第3章先验分布的确定
- 格式:ppt
- 大小:1.84 MB
- 文档页数:95
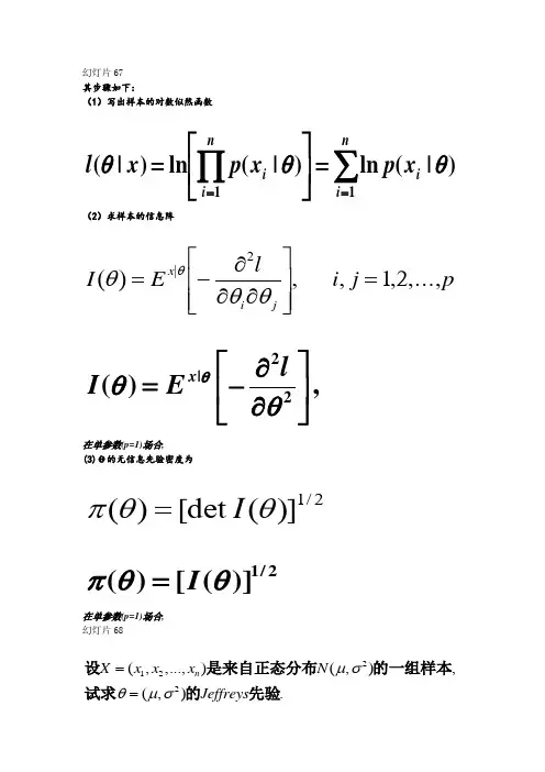
先验分布的确定幻灯⽚67 其步骤如下:(1)写出样本的对数似然函数∑∏====ni i n i i x p x p x l 11)|(ln )|(ln )|(θθθ(2)求样本的信息阵pj i l E I j i x ,...,2,1,,)(2|=-=θθθθ2|2(),x l I Eθθθ=-??在单参数(p=1)场合,(3)Θ的⽆信息先验密度为2/1)]([det )(θθπI =1/2()[()]I πθθ=在单参数(p=1)场合,幻灯⽚682122(,,...,)(,),(,).n X x x x N Jeffreys µσθµσ==设是来⾃正态分布的⼀组样本试求的先验2211:()ln[]2i x ni l x e µσθπσ--==∑写出样本的对数似然函数22111(,)ln(2)ln ().22ni i l n x µσπσµσ=?=---∑22222222()()0:(,);20()()ll nE E Fisher I n ll E E µµσσµσσµσσ-- ??==?? -- ??其信息阵42),(det -=?σσµn I22,(,):(,)2.Jeffreys n µσπµσσσ--=∝所以的先验为幻灯⽚6911:,(),:()1;,()2,();,(,);nI I n σµπµσµσσπσσµσπµσσ---=∝=∝∝注当已知当已知当和独⽴幻灯⽚70 例3.22关于成功概率的⽆信息先验分布⾄今已有4种π1(θ)=1 ——正常π2(θ)=θ-1(1-θ)-1 ——不正常π3(θ)=θ-1/2(1-θ)-1/2 ——正则化后可成为正常π4(θ)=θθ(1-θ)(1-θ) ——正则化后可成为正常注意:1.⼀般说来,⽆信息先验不是唯⼀的.但它们对贝叶斯统计推断的影响都很⼩,很少对结果产⽣较⼤的影响2.任何⽆信息先验都可以采⽤。
第一章先验分布与后验分布§1.1三种信息统计学中有二个主要学派:频率学派和贝叶斯学派。
一、总体信息即总体分布或总体所属分不足给我们的信息,譬如,“总体是正态分布”这一句话就带给我们很多信息:它的密度函数是一条钟形曲线;它的一切距都存在;有关正态变量(服从正态分布的变量)的一些事件的概率可以计算,有正态分布可以导出2χ分布、t分布和F分布等重要分布;还有许多成熟的点估计、区间估计和假设检验方法可供我们选用。
二、样本信息即从总体抽取的样本给我们提供的信息。
这是最“新鲜”的信息,并且越多越好。
我们希望通过对样本信息的加工和处理对总体的某些特征作出较为精确的统计推断。
没有样本就没有统计学而言。
基于上述信息进行的统计推断被称为经典统计学,它的基本观点是把数据(样本)看成是来自具体一定概率分布的总体,所研究的对象是这个总体而不是局限于数据本身。
三、先验信息即在抽样之前有关统计问题的一些信息,一般说来,先验信息主要来源于经验和历史资料。
例如,英国统计学家(1961)Savage曾考察如下实验,一位常饮牛奶加茶的妇女称,她能辨别先倒进杯子里的是茶还是牛奶。
对此作了十次试验,她都正确地说出了。
假如被实验者是在猜测,每次成功的概率为0.5,那么十次-=,这是一个很小的概率,是几乎不可能发生的,都猜中的概率为1020.0009766所以“每次成功的概率为0.5”的假设应被拒绝。
被实验者每次成功的概率要比0.5大很多,这正是她的经验帮了她的忙活,所以先验信息在推断中不可忽视。
基于上述三种信息进行的统计推断被称为贝叶斯统计学。
它与经典统计学的最主要的差别在于是否利用先验信息。
在使用样本信息上也是有差异的。
贝叶斯学派很重视已出现的样本观察值,而对尚未发生的样本观察值不予考虑,贝叶斯学派很重视先验信息的收集、挖掘和加工,使它数量化,形成先验分布,参加到统计推断中来,以提高统计推断的质量。
贝叶斯学派最基本的观点是:任何一个未知量θ都可看作一个随机变量,应用一个概率分布去描述对θ的未知状况。