最新考研数学高分导学班讲义(汤家凤)汇总
- 格式:doc
- 大小:148.00 KB
- 文档页数:28
汤家凤高等数学辅导讲义摘要:一、汤家凤高等数学辅导讲义的背景和特点1.汤家凤的高等数学辅导讲义在考研数学领域的地位和影响力2.讲义的内容和特点:全面、系统、深入、易懂二、汤家凤高等数学辅导讲义的主要内容1.基本概念和原理的讲解2.典型题型的归纳和解题方法的讲解3.注重基础,强化训练三、汤家凤高等数学辅导讲义的使用建议1.针对不同层次考生的使用建议2.与其他数学复习资料的配合使用建议3.复习策略和技巧的指导正文:汤家凤高等数学辅导讲义是考研数学领域的经典教材,受到了广大考生的青睐。
作者汤家凤老师拥有30 多年的考研数学辅导经验,对考研数学的考试方向和重点有着深刻的理解。
他的高等数学辅导讲义内容全面、系统、深入、易懂,不仅涵盖了所有考研数学知识点,还通过丰富的例题和讲解,使考生能够快速掌握解题方法和技巧。
讲义分为基础篇和提高篇两部分,其中基础篇注重概念和原理的讲解,帮助考生打牢基础;提高篇则针对典型题型进行归纳和解题方法的讲解,帮助考生提高解题能力。
此外,讲义还附有大量的练习题,供考生巩固所学知识。
针对不同层次的考生,汤家凤高等数学辅导讲义有着不同的使用方法。
对于基础较薄弱的考生,可以先从基础篇开始,逐章节学习,并完成相应的练习题;对于基础较好的考生,可以直接进入提高篇,强化训练。
当然,考生也可以根据自身的实际情况,有针对性地选择学习讲义中的部分内容。
在使用汤家凤高等数学辅导讲义的同时,考生还可以搭配其他数学复习资料,如教材、习题集、模拟题等,以提高复习效果。
同时,考生还需注意调整复习策略和技巧,如合理安排时间、分阶段复习、及时总结等,以期在考试中取得理想的成绩。
第一讲 极限与连续主要内容概括〔略〕 重点题型讲解一、极限问题类型一:连加或连乘的求极限问题 1.求以下极限: 〔1〕⎪⎪⎭⎫⎝⎛+-++⨯+⨯∞→)12)(12(1531311lim n n n ; 〔2〕11lim 332+-=∞→k k nk n π;〔3〕∑=∞→+nk nn k k 1])1(1[lim ;2.求以下极限:〔1〕⎪⎪⎭⎫ ⎝⎛++++++∞→n n n n n 22241241141lim ; 3.求以下极限: 〔1〕⎪⎪⎭⎫⎝⎛++++++∞→22222212111lim n n n n n ; 〔2〕nn nn !lim∞→; 〔3〕∑=∞→++ni n ni n 1211lim。
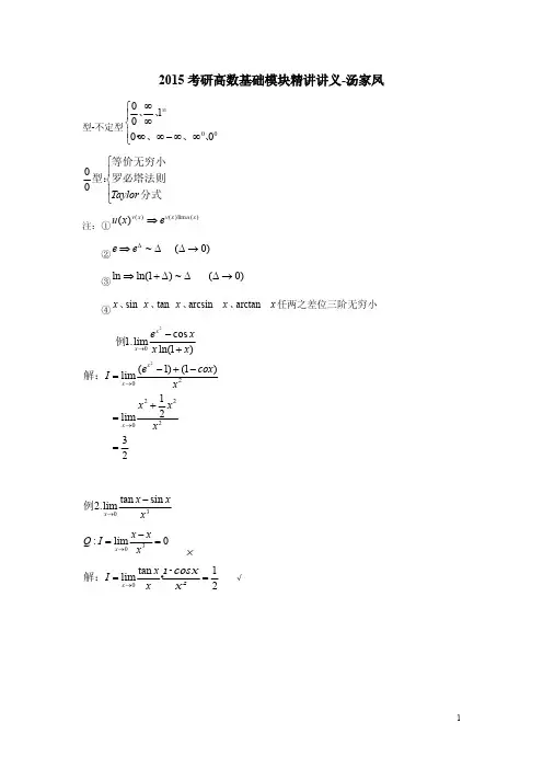
类型二:利用重要极限求极限的问题 1.求以下极限:〔1〕)0(2cos 2cos 2cos lim 2≠∞→x x x x n n ;〔2〕nn n n n n 1sin )1(lim 1+∞→+;2.求以下极限: 〔1〕()xx xcos 1120sin 1lim -→+;〔3〕)21ln(103sin 1tan 1lim x xx x x +→⎪⎭⎫⎝⎛++;〔4〕21cos lim x x x ⎪⎭⎫ ⎝⎛∞→;类型三:利用等价无穷小和麦克劳林公式求极限的问题 1.求以下极限:〔1〕)cos 1(sin 1tan 1lim 0x x xx x -+-+→;〔2〕)cos 1(lim tan 0x x e e x x x --→;〔3〕]1)3cos 2[(1lim30-+→x x x x ; 〔4〕)tan 11(lim 220xx x -→; 〔5〕203)3(lim xx xx x -+→; 〔6〕设A a x x f x x =-+→1)sin )(1ln(lim,求20)(lim x x f x →。
2.求以下极限:xx ex x x sin cos lim 3202-→-类型四:极限存在性问题:1.设01,111=-+=+n n x x x ,证明数列}{n x 收敛,并求n n x ∞→lim 。
2023汤家凤高数辅导讲义重点题型讲解一、序言2023年,汤家凤高数辅导讲义将成为备考学生的必备教材。
汤家凤老师是国内知名的高数教育专家,他的辅导讲义在备考学生中享有很高的声誉。
本文将针对2023汤家凤高数辅导讲义中的重点题型进行深度解析,帮助学生更好地掌握和运用这些题型。
二、基础概念的理解和掌握1. 导数与微分在2023汤家凤高数辅导讲义中,导数与微分是极为重要的章节之一。
我们需要理解导数和微分的基本概念。
导数表示函数在一点上的变化率,而微分是一元函数在某一点附近的线性近似。
这两个概念对于理解函数的变化规律和求解最优化问题至关重要。
2. 不定积分和定积分不定积分和定积分是高数中的核心内容之一,也是汤家凤高数辅导讲义中的重点。
不定积分是原函数的概念,而定积分则表示函数在区间上的“累积”效应。
学生需要熟练掌握不定积分和定积分的计算方法,并理解它们在几何和物理上的应用。
3. 微分方程微分方程作为高数的重要内容,也是2023汤家凤高数辅导讲义中的难点之一。
微分方程描述了变化的规律,它在物理、生物、经济等领域中有着广泛的应用。
学生需要理解微分方程的基本概念和解法,掌握常见的微分方程模型及其应用。
三、深入拓展和综合运用1. 高阶导数和高阶微分在2023汤家凤高数辅导讲义中,高阶导数和高阶微分是需要深入拓展的内容。
高阶导数和高阶微分可以帮助我们更好地理解函数的性质,揭示曲线的突变点和拐点。
学生需要掌握高阶导数和高阶微分的计算方法,并能够灵活运用它们解决实际问题。
2. 曲线积分和曲面积分曲线积分和曲面积分是2023汤家凤高数辅导讲义中的拓展内容,也是考察学生综合运用能力的重点。
曲线积分和曲面积分是多元函数的积分形式,它们在物理和工程等领域中有着重要的应用。
学生需要深入理解曲线积分和曲面积分的概念,掌握其计算方法,并能够灵活运用于实际问题的求解。
四、个人观点和总结回顾2023汤家凤高数辅导讲义中的重点题型涵盖了高数的基础概念和拓展内容,它既具有挑战性又具有实用性。
2013考研数学春季基础班线性代数辅导讲义-主讲:汤家凤第一讲 行列式一、基本概念定义1 逆序—设j i ,是一对不等的正整数,若j i >,则称),(j i 为一对逆序。
定义2 逆序数—设n i i i 21是n ,,2,1 的一个排列,该排列所含逆序总数称为该排列的逆序数,记为)(21n i i i τ,逆序数为奇数的排列称为奇排列,逆序数为偶数的排列称为偶排列。
定义3 行列式—称nnn n nna a a a a a a a a D212222111211=称为n 阶行列式,规定n nn nj j j j j j j j j a a a D 21212121)()1(∑-=τ。
定义 4 余子式与代数余子式—把行列式nnn n nna a a a a a a a a D 212222111211=中元素ij a 所在的i 行元素和j 列元素去掉,剩下的1-n 行和1-n 列元素按照元素原来的排列次序构成的1-n 阶行列式,称为元素ij a 的余子式,记为ij M ,称ij ji ij M A +-=)1(为元素ij a 的代数余子式。
二、几个特殊的高阶行列式1、对角行列式—形如na a a 00000021称为对角行列式,n n a a a a a a212100000=。
2、上(下)三角行列式—称nnn na a a a a a 022211211及nnn n a a a a aa212221110为上(下)三角行列式,nn nnnn a a a a a a a a a221122211211000=,nn nnn n a a a a a a a a a2211212221110=。
3、||||B A BO O A ⋅=,||||B A BO C A ⋅=,||||B A BCO A ⋅=。
4、范得蒙行列式—形如112112121111),,,(---=n nn n nn a a a a a a a a a V称为n 阶范得蒙行列式,且ni j j i n nn n nn a a a a a a a a a a a V ≤<≤----==1112112121)(111),,,(。
概率论与数理统计概率论与数理统计是一门研究客观世界随机现象及其统计规律的学科,也是高等院校工程类和经济管理类专业的一门重要的基础课,更是全国硕士研究生招生考试数学一和数学三的重要考查内容,分值约占总分的20%。
本书根据概率论与数理统计课程的教学要求及全国硕士研究生招生考试的数学考试大纲编写而成。
本书作者在高校从事概率统计教学工作接近三十年,指导全国硕士研究生招生考试数学(包括高等数学、线性代数、概率统计)复习二十六年,有极其丰富的教学经验。
本书理论体系清晰系统,原理讲解深入浅出、通俗易懂,重要考点把握精准。
使用本书可以帮助考生迅速掌握概率统计的理论架构,提高考生分析问题、解决问题的能力。
本书的主要特点有:1.对各章知识进行系统总结基本概念理解到位、理解原理和性质的内涵及使用方法,清晰易懂,层次分明。
关键知识点后添加必要的注解,使重点更加突岀,提高相应知识的深度和广度。
2.对各章基本题型及重要考点进行分类与高等数学和线性代数相比,概率统计的重要考点相对较少,本书将每章的重要考点以题型的形式总结出来,同时在各题型中安排各章的小考点,给出各种题型的规范解法和解题思路,方法力求简明扼要。
希望本书的出版能帮助考生在较短的时间内,系统掌握概率统计的基本理论、基本题型及解题方法,提高利用数学理论解决实际问题的能九轻松应对研究生入学考试的概率统计部分。
本书可作为高校概率统计课程配套的参考资料,也可作为成人教育、教师和科技工作者的参考用书,希望本书能成为广大读者的良师益友。
本书若有不到之处,恳请读者批评指正。
汤老师微博汤老师微信公众号汤老师一直播ID:186288809汤家凤2021年3月于南京S^CONTENTS^^第一章随机事件与概率 (1)本章理论体系 (1)经典题型讲解 (7)题型一事件的关系与运算、概率基本公式 (7)题型二事件的独立性 (9)题型三三种常见的概型 (10)题型四全概率公式与贝叶斯公式 (11)第二章一维随机变量及其分布 (15)本章理论体系 (15)经典题型讲解 (20)题型一一维离散型随机变量的分布律与分布函数 (20)题型二一维连续型随机变量的概率密度与分布函数 (23)题型三一维既非离散又非连续型随机变量的分布函数 (28)题型四随机变量函数的分布 (28)第三章二维随机变量及其分布 (35)本章理论体系 (35)经典题型讲解 (40)题型一二维离散型随机变量的联合分布、边缘分布 (40)题型二二维连续型随机变量的联合分布、边缘分布 (42)题型三二维随机变量的条件分布、独立性 (45)题型四二维随机变量函数的分布 (51)第四章随机变量的数字特征 (61)本章理论体系 (61)经典题型讲解 (64)题型一离散型随机变量的数字特征 (64)题型二连续型随机变量的数字特征 (69)题型三多维随机变量的数字特征 (70)题型四相关性与独立性 (74)第五章大数定律与中心极限定理 (78)本章理论体系 (78)经典题型讲解 (80)1题型一切比雪夫不等式 (80)题型二大数走律 (81)题型三中心极限定理 (81)第六章数理统计基本概念 (84)本章理论体系 (84)经典题型讲解 (90)题型一统计量的基本概念 (90)题型二三个扌由样分布 (91)题型三分位点 (95)题型四统计学的数字特征与概率 (96)第七章参数估计 (99)本章理论体系 (99)经典题型讲解 (104)题型一离散型总体参数的点估计 (104)题型二连续型随机变量参数的点估计 (106)题型三估计量的无偏性(数学三不要求) (111)题型四参数的区间估计(数学三不要求) (115)第八章假设检验(数学三不要求) (117)本章理论体系 (117)经典题型讲解 (122)题型一-个正态总体的假设检验 (122)题型二两个正态总体的假设检验 (123)2机事件与概率藝存彖一、随机试验与随机事件定义H随机试验设E为随机试验,若满足如下条件:(1)在相同的条件下该试验可重复进行;(2)试验的结果是多样的且所有可能的结果在试验前都是确定的;(3)某次试验之前不确定具体发生的结果,这样的试验称为随机试验,简称试验,一般用字母E表示.定义何样本空间设E为随机试验,随机试验E的所有可能的基本结果所组成的集合,称为随机试验E的样本空间,记为0,0中的任意一个元素称为样本点.(1)样本空间中所有元素为随机试验的最基本的结果,即所有元素都具有不可再分性;(2)样本空间必须是所有可能的基本结果,即具有完备性,且同一个基本结果在样本空间中只出现一次.定义❸随机事件设E为随机试验4为其样本空间,则O的子集称为随机事件,其中0称为不可能事件称为必然事件.例如:一个均匀的正六面体的骰子,六个面分别标有1、2、3、4、5、6,随机扔骰子,该试验骰子朝上一面的数字的样本空间为0={1,2,3,4,5,6},事件A={2,4,6},表示“扔骰子后朝上的面的数为偶数”,事件B={1,2,3},表示“扔骰子后朝上的面的数不超过3”.二、事件的运算与关系(-)事件的运算定义❹事件的积设为两个随机事件,则事件A与事件B同时发生的事件.称为事件的积事件,记为43或A A B,如图1-1所示.图1-11>»考研数学概率论与数理统计辅导教程定义目事件的和设A,£为两个事件,则事件A或事件£发生的事件(或事件A,B至少有一个发生的事件),称为事件的和事件,记为A+B或A U如图1-2所示.AUB图1-2定义❻事件的差设A,B为两个随机事件,则事件A发生而事件B不发生的事件,称为事件的差事件,记为A—3,如图1-3所示.A-B图1-3定义❼出件的补设。
Αα阿尔法alfaΒβ贝塔bitaΓγ伽马gamaΔδ德耳塔dêltaΕε艾普西龙êpsilonΖζ截塔zitaΗη艾塔yitaΘθ西塔sitaΙι约塔yotaΚκ卡帕kapa∧λ兰布达lamdaΜμ米尤miuΝν纽niuΞξ克西ksaiΟο奥密克戎oumikelong ∏π派paiΡρ若rou∑σ西格马sigmaΤτ套taoΦφ斐faiΧχ喜haiΥυ宇普西龙yupsilonΨψ普西psaiΩω欧米伽omiga第一章概率论的基本概念§1.1随机试验E–试验:1.相同条件下可重复进行2.结果多样的,实验前所有可能的结果是确定的3.实验前不确定具体的结果若E满足1~3,称E为随机试验§1.2样本空间、随机事件一、样本空间E为随机试验,E的所有可能基本结果组成的集合,称为E的样本空间,记为S。
样本空间二、随机事件试验E的样本空间S的子集为E的随机事件,简称事件。
在每次实验中,当且仅当这一子集中的一个样本点出现时,称这一事件发生.由一个样本点组成的单点集,称为基本事件.S∈S,S称为必然事件.∅∈S,∅称为不可能事件.三、事件间的关系与事件的运算(一)关系(二)计算1)交换律A∪B=B∪A;A∩B=B∩A .2)结合律A∪(B∪C)=(A∪B)∪C;A∩(B∩C)=(A∩B)∩C .3)分配律A∪(B∩C)=(A∪B)∩(A∪C);A∩(B∪C)=(A∩B)∪(A∩C) .4)德摩根律̅̅̅̅̅̅̅=A∩B̅;A∪B̅̅̅̅̅̅̅=A∪B̅ .A∩B§1.3频率与概率一、频率定义在相同的条件下,进行n次试验,在这n次试验中,事件A发生的次数n A称为事件A发称为事件A发生的频率,并记为f n(A).送的频数,比值n An由定义,得下述基本性质1)0≤f n(A)≤1;2)f n(S)=1;3)若A1,A2,…,A k是两个互不相容的事件,则f n(A1∪A2∪…∪A k)=f n(A1)+f n(A2)+⋯+f n(A k)二、概率定义设E是随机事件,S是它的样本空间,对于E的每一事件A赋予一个实数,记为P(A),称为事件A的概率,如果集合函数P(·)满足下列条件:1)非负性:∀A∈S,P(A)≥0;2)规范性:对于必然事件S,有P(S)=1;3)可列可加性:设A1,A2,…是两两互斥的事件,即对于A i A j=∅,i≠j,i,j=1,2,…,有P(A1∪A2∪…)=P(A1)+P(A2)+⋯三、概率基本性质1.2.=P(A1)+⋯+P(A n)3.4.5.)−P(AC)+P(ABC)§1.4等可能概型(古典概型)随机实验E1,E5,满足:1)实验的样本空间只包含有限个元素;2)实验中每个基本事件发生的可能性相同则这种实验称为等可能概型(古典概型)若事件A包含k个基本事件,则有P(A)=A包含的基本事件数S中基本事件的总数=kn例2一个口袋有6只球,其中4只白球,2只红球。
课程配套讲义说明1、配套课程名称2013年考研数学高数中值定理及定积分公开课(汤家凤)2、课程内容此课程为2013年考研数学高数部分的公开课,主要讲授定积分部分。
3、主讲师资汤家凤——主讲高等数学、线性代数。
著名考研辅导专家,南京大学博士,南京工业大学教授,江苏省大学生数学竞赛优秀指导教师。
凭借多年从事考研阅卷工作的经验,通过自己的归纳总结,在课堂上为学生列举大量以往考过的经典例子。
深入浅出,融会贯通,让学生真正掌握正确的解题方法。
4、讲义:6页(电子版)文都网校2011年5月27日公开课二:定积分理论一、实际应用背景1、运动问题—设物体运动速度为)(t v v =,求],[b a t ∈上物体走过的路程。
(1)取b t t t a n =<<<= 10,],[],[],[],[12110n n t t t t t t b a -⋃⋃⋃= , 其中)1(1n i t t t i i i ≤≤-=∆-; (2)任取)1](,[1n i x x i i i ≤≤∈-ξ,ini it f S ∆≈∑=)(1ξ;(3)取}{max 1i ni x ∆=≤≤λ,则ini ix f S ∆=∑=→)(lim1ξλ2、曲边梯形的面积—设曲线)(0)(:b x a x f y L ≤≤≥=,由b x a x L ==,,及x 轴围成的区域称为曲边梯形,求其面积。
(1)取b x x x a n =<<<= 10,],[],[],[],[12110n n x x x x x x b a -⋃⋃⋃= , 其中)1(1n i x x x i i i ≤≤-=∆-; (2)任取)1](,[1n i x x i i i ≤≤∈-ξ,ini ix f A ∆≈∑=)(1ξ;(3)取}{max 1i ni x ∆=≤≤λ,则ini ix f A ∆=∑=→)(lim1ξλ。
二、定积分理论(一)定积分的定义—设)(x f 为],[b a 上的有界函数,(1)取b x x x a n =<<<= 10,],[],[],[],[12110n n x x x x x x b a -⋃⋃⋃= , 其中)1(1n i x x x i i i ≤≤-=∆-; (2)任取)1](,[1n i x x i i i ≤≤∈-ξ,作ini ix f ∆∑=)(1ξ;(3)取}{m a x 1i ni x ∆=≤≤λ,若ini ix f ∆∑=→)(lim 1ξλ存在,称)(x f 在],[b a 上可积,极限称为)(x f 在],[b a 上的定积分,记⎰badx x f )(,即⎰badx x f )(i ni i x f ∆=∑=→)(lim 1ξλ。
2015考研数学导学班辅导讲义高等数学部分第一章极限与连续第一部分函数的初等特性1、函数的奇偶性—设函数)(x f 的定义域关于原点对称,若)()(x f x f =−,称)(x f 为偶函数;若)()(x f x f −=−,称)(x f 为奇函数。
【例1】判断函数)1ln()(2x x x f ++=的奇偶性,并求其反函数。
2、函数的周期性—设)(x f 的定义域为D ,若存在0>T ,使得对任意的D x ∈,有D T x ∈+且)()(x f T x f =+,称)(x f 为周期函数。
【例2】讨论函数][)(x x x f −=的周期性。
3、函数的单调性—设对任意的D x x ∈21,且21x x <,有)()(21x f x f <,称)(x f 在D 上为单调增函数,反之称为单调减函数。
4、函数的有界性—若存在0>M ,对任意的D x ∈,有M x f ≤|)(|,称)(x f 在D 上有界。
第二部分极限一、定义1、极限的定义(1)数列极限(N −ε)—若对任意的0>ε,总存在0>N ,当N n >时,有ε<−||A a n 成立,称数列}{n a 以A 为极限,记为A a n n =∞→lim 。
(2)函数)(x f 当a x →时的极限(δε−)—若对任意的0>ε,总存在0>δ,当δ<−<||0a x 时,有ε<−|)(|A x f 成立,称A 为)(x f 当a x →时的极限,记为A x f ax =→)(lim 。
(3)函数)(x f 当∞→x 时的极限(X −ε)—若对任意的0>ε,存在0>X ,当X x >||时,有ε<−|)(|A x f成立,称A 为)(x f 当∞→x 时的极限,记为A x f x =∞→)(lim 。
【注解】(1)a x →的含义为⎩⎨⎧+→−→≠a x a x ax 和。
2013考研数学高数定积分公开课讲义(汤家凤)课程配套讲义说明1、配套课程名称2013年考研数学高数中值定理及定积分公开课(汤家凤)2、课程内容此课程为2013年考研数学高数部分的公开课,主要讲授定积分部分。
3、主讲师资汤家凤——主讲高等数学、线性代数。
著名考研辅导专家,南京大学博士,南京工业大学教授,江苏省大学生数学竞赛优秀指导教师。
凭借多年从事考研阅卷工作的经验,通过自己的归纳总结,在课堂上为学生列举大量以往考过的经典例子。
深入浅出,融会贯通,让学生真正掌握正确的解题方法。
4、讲义:6页(电子版)文都网校 2011年5月27日公开课二:定积分理论一、实际应用背景1、运动问题—设物体运动速度为«Skip Record If...»,求«Skip Record If...»上物体走过的路程。
(1)取«Skip Record If...»,«Skip Record If...»,其中«Skip Record If...»;(2)任取«Skip Record If...»,«Skip Record If...»;(3)取«Skip Record If...»,则«Skip Record If...»2、曲边梯形的面积—设曲线«Skip Record If...»,由«Skip Record If...»及«Skip Record If...»轴围成的区域称为曲边梯形,求其面积。
(1)取«Skip Record If...»,«Skip Record If...»,其中«Skip Record If...»;(2)任取«Skip Record If...»,«Skip Record If...»;(3)取«Skip Record If...»,则«Skip Record If...»。
课程配套讲义说明1、配套课程名称2013年考研数学高分导学(汤家凤,16课时)2、课程内容此课件为汤家凤老师主讲的2013考研数学高分导学班课程。
此课程包含线代和高数,请各位学员注意查看。
3、主讲师资汤家凤——文都独家授课师资,数学博士,教授,全国著名考研数学辅导专家,全国唯一一个能脱稿全程主讲的数学辅导老师,全国大学生数学竞赛优秀指导老师。
汤老师对数学有着极其精深的研究,方法独到。
汤老师正是凭借多年从事考研阅卷工作的经验,通过自己的归纳总结,在课堂上为学生列举大量以往考过的经典例子。
深入浅出,融会贯通,让学生真正掌握正确的解题方法。
严谨的思维、激情的课堂,轻松的学习,这是汤老师课堂的特色!主讲:高等数学、线性代数。
4、讲义20页(电子版)文都网校2011年9月15日2013考研数学高分导学班讲义线性代数部分—矩阵理论一、矩阵基本概念1、矩阵的定义—形如⎪⎪⎪⎪⎪⎭⎫⎝⎛mn m m n n a a a a a a a a a 212222111211,称为矩阵n m ⨯,记为n m ij a A ⨯=)(。
特殊矩阵有(1)零矩阵—所有元素皆为零的矩阵称为零矩阵。
(2)方阵—行数和列数都相等的矩阵称为方阵。
(3)单位矩阵—主对角线上元素皆为1其余元素皆为零的矩阵称为单位矩阵。
(4)对称矩阵—元素关于主对角线成轴对称的矩阵称为对称矩阵。
2、同型矩阵—行数和列数相同的矩阵称为同型矩阵。
若两个矩阵同型且对应元素相同,称两个矩阵相等。
3、矩阵运算(1)矩阵加、减法:⎪⎪⎪⎪⎪⎭⎫⎝⎛=⎪⎪⎪⎪⎪⎭⎫ ⎝⎛=mn m m n n mn m m n n b b b b b b b b b B a a a a a a a a a A 212222111211212222111211,,则⎪⎪⎪⎪⎪⎭⎫⎝⎛±±±±±±±±±=±mn mn m m m m n n n n b a b a ba b a b a b a b a b a b a B A221122222221211112121111。
汤家凤高等数学辅导讲义【最新版】目录一、汤家凤《高等数学辅导讲义》简介二、讲义的主要特点和优势三、讲义的内容和结构四、如何有效利用讲义进行高等数学学习五、结论正文一、汤家凤《高等数学辅导讲义》简介汤家凤《高等数学辅导讲义》是一本针对考研数学一、数学二、数学三考试的辅导书籍。
本书由考研数学辅导老师汤家凤编写,总结了全国硕士研究生招生考试数学部分涉及的高等数学基础知识,包括基本概念、基本原理和基本公式,精选了典型的基本题型和综合题型,并对解题方法进行了详尽的讲解。
二、讲义的主要特点和优势1.全面系统:汤家凤《高等数学辅导讲义》系统全面地总结和概括了考研数学涉及的高等数学部分的基础知识,帮助考生深入了解考试重点。
2.精选题型:本书精选了 76 种题型,涵盖了 36 类知识点,可以帮助考生全面掌握考试中可能出现的各种题型。
3.详尽讲解:汤家凤老师在书中对每个题型的解题方法进行了详尽的讲解,并附有典型例题,方便考生学习和参考。
4.适用广泛:本书适用于数学一、数学二、数学三的考生,无论您报考哪一类数学,都可以从本书中找到适合自己的学习内容。
三、讲义的内容和结构汤家凤《高等数学辅导讲义》共分为若干章,每章内容包括:考察要求、核心题型、题型解析和练习题。
书中按照考试大纲编写,既注重基础知识的讲解,又注重解题技巧的传授。
四、如何有效利用讲义进行高等数学学习1.熟悉考试大纲:在学习讲义之前,要先了解考试大纲的要求,明确学习目标和重点。
2.系统学习:按照讲义的章节顺序进行学习,从基础知识开始,逐步掌握题型和解题方法。
3.多做练习:通过做练习题来检验自己的学习效果,及时发现并弥补知识漏洞。
4.及时复习:学习过程中要适时进行复习,加深对知识点的理解和记忆。
5.交流讨论:与同学或老师进行交流和讨论,共同进步。
五、结论汤家凤《高等数学辅导讲义》是一本非常适合考研数学考生的辅导书籍,全面系统地总结了考试重点和解题技巧。
第一讲 极限与连续主要内容归纳(略)要点题型解说一、极限问题种类一:连加或连乘的求极限问题 1.求以下极限:( 1) lim111;n13 35(2n1)(2n 1)( 2) limnk 3 1 ;1nk 2k 3n( 3) lim [nk 11] n ;k (k 1)2.求以下极限:( 1) lim111;222n4n 14n24nn3.求以下极限:( 1) lim111;22222nn 2 n n21 n( 2) lim nn!;nnn 1( 3) lim。
ni2i 11nn种类二:利用重要极限求极限的问题 1.求以下极限:( 1) lim cos x cos xcos x(x0) ;( n 1) n 112 n ( 2) limnsin;n222nnn2.求以下极限:1( 1) lim 1 sin x 2 1 cos x ;x 011( 3) lim1 tan x x 3ln(1 2 x)(4) lim cos1 sin x;xx 0x种类三:利用等价无量小和麦克劳林公式求极限的问题1.求以下极限:x 2;( 1) lim1 tan x 1 sin x ;( 2) lime tan xe x ;x 0x(1 cosx) x 0x(1 cosx)( 3) lim1 2 cos xx1] ;( 4) lim (11) ;x 3 [(3)x 2tan 2x 0xx( 5) lim(3 x) x3 x2;x 0xln(1 f (x) ) f (x)( 6)设 lim sin xA ,求 lim 。
x2x 0 a 1 x 0 xx 22.求以下极限: lim cos x e 23x 0x sin x种类四:极限存在性问题:1.设 x 1 1, x n 11 x n0 ,证明数列 { x n } 收敛,并求 lim x n 。
nnn2.设 f ( x) 在 [ 0, ) 上单一减少、非负、连续, a nf (k)f (x)dx(n 1,2, ) ,证明:k11lim a n 存在。
下载温馨提示:该文档是我店铺精心编制而成,希望大家下载以后,能够帮助大家解决实际的问题。
文档下载后可定制随意修改,请根据实际需要进行相应的调整和使用,谢谢!并且,本店铺为大家提供各种各样类型的实用资料,如教育随笔、日记赏析、句子摘抄、古诗大全、经典美文、话题作文、工作总结、词语解析、文案摘录、其他资料等等,如想了解不同资料格式和写法,敬请关注!Download tips: This document is carefully compiled by theeditor. I hope that after you download them,they can help yousolve practical problems. The document can be customized andmodified after downloading,please adjust and use it according toactual needs, thank you!In addition, our shop provides you with various types ofpractical materials,such as educational essays, diaryappreciation,sentence excerpts,ancient poems,classic articles,topic composition,work summary,word parsing,copy excerpts,other materials and so on,want to know different data formats andwriting methods,please pay attention!当涉及高等数学基础,2025年的汤家凤可能会涉及到许多重要的数学概念和原理。
以下是一些可能包括在这篇文章中的主题和内容:1. 新的数学领域和发展:2025年,汤家凤可能会介绍一些新兴的数学领域和发展,比如量子数学、深度学习在数学中的应用等。
2023汤家凤高数辅导讲义重点题型讲解2023汤家凤高数辅导讲义重点题型讲解一、引言在学习高数的过程中,很多同学常常会遇到一些难以理解的题型,对于这些难点如何去解决,很多同学表示困惑。
针对这一问题,2023汤家凤高数辅导讲义给出了重点题型讲解,帮助学生更好地掌握高数知识。
本文将围绕2023汤家凤高数辅导讲义中的重点题型展开讲解,帮助大家更好地理解和掌握这些题型。
二、基本概念在开始具体的题型讲解之前,首先需要对一些基本概念进行梳理和理解。
在高数学习中,函数、极限、导数、积分等概念是非常重要的基础知识。
在2023汤家凤高数辅导讲义中,对这些基本概念进行了系统全面的讲解,以便学生能够建立起牢固的基础。
只有在理解了这些基本概念之后,才能更好地应对各种题型的解答。
三、重点题型讲解1.函数的应用在高数学习中,函数的应用是一个非常重要的内容。
2023汤家凤高数辅导讲义中对函数的应用进行了深入浅出的讲解,从一些基本的函数图像分析到函数的极值、最值等题型的讲解。
通过对函数的应用进行系统的学习,可以帮助学生更好地理解和掌握函数的相关知识。
2.极限的计算极限是高数学习中的难点之一,在解题过程中经常会遇到各种各样的极限计算题型。
2023汤家凤高数辅导讲义中对极限的计算进行了详细的讲解,涵盖了极限的性质、极限存在的条件、无穷小量的化简等内容。
通过对极限的计算进行系统的学习,可以帮助学生更好地掌握极限的计算方法。
3.导数的应用导数作为高数学习中的重要内容,其应用也是非常广泛的。
在2023汤家凤高数辅导讲义中,对导数的应用进行了全面的讲解,包括了导数的概念、性质、求导法则以及导数在各种问题中的应用等内容。
通过对导数应用进行系统的学习,可以帮助学生更好地理解和掌握导数的相关知识。
4.积分的计算积分作为高数学习中的重要内容,其计算也是需要重点掌握的部分。
在2023汤家凤高数辅导讲义中,对积分的计算进行了详细的讲解,包括了不定积分、定积分、换元积分法、分部积分法以及积分在各种问题中的应用等内容。
汤家凤高数辅导讲义24页例题5(原创版)目录一、汤家凤高数辅导讲义简介二、例题 5 的题目及解题思路三、例题 5 的详细解答过程四、如何更好地学习高数辅导讲义正文一、汤家凤高数辅导讲义简介汤家凤高数辅导讲义是针对考研数学的高等数学部分编写的一本辅导书籍。
本书由汤家凤老师编著,内容涵盖了高等数学的主要知识点,包括函数、极限、导数、积分等。
书中提供了大量的例题和习题,旨在帮助学生更好地理解和掌握高等数学的知识点。
二、例题 5 的题目及解题思路例题 5 的题目为:“设函数 f(x) = x^3 - 6x^2 + 9x,求 f(x) 在区间 [0, 6] 上的最大值。
”解题思路如下:1.求函数的导数 f"(x) = 3x^2 - 12x + 9。
2.解关于导数的不等式 f"(x) > 0 和 f"(x) < 0,得到函数的单调区间。
3.在单调区间内找到函数的极值点,并比较极值点与端点的函数值,得到最大值。
三、例题 5 的详细解答过程1.求导数:f"(x) = 3x^2 - 12x + 9。
2.解关于导数的不等式:当 f"(x) > 0 时,有 3x^2 - 12x + 9 > 0,解得 x < 1 或 x > 3。
当 f"(x) < 0 时,有 3x^2 - 12x + 9 < 0,解得 1 < x < 3。
3.找到极值点:f"(x) = 0,解得 x = 1 或 x = 3。
将极值点代入原函数,得到 f(1) = 4,f(3) = 9。
4.比较极值点与端点的函数值:f(0) = 0,f(6) = 54。
因此,在区间 [0, 6] 上,函数的最大值为 9,取到的点为 x = 3。
四、如何更好地学习高数辅导讲义1.结合视频课程学习:可以观看汤家凤老师的视频课程,辅助理解辅导讲义中的知识点和例题。
2024考研汤家凤高等数学辅导讲义(实用版)目录1.2024 考研汤家凤高等数学辅导讲义概述2.汤家凤辅导讲义的内容特点3.如何获取 2024 考研汤家凤高等数学辅导讲义4.汤家凤辅导讲义对考研数学的帮助正文一、2024 考研汤家凤高等数学辅导讲义概述2024 考研汤家凤高等数学辅导讲义是一本针对考研数学的高等数学辅导书籍,由著名数学教育专家汤家凤编写。
这本书旨在帮助广大考研学生更好地掌握高等数学的知识点,提高考研数学成绩。
二、汤家凤辅导讲义的内容特点1.系统性强:汤家凤辅导讲义全面覆盖了考研数学高等数学部分的所有知识点,从基本概念到复杂题目,都有详细讲解。
2.重点突出:汤家凤辅导讲义针对考研数学的考试重点进行了重点讲解,帮助学生把握考试命脉,提高答题效率。
3.技巧性强:汤家凤辅导讲义总结了大量解题技巧和方法,帮助学生快速解决各类题目,提高答题速度。
4.实用性强:汤家凤辅导讲义提供了大量实例和练习题,帮助学生巩固所学知识,提高实际解题能力。
三、如何获取 2024 考研汤家凤高等数学辅导讲义想要获取 2024 考研汤家凤高等数学辅导讲义,可以关注汤家凤的官方公众号或在线教育平台,也可以在各大书店或网络书店购买。
同时,一些考研交流群组也会分享电子版的讲义,可以加入相关群组进行获取。
四、汤家凤辅导讲义对考研数学的帮助1.提高理论水平:通过学习汤家凤辅导讲义,可以系统地掌握高等数学的理论知识,为考研数学打下坚实的基础。
2.提高解题能力:汤家凤辅导讲义中总结了大量解题技巧和方法,可以帮助学生提高解题能力,迅速提高考研数学成绩。
3.提高应试水平:汤家凤辅导讲义针对考研数学的考试重点进行了重点讲解,可以帮助学生把握考试命脉,提高答题效率和准确率。
2013考研数学高分导学班讲义(汤家凤)课程配套讲义说明1、配套课程名称2013年考研数学高分导学(汤家凤,16课时)2、课程内容此课件为汤家凤老师主讲的2013考研数学高分导学班课程。
此课程包含线代和高数,请各位学员注意查看。
3、主讲师资汤家凤——文都独家授课师资,数学博士,教授,全国著名考研数学辅导专家,全国唯一一个能脱稿全程主讲的数学辅导老师,全国大学生数学竞赛优秀指导老师。
汤老师对数学有着极其精深的研究,方法独到。
汤老师正是凭借多年从事考研阅卷工作的经验,通过自己的归纳总结,在课堂上为学生列举大量以往考过的经典例子。
深入浅出,融会贯通,让学生真正掌握正确的解题方法。
严谨的思维、激情的课堂,轻松的学习,这是汤老师课堂的特色!主讲:高等数学、线性代数。
4、讲义20页(电子版)文都网校 2011年9月15日仅供学习与交流,如有侵权请联系网站删除谢谢22013考研数学高分导学班讲义线性代数部分—矩阵理论一、矩阵基本概念1、矩阵的定义—形如«Skip Record If...»,称为矩阵«Skip Record If...»,记为«Skip Record If...»。
特殊矩阵有(1)零矩阵—所有元素皆为零的矩阵称为零矩阵。
(2)方阵—行数和列数都相等的矩阵称为方阵。
(3)单位矩阵—主对角线上元素皆为1其余元素皆为零的矩阵称为单位矩阵。
(4)对称矩阵—元素关于主对角线成轴对称的矩阵称为对称矩阵。
2、同型矩阵—行数和列数相同的矩阵称为同型矩阵。
若两个矩阵同型且对应元素相同,称两个矩阵相等。
3、矩阵运算(1)矩阵加、减法:«Skip Record If...»,则«Skip Record If...»。
(2)数与矩阵之积:«Skip Record If...»。
(3)矩阵与矩阵之积:仅供学习与交流,如有侵权请联系网站删除谢谢3设«Skip Record If...»,则«Skip Record If...»,其中«Skip Record If...»(«Skip Record If...»)【注解】(1)«Skip Record If...»不一定有«Skip Record If...»或«Skip Record If...»。
(2)矩阵乘法没有交换律。
(3)含方阵«Skip Record If...»的矩阵多项式可象普通多项式一样因式分解的充分必要条件是«Skip Record If...»。
(4)设«Skip Record If...»,则定义«Skip Record If...»,且关于矩阵«Skip Record If...»的矩阵多项式可因式分解。
二、方程组的矩阵形式及解的概况方程组的基本形式为«Skip Record If...»(1)称(1)为齐次线性方程组。
«Skip Record If...»(2)称(2)为非齐线性方程组。
令 «Skip Record If...»,«Skip Record If...»,«Skip Record If...»,则(1)、(2)可分别表示为矩阵形式:«Skip Record If...»(1)及仅供学习与交流,如有侵权请联系网站删除谢谢4«Skip Record If...»(2)对方程组(1):【例题1】讨论方程组«Skip Record If...»解的情况,并分析原因。
【例题2】讨论方程组«Skip Record If...»解的情况,并分析原因。
对方程组(2):【例题1】讨论方程组«Skip Record If...»解的情况,并分析原因。
【例题2】讨论方程组«Skip Record If...»解的情况,并分析原因。
【例题3】讨论方程组«Skip Record If...»解的情况,并分析原因。
三、矩阵问题的产生初一数学问题:解一元一次方程«Skip Record If...»情形一:当«Skip Record If...»时,«Skip Record If...»两边同时乘以«Skip Record If...»得«Skip Record If...»,于是«Skip Record If...»;情形二:当«Skip Record If...»时,方程«Skip Record If...»无解;情形三:当«Skip Record If...»时,方程«Skip Record If...»有无数个解。
线性方程组的类似问题:讨论方程组«Skip Record If...»的解情形一:«Skip Record If...»是«Skip Record If...»阶方阵,且存在«Skip Record If...»,使得«Skip Record If...»由«Skip Record If...»两边左乘«Skip Record If...»得«Skip Record If...»,于是«Skip Record If...»;仅供学习与交流,如有侵权请联系网站删除谢谢5情形二:«Skip Record If...»虽然是«Skip Record If...»阶矩阵,但不存在«Skip Record If...»,使得«Skip Record If...»方程组«Skip Record If...»是否有解及解的情况;情形三:«Skip Record If...»是«Skip Record If...»矩阵,且«Skip Record If...»方程组«Skip Record If...»是否有解及解的情况。
【注解】(1)第一种解的情况产生矩阵的第一个核心问题—矩阵的逆阵。
(2)第二、三两种情形产生矩阵的另一个核心问题—矩阵的秩。
四、矩阵两大核心为题(一)逆阵1、定义—设«Skip Record If...»为«Skip Record If...»阶矩阵,若存在«Skip Record If...»阶矩阵«Skip Record If...»,使得«Skip Record If...»,则称«Skip Record If...»为可逆矩阵,«Skip Record If...»称为«Skip Record If...»的逆矩阵,记为«Skip Record If...»。
2、两个问题【问题1】给定一个«Skip Record If...»阶矩阵«Skip Record If...»,是否存在可逆矩阵(事实上不存在可逆矩阵的矩阵大量存在)?【问题2】若«Skip Record If...»阶矩阵«Skip Record If...»可逆(即逆矩阵存在),如何求其逆矩阵?3、矩阵可逆充分必要条件仅供学习与交流,如有侵权请联系网站删除谢谢6定理设«Skip Record If...»为«Skip Record If...»阶矩阵,则«Skip Record If...»可逆的充分必要条件是«Skip Record If...»。
4、求矩阵逆阵的方法方法一:伴随矩阵法(略)方法二:初等变换法第一步方程组的三种同解变形(1)对调两个方程的位置方程组的解不变;(2)某个方程两边同乘以一个非零常数方程组的解不变;(3)某个方程的倍数加到另一个方程方程组的解不变。
第二步矩阵的三种初等行变换(1)对调矩阵的两行;(2)矩阵的某行同乘以一个非零常数;(3)矩阵某行的倍数加到另一行。
第三步三种初等矩阵(1)«Skip Record If...»—单位矩阵的«Skip Record If...»行与«Skip Record If...»行对调或者«Skip Record If...»列与«Skip Record If...»列对调所得的矩阵。
性质:1)«Skip Record If...»; 2)«Skip Record If...»或者«Skip Record If...»;3)«Skip Record If...»为将«Skip Record If...»的«Skip Record If...»行与«Skip Record If...»行对调所得的矩阵,«Skip Record If...»为将«Skip Record If...»的«Skip Record If...»列与«Skip Record If...»列对调所得的矩阵。
(2)«Skip Record If...»—单位矩阵的«Skip Record If...»行乘以«Skip Record If...»或单位矩阵的«Skip Record If...»列乘以«Skip Record If...»。