工程数学1(1-5次作业-参考模板
- 格式:doc
- 大小:694.00 KB
- 文档页数:15
参考答案1(数学里面公式只能以图片形式显示)
参考答案2(数学里面公式只能以图片形式显示)试题
1:
试题
2:
参考答案3(数学里面公式只能以图片形式显示)
参考答案4(数学里面公式只能以图片形式显示)
试题10答案:
证明:(A+A′)′=A′+(A′) ′=A′+A=A+A′
∴A+A′是对称矩阵
试题11答案:
证明:∵A是n阶方阵,且AA′=I
∴|AA′|=|A||A′|=|A|2=|I|=1
∴|A|=1或|A|= -1
试题12答案:
证明:设AX=B为含n个未知量的线性方程组
该方程组有解,即R(?)= R(A)=n
从而AX=B有唯一解当且仅当R(A)=n
而相应齐次线性方程组AX=0只有零解的充分必要条件是R(A)=n
∴AX=B有唯一解的充分必要条件是:相应的齐次线性方程组AX=0只有零解
参考答案5(数学里面公式只能以图片形式显示)。
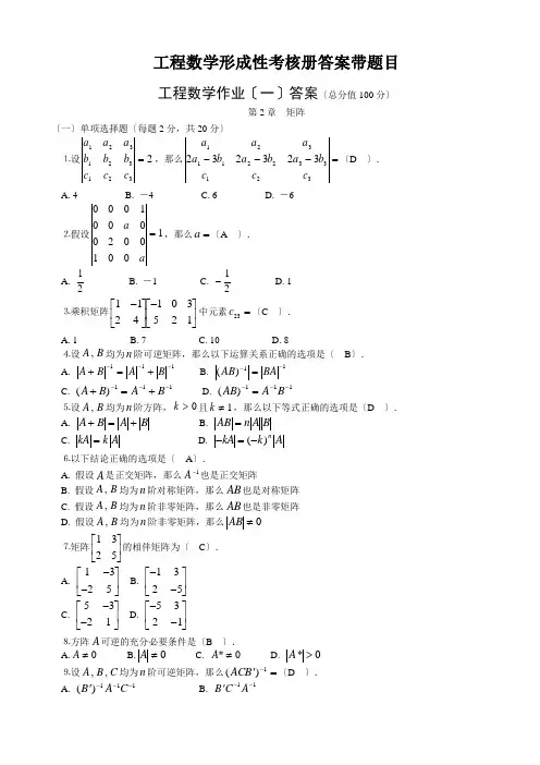
工程数学作业(第一次)(满分100分)第2章 矩阵(一)单项选择题(每小题2分,共20分)⒈设a a a b b b c c c 1231231232=,则a a a a b a b a b c c c 123112233123232323---=( ).答案:DA. 4B. -4C. 6D. -6解:1231231231122331231231231231232323232320326a a a a a a a a a ab a b a b a a a b b bc c c c c c c c c ---=-=⋅-⋅=- ⒉若000100002001001a a =,则a =( ).答案:A A. 12 B. -1 C. -12 D. 1解:413100010000001(1)020(1)21,020*******100aa a a a a++=-=--===⒊乘积矩阵1124103521-⎡⎣⎢⎤⎦⎥-⎡⎣⎢⎤⎦⎥中元素c 23=( ).答案:CA. 1B. 7C. 10D. 8解:1124103521-⎡⎣⎢⎤⎦⎥-⎡⎣⎢⎤⎦⎥=⎥⎦⎤⎢⎣⎡--10818226,1023=C ⒋设A B ,均为n 阶可逆矩阵,则下列运算关系正确的是(B ).答案:BA. A BAB +=+---111 B. ()AB BA --=11C. ()A B A B +=+---111 D. ()AB A B ---=111解:111)(,---==∴=BA ABAB BA AB⒌设A B ,均为n 阶方阵,k >0且k ≠1,则下列等式正确的是(D ). A. A B A B +=+ B. AB n A B = C. kA k A = D. -=-kA k A n ()解: 因为 A B ,均为n 阶方阵,所以 -=-kA k A n ().⒍下列结论正确的是( ).答案:AA. 若A 是正交矩阵,则A -1也是正交矩阵B. 若A B ,均为n 阶对称矩阵,则AB 也是对称矩阵C. 若A B ,均为n 阶非零矩阵,则AB 也是非零矩阵D. 若A B ,均为n 阶非零矩阵,则AB ≠0注意:(1)两个对称阵的和是对称阵,但乘积不一定是对称阵,所以B 错;(2)两个非零矩阵的乘积可能是零矩阵,所以C,D 错。
工程数学作业(一)答案第 2 章矩阵(一)单项选择题(每小题 2 分,共 20 分)⒈设,则( D ).A. 4B. - 4C. 6D. - 6⒉若,则( A ).A. B. - 1 C. D. 1⒊乘积矩阵中元素( C ).A. 1B. 7C. 10D. 8⒋设均为阶可逆矩阵,则下列运算关系正确的是( B ).A. B.C. D.⒌设均为阶方阵,且,则下列等式正确的是( D ).A. B.C. D.⒍下列结论正确的是( A ).A. 若是正交矩阵,则也是正交矩阵B. 若均为阶对称矩阵,则也是对称矩阵C. 若均为阶非零矩阵,则也是非零矩阵D. 若均为阶非零矩阵,则⒎矩阵的伴随矩阵为( C ).A. B.C. D.⒏方阵可逆的充分必要条件是( B ).A. B. C. D.⒐设均为阶可逆矩阵,则( D ).A. B.C. D.⒑设均为阶可逆矩阵,则下列等式成立的是( A ).A. B.C. D.(二)填空题(每小题 2 分,共 20 分)⒈7 .⒉是关于的一个一次多项式,则该多项式一次项的系数是 2 .⒊若为矩阵,为矩阵,切乘积有意义,则为 5 × 4 矩阵.⒋二阶矩阵.⒌设,则⒍设均为 3 阶矩阵,且,则72 .⒎设均为 3 阶矩阵,且,则- 3 .⒏若为正交矩阵,则 0 .⒐矩阵的秩为 2 .⒑设是两个可逆矩阵,则.(三)解答题(每小题 8 分,共 48 分)⒈设,求⑴;⑵;⑶;⑷;⑸;⑹.答案:⒉设,求.解:⒊已知,求满足方程中的.解:⒋写出 4 阶行列式中元素的代数余子式,并求其值.答案:⒌用初等行变换求下列矩阵的逆矩阵:⑴;⑵;⑶.解:( 1 )( 2 )( 过程略 ) (3)⒍求矩阵的秩.解:(四)证明题(每小题 4 分,共 12 分)⒎对任意方阵,试证是对称矩阵.证明:是对称矩阵⒏若是阶方阵,且,试证或.证明:是阶方阵,且或⒐若是正交矩阵,试证也是正交矩阵.证明:是正交矩阵即是正交矩阵工程数学作业(第二次)第 3 章线性方程组(一)单项选择题 ( 每小题 2 分,共 16 分 )⒈用消元法得的解为( C ).A. B.C. D.⒉线性方程组( B ).A. 有无穷多解B. 有唯一解C. 无解D. 只有零解⒊向量组的秩为( A ).A. 3B. 2C. 4D. 5⒋设向量组为,则( B )是极大无关组.A. B. C. D.⒌与分别代表一个线性方程组的系数矩阵和增广矩阵,若这个方程组无解,则( D ).A. 秩秩B. 秩秩C. 秩秩D. 秩秩⒍若某个线性方程组相应的齐次线性方程组只有零解,则该线性方程组( A ).A. 可能无解B. 有唯一解C. 有无穷多解D. 无解⒎以下结论正确的是( D ).A. 方程个数小于未知量个数的线性方程组一定有解B. 方程个数等于未知量个数的线性方程组一定有唯一解C. 方程个数大于未知量个数的线性方程组一定有无穷多解D. 齐次线性方程组一定有解⒏若向量组线性相关,则向量组( A )可被该向量组其余向量线性表出.A. 至少有一个向量B. 没有一个向量C. 至多有一个向量D. 任何一个向量9 .设 A ,B为阶矩阵,既是A又是B的特征值,既是A又是B的属于的特征向量,则结论()成立.A.是 AB 的特征值B.是 A+B 的特征值C.是 A - B 的特征值D.是 A+B 的属于的特征向量10 .设A,B,P为阶矩阵,若等式(C)成立,则称A和B相似.A.B.C.D.(二)填空题 ( 每小题 2 分,共 16 分 )⒈当1时,齐次线性方程组有非零解.⒉向量组线性相关.⒊向量组的秩是3.⒋设齐次线性方程组的系数行列式,则这个方程组有无穷多解,且系数列向量是线性相关的.⒌向量组的极大线性无关组是.⒍向量组的秩与矩阵的秩相同.⒎设线性方程组中有 5 个未知量,且秩,则其基础解系中线性无关的解向量有2个.⒏设线性方程组有解,是它的一个特解,且的基础解系为,则的通解为.9 .若是A的特征值,则是方程的根.10 .若矩阵A满足,则称A为正交矩阵.(三)解答题 ( 第 1 小题 9 分,其余每小题 11 分 )1 .用消元法解线性方程组解:方程组解为2.设有线性方程组为何值时,方程组有唯一解 ? 或有无穷多解 ?解:]当且时,,方程组有唯一解当时,,方程组有无穷多解3.判断向量能否由向量组线性表出,若能,写出一种表出方式.其中解:向量能否由向量组线性表出,当且仅当方程组有解这里方程组无解不能由向量线性表出4.计算下列向量组的秩,并且( 1 )判断该向量组是否线性相关解:该向量组线性相关5.求齐次线性方程组的一个基础解系.解:方程组的一般解为令,得基础解系6.求下列线性方程组的全部解.解:方程组一般解为令,,这里,为任意常数,得方程组通解7.试证:任一4维向量都可由向量组,,,线性表示,且表示方式唯一,写出这种表示方式.证明:任一4维向量可唯一表示为⒏试证:线性方程组有解时,它有唯一解的充分必要条件是:相应的齐次线性方程组只有零解.证明:设为含个未知量的线性方程组该方程组有解,即从而有唯一解当且仅当而相应齐次线性方程组只有零解的充分必要条件是有唯一解的充分必要条件是:相应的齐次线性方程组只有零解9 .设是可逆矩阵A的特征值,且,试证:是矩阵的特征值.证明:是可逆矩阵A的特征值存在向量,使即是矩阵的特征值10 .用配方法将二次型化为标准型.解:令,,,即则将二次型化为标准型工程数学作业(第三次)第 4 章随机事件与概率(一)单项选择题⒈为两个事件,则( B )成立.A. B.C. D.⒉如果( C )成立,则事件与互为对立事件.A. B.C. 且D. 与互为对立事件⒊ 10 奖券中含有 3 中奖的奖券,每人购买 1 ,则前 3 个购买者中恰有 1 人中奖的概率为( D ).A. B. C. D.4. 对于事件,命题( C )是正确的.A. 如果互不相容,则互不相容B. 如果,则C. 如果对立,则对立D. 如果相容,则相容⒌某随机试验的成功率为, 则在 3 次重复试验中至少失败 1 次的概率为( D ).A. B. C. D.6. 设随机变量,且,则参数与分别是( A ).A. 6, 0.8B. 8, 0.6C. 12, 0.4D. 14, 0.27. 设为连续型随机变量的密度函数,则对任意的,( A ).A. B.C. D.8. 在下列函数中可以作为分布密度函数的是( B ).A. B.C. D.9. 设连续型随机变量的密度函数为,分布函数为,则对任意的区间,则( D ).A. B.C. D.10. 设为随机变量,,当( C )时,有.A. B.C. D.(二)填空题⒈从数字 1,2,3,4,5 中任取 3 个,组成没有重复数字的三位数,则这个三位数是偶数的概率为.2. 已知,则当事件互不相容时, 0.8 ,0.3 .3. 为两个事件,且,则.4. 已知,则.5. 若事件相互独立,且,则.6. 已知,则当事件相互独立时,0.65 , 0.3 .7. 设随机变量,则的分布函数.8. 若,则 6 .9. 若,则.10. 称为二维随机变量的协方差.(三)解答题1. 设为三个事件,试用的运算分别表示下列事件:⑴中至少有一个发生;⑵中只有一个发生;⑶中至多有一个发生;⑷中至少有两个发生;⑸中不多于两个发生;⑹中只有发生.解 : (1) (2) (3)(4) (5) (6)2. 袋中有 3 个红球, 2 个白球,现从中随机抽取 2 个球,求下列事件的概率:⑴ 2 球恰好同色;⑵ 2 球中至少有 1 红球.解 : 设= “ 2 球恰好同色”,= “ 2 球中至少有 1 红球”3. 加工某种零件需要两道工序,第一道工序的次品率是 2% ,如果第一道工序出次品则此零件为次品;如果第一道工序出正品,则由第二道工序加工,第二道工序的次品率是 3% ,求加工出来的零件是正品的概率.解:设“第 i 道工序出正品”( i=1,2 )4. 市场供应的热水瓶中,甲厂产品占 50% ,乙厂产品占 30% ,丙厂产品占20% ,甲、乙、丙厂产品的合格率分别为 90%,85%,80% ,求买到一个热水瓶是合格品的概率.解:设5. 某射手连续向一目标射击,直到命中为止.已知他每发命中的概率是,求所需设计次数的概率分布.解:……………………故 X 的概率分布是6. 设随机变量的概率分布为试求.解:7. 设随机变量具有概率密度试求.解:8. 设,求.解:9. 设,计算⑴;⑵.解:10. 设是独立同分布的随机变量,已知,设,求.解:工程数学作业(第四次)第 6 章统计推断(一)单项选择题⒈设是来自正态总体(均未知)的样本,则( A )是统计量.A. B. C. D.⒉设是来自正态总体(均未知)的样本,则统计量( D )不是的无偏估计.A. B.C. D.(二)填空题1 .统计量就是不含未知参数的样本函数.2 .参数估计的两种方法是点估计和区间估计.常用的参数点估计有矩估计法和最大似然估计两种方法.3 .比较估计量好坏的两个重要标准是无偏性,有效性.4 .设是来自正态总体(已知)的样本值,按给定的显著性水平检验,需选取统计量.5 .假设检验中的显著性水平为事件( u 为临界值)发生的概率.(三)解答题1 .设对总体得到一个容量为 10 的样本值4.5, 2.0, 1.0, 1.5, 3.5, 4.5, 6.5,5.0, 3.5, 4.0试分别计算样本均值和样本方差.解:2 .设总体的概率密度函数为试分别用矩估计法和最大似然估计法估计参数.解:提示教材第 214 页例 3矩估计:最大似然估计:,3 .测两点之间的直线距离 5 次,测得距离的值为(单位: m ):108.5 109.0 110.0 110.5 112.0测量值可以认为是服从正态分布的,求与的估计值.并在⑴;⑵未知的情况下,分别求的置信度为 0.95 的置信区间.解:( 1 )当时,由 1 -α= 0.95 ,查表得:- -- - 专业资料- 故所求置信区间为:( 2 )当 未知时,用 替代 ,查 t (4, 0.05 ) ,得故所求置信区间为: 4 .设某产品的性能指标服从正态分布,从历史资料已知 ,抽查 10 个样品,求得均值为 17 ,取显著性水平,问原假设 是否成立. 解: ,由,查表得:因为> 1.96 ,所以拒绝 5 .某零件长度服从正态分布,过去的均值为 20.0 ,现换了新材料,从产品中随机抽取 8 个样品,测得的长度为(单位: cm ):20.0, 20.2, 20.1, 20.0, 20.2, 20.3, 19.8, 19.5 问用新材料做的零件平均长度是否起了变化().解:由已知条件可求得:∵ | T | < 2.62 ∴ 接受 H 0。
国开电大工程数学(本) 形考任务1-5答案任务1答案在工程数学中,任务1通常包括对于给定的函数或方程求解、求导或求积分等基本运算。
以下是对任务1的答案:1.1 求解方程对于给定的方程,求解意味着找到使方程成立的变量的值。
解方程的一般步骤如下:1.将方程移项,整理为标准形式;2.根据运算法则,对方程进行简化;3.通过合适的代数运算,解出变量的值。
例如,对于方程2x+5=15,我们可以按照以下步骤求解:1.将方程移项得到2x=15−5;2.简化方程为2x=10;3.通过除法运算解出x的值,得到 $x = \\frac{10}{2}= 5$。
因此,方程2x+5=15的解为x=5。
1.2 求导求导是对给定函数的导数进行计算。
函数的导数反映了函数在每个点上的变化率。
求导的一般步骤如下:1.根据导数的定义,写出函数的导数表达式;2.使用导数的基本运算法则,对函数进行求导。
例如,对于函数x(x)=3x2+2x+1,我们可以按照以下步骤求导:1.写出函数x(x)的导数表达式为x′(x)=6x+2;2.使用导数的基本运算法则得到x′(x)=6x+2。
因此,函数x(x)=3x2+2x+1的导数为x′(x)=6x+2。
1.3 求积分求积分是对给定函数的积分进行计算。
函数的积分表示了函数在指定区间上的面积或曲线长度。
求积分的一般步骤如下:1.根据积分的定义,写出函数的积分表达式;2.使用积分的基本运算法则,对函数进行积分。
例如,对于函数x(x)=3x2+2x+1,我们可以按照以下步骤求积分:1.写出函数x(x)的积分表达式为 $\\int{(3x^2 + 2x +1)dx}$;2.使用积分的基本运算法则得到 $\\int{(3x^2 + 2x +1)dx} = x^3 + x^2 + x + C$,其中x为常数。
因此,函数x(x)=3x2+2x+1的积分为 $\\int{(3x^2 +2x + 1)dx} = x^3 + x^2 + x + C$。
国开2020工程数学最新5次形考完整版工程数学作业(一)答案第2章矩阵一)单项选择题(每小题2分,共20分)1.设b1a2 - b2a1 = 2,则2a1 - 3b1.2a2 - 3b2.2a3 - 3b3 = (D).2.若a2 = 1,则a = (A).3.乘积矩阵1 -1.2 4]1 3.5 21]中元素c23 = (C).4.设A,B均为n阶可逆矩阵,则下列运算关系正确的是(B).5.设A,B均为n阶方阵,k。
0且k ≠ 1,则下列等式正确的是(D).6.下列结论正确的是(A).7.矩阵1 3.2 5]的伴随矩阵为(C).8.方阵A可逆的充分必要条件是(B).9.设A,B,C均为n阶可逆矩阵,则(ACB')^-1 = (D).10.设A,B,C均为n阶可逆矩阵,则下列等式成立的是(A).二)填空题(每小题2分,共20分)1.1/(1-4) = 7.2.若1 - x + 11x - x^2是关于x的一个一次多项式,则该多项式一次项的系数是2.3.乘积矩阵1 -1.2 4]1 3.5 21]中元素c23 = 10.4.设A,B均为n阶可逆矩阵,则A(B^-1 + A^-1) = A^-1 + B^-1.5.设A,B均为n阶方阵,k。
0且k ≠ 1,则下列等式正确的是(-k)A = (-k)^n A.6.若A是正交矩阵,则A^-1也是正交矩阵.7.矩阵1 3.2 5]的伴随矩阵为5 -3.-2 1].8.方阵A可逆的充分必要条件是A ≠ 0.9.设A,B,C均为n阶可逆矩阵,则(ACB')^-1 = (B^-1)'C^-1A^-1.10.设A,B,C均为n阶可逆矩阵,则下列等式成立的是(A).(A + B)C = A + 2AB + B。
(A + B)B = BA + B。
(2ABC)^-1 = 2C^-1B^-1A^-1,(2ABC)' = 2C'B'A'.1.若矩阵A为3×4,矩阵B为2×5,且切乘积AC' B' 有意义,则矩阵C为5×4.2.给出二阶矩阵A = [1 2.-1 3],B = [-13.-3 1],求(A + B')'。
【工程数学】形成性考核册答案工程数学作业(一)答案(满分100分)第2章 矩阵(一)单项选择题(每小题2分,共20分)⒈设a a a b b b c c c 1231231232=,则a a a a b a b a b c c c 123112233123232323---=(D ). A. 4 B. -4 C. 6 D. -6⒉若000100002001001a a =,则a=(A ). A. 12 B. -1 C. -12D. 1⒊乘积矩阵1124103521-⎡⎣⎢⎤⎦⎥-⎡⎣⎢⎤⎦⎥中元素c 23=(C ). A. 1 B. 7 C. 10 D. 8 ⒋设A B ,均为n 阶可逆矩阵,则下列运算关系正确的是( B ). A. A B A B +=+---111B. ()A B B A--=11C. ()A B A B +=+---111D. ()A B A B---=111⒌设A B ,均为n 阶方阵,k >0且k ≠1,则下列等式正确的是(D ). A. A B A B +=+ B. A B n A B = C. k A k A = D. -=-k Ak An() ⒍下列结论正确的是( A ).A. 若A 是正交矩阵,则A -1也是正交矩阵B. 若A B ,均为n 阶对称矩阵,则A B 也是对称矩阵C. 若A B ,均为n 阶非零矩阵,则AB 也是非零矩阵 D. 若A B ,均为n 阶非零矩阵,则A B ≠0 ⒎矩阵1325⎡⎣⎢⎤⎦⎥的伴随矩阵为( C ). A. 1325--⎡⎣⎢⎤⎦⎥ B. --⎡⎣⎢⎤⎦⎥1325 C. 5321--⎡⎣⎢⎤⎦⎥ D. --⎡⎣⎢⎤⎦⎥5321⒏方阵A 可逆的充分必要条件是(B ). A.A ≠0 B.A ≠0 C. A *≠0 D. A *>0 ⒐设A B C ,,均为n 阶可逆矩阵,则()A C B '=-1(D ). A. ()'---BA C 111B. '--B C A 11C. A C B ---'111() D. ()BC A---'111⒑设A B C ,,均为n 阶可逆矩阵,则下列等式成立的是(A ). A. ()A B A A B B +=++2222 B. ()A B B B A B +=+2C. ()221111A B C C B A ----= D. ()22A B C C B A '=''' (二)填空题(每小题2分,共20分)⒈21140001---= 7 . ⒉---11111111x 是关于x的一个一次多项式,则该多项式一次项的系数是 2 . ⒊若A 为34⨯矩阵,B 为25⨯矩阵,切乘积A C B ''有意义,则C 为 5×4 矩阵. ⒋二阶矩阵A =⎡⎣⎢⎤⎦⎥=11015⎥⎦⎤⎢⎣⎡1051. ⒌设A B =-⎡⎣⎢⎢⎢⎤⎦⎥⎥⎥=--⎡⎣⎢⎤⎦⎥124034120314,,则()A B +''=⎥⎦⎤⎢⎣⎡--815360 ⒍设A B ,均为3阶矩阵,且AB ==-3,则-=2A B 72 . ⒎设A B ,均为3阶矩阵,且A B =-=-13,,则-'=-312()A B -3 . ⒏若A a =⎡⎣⎢⎤⎦⎥101为正交矩阵,则a = 0 . ⒐矩阵212402033--⎡⎣⎢⎢⎢⎤⎦⎥⎥⎥的秩为 2 . ⒑设A A 12,是两个可逆矩阵,则A O O A 121⎡⎣⎢⎤⎦⎥=-⎥⎦⎤⎢⎣⎡--1211A O O A . (三)解答题(每小题8分,共48分)⒈设A B C =-⎡⎣⎢⎤⎦⎥=-⎡⎣⎢⎤⎦⎥=-⎡⎣⎢⎤⎦⎥123511435431,,,求⑴A B +;⑵A C +;⑶23A C +;⑷AB +5;⑸A B ;⑹()A BC '.答案:⎥⎦⎤⎢⎣⎡=+8130B A ⎥⎦⎤⎢⎣⎡=+4066C A ⎥⎦⎤⎢⎣⎡=+73161732C A⎥⎦⎤⎢⎣⎡=+01222265B A ⎥⎦⎤⎢⎣⎡=122377AB ⎥⎦⎤⎢⎣⎡='801512156)(C AB⒉设A B C =--⎡⎣⎢⎤⎦⎥=-⎡⎣⎢⎤⎦⎥=--⎡⎣⎢⎢⎢⎤⎦⎥⎥⎥121012103211114321002,,,求A C B C +.解:⎥⎦⎤⎢⎣⎡--=⎥⎥⎥⎦⎤⎢⎢⎢⎣⎡--⎥⎦⎤⎢⎣⎡=+=+10221046200123411102420)(C B A BC AC ⒊已知A B =-⎡⎣⎢⎢⎢⎤⎦⎥⎥⎥=-⎡⎣⎢⎢⎢⎤⎦⎥⎥⎥310121342102111211,,求满足方程32A X B -=中的X . 解: 32A X B-= ∴ ⎥⎥⎥⎥⎥⎥⎦⎤⎢⎢⎢⎢⎢⎢⎣⎡--=⎥⎥⎥⎦⎤⎢⎢⎢⎣⎡--=-=252112712511234511725223821)3(21B A X⒋写出4阶行列式1020143602533110-- 中元素a a 4142,的代数余子式,并求其值.答案:0352634020)1(1441=--=+a 45350631021)1(2442=---=+a⒌用初等行变换求下列矩阵的逆矩阵:⑴ 122212221--⎡⎣⎢⎢⎢⎤⎦⎥⎥⎥; ⑵ 1234231211111026---⎡⎣⎢⎢⎢⎢⎤⎦⎥⎥⎥⎥; ⑶1000110011101111⎡⎣⎢⎢⎢⎢⎤⎦⎥⎥⎥⎥. 解:(1)[]⎥⎥⎥⎥⎥⎥⎦⎤⎢⎢⎢⎢⎢⎢⎣⎡--−−−→−⎥⎥⎥⎥⎥⎥⎦⎤⎢⎢⎢⎢⎢⎢⎣⎡----−−→−⎥⎥⎥⎥⎥⎦⎤⎢⎢⎢⎢⎢⎣⎡------−−−→−⎥⎥⎥⎦⎤⎢⎢⎢⎣⎡------−−−→−⎥⎥⎥⎦⎤⎢⎢⎢⎣⎡--=+-+--+-++-+-91929292919292929110001000191929203132032311002120112201203231900630201102012001360630221100010001122212221|2313323212312122913123222r r r r r r r r r r r r r r I A ⎥⎥⎥⎥⎥⎥⎦⎤⎢⎢⎢⎢⎢⎢⎣⎡--=∴-9192929291929292911A(2)⎥⎥⎥⎥⎦⎤⎢⎢⎢⎢⎣⎡--------=-35141201132051717266221A (过程略) (3) ⎥⎥⎥⎥⎦⎤⎢⎢⎢⎢⎣⎡---=-11000110001100011A ⒍求矩阵1011011110110010121012113201⎡⎣⎢⎢⎢⎢⎤⎦⎥⎥⎥⎥的秩.解:⎥⎥⎥⎥⎦⎤⎢⎢⎢⎢⎣⎡----−−→−⎥⎥⎥⎥⎦⎤⎢⎢⎢⎢⎣⎡-----−−→−⎥⎥⎥⎥⎦⎤⎢⎢⎢⎢⎣⎡-------−−−→−⎥⎥⎥⎥⎦⎤⎢⎢⎢⎢⎣⎡+-+-+-+-+-00000000111000111011011011010111000011100011101101111112211100111000111011011111102311210121010011011110110143424131212r r r r r r r r r r ∴3)(=A R(四)证明题(每小题4分,共12分) ⒎对任意方阵A ,试证AA +'是对称矩阵. 证明:'')''(')''(A A A A A A A A +=+=+=+∴ AA +'是对称矩阵 ⒏若A 是n 阶方阵,且A AI '=,试证A =1或-1. 证明: A 是n 阶方阵,且A AI '= 12==='='I A A A A AA =1或1-=A⒐若A 是正交矩阵,试证'A 也是正交矩阵. 证明: A 是正交矩阵∴ A A '=-1)()()(111''==='---A A A A即'A 是正交矩阵工程数学作业(第二次)(满分100分)第3章 线性方程组(一)单项选择题(每小题2分,共16分)⒈用消元法得x x x x x x 12323324102+-=+=-=⎧⎨⎪⎩⎪的解x x x 123⎡⎣⎢⎢⎢⎤⎦⎥⎥⎥为(C ). A. [,,]102-'B. [,,]--'722C. [,,]--'1122D. [,,]---'1122⒉线性方程组x x x x x x x 12313232326334++=-=-+=⎧⎨⎪⎩⎪(B ). A. 有无穷多解 B. 有唯一解 C. 无解 D. 只有零解⒊向量组100010001121304⎡⎣⎢⎢⎢⎤⎦⎥⎥⎥⎡⎣⎢⎢⎢⎤⎦⎥⎥⎥⎡⎣⎢⎢⎢⎤⎦⎥⎥⎥⎡⎣⎢⎢⎢⎤⎦⎥⎥⎥⎡⎣⎢⎢⎢⎤⎦⎥⎥⎥,,,,的秩为( A ). A. 3 B. 2 C. 4 D. 5⒋设向量组为αααα12341100001110101111=⎡⎣⎢⎢⎢⎢⎤⎦⎥⎥⎥⎥=⎡⎣⎢⎢⎢⎢⎤⎦⎥⎥⎥⎥=⎡⎣⎢⎢⎢⎢⎤⎦⎥⎥⎥⎥=⎡⎣⎢⎢⎢⎢⎤⎦⎥⎥⎥⎥,,,,则(B )是极大无关组. A. αα12, B. ααα123,, C. ααα124,, D. α1 ⒌A 与A 分别代表一个线性方程组的系数矩阵和增广矩阵,若这个方程组无解,则(D ). A. 秩()A =秩()A B. 秩()A <秩()A C. 秩()A >秩()A D. 秩()A=秩()A -1 ⒍若某个线性方程组相应的齐次线性方程组只有零解,则该线性方程组(A ). A. 可能无解 B. 有唯一解 C. 有无穷多解 D. 无解 ⒎以下结论正确的是(D ).A. 方程个数小于未知量个数的线性方程组一定有解B. 方程个数等于未知量个数的线性方程组一定有唯一解C. 方程个数大于未知量个数的线性方程组一定有无穷多解D. 齐次线性方程组一定有解 ⒏若向量组ααα12,,, s线性相关,则向量组内(A )可被该向量组内其余向量线性表出.A. 至少有一个向量B. 没有一个向量C. 至多有一个向量D. 任何一个向量9.设A ,B为n 阶矩阵,λ既是A又是B的特征值,x 既是A又是B的属于λ的特征向量,则结论( )成立.A.λ是AB 的特征值 B.λ是A+B 的特征值C.λ是A -B 的特征值 D.x 是A+B 的属于λ的特征向量10.设A,B,P为n 阶矩阵,若等式(C )成立,则称A和B相似. A.BA AB = B.AB AB =')( C.B PAP =-1 D.B P PA =' (二)填空题(每小题2分,共16分)⒈当λ= 1 时,齐次线性方程组x x x x 12120+=+=⎧⎨⎩λ有非零解.⒉向量组[][]αα12000111==,,,,,线性 相关 . ⒊向量组[][][][]123120100000,,,,,,,,,,,的秩是 3 .⒋设齐次线性方程组ααα1122330x x x ++=的系数行列式ααα1230=,则这个方程组有 无穷多解,且系数列向量ααα123,,是线性 相关 的.⒌向量组[][][]ααα123100100===,,,,,的极大线性无关组是21,αα. ⒍向量组ααα12,,, s的秩与矩阵[]ααα12,,, s的秩 相同 . ⒎设线性方程组A X =0中有5个未知量,且秩()A =3,则其基础解系中线性无关的解向量有 2 个.⒏设线性方程组A X b =有解,X 0是它的一个特解,且A X =0的基础解系为X X 12,,则A X b =的通解为22110X k X k X ++.9.若λ是A的特征值,则λ是方程0=-A I λ 的根. 10.若矩阵A满足A A '=-1 ,则称A为正交矩阵. (三)解答题(第1小题9分,其余每小题11分) 1.用消元法解线性方程组x x x x x x x x x x x x xx x x 123412341234123432638502412432---=-++=-+-+=--+--=⎧⎨⎪⎪⎩⎪⎪ 解:⎥⎥⎥⎥⎦⎤⎢⎢⎢⎢⎣⎡-----−−→−⎥⎥⎥⎥⎦⎤⎢⎢⎢⎢⎣⎡---------−−−→−⎥⎥⎥⎥⎦⎤⎢⎢⎢⎢⎣⎡----------=+-+++++-261210009039270188710482319018431001850188710612312314112141205183612314132124131215323r r r r r r r r r r r r A ⎥⎥⎥⎥⎦⎤⎢⎢⎢⎢⎣⎡----−−−→−⎥⎥⎥⎥⎦⎤⎢⎢⎢⎢⎣⎡----−−→−⎥⎥⎥⎥⎦⎤⎢⎢⎢⎢⎣⎡----−−→−+-+-+---+3311000411004615010124420011365004110018871048231901136500123300188710482319014323133434571931213r r r r r r r r r r ⎥⎥⎥⎥⎦⎤⎢⎢⎢⎢⎣⎡--−−−→−⎥⎥⎥⎥⎦⎤⎢⎢⎢⎢⎣⎡----−−→−++-+-3100010100100102000131004110046150101244200134241441542111r r r r r r r ∴方程组解为⎪⎪⎩⎪⎪⎨⎧-==-==31124321x x x x2.设有线性方程组λλλλλ11111112⎡⎣⎢⎢⎢⎤⎦⎥⎥⎥⎡⎣⎢⎢⎢⎤⎦⎥⎥⎥=⎡⎣⎢⎢⎢⎤⎦⎥⎥⎥x y z λ 为何值时,方程组有唯一解?或有无穷多解?解:⎥⎥⎥⎦⎤⎢⎢⎢⎣⎡-+-+---−−→−⎥⎥⎥⎦⎤⎢⎢⎢⎣⎡------−−−→−⎥⎥⎥⎦⎤⎢⎢⎢⎣⎡−−→−⎥⎥⎥⎦⎤⎢⎢⎢⎣⎡=++-+-↔22322222)1)(1()1)(2(00)1(110111110110111111111111111132312131λλλλλλλλλλλλλλλλλλλλλλλλλλλλλλr r r r r r r r A ]当1≠λ且2-≠λ时,3)()(==A R A R ,方程组有唯一解 当1=λ时,1)()(==A R A R ,方程组有无穷多解3.判断向量β能否由向量组ααα123,,线性表出,若能,写出一种表出方式.其中 βααα=---⎡⎣⎢⎢⎢⎢⎤⎦⎥⎥⎥⎥=-⎡⎣⎢⎢⎢⎢⎤⎦⎥⎥⎥⎥=--⎡⎣⎢⎢⎢⎢⎤⎦⎥⎥⎥⎥=--⎡⎣⎢⎢⎢⎢⎤⎦⎥⎥⎥⎥83710271335025631123,,, 解:向量β能否由向量组321,,ααα线性表出,当且仅当方程组βααα=++332211x x x 有解这里 []⎥⎥⎥⎥⎦⎤⎢⎢⎢⎢⎣⎡--−→−⋯⋯⋯⋯−→−⎥⎥⎥⎥⎦⎤⎢⎢⎢⎢⎣⎡--------==571000117100041310730110123730136578532,,,321βαααA )()(A R A R ≠∴ 方程组无解 β不能由向量321,,ααα线性表出4.计算下列向量组的秩,并且(1)判断该向量组是否线性相关αααα1234112343789131303319636=-⎡⎣⎢⎢⎢⎢⎢⎢⎤⎦⎥⎥⎥⎥⎥⎥=-⎡⎣⎢⎢⎢⎢⎢⎢⎤⎦⎥⎥⎥⎥⎥⎥=----⎡⎣⎢⎢⎢⎢⎢⎢⎤⎦⎥⎥⎥⎥⎥⎥=⎡⎣⎢⎢⎢⎢⎢⎢⎤⎦⎥⎥⎥⎥⎥⎥,,, 解:[]⎥⎥⎥⎥⎥⎥⎦⎤⎢⎢⎢⎢⎢⎢⎣⎡-−→−⋯⋯⋯⋯−→−⎥⎥⎥⎥⎥⎥⎦⎤⎢⎢⎢⎢⎢⎢⎣⎡------=00000001800021101131631343393608293711131,,,4321αααα ∴该向量组线性相关5.求齐次线性方程组x x x x x x x x x x x x x x x 1234123412341243205230112503540-+-=-+-+=--+-=++=⎧⎨⎪⎪⎩⎪⎪ 的一个基础解系. 解:⎥⎥⎥⎥⎥⎦⎤⎢⎢⎢⎢⎢⎣⎡---−−−→−⎥⎥⎥⎥⎦⎤⎢⎢⎢⎢⎣⎡-------−−−→−⎥⎥⎥⎥⎦⎤⎢⎢⎢⎢⎣⎡-------=+-+-+-+-++30000000731402114501103140731407314021314053521113215213142321241312114335r r r r r r r r r r r r A⎥⎥⎥⎥⎥⎥⎦⎤⎢⎢⎢⎢⎢⎢⎣⎡-−−−→−⎥⎥⎥⎥⎥⎥⎦⎤⎢⎢⎢⎢⎢⎢⎣⎡--−→−⎥⎥⎥⎥⎥⎥⎦⎤⎢⎢⎢⎢⎢⎢⎣⎡--−−→−+-+↔-000100001431001450100010002114310211450100030002114310211450123133432212131141r r r r r r r r方程组的一般解为⎪⎪⎪⎩⎪⎪⎪⎨⎧==-=014314543231x x x x x 令13=x ,得基础解系 ⎥⎥⎥⎥⎥⎥⎦⎤⎢⎢⎢⎢⎢⎢⎣⎡-=10143145ξ 6.求下列线性方程组的全部解.x x x x x x x x xx x x x x x 12341234124123452311342594175361-+-=-+-+=----=++-=-⎧⎨⎪⎪⎩⎪⎪解:⎥⎥⎥⎥⎥⎦⎤⎢⎢⎢⎢⎢⎣⎡---−−−→−⎥⎥⎥⎥⎦⎤⎢⎢⎢⎢⎣⎡--------−−−→−⎥⎥⎥⎥⎦⎤⎢⎢⎢⎢⎣⎡----------=++-+-+-++00000000002872140121790156144280287214028721401132511163517409152413113251423212413121214553r r r r r r r r r r r r A ⎥⎥⎥⎥⎥⎥⎦⎤⎢⎢⎢⎢⎢⎢⎣⎡---−−→−-0000000000221711012179012141r ∴方程组一般解为⎪⎪⎩⎪⎪⎨⎧---=++-=2217112197432431x x x x x x令13k x =,24k x =,这里1k ,2k 为任意常数,得方程组通解⎥⎥⎥⎥⎦⎤⎢⎢⎢⎢⎣⎡-+⎥⎥⎥⎥⎥⎥⎦⎤⎢⎢⎢⎢⎢⎢⎣⎡-+⎥⎥⎥⎥⎥⎥⎦⎤⎢⎢⎢⎢⎢⎢⎣⎡-=⎥⎥⎥⎥⎥⎥⎦⎤⎢⎢⎢⎢⎢⎢⎣⎡--++-=⎥⎥⎥⎥⎦⎤⎢⎢⎢⎢⎣⎡00211021210171972217112197212121214321k k k k k k k k x x x x7.试证:任一4维向量[]'=4321,,,a a a a β都可由向量组⎥⎥⎥⎥⎦⎤⎢⎢⎢⎢⎣⎡=00011α,⎥⎥⎥⎥⎦⎤⎢⎢⎢⎢⎣⎡=00112α,⎥⎥⎥⎥⎦⎤⎢⎢⎢⎢⎣⎡=01113α,⎥⎥⎥⎥⎦⎤⎢⎢⎢⎢⎣⎡=11114α线性表示,且表示方式唯一,写出这种表示方式.证明:⎥⎥⎥⎥⎦⎤⎢⎢⎢⎢⎣⎡=00011α ⎥⎥⎥⎥⎦⎤⎢⎢⎢⎢⎣⎡=-001012αα ⎥⎥⎥⎥⎦⎤⎢⎢⎢⎢⎣⎡=-010023αα ⎥⎥⎥⎥⎦⎤⎢⎢⎢⎢⎣⎡=-100034αα任一4维向量可唯一表示为)()()(10000100001000013442331221143214321αααααααβ-+-+-+=⎥⎥⎥⎥⎦⎤⎢⎢⎢⎢⎣⎡+⎥⎥⎥⎥⎦⎤⎢⎢⎢⎢⎣⎡+⎥⎥⎥⎥⎦⎤⎢⎢⎢⎢⎣⎡+⎥⎥⎥⎥⎦⎤⎢⎢⎢⎢⎣⎡=⎥⎥⎥⎥⎦⎤⎢⎢⎢⎢⎣⎡=a a a a a a a a a a a a44343232121)()()(ααααa a a a a a a +-+-+-=⒏试证:线性方程组有解时,它有唯一解的充分必要条件是:相应的齐次线性方程组只有零解. 证明:设B AX =为含n 个未知量的线性方程组 该方程组有解,即n A R A R ==)()(从而B AX =有唯一解当且仅当n A R =)(而相应齐次线性方程组0=AX 只有零解的充分必要条件是n A R =)(B AX =有唯一解的充分必要条件是:相应的齐次线性方程组0=AX 只有零解9.设λ是可逆矩阵A的特征值,且0≠λ,试证:λ1是矩阵1-A 的特征值.证明: λ是可逆矩阵A的特征值∴ 存在向量ξ,使λξξ=Aξξλλξξξξ=====----1111)()()(A A A A A A Iξλξ11=-A即λ1是矩阵1-A 的特征值 10.用配方法将二次型43324221242322212222x x x x x x x x x x x x f +--++++=化为标准型. 解:42244232322143324224232212)(2)(222)(x x x x x x x x x x x x x x x x x x x f -++-+++=+--+++=222423221)()(x x x x x x -+-++=∴ 令211x x y +=,4232x x x y +-=,23x y =,44y x =即⎪⎪⎩⎪⎪⎨⎧=-+==-=44432332311y x y y y x y x y y x则将二次型化为标准型 232221y y y f -+=工程数学作业(第三次)(满分100分)第4章 随机事件与概率(一)单项选择题⒈AB ,为两个事件,则( B )成立. A. ()A B B A +-= B. ()A B B A +-⊂ C. ()A B B A -+= D. ()A B B A -+⊂⒉如果( C )成立,则事件A 与B 互为对立事件.A. A B =∅B. A B U= C. A B =∅且A B U = D. A 与B 互为对立事件⒊10张奖券中含有3张中奖的奖券,每人购买1张,则前3个购买者中恰有1人中奖的概率为(D ).A. C 10320703⨯⨯.. B. 03. C. 07032..⨯ D. 307032⨯⨯.. 4. 对于事件AB ,,命题(C )是正确的.A. 如果A B ,互不相容,则AB ,互不相容B. 如果A B ⊂,则A B ⊂C. 如果A B ,对立,则AB ,对立D. 如果A B ,相容,则AB ,相容⒌某随机试验的成功率为)10(<<p p ,则在3次重复试验中至少失败1次的概率为(D ). A.3)1(p - B. 31p - C. )1(3p - D. )1()1()1(223p p p p p -+-+- 6.设随机变量X B n p ~(,),且E X D X ().,().==48096,则参数n 与p 分别是(A ). A. 6, 0.8 B. 8, 0.6 C. 12, 0.4 D. 14, 0.2 7.设f x ()为连续型随机变量X 的密度函数,则对任意的a b ab ,()<,E X ()=(A ). A. xf x x ()d -∞+∞⎰ B. x f x x ab()d ⎰ C.f xx a b()d ⎰ D. f x x()d -∞+∞⎰8.在下列函数中可以作为分布密度函数的是(B ).A. f x x x ()s i n ,,=-<<⎧⎨⎪⎩⎪ππ2320其它B. f x x x ()s i n ,,=<<⎧⎨⎪⎩⎪020π其它 C. f x x x ()s i n ,,=<<⎧⎨⎪⎩⎪0320π其它 D. f x x x ()s i n,,=<<⎧⎨⎩00π其它 9.设连续型随机变量X 的密度函数为f x (),分布函数为F x (),则对任意的区间(,)a b ,则=<<)(b X a P ( D ).A. F a F b ()()-B. Fxx a b()d ⎰ C. fa fb ()()- D. f xx ab()d ⎰ 10.设X 为随机变量,E XD X (),()==μσ2,当(C )时,有E Y D Y (),()==01. A. Y X =+σμB. Y X =-σμC. Y X =-μσD. Y X =-μσ2(二)填空题⒈从数字1,2,3,4,5中任取3个,组成没有重复数字的三位数,则这个三位数是偶数的概率为2. 2.已知P AP B ().,().==0305,则当事件A B ,互不相容时,P A B ()+= 0.8 ,P A B (= 0.3 . 3.A B ,为两个事件,且BA ⊂,则P A B ()+=()A P . 4. 已知P A B P A B P A p ()(),()==,则P B ()=P -1.5. 若事件A B ,相互独立,且P A p P B q (),()==,则P A B ()+=pq q p -+.6. 已知P AP B ().,().==0305,则当事件A B ,相互独立时,P A B ()+= 0.65 ,P A B ()=0.3 .7.设随机变量X U ~(,)01,则X 的分布函数F x ()=⎪⎩⎪⎨⎧≥<<≤111000x x xx . 8.若X B ~(,.)2003,则E X ()= 6 . 9.若X N ~(,)μσ2,则P X ()-≤=μσ3)3(2Φ.10.E X E X Y E Y [(())(())]--称为二维随机变量(,)XY 的 协方差 . (三)解答题 1.设A B C ,,为三个事件,试用A B C ,,的运算分别表示下列事件: ⑴ A B C ,,中至少有一个发生; ⑵ A B C ,,中只有一个发生; ⑶ A B C ,,中至多有一个发生; ⑷ A B C ,,中至少有两个发生; ⑸ A B C ,,中不多于两个发生; ⑹ A B C ,,中只有C 发生. 解:(1)C B A ++ (2)C B A C B A C B A ++ (3) C B A C B A C B A C B A +++ (4)BC AC AB ++ (5)C B A ++ (6)C B A2. 袋中有3个红球,2个白球,现从中随机抽取2个球,求下列事件的概率: ⑴ 2球恰好同色;⑵ 2球中至少有1红球.解:设A =“2球恰好同色”,B =“2球中至少有1红球”521013)(252223=+=+=C C C A P 1091036)(25231213=+=+=C C C C B P 3. 加工某种零件需要两道工序,第一道工序的次品率是2%,如果第一道工序出次品则此零件为次品;如果第一道工序出正品,则由第二道工序加工,第二道工序的次品率是3%,求加工出来的零件是正品的概率. 解:设=i A “第i 道工序出正品”(i=1,2)9506.0)03.01)(02.01()|()()(12121=--==A A P A P A A P4. 市场供应的热水瓶中,甲厂产品占50%,乙厂产品占30%,丙厂产品占20%,甲、乙、丙厂产品的合格率分别为90%,85%,80%,求买到一个热水瓶是合格品的概率.解:设""1产品由甲厂生产=A ""2产品由乙厂生产=A ""3产品由丙厂生产=A""产品合格=B)|()()|()()|()()(332211A B P A P A B P A P A B P A P B P ++= 865.080.02.085.03.09.05.0=⨯+⨯+⨯=5. 某射手连续向一目标射击,直到命中为止.已知他每发命中的概率是p ,求所需设计次数X 的概率分布. 解:P X P ==)1(P P X P )1()2(-== P P X P 2)1()3(-== …………P P k X P k 1)1()(--== …………故X 的概率分布是⎥⎦⎤⎢⎣⎡⋯⋯-⋯⋯--⋯⋯⋯⋯-p p p p p p p k k 12)1()1()1(3216.设随机变量X 的概率分布为012345601015020301201003.......⎡⎣⎢⎤⎦⎥ 试求P X P X P X (),(),()≤≤≤≠4253.解:87.012.03.02.015.01.0)4()3()2()1()0()4(=++++==+=+=+=+==≤X P X P X P X P X P X P 72.01.012.03.02.0)5()4()3()2()52(=+++==+=+=+==≤≤X P X P X P X P X P 7.03.01)3(1)3(=-==-=≠X P X P 7.设随机变量X 具有概率密度f x x x (),,=≤≤⎧⎨⎩2010其它 试求P X P X (),()≤<<12142. 解:412)()21(210221021====≤⎰⎰∞-x xdx dx x f X P 16152)()241(1412141241====<<⎰⎰x xdx dx x f X P 8. 设X f x x x ~(),,=≤≤⎧⎨⎩2010其它,求E X D X(),(). 解:32322)()(1031==⋅==⎰⎰+∞∞-x xdx x dx x xf X E 21422)()(10410222==⋅==⎰⎰+∞∞-x xdx x dx x f x X E181)32(21)]([)()(222=-=-=x E X E X D9. 设)6.0,1(~2N X ,计算⑴P X (..)0218<<;⑵P X ()>0. 解:8164.019082.021)33.1(2)33.1()33.1()33.12.0133.1()8.12.0(=-⨯=-Φ=-Φ-Φ=<-<-=<<X P X P0475.09525.01)67.1(1)67.16.01()0(=-=Φ-=<-=>X P X P10.设X XX n 12,,, 是独立同分布的随机变量,已知E XD X (),()112==μσ,设X n X i i n==∑11,求E X D X (),(). 解:)]()()([1)(1)1()(21211n n ni i X E X E X E nX X X E n X nE X E +⋯⋯++=+⋯⋯++==∑= μμ==n n 1)]()()([1)(1)1()(2122121n n n i i X D X D X D n X X X D n X n D X D +⋯⋯++=+⋯⋯++==∑=22211σσn n n=⋅=工程数学作业(第四次)第6章 统计推断(一)单项选择题⒈设x x x n12,,, 是来自正态总体N (,)μσ2(μσ,2均未知)的样本,则(A )是统计量. A. x 1 B. x 1+μ C. x 122σ D. μx 1 ⒉设x x x 123,,是来自正态总体N (,)μσ2(μσ,2均未知)的样本,则统计量(D )不是μ的无偏估计.A. m a x {,,}xxx 123B. 1212()x x + C. 212x x - D. x x x 123--(二)填空题1.统计量就是 不含未知参数的样本函数 .2.参数估计的两种方法是 点估计 和 区间估计 .常用的参数点估计有 矩估计法 和 最大似然估计 两种方法.3.比较估计量好坏的两个重要标准是 无偏性 , 有效性 .4.设x x x n12,,, 是来自正态总体N (,)μσ2(σ2已知)的样本值,按给定的显著性水平α检验H H 0010:;:μμμμ=≠,需选取统计量n x U /0σμ-=.5.假设检验中的显著性水平α为事件u x >-||0μ(u 为临界值)发生的概率.(三)解答题1.设对总体X 得到一个容量为10的样本值4.5, 2.0, 1.0, 1.5, 3.5, 4.5, 6.5,5.0, 3.5, 4.0试分别计算样本均值x 和样本方差s 2.解: 6.336101101101=⨯==∑=i i x x878.29.2591)(110121012=⨯=--=∑=i i x x s2.设总体X 的概率密度函数为fx x x (;)(),,θθθ=+<<⎧⎨⎩1010其它 试分别用矩估计法和最大似然估计法估计参数θ. 解:提示教材第214页例3矩估计:,121)1()(110∑⎰===++=+=ni i x n x dx x x X E θθθθxx --=112ˆθ 最大似然估计:θθθθθ)()1()1();,,,(21121n n i ni n x x x x x x x L +=+==0ln 1ln ,ln )1ln(ln 11=++=++=∑∑==ni i ni i x nd L d x n L θθθθ,1ln ˆ1--=∑=ni ixnθ3.测两点之间的直线距离5次,测得距离的值为(单位:m ):108.5 109.0 110.0 110.5 112.0测量值可以认为是服从正态分布N (,)μσ2的,求μ与σ2的估计值.并在⑴σ225=.;⑵σ2未知的情况下,分别求μ的置信度为0.95的置信区间.解: 11051ˆ51===∑=i i x x μ 875.1)(151ˆ5122=--==∑=i i x x s σ (1)当σ225=.时,由1-α=0.95,975.021)(=-=Φαλ 查表得:96.1=λ故所求置信区间为:]4.111,6.108[],[=+-n x n x σλσλ(2)当2σ未知时,用2s 替代2σ,查t (4, 0.05 ) ,得 776.2=λ故所求置信区间为:]7.111,3.108[],[=+-nsx n sx λλ4.设某产品的性能指标服从正态分布N (,)μσ2,从历史资料已知σ=4,抽查10个样品,求得均值为17,取显著性水平α=005.,问原假设H 020:μ=是否成立. 解:237.0162.343|10/42017||/|||0=⨯=-=-=nx U σμ,由975.021)(=-=Φαλ ,查表得:96.1=λ因为 237.0||=U > 1.96 ,所以拒绝0H5.某零件长度服从正态分布,过去的均值为20.0,现换了新材料,从产品中随机抽取8个样品,测得的长度为(单位:cm ):20.0, 20.2, 20.1, 20.0, 20.2, 20.3, 19.8, 19.5问用新材料做的零件平均长度是否起了变化(α=005.). 解:由已知条件可求得:0125.20=x 0671.02=s 1365.0259.0035.0|8/259.0200125.20||/|||0==-=-=n s x T μ 62.2)05.0,9()05.0,1(==-=t n t λ∵ | T | < 2.62 ∴ 接受H 0即用新材料做的零件平均长度没有变化。
工程数学形成性考核册答案带题目工程数学作业〔一〕答案〔总分值100分〕第2章 矩阵〔一〕单项选择题〔每题2分,共20分〕⒈设a a a b b b c c c 1231231232=,那么a a a a b a b a b c c c 123112233123232323---=〔D 〕.A. 4B. -4C. 6D. -6⒉假设000100002001001a a=,那么a =〔A 〕. A.12 B. -1 C. -12D. 1 ⒊乘积矩阵1124103521-⎡⎣⎢⎤⎦⎥-⎡⎣⎢⎤⎦⎥中元素c 23=〔C 〕.A. 1B. 7C. 10D. 8⒋设A B ,均为n 阶可逆矩阵,那么以下运算关系正确的选项是〔 B 〕. A. A BAB+=+---111B. ()AB BA--=11C. ()A B A B +=+---111D. ()AB A B ---=111⒌设A B ,均为n 阶方阵,k >0且k ≠1,那么以下等式正确的选项是〔D 〕. A. A B A B +=+ B. AB n A B = C. kA k A = D. -=-kA k A n () ⒍以下结论正确的选项是〔 A 〕.A. 假设A 是正交矩阵,那么A -1也是正交矩阵B. 假设A B ,均为n 阶对称矩阵,那么AB 也是对称矩阵C. 假设A B ,均为n 阶非零矩阵,那么AB 也是非零矩阵D. 假设A B ,均为n 阶非零矩阵,那么AB ≠0⒎矩阵1325⎡⎣⎢⎤⎦⎥的相伴矩阵为〔 C 〕. A. 1325--⎡⎣⎢⎤⎦⎥ B. --⎡⎣⎢⎤⎦⎥1325C. 5321--⎡⎣⎢⎤⎦⎥D. --⎡⎣⎢⎤⎦⎥5321⒏方阵A 可逆的充分必要条件是〔B 〕.A.A ≠0B.A ≠0C. A *≠0D. A *>0⒐设A B C ,,均为n 阶可逆矩阵,那么()ACB '=-1〔D 〕.A. ()'---B A C 111 B. '--B C A 11C. A C B ---'111()D. ()B C A ---'111⒑设A B C ,,均为n 阶可逆矩阵,那么以下等式成立的是〔A 〕. A. ()A B A AB B +=++2222 B. ()A B B BA B +=+2 C. ()221111ABC C B A ----= D. ()22ABC C B A '=''' 〔二〕填空题〔每题2分,共20分〕⒈210140001---= 7 .⒉---11111111x 是关于x 的一个一次多项式,那么该多项式一次项的系数是 2 .⒊假设A 为34⨯矩阵,B 为25⨯矩阵,切乘积AC B ''有意义,那么C 为 5×4 矩阵.⒋二阶矩阵A =⎡⎣⎢⎤⎦⎥=11015⎥⎦⎤⎢⎣⎡1051. ⒌设A B =-⎡⎣⎢⎢⎢⎤⎦⎥⎥⎥=--⎡⎣⎢⎤⎦⎥124034120314,,那么()A B +''=⎥⎦⎤⎢⎣⎡--815360 ⒍设A B ,均为3阶矩阵,且A B ==-3,那么-=2AB72 .⒎设A B ,均为3阶矩阵,且A B =-=-13,,那么-'=-312()A B -3 .⒏假设A a =⎡⎣⎢⎤⎦⎥101为正交矩阵,那么a = 0 .⒐矩阵212402033--⎡⎣⎢⎢⎢⎤⎦⎥⎥⎥的秩为 2 . ⒑设A A 12,是两个可逆矩阵,那么A O OA 121⎡⎣⎢⎤⎦⎥=-⎥⎦⎤⎢⎣⎡--1211A O O A . 〔三〕解答题〔每题8分,共48分〕⒈设A B C =-⎡⎣⎢⎤⎦⎥=-⎡⎣⎢⎤⎦⎥=-⎡⎣⎢⎤⎦⎥123511435431,,,求⑴A B +;⑵A C +;⑶23A C +;⑷A B +5;⑸AB ;⑹()AB C '.答案:⎥⎦⎤⎢⎣⎡=+8130B A ⎥⎦⎤⎢⎣⎡=+4066C A ⎥⎦⎤⎢⎣⎡=+73161732C A ⎥⎦⎤⎢⎣⎡=+01222265B A ⎥⎦⎤⎢⎣⎡=122377AB ⎥⎦⎤⎢⎣⎡='801512156)(C AB⒉设A B C =--⎡⎣⎢⎤⎦⎥=-⎡⎣⎢⎤⎦⎥=--⎡⎣⎢⎢⎢⎤⎦⎥⎥⎥121012103211114321002,,,求AC BC +.解:⎥⎦⎤⎢⎣⎡--=⎥⎥⎥⎦⎤⎢⎢⎢⎣⎡--⎥⎦⎤⎢⎣⎡=+=+10221046200123411102420)(C B A BC AC ⒊A B =-⎡⎣⎢⎢⎢⎤⎦⎥⎥⎥=-⎡⎣⎢⎢⎢⎤⎦⎥⎥⎥310121342102111211,,求满足方程32A X B -=中的X . 解: 32A X B -=∴ ⎥⎥⎥⎥⎥⎥⎦⎤⎢⎢⎢⎢⎢⎢⎣⎡--=⎥⎥⎥⎦⎤⎢⎢⎢⎣⎡--=-=252112712511234511725223821)3(21B A X ⒋写出4阶行列式1020143602533110--中元素a a 4142,的代数余子式,并求其值.答案:0352634020)1(1441=--=+a 45350631021)1(2442=---=+a⒌用初等行变换求以下矩阵的逆矩阵:⑴ 122212221--⎡⎣⎢⎢⎢⎤⎦⎥⎥⎥; ⑵ 1234231211111026---⎡⎣⎢⎢⎢⎢⎤⎦⎥⎥⎥⎥; ⑶ 1000110011101111⎡⎣⎢⎢⎢⎢⎤⎦⎥⎥⎥⎥.解:〔1〕[]⎥⎥⎥⎥⎥⎥⎦⎤⎢⎢⎢⎢⎢⎢⎣⎡--−−−→−⎥⎥⎥⎥⎥⎥⎦⎤⎢⎢⎢⎢⎢⎢⎣⎡----−−→−⎥⎥⎥⎥⎥⎦⎤⎢⎢⎢⎢⎢⎣⎡------−−−→−⎥⎥⎥⎦⎤⎢⎢⎢⎣⎡------−−−→−⎥⎥⎥⎦⎤⎢⎢⎢⎣⎡--=+-+--+-++-+-9192929291929292911001000191929203132032311002120112201203231900630201102012001360630221100010001122212221|2313323212312122913123222r r r r r r r r r r r r r r I A ⎥⎥⎥⎥⎥⎥⎦⎤⎢⎢⎢⎢⎢⎢⎣⎡--=∴-9192929291929292911A〔2〕⎥⎥⎥⎥⎦⎤⎢⎢⎢⎢⎣⎡--------=-35141201132051717266221A (过程略) (3) ⎥⎥⎥⎥⎦⎤⎢⎢⎢⎢⎣⎡---=-11000110001100011A ⒍求矩阵1011011110110010121012113201⎡⎣⎢⎢⎢⎢⎤⎦⎥⎥⎥⎥的秩.解:⎥⎥⎥⎥⎦⎤⎢⎢⎢⎢⎣⎡----−−→−⎥⎥⎥⎥⎦⎤⎢⎢⎢⎢⎣⎡-----−−→−⎥⎥⎥⎥⎦⎤⎢⎢⎢⎢⎣⎡-------−−−→−⎥⎥⎥⎥⎦⎤⎢⎢⎢⎢⎣⎡+-+-+-+-+-00000000111000111011011011010111000011100011101101111112211100111000111011011111102311210121010011011110110143424131212r r r r r r r r r r ∴3)(=A R〔四〕证明题〔每题4分,共12分〕⒎对任意方阵A ,试证A A +'是对称矩阵. 证明:'')''(')''(A A A A A A A A +=+=+=+∴ A A +'是对称矩阵⒏假设A 是n 阶方阵,且AA I '=,试证A =1或-1. 证明: A 是n 阶方阵,且AA I '=∴ 12==='='I A A A A A∴A =1或1-=A⒐假设A 是正交矩阵,试证'A 也是正交矩阵. 证明: A 是正交矩阵∴ A A '=-1∴ )()()(111''==='---A A A A即'A 是正交矩阵工程数学作业〔第二次〕(总分值100分)第3章 线性方程组〔一〕单项选择题(每题2分,共16分)⒈用消元法得x x x x x x 12323324102+-=+=-=⎧⎨⎪⎩⎪的解x x x 123⎡⎣⎢⎢⎢⎤⎦⎥⎥⎥为〔C 〕.A. [,,]102-'B. [,,]--'722C. [,,]--'1122D. [,,]---'1122⒉线性方程组x x x x x x x 12313232326334++=-=-+=⎧⎨⎪⎩⎪〔B 〕. A. 有无穷多解 B. 有唯独解 C. 无解 D. 只有零解⒊向量组100010001121304⎡⎣⎢⎢⎢⎤⎦⎥⎥⎥⎡⎣⎢⎢⎢⎤⎦⎥⎥⎥⎡⎣⎢⎢⎢⎤⎦⎥⎥⎥⎡⎣⎢⎢⎢⎤⎦⎥⎥⎥⎡⎣⎢⎢⎢⎤⎦⎥⎥⎥,,,,的秩为〔 A 〕. A. 3 B. 2 C. 4 D. 5⒋设向量组为αααα12341100001110101111=⎡⎣⎢⎢⎢⎢⎤⎦⎥⎥⎥⎥=⎡⎣⎢⎢⎢⎢⎤⎦⎥⎥⎥⎥=⎡⎣⎢⎢⎢⎢⎤⎦⎥⎥⎥⎥=⎡⎣⎢⎢⎢⎢⎤⎦⎥⎥⎥⎥,,,,那么〔B 〕是极大无关组.A. αα12,B. ααα123,,C. ααα124,,D. α1⒌A 与A 分别代表一个线性方程组的系数矩阵和增广矩阵,假设那个方程组无解,那么〔D 〕. A. 秩()A =秩()A B. 秩()A <秩()A C. 秩()A >秩()A D. 秩()A =秩()A -1⒍假设某个线性方程组相应的齐次线性方程组只有零解,那么该线性方程组〔A 〕. A. 可能无解 B. 有唯独解 C. 有无穷多解 D. 无解 ⒎以下结论正确的选项是〔D 〕.A. 方程个数小于未知量个数的线性方程组一定有解B. 方程个数等于未知量个数的线性方程组一定有唯独解C. 方程个数大于未知量个数的线性方程组一定有无穷多解D. 齐次线性方程组一定有解⒏假设向量组ααα12,,, s 线性相关,那么向量组内〔A 〕可被该向量组内其余向量线性表出. A. 至少有一个向量 B. 没有一个向量 C. 至多有一个向量 D. 任何一个向量9.设A ,B为n 阶矩阵,λ既是A又是B的特点值,x 既是A又是B的属于λ的特点向量,那么结论〔 〕成立.A.λ是AB 的特点值 B.λ是A+B 的特点值C.λ是A -B 的特点值 D.x 是A+B 的属于λ的特点向量10.设A,B,P为n 阶矩阵,假设等式〔C 〕成立,那么称A和B相似. A.BA AB = B.AB AB =')( C.B PAP =-1 D.B P PA =' 〔二〕填空题(每题2分,共16分) ⒈当λ= 1 时,齐次线性方程组x x x x 121200+=+=⎧⎨⎩λ有非零解.⒉向量组[][]αα12000111==,,,,,线性 相关 .⒊向量组[][][][]123120100000,,,,,,,,,,,的秩是 3 .⒋设齐次线性方程组ααα1122330x x x ++=的系数行列式ααα1230=,那么那个方程组有 无穷多 解,且系数列向量ααα123,,是线性 相关 的.⒌向量组[][][]ααα123100100===,,,,,的极大线性无关组是21,αα. ⒍向量组ααα12,,, s 的秩与矩阵[]ααα12,,, s 的秩 相同 .⒎设线性方程组AX =0中有5个未知量,且秩()A =3,那么其基础解系中线性无关的解向量有 2个.⒏设线性方程组AX b =有解,X 0是它的一个特解,且AX =0的基础解系为X X 12,,那么AX b =的通解为22110X k X k X ++.9.假设λ是A的特点值,那么λ的根. 10.假设矩阵A满足A A '=-1 ,那么称A为正交矩阵. 〔三〕解答题(第1小题9分,其余每题11分) 1.用消元法解线性方程组x x x x x x x x x x x x x x x x 123412341234123432638502412432---=-++=-+-+=--+--=⎧⎨⎪⎪⎩⎪⎪ 解:⎥⎥⎥⎥⎦⎤⎢⎢⎢⎢⎣⎡-----−−→−⎥⎥⎥⎥⎦⎤⎢⎢⎢⎢⎣⎡---------−−−→−⎥⎥⎥⎥⎦⎤⎢⎢⎢⎢⎣⎡----------=+-+++++-2612100090392700188710482319018431001850188710612312314112141205183612314132124131215323r r r r r r r r r r r r A ⎥⎥⎥⎥⎦⎤⎢⎢⎢⎢⎣⎡----−−−→−⎥⎥⎥⎥⎦⎤⎢⎢⎢⎢⎣⎡----−−→−⎥⎥⎥⎥⎦⎤⎢⎢⎢⎢⎣⎡----−−→−+-+-+---+3311000411004615010124420011365004110018871048231901136500123300188710482319014323133434571931213r r r r r r r r r r ⎥⎥⎥⎥⎦⎤⎢⎢⎢⎢⎣⎡--−−−→−⎥⎥⎥⎥⎦⎤⎢⎢⎢⎢⎣⎡----−−→−++-+-31000101001001020001310004110046150101244200134241441542111r r r r r r r ∴方程组解为⎪⎪⎩⎪⎪⎨⎧-==-==31124321x x x x2.设有线性方程组λλλλλ11111112⎡⎣⎢⎢⎢⎤⎦⎥⎥⎥⎡⎣⎢⎢⎢⎤⎦⎥⎥⎥=⎡⎣⎢⎢⎢⎤⎦⎥⎥⎥x y z λ 为何值时,方程组有唯独解?或有无穷多解?解:⎥⎥⎥⎦⎤⎢⎢⎢⎣⎡-+-+---−−→−⎥⎥⎥⎦⎤⎢⎢⎢⎣⎡------−−−→−⎥⎥⎥⎦⎤⎢⎢⎢⎣⎡−−→−⎥⎥⎥⎦⎤⎢⎢⎢⎣⎡=++-+-↔22322222)1)(1()1)(2(00)1(110111110110111111111111111132312131λλλλλλλλλλλλλλλλλλλλλλλλλλλλλλr r r r r r r r A ]∴ 当1≠λ且2-≠λ时,3)()(==A R A R ,方程组有唯独解当1=λ时,1)()(==A R A R ,方程组有无穷多解3.判定向量β能否由向量组ααα123,,线性表出,假设能,写出一种表出方式.其中βααα=---⎡⎣⎢⎢⎢⎢⎤⎦⎥⎥⎥⎥=-⎡⎣⎢⎢⎢⎢⎤⎦⎥⎥⎥⎥=--⎡⎣⎢⎢⎢⎢⎤⎦⎥⎥⎥⎥=--⎡⎣⎢⎢⎢⎢⎤⎦⎥⎥⎥⎥83710271335025631123,,, 解:向量β能否由向量组321,,ααα线性表出,当且仅当方程组βααα=++332211x x x 有解那个地点 []⎥⎥⎥⎥⎦⎤⎢⎢⎢⎢⎣⎡--−→−⋯⋯⋯⋯−→−⎥⎥⎥⎥⎦⎤⎢⎢⎢⎢⎣⎡--------==571000117100041310730110123730136578532,,,321βαααA )()(A R A R ≠∴ 方程组无解∴ β不能由向量321,,ααα线性表出4.运算以下向量组的秩,同时〔1〕判定该向量组是否线性相关αααα1234112343789131303319636=-⎡⎣⎢⎢⎢⎢⎢⎢⎤⎦⎥⎥⎥⎥⎥⎥=-⎡⎣⎢⎢⎢⎢⎢⎢⎤⎦⎥⎥⎥⎥⎥⎥=----⎡⎣⎢⎢⎢⎢⎢⎢⎤⎦⎥⎥⎥⎥⎥⎥=⎡⎣⎢⎢⎢⎢⎢⎢⎤⎦⎥⎥⎥⎥⎥⎥,,,解:[]⎥⎥⎥⎥⎥⎥⎦⎤⎢⎢⎢⎢⎢⎢⎣⎡-−→−⋯⋯⋯⋯−→−⎥⎥⎥⎥⎥⎥⎦⎤⎢⎢⎢⎢⎢⎢⎣⎡------=0000001800021101131631343393608293711131,,,4321αααα ∴该向量组线性相关5.求齐次线性方程组x x x x x x x x x x x x x x x 1234123412341243205230112503540-+-=-+-+=--+-=++=⎧⎨⎪⎪⎩⎪⎪ 的一个基础解系. 解:⎥⎥⎥⎥⎥⎦⎤⎢⎢⎢⎢⎢⎣⎡---−−−→−⎥⎥⎥⎥⎦⎤⎢⎢⎢⎢⎣⎡-------−−−→−⎥⎥⎥⎥⎦⎤⎢⎢⎢⎢⎣⎡-------=+-+-+-+-++30000000731402114501103140731407314021314053521113215213142321241312114335r r r r r r r r r r r r A⎥⎥⎥⎥⎥⎥⎦⎤⎢⎢⎢⎢⎢⎢⎣⎡-−−−→−⎥⎥⎥⎥⎥⎥⎦⎤⎢⎢⎢⎢⎢⎢⎣⎡--−→−⎥⎥⎥⎥⎥⎥⎦⎤⎢⎢⎢⎢⎢⎢⎣⎡--−−→−+-+↔-0001000143100145010001002114310211450100030002114310211450123133432212131141r r r r r r r r ∴ 方程组的一样解为⎪⎪⎪⎩⎪⎪⎪⎨⎧==-=014314543231x x x x x 令13=x ,得基础解系 ⎥⎥⎥⎥⎥⎥⎦⎤⎢⎢⎢⎢⎢⎢⎣⎡-=10143145ξ 6.求以下线性方程组的全部解.x x x x x x x x x x x x x x x 12341234124123452311342594175361-+-=-+-+=----=++-=-⎧⎨⎪⎪⎩⎪⎪解:⎥⎥⎥⎥⎥⎦⎤⎢⎢⎢⎢⎢⎣⎡---−−−→−⎥⎥⎥⎥⎦⎤⎢⎢⎢⎢⎣⎡--------−−−→−⎥⎥⎥⎥⎦⎤⎢⎢⎢⎢⎣⎡----------=++-+-+-++00000000002872140121790156144280287214028721401132511163517409152413113251423212413121214553r r r r r r r r r r r r A ⎥⎥⎥⎥⎥⎥⎦⎤⎢⎢⎢⎢⎢⎢⎣⎡---−−→−-0000000000221711012179012141r ∴方程组一样解为⎪⎪⎩⎪⎪⎨⎧---=++-=2217112197432431x x x x x x令13k x =,24k x =,那个地点1k ,2k 为任意常数,得方程组通解⎥⎥⎥⎥⎦⎤⎢⎢⎢⎢⎣⎡-+⎥⎥⎥⎥⎥⎥⎦⎤⎢⎢⎢⎢⎢⎢⎣⎡-+⎥⎥⎥⎥⎥⎥⎦⎤⎢⎢⎢⎢⎢⎢⎣⎡-=⎥⎥⎥⎥⎥⎥⎦⎤⎢⎢⎢⎢⎢⎢⎣⎡--++-=⎥⎥⎥⎥⎦⎤⎢⎢⎢⎢⎣⎡00211021210171972217112197212121214321k k k k k k k k x x x x7.试证:任一4维向量[]'=4321,,,a a a a β都可由向量组⎥⎥⎥⎥⎦⎤⎢⎢⎢⎢⎣⎡=00011α,⎥⎥⎥⎥⎦⎤⎢⎢⎢⎢⎣⎡=00112α,⎥⎥⎥⎥⎦⎤⎢⎢⎢⎢⎣⎡=01113α,⎥⎥⎥⎥⎦⎤⎢⎢⎢⎢⎣⎡=11114α线性表示,且表示方式唯独,写出这种表示方式.证明:⎥⎥⎥⎥⎦⎤⎢⎢⎢⎢⎣⎡=00011α ⎥⎥⎥⎥⎦⎤⎢⎢⎢⎢⎣⎡=-001012αα ⎥⎥⎥⎥⎦⎤⎢⎢⎢⎢⎣⎡=-010023αα ⎥⎥⎥⎥⎦⎤⎢⎢⎢⎢⎣⎡=-100034αα任一4维向量可唯独表示为)()()(10000100001000013442331221143214321αααααααβ-+-+-+=⎥⎥⎥⎥⎦⎤⎢⎢⎢⎢⎣⎡+⎥⎥⎥⎥⎦⎤⎢⎢⎢⎢⎣⎡+⎥⎥⎥⎥⎦⎤⎢⎢⎢⎢⎣⎡+⎥⎥⎥⎥⎦⎤⎢⎢⎢⎢⎣⎡=⎥⎥⎥⎥⎦⎤⎢⎢⎢⎢⎣⎡=a a a a a a a a a a a a44343232121)()()(ααααa a a a a a a +-+-+-=⒏试证:线性方程组有解时,它有唯独解的充分必要条件是:相应的齐次线性方程组只有零解. 证明:设B AX =为含n 个未知量的线性方程组 该方程组有解,即n A R A R ==)()(从而B AX =有唯独解当且仅当n A R =)(而相应齐次线性方程组0=AX 只有零解的充分必要条件是n A R =)(∴ B AX =有唯独解的充分必要条件是:相应的齐次线性方程组0=AX 只有零解9.设λ是可逆矩阵A的特点值,且0≠λ,试证:λ1是矩阵1-A 的特点值.证明: λ是可逆矩阵A的特点值∴ 存在向量ξ,使λξξ=A∴ξξλλξξξξ=====----1111)()()(A A A A A A I∴ξλξ11=-A即λ1是矩阵1-A 的特点值 10.用配方法将二次型43324221242322212222x x x x x x x x x x x x f +--++++=化为标准型.解:42244232322143324224232212)(2)(222)(x x x x x x x x x x x x x x x x x x x f -++-+++=+--+++= 222423221)()(x x x x x x -+-++= ∴ 令211x x y +=,4232x x x y +-=,23x y =,44y x =即⎪⎪⎩⎪⎪⎨⎧=-+==-=44432332311y x y y y x y x y y x那么将二次型化为标准型 232221y y y f -+= 工程数学作业〔第三次〕(总分值100分)第4章 随机事件与概率〔一〕单项选择题⒈A B ,为两个事件,那么〔 B 〕成立.A. ()A B B A +-=B. ()A B B A +-⊂C. ()A B B A -+=D. ()A B B A -+⊂ ⒉假如〔 C 〕成立,那么事件A 与B 互为对立事件. A. AB =∅ B. AB U =C. AB =∅且AB U =D. A 与B 互为对立事件⒊10张奖券中含有3张中奖的奖券,每人购买1张,那么前3个购买者中恰有1人中奖的概率为〔D 〕.A. C 10320703⨯⨯.. B. 03. C. 07032..⨯ D. 307032⨯⨯.. 4. 关于事件A B ,,命题〔C 〕是正确的.A. 假如A B ,互不相容,那么A B ,互不相容B. 假如A B ⊂,那么A B ⊂C. 假如A B ,对立,那么A B ,对立D. 假如A B ,相容,那么A B ,相容⒌某随机试验的成功率为)10(<<p p ,那么在3次重复试验中至少失败1次的概率为〔D 〕. A.3)1(p - B. 31p - C. )1(3p - D. )1()1()1(223p p p p p -+-+-6.设随机变量X B n p ~(,),且E X D X ().,().==48096,那么参数n 与p 分别是〔A 〕. A. 6, 0.8 B. 8, 0.6 C. 12, 0.4 D. 14, 0.27.设f x ()为连续型随机变量X 的密度函数,那么对任意的a b a b ,()<,E X ()=〔A 〕. A. xf x x ()d -∞+∞⎰ B.xf x x ab()d ⎰C.f x x ab()d ⎰D.f x x ()d -∞+∞⎰8.在以下函数中能够作为分布密度函数的是〔B 〕.A. f x x x ()sin ,,=-<<⎧⎨⎪⎩⎪ππ2320其它B. f x x x ()sin ,,=<<⎧⎨⎪⎩⎪020π其它C. f x x x ()sin ,,=<<⎧⎨⎪⎩⎪0320π其它 D. f x x x ()sin ,,=<<⎧⎨⎩00π其它 9.设连续型随机变量X 的密度函数为f x (),分布函数为F x (),那么对任意的区间(,)a b ,那么=<<)(b X a P 〔 D 〕.A. F a F b ()()-B. F x x a b()d ⎰ C. f a f b ()()- D.f x x ab()d ⎰10.设X 为随机变量,E X D X (),()==μσ2,当〔C 〕时,有E Y D Y (),()==01. A. Y X =+σμ B. Y X =-σμC. Y X =-μσD. Y X =-μσ2〔二〕填空题⒈从数字1,2,3,4,5中任取3个,组成没有重复数字的三位数,那么那个三位数是偶数的概率为52. 2.P A P B ().,().==0305,那么当事件A B ,互不相容时,P A B ()+= 0.8 ,P AB ()= 0.3 .3.A B ,为两个事件,且B A ⊂,那么P A B ()+=()A P .4. P AB P AB P A p ()(),()==,那么P B ()=P -1.5. 假设事件A B ,相互独立,且P A p P B q (),()==,那么P A B ()+=pq q p -+.6. P A P B ().,().==0305,那么当事件A B ,相互独立时,P A B ()+= 0.65 ,P A B ()= 0.3 .7.设随机变量X U ~(,)01,那么X 的分布函数F x ()=⎪⎩⎪⎨⎧≥<<≤111000x x x x .8.假设X B ~(,.)2003,那么E X ()= 6 .9.假设X N ~(,)μσ2,那么P X ()-≤=μσ3)3(2Φ.10.E X E X Y E Y [(())(())]--称为二维随机变量(,)X Y 的 协方差 . 〔三〕解答题1.设A B C ,,为三个事件,试用A B C ,,的运算分别表示以下事件: ⑴ A B C ,,中至少有一个发生; ⑵ A B C ,,中只有一个发生; ⑶ A B C ,,中至多有一个发生; ⑷ A B C ,,中至少有两个发生; ⑸ A B C ,,中不多于两个发生; ⑹ A B C ,,中只有C 发生.解:(1)C B A ++ (2)C B A C B A C B A ++ (3) C B A C B A C B A C B A +++ (4)BC AC AB ++ (5)C B A ++ (6)C B A2. 袋中有3个红球,2个白球,现从中随机抽取2个球,求以下事件的概率: ⑴ 2球恰好同色;⑵ 2球中至少有1红球.解:设A =〝2球恰好同色〞,B =〝2球中至少有1红球〞521013)(252223=+=+=C C C A P 1091036)(25231213=+=+=C C C C B P 3. 加工某种零件需要两道工序,第一道工序的次品率是2%,假如第一道工序出次品那么此零件为次品;假如第一道工序出正品,那么由第二道工序加工,第二道工序的次品率是3%,求加工出来的零件是正品的概率.解:设=i A 〝第i 道工序出正品〞〔i=1,2〕9506.0)03.01)(02.01()|()()(12121=--==A A P A P A A P4. 市场供应的热水瓶中,甲厂产品占50%,乙厂产品占30%,丙厂产品占20%,甲、乙、丙厂产品的合格率分别为90%,85%,80%,求买到一个热水瓶是合格品的概率. 解:设""1产品由甲厂生产=A ""2产品由乙厂生产=A ""3产品由丙厂生产=A""产品合格=B)|()()|()()|()()(332211A B P A P A B P A P A B P A P B P ++= 865.080.02.085.03.09.05.0=⨯+⨯+⨯=5. 某射手连续向一目标射击,直到命中为止.他每发命中的概率是p ,求所需设计次数X 的概率分布. 解:P X P ==)1(P P X P )1()2(-==P P X P 2)1()3(-== …………P P k X P k 1)1()(--== …………故X 的概率分布是⎥⎦⎤⎢⎣⎡⋯⋯-⋯⋯--⋯⋯⋯⋯-p p p p p p p k k 12)1()1()1(3216.设随机变量X 的概率分布为12345601015020*********.......⎡⎣⎢⎤⎦⎥ 试求P X P X P X (),(),()≤≤≤≠4253.解:87.012.03.02.015.01.0)4()3()2()1()0()4(=++++==+=+=+=+==≤X P X P X P X P X P X P 72.01.012.03.02.0)5()4()3()2()52(=+++==+=+=+==≤≤X P X P X P X P X P 7.03.01)3(1)3(=-==-=≠X P X P 7.设随机变量X 具有概率密度f x x x (),,=≤≤⎧⎨⎩2010其它试求P X P X (),()≤<<12142. 解:412)()21(210221021====≤⎰⎰∞-x xdx dx x f X P 16152)()241(1412141241====<<⎰⎰x xdx dx x f X P 8. 设X f x x x ~(),,=≤≤⎧⎨⎩2010其它,求E X D X (),().解:32322)()(1031==⋅==⎰⎰+∞∞-x xdx x dx x xf X E 21422)()(10410222==⋅==⎰⎰+∞∞-x xdx x dx x f x X E181)32(21)]([)()(222=-=-=x E X E X D9. 设)6.0,1(~2N X ,运算⑴P X (..)0218<<;⑵P X ()>0. 解:8164.019082.021)33.1(2)33.1()33.1()33.12.0133.1()8.12.0(=-⨯=-Φ=-Φ-Φ=<-<-=<<X P X P 0475.09525.01)67.1(1)67.16.01()0(=-=Φ-=<-=>X P X P 10.设X X X n 12,,, 是独立同分布的随机变量,E X D X (),()112==μσ,设X n X i i n==∑11,求E X D X (),().解:)]()()([1)(1)1()(21211n n ni i X E X E X E nX X XE n X nE X E +⋯⋯++=+⋯⋯++==∑=μμ==n n 1)]()()([1)(1)1()(2122121n n n i i X D X D X D n X X X D n X n D X D +⋯⋯++=+⋯⋯++==∑=22211σσn n n=⋅=工程数学作业〔第四次〕第6章 统计推断〔一〕单项选择题⒈设x x x n 12,,, 是来自正态总体N (,)μσ2〔μσ,2均未知〕的样本,那么〔A 〕是统计量.A. x 1B. x 1+μC. x 122σ D. μx 1⒉设x x x 123,,是来自正态总体N (,)μσ2〔μσ,2均未知〕的样本,那么统计量〔D 〕不是μ的无偏估量.A. max{,,}x x x 123B. 1212()x x +C. 212x x -D. x x x 123--〔二〕填空题1.统计量确实是 不含未知参数的样本函数 .2.参数估量的两种方法是 点估量 和 区间估量 .常用的参数点估量有 矩估量法 和 最大似然估量 两种方法.3.比较估量量好坏的两个重要标准是 无偏性 , 有效性 .4.设x x x n 12,,, 是来自正态总体N (,)μσ2〔σ2〕的样本值,按给定的显著性水平α检验H H 0010:;:μμμμ=≠,需选取统计量nx U /0σμ-=.5.假设检验中的显著性水平α为事件u x >-||0μ〔u 为临界值〕发生的概率.〔三〕解答题1.设对总体X 得到一个容量为10的样本值4.5, 2.0, 1.0, 1.5, 3.5, 4.5, 6.5,5.0, 3.5, 4.0试分别运算样本均值x 和样本方差s 2.解: 6.336101101101=⨯==∑=i i x x878.29.2591)(110121012=⨯=--=∑=i ix x s2.设总体X 的概率密度函数为f x x x (;)(),,θθθ=+<<⎧⎨⎩1010其它试分别用矩估量法和最大似然估量法估量参数θ. 解:提示教材第214页例3矩估量:,121)1()(110∑⎰===++=+=ni i x n x dx x x X E θθθθx x --=112ˆθ 最大似然估量:θθθθθ)()1()1();,,,(21121n n i ni n x x x x x x x L +=+==0ln 1ln ,ln )1ln(ln 11=++=++=∑∑==ni i ni i x nd L d x n L θθθθ,1ln ˆ1--=∑=ni ixnθ3.测两点之间的直线距离5次,测得距离的值为〔单位:m 〕:108.5 109.0 110.0 110.5 112.0测量值能够认为是服从正态分布N (,)μσ2的,求μ与σ2的估量值.并在⑴σ225=.;⑵σ2未知的情形下,分别求μ的置信度为0.95的置信区间.解: 11051ˆ51===∑=i i x x μ 875.1)(151ˆ5122=--==∑=i i x x s σ〔1〕当σ225=.时,由1-α=0.95,975.021)(=-=Φαλ 查表得:96.1=λ故所求置信区间为:]4.111,6.108[],[=+-n x n x σλσλ〔2〕当2σ未知时,用2s 替代2σ,查t (4, 0.05 ) ,得 776.2=λ故所求置信区间为:]7.111,3.108[],[=+-nsx n sx λλ4.设某产品的性能指标服从正态分布N (,)μσ2,从历史资料σ=4,抽查10个样品,求得均值为17,取显著性水平α=005.,问原假设H 020:μ=是否成立.解:237.0162.343|10/42017||/|||0=⨯=-=-=n x U σμ,由975.021)(=-=Φαλ ,查表得:96.1=λ因为 237.0||=U > 1.96 ,因此拒绝0H5.某零件长度服从正态分布,过去的均值为20.0,现换了新材料,从产品中随机抽取8个样品,测得的长度为〔单位:cm 〕:20.0, 20.2, 20.1, 20.0, 20.2, 20.3, 19.8, 19.5问用新材料做的零件平均长度是否起了变化〔α=005.〕.解:由条件可求得:0125.20=x 0671.02=s1365.0259.0035.0|8/259.0200125.20||/|||0==-=-=n s x T μ 62.2)05.0,9()05.0,1(==-=t n t λ∵ | T | < 2.62 ∴ 同意H 0即用新材料做的零件平均长度没有变化。
电大工程数学形成性考核册答案工程数学作业(一)答案第2章矩阵一)单项选择题(每小题2分,共20分)1.设 $b_1=2$,则 $2a_1-3b_1a_2+2a_3-3b_3=-6$,选 D。
2.若 $a_2=1$,则 $a=\frac{1}{2}$,选 A。
3.乘积矩阵 $\begin{pmatrix}1&-1\\2&4\\-1&3\end{pmatrix}$ 中元素 $c_{23}=10$,选 C。
4.设 $A,B$ 均为 $n$ 阶可逆矩阵,则 $(AB)^{-1}=B^{-1}A^{-1}$,选 B。
5.设 $A,B$ 均为 $n$ 阶方阵,$k>0$ 且 $k\neq1$,则 $-kA=(-k)^nA$,选 D。
6.若 $A$ 是正交矩阵,则 $A^{-1}$ 也是正交矩阵,选 A。
7.矩阵 $\begin{pmatrix}1&-2\\5&-3\end{pmatrix}$ 的伴随矩阵为 $\begin{pmatrix}5&-3\\2&-1\end{pmatrix}$,选 C。
8.方阵 $A$ 可逆的充分必要条件是 $A\neq0$,选 B。
9.设 $A,B,C$ 均为 $n$ 阶可逆矩阵,则 $(ACB')^{-1}=B^{-1}C^{-1}A^{-1}$,选 D。
10.设 $A,B,C$ 均为 $n$ 阶可逆矩阵,则$(A+B)^2=A^2+2AB+B^2$,选 A。
二)填空题(每小题2分,共20分)1.$\begin{pmatrix}1&-4\\-1&1\end{pmatrix}^{-1}=\begin{pmatrix}1&4\\1&5\end{pmatrix}$。
2.若 $-1$ 是关于 $x$ 的一个一次多项式,则该多项式一次项的系数为 $2$。
3.$\begin{pmatrix}1&-1\\2&4\\-1&3\end{pmatrix}^T=\begin{pmatrix}1&2&-1\\-1&4&3\end{pmatrix}$。
工程数学作业(第一次)(满分100分)第2章 矩阵(一)单项选择题(每小题2分,共20分)⒈设a a a b b b c c c 1231231232=,则a a a a b a b a b c c c 123112233123232323---=( ).A. 4B. -4C. 6D. -6⒉若000100002001001a a=,则a =( ).A.12 B. -1 C. -12D. 1 ⒊乘积矩阵1124103521-⎡⎣⎢⎤⎦⎥-⎡⎣⎢⎤⎦⎥中元素c 23=( ). A. 1 B. 7 C. 10 D. 8⒋设A B ,均为n 阶可逆矩阵,则下列运算关系正确的是( ). A. A BAB +=+---111 B. ()AB BA --=11C. ()A B A B +=+---111 D. ()AB A B ---=111⒌设A B ,均为n 阶方阵,k >0且k ≠1,则下列等式正确的是( ). A. A B A B +=+ B. AB n A B =C. kA k A =D. -=-kA k A n()⒍下列结论正确的是( ).A. 若A 是正交矩阵,则A -1也是正交矩阵B. 若A B ,均为n 阶对称矩阵,则AB 也是对称矩阵C. 若A B ,均为n 阶非零矩阵,则AB 也是非零矩阵D. 若A B ,均为n 阶非零矩阵,则AB ≠0⒎矩阵1325⎡⎣⎢⎤⎦⎥的伴随矩阵为( ). A. 1325--⎡⎣⎢⎤⎦⎥ B. --⎡⎣⎢⎤⎦⎥1325 C. 5321--⎡⎣⎢⎤⎦⎥ D. --⎡⎣⎢⎤⎦⎥5321 ⒏方阵A 可逆的充分必要条件是( ).A.A ≠0B.A ≠0C. A *≠0D. A *>0 ⒐设A B C ,,均为n 阶可逆矩阵,则()ACB '=-1( ).A. ()'---B A C 111 B. '--B C A 11 C. A C B ---'111() D. ()B C A ---'111⒑设A B C ,,均为n 阶可逆矩阵,则下列等式成立的是( ). A. ()A B A AB B +=++2222 B. ()A B B BA B +=+2C. ()221111ABC C B A ----= D. ()22ABC C B A '='''(二)填空题(每小题2分,共20分)⒈210140001---= . ⒉---11111111x 是关于x 的一个一次多项式,则该多项式一次项的系数是 . ⒊若A 为34⨯矩阵,B 为25⨯矩阵,切乘积AC B ''有意义,则C 为 矩阵.⒋二阶矩阵A =⎡⎣⎢⎤⎦⎥=11015. ⒌设A B =-⎡⎣⎢⎢⎢⎤⎦⎥⎥⎥=--⎡⎣⎢⎤⎦⎥124034120314,,则()A B +''= . ⒍设A B ,均为3阶矩阵,且A B ==-3,则-=2AB .⒎设A B ,均为3阶矩阵,且A B =-=-13,,则-'=-312()A B .⒏若A a =⎡⎣⎢⎤⎦⎥101为正交矩阵,则a = . ⒐矩阵212402033--⎡⎣⎢⎢⎢⎤⎦⎥⎥⎥的秩为 . ⒑设A A 12,是两个可逆矩阵,则A O OA 121⎡⎣⎢⎤⎦⎥=- .(三)解答题(每小题8分,共48分)⒈设A B C =-⎡⎣⎢⎤⎦⎥=-⎡⎣⎢⎤⎦⎥=-⎡⎣⎢⎤⎦⎥123511435431,,,求⑴A B +;⑵A C +;⑶23A C +;⑷A B +5;⑸AB ;⑹()AB C '.⒉设A B C =--⎡⎣⎢⎤⎦⎥=-⎡⎣⎢⎤⎦⎥=--⎡⎣⎢⎢⎢⎤⎦⎥⎥⎥121012103211114321002,,,求AC BC +.⒊已知A B =-⎡⎣⎢⎢⎢⎤⎦⎥⎥⎥=-⎡⎣⎢⎢⎢⎤⎦⎥⎥⎥310121342102111211,,求满足方程32A X B -=中的X . ⒋写出4阶行列式1020143602533110--中元素a a 4142,的代数余子式,并求其值.⒌用初等行变换求下列矩阵的逆矩阵:⑴ 122212221--⎡⎣⎢⎢⎢⎤⎦⎥⎥⎥; ⑵ 1234231211111026---⎡⎣⎢⎢⎢⎢⎤⎦⎥⎥⎥⎥; ⑶1000110011101111⎡⎣⎢⎢⎢⎢⎤⎦⎥⎥⎥⎥. ⒍求矩阵1011011110110010121012113201⎡⎣⎢⎢⎢⎢⎤⎦⎥⎥⎥⎥的秩. (四)证明题(每小题4分,共12分)⒎对任意方阵A ,试证A A +'是对称矩阵.⒏若A 是n 阶方阵,且AA I '=,试证A =1或-1. ⒐若A 是正交矩阵,试证'A 也是正交矩阵.工程数学作业(第二次)(满分100分)第3章 线性方程组(一)单项选择题(每小题2分,共16分)⒈用消元法得x x x x x x 12323324102+-=+=-=⎧⎨⎪⎩⎪的解x x x 123⎡⎣⎢⎢⎢⎤⎦⎥⎥⎥为( ).A. [,,]102-'B. [,,]--'722C. [,,]--'1122D. [,,]---'1122⒉线性方程组x x x x x x x 12313232326334++=-=-+=⎧⎨⎪⎩⎪( ). A. 有无穷多解 B. 有唯一解 C. 无解 D. 只有零解⒊向量组100010001121304⎡⎣⎢⎢⎢⎤⎦⎥⎥⎥⎡⎣⎢⎢⎢⎤⎦⎥⎥⎥⎡⎣⎢⎢⎢⎤⎦⎥⎥⎥⎡⎣⎢⎢⎢⎤⎦⎥⎥⎥⎡⎣⎢⎢⎢⎤⎦⎥⎥⎥,,,,的秩为( ). A. 3 B. 2 C. 4 D. 5⒋设向量组为αααα12341100001110101111=⎡⎣⎢⎢⎢⎢⎤⎦⎥⎥⎥⎥=⎡⎣⎢⎢⎢⎢⎤⎦⎥⎥⎥⎥=⎡⎣⎢⎢⎢⎢⎤⎦⎥⎥⎥⎥=⎡⎣⎢⎢⎢⎢⎤⎦⎥⎥⎥⎥,,,,则( )是极大无关组.A. αα12,B. ααα123,,C. ααα124,,D. α1⒌A 与A 分别代表一个线性方程组的系数矩阵和增广矩阵,若这个方程组无解,则( ). A. 秩()A =秩()A B. 秩()A <秩()A C. 秩()A >秩()A D. 秩()A =秩()A -1⒍若某个线性方程组相应的齐次线性方程组只有零解,则该线性方程组( ). A. 可能无解 B. 有唯一解 C. 有无穷多解 D. 无解 ⒎以下结论正确的是( ).A. 方程个数小于未知量个数的线性方程组一定有解B. 方程个数等于未知量个数的线性方程组一定有唯一解C. 方程个数大于未知量个数的线性方程组一定有无穷多解D. 齐次线性方程组一定有解⒏若向量组ααα12,,, s 线性相关,则向量组内( )可被该向量组内其余向量线性表出.A. 至少有一个向量B. 没有一个向量C. 至多有一个向量D. 任何一个向量(二)填空题(每小题2分,共16分)⒈当λ= 时,齐次线性方程组x x x x 121200+=+=⎧⎨⎩λ有非零解.⒉向量组[][]αα12000111==,,,,,线性 .⒊向量组[][][][]123120100000,,,,,,,,,,,的秩是 .⒋设齐次线性方程组ααα1122330x x x ++=的系数行列式ααα1230=,则这个方程组有 解,且系数列向量ααα123,,是线性 的.⒌向量组[][][]ααα123100100===,,,,,的极大线性无关组是 . ⒍向量组ααα12,,, s 的秩与矩阵[]ααα12,,, s 的秩 .⒎设线性方程组AX =0中有5个未知量,且秩()A =3,则其基础解系中线性无关的解向量有 个.⒏设线性方程组AX b =有解,X 0是它的一个特解,且AX =0的基础解系为X X 12,,则AX b =的通解为 .(三)解答题(第1小题9分,其余每小题11分) 1.设有线性方程组λλλλλ11111112⎡⎣⎢⎢⎢⎤⎦⎥⎥⎥⎡⎣⎢⎢⎢⎤⎦⎥⎥⎥=⎡⎣⎢⎢⎢⎤⎦⎥⎥⎥x y z λ为何值时,方程组有唯一解?或有无穷多解?2.判断向量β能否由向量组ααα123,,线性表出,若能,写出一种表出方式.其中βααα=---⎡⎣⎢⎢⎢⎢⎤⎦⎥⎥⎥⎥=-⎡⎣⎢⎢⎢⎢⎤⎦⎥⎥⎥⎥=--⎡⎣⎢⎢⎢⎢⎤⎦⎥⎥⎥⎥=--⎡⎣⎢⎢⎢⎢⎤⎦⎥⎥⎥⎥83710271335025631123,,, 3.计算下列向量组的秩,并且(1)判断该向量组是否线性相关;(2)求出该向量组的一个极大无关组。
工程数学作业(一)答案第 2 章矩阵(一)单项选择题(每小题 2 分,共 20 分)⒈设,则( D ).A. 4B. - 4C. 6D. - 6⒉若,则( A ).A. B. - 1 C. D. 1⒊乘积矩阵中元素( C ).A. 1B. 7C. 10D. 8⒋设均为阶可逆矩阵,则下列运算关系正确的是( B ).A. B.C. D.⒌设均为阶方阵,且,则下列等式正确的是( D ).A. B.C. D.⒍下列结论正确的是( A ).A. 若是正交矩阵,则也是正交矩阵B. 若均为阶对称矩阵,则也是对称矩阵C. 若均为阶非零矩阵,则也是非零矩阵D. 若均为阶非零矩阵,则⒎矩阵的伴随矩阵为( C ).A. B.C. D.⒏方阵可逆的充分必要条件是( B ).A. B. C. D.⒐设均为阶可逆矩阵,则( D ).A. B.C. D.⒑设均为阶可逆矩阵,则下列等式成立的是( A ).A. B.C. D.(二)填空题(每小题 2 分,共 20 分)⒈7 .⒉是关于的一个一次多项式,则该多项式一次项的系数是 2 .⒊若为矩阵,为矩阵,切乘积有意义,则为 5 × 4 矩阵.⒋二阶矩阵.⒌设,则⒍设均为 3 阶矩阵,且,则72 .⒎设均为 3 阶矩阵,且,则- 3 .⒏若为正交矩阵,则 0 .⒐矩阵的秩为 2 .⒑设是两个可逆矩阵,则.(三)解答题(每小题 8 分,共 48 分)⒈设,求⑴;⑵;⑶;⑷;⑸;⑹.答案:⒉设,求.解:⒊已知,求满足方程中的.解:⒋写出 4 阶行列式中元素的代数余子式,并求其值.答案:⒌用初等行变换求下列矩阵的逆矩阵:⑴;⑵;⑶.解:( 1 )( 2 )( 过程略 ) (3)⒍求矩阵的秩.解:(四)证明题(每小题 4 分,共 12 分)⒎对任意方阵,试证是对称矩阵.证明:是对称矩阵⒏若是阶方阵,且,试证或.证明:是阶方阵,且或⒐若是正交矩阵,试证也是正交矩阵.证明:是正交矩阵即是正交矩阵工程数学作业(第二次)第 3 章线性方程组(一)单项选择题 ( 每小题 2 分,共 16 分 )⒈用消元法得的解为( C ).A. B.C. D.⒉线性方程组( B ).A. 有无穷多解B. 有唯一解C. 无解D. 只有零解⒊向量组的秩为( A ).A. 3B. 2C. 4D. 5⒋设向量组为,则( B )是极大无关组.A. B. C. D.⒌与分别代表一个线性方程组的系数矩阵和增广矩阵,若这个方程组无解,则( D ).A. 秩秩B. 秩秩C. 秩秩D. 秩秩⒍若某个线性方程组相应的齐次线性方程组只有零解,则该线性方程组( A ).A. 可能无解B. 有唯一解C. 有无穷多解D. 无解⒎以下结论正确的是( D ).A. 方程个数小于未知量个数的线性方程组一定有解B. 方程个数等于未知量个数的线性方程组一定有唯一解C. 方程个数大于未知量个数的线性方程组一定有无穷多解D. 齐次线性方程组一定有解⒏若向量组线性相关,则向量组内( A )可被该向量组内其余向量线性表出.A. 至少有一个向量B. 没有一个向量C. 至多有一个向量D. 任何一个向量9 .设 A ,B为阶矩阵,既是A又是B的特征值,既是A又是B的属于的特征向量,则结论()成立.A.是 AB 的特征值B.是 A+B 的特征值C.是 A - B 的特征值D.是 A+B 的属于的特征向量10 .设A,B,P为阶矩阵,若等式(C)成立,则称A和B相似.A.B.C.D.(二)填空题 ( 每小题 2 分,共 16 分 )⒈当1时,齐次线性方程组有非零解.⒉向量组线性相关.⒊向量组的秩是3.⒋设齐次线性方程组的系数行列式,则这个方程组有无穷多解,且系数列向量是线性相关的.⒌向量组的极大线性无关组是.⒍向量组的秩与矩阵的秩相同.⒎设线性方程组中有 5 个未知量,且秩,则其基础解系中线性无关的解向量有2个.⒏设线性方程组有解,是它的一个特解,且的基础解系为,则的通解为.9 .若是A的特征值,则是方程的根.10 .若矩阵A满足,则称A为正交矩阵.(三)解答题 ( 第 1 小题 9 分,其余每小题 11 分 )1 .用消元法解线性方程组解:方程组解为2.设有线性方程组为何值时,方程组有唯一解 ? 或有无穷多解 ?解:]当且时,,方程组有唯一解当时,,方程组有无穷多解3.判断向量能否由向量组线性表出,若能,写出一种表出方式.其中解:向量能否由向量组线性表出,当且仅当方程组有解这里方程组无解不能由向量线性表出4.计算下列向量组的秩,并且( 1 )判断该向量组是否线性相关解:该向量组线性相关5.求齐次线性方程组的一个基础解系.解:方程组的一般解为令,得基础解系6.求下列线性方程组的全部解.解:方程组一般解为令,,这里,为任意常数,得方程组通解7.试证:任一4维向量都可由向量组,,,线性表示,且表示方式唯一,写出这种表示方式.证明:任一4维向量可唯一表示为⒏试证:线性方程组有解时,它有唯一解的充分必要条件是:相应的齐次线性方程组只有零解.证明:设为含个未知量的线性方程组该方程组有解,即从而有唯一解当且仅当而相应齐次线性方程组只有零解的充分必要条件是有唯一解的充分必要条件是:相应的齐次线性方程组只有零解9 .设是可逆矩阵A的特征值,且,试证:是矩阵的特征值.证明:是可逆矩阵A的特征值存在向量,使即是矩阵的特征值10 .用配方法将二次型化为标准型.解:令,,,即则将二次型化为标准型工程数学作业(第三次)第 4 章随机事件与概率(一)单项选择题⒈为两个事件,则( B )成立.A. B.C. D.⒉如果( C )成立,则事件与互为对立事件.A. B.C. 且D. 与互为对立事件⒊ 10 张奖券中含有 3 张中奖的奖券,每人购买 1 张,则前 3 个购买者中恰有 1 人中奖的概率为( D ).A. B. C. D.4. 对于事件,命题( C )是正确的.A. 如果互不相容,则互不相容B. 如果,则C. 如果对立,则对立D. 如果相容,则相容⒌某随机试验的成功率为, 则在 3 次重复试验中至少失败 1 次的概率为( D ).A. B. C. D.6. 设随机变量,且,则参数与分别是( A ).A. 6, 0.8B. 8, 0.6C. 12, 0.4D. 14, 0.27. 设为连续型随机变量的密度函数,则对任意的,( A ).A. B.C. D.8. 在下列函数中可以作为分布密度函数的是( B ).A. B.C. D.9. 设连续型随机变量的密度函数为,分布函数为,则对任意的区间,则( D ).A. B.C. D.10. 设为随机变量,,当( C )时,有.A. B.C. D.(二)填空题⒈从数字 1,2,3,4,5 中任取 3 个,组成没有重复数字的三位数,则这个三位数是偶数的概率为.2. 已知,则当事件互不相容时, 0.8 ,0.3 .3. 为两个事件,且,则.4. 已知,则.5. 若事件相互独立,且,则.6. 已知,则当事件相互独立时, 0.65 ,0.3 .7. 设随机变量,则的分布函数.8. 若,则 6 .9. 若,则.10. 称为二维随机变量的协方差.(三)解答题1. 设为三个事件,试用的运算分别表示下列事件:⑴中至少有一个发生;⑵中只有一个发生;⑶中至多有一个发生;⑷中至少有两个发生;⑸中不多于两个发生;⑹中只有发生.解 : (1) (2) (3)(4) (5) (6)2. 袋中有 3 个红球, 2 个白球,现从中随机抽取 2 个球,求下列事件的概率:⑴ 2 球恰好同色;⑵ 2 球中至少有 1 红球.解 : 设= “ 2 球恰好同色”,= “ 2 球中至少有 1 红球”3. 加工某种零件需要两道工序,第一道工序的次品率是 2% ,如果第一道工序出次品则此零件为次品;如果第一道工序出正品,则由第二道工序加工,第二道工序的次品率是 3% ,求加工出来的零件是正品的概率.解:设“第 i 道工序出正品”( i=1,2 )4. 市场供应的热水瓶中,甲厂产品占 50% ,乙厂产品占 30% ,丙厂产品占20% ,甲、乙、丙厂产品的合格率分别为 90%,85%,80% ,求买到一个热水瓶是合格品的概率.解:设5. 某射手连续向一目标射击,直到命中为止.已知他每发命中的概率是,求所需设计次数的概率分布.解:……………………故 X 的概率分布是6. 设随机变量的概率分布为试求.解:7. 设随机变量具有概率密度试求.解:8. 设,求.解:9. 设,计算⑴;⑵.解:10. 设是独立同分布的随机变量,已知,设,求.解:工程数学作业(第四次)第 6 章统计推断(一)单项选择题⒈设是来自正态总体(均未知)的样本,则( A )是统计量.A. B. C. D.⒉设是来自正态总体(均未知)的样本,则统计量( D )不是的无偏估计.A. B.C. D.(二)填空题1 .统计量就是不含未知参数的样本函数.2 .参数估计的两种方法是点估计和区间估计.常用的参数点估计有矩估计法和最大似然估计两种方法.3 .比较估计量好坏的两个重要标准是无偏性,有效性.4 .设是来自正态总体(已知)的样本值,按给定的显著性水平检验,需选取统计量.5 .假设检验中的显著性水平为事件( u 为临界值)发生的概率.(三)解答题1 .设对总体得到一个容量为 10 的样本值4.5, 2.0, 1.0, 1.5, 3.5, 4.5, 6.5,5.0, 3.5, 4.0试分别计算样本均值和样本方差.解:2 .设总体的概率密度函数为试分别用矩估计法和最大似然估计法估计参数.解:提示教材第 214 页例 3矩估计:最大似然估计:,3 .测两点之间的直线距离 5 次,测得距离的值为(单位: m ):108.5 109.0 110.0 110.5 112.0测量值可以认为是服从正态分布的,求与的估计值.并在⑴;⑵未知的情况下,分别求的置信度为 0.95 的置信区间.解:( 1 )当时,由 1 -α= 0.95 ,查表得:故所求置信区间为:精品文档. ( 2 )当未知时,用替代,查 t (4, 0.05 ) ,得故所求置信区间为:4 .设某产品的性能指标服从正态分布,从历史资料已知,抽查10 个样品,求得均值为 17 ,取显著性水平,问原假设是否成立.解:,由,查表得:因为> 1.96 ,所以拒绝5 .某零件长度服从正态分布,过去的均值为 20.0 ,现换了新材料,从产品中随机抽取 8 个样品,测得的长度为(单位: cm ):20.0, 20.2, 20.1, 20.0, 20.2, 20.3, 19.8, 19.5问用新材料做的零件平均长度是否起了变化().解:由已知条件可求得:∵ | T | < 2.62 ∴ 接受 H 0。
《工程数学》作业题参考答案一、填空题(每小题3分,共18分)1. i =5,k = 4;2. 40;3. 2-n A;4. 2442222136x x x x x x --+;5.2-;6. 充分。
7. 1. 16;8.n 2;9. r = n , r<n ; 10. -17; 11. 11<<-t 。
二、简答题(每小题4分,12分)1. 举出任何反例皆可。
当BA AB =时,等式2222)(B AB A B A ++=+成立。
2. 一定不为零。
若A 的特征值0=λ,则存在0 ≠x 使得0 ==x x A λ,即方程0=x A 有非零解,所以0=A ,即A 不可逆,与已知矛盾。
3. 不相似。
否则有可逆阵C 使C -1AC=B ,即A=B ,矛盾。
4. 分别是A B A k B A B ==-=,,(4分)。
5. 不相似(2分)。
否则,存在可逆阵C 使C-1AC=B ,即A=B ,矛盾(2分)。
6.B A +一定为正定阵因为0,00,,>>≠∈∀x B x x A x x R x ,B A T T n有所以为正定阵,从而0)(>+x B A x T ,所以B A +一定为正定阵。
三、计算题(一)(每小题8分,共32分) 1. 值为120(答案错误可适当给步骤分)。
2. 解:由X A E AX +=+2化简得))(()(E A E A X E A +-=-,E A E A --=-故,1可逆,所以⎥⎥⎥⎦⎤⎢⎢⎢⎣⎡=+=201030102E A X 。
3.解:⎥⎥⎥⎥⎦⎤⎢⎢⎢⎢⎣⎡--=⎥⎦⎤⎢⎣⎡601424527121103121301,,,,54321TT T T T ααααα∽⎥⎥⎥⎥⎦⎤⎢⎢⎢⎢⎣⎡00000110001011021301, 故421,,ααα 或431,,ααα为一个最大线性无关组(或其他正确答案)。
4. 解:利用分块矩阵⎥⎥⎥⎦⎤⎢⎢⎢⎣⎡=⎥⎦⎤⎢⎣⎡=⎥⎦⎤⎢⎣⎡=113232101,8231,2121A A O AA OA ,则 ⎥⎥⎥⎦⎤⎢⎢⎢⎣⎡-----=⎥⎦⎤⎢⎣⎡--=--31702431161,1238211211A A ⎥⎥⎥⎥⎥⎥⎦⎤⎢⎢⎢⎢⎢⎢⎣⎡------=⎥⎦⎤⎢⎣⎡=---000211000234216167000313200216110011121O A A OA5.是,⎪⎪⎩⎪⎪⎨⎧+=是奇数;,,是偶数,n n n nS 212dim 6. (1) 121||||2+=e f ;(2)))(41()(2是任意实数b e x b x g +-=。
工程数学作业(一)答案第 2 章矩阵(一)单项选择题(每小题 2 分,共 20 分)⒈设,则( D ).A. 4B. - 4C. 6D. - 6⒉若,则( A ).A. B. - 1 C. D. 1⒊乘积矩阵中元素( C ).A. 1B. 7C. 10D. 8⒋设均为阶可逆矩阵,则下列运算关系正确的是( B ).A. B.C. D.⒌设均为阶方阵,且,则下列等式正确的是( D ).A. B.C. D.⒍下列结论正确的是( A ).A. 若是正交矩阵,则也是正交矩阵B. 若均为阶对称矩阵,则也是对称矩阵C. 若均为阶非零矩阵,则也是非零矩阵D. 若均为阶非零矩阵,则⒎矩阵的伴随矩阵为( C ).A. B.C. D.⒏方阵可逆的充分必要条件是( B ).A. B. C. D.⒐设均为阶可逆矩阵,则( D ).A. B.C. D.⒑设均为阶可逆矩阵,则下列等式成立的是( A ).A. B.C. D.(二)填空题(每小题 2 分,共 20 分)⒈7 .⒉是关于的一个一次多项式,则该多项式一次项的系数是 2 .⒊若为矩阵,为矩阵,切乘积有意义,则为 5 × 4 矩阵.⒋二阶矩阵.⒌设,则⒍设均为 3 阶矩阵,且,则72 .⒎设均为 3 阶矩阵,且,则- 3 .⒏若为正交矩阵,则 0 .⒐矩阵的秩为 2 .⒑设是两个可逆矩阵,则.(三)解答题(每小题 8 分,共 48 分)⒈设,求⑴;⑵;⑶;⑷;⑸;⑹.答案:⒉设,求.解:⒊已知,求满足方程中的.解:⒋写出 4 阶行列式中元素的代数余子式,并求其值.答案:⒌用初等行变换求下列矩阵的逆矩阵:⑴;⑵;⑶.解:( 1 )( 2 )( 过程略 ) (3)⒍求矩阵的秩.解:(四)证明题(每小题 4 分,共 12 分)⒎对任意方阵,试证是对称矩阵.证明:是对称矩阵⒏若是阶方阵,且,试证或.证明:是阶方阵,且或⒐若是正交矩阵,试证也是正交矩阵.证明:是正交矩阵即是正交矩阵工程数学作业(第二次)第 3 章线性方程组(一)单项选择题 ( 每小题 2 分,共 16 分 )⒈用消元法得的解为( C ).A. B.C. D.⒉线性方程组( B ).A. 有无穷多解B. 有唯一解C. 无解D. 只有零解⒊向量组的秩为( A ).A. 3B. 2C. 4D. 5⒋设向量组为,则( B )是极大无关组.A. B. C. D.⒌与分别代表一个线性方程组的系数矩阵和增广矩阵,若这个方程组无解,则( D ).A. 秩秩B. 秩秩C. 秩秩D. 秩秩⒍若某个线性方程组相应的齐次线性方程组只有零解,则该线性方程组(A ).A. 可能无解B. 有唯一解C. 有无穷多解D. 无解⒎以下结论正确的是( D ).A. 方程个数小于未知量个数的线性方程组一定有解B. 方程个数等于未知量个数的线性方程组一定有唯一解C. 方程个数大于未知量个数的线性方程组一定有无穷多解D. 齐次线性方程组一定有解⒏若向量组线性相关,则向量组内( A )可被该向量组内其余向量线性表出.A. 至少有一个向量B. 没有一个向量C. 至多有一个向量D. 任何一个向量9 .设 A ,B为阶矩阵,既是A又是B的特征值,既是A又是B的属于的特征向量,则结论()成立.A.是 AB 的特征值B.是 A+B 的特征值C.是 A - B 的特征值D.是 A+B 的属于的特征向量10 .设A,B,P为阶矩阵,若等式(C)成立,则称A和B相似.A.B.C.D.(二)填空题 ( 每小题 2 分,共 16 分 )⒈当1时,齐次线性方程组有非零解.⒉向量组线性相关.⒊向量组的秩是3.⒋设齐次线性方程组的系数行列式,则这个方程组有无穷多解,且系数列向量是线性相关的.⒌向量组的极大线性无关组是.⒍向量组的秩与矩阵的秩相同.⒎设线性方程组中有 5 个未知量,且秩,则其基础解系中线性无关的解向量有2个.⒏设线性方程组有解,是它的一个特解,且的基础解系为,则的通解为.9 .若是A的特征值,则是方程的根.10 .若矩阵A满足,则称A为正交矩阵.(三)解答题 ( 第 1 小题 9 分,其余每小题 11 分 )1 .用消元法解线性方程组解:方程组解为2.设有线性方程组为何值时,方程组有唯一解 ? 或有无穷多解 ?解:]当且时,,方程组有唯一解当时,,方程组有无穷多解3.判断向量能否由向量组线性表出,若能,写出一种表出方式.其中解:向量能否由向量组线性表出,当且仅当方程组有解这里方程组无解不能由向量线性表出4.计算下列向量组的秩,并且( 1 )判断该向量组是否线性相关解:该向量组线性相关5.求齐次线性方程组的一个基础解系.解:方程组的一般解为令,得基础解系6.求下列线性方程组的全部解.解:方程组一般解为令,,这里,为任意常数,得方程组通解7.试证:任一4维向量都可由向量组,,,线性表示,且表示方式唯一,写出这种表示方式.证明:任一4维向量可唯一表示为⒏试证:线性方程组有解时,它有唯一解的充分必要条件是:相应的齐次线性方程组只有零解.证明:设为含个未知量的线性方程组该方程组有解,即从而有唯一解当且仅当而相应齐次线性方程组只有零解的充分必要条件是有唯一解的充分必要条件是:相应的齐次线性方程组只有零解9 .设是可逆矩阵A的特征值,且,试证:是矩阵的特征值.证明:是可逆矩阵A的特征值存在向量,使即是矩阵的特征值10 .用配方法将二次型化为标准型.解:令,,,即则将二次型化为标准型工程数学作业(第三次)第 4 章随机事件与概率(一)单项选择题⒈为两个事件,则( B )成立.A. B.C. D.⒉如果( C )成立,则事件与互为对立事件.A. B.C. 且D. 与互为对立事件⒊ 10 张奖券中含有 3 张中奖的奖券,每人购买 1 张,则前 3 个购买者中恰有 1 人中奖的概率为( D ).A. B. C. D.4. 对于事件,命题( C )是正确的.A. 如果互不相容,则互不相容B. 如果,则C. 如果对立,则对立D. 如果相容,则相容⒌某随机试验的成功率为, 则在 3 次重复试验中至少失败 1 次的概率为( D ).A. B. C. D.6. 设随机变量,且,则参数与分别是( A ).A. 6, 0.8B. 8, 0.6C. 12, 0.4D. 14, 0.27. 设为连续型随机变量的密度函数,则对任意的,( A ).A. B.C. D.8. 在下列函数中可以作为分布密度函数的是( B ).A. B.C. D.9. 设连续型随机变量的密度函数为,分布函数为,则对任意的区间,则( D ).A. B.C. D.10. 设为随机变量,,当( C )时,有.A. B.C. D.(二)填空题⒈从数字 1,2,3,4,5 中任取 3 个,组成没有重复数字的三位数,则这个三位数是偶数的概率为.2. 已知,则当事件互不相容时, 0.8 ,0.3 .3. 为两个事件,且,则.4. 已知,则.5. 若事件相互独立,且,则.6. 已知,则当事件相互独立时, 0.65 ,0.3 .7. 设随机变量,则的分布函数.8. 若,则 6 .9. 若,则.10. 称为二维随机变量的协方差.(三)解答题1. 设为三个事件,试用的运算分别表示下列事件:⑴中至少有一个发生;⑵中只有一个发生;⑶中至多有一个发生;⑷中至少有两个发生;⑸中不多于两个发生;⑹中只有发生.解 : (1) (2) (3)(4) (5) (6)2. 袋中有 3 个红球, 2 个白球,现从中随机抽取 2 个球,求下列事件的概率:⑴ 2 球恰好同色;⑵ 2 球中至少有 1 红球.解 : 设= “ 2 球恰好同色”,= “ 2 球中至少有 1 红球”3. 加工某种零件需要两道工序,第一道工序的次品率是 2% ,如果第一道工序出次品则此零件为次品;如果第一道工序出正品,则由第二道工序加工,第二道工序的次品率是 3% ,求加工出来的零件是正品的概率.解:设“第 i 道工序出正品”( i=1,2 )4. 市场供应的热水瓶中,甲厂产品占 50% ,乙厂产品占 30% ,丙厂产品占 20% ,甲、乙、丙厂产品的合格率分别为 90%,85%,80% ,求买到一个热水瓶是合格品的概率.解:设5. 某射手连续向一目标射击,直到命中为止.已知他每发命中的概率是,求所需设计次数的概率分布.解:……………………故 X 的概率分布是6. 设随机变量的概率分布为试求.解:7. 设随机变量具有概率密度试求.解:8. 设,求.解:9. 设,计算⑴;⑵.解:10. 设是独立同分布的随机变量,已知,设,求.解:工程数学作业(第四次)第 6 章统计推断(一)单项选择题⒈设是来自正态总体(均未知)的样本,则( A )是统计量.A. B. C. D.⒉设是来自正态总体(均未知)的样本,则统计量( D )不是的无偏估计.A. B.C. D.(二)填空题1 .统计量就是不含未知参数的样本函数.2 .参数估计的两种方法是点估计和区间估计.常用的参数点估计有矩估计法和最大似然估计两种方法.3 .比较估计量好坏的两个重要标准是无偏性,有效性.4 .设是来自正态总体(已知)的样本值,按给定的显著性水平检验,需选取统计量.5 .假设检验中的显著性水平为事件( u 为临界值)发生的概率.(三)解答题1 .设对总体得到一个容量为 10 的样本值4.5, 2.0, 1.0, 1.5, 3.5, 4.5, 6.5,5.0, 3.5, 4.0试分别计算样本均值和样本方差.解:2 .设总体的概率密度函数为试分别用矩估计法和最大似然估计法估计参数.解:提示教材第 214 页例 3矩估计:最大似然估计:,3 .测两点之间的直线距离 5 次,测得距离的值为(单位: m ):108.5 109.0 110.0 110.5 112.0测量值可以认为是服从正态分布的,求与的估计值.并在⑴;⑵未知的情况下,分别求的置信度为 0.95 的置信区间.解:( 1 )当时,由 1 -α= 0.95 ,查表得:故所求置信区间为:( 2 )当未知时,用替代,查 t (4, 0.05 ) ,得故所求置信区间为:4 .设某产品的性能指标服从正态分布,从历史资料已知,抽查10 个样品,求得均值为 17 ,取显著性水平,问原假设是否成立.解:,由,查表得:因为> 1.96 ,所以拒绝5 .某零件长度服从正态分布,过去的均值为 20.0 ,现换了新材料,从产品中随机抽取 8 个样品,测得的长度为(单位: cm ):20.0, 20.2, 20.1, 20.0, 20.2, 20.3, 19.8, 19.5问用新材料做的零件平均长度是否起了变化().解:由已知条件可求得:∵ | T | < 2.62 ∴ 接受 H 0。
工程数学I第一次作业三、主观题(共9道小题)22.参考答案:t=523.参考答案:2424.参考答案:-325.参考答案:26.参考答案:x= -4 , y= 227.参考答案:428.参考答案:相关29.参考答案:1=2= 0 ,3=230.参考答案:3二次作业三、主观题(共6道小题)13.参考答案:a=614.参考答案:4815.参考答案:-216.参考答案:或不定17.参考答案:a=b=c=118.参考答案:4第三次作业三、主观题(共6道小题)13.参考答案:令,则A的阶梯形有零行,所以向量组线性相关。
14.求解齐次方程组参考答案:对方程组的系数矩阵作初等行变换化成简单阶梯形矩阵15.已知四元线性方程组参考答案:16.设,求A的特征值和特征向量。
参考答案:17.求一个正交矩阵P,将对称矩阵化为对角矩阵。
参考答案:18.设二次型经过正交变换化为求参数a、b及所用的正交变换矩阵。
参考答案:变换前后的两个二次型的矩阵分别为第四次作业三、主观题(共7道小题)13.计算行列式参考答案:容易发现D的特点是:每列(行)元素之和都等于6,那么,把二、三、四行同时加到第一行,并提出第一行的公因子6,便得到由于上式右端行列式第一行的元素都等于1,那么让二、三、四行都减去第一行得14.求行列式中元素a和b的代数余子式。
参考答案:行列式展开方法==15.设,判断A是否可逆?若可逆,求出参考答案:即所以16.求矩阵X使之满足参考答案:17.用初等行变换求矩阵的逆矩阵参考答案:于是同样道理,由算式可知,若对矩阵(A,B)施行初等行变换,当把A 变为E时,B就变为18.讨论向量组,,的线性相关性。
参考答案:即19.用正交变换把二次型化为标准型。
参考答案:二次型的矩阵正交化得位化得第五次作业三、主观题(共7道小题)14.参考答案:15.参考答案:16.参考答案:17.参考答案:18.计算四阶行列式参考答案:将行列式D按第三行展开得19.求方程组的一个基础解系并求其通解。
_工程数学作业(一)答案第 2 章矩阵(一)单项选择题(每小题 2 分,共 20 分)⒈设,则( D ).A. 4B. - 4C. 6D. - 6⒉若,则( A ).A. B. - 1 C. D. 1⒊乘积矩阵中元素( C ).A. 1B. 7C. 10D. 8⒋设均为阶可逆矩阵,则下列运算关系正确的是( B ).A. B.C. D.⒌设均为阶方阵,且,则下列等式正确的是( D ).A. B.C. D._⒍下列结论正确的是( A ).A. 若是正交矩阵,则也是正交矩阵B. 若均为阶对称矩阵,则也是对称矩阵C. 若均为阶非零矩阵,则也是非零矩阵D. 若均为阶非零矩阵,则⒎矩阵的伴随矩阵为( C ).A. B.C. D.⒏方阵可逆的充分必要条件是( B ).A. B. C. D.⒐设均为阶可逆矩阵,则( D ).A. B.C. D.⒑设均为阶可逆矩阵,则下列等式成立的是( A ).A. B.C. D.(二)填空题(每小题 2 分,共 20 分)⒈7 .⒉是关于的一个一次多项式,则该多项式一次项的系数是 2 .⒊若为矩阵,为矩阵,切乘积有意义,则为 5 × 4 矩阵.⒋二阶矩阵.⒌设,则⒍设均为 3 阶矩阵,且,则72 .⒎设均为 3 阶矩阵,且,则- 3 .⒏若为正交矩阵,则 0 .⒐矩阵的秩为 2 .⒑设是两个可逆矩阵,则.(三)解答题(每小题 8 分,共 48 分)⒈设,求⑴;⑵;⑶;⑷;⑸;⑹.答案:⒉设,求.解:⒊已知,求满足方程中的.解:⒋写出 4 阶行列式中元素的代数余子式,并求其值.答案:⒌用初等行变换求下列矩阵的逆矩阵:⑴;⑵;⑶.解:( 1 )( 2 )( 过程略 ) (3)⒍求矩阵的秩.解:(四)证明题(每小题 4 分,共 12 分)⒎对任意方阵,试证是对称矩阵.证明:是对称矩阵⒏若是阶方阵,且,试证或.证明:是阶方阵,且或⒐若是正交矩阵,试证也是正交矩阵.证明:是正交矩阵即是正交矩阵工程数学作业(第二次)第 3 章线性方程组(一)单项选择题 ( 每小题 2 分,共 16 分 )⒈用消元法得的解为( C ).A. B.C. D.⒉线性方程组( B ).A. 有无穷多解B. 有唯一解C. 无解D. 只有零解⒊向量组的秩为( A ).A. 3B. 2C. 4D. 5⒋设向量组为,则(B )是极大无关组.A. B. C. D.⒌与分别代表一个线性方程组的系数矩阵和增广矩阵,若这个方程组无解,则( D ).A. 秩秩B. 秩秩C. 秩秩D. 秩秩⒍若某个线性方程组相应的齐次线性方程组只有零解,则该线性方程组( A ).A. 可能无解B. 有唯一解C. 有无穷多解D. 无解⒎以下结论正确的是( D ).A. 方程个数小于未知量个数的线性方程组一定有解B. 方程个数等于未知量个数的线性方程组一定有唯一解C. 方程个数大于未知量个数的线性方程组一定有无穷多解D. 齐次线性方程组一定有解⒏若向量组线性相关,则向量组内( A )可被该向量组内其余向量线性表出.A. 至少有一个向量B. 没有一个向量C. 至多有一个向量D. 任何一个向量9 .设 A ,B为阶矩阵,既是A又是B的特征值,既是A又是B的属于的特征向量,则结论()成立.A.是 AB 的特征值B.是 A+B 的特征值C.是 A - B 的特征值D.是 A+B 的属于的特征向量10 .设A,B,P为阶矩阵,若等式(C)成立,则称A和B相似.A.B.C.D.(二)填空题 ( 每小题 2 分,共 16 分 )⒈当1时,齐次线性方程组有非零解.⒉向量组线性相关.⒊向量组的秩是3.⒋设齐次线性方程组的系数行列式,则这个方程组有无穷多解,且系数列向量是线性相关的.⒌向量组的极大线性无关组是.⒍向量组的秩与矩阵的秩相同.⒎设线性方程组中有 5 个未知量,且秩,则其基础解系中线性无关的解向量有2个.⒏设线性方程组有解,是它的一个特解,且的基础解系为,则的通解为.9 .若是A的特征值,则是方程的根.10 .若矩阵A满足,则称A为正交矩阵.(三)解答题 ( 第 1 小题 9 分,其余每小题 11 分 )1 .用消元法解线性方程组解:方程组解为2.设有线性方程组为何值时,方程组有唯一解 ? 或有无穷多解 ?解:]当且时,,方程组有唯一解当时,,方程组有无穷多解3.判断向量能否由向量组线性表出,若能,写出一种表出方式.其中解:向量能否由向量组线性表出,当且仅当方程组有解这里方程组无解不能由向量线性表出4.计算下列向量组的秩,并且( 1 )判断该向量组是否线性相关解:该向量组线性相关5.求齐次线性方程组的一个基础解系.解:方程组的一般解为令,得基础解系6.求下列线性方程组的全部解.解:方程组一般解为令,,这里,为任意常数,得方程组通解7.试证:任一4维向量都可由向量组,,,线性表示,且表示方式唯一,写出这种表示方式.证明:任一4维向量可唯一表示为⒏试证:线性方程组有解时,它有唯一解的充分必要条件是:相应的齐次线性方程组只有零解.证明:设为含个未知量的线性方程组该方程组有解,即从而有唯一解当且仅当而相应齐次线性方程组只有零解的充分必要条件是有唯一解的充分必要条件是:相应的齐次线性方程组只有零解9 .设是可逆矩阵A的特征值,且,试证:是矩阵的特征值.证明:是可逆矩阵A的特征值存在向量,使即是矩阵的特征值10 .用配方法将二次型化为标准型.解:令,,,即则将二次型化为标准型工程数学作业(第三次)第 4 章随机事件与概率(一)单项选择题⒈为两个事件,则( B )成立.A. B.C. D.⒉如果( C )成立,则事件与互为对立事件.A. B.C. 且D. 与互为对立事件⒊ 10 张奖券中含有 3 张中奖的奖券,每人购买 1 张,则前 3 个购买者中恰有 1 人中奖的概率为( D ).A. B. C. D.4. 对于事件,命题( C )是正确的.A. 如果互不相容,则互不相容B. 如果,则C. 如果对立,则对立D. 如果相容,则相容⒌某随机试验的成功率为, 则在 3 次重复试验中至少失败 1 次的概率为( D ).A. B. C. D.6. 设随机变量,且,则参数与分别是( A ).A. 6, 0.8B. 8, 0.6C. 12, 0.4D. 14, 0.27. 设为连续型随机变量的密度函数,则对任意的,( A ).A. B.C. D.8. 在下列函数中可以作为分布密度函数的是( B ).A. B.C. D.9. 设连续型随机变量的密度函数为,分布函数为,则对任意的区间,则( D ).A. B.C. D.10. 设为随机变量,,当( C )时,有.A. B.C. D.(二)填空题⒈从数字 1,2,3,4,5 中任取 3 个,组成没有重复数字的三位数,则这个三位数是偶数的概率为.2. 已知,则当事件互不相容时, 0.8 ,0.3 .3. 为两个事件,且,则.4. 已知,则.5. 若事件相互独立,且,则.6. 已知,则当事件相互独立时, 0.65 ,0.3 .7. 设随机变量,则的分布函数.8. 若,则 6 .9. 若,则.10. 称为二维随机变量的协方差.(三)解答题1. 设为三个事件,试用的运算分别表示下列事件:⑴中至少有一个发生;⑵中只有一个发生;⑶中至多有一个发生;⑷中至少有两个发生;⑸中不多于两个发生;⑹中只有发生.解 : (1) (2) (3)(4) (5) (6)2. 袋中有 3 个红球, 2 个白球,现从中随机抽取 2 个球,求下列事件的概率:⑴ 2 球恰好同色;⑵ 2 球中至少有 1 红球.解 : 设= “ 2 球恰好同色”, = “ 2 球中至少有 1 红球”3. 加工某种零件需要两道工序,第一道工序的次品率是 2% ,如果第一道工序出次品则此零件为次品;如果第一道工序出正品,则由第二道工序加工,第二道工序的次品率是 3% ,求加工出来的零件是正品的概率.解:设“第 i 道工序出正品”( i=1,2 )4. 市场供应的热水瓶中,甲厂产品占 50% ,乙厂产品占 30% ,丙厂产品占20% ,甲、乙、丙厂产品的合格率分别为 90%,85%,80% ,求买到一个热水瓶是合格品的概率.解:设5. 某射手连续向一目标射击,直到命中为止.已知他每发命中的概率是,求所需设计次数的概率分布.解:……………………故 X 的概率分布是6. 设随机变量的概率分布为试求.解:7. 设随机变量具有概率密度试求.解:8. 设,求.解:9. 设,计算⑴;⑵.解:10. 设是独立同分布的随机变量,已知,设,求.解:工程数学作业(第四次)第 6 章统计推断(一)单项选择题⒈设是来自正态总体(均未知)的样本,则(A )是统计量.A. B. C. D.⒉设是来自正态总体(均未知)的样本,则统计量( D )不是的无偏估计.A. B.C. D.(二)填空题1 .统计量就是不含未知参数的样本函数.2 .参数估计的两种方法是点估计和区间估计.常用的参数点估计有矩估计法和最大似然估计两种方法.3 .比较估计量好坏的两个重要标准是无偏性,有效性.4 .设是来自正态总体(已知)的样本值,按给定的显著性水平检验,需选取统计量.5 .假设检验中的显著性水平为事件( u 为临界值)发生的概率.(三)解答题1 .设对总体得到一个容量为 10 的样本值4.5, 2.0, 1.0, 1.5, 3.5, 4.5, 6.5,5.0, 3.5, 4.0试分别计算样本均值和样本方差.解:2 .设总体的概率密度函数为试分别用矩估计法和最大似然估计法估计参数.解:提示教材第 214 页例 3矩估计:最大似然估计:,3 .测两点之间的直线距离 5 次,测得距离的值为(单位: m ):108.5 109.0 110.0 110.5 112.0测量值可以认为是服从正态分布的,求与的估计值.并在⑴;⑵未知的情况下,分别求的置信度为 0.95 的置信区间.解:( 1 )当时,由 1 -α= 0.95 ,查表得:故所求置信区间为:( 2 )当未知时,用替代,查 t (4, 0.05 ) ,得故所求置信区间为:4 .设某产品的性能指标服从正态分布,从历史资料已知,抽查10 个样品,求得均值为 17 ,取显著性水平,问原假设是否成立.解:,由,查表得:因为> 1.96 ,所以拒绝5 .某零件长度服从正态分布,过去的均值为 20.0 ,现换了新材料,从产品中随机抽取 8 个样品,测得的长度为(单位: cm ):20.0, 20.2, 20.1, 20.0, 20.2, 20.3, 19.8, 19.5问用新材料做的零件平均长度是否起了变化().解:由已知条件可求得:∵ | T | < 2.62 ∴接受 H 0。
_工程数学作业(一)答案第 2 章矩阵(一)单项选择题(每小题 2 分,共 20 分)⒈设,则( D ).A. 4B. - 4C. 6D. - 6⒉若,则( A ).A. B. - 1 C. D. 1⒊乘积矩阵中元素( C ).A. 1B. 7C. 10D. 8⒋设均为阶可逆矩阵,则下列运算关系正确的是( B ).A. B.C. D.⒌设均为阶方阵,且,则下列等式正确的是( D ).A. B.C. D._⒍下列结论正确的是( A ).A. 若是正交矩阵,则也是正交矩阵B. 若均为阶对称矩阵,则也是对称矩阵C. 若均为阶非零矩阵,则也是非零矩阵D. 若均为阶非零矩阵,则⒎矩阵的伴随矩阵为( C ).A. B.C. D.⒏方阵可逆的充分必要条件是( B ).A. B. C. D.⒐设均为阶可逆矩阵,则( D ).A. B.C. D.⒑设均为阶可逆矩阵,则下列等式成立的是( A ).A. B.C. D.(二)填空题(每小题 2 分,共 20 分)⒈7 .⒉是关于的一个一次多项式,则该多项式一次项的系数是 2 .⒊若为矩阵,为矩阵,切乘积有意义,则为 5 × 4 矩阵.⒋二阶矩阵.⒌设,则⒍设均为 3 阶矩阵,且,则72 .⒎设均为 3 阶矩阵,且,则- 3 .⒏若为正交矩阵,则 0 .⒐矩阵的秩为 2 .⒑设是两个可逆矩阵,则.(三)解答题(每小题 8 分,共 48 分)⒈设,求⑴;⑵;⑶;⑷;⑸;⑹.答案:⒉设,求.解:⒊已知,求满足方程中的.解:⒋写出 4 阶行列式中元素的代数余子式,并求其值.答案:⒌用初等行变换求下列矩阵的逆矩阵:⑴;⑵;⑶.解:( 1 )( 2 )( 过程略 ) (3)⒍求矩阵的秩.解:(四)证明题(每小题 4 分,共 12 分)⒎对任意方阵,试证是对称矩阵.证明:是对称矩阵⒏若是阶方阵,且,试证或.证明:是阶方阵,且或⒐若是正交矩阵,试证也是正交矩阵.证明:是正交矩阵即是正交矩阵工程数学作业(第二次)第 3 章线性方程组(一)单项选择题 ( 每小题 2 分,共 16 分 )⒈用消元法得的解为( C ).A. B.C. D.⒉线性方程组( B ).A. 有无穷多解B. 有唯一解C. 无解D. 只有零解⒊向量组的秩为( A ).A. 3B. 2C. 4D. 5⒋设向量组为,则(B )是极大无关组.A. B. C. D.⒌与分别代表一个线性方程组的系数矩阵和增广矩阵,若这个方程组无解,则( D ).A. 秩秩B. 秩秩C. 秩秩D. 秩秩⒍若某个线性方程组相应的齐次线性方程组只有零解,则该线性方程组( A ).A. 可能无解B. 有唯一解C. 有无穷多解D. 无解⒎以下结论正确的是( D ).A. 方程个数小于未知量个数的线性方程组一定有解B. 方程个数等于未知量个数的线性方程组一定有唯一解C. 方程个数大于未知量个数的线性方程组一定有无穷多解D. 齐次线性方程组一定有解⒏若向量组线性相关,则向量组内( A )可被该向量组内其余向量线性表出.A. 至少有一个向量B. 没有一个向量C. 至多有一个向量D. 任何一个向量9 .设 A ,B为阶矩阵,既是A又是B的特征值,既是A又是B的属于的特征向量,则结论()成立.A.是 AB 的特征值B.是 A+B 的特征值C.是 A - B 的特征值D.是 A+B 的属于的特征向量10 .设A,B,P为阶矩阵,若等式(C)成立,则称A和B相似.A.B.C.D.(二)填空题 ( 每小题 2 分,共 16 分 )⒈当1时,齐次线性方程组有非零解.⒉向量组线性相关.⒊向量组的秩是3.⒋设齐次线性方程组的系数行列式,则这个方程组有无穷多解,且系数列向量是线性相关的.⒌向量组的极大线性无关组是.⒍向量组的秩与矩阵的秩相同.⒎设线性方程组中有 5 个未知量,且秩,则其基础解系中线性无关的解向量有2个.⒏设线性方程组有解,是它的一个特解,且的基础解系为,则的通解为.9 .若是A的特征值,则是方程的根.10 .若矩阵A满足,则称A为正交矩阵.(三)解答题 ( 第 1 小题 9 分,其余每小题 11 分 )1 .用消元法解线性方程组解:方程组解为2.设有线性方程组为何值时,方程组有唯一解 ? 或有无穷多解 ?解:]当且时,,方程组有唯一解当时,,方程组有无穷多解3.判断向量能否由向量组线性表出,若能,写出一种表出方式.其中解:向量能否由向量组线性表出,当且仅当方程组有解这里方程组无解不能由向量线性表出4.计算下列向量组的秩,并且( 1 )判断该向量组是否线性相关解:该向量组线性相关5.求齐次线性方程组的一个基础解系.解:方程组的一般解为令,得基础解系6.求下列线性方程组的全部解.解:方程组一般解为令,,这里,为任意常数,得方程组通解7.试证:任一4维向量都可由向量组,,,线性表示,且表示方式唯一,写出这种表示方式.证明:任一4维向量可唯一表示为⒏试证:线性方程组有解时,它有唯一解的充分必要条件是:相应的齐次线性方程组只有零解.证明:设为含个未知量的线性方程组该方程组有解,即从而有唯一解当且仅当而相应齐次线性方程组只有零解的充分必要条件是有唯一解的充分必要条件是:相应的齐次线性方程组只有零解9 .设是可逆矩阵A的特征值,且,试证:是矩阵的特征值.证明:是可逆矩阵A的特征值存在向量,使即是矩阵的特征值10 .用配方法将二次型化为标准型.解:令,,,即则将二次型化为标准型工程数学作业(第三次)第 4 章随机事件与概率(一)单项选择题⒈为两个事件,则( B )成立.A. B.C. D.⒉如果( C )成立,则事件与互为对立事件.A. B.C. 且D. 与互为对立事件⒊ 10 张奖券中含有 3 张中奖的奖券,每人购买 1 张,则前 3 个购买者中恰有 1 人中奖的概率为( D ).A. B. C. D.4. 对于事件,命题( C )是正确的.A. 如果互不相容,则互不相容B. 如果,则C. 如果对立,则对立D. 如果相容,则相容⒌某随机试验的成功率为, 则在 3 次重复试验中至少失败 1 次的概率为( D ).A. B. C. D.6. 设随机变量,且,则参数与分别是( A ).A. 6, 0.8B. 8, 0.6C. 12, 0.4D. 14, 0.27. 设为连续型随机变量的密度函数,则对任意的,( A ).A. B.C. D.8. 在下列函数中可以作为分布密度函数的是( B ).A. B.C. D.9. 设连续型随机变量的密度函数为,分布函数为,则对任意的区间,则( D ).A. B.C. D.10. 设为随机变量,,当( C )时,有.A. B.C. D.(二)填空题⒈从数字 1,2,3,4,5 中任取 3 个,组成没有重复数字的三位数,则这个三位数是偶数的概率为.2. 已知,则当事件互不相容时, 0.8 ,0.3 .3. 为两个事件,且,则.4. 已知,则.5. 若事件相互独立,且,则.6. 已知,则当事件相互独立时, 0.65 ,0.3 .7. 设随机变量,则的分布函数.8. 若,则 6 .9. 若,则.10. 称为二维随机变量的协方差.(三)解答题1. 设为三个事件,试用的运算分别表示下列事件:⑴中至少有一个发生;⑵中只有一个发生;⑶中至多有一个发生;⑷中至少有两个发生;⑸中不多于两个发生;⑹中只有发生.解 : (1) (2) (3)(4) (5) (6)2. 袋中有 3 个红球, 2 个白球,现从中随机抽取 2 个球,求下列事件的概率:⑴ 2 球恰好同色;⑵ 2 球中至少有 1 红球.解 : 设= “ 2 球恰好同色”, = “ 2 球中至少有 1 红球”3. 加工某种零件需要两道工序,第一道工序的次品率是 2% ,如果第一道工序出次品则此零件为次品;如果第一道工序出正品,则由第二道工序加工,第二道工序的次品率是 3% ,求加工出来的零件是正品的概率.解:设“第 i 道工序出正品”( i=1,2 )4. 市场供应的热水瓶中,甲厂产品占 50% ,乙厂产品占 30% ,丙厂产品占20% ,甲、乙、丙厂产品的合格率分别为 90%,85%,80% ,求买到一个热水瓶是合格品的概率.解:设5. 某射手连续向一目标射击,直到命中为止.已知他每发命中的概率是,求所需设计次数的概率分布.解:……………………故 X 的概率分布是6. 设随机变量的概率分布为试求.解:7. 设随机变量具有概率密度试求.解:8. 设,求.解:9. 设,计算⑴;⑵.解:10. 设是独立同分布的随机变量,已知,设,求.解:工程数学作业(第四次)第 6 章统计推断(一)单项选择题⒈设是来自正态总体(均未知)的样本,则(A )是统计量.A. B. C. D.⒉设是来自正态总体(均未知)的样本,则统计量( D )不是的无偏估计.A. B.C. D.(二)填空题1 .统计量就是不含未知参数的样本函数.2 .参数估计的两种方法是点估计和区间估计.常用的参数点估计有矩估计法和最大似然估计两种方法.3 .比较估计量好坏的两个重要标准是无偏性,有效性.4 .设是来自正态总体(已知)的样本值,按给定的显著性水平检验,需选取统计量.5 .假设检验中的显著性水平为事件( u 为临界值)发生的概率.(三)解答题1 .设对总体得到一个容量为 10 的样本值4.5, 2.0, 1.0, 1.5, 3.5, 4.5, 6.5,5.0, 3.5, 4.0试分别计算样本均值和样本方差.解:2 .设总体的概率密度函数为试分别用矩估计法和最大似然估计法估计参数.解:提示教材第 214 页例 3矩估计:最大似然估计:,3 .测两点之间的直线距离 5 次,测得距离的值为(单位: m ):108.5 109.0 110.0 110.5 112.0测量值可以认为是服从正态分布的,求与的估计值.并在⑴;⑵未知的情况下,分别求的置信度为 0.95 的置信区间.解:( 1 )当时,由 1 -α= 0.95 ,查表得:故所求置信区间为:( 2 )当未知时,用替代,查 t (4, 0.05 ) ,得故所求置信区间为:4 .设某产品的性能指标服从正态分布,从历史资料已知,抽查10 个样品,求得均值为 17 ,取显著性水平,问原假设是否成立.解:,由,查表得:因为> 1.96 ,所以拒绝5 .某零件长度服从正态分布,过去的均值为 20.0 ,现换了新材料,从产品中随机抽取 8 个样品,测得的长度为(单位: cm ):20.0, 20.2, 20.1, 20.0, 20.2, 20.3, 19.8, 19.5问用新材料做的零件平均长度是否起了变化().解:由已知条件可求得:∵ | T | < 2.62 ∴接受 H 0。
工程数学I第1次作业四、主观题
22.
答案:t=5
23.
答案:24
、
24
25.
答案:
26.
答案:-4,2
27.
答案:4
28.
答案:相关
29.
答案:0,0,2
30.
答案:3
工程数学I第2次作业四、主观题
13.
答案:
令
,则
A 的阶梯形有零行,所以向量组线性相关。
14.
求解齐次方程组
答案:
对方程组的系数矩阵作初等行变换化成简单阶梯形矩阵
15.
已知四元线性方程组
答案:
16.
设
,求A的特征值和特征向量。
答案:
17.
求一个正交矩阵P,将对称矩阵
化为对角矩阵。
答案:
18.设二次型经过正交变换化为
求参数a、b及所用的正交变换矩阵。
答案:
变换前后的两个二次型的矩阵分别为
工程数学I第4次作业
四、主观题
13.
计算行列式
答案:
容易发现D的特点是:每列(行)元素之和都等于6,那么,把二、三、四行同时加到第一行,并提出第一行的公因子6,便得到
由于上式右端行列式第一行的元素都等于1,那么让二、三、四行都减去第一行得
14.求行列式中元素a和b的代数余子式。
答案:
行列式展开方法=
=
15.设,判断A 是否可逆?若可逆,求出答案:
即
所以
16.
求矩阵X使之满足
答案:
17.用初等行变换求矩阵的逆矩阵答案:
于是
同样道理,由算式可知,若对矩阵(A,B)施行初等行变换,当把A变为E时,B 就变为
18.讨论向量组,,的线性相关性。
答案:
即
19.用正交变换把二次型化为标准
型。
答案:
二次型的矩阵
正交化得
位化得
工程数学I第5次作业
四、主观题
14.
答案:
15.
答案:
16.
答案:
17.
答案:
18.计算四阶行列式
答案:
将行列式D按第三行展开得
19.
求方程组
的一个基础解系并求其通解。
答案:
对方程组的系数矩阵作初等行变换化成简单阶梯形矩阵:
原方程组的一个基础解系。
20.
a、b为何值时,线性方程组
有唯一解,无解或有无穷多解?在有无穷多解时,求其通解?答案:
---精心整理,希望对您有所帮助。