取得极值6、满足罗尔定理的区间是使函数 )x 1(x y 322-=( )(A) [-1,1] (B) [0,1] (C) [-2,2] (D) ]5 4, 5 3[- 7、x 2 e x y -=的凹区间是( )(A))2,(-∞ (B) )2,(--∞ (C) ) 1(∞+, (D) ) 1(∞+-,&8、函数)x (f 在0x x = 处连续,若0x 为)x (f 的极值点,则必有( ) .(A)0)(0='x f (B)0)(0≠'x f (C)0)(0='x f 或)(0x f '不存在 (D))(0x f '不存在 9、当a= ( ) 时,处取到极值在 3x 3sin3x asinx f(x)π=+=( ) (A) 1 (B) 2 (C)3 π(D) 010、间是适合罗尔定理条件的区使函数 )x 1(x )x (f 322-=( )]5 4, 5 3[)D ( ]2,2[)C ( ]1,1[)B ( ]1,0[)A (--- 11、(),则上的凹弧与凸弧分界点为连续曲线,若 )x (f y )x (f x 00=( )的极值必定不是的极值点为必定为曲线的驻点, 必为曲线的拐点, )x (f x )D ( )x (f x )C ( ))x (f x ( )B ( ))x (f x ( )A (000000、二、填空题 1、__________________e y82x的凸区间是曲线-=.2、______________ 2 x y x 的极小值点是函数=.3、的凸区间为曲线x 3 e y x+=_____________________ . 4、函数f (x )=x x 3-在[0,3]上满足罗尔定理的条件,由罗尔定理确定的罗尔中值点ξ= . 5、设曲线y =a 23bx x +以点(1,3)为拐点,则数组(a ,b )= . 6、函数1x 3x y 3+-=在区间 [-2,0] 上的最大值为 ,最小值为 . 7、函数 x sin ln y =在 [65, 6 ππ] 上的罗尔中值点ξ= . …8、1 x y +=在区间 [ 1,3 ] 的拉格朗日中值点ξ = _______________. 9、______________ 2 x y x 的极小值点是函数=. 10、______________ 2x y x 的极小值点是函数⋅=。
第二章 导数与微分习题一一、选择题1.设)(x f 在a x =处可导,则=+--→hh a f h a f h )()(lim( )A.)(2'a fB. )('a fC. )(2'a f -D.0 2.设0)0(=f ,则下述所论极限存在,则=→xx f x )(lim( ) A. )0(f B. )0('f C. )('x f D.03.函数⎪⎩⎪⎨⎧=≠=000,1arctan )(x x xx x f ,,则)(x f 在点0=x 处( ) A.间断 B.连续,但不可导 C.可导 D.可导且2)0('π=f4.在3=x 处可导,则常数a 和b 的一组值为( )A.6和9B.-6和-9C.6和-9D.-6和95.已知)4)(3)(2)(1()(----=x x x x x f ,且!3)('=k f ,则=k ( ) A.4 B.3 C.2 D.16. 设)(x f 是偶函数,且在0=x 处可导,则)0('f =( ) A.1 B.-1 C.0 D.以上都不对7.设曲线21x e y -=与直线1-=x 的焦点为p ,则曲线在点p 处的切线方程是( ) A.022=+-y x B. 012=++y x C. 032=-+y x D. 032=+-y x8. 已知曲线L 的参数方程是⎪⎩⎪⎨⎧==2sin cos ty tx ,则曲线L 上3π=t 出法线方程是( ) A. 0142=+-y x B. 0124=--y x C. 0342=-+y x D. 0324=-+y x 二.填空题1.设函数)()()(22x g a x x f -=,其中)(x g 在点a x =处连续=)('a f .2.设函数)(x f 在()+∞∞-,可导,)1()1()(22x f x f x F -+-=,则=)1('F .3.设x x x f +=sin )(ln ,则=)('x f .4.设)0(1>=x xy x ,则='y . 5.设x z x y ∙=2,则=dy .6.设π<<x 0,则=∙+)cot 1(x x d )(cot x d7.已知)(2)(x fa x =ϕ,且)(2)('x x ϕϕ=,则=)('x f .8.)(2b x f y +=,则=''y .9.设)(x y y =由y y x =+)(ϕ确定,若)('y ϕ存在且1)('≠y ϕ,则=dxdy. 三.下列各题中均假定)(0'x f 存在,按照导数定义,求出下列各题中的A 值( ) (1)=∆-∆-→∆x x f x x f x )()(lim 000A(2)=→xx f x )(limA 设存在且)0(,0)0('f f = (3)=-+→hx f h x f h )()3(lim000A(4)=--+→hh x f h x f h )()2(lim000A四.设函数()⎩⎨⎧>+≤+=2212x b x x ax x f 在2=x 处可导,求常数a 和b 的值.五.设函数()⎩⎨⎧≥-<=0202x bx x ae x f x 在点0=x 处可导,求常数a 和b 的值.习题二一、选择题1. 2)('=a f ,则=--+→xx a f x a f x )()(lim0( ) A.2 B.-2 C.4 D.-42.设函数)(x f 和)(x g 在0=x 处可导,0)0()0(==g f ,且0)0('≠g ,则=→)()(limx g x f x ( )A.)0()0(''g fB. )()(''x g x f C. )0()0('g f D. )()('x g x f3.下列函数中,在0=x 处既连续又可导的是( ) A.x xx f =)( B. ⎩⎨⎧≤>-=0sin 0,1)(x x x x x f , C. ⎩⎨⎧≥+<=0)1ln(0,)(x x x x x f , D.x y sin =4.满足)()()('''b f a f b a f +=+的函数)(x f =( ) A.2x B.3x C.x e D.x ln5.设)100()4)(3)(2)(1()(++-+-=x x x x x x x f ,则=)1('f ( ) A.!101 B.100!101-C. !100-D. 99!100 6.设a 是实数,函数⎪⎩⎪⎨⎧≤>-∙-=101,11c o s )1(1)(x x x x x f a ,则)(x f 在1=x 处可导时,必有( )A.1-≤aB.01<<-aC.10<≤aD.1≥a7.若)(x f 的一阶导数与二阶导数都存在,且均不等于零,其反函数为)(y x ϕ=,则=)(''y ϕ( )A.)(1''x f B.[]2''')()(x f x f C. []2''')()(x f x f - D. []3''')()(x f x f - 二.填空题1.若对任意实数x ,函数)(x f 满足)()(x f x f -=-,且0)(0'≠=-k x f , 则=)(0'x f .2.已知)(x f e y =,其中f 二阶可导,则=''y .3.设xx x f +=⎪⎭⎫ ⎝⎛11,则=)('x f .4.设抛物线2ax y =与曲线x y ln =相切,则a = .5.设)1ln(2-+=x x y ,则='y .6.设曲线ax x y +=3与曲线c bx y +=2在点()0,1-处相切,其中c b a ,,为常数, 则a = ,b = , c = . 三.求下列函数的一阶导数:1.2ln 222+-=a x x y2.211xx y -+=3.21ln xxy += 4.x x y 2ln +=5.()x x y 32cos 3sin ∙=6.x y arcsin ln 3=7.x x y 2sec arctan ∙=8.xxx y tan 1sin +=9.()22sin sin xxy = 10.xx y ln 2=11.()x x y ln arcsin = 12.()x x y cos cos -=习题三一、选择题1.下列函数中,在0=x 处不可导的是( ) A.x y sin = B. x y cos = C.2ln =y D.x y =2. 下列函数中,在0=x 处可导的是( )A. x y ln =B. x y cos =C. x y sin =D. ⎩⎨⎧≥<=00,2x x x x y ,3.若函数⎩⎨⎧≥-<=0,0,)(2x bx a x e x f x 在0=x 处可导,则b a 、的值必为( )A.1-==b aB. 2,1=-=b aC. 2,1-==b aD. 2==b a4.设函数)(x f 在1=x 处可导,且21)1()31(lim=∆-∆-→∆x f x f x ,则=)1('f ( )A.31B. 61C. 61- D. 31- 5.曲线x e x y +=在0=x 处的切线方程是( )A.012=+-y xB. 022=+-y xC. 01=+-y xD. 02=+-y x 6.曲线1213123+++=bx x x y 在点(0,1)处的切线与x 轴交点的坐标是( ) A.(-1,0) B.⎪⎭⎫ ⎝⎛-0,61 C.(1,0) D. ⎪⎭⎫⎝⎛0,617.设xey 2sin =,则=dy ( )A.)(sin 2x d e xB. )(sin 2sin 2x d e x C. )(sin 2sin 2sin x xd e x∙ D. )(sin 2sin x d e x8.若函数)(x f y =有21)(0'=x f ,则当0→∆x 时,)(x f 在点0x 处的微分是( ) A.与x ∆等价的无穷小量 B.与x ∆同阶,但不等价的无穷小量 C.比x ∆高阶的无穷小量 D. 比x ∆低阶的无穷小量 二.填空题1设函数)(x f 在2=x 处可导,且2)1('=f ,则=+-+→h nh f mh f h )2()2(lim0 。
《高等数学》考研辅导练习1 函数与极限1. 设201()(),()02x x f x x x x x x ϕ<⎧=+=⎨≥⎩,求(()),(())f x f x ϕϕ。
2. 已知11()01x f x x ⎧≤⎪=⎨>⎪⎩,求((()))f f f x 。
3. 设()f x 是奇函数,除0x =外处处连续。
0x =为其第一类间断点,则()xf t dt ⎰是(A )连续的奇函数; (B )连续的偶函数;(C )在0x =间断的奇函数; (D )在0x =间断的偶函数。
4.计算121cos 0lim(1sin )xx x -→+。
5.计算lim x a+→(0a ≥)。
6.计算lim x →+∞。
7.计算3525lim (2cos 13sin )323x x x x x x x →∞-+⋅+-++。
8.计算3012cos lim (()1)3x x x x →+-。
9.设1032nn n n a x -+=⎰,求lim n n na →∞。
10.求n 11.求n (0x ≥)。
12.求22lim(arctan )n n n π→∞。
13.设1110,(1,2,)n x x n +=== ,试证数列{}n x 的极限存在,并求之。
14.设0a >,为求00x >,再考察0x 与ax 。
显0x 与0ax 之间,于是令1001()2a x x x =+依此进行下去,得到数列{}n x :111()(1,2,)2n n n ax x n x --=+= 。
(即验证{}n x。
15.若30sin 6()lim0x x xf x x →+=,则206()lim x f x x →+= 。
16.设函数()f x 连续,且()0f x ≠,求 0()()lim()xx x x t f t dtx f x t dt→--⎰⎰。
(注意条件()f x 连续)17.设(1)0()(1)0x x x f x x x x -≥⎧=⎨+<⎩,判()f x 的奇偶性。
第一章 极限与连续一、填空 1、设11()01x f x x ⎧≤⎪=⎨>⎪⎩ ,则[]()___________.f f x = 2、假设数列{}n x 收敛,则数列{}n x 肯定 。
3、假设0lim ()x x f x A →=,而0lim ()x x g x →不存在,则0lim(()())x x f x g x →+ 。
4、当0→x 时,1132-+ax 与1cos -x 为等价无穷小,则_______=a 5、设函数()f x 在点0x x =处连续,则()f x 在点0x x =处是否连续。
6、设21))((,sin )(x x f x x f -==ϕ,则)(x ϕ的定义域为_________7、如果⎪⎩⎪⎨⎧=≠-+=0,00,12sin )(2x x xe x xf ax 在),(+∞-∞内连续,则__=a8、 曲线22x e x y -=的渐近方程为__________________二、选择9、如果)(),(x g x f 都在0x 点处间断,那么〔 〕〔A 〕)()(x g x f +在0x 点处间断 〔B 〕)()(x g x f -在0x 点处间断 〔C 〕)()(x g x f +在0x 点处连续 〔D 〕)()(x g x f +在0x 点处可能连续。
10、设数列n x 与n y 满足lim 0n n n x y →∞=,则以下断言正确的选项是〔 〕〔A 〕假设n x 发散,则n y 必发散。
〔B 〕假设n x 无界,则n y 必有界 〔C 〕假设n x 有界,则n y 必为无穷小〔D 〕假设1nx 为无穷小,则n y 必为无穷小。
11、已知0()lim0x f x x→=,且(0)1f =,那么〔 〕〔A 〕()f x 在0x =处不连续。
〔B 〕()f x 在0x =处连续。
〔C 〕0lim ()x f x →不存在。
〔D 〕0lim ()1x f x →=12、设2()43x xf x x x+=- ,则0lim ()x f x →为〔 〕〔A 〕12 (B)13 (C) 14 (D)不存在13、设2(1)sin ()(1)x xf x x x-=-,那么0x =是函数的〔 〕〔A 〕无穷间断点。
第二章 导数与微分1.设函数()x f y =,当自变量x 由0x 改变到x x ∆+0时,相应函数的改变量=∆y ( )A .()x x f ∆+0B .()x x f ∆+0C .()()00x f x x f -∆+D .()x x f ∆02.设()x f 在0x 处可,则()()=∆-∆-→∆xx f x x f x 000lim ( ) A .()0x f '- B .()0x f -' C .()0x f ' D .()02x f '3.函数()x f 在点0x 连续,是()x f 在点0x 可导的 ( )A .必要不充分条件B .充分不必要条件C .充分必要条件D .既不充分也不必要条件4.设函数()u f y =是可导的,且2x u =,则=dxdy ( ) A .()2x f ' B .()2x f x ' C .()22x f x ' D .()22x f x5.若函数()x f 在点a 连续,则()x f 在点a ( )A .左导数存在;B .右导数存在;C .左右导数都存在D .有定义6.()2-=x x f 在点2=x 处的导数是( )A .1B .0C .-1D .不存在7.曲线545223-+-=x x x y 在点()1,2-处切线斜率等于( )A .8B .12C .-6D .68.设()x f e y =且()x f 二阶可导,则=''y ( )A .()x f eB .()()x f e x f ''C .()()()[]x f x f e x f '''D .()()[](){}x f x f e x f ''+'2 9.若()⎩⎨⎧≥+<=0,2sin 0,x x b x e x f ax 在0=x 处可导,则a ,b 的值应为( ) A .2=a ,1=b B . 1=a ,2=bC .2-=a ,1=bD .2=a ,1-=b10.1arctany x =,则='y ( )A .211x +-B .211x+ C .221x x +- D . 221x x + 11.设()x f 在点a x =处为二阶可导,则()()=-+→hh a f h a f h 0lim ( ) A .()2a f '' B .()a f '' C .()a f ''2 D .()a f ''- 12.设()x f 在()b a ,内连续,且()b a x ,0∈,则在点0x 处( )A .()x f 的极限存在,且可导B .()x f 的极限存在,但不一定可导C .()x f 的极限不存在D .()x f 的极限不一定存在13.设()x f 在点a x =处可导,则()()=--→hh a f a f n 0lim 。
第二章 导 数 与 微 分第 一 节 作 业一、填空题:1. 假定:,)('0按照导数定义存在x f.)()(lim )2(.)()(lim)1(000000=--+=∆-∆-→→∆h h x f h x f x x f x x f h x2. 设=⋅=',5322y xx x y 则 .3. 曲线y=e x 在点(0,1)处的切线方程为 .4. 已知物体的运动规律为 s=t 3(米),则这物体在t=2(秒)时的速度为 . 二、选择题(单选):1. 设f(x)=x(x-1)(x+2)(x-3)(x+4)…(x+100),则f’(1)的值等于: (A )101!; (B )100!101-; (C )-100; (D ).99!100 答:( ).1)(;1)(;21)(;0)(:)0(',0,00,1)(.22-⎪⎩⎪⎨⎧=≠-=-D C B A f x x x e x f x为则设答:( ) 三、试解下列各题:1. 讨论函数.00,00,1sin 处的连续性与可导性在=⎪⎩⎪⎨⎧=≠=x x x xx y2. 已知).(',0,,sin )(x f x x x x x f 求⎩⎨⎧≥<=3. 设?,,1)(,1,1,)(2应取什么值处可导在为了使b a x x f x b ax x x x f =⎩⎨⎧>+≤=四、试证明下列各题:1. 证明:双曲线xy=a 2上任一点处的切线与两坐标轴构成的三角形的面积等于2a2.2. 如果f(x)为偶函数,且f’(0)存在,证明f’(0)=0.第 二 节 作 业一、填空题:.)]sin )(cos cos [(sin .2.',3ln .12=+-=+=x x x x dxdy x e y x则设二、选择题(单选):.)()()(;)()()(;)()()(;)()()(:,)(,)(00必可导必不可导必不可导必可导处则在不可导可导处设在x g x f D x g x f C x g x f B x g x f A x x g x f x -+答:( ) 三、试解下列各题: 1. 设.,cos 21sin 4πϕϕρϕϕϕρ=+=d d 求2. 求曲线y=2sinx+x 2上横坐标为x=0的点处的切线方程和法线方程。
作业习题1、求下列函数的导数。
(1)223)1(-=x x y ; (2)xxy sin =; (3)bx e y ax sin =; (4))ln(22a x x y ++=;(5)11arctan -+=x x y ;(6)xxx y )1(+=。
2、求下列隐函数的导数。
(1)0)cos(sin =+-y x x y ;(2)已知,e xy e y =+求)0(y ''。
3、求参数方程⎩⎨⎧-=-=)cos 1()sin (t a y t t a x )0(>a 所确定函数的一阶导数dx dy 与二阶导数22dxyd 。
4、求下列函数的高阶导数。
(1),αx y =求)(n y ; (2),2sin 2x x y =求)50(y 。
5、求下列函数的微分。
(1))0(,>=x x y x ; (2)21arcsin xx y -=。
6、求双曲线12222=-by a x ,在点)3,2(b a 处的切线方程与法线方程。
7、用定义求)0(f ',其中⎪⎩⎪⎨⎧=,0,1sin )(2xx x f .0,0=≠x x 并讨论导函数的连续性。
作业习题参考答案:1、(1)解:])1[()1()(])1([23223223'-+-'='-='x x x x x x y ]))(1(2[)1(3223222'-+-=x x x x x x x x x x 2)1(2)1(323222⋅-+-= )37)(1(222--=x x x 。
(2)解:2sin cos )sin (xxx x x x y -='='。
(3)解:bx be bx ae bx e y ax ax ax cos sin )sin (+='=' )cos sin (bx b bx a e ax +=。
(4)解:][1])[ln(222222'++++='++='a x x a x x a x x y])(211[1222222'+++++=a x a x a x x]2211[12222x ax ax x ⋅++++=]1[12222ax x ax x ++++=221ax +=。
(5)解:)11()11(11)11(arctan2'-+-++='-+='x x x x x x y 11)1()1()1()1(2)1(2222+-=-+--⋅+-=x x x x x x 。
(6)解:)(])1[(1ln '='+='+x xx xe xx y ]1ln )1()1()1([)1(2x x x x x x x x x x x +-+-+⋅++= )1ln 11()1(xx x x x x +-++=。
2、(1)解:两边直接关于x 求导得0)1)(sin(cos sin ='++++'y y x x y x y )sin(sin )sin(cos y x x y x x y y ++++-='。
(2)解:将0=x 代入原方程解得,1=y原方程两边直接关于x 求导得 0='++'y x y y e y , 上方程两边关于x 再次求导得 ,02)(2=''+'+''+'y x y y e y e y y 将0=x ,,1=y 代入上边第一个方程得1)0(--='e y ,将0=x ,,1=y 1)0(--='e y 代入上边第二个方程得2)0(-=''e y 。
3、解:),cos 1(t a dt dx -=t a dtdy sin =; 2cot )cos 1(sin tt a t a dt dx dt dy dx dy =-==; 2csc 41)cos 1(1)212csc ()(4222t a t a t dxdt dx dy dt d dx y d -=-⋅-=⋅=。
4、(1)解:1-='ααx y ;2)1(--=''αααx y ;……依此类推)1(,)1()1()(≥+--=-n x n y n n αααα 。
(2)解:设,,2sin 2x v x u ==则)50,,2,1)(22sin(2)( =⋅+=k k x u k k π,),50,,4,3(0,2,2)( ===''='k v v x v k代入萊布尼茨公式,得2)2482sin(2!249502)2492sin(250)2502sin(2)2sin (4849250)50(2)50(⋅⋅+⋅⋅+⋅⋅+⋅+⋅⋅+==πππx x x x x x x y )2sin 212252cos 502sin (2250x x x x x ++-=。
5、(1)解:),1(ln )(ln +='='x x e y x x x dx x x dy x )1(ln +=. (2)解:]122arcsin 111[112222xx x x x x y --⋅----='2322)1(arcsin 1x x x x -+-=;='=dx y dy dx x x x x 2322)1(arcsin 1-+-。
6、解:首先把点)3,2(b a 代入方程左边得1343422222222=-=-=-b b a a b y a x ,即点)3,2(b a 是切点。
对双曲线用隐函数求导得,,0222222ya xb y b y y a x ='⇒='-过点)3,2(b a 的切线的斜率为,3232)3,2(22ab ba ab b a y =='故过点)3,2(b a 的切线方程为)2(323a x ab b y -=-;过点)3,2(b a 的法线方程为)2(233a x bab y --=-。
7、解:,01sin 1sin0)0()()0(lim lim lim200===--='+++→→→+x x x x x x f x f f x x x 同理0)0(='-f ;故0)0(='f 。
显然xx x x x x x x x f 1cos 1sin 211cos 1sin2)(22-=⋅-='在0≠x 点连续,因此只需考查)(x f '在0=x 点的连续性即可。
但已知x 1cos 在0=x 点不连续,由连续函数的四则运算性质知)(x f '在0=x 点不连续。
讨论习题: 1、 设,)3()(-=x x x x f 求)(x f '。
2、 求和n n x n x x x S 2322232++++= 。
3、设函数)(x f 在]1,1[-上有定义,且满足,11,)(3≤≤-+≤≤x x x x f x证明)0(f '存在,且1)0(='f 。
讨论习题参考答案:1、解:因为⎪⎩⎪⎨⎧---=),3(),3(),3()(222x x x x x x x f .0,30,3<<≤≥x x x易知)(x f 在开区间),3()3,0()0,(+∞⋃⋃-∞内都是可导的;又 对于分段点0=x ,3=x ,有00)3(0)0()()0(200lim lim=--=--='++→→+x x x x f x f f x x ,00)3(0)0()()0(200lim lim=--=--='--→→-x x x x f x f f x x ,即0)0(='f ;930)3()3(2323lim lim ==---='++→→+x x x x f x x ,9)(30)3()3(2323lim lim -=-=---='--→→-x x x x f x x ,即)3(f '不存在;所以除3=x 之外)(x f 在区间),3()3,(+∞⋃-∞內均可导,且有⎪⎩⎪⎨⎧--=',36,0,63)(22x x x x x f ).3,0(,0),,3()0,(∈=+∞⋃-∞∈x x x 2、解:因为xx x x x n n--=+++++11112,212)1()1(1)1(x nx x n x x x n n n-++-='++++⇒+ , 2112)1()1(1321x nx x n nxx x n n n -++-=++++⇒+- ; ]1)1()122([)1(])1()1([})1()1(1[])321([)32()321(3221222322121123212132223222--++-+--='-++-='-++-⋅='++++='++++=++++=++++=⇒+++++---x x n x n n x n x x x nx x n x x x nx x n x x nx x x x x nx x x x x x n x x x x n x x x S nn n n n n n n n n n n3、证:由,11,)(3≤≤-+≤≤x x x x f x 可知当0=x 时,0)0(0≤≤f , 即0)0(=f 。
又)0,11(,0)0()()(3≠≤≤-+≤--=≤x x xx x x f x f x x f x x ;已知1300limlim =+=→→x xx x x x x ,由两边夹定理可得 10)0()()0(lim=--='→x f x f f x 。
思考题: 1、若)(u f 在0u 不可导,)(x g u =在0x 可导,且)(00x g u =,则)]([x g f 在0x 处( )(1) 必可导,(2)必不可导,(3)不一定可导。
2、设)(x g '连续,且)()()(2x g a x x f -=,求)(a f ''。
思考题参考答案:1、 解:正确选择是(3)例如:u u f =)(在0=u 处不可导;若取x x g u sin )(==在0=x 处可导,则x x g f sin )]([=在0=x 处不可导;即(1)不正确。
又若取4)(x x g u ==在0=x 处可导,则有44)]([x x x g f ==在0=x 处可导。
即(2)也不正确。
2、解:因为)(x g 可导,所以)()()()(2)(2x g a x x g a x x f '-+-=' 又因为)(x g ''不一定存在,故用定义求)(a f '',)(2)]()()(2[)()0)(()()()(lim limlima g x g a x x g ax x f a f ax a f x f a f ax a x ax ='-+=-'=='-'-'=''→→→。