考研数学冲刺班讲义(精)
- 格式:pdf
- 大小:1.04 MB
- 文档页数:10
第三章 一元函数积分学§3. 1 不定积分(甲)内容要点一、基本概念与性质1.原函数与不定积分的概念设函数()x f 和()x F 在区间I 上有定义,若()()x f x F ='在区间I 上成立。
则称()x F 为()x f 在区间I 的原函数,()x f 在区间I 中的全体原函数成为()x f 在区间I 的不定积分,记为()⎰dx x f 。
原函数:()()⎰+=C x F dx x f其中⎰称为积分号,x 称为积分变量,()x f 称为被积分函数,()dx x f 称为被积表达式。
2.不定积分的性质 设()()⎰+=C x F dx x f ,其中()x F 为()x f 的一个原函数,C 为任意常数。
则(1)()()⎰+='C x F dx x F 或()()⎰+=C x F x dF 或⎰+=+C x F C x F d )(])([ (2)()[]()x f dx x f ='⎰或()[]()dx x f dx x f d =⎰(3)()()⎰⎰=dx x f k dx x kf (4)()()[]()()⎰⎰⎰±=±dx x g dx x f dx x g x f3.原函数的存在性一个函数如果在某一点有导数,称为可导;一个函数有不定积分,称为可积。
原函数存在的条件:比连续要求低,连续一定有原函数,不连续有时也有原函数。
可导要求比连续高。
⎰-dx ex这个不定积分一般称为积不出来,但它的积分存在,只是这个函数的积分不能用初等函数表示出来设()x f 在区间I 上连续,则()x f 在区间I 上原函数一定存在,但初等函数的原函数不一定是初等函数,例如()⎰dx x 2sin ,()⎰dx x 2cos ,⎰dx x x sin ,⎰dx x x cos ,⎰x dx ln ,⎰-dxe x 2等被积函数有原函数,但不能用初等函数表示,故这些不定积分均称为积不出来。
课程配套讲义说明1、配套课程名称2013年考研数学高分导学(汤家凤,16课时)2、课程内容此课件为汤家凤老师主讲的2013考研数学高分导学班课程。
此课程包含线代和高数,请各位学员注意查看。
3、主讲师资汤家凤——文都独家授课师资,数学博士,教授,全国著名考研数学辅导专家,全国唯一一个能脱稿全程主讲的数学辅导老师,全国大学生数学竞赛优秀指导老师。
汤老师对数学有着极其精深的研究,方法独到。
汤老师正是凭借多年从事考研阅卷工作的经验,通过自己的归纳总结,在课堂上为学生列举大量以往考过的经典例子。
深入浅出,融会贯通,让学生真正掌握正确的解题方法。
严谨的思维、激情的课堂,轻松的学习,这是汤老师课堂的特色!主讲:高等数学、线性代数。
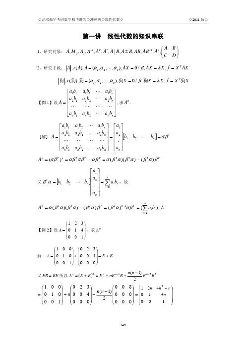
4、讲义20页(电子版)文都网校2011年9月15日2013考研数学高分导学班讲义线性代数部分—矩阵理论一、矩阵基本概念1、矩阵的定义—形如⎪⎪⎪⎪⎪⎭⎫⎝⎛mn m m n n a a aa a a a a a 212222111211,称为矩阵n m ⨯,记为n m ij a A ⨯=)(。
特殊矩阵有(1)零矩阵—所有元素皆为零的矩阵称为零矩阵。
(2)方阵—行数和列数都相等的矩阵称为方阵。
(3)单位矩阵—主对角线上元素皆为1其余元素皆为零的矩阵称为单位矩阵。
(4)对称矩阵—元素关于主对角线成轴对称的矩阵称为对称矩阵。
2、同型矩阵—行数和列数相同的矩阵称为同型矩阵。
若两个矩阵同型且对应元素相同,称两个矩阵相等。
3、矩阵运算(1)矩阵加、减法:⎪⎪⎪⎪⎪⎭⎫⎝⎛=⎪⎪⎪⎪⎪⎭⎫ ⎝⎛=mn m m n n mn m m n n b b b b b b b b b B a a a a a a a a a A 212222111211212222111211,,则 ⎪⎪⎪⎪⎪⎭⎫⎝⎛±±±±±±±±±=±mn mn m m m m n n n n b a b a ba b a b a b a b a b a b a B A221122222221211112121111。
鹤壁淇滨高中2017-2018学年下学期高二年级第二次月考英语试题时间:100分钟总分:150分第二部分阅读理解(共两节,满分40分)第一节(共15小题;每小题2分,满分30分)阅读下列短文,从每题所给的四个选项(A、B、C和D)中,选出最佳选项。
AAn eight-year-old child heard her parents talking about her little brother. All she knew was that he was very sick and they had no money. Only a very expensive operation could save him now and there was no one to lend them the money.When she heard her daddy say to her tearful mother, “Only a miracle (奇迹) can save him now.” the little girl went to her bedroom and pulled her money from its hiding place and counted it carefully.She hurried to a drugstore with the money in her hand.“And what do you want?” asked the salesman. “It’s for my little brother.”The girl answered. “He’s really sick and I want to buy a miracle.”“Pardon?”said the salesman.“My brother Andrew has something bad growing inside his head and my daddy says only a miracle can save him. So how much does a miracle cost?” “We don’t s ell a miracle here, child. I’m sorry.” the salesman said with a smile.“Listen, if it isn’t enough, I can try and get some more. Just tell me how m uch it costs.”A well-dressed man heard this and asked, “What kind of miracle do es your brother need?”“I don’t know,” she answered with her eyes full of tears. “He’s really sick and mum says he needs an operation. But my daddy can’t pay for it, so I have brought all my money.”“How much do you have?’’ asked the man. “$1.11, but I can try and get some more.” she answered.“Well, what luck,” smiled the man, “$1.11, the price of a miracle for your little brother.” He took up the girl’s hand and said, “Take me to where you live.I want to see your brother and meet your parents. L et’s s ee if I have the kind of miracle you nee d.”That well-dressed man was Dr. Carlton Armstrong, a famous doctor. The operation was successful and it wasn’t long before Andrew was home again.How much did the miracle cost?21. What was the trouble in the little girl’s family?A. Her brother was seriously ill.B. They had no money.C. Nothing could save her brother.D. Both A and B.22. In the eyes of the little girl, a miracle might be ______.A. something interesting.B. something beautiful.C. some wonderful medicine.D. some good food.23. What made the miracle happen?A. The girl’s love for her brother.B. The medicin e from the drugstore.C. The girl’s money.D. Nobody can tell.24. From the passage we can infer (推断) that ______.A. the doctor didn’t ask for any pay.B. a miracle is sure to happen if you keep on.C. the little girl is lovely but not so clever.D. Andrew was in fact not so sick as they had thought.BA few days ago, I ran into a stranger as he passed by. I said sorry to him. And we were very polite. Then we went on our way after saying goodbye.Later in the kitchen at home, as I cooked our meal, my daughter Betty walked up to me. When I turned around, I nearly knocked her down. “Get out of the way!”I shouted angrily. She ran away, crying.That night, when I lay in bed, my husband said to me. “You were so rude to Betty. Go and look around on the kitchen floor, and you’ll find some flowers there. Betty brought those for you. She picked them herself pink, yellow, and your favourite blue.” When I heard this, I thought deeply. “While meeting with a stranger, I was calm and polite, but with my daughter, I was not patient.” I felt sad and tears began to fall.I quietly went to Betty’s bed, “Wake up, my dear!” I said, “Are these the flowers you picked for me?”she smiled. “I found them by the tree. I knew you liked them, especially the blue. ” I said, “I am so sorry that I treated you that way today.”And she whispered(悄声说),“Mommy, that’s okay. I still love you anyway.”I kissed her and said, “I love you too and I do love the flowers.”That day Betty gave me a lesson on how to get along with each other in the family.I spend much time on work and didn’t realize how important family life was. I decided to do better in the future.25. What did the writer do when she ran into a man?A. She got mad at him.B. She didn’t say sorry to him.C. She said sorry to him politely.D. She left without saying anything.26. How did the writer deal with it when she nearly knocked down her daughter?A. She held her temper.B. She talked to her quietly.C. She shouted at her angrily.D. She said nothing to her.27. Why did the writer feel sorry for what she had done?A. Her husband didn’t love her.B. Her daughter bought her some flowers.C. She used to be friendly to others.D. She spent less time on her family life.28. According to the passage, which do you think is the best title?A. How to get along with a stranger.B. I love my daughter.C. Daughter gave me a good lesson.D. How to be a polite person.CDear Mom and dad,Camp is great! I have met a lot of new friends. Jim is from California, Eric is from Iowa, and Tony is from Missouri. We have a great time together, swimming, boating, hiking, and playing tricks on other campers! Every night, we go to another tent secretly and try to scare other campers by making scary noises. It's so funny to see them run out screaming! Now, don't worry, Mom. I'm not going to get cough like I did last year.One thing that is different from last year is how many bugs (昆虫) there are!I have at least 100 mosquito bites and about 25 ant bites. Every time I go outside, horseflies chase me, too! Other than all these bugs, I'm having the best time!Love,Tyler Dear Tyler,Are you sure you are okay? All of those bugs sound awful! Have you used all of the “ItchBeGone” cream I got you? How about the “Ants'k Awful” lotions (护肤液) for the ant bites? You and your aunt Ethel have always seemed to attract those nasty fire ants.Now Tyler, I am very happy that you have met some new friends and that you are having fun together. However, you MUST stop trying to scare other campers. Remember, honey, some campers may be scared easily. I want you to apologise for any anxiety you may have caused them and start being the nice, polite boy that I know you are. Do you hear me, Tyler? Please be careful. I want you to come here safely.Love,Mom 29.Why did Tyler write the letter to his parents?A.To describe his interesting camp experiences.B.To express his regret about scaring others.C.To ask his parents for advice about camping.D.To tell his parents about his sufferings at camp.30.The underlined word “chase” in the first letter probably means “________”.A.fly away B.get rid of C.put up with D.run after31.Tyler's mother advises him to ________.A.buy more lotion for the bites B.return with a few friendsC.avoid scaring other campers D.turn to the police when in troubleDFar from the land of Antarctica, a huge shelf of ice meets the ocean. At the underside of the shelf there lives a small fish, the Antarctic cod.For forty years scientists have been curious about that fish. How does it live where most fish would freeze to death? It must have some secret. The Antarctic is not a comfortable place to work and research has been slow. Now it seems we have an answer.Research was begun by cutting holes in the ice and catching the fish. Scientists studied the fish's blood and measured its freezing point.The fish were taken from seawater that had a temperature of -1.88℃ and many tiny pieces of ice floating in it. The blood of the fish did not begin to freeze until its temperature was lowered to -2.05℃. That small difference is enough for the fish to live at the freezing temperature of the icesalt mixture.The scientists' next research job was clear: Find out what in the fish's blood kept it from freezing. Their search led to some really strange things made up of a protein (蛋白质) never before seen in the blood of a fish. When it was removed, the blood froze at seawater temperature. When it was put back, the blood again had its antifreeze quality and a lowered freezing point.Study showed that it is an unusual kind of protein. It has many small sugar molecules (分子) held in special positions within each big protein molecule. Because of its sugar content, it is called a glycoprotein. So it has come to be called the antifreeze fish glycoprotein or AFGP.32.What is the text mainly about?A.The terrible conditions in the Antarctic. B.A special fish living in freezing waters.C.The ice shelf around Antarctica. D.Protection of the Antarctic cod. 33.Why can the Antarctic cod live at the freezing temperature?A.The seawater has a temperature of -1.88℃.B.It loves to live in the icesalt mixture.C.A special protein keeps it from freezing.D.Its blood has a temperature lower than -2.05℃.34.What does the underli ned word “it” in Paragraph 5 refer to?A.A type of icesalt mixture. B.A newly found protein.C.Fish blood. D.Sugar molecule.35.What does “glyco” in the underlined word “glycoprotein” in the last paragraph mean?A.sugar B.ice C.blood D.molecule第二节七选五 (共5小题;每小题2分,满分10分)根据短文内容,从短文后的选项中选出能填入空白处的最佳选项。
江西省南昌市2015-2016学年度第一学期期末试卷(江西师大附中使用)高三理科数学分析一、整体解读试卷紧扣教材和考试说明,从考生熟悉的基础知识入手,多角度、多层次地考查了学生的数学理性思维能力及对数学本质的理解能力,立足基础,先易后难,难易适中,强调应用,不偏不怪,达到了“考基础、考能力、考素质”的目标。
试卷所涉及的知识内容都在考试大纲的范围内,几乎覆盖了高中所学知识的全部重要内容,体现了“重点知识重点考查”的原则。
1.回归教材,注重基础试卷遵循了考查基础知识为主体的原则,尤其是考试说明中的大部分知识点均有涉及,其中应用题与抗战胜利70周年为背景,把爱国主义教育渗透到试题当中,使学生感受到了数学的育才价值,所有这些题目的设计都回归教材和中学教学实际,操作性强。
2.适当设置题目难度与区分度选择题第12题和填空题第16题以及解答题的第21题,都是综合性问题,难度较大,学生不仅要有较强的分析问题和解决问题的能力,以及扎实深厚的数学基本功,而且还要掌握必须的数学思想与方法,否则在有限的时间内,很难完成。
3.布局合理,考查全面,着重数学方法和数学思想的考察在选择题,填空题,解答题和三选一问题中,试卷均对高中数学中的重点内容进行了反复考查。
包括函数,三角函数,数列、立体几何、概率统计、解析几何、导数等几大版块问题。
这些问题都是以知识为载体,立意于能力,让数学思想方法和数学思维方式贯穿于整个试题的解答过程之中。
二、亮点试题分析1.【试卷原题】11.已知,,A B C 是单位圆上互不相同的三点,且满足AB AC →→=,则AB AC →→⋅的最小值为( )A .14-B .12-C .34-D .1-【考查方向】本题主要考查了平面向量的线性运算及向量的数量积等知识,是向量与三角的典型综合题。
解法较多,属于较难题,得分率较低。
【易错点】1.不能正确用OA ,OB ,OC 表示其它向量。
2.找不出OB 与OA 的夹角和OB 与OC 的夹角的倍数关系。
考研数学概率论辅导讲义主讲:马超第二章 随机变量及其分布第一节 基本概念1、概念网络图⎭⎬⎫⎩⎨⎧-→⎭⎬⎫⎩⎨⎧≤<→⎭⎬⎫⎩⎨⎧)()()()(a F b F A P b X a A X 随机事件随机变量基本事件ωω→≤=)()(x X P x F 分布函数: 函数分布正态分布指数分布均匀分布连续型几何分布超几何分布泊松分布二项分布分布离散型八大分布→⎪⎪⎪⎪⎪⎪⎭⎪⎪⎪⎪⎪⎪⎬⎫⎪⎪⎪⎪⎪⎪⎩⎪⎪⎪⎪⎪⎪⎨⎧⎪⎭⎪⎬⎫⎪⎩⎪⎨⎧⎪⎪⎪⎭⎪⎪⎪⎬⎫⎪⎪⎪⎩⎪⎪⎪⎨⎧-102、重要公式和结论例2.1:4黑球,2白球,每次取一个,不放回,直到取到黑为止,令X(ω)为“取白球的数”,求X 的分布律。
例2.2:给出随机变量X 的取值及其对应的概率如下:,31,,31,31,,,2,1|2k k PX , 判断它是否为随机变量X 的分布律。
例2.3:设离散随机变量X 的分布列为214181812,1,0,1,,,-P X ,求X 的分布函数,并求)21(≤X P ,)231(≤<X P ,)231(≤≤X P 。
例2.4: )()(21x f x f +是概率密度函数的充分条件是: (1))(),(21x f x f 均为概率密度函数 (2)1)()(021≤+≤x f x f例2.5:袋中装有α个白球及β个黑球,从袋中先后取a+b 个球(放回),试求其中含a 个白球,b 个黑球的概率(a ≤α,b ≤β)。
例2.6:某人进行射击,设每次射击的命中率为0.001,若独立地射击5000次,试求射中的次数不少于两次的概率,用泊松分布来近似计算。
例2.7:设某时间段内通过一路口的汽车流量服从泊松分布,已知该时段内没有汽车通过的概率为0.05,则这段时间内至少有两辆汽车通过的概率约为多少?例2.8:袋中装有α个白球及β个黑球,从袋中任取a+b 个球,试求其中含a 个白球,b 个黑球的概率(a ≤α,b ≤β)。
第一讲 极限与连续主要内容概括(略) 重点题型讲解一、极限问题类型一:连加或连乘的求极限问题 1.求下列极限: (1)⎪⎪⎭⎫⎝⎛+-++⨯+⨯∞→)12)(12(1531311lim n n n ; (2)11lim 332+-=∞→k k nk n π;(3)∑=∞→+nk n n k k 1])1(1[lim ; 2.求下列极限: (1)⎪⎪⎭⎫⎝⎛++++++∞→n n n n n 22241241141lim ; 3.求下列极限: (1)⎪⎪⎭⎫⎝⎛++++++∞→22222212111lim n n n n n ; (2)nn nn !lim∞→; (3)∑=∞→++ni n ni n 1211lim。
类型二:利用重要极限求极限的问题 1.求下列极限:(1))0(2cos 2cos 2cos lim 2≠∞→x xx x n n ; (2)n n n n n n 1sin )1(lim 1+∞→+;2.求下列极限: (1)()xx xcos 1120sin 1lim -→+;(3))21ln(103sin 1tan 1lim x x x x x +→⎪⎭⎫⎝⎛++; (4)21cos lim x x x ⎪⎭⎫ ⎝⎛∞→;类型三:利用等价无穷小和麦克劳林公式求极限的问题 1.求下列极限:(1))cos 1(sin 1tan 1lim 0x x xx x -+-+→; (2))cos 1(lim tan 0x x e e x x x --→;(3)]1)3cos 2[(1lim30-+→x x x x ; (4))tan 11(lim 220xx x -→; (5)203)3(lim xx xx x -+→; (6)设A a x x f x x =-+→1)sin )(1ln(lim,求20)(lim x x f x →。
2.求下列极限:xx ex x x sin cos lim3202-→-类型四:极限存在性问题:1.设01,111=-+=+n n x x x ,证明数列}{n x 收敛,并求n n x ∞→lim 。
09考研高等数学强化讲义(第六章)全(2)第六章多元函数微分学§6.1 多元函数的概念、极限与连续性(甲)内容要点一、多元函数的概念1.二元函数的定义及其几何意义设«Skip Record If...»是平面上的一个点集,如果对每个点«Skip Record If...»,按照某一对应规则«Skip Record If...»,变量«Skip Record If...»都有一个值与之对应,则称«Skip Record If...»是变量«Skip Record If...»,«Skip RecordIf...»的二元函数,记以«Skip Record If...»,«Skip Record If...»称为定义域。
二元函数«Skip Record If...»的图形为空间一块曲面,它在«Skip Record If...»平面上的投影域就是定义域«Skip Record If...»。
例如«Skip Record If...»,«Skip Record If...»二元函数的图形为以原点为球心,半径为1的上半球面,其定义域«Skip Record If...»就是«Skip Record If...»平面上以原点为圆心,半径为1的闭圆。
2.三元函数与«Skip Record If...»元函数«Skip Record If...»,«Skip Record If...»空间一个点集,称为三元函数«Skip Record If...»称为«Skip Record If...»元函数。
编号:2012-KY-JY-02742012年考研辅导数学线性代数冲刺班讲义北京海天教育张永怀线性代数冲刺练习一、单项选择题1. 设A 为n 阶矩阵(2≥n ),且0=3A ,则必有 (A )0=A(B )若A 为实对称矩阵,则0=A (C )A 有非零特征值(D )A 可对角化2. 设A 为m n ×实矩阵,且n A r =)(,现有命题: (1)0)det(≠T AA(2)T AA 必与n 阶单位矩阵等价 (3)T AA 必与一对角阵相似(4)T AA 必与n 阶单位矩阵合同上述命题中,错误的个数为:(A )3 (B )2 (C )1 (D )03. 设矩阵),,,(4321αααα=A ,经初等行变换可化为⎟⎟⎟⎠⎞⎜⎜⎜⎝⎛110021103111,则必有(A )3214αααα++=(B )321423αααα++=(C )4321,,,αααα线性无关(D )4321,,,αααα线性相关,但无法给出其关系4.4321,,,αααα是线性方程组⎪⎩⎪⎨⎧=++=++=++254304322321321321x x x x x x x x x 的4个不同的解向量,则向量组342312,,αααααα−−−的秩等于(A )3 (B )2 (C )1 (D )无法确定- 2 -5. 设有线性方程组β=AX ,A 是53×矩阵,且A 的行向量组线性无关,则下列命题中错误的是(A )对任意3维列向量β,β=AX 有无穷多解(B )0=X A T 只有零解 (C )0=AX A T 有非零解(D )对任意5维列向量β,β=X A T 有唯一解6. 设α为3维实非零列向量,T A αα=,则A 一定 (A )没有特征值为零(B )有零特征值为单特征值 (C )有零特征值为二重特征值(D )只有零特征值7. 设βα,分别是矩阵A 的属于特征值λ和μ的特征向量,则 (A )若α与β线性相关,则μλ≠ (B )若α与β线性无关,则μλ≠ (C )若α与β线性相关,则μλ=(D )若α与β线性无关,则μλ=8. 设有矩阵,500520002,502010203,503020012,302210003⎟⎟⎟⎠⎞⎜⎜⎜⎝⎛=⎟⎟⎟⎠⎞⎜⎜⎜⎝⎛=⎟⎟⎟⎠⎞⎜⎜⎜⎝⎛=⎟⎟⎟⎠⎞⎜⎜⎜⎝⎛=Z Y X W 那么与对角阵相似的矩阵是(A )W ,X ,Y(B )W ,Y ,Z(C )X ,Z(D )W ,Y9. 已知110110001A ⎛⎞⎜⎟=⎜⎟⎜⎟⎝⎠,那么下列矩阵110300121110,020,252001000121−⎛⎞⎛⎞⎛⎞⎜⎟⎜⎟⎜⎟−⎜⎟⎜⎟⎜⎟⎜⎟⎜⎟⎜⎟⎝⎠⎝⎠⎝⎠- 3 -中,与A 合同的矩阵个数共有(A )0 (B )1 (C )2 (D )3 10. 实二次型32212322213212442),,(x x x x x x x x x x f −−−+=的标准形为(A )23222132y y y −− (B )23222132y y y −−− (C )22212y y +−(D )23222132y y y ++二、填空题1. 已知(1,2,3),(2,1,0),T T E αβ==是3阶单位矩阵,,T A E αβ=+则1A −=________.2. 已知5阶矩阵A ,其秩1)(>A r ,且0=2A ,则=)(A r ________.3. 设4维行向量321,,ααα线性无关,321,,βββ均为4维非零列向量,且)3,2,1(=j j β与)3,2,1(=i i α均正交,则向量组321,,βββ的秩为________.4. 若3阶奇异矩阵A 满足:0|2|,0||=−=−A E A E ,E 为3阶单位矩阵,则=−|3|A E ________.5. 实二次型232231221321)()2()2(),,(x x x x x x x x x f −+−+−=的规范型是________.6. 设矩阵222222222a A a a −⎛⎞⎜⎟=−−⎜⎟⎜⎟−−⎝⎠是正定矩阵,则a 的取值范围是________. 三、解答题1. 已知1234(,,,)A αααα=是4阶矩阵,若方程组AX β=的通解是(1,2,2,1)(1,2,4,0)T T k +−,设3214(,,,)B αααβα=−,求方程组12BX αα=−的通解.2. 线性方程组- 4 -(i )⎪⎩⎪⎨⎧=++=−++=−++003320242143214321ax x x x x x x x x x x(ii )⎪⎩⎪⎨⎧=++=+++=−++0200425332143214321x bx x x x x x x x x x 已知(i )与(ii )有非零公共解,求b a ,的值及全部非零公共解.3. 设有矩阵⎟⎟⎟⎟⎟⎠⎞⎜⎜⎜⎜⎜⎝⎛−=23202000110101ba A 问常数b a ,取何值时,A 能与对角矩阵相似?此时,求可逆矩阵P ,使AP P 1−为对角矩阵Λ,并给出Λ.4. 设n 阶矩阵A 满足)2(2≥=n E A ,E 为n 阶单位矩阵,已知矩阵E A +的秩,)(r E A r =+n r <≤1,(I )矩阵A 是否可对角化,为什么? (II )求行列式|3|E A +的值. 5. 设有3元实二次型323121232221321222)(),,(x x x x x x x x x x x x f −++++=μ,记T T y y y Y x x x X ),,(,),,(321321==(I )求正交矩阵P ,令PY X =,将二次型f 化为标准形;(II )μ取何值时,二次型为正定的?此时,求可逆矩阵C ,令CY X =,将二次型f 化为规范形.6. (I )证明:n 阶实对称矩A 正定的充分必要条件是A 与单位矩阵合同,即有可逆矩阵C ,使C C A T =;(II )设B A ,均为n 阶正定矩阵,证明:AB 的特征值均为正数; (III )举例说明正定矩阵的乘积未必是正定矩阵.- 5 -(Ⅳ)设B A ,均为n 阶正定矩阵,则方程||0A B λ−=的根λ必为正数.7. (Ⅰ)若已知,A B 为同阶正定矩阵,λ与μ是不同时为零的非负常数,问A B λμ+是否为正定矩阵,为什么?(Ⅱ)设B A ,为同阶实对称矩阵,A 的特征值全大于B a ,的特征值全大于b (b a ,为常数),问:B A +的特征值是否全大于b a +,为什么?8. (Ⅰ)证明:n 阶实矩阵A 为反对称矩阵的充分必要条件是对任意n 维实列向量α,均有0;T A αα=(Ⅱ)证明:对于n 阶实反对称矩阵A ,当实数0t ≠时,A tE +必可逆,其中E 为n 阶单位矩阵.9.(Ⅰ)设A 为正交矩阵,证明:若A 有实特征值λ,则||1λ=;(Ⅱ)设A 为实对称矩阵,若A 所有特征值的绝对值都为1,证明A 为正交矩阵。