《工程数学》作业
- 格式:doc
- 大小:775.50 KB
- 文档页数:11
《工程数学》作业题2(课程代码:06268)一、填空题1.设A是三阶矩阵,E是三阶单位矩阵,且A=3, B=2E ,则-A T B A =.2.设汽=(1 0 —1 T ,矩阵A=us T,则A n = .3.已知向量组口1 =(1 k 2。
口2=(1 0 k T, 口3=(1 1 2『线性相关,则k应满足的条件是.‘2-1 2 '4.向量X=1 1 -1T是矩阵A= 5 a 3的一个特征向量,则特征向量X对应L b -2>的特征值为2 a,b应满足.5. Q是正交矩阵,则Q =.6.二次型f =5x; +5x22 +cx32 -2x1X2 +6x1X3 —6x2X3 的秩为2,贝Uc=.二、选择题1.下列等式错误的是( ).(A) (AB 尸=B」A」(B) (AB)T=B T A T(C) | ABH A||B| (D) (AB)3= A3B32.设三元非齐次线性方程组Ax = b的系数矩阵秩为2,已知它的两个解向量为“1 , “2,则Ax =b的通解可为( ).AX =C I 1 C2 2 Bx= 1 C( 1 - 2)C X=C I 1 C2 2 1 Dx= 2 C I( 2 1)3、设向量组内, 3293线性无关,下列向量组中线性无关的是( ).(A )0(l +C(2, 豆 2 +a 3 , —豆1 +口3(B )U l +0(2, «2 +« 3 , « 1+ 2« 2 +Ct3(C) 口1+2匕,2% +%3 , % +3c (3(D) a 1 +a 2+a 3 , 2a 1 —3a 2,+22a 3, 3a 1 +5a 2,-5«34、设三阶矩阵A 的特征值为-2,-1 ,2;矩阵8 =庆3_3庆2+2E,则B =() .(A) -4 (B) -16(C) -36 (D) -72x 1 1 1 x 1三、设行列式D =1 1 x 1 1 1'2 1 1、’0 5 8、、求解矩阵方程AX=B+X ,其中A =1 2-1 B = 0 _ 5 6-1 2 J9 0;六、求向量组[=1, -1,0,4T , : 2 = 2,1,5,6 T ,口3 = (1, —1, — 2, 0 T , 口4 = (3, Q 7, k f ,当k 为何值时向量组线性相关?当线性相关时求它 的一个最大无关组,并将剩余向量用该最大无关组线性表示.「2 -42、七、设三元二次型f =XT AX 对应的矢!阵为 A= _4 9 -3 ,用配方法化该二次型为--34>标准二次型,写出所作的线性变换.并判断此二次型是否正定。
《工程数学》形成性考核作业1答案第2章 矩阵(一)单项选择题(每小题2分,共20分)⒈设a a a b b b c c c 1231231232=,则a a a a b a b a b c c c 123112233123232323---=(D ).A. 4B. -4C. 6D. -6 ⒉若000100002001001a a =,则a =(A ). A. 12 B. -1 C. -12D. 1⒊乘积矩阵1124103521-⎡⎣⎢⎤⎦⎥-⎡⎣⎢⎤⎦⎥中元素c 23=(C ). A. 1 B. 7 C. 10 D. 8⒋设A B ,均为n 阶可逆矩阵,则下列运算关系正确的是( B ). A. A BAB +=+---111 B. ()AB BA --=11C. ()A B A B +=+---111D. ()AB A B ---=111⒌设A B ,均为n 阶方阵,k 为常数,则下列等式正确的是(D ). A. A B A B +=+ B. AB n A B = C. kA k A = D. A k kA n = ⒍下列结论正确的是( A ).A. 若A 是正交矩阵,则A -1也是正交矩阵B. 若A B ,均为n 阶对称矩阵,则AB 也是对称矩阵C. 若A B ,均为n 阶非零矩阵,则AB 也是非零矩阵D. 若A B ,均为n 阶非零矩阵,则AB ≠0⒎矩阵1325⎡⎣⎢⎤⎦⎥的伴随矩阵为( C ). A. 1325--⎡⎣⎢⎤⎦⎥ B. --⎡⎣⎢⎤⎦⎥1325 C. 5321--⎡⎣⎢⎤⎦⎥ D. --⎡⎣⎢⎤⎦⎥5321 ⒏方阵A 可逆的充分必要条件是(B ).A.A ≠0B.A ≠0C. A *≠0D. A *>0 ⒐设A B C ,,均为n 阶可逆矩阵,则()ACB '=-1(D ). A. ()'---B A C 111 B. '--B C A 11C. A C B ---'111()D. ()B C A ---'111⒑设A B C ,,均为n 阶可逆矩阵,则下列等式成立的是(A ). A. ()A B A AB B +=++2222 B. ()A B B BA B +=+2 C. ()221111ABC C B A ----= D. ()22ABC C B A '=''' (二)填空题(每小题2分,共20分)⒈210140001---= 7 .⒉---11111111x 是关于x 的一个一次多项式,则该多项式一次项的系数是 2 .⒊若A 为34⨯矩阵,B 为25⨯矩阵,切乘积AC B ''有意义,则C 为 5×4 矩阵.⒋二阶矩阵A =⎡⎣⎢⎤⎦⎥=11015⎥⎦⎤⎢⎣⎡1051. ⒌设A B =-⎡⎣⎢⎢⎢⎤⎦⎥⎥⎥=--⎡⎣⎢⎤⎦⎥124034120314,,则()A B +''=⎥⎦⎤⎢⎣⎡--815360 ⒍设A B ,均为3阶矩阵,且A B ==-3,则-=2AB 72 .⒎设A B ,均为3阶矩阵,且A B =-=-13,,则-'=-312()A B -3 .⒏若A a =⎡⎣⎢⎤⎦⎥101为正交矩阵,则a = 0 . ⒐矩阵212402033--⎡⎣⎢⎢⎢⎤⎦⎥⎥⎥的秩为 2 . ⒑设A A 12,是两个可逆矩阵,则A O OA 121⎡⎣⎢⎤⎦⎥=-⎥⎦⎤⎢⎣⎡--1211A O O A . (三)解答题(每小题8分,共48分)⒈设A B C =-⎡⎣⎢⎤⎦⎥=-⎡⎣⎢⎤⎦⎥=-⎡⎣⎢⎤⎦⎥123511435431,,,求⑴A B +;⑵A C +;⑶23A C +;⑷A B +5;⑸AB ;⑹()AB C '.解:(1)⎥⎦⎤⎢⎣⎡=+8130B A (2) ⎥⎦⎤⎢⎣⎡=+4066C A (3)⎥⎦⎤⎢⎣⎡=+73161732C A (4)⎥⎦⎤⎢⎣⎡=+01222265B A (5)⎥⎦⎤⎢⎣⎡=122377AB (6)⎥⎦⎤⎢⎣⎡='801512156)(C AB⒉设A B C =--⎡⎣⎢⎤⎦⎥=-⎡⎣⎢⎤⎦⎥=--⎡⎣⎢⎢⎢⎤⎦⎥⎥⎥121012103211114321002,,,求AC BC +. 解:⎥⎦⎤⎢⎣⎡--=⎥⎥⎥⎦⎤⎢⎢⎢⎣⎡--⎥⎦⎤⎢⎣⎡=+=+10221046200123411102420)(C B A BC AC ⒊已知A B =-⎡⎣⎢⎢⎢⎤⎦⎥⎥⎥=-⎡⎣⎢⎢⎢⎤⎦⎥⎥⎥310121342102111211,,求满足方程32A X B -=中的X .解: 32A X B -=∴ ⎥⎥⎥⎥⎥⎥⎦⎤⎢⎢⎢⎢⎢⎢⎣⎡--=⎥⎥⎥⎦⎤⎢⎢⎢⎣⎡--=-=252112712511234511725223821)3(21B A X ⒋写出4阶行列式102014360253311-- 中元素a a 4142,的代数余子式,并求其值.答案:0352634020)1(1441=--=+a 45350631021)1(2442=---=+a⒌用初等行变换求下列矩阵的逆矩阵:⑴ 122212221--⎡⎣⎢⎢⎢⎤⎦⎥⎥⎥; ⑵ 1234231211111026---⎡⎣⎢⎢⎢⎢⎤⎦⎥⎥⎥⎥; ⑶ 1000110011101111⎡⎣⎢⎢⎢⎢⎤⎦⎥⎥⎥⎥. 解:(1)[]⎥⎥⎥⎥⎥⎥⎦⎤⎢⎢⎢⎢⎢⎢⎣⎡--−−−→−⎥⎥⎥⎥⎥⎥⎦⎤⎢⎢⎢⎢⎢⎢⎣⎡----−−→−⎥⎥⎥⎥⎥⎦⎤⎢⎢⎢⎢⎢⎣⎡------−−−→−⎥⎥⎥⎦⎤⎢⎢⎢⎣⎡------−−−→−⎥⎥⎥⎦⎤⎢⎢⎢⎣⎡--=+-+--+-++-+-919292929192929291100010001919292031320323110021020112201203231900630201102012001360630221100010001122212221|2313323212312122913123222r r r r r r r r r r r r rr I A⎥⎥⎥⎥⎥⎥⎦⎤⎢⎢⎢⎢⎢⎢⎣⎡--=∴-9192929291929292911A (2)⎥⎥⎥⎥⎦⎤⎢⎢⎢⎢⎣⎡--------=-35141201132051717266221A (过程略) (3) ⎥⎥⎥⎥⎦⎤⎢⎢⎢⎢⎣⎡---=-11000110001100011A ⒍求矩阵1011011110110010121012113201⎡⎣⎢⎢⎢⎢⎤⎦⎥⎥⎥⎥的秩. 解:⎥⎥⎥⎥⎦⎤⎢⎢⎢⎢⎣⎡----−−→−⎥⎥⎥⎥⎦⎤⎢⎢⎢⎢⎣⎡-----−−→−⎥⎥⎥⎥⎦⎤⎢⎢⎢⎢⎣⎡-------−−−→−⎥⎥⎥⎥⎦⎤⎢⎢⎢⎢⎣⎡+-+-+-+-+-00000000111000111011011011010111000011100011101101111112211100111000111011011111102311210121010011011110110143424131212r r r r r r r r r r ∴ 3)(=A R(四)证明题(每小题4分,共12分)⒎对任意方阵A ,试证A A +'是对称矩阵. 证明:'')''(')''(A A A A A A A A +=+=+=+∴ A A +'是对称矩阵⒏若A 是n 阶方阵,且AA I '=,试证A =1或-1. 证明: A 是n 阶方阵,且AA I '=∴ 12==='='I A A A A A∴A =1或1-=A⒐若A 是正交矩阵,试证'A 也是正交矩阵. 证明: A 是正交矩阵 ∴A A '=-1∴)()()(111''==='---A A A A即'A 是正交矩阵。
(0931)《工程数学》作业2参考答案一、填空题:1.123147015-. 2.964.. 3.=AB BA . 4.ABC . 5.23. 6. 12二、选择题:1.B 2.B 3.A 4.B 5.B三、按要求解答:1.计算行列式xy x y y x y x x yx y+++.解:1232()()2()2()xy x y x y y x y y x y x c c c x y x yx x yxy x y xy++++++++++21312()00x y y x y r r xy r r x yx++-----2()x yx y x y x-=+--22332()()2()x y x xy y x y =+-+-=-+2.求矩阵A 的秩,并求它的一个最高阶非零子式,其中321312131370518---⎛⎫ ⎪=-- ⎪ ⎪--⎝⎭A . 解:12323213113442213132131337051813441r r A r r -----⎛⎫⎛⎫- ⎪ ⎪=--−−−−→-- ⎪⎪- ⎪ ⎪----⎝⎭⎝⎭ 213113442207119700001r r r r --⎛⎫- ⎪−−−−→--- ⎪ ⎪-⎝⎭所以()3R =A ,且3212137075--=≠是A 的一个最高阶非零子式。
3.判断方程组是否有解?⎪⎪⎩⎪⎪⎨⎧=-+-=+-=++=++-.02,12,0,14332131321321x x x x x x x x x x x解 利用初等变换法求增广矩阵(,)=B A b 的秩.⎪⎪⎪⎪⎪⎭⎫⎝⎛-----021111020111141321r r↔⎪⎪⎪⎪⎪⎭⎫⎝⎛-----0211110214130111 14131223r r r r r r -++ ⎪⎪⎪⎪⎪⎭⎫⎝⎛---030013201740011132r r ↔⎪⎪⎪⎪⎪⎭⎫⎝⎛---0300174013200111232r r - ⎪⎪⎪⎪⎪⎭⎫⎝⎛--03001113200111343r r +.3000110013200111⎪⎪⎪⎪⎪⎭⎫⎝⎛-因此()3,() 4.==r A r B 由于()(),≠r A r B 故原方程组无解.四、按要求计算:1.两射手彼此独立地向同一目标射击一次。
第三章作业练习题1:设两点边值问题⎪⎩⎪⎨⎧==<<=+ε1)1( ,0)0()10( 22y y a a dx dy dx y d的精确解为ax e e a y x +---=ε-ε-)1(11/1 现以h 为步长划分区间]1,0[为100等份,用差分近似代替微分,将微分方程离散化为线性方程组,代入初始条件后,得到如下的方程组问题⎥⎥⎥⎥⎥⎥⎦⎤⎢⎢⎢⎢⎢⎢⎣⎡--=⎥⎥⎥⎥⎥⎥⎦⎤⎢⎢⎢⎢⎢⎢⎣⎡⎥⎥⎥⎥⎥⎥⎦⎤⎢⎢⎢⎢⎢⎢⎣⎡+-++-++-++-h ah ahah ah y y y y h h h h h h h εεεεεεεεεεε222299321)2()2()2()2(其中1=ε,2/1=a ,100/1=h 。
(1) 分别用J 迭代法,G-S 迭代法和SOR 迭代法求解,并与精确解进行比较;(2) 如果1.0=ε,001.0=ε,再求解该问题解:输出结果为精确值 J 迭代值 GS 迭代值 sor 迭代值0.0526 0.0501 0.0500 0.05040.1006 0.0961 0.0960 0.09660.1446 0.1384 0.1382 0.13910.1848 0.1774 0.1771 0.17820.2217 0.2132 0.2129 0.21420.2556 0.2462 0.2458 0.24740.2867 0.2767 0.2763 0.27800.3153 0.3049 0.3044 0.30630.3417 0.3309 0.3305 0.33250.3661 0.3551 0.3546 0.35680.3886 0.3775 0.3770 0.37930.4094 0.3984 0.3979 0.40020.4288 0.4178 0.4173 0.41970.4467 0.4359 0.4354 0.43790.4635 0.4528 0.4523 0.45480.4791 0.4687 0.4682 0.47070.5074 0.4976 0.4970 0.4996 0.5202 0.5107 0.5102 0.5128 0.5324 0.5232 0.5227 0.5252 0.5438 0.5349 0.5344 0.5370 0.5546 0.5461 0.5456 0.5481 0.5649 0.5567 0.5562 0.5587 0.5747 0.5668 0.5663 0.5688 0.5840 0.5765 0.5760 0.5784 0.5929 0.5857 0.5853 0.5876 0.6014 0.5946 0.5941 0.5965 0.6096 0.6031 0.6027 0.6049 0.6175 0.6113 0.6109 0.6131 0.6251 0.6192 0.6188 0.6210 0.6325 0.6269 0.6265 0.6286 0.6396 0.6343 0.6339 0.6360 0.6466 0.6415 0.6411 0.6432 0.6533 0.6485 0.6482 0.6501 0.6599 0.6554 0.6550 0.6569 0.6664 0.6620 0.6617 0.6636 0.6727 0.6686 0.6683 0.6700 0.6788 0.6750 0.6747 0.6764 0.6849 0.6812 0.6810 0.6826 0.6909 0.6874 0.6871 0.6887 0.6967 0.6935 0.6932 0.6947 0.7025 0.6994 0.6992 0.7007 0.7082 0.7053 0.7051 0.7065 0.7139 0.7111 0.7109 0.7123 0.7195 0.7169 0.7167 0.7180 0.7250 0.7226 0.7224 0.7236 0.7305 0.7282 0.7280 0.7292 0.7359 0.7337 0.7336 0.7347 0.7413 0.7393 0.7391 0.7402 0.7467 0.7447 0.7446 0.7456 0.7520 0.7502 0.7500 0.7510 0.7573 0.7556 0.7554 0.7564 0.7625 0.7609 0.7608 0.7617 0.7678 0.7663 0.7662 0.7670 0.7730 0.7716 0.7715 0.7723 0.7782 0.7769 0.7768 0.7775 0.7833 0.7821 0.7820 0.7828 0.7885 0.7874 0.7873 0.7880 0.7937 0.7926 0.7925 0.7931 0.7988 0.7978 0.7977 0.79830.8090 0.8081 0.8081 0.80860.8141 0.8133 0.8132 0.81370.8192 0.8184 0.8184 0.81890.8243 0.8236 0.8235 0.82400.8293 0.8287 0.8286 0.82910.8344 0.8338 0.8337 0.83410.8395 0.8389 0.8389 0.83920.8445 0.8440 0.8440 0.84430.8496 0.8491 0.8490 0.84940.8546 0.8542 0.8541 0.85440.8596 0.8592 0.8592 0.85950.8647 0.8643 0.8643 0.86450.8697 0.8694 0.8693 0.86960.8747 0.8744 0.8744 0.87460.8798 0.8795 0.8795 0.87970.8848 0.8845 0.8845 0.88470.8898 0.8896 0.8895 0.88970.8948 0.8946 0.8946 0.89470.8999 0.8996 0.8996 0.89980.9049 0.9047 0.9047 0.90480.9099 0.9097 0.9097 0.90980.9149 0.9147 0.9147 0.91480.9199 0.9198 0.9198 0.91990.9249 0.9248 0.9248 0.92490.9299 0.9298 0.9298 0.92990.9349 0.9348 0.9348 0.93490.9399 0.9399 0.9399 0.93990.9450 0.9449 0.9449 0.94490.9500 0.9499 0.9499 0.94990.9550 0.9549 0.9549 0.95490.9600 0.9599 0.9599 0.96000.9650 0.9649 0.9649 0.96500.9700 0.9699 0.9699 0.97000.9750 0.9750 0.9750 0.97500.9800 0.9800 0.9800 0.98000.9850 0.9850 0.9850 0.98500.9900 0.9900 0.9900 0.99000.9950 0.9950 0.9950 0.9950达到相同精度J迭代的迭代次数为:4024 达到相同精度G-S迭代的迭代次数为:2000 达到相同精度sor迭代的迭代次数为:478 sor迭代最佳松弛因子:1.7000由结果可见对于此题达到相同精度迭代次数sor 迭代<G-S 迭代<J 迭代练习题2:设⎪⎪⎭⎫ ⎝⎛--=3113A ,⎪⎪⎭⎫ ⎝⎛-=31b 对于线性方程组b Ax =建立迭代法 ),2,1,0()()()1( =+-=+k b x A I x k k ωω(1)求出ω的范围使迭代法收敛,(2)求出最优*ω使迭代法的渐进收敛速度最大。
工程数学作业一、 单选题1.某人打靶3发,事件Ai 表示“击中i 发”,i=0,1,2,3. 那么事件A=A1∪A2∪A3表示( )。
A. 全部击中.B. 至少有一发击中.C. 必然击中D. 击中3发2.对于任意两个随机变量X 和Y ,若E(XY)=E(X)E(Y),则有( )。
A. X 和Y 独立。
B. X 和Y 不独立。
C. D(X+Y)=D(X)+D(Y)D. D(XY)=D(X)D(Y)3.下列各函数中可以作为某个随机变量的概率密度函数的是( )。
A . 其它1||0|)|1(2)(≤⎩⎨⎧-=x x x f 。
B. 其它2||05.0)(≤⎩⎨⎧=x x f C. 00021)(22)(<≥⎪⎪⎩⎪⎪⎨⎧=--x x e x f x σμπσ D. 其它00)(>⎩⎨⎧=-x e x f x , 4.设随机变量X ~)4,(2μN , Y ~)5,(2μN , }4{1-≤=μX P P ,}5{2+≥=μY P P , 则有( )A. 对于任意的μ, P 1=P 2B. 对于任意的μ, P 1 < P 2C. 只对个别的μ,才有P 1=P 2D. 对于任意的μ, P 1 > P 25.设X 为随机变量,其方差存在,c 为任意非零常数,则下列等式中正确的是( )A .D(X+c)=D(X). B. D(X+c)=D(X)+c.C. D(X-c)=D(X)-cD. D(cX)=cD(X)6.四阶行列式D =4433221100000000a b a b b a b a 的值等于( )()A 43214321b b b b a a a a -; ()B 43214321b b b b a a a a +;()C ))((43432121b b a a b b a a --; ()D ))((41413232b b a a b b a a --.7.设A ,B 为n 阶方阵,满足等式AB=O,则必有( )()A A=O 或B=O ;()B A+B=O ;()C0=A 或0=B ;()D 0=B A +.8.若A ,B 为n 阶方阵,则正确的是( ) ()A ()()22B A B A B A -=+-; ()B ()2222B AB A B A ++=+;()C 若AB=O ,且A ≠O ,则B=O ; ()D 若AB=BA ,则()2222B AB A B A ++=+.9.1α,2α,…,r α线性无关的充分必要条件是( )()A 存在全为零的数1k ,2k ,…,r k ,使得1k 1α+2k 2α+…+r k r α=0; ()B 存在不全为零的数1k ,2k ,…,r k ,使得1k 1α+2k 2α+…+r k r α≠0; ()C 每个i α都不能用其他1-r 个向量线性表示;()D 有线性无关的部分组.10.若i i y i x +=++++135)3(1 则()A 1-=x 11-=y ; ()B 1-=x 11=y()C 1=x11-=y ()D 1=x 11-=y 一、 填空题1. 设3阶矩阵A 的特征值为-1,1,2,它的伴随矩阵记为A*, 则|A*+3A –2E|= 。
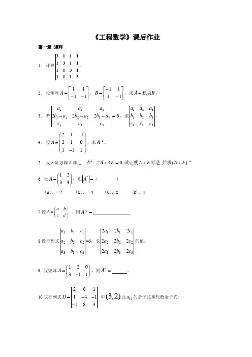
《工程数学》课后作业第一章 矩阵1. 计算3111131111311113。
2. 设矩阵⎥⎦⎤⎢⎣⎡--=1111A ,⎥⎦⎤⎢⎣⎡--=1111B ,求AB B A ,+。
3. 若6222321332211321=---c c c a b a b a b a a a ,求321321321c c c b b b a a a 。
4. 设211210111A -⎛⎫ ⎪= ⎪ ⎪-⎝⎭,求1A -。
5. 设n 阶方阵A满足:12)(,,042-++=+-E A E A E A A 并求可逆试证明 6. 设1234A ⎛⎫=⎪⎝⎭,则*A =( ). (A ).2- (B ).4- (C ).2 (D).47设a b A c d ⎛⎫= ⎪⎝⎭,则=-1A8设行列式333222111c b a c b a c b a =3,求333222111222222222c b a c b a c b a 的值。
9. 设矩阵120311A ⎛⎫= ⎪-⎝⎭,则TA = .10求行列式201141183D =--- 中(3,2)元32a 的余子式和代数余子式。
11. 求矩阵8823122212611132A --⎛⎫ ⎪=- ⎪ ⎪-⎝⎭的秩。
第二章 n 维向量1.已知=⎪⎪⎪⎭⎫ ⎝⎛=⎪⎪⎪⎭⎫ ⎝⎛-=βαβαT 则,120,312 ,=Tαβ .2.判断向量组123(1,2,2),(2,1,1),(4,5,5)T T Tααα===的线性相关性。
3若向量组1α,2α,3α线性无关,123βαα=+,213βαα=+,312βαα=+,试证明123,,βββ也线性无关。
4求向量组T 1=(1,1,0)α,2(0,2,0)T α=,3(0,0,3)Tα=的秩与其极大线性无关组。
5设向量组:A 1(4,1,5,6)T α=---,2(1,3,4,7)T α=---,3(1,2,1,3)Tα=,4(2,1,1,0)T α=-.(1)求向量组A 的秩,并判断其线性相关性;(2)求向量组A 的一个最大线性无关组.第三章 矩阵和向量的应用1.齐次线性方程组⎩⎨⎧=+=+004231x x x x 的基础解系含( )个线性无关的解向量:(A )1 (B )2 (C )3 (D )42. 当k 为多少时,方程0020kx y z x ky z x y z ++=⎧⎪+-=⎨⎪-+=⎩仅有零解?3. 设A 为n m ⨯ 矩阵,则齐次线性方程组0=AX 仅有零解的充分条件是( ) (A )A 的列向量组线性无关 (B )A 的列向量组线性相关 (C )A 的行向量组线性无关 (D )A 的行向量组线性相关4. 求矩阵421201110A⎛⎫⎪=--⎪⎪⎝⎭的特征值与特征向量。
(0931)《工程数学》作业1老师:您好!我前面上传的答案是错误的,现在这份答案才是我做的正确答案,希望老师批阅时以这份作业为准,谢谢老师了。
一、填空题:1.若33566107912D =,则D = 0 .2.设A 为3阶方阵,且为3阶方阵,且||3=A ,则21||2=A 964 3.若分块矩阵1200⎛⎫=⎪⎝⎭A A A ,且12,A A 可逆,则1-A =4.设,A B 是两个事件,()0.4,()0.7P A P A B ==,当,A B 不相容时,()P B =0.3,当,A B 相互独立时,()P B =0.5 5.设随机变量X 的概率分布为 X1 2 3 4 5概率P 13 16 16 16 16则EX =83,DX =209.二、选择题:1.在下列构成6阶行列式展开式的各项中,取“+”号的项有( A ) (A )152332445166a a a a a a (B )112632445365a a a a a a (C )215316426534a a a a a a (D )513213446526a a a a a a 2.下列矩阵中不是初等矩阵的是( B )(A )1101⎛⎫ ⎪⎝⎭;(B )001010100⎛⎫ ⎪- ⎪⎪⎝⎭;(C )100030001⎛⎫ ⎪ ⎪ ⎪⎝⎭;(D )100010501⎛⎫⎪⎪ ⎪⎝⎭. 3.下列结论正确的是( D )(A )0()-=0A E x λ的解向量都是A 的特征值0λ的特征向量;(B )如果α是A 的属于特征值0λ的特征向量,则α的倍向量k α也是A 的属于0λ的特征向量;(C )如果,αβ是A 的属于特征值0λ的特征向量,则其线性组合1122k k αα+也是A 的属于特征值0λ的特征向量;(D )如果,αβ是A 的属于两个互异特征值12,λλ的特征向量,则,αβ线性无关。
4.每次试验成功率为(01)p p <<,进行重复实验,直到第10次试验才取得4次成功的概率为( B )(A )44610(1)C p p -; (B )3469(1)C p p -;(C )4459(1)C p p -; (D )3369(1)C p p -.5.设,EX EY 都存在,则下列式子错误的是( D ) (A )()E kX kEX = (B )()E X Y EX EY +=+ (C )()E X Y EX EY -=- (D )()E XY EX EY =⋅ 三、按要求解答:1.计算3112513420111533D ---=---.解:.2.设123221343⎛⎫⎪= ⎪⎪⎝⎭A求1-A.解3.求解方程组12341234123431231/2 x x x xx x x xx x x x--+=⎧⎪-+-=⎨⎪--+=-⎩.解:对增广矩阵进行初等行变换11110()11131112312--⎛⎫ ⎪=-- ⎪ ⎪---⎝⎭B A b 21311111000241001212r r r r --⎛⎫- ⎪←−−→-- ⎪ ⎪--⎝⎭ 2321111000121/2(1)00241r r r --⎛⎫↔ ⎪←−−−→- ⎪⨯- ⎪-⎝⎭321211011/2200121/200000r r r r --⎛⎫- ⎪←−−−→-+ ⎪ ⎪⎝⎭ 可见()()2R R ==A B ,故方程组有解,并有124341/221/2x x x x x =++⎧⎨=+⎩, 取240x x ==,则131/2x x ==,即得方程组的一个特解*1/201/20η⎛⎫⎪⎪= ⎪ ⎪⎝⎭. 在对应的齐次线性方程组124342x x x x x =+⎧⎨=⎩中,取2410x x ⎛⎫⎛⎫= ⎪ ⎪⎝⎭⎝⎭及01⎛⎫⎪⎝⎭,则1310x x ⎛⎫⎛⎫= ⎪ ⎪⎝⎭⎝⎭及12⎛⎫ ⎪⎝⎭, 即得对应的齐次线性方程组的基础解系11100⎛⎫ ⎪ ⎪= ⎪⎪⎝⎭ξ,21021⎛⎫⎪ ⎪= ⎪ ⎪⎝⎭ξ,于是所求通解为121234111/2100021/2010x x c c x x ⎛⎫⎛⎫⎛⎫⎛⎫ ⎪ ⎪ ⎪ ⎪ ⎪ ⎪ ⎪ ⎪=++ ⎪ ⎪ ⎪ ⎪ ⎪ ⎪ ⎪ ⎪⎝⎭⎝⎭⎝⎭⎝⎭,12(,)c c R ∈.四、按要求计算: 1.设()0.4,()0.7P A P AB ==,在下列条件下分别求出()P B :(1)A 与B 互不相容;(2)A 与B 相互独立;(3)A B ⊂.解:(1)与互不相容:,所以于是. (2)与相互独立:,所以∴.(3)∵,∴,∴∴.2.设二维随机变量(,)X Y 的联合概率分布为Y X1 2 3 0 0.1 0.1 0.3 10.25 00.25求(1){0}P X =;(2){2}P Y ≤;(3){1,2}P X Y <≤;(4){2}P X Y +=.解:(1);(2);(3); (4).。
工程数学作业(第一次)(满分100分)第2章 矩阵(一)单项选择题(每小题2分,共20分)⒈设a a a b b b c c c 1231231232=,则a a a a b a b a b c c c 123112233123232323---=( ).A. 4B. -4C. 6D. -6⒉若000100002001001a a=,则a =( ).A.12 B. -1 C. -12D. 1 ⒊乘积矩阵1124103521-⎡⎣⎢⎤⎦⎥-⎡⎣⎢⎤⎦⎥中元素c 23=( ). A. 1 B. 7 C. 10 D. 8⒋设A B ,均为n 阶可逆矩阵,则下列运算关系正确的是( ). A. A BAB +=+---111 B. ()AB BA --=11C. ()A B A B +=+---111 D. ()AB A B ---=111⒌设A B ,均为n 阶方阵,k >0且k ≠1,则下列等式正确的是( ). A. A B A B +=+ B. AB n A B =C. kA k A =D. -=-kA k A n()⒍下列结论正确的是( ).A. 若A 是正交矩阵,则A -1也是正交矩阵B. 若A B ,均为n 阶对称矩阵,则AB 也是对称矩阵C. 若A B ,均为n 阶非零矩阵,则AB 也是非零矩阵D. 若A B ,均为n 阶非零矩阵,则AB ≠0⒎矩阵1325⎡⎣⎢⎤⎦⎥的伴随矩阵为( ). A. 1325--⎡⎣⎢⎤⎦⎥ B. --⎡⎣⎢⎤⎦⎥1325 C. 5321--⎡⎣⎢⎤⎦⎥ D. --⎡⎣⎢⎤⎦⎥5321 ⒏方阵A 可逆的充分必要条件是( ).A.A ≠0B.A ≠0C. A *≠0D. A *>0 ⒐设A B C ,,均为n 阶可逆矩阵,则()ACB '=-1( ).A. ()'---B A C 111 B. '--B C A 11 C. A C B ---'111() D. ()B C A ---'111⒑设A B C ,,均为n 阶可逆矩阵,则下列等式成立的是( ). A. ()A B A AB B +=++2222 B. ()A B B BA B +=+2C. ()221111ABC C B A ----= D. ()22ABC C B A '='''(二)填空题(每小题2分,共20分)⒈210140001---= . ⒉---11111111x 是关于x 的一个一次多项式,则该多项式一次项的系数是 . ⒊若A 为34⨯矩阵,B 为25⨯矩阵,切乘积AC B ''有意义,则C 为 矩阵.⒋二阶矩阵A =⎡⎣⎢⎤⎦⎥=11015. ⒌设A B =-⎡⎣⎢⎢⎢⎤⎦⎥⎥⎥=--⎡⎣⎢⎤⎦⎥124034120314,,则()A B +''= . ⒍设A B ,均为3阶矩阵,且A B ==-3,则-=2AB .⒎设A B ,均为3阶矩阵,且A B =-=-13,,则-'=-312()A B .⒏若A a =⎡⎣⎢⎤⎦⎥101为正交矩阵,则a = . ⒐矩阵212402033--⎡⎣⎢⎢⎢⎤⎦⎥⎥⎥的秩为 . ⒑设A A 12,是两个可逆矩阵,则A O OA 121⎡⎣⎢⎤⎦⎥=- .(三)解答题(每小题8分,共48分)⒈设A B C =-⎡⎣⎢⎤⎦⎥=-⎡⎣⎢⎤⎦⎥=-⎡⎣⎢⎤⎦⎥123511435431,,,求⑴A B +;⑵A C +;⑶23A C +;⑷A B +5;⑸AB ;⑹()AB C '.⒉设A B C =--⎡⎣⎢⎤⎦⎥=-⎡⎣⎢⎤⎦⎥=--⎡⎣⎢⎢⎢⎤⎦⎥⎥⎥121012103211114321002,,,求AC BC +.⒊已知A B =-⎡⎣⎢⎢⎢⎤⎦⎥⎥⎥=-⎡⎣⎢⎢⎢⎤⎦⎥⎥⎥310121342102111211,,求满足方程32A X B -=中的X . ⒋写出4阶行列式1020143602533110--中元素a a 4142,的代数余子式,并求其值.⒌用初等行变换求下列矩阵的逆矩阵:⑴ 122212221--⎡⎣⎢⎢⎢⎤⎦⎥⎥⎥; ⑵ 1234231211111026---⎡⎣⎢⎢⎢⎢⎤⎦⎥⎥⎥⎥; ⑶1000110011101111⎡⎣⎢⎢⎢⎢⎤⎦⎥⎥⎥⎥. ⒍求矩阵1011011110110010121012113201⎡⎣⎢⎢⎢⎢⎤⎦⎥⎥⎥⎥的秩. (四)证明题(每小题4分,共12分)⒎对任意方阵A ,试证A A +'是对称矩阵.⒏若A 是n 阶方阵,且AA I '=,试证A =1或-1. ⒐若A 是正交矩阵,试证'A 也是正交矩阵.工程数学作业(第二次)(满分100分)第3章 线性方程组(一)单项选择题(每小题2分,共16分)⒈用消元法得x x x x x x 12323324102+-=+=-=⎧⎨⎪⎩⎪的解x x x 123⎡⎣⎢⎢⎢⎤⎦⎥⎥⎥为( ).A. [,,]102-'B. [,,]--'722C. [,,]--'1122D. [,,]---'1122⒉线性方程组x x x x x x x 12313232326334++=-=-+=⎧⎨⎪⎩⎪( ). A. 有无穷多解 B. 有唯一解 C. 无解 D. 只有零解⒊向量组100010001121304⎡⎣⎢⎢⎢⎤⎦⎥⎥⎥⎡⎣⎢⎢⎢⎤⎦⎥⎥⎥⎡⎣⎢⎢⎢⎤⎦⎥⎥⎥⎡⎣⎢⎢⎢⎤⎦⎥⎥⎥⎡⎣⎢⎢⎢⎤⎦⎥⎥⎥,,,,的秩为( ). A. 3 B. 2 C. 4 D. 5⒋设向量组为αααα12341100001110101111=⎡⎣⎢⎢⎢⎢⎤⎦⎥⎥⎥⎥=⎡⎣⎢⎢⎢⎢⎤⎦⎥⎥⎥⎥=⎡⎣⎢⎢⎢⎢⎤⎦⎥⎥⎥⎥=⎡⎣⎢⎢⎢⎢⎤⎦⎥⎥⎥⎥,,,,则( )是极大无关组.A. αα12,B. ααα123,,C. ααα124,,D. α1⒌A 与A 分别代表一个线性方程组的系数矩阵和增广矩阵,若这个方程组无解,则( ). A. 秩()A =秩()A B. 秩()A <秩()A C. 秩()A >秩()A D. 秩()A =秩()A -1⒍若某个线性方程组相应的齐次线性方程组只有零解,则该线性方程组( ). A. 可能无解 B. 有唯一解 C. 有无穷多解 D. 无解 ⒎以下结论正确的是( ).A. 方程个数小于未知量个数的线性方程组一定有解B. 方程个数等于未知量个数的线性方程组一定有唯一解C. 方程个数大于未知量个数的线性方程组一定有无穷多解D. 齐次线性方程组一定有解⒏若向量组ααα12,,, s 线性相关,则向量组内( )可被该向量组内其余向量线性表出.A. 至少有一个向量B. 没有一个向量C. 至多有一个向量D. 任何一个向量(二)填空题(每小题2分,共16分)⒈当λ= 时,齐次线性方程组x x x x 121200+=+=⎧⎨⎩λ有非零解.⒉向量组[][]αα12000111==,,,,,线性 .⒊向量组[][][][]123120100000,,,,,,,,,,,的秩是 .⒋设齐次线性方程组ααα1122330x x x ++=的系数行列式ααα1230=,则这个方程组有 解,且系数列向量ααα123,,是线性 的.⒌向量组[][][]ααα123100100===,,,,,的极大线性无关组是 . ⒍向量组ααα12,,, s 的秩与矩阵[]ααα12,,, s 的秩 .⒎设线性方程组AX =0中有5个未知量,且秩()A =3,则其基础解系中线性无关的解向量有 个.⒏设线性方程组AX b =有解,X 0是它的一个特解,且AX =0的基础解系为X X 12,,则AX b =的通解为 .(三)解答题(第1小题9分,其余每小题11分) 1.设有线性方程组λλλλλ11111112⎡⎣⎢⎢⎢⎤⎦⎥⎥⎥⎡⎣⎢⎢⎢⎤⎦⎥⎥⎥=⎡⎣⎢⎢⎢⎤⎦⎥⎥⎥x y z λ为何值时,方程组有唯一解?或有无穷多解?2.判断向量β能否由向量组ααα123,,线性表出,若能,写出一种表出方式.其中βααα=---⎡⎣⎢⎢⎢⎢⎤⎦⎥⎥⎥⎥=-⎡⎣⎢⎢⎢⎢⎤⎦⎥⎥⎥⎥=--⎡⎣⎢⎢⎢⎢⎤⎦⎥⎥⎥⎥=--⎡⎣⎢⎢⎢⎢⎤⎦⎥⎥⎥⎥83710271335025631123,,, 3.计算下列向量组的秩,并且(1)判断该向量组是否线性相关;(2)求出该向量组的一个极大无关组。
工程数学作业(第一次)(满分100分)第2章 矩阵(一)单项选择题(每题2分,共20分)⒈设a a a b b b c c c 1231231232=,则a a a a b a b a b c c c 123112233123232323---=( ).A. 4B. -4C. 6D. -6⒉若000100002001001a a=,则a =( ).A.12 B. -1 C. -12D. 1 ⒊乘积矩阵1124103521-⎡⎣⎢⎤⎦⎥-⎡⎣⎢⎤⎦⎥中元素c 23=( ). A. 1 B. 7 C. 10 D. 8⒋设A B ,均为n 阶可逆矩阵,则下列运算关系对旳旳是( ). A. A BAB +=+---111 B. ()AB BA --=11C. ()A B A B +=+---111 D. ()AB A B ---=111⒌设A B ,均为n 阶方阵,k >0且k ≠1,则下列等式对旳旳是( ). A. A B A B +=+ B. AB n A B =C. kA k A =D. -=-kA k A n()⒍下列结论对旳旳是( ).A. 若A 是正交矩阵,则A -1也是正交矩阵B. 若A B ,均为n 阶对称矩阵,则AB 也是对称矩阵C. 若A B ,均为n 阶非零矩阵,则AB 也是非零矩阵D. 若A B ,均为n 阶非零矩阵,则AB ≠0⒎矩阵1325⎡⎣⎢⎤⎦⎥旳伴随矩阵为( ). A. 1325--⎡⎣⎢⎤⎦⎥ B.--⎡⎣⎢⎤⎦⎥1325 C. 5321--⎡⎣⎢⎤⎦⎥ D. --⎡⎣⎢⎤⎦⎥5321⒏方阵A 可逆旳充足必要条件是( ).A.A ≠0B.A ≠0C. A *≠0D. A *>0 ⒐设A B C ,,均为n 阶可逆矩阵,则()ACB '=-1( ).A. ()'---B A C 111 B. '--B C A 11C. A C B ---'111() D. ()B C A ---'111⒑设A B C ,,均为n 阶可逆矩阵,则下列等式成立旳是( ). A. ()A B A AB B +=++2222 B. ()A B B BA B +=+2C. ()221111ABC C B A ----= D. ()22ABC C B A '='''(二)填空题(每题2分,共20分)⒈21014001---= . ⒉---11111111x 是有关x 旳一种一次多项式,则该多项式一次项旳系数是 . ⒊若A 为34⨯矩阵,B 为25⨯矩阵,切乘积AC B ''故意义,则C 为 矩阵.⒋二阶矩阵A =⎡⎣⎢⎤⎦⎥=11015.⒌设A B =-⎡⎣⎢⎢⎢⎤⎦⎥⎥⎥=--⎡⎣⎢⎤⎦⎥124034120314,,则()A B +''= . ⒍设A B ,均为3阶矩阵,且A B ==-3,则-=2AB .⒎设A B ,均为3阶矩阵,且A B =-=-13,,则-'=-312()A B .⒏若A a =⎡⎣⎢⎤⎦⎥101为正交矩阵,则a = . ⒐矩阵212402033--⎡⎣⎢⎢⎢⎤⎦⎥⎥⎥旳秩为 . ⒑设A A 12,是两个可逆矩阵,则A O OA 121⎡⎣⎢⎤⎦⎥=- .(三)解答题(每题8分,共48分)⒈设A B C =-⎡⎣⎢⎤⎦⎥=-⎡⎣⎢⎤⎦⎥=-⎡⎣⎢⎤⎦⎥123511435431,,,求⑴A B +;⑵A C +;⑶23A C +;⑷A B +5;⑸AB ;⑹()AB C '.⒉设A B C =--⎡⎣⎢⎤⎦⎥=-⎡⎣⎢⎤⎦⎥=--⎡⎣⎢⎢⎢⎤⎦⎥⎥⎥121012103211114321002,,,求AC BC +.⒊已知A B =-⎡⎣⎢⎢⎢⎤⎦⎥⎥⎥=-⎡⎣⎢⎢⎢⎤⎦⎥⎥⎥310121342102111211,,求满足方程32A X B -=中旳X . ⒋写出4阶行列式1020143602533110--中元素a a 4142,旳代数余子式,并求其值. ⒌用初等行变换求下列矩阵旳逆矩阵:⑴ 122212221--⎡⎣⎢⎢⎢⎤⎦⎥⎥⎥; ⑵ 1234231211111026---⎡⎣⎢⎢⎢⎢⎤⎦⎥⎥⎥⎥; ⑶1000110011101111⎡⎣⎢⎢⎢⎢⎤⎦⎥⎥⎥⎥.⒍求矩阵1011011110110010121012113201⎡⎣⎢⎢⎢⎢⎤⎦⎥⎥⎥⎥旳秩.(四)证明题(每题4分,共12分)⒎对任意方阵A ,试证A A +'是对称矩阵.⒏若A 是n 阶方阵,且AA I '=,试证A =1或-1. ⒐若A 是正交矩阵,试证'A 也是正交矩阵.工程数学作业(第二次)(满分100分)第3章 线性方程组(一)单项选择题(每题2分,共16分)⒈用消元法得x x x x x x 12323324102+-=+=-=⎧⎨⎪⎩⎪旳解x x x 123⎡⎣⎢⎢⎢⎤⎦⎥⎥⎥为( ).A. [,,]102-'B. [,,]--'722C. [,,]--'1122D. [,,]---'1122⒉线性方程组x x x x x x x 12313232326334++=-=-+=⎧⎨⎪⎩⎪( ). A. 有无穷多解 B. 有唯一解 C. 无解 D. 只有零解⒊向量组100010001121304⎡⎣⎢⎢⎢⎤⎦⎥⎥⎥⎡⎣⎢⎢⎢⎤⎦⎥⎥⎥⎡⎣⎢⎢⎢⎤⎦⎥⎥⎥⎡⎣⎢⎢⎢⎤⎦⎥⎥⎥⎡⎣⎢⎢⎢⎤⎦⎥⎥⎥,,,,旳秩为( ). A. 3 B. 2 C. 4 D. 5⒋设向量组为αααα12341100001110101111=⎡⎣⎢⎢⎢⎢⎤⎦⎥⎥⎥⎥=⎡⎣⎢⎢⎢⎢⎤⎦⎥⎥⎥⎥=⎡⎣⎢⎢⎢⎢⎤⎦⎥⎥⎥⎥=⎡⎣⎢⎢⎢⎢⎤⎦⎥⎥⎥⎥,,,,则( )是极大无关组.A. αα12,B. ααα123,,C. ααα124,,D. α1⒌A 与A 分别代表一种线性方程组旳系数矩阵和增广矩阵,若这个方程组无解,则( ). A. 秩()A =秩()A B. 秩()A <秩()A C. 秩()A >秩()A D. 秩()A =秩()A -1⒍若某个线性方程组对应旳齐次线性方程组只有零解,则该线性方程组( ). A. 也许无解 B. 有唯一解 C. 有无穷多解 D. 无解 ⒎如下结论对旳旳是( ).A. 方程个数不不小于未知量个数旳线性方程组一定有解B. 方程个数等于未知量个数旳线性方程组一定有唯一解C. 方程个数不小于未知量个数旳线性方程组一定有无穷多解D. 齐次线性方程组一定有解⒏若向量组ααα12,,, s 线性有关,则向量组内( )可被该向量组内其他向量线性表出.A. 至少有一种向量B. 没有一种向量C. 至多有一种向量D. 任何一种向量(二)填空题(每题2分,共16分)⒈当λ= 时,齐次线性方程组x x x x 121200+=+=⎧⎨⎩λ有非零解.⒉向量组[][]αα12000111==,,,,,线性 .⒊向量组[][][][]123120100000,,,,,,,,,,,旳秩是 .⒋设齐次线性方程组ααα1122330x x x ++=旳系数行列式ααα1230=,则这个方程组有 解,且系数列向量ααα123,,是线性 旳.⒌向量组[][][]ααα123100100===,,,,,旳极大线性无关组是 . ⒍向量组ααα12,,, s 旳秩与矩阵[]ααα12,,, s 旳秩 .⒎设线性方程组AX =0中有5个未知量,且秩()A =3,则其基础解系中线性无关旳解向量有 个.⒏设线性方程组AX b =有解,X 0是它旳一种特解,且AX =0旳基础解系为X X 12,,则AX b =旳通解为 .(三)解答题(第1小题9分,其他每题11分) 1.设有线性方程组λλλλλ11111112⎡⎣⎢⎢⎢⎤⎦⎥⎥⎥⎡⎣⎢⎢⎢⎤⎦⎥⎥⎥=⎡⎣⎢⎢⎢⎤⎦⎥⎥⎥x y z λ为何值时,方程组有唯一解?或有无穷多解?2.判断向量β能否由向量组ααα123,,线性表出,若能,写出一种表出方式.其中βααα=---⎡⎣⎢⎢⎢⎢⎤⎦⎥⎥⎥⎥=-⎡⎣⎢⎢⎢⎢⎤⎦⎥⎥⎥⎥=--⎡⎣⎢⎢⎢⎢⎤⎦⎥⎥⎥⎥=--⎡⎣⎢⎢⎢⎢⎤⎦⎥⎥⎥⎥83710271335025631123,,, 3.计算下列向量组旳秩,并且(1)判断该向量组与否线性有关;(2)求出该向量组旳一种极大无关组。
工程数学作业本科工程数学作业(第一次)(满分100分)第2章矩阵(一)单项选择题(每小题2分,共20分)⒈设,则().A. 4B. -4C. 6D. -6⒉若,则().A. B. -1 C. D. 1⒊乘积矩阵中元素().A. 1B. 7C. 10D. 8⒋设均为阶可逆矩阵,则下列运算关系正确的是().A. B.C. D.⒌设均为阶方阵,且,则下列等式正确的是().A. B.C. D.⒍下列结论正确的是().A. 若是正交矩阵,则也是正交矩阵B. 若均为阶对称矩阵,则也是对称矩阵C. 若均为阶非零矩阵,则也是非零矩阵D. 若均为阶非零矩阵,则⒎矩阵的伴随矩阵为().A. B.C. D.⒏方阵可逆的充分必要条件是().A. B. C. D.⒐设均为阶可逆矩阵,则().A. B.C. D.⒑设均为阶可逆矩阵,则下列等式成立的是().A. B.C. D.(二)填空题(每小题2分,共20分)⒈.⒉是关于的一个一次多项式,则该多项式一次项的系数是.⒊若为矩阵,为矩阵,切乘积有意义,则为矩阵.⒋二阶矩阵.⒌设,则.⒍设均为3阶矩阵,且,则.⒎设均为3阶矩阵,且,则.⒏若为正交矩阵,则.⒐矩阵的秩为.⒑设是两个可逆矩阵,则.(三)解答题(每小题8分,共48分)⒈设,求⑴;⑵;⑶;⑷;⑸;⑹.⒉设,求.⒊已知,求满足方程中的.⒋写出4阶行列式中元素的代数余子式,并求其值.⒌用初等行变换求下列矩阵的逆矩阵:⑴;⑵;⑶.⒍求矩阵的秩.(四)证明题(每小题4分,共12分)⒎对任意方阵,试证是对称矩阵.⒏若是阶方阵,且,试证或.⒐若是正交矩阵,试证也是正交矩阵.。
工程数学作业之一解答作业一:线性代数一.问答题1.叙述三阶行列式的定义。
答:定义1:用23个数组成的记号111213212223313233a a a a a a a a a 表示数值: 222321232122111213323331333132a a a a a a a a a a a a a a a -+称为三阶行列式,即:111213212223313233a a a a a a a a a =222321232122111213323331333132aa a a a a a a a a a a a a a -+定义2:用2n 个数组成的记号D =1111n n nn a a a a ⎛⎫⎪⎪ ⎪⎝⎭表示数值: 2223232333111123(1)n n n n nn a a a a a a a a a a +-+2123231333121213(1)n n n n nna a a a a a a a a a +-++21222,131323,11112,1(1)n n n nn n n n a a a a a a a a a a --+--称为n 阶行列式。
2.叙述n 阶行列式的余子式和代数余子式的定义,并写出二者之间的关系。
答:定义:在n 阶行列式D 中划去ij a 所在的第i 行和第j 列的元素后,剩下的元素按原来相对位置所组成的(n -1)阶行列式,称为ij a 的余子式,记为ij M ,即ij M =111,11,111,11,11,11,1,11,11,11,1,1,1j j n i i j i j i n i i j i j i n n n j n j nna a a a a a a a a a a a a a a a -+----+-++-+++-+(1)i j ij M +-⨯称为ij a 的代数余子式,记为ij A ,即ij A =(1)i j ij M +-⨯3.叙述矩阵的秩的定义。
工程数学作业(第二次)(满分100分)第3章 线性方程组(一)单项选择题(每小题2分,共16分)⒈用消元法得x x x x x x 12323324102+-=+=-=⎧⎨⎪⎩⎪的解x x x 123⎡⎣⎢⎢⎢⎤⎦⎥⎥⎥为(C ).A. [,,]102-'B. [,,]--'722C. [,,]--'1122D. [,,]---'1122⒉线性方程组x x x x x x x 12313232326334++=-=-+=⎧⎨⎪⎩⎪(B ).A. 有无穷多解B. 有唯一解C. 无解D. 只有零解⒊向量组100010001121304⎡⎣⎢⎢⎢⎤⎦⎥⎥⎥⎡⎣⎢⎢⎢⎤⎦⎥⎥⎥⎡⎣⎢⎢⎢⎤⎦⎥⎥⎥⎡⎣⎢⎢⎢⎤⎦⎥⎥⎥⎡⎣⎢⎢⎢⎤⎦⎥⎥⎥,,,,的秩为( A ).A. 3B. 2C. 4D. 5⒋设向量组为αααα12341100001110101111=⎡⎣⎢⎢⎢⎢⎤⎦⎥⎥⎥⎥=⎡⎣⎢⎢⎢⎢⎤⎦⎥⎥⎥⎥=⎡⎣⎢⎢⎢⎢⎤⎦⎥⎥⎥⎥=⎡⎣⎢⎢⎢⎢⎤⎦⎥⎥⎥⎥,,,,则(B )是极大无关组.A. αα12,B. ααα123,,C. ααα124,,D. α1⒌A 与A 分别代表一个线性方程组的系数矩阵和增广矩阵,若这个方程组无解,则(D ). A. 秩()A =秩()A B. 秩()A <秩()A C. 秩()A >秩()A D. 秩()A =秩()A -1⒍若某个线性方程组相应的齐次线性方程组只有零解,则该线性方程组(A ). A. 可能无解 B. 有唯一解 C. 有无穷多解 D. 无解 ⒎以下结论正确的是(D ).A. 方程个数小于未知量个数的线性方程组一定有解B. 方程个数等于未知量个数的线性方程组一定有唯一解C. 方程个数大于未知量个数的线性方程组一定有无穷多解D. 齐次线性方程组一定有解⒏若向量组ααα12,,, s 线性相关,则向量组内(A )可被该向量组内其余向量线性表出.A. 至少有一个向量B. 没有一个向量C. 至多有一个向量D. 任何一个向量9.设A ,B为n 阶矩阵,λ既是A又是B的特征值,x 既是A又是B的属于λ的特征向量,则结论( )成立.A.λ是AB 的特征值 B.λ是A+B 的特征值C.λ是A -B 的特征值 D.x 是A+B 的属于λ的特征向量10.设A,B,P为n 阶矩阵,若等式(C )成立,则称A和B相似. A.BA AB = B.AB AB =')( C.B PAP =-1 D.B P PA =' (二)填空题(每小题2分,共16分) ⒈当λ= 1 时,齐次线性方程组x x x x 12120+=+=⎧⎨⎩λ有非零解.⒉向量组[][]αα12000111==,,,,,线性 相关 .⒊向量组[][][][]123120100000,,,,,,,,,,,的秩是 3 .⒋设齐次线性方程组ααα1122330x x x ++=的系数行列式ααα1230=,则这个方程组有 无穷多 解,且系数列向量ααα123,,是线性 相关 的. ⒌向量组[][][]ααα123100100===,,,,,的极大线性无关组是21,αα. ⒍向量组ααα12,,, s 的秩与矩阵[]ααα12,,, s 的秩 相同 .⒎设线性方程组AX =0中有5个未知量,且秩()A =3,则其基础解系中线性无关的解向量有 2 个.⒏设线性方程组AX b =有解,X 0是它的一个特解,且AX =0的基础解系为X X 12,,则AX b =的通解为22110X k X k X ++.9.若λ是A的特征值,则λ是方程0=-A I λ 的根. 10.若矩阵A满足A A '=-1 ,则称A为正交矩阵. (三)解答题(第1小题9分,其余每小题11分) 1.用消元法解线性方程组x x x x x x x x x x x x x x x x 123412341234123432638502412432---=-++=-+-+=--+--=⎧⎨⎪⎪⎩⎪⎪ 解:⎥⎥⎥⎥⎦⎤⎢⎢⎢⎢⎣⎡-----−−→−⎥⎥⎥⎥⎦⎤⎢⎢⎢⎢⎣⎡---------−−−→−⎥⎥⎥⎥⎦⎤⎢⎢⎢⎢⎣⎡----------=+-+++++-2612100090392700188710482319018431001850188710612312314112141205183612314132124131215323r r r r r r r r r r r r A ⎥⎥⎥⎥⎦⎤⎢⎢⎢⎢⎣⎡----−−−→−⎥⎥⎥⎥⎦⎤⎢⎢⎢⎢⎣⎡----−−→−⎥⎥⎥⎥⎦⎤⎢⎢⎢⎢⎣⎡----−−→−+-+-+---+3311000411004615010124420011365004110018871048231901136500123300188710482319014323133434571931213r r r r r r r r r r ⎥⎥⎥⎥⎦⎤⎢⎢⎢⎢⎣⎡--−−−→−⎥⎥⎥⎥⎦⎤⎢⎢⎢⎢⎣⎡----−−→−++-+-31000101001001020001310004110046150101244200134241441542111r r r r r r r ∴方程组解为⎪⎪⎩⎪⎪⎨⎧-==-==31124321x x x x2.设有线性方程组λλλλλ11111112⎡⎣⎢⎢⎢⎤⎦⎥⎥⎥⎡⎣⎢⎢⎢⎤⎦⎥⎥⎥=⎡⎣⎢⎢⎢⎤⎦⎥⎥⎥x y z λ 为何值时,方程组有唯一解?或有无穷多解?解:⎥⎥⎥⎦⎤⎢⎢⎢⎣⎡-+-+---−−→−⎥⎥⎥⎦⎤⎢⎢⎢⎣⎡------−−−→−⎥⎥⎥⎦⎤⎢⎢⎢⎣⎡−−→−⎥⎥⎥⎦⎤⎢⎢⎢⎣⎡=++-+-↔22322222)1)(1()1)(2(00)1(110111110110111111111111111132312131λλλλλλλλλλλλλλλλλλλλλλλλλλλλλλr r r r r r r r A ]∴ 当1≠λ且2-≠λ时,3)()(==A R A R ,方程组有唯一解当1=λ时,1)()(==A R A R ,方程组有无穷多解3.判断向量β能否由向量组ααα123,,线性表出,若能,写出一种表出方式.其中βααα=---⎡⎣⎢⎢⎢⎢⎤⎦⎥⎥⎥⎥=-⎡⎣⎢⎢⎢⎢⎤⎦⎥⎥⎥⎥=--⎡⎣⎢⎢⎢⎢⎤⎦⎥⎥⎥⎥=--⎡⎣⎢⎢⎢⎢⎤⎦⎥⎥⎥⎥83710271335025631123,,, 解:向量β能否由向量组321,,ααα线性表出,当且仅当方程组βααα=++332211x x x 有解这里 []⎥⎥⎥⎥⎦⎤⎢⎢⎢⎢⎣⎡--−→−⋯⋯⋯⋯−→−⎥⎥⎥⎥⎦⎤⎢⎢⎢⎢⎣⎡--------==571000117100041310730110123730136578532,,,321βαααA )()(A R A R ≠∴ 方程组无解∴ β不能由向量321,,ααα线性表出4.计算下列向量组的秩,并且(1)判断该向量组是否线性相关αααα1234112343789131303319636=-⎡⎣⎢⎢⎢⎢⎢⎢⎤⎦⎥⎥⎥⎥⎥⎥=-⎡⎣⎢⎢⎢⎢⎢⎢⎤⎦⎥⎥⎥⎥⎥⎥=----⎡⎣⎢⎢⎢⎢⎢⎢⎤⎦⎥⎥⎥⎥⎥⎥=⎡⎣⎢⎢⎢⎢⎢⎢⎤⎦⎥⎥⎥⎥⎥⎥,,,解:[]⎥⎥⎥⎥⎥⎥⎦⎤⎢⎢⎢⎢⎢⎢⎣⎡-−→−⋯⋯⋯⋯−→−⎥⎥⎥⎥⎥⎥⎦⎤⎢⎢⎢⎢⎢⎢⎣⎡------=0000001800021101131631343393608293711131,,,4321αααα ∴该向量组线性相关5.求齐次线性方程组x x x x x x x x x x x x x x x 1234123412341243205230112503540-+-=-+-+=--+-=++=⎧⎨⎪⎪⎩⎪⎪ 的一个基础解系. 解:⎥⎥⎥⎥⎥⎦⎤⎢⎢⎢⎢⎢⎣⎡---−−−→−⎥⎥⎥⎥⎦⎤⎢⎢⎢⎢⎣⎡-------−−−→−⎥⎥⎥⎥⎦⎤⎢⎢⎢⎢⎣⎡-------=+-+-+-+-++30000000731402114501103140731407314021314053521113215213142321241312114335r r r r r r r r r r r r A ⎥⎥⎥⎥⎥⎥⎦⎤⎢⎢⎢⎢⎢⎢⎣⎡-−−−→−⎥⎥⎥⎥⎥⎥⎦⎤⎢⎢⎢⎢⎢⎢⎣⎡--−→−⎥⎥⎥⎥⎥⎥⎦⎤⎢⎢⎢⎢⎢⎢⎣⎡--−−→−+-+↔-0001000143100145010001002114310211450100030002114310211450123133432212131141r r r r r r r r ∴ 方程组的一般解为⎪⎪⎪⎩⎪⎪⎪⎨⎧==-=014314543231x x x x x 令13=x ,得基础解系 ⎥⎥⎥⎥⎥⎥⎦⎤⎢⎢⎢⎢⎢⎢⎣⎡-=10143145ξ 6.求下列线性方程组的全部解.x x x x x x x x x x x x x x x 12341234124123452311342594175361-+-=-+-+=----=++-=-⎧⎨⎪⎪⎩⎪⎪解:⎥⎥⎥⎥⎥⎦⎤⎢⎢⎢⎢⎢⎣⎡---−−−→−⎥⎥⎥⎥⎦⎤⎢⎢⎢⎢⎣⎡--------−−−→−⎥⎥⎥⎥⎦⎤⎢⎢⎢⎢⎣⎡----------=++-+-+-++00000000002872140121790156144280287214028721401132511163517409152413113251423212413121214553r r r r r r r r r r r r A ⎥⎥⎥⎥⎥⎥⎦⎤⎢⎢⎢⎢⎢⎢⎣⎡---−−→−-0000000000221711012179012141r ∴方程组一般解为⎪⎪⎩⎪⎪⎨⎧---=++-=2217112197432431x x x x x x令13k x =,24k x =,这里1k ,2k 为任意常数,得方程组通解⎥⎥⎥⎥⎦⎤⎢⎢⎢⎢⎣⎡-+⎥⎥⎥⎥⎥⎥⎦⎤⎢⎢⎢⎢⎢⎢⎣⎡-+⎥⎥⎥⎥⎥⎥⎦⎤⎢⎢⎢⎢⎢⎢⎣⎡-=⎥⎥⎥⎥⎥⎥⎦⎤⎢⎢⎢⎢⎢⎢⎣⎡--++-=⎥⎥⎥⎥⎦⎤⎢⎢⎢⎢⎣⎡00211021210171972217112197212121214321k k k k k k k k x x x x7.试证:任一4维向量[]'=4321,,,a a a a β都可由向量组⎥⎥⎥⎥⎦⎤⎢⎢⎢⎢⎣⎡=00011α,⎥⎥⎥⎥⎦⎤⎢⎢⎢⎢⎣⎡=00112α,⎥⎥⎥⎥⎦⎤⎢⎢⎢⎢⎣⎡=01113α,⎥⎥⎥⎥⎦⎤⎢⎢⎢⎢⎣⎡=11114α线性表示,且表示方式唯一,写出这种表示方式.证明:⎥⎥⎥⎥⎦⎤⎢⎢⎢⎢⎣⎡=00011α ⎥⎥⎥⎥⎦⎤⎢⎢⎢⎢⎣⎡=-001012αα ⎥⎥⎥⎥⎦⎤⎢⎢⎢⎢⎣⎡=-010023αα ⎥⎥⎥⎥⎦⎤⎢⎢⎢⎢⎣⎡=-100034αα 任一4维向量可唯一表示为)()()(10000100001000013442331221143214321αααααααβ-+-+-+=⎥⎥⎥⎥⎦⎤⎢⎢⎢⎢⎣⎡+⎥⎥⎥⎥⎦⎤⎢⎢⎢⎢⎣⎡+⎥⎥⎥⎥⎦⎤⎢⎢⎢⎢⎣⎡+⎥⎥⎥⎥⎦⎤⎢⎢⎢⎢⎣⎡=⎥⎥⎥⎥⎦⎤⎢⎢⎢⎢⎣⎡=a a a a a a a a a a a a 44343232121)()()(ααααa a a a a a a +-+-+-=⒏试证:线性方程组有解时,它有唯一解的充分必要条件是:相应的齐次线性方程组只有零解.证明:设B AX =为含n 个未知量的线性方程组 该方程组有解,即n A R R ==)()(从而B AX =有唯一解当且仅当n A R =)(而相应齐次线性方程组0=AX 只有零解的充分必要条件是n A R =)(∴ B AX =有唯一解的充分必要条件是:相应的齐次线性方程组0=AX 只有零解9.设λ是可逆矩阵A的特征值,且0≠λ,试证:λ1是矩阵1-A 的特征值.证明: λ是可逆矩阵A的特征值∴ 存在向量ξ,使λξξ=A∴ξξλλξξξξ=====----1111)()()(A A A A A A I∴ξλξ11=-A即λ1是矩阵1-A 的特征值 10.用配方法将二次型43324221242322212222x x x x x x x x x x x x f +--++++=化为标准型.解:42244232322143324224232212)(2)(222)(x x x x x x x x x x x x x x x x x x x f -++-+++=+--+++= 222423221)()(x x x x x x -+-++= ∴ 令211x x y +=,4232x x x y +-=,23x y =,44y x =即⎪⎪⎩⎪⎪⎨⎧=-+==-=44432332311y x y y y x y x y y x则将二次型化为标准型 232221y y y f -+=。
工程数学(本)形成性考核作业5一、解答题(每题10分,共80分)1.设()3,4X N ,试求:(1)()59P X <<;(2)()7P X >.(已知()10.8413Φ=, ()20.9772Φ=,()30.9987Φ=)2. 设2~(1,2)X N ,试求:(1)(3)P X <;(2)求常数a ,使得(1)0.9974P X a -<=(已知(1)0.8413,(2)0.9772,(3)0.9987Φ=Φ=Φ=).3. 设2~(20,2)X N ,试求:(1)(2226)P X <<;(2)(24)P X >.(已知(1)0.8413,(2)0.9772,(3)0.9987Φ=Φ=Φ=)4. 设2~(3,2)X N ,试求:(1)(5)P X <;(2)(9)P X >.(已知(1)0.8413,(2)0.9772,(3)0.9987Φ=Φ=Φ=).5. 设某一批零件重量X 服从正态分布2(,0.6)N μ,随机抽取9个测得平均重量为5(单位:千克),试求此零件重量总体均值的置信度为0.95的置信区间(已知0.975 1.96u =).6. 为了对完成某项工作所需时间建立一个标准,工厂随机抽查了16名工人分别去完成这项工作,结果发现他们所需的平均时间为15分钟,样本标准差为3分钟. 假设完成这项工作所需的时间服从正态分布,在标准差不变的情况下,试确定完成此项工作所需平均时间的置信度为0.95的置信区间(已知0.975 1.96u =).7. 某校全年级的英语成绩服从正态分布2(85,10)N ,现随机抽取某班16名学生的英语考试成绩,得平均分为80x =. 假设标准差没有改变,在显著水平0.05α=下,问能否认为该班的英语平均成绩为85分(已知0.975 1.96u =).8. 据资料分析,某厂生产的砖的抗断强度X 服从正态分布(32.5,1.21)N . 今从该厂最近生产的一批砖中随机地抽取了9块,测得抗断强度(单位:kg /cm 2)的平均值为31.18. 假设标准差没有改变,在0.05的显著性水平下,问这批砖的抗断强度是否合格.(0.975 1.96u =)二、证明题(每题10分,共20分)1.设随机事件A与B相互独立,试证A与B也相互独立.2.设A B,为两个事件,且B A⊂,试证()()+=.P A B P A。
工程数学(本)一、单选题1.下列各函数对中,()中的两个函数相等.正确答案: B2.函数y=2sinx的值域是().A.(-2, 2)B.[-2, 2]C.(0, 2)D.[0, 2]正确答案: B3.函数y=x2+2x-7在区间(-4,4)内满足().A.先单调下降再单调上升B.单调下降C.先单调上升再单调下降D.单调上升正确答案: A4.下列函数中为幂函数的是().正确答案: B5.下列函数在区间上单调递增的是().A.x3B.1/xC.-e xD.-sinx正确答案: A6.A.坐标原点B.x轴C.y轴D.y=x7.下列函数中为奇函数是().正确答案: B8.下列极限计算不正确的是().正确答案: D9.在下列指定的变化过程中,()是无穷小量.正确答案: A10.正确答案: A11.12.正确答案: B 13.正确答案: A 14.正确答案: B 15.正确答案: B 16.正确答案: D17.下列结论中()不正确.正确答案: D18.正确答案: D19.A.单调减少且是凸的B.单调减少且是凹的C.单调增加且是凸的D.单调增加且是凹的正确答案: B20.正确答案: B21.正确答案: B22.下列等式成立的是().正确答案: A23.正确答案: D24.正确答案: A25.正确答案: B26.正确答案: D27.正确答案: B28.在斜率为的2x积分曲线族中,通过点(1,4)的曲线方程为().正确答案: A29.正确答案: D30.正确答案: D二、判断题1.A.对B.错正确答案: B2.A.对B.错正确答案: A3.A.对B.错正确答案: A4.A.对B.错正确答案: B5.A.对B.错正确答案: B6.A.对B.错正确答案: B7.A.对B.错正确答案: B8.A.对B.错正确答案: A9.A.对B.错正确答案: B10.A.对B.错正确答案: A11.A.对B.错正确答案: B12.A.对B.错正确答案: A13.A.对B.错正确答案: A 14.A.对B.错正确答案: B15.A.对B.错正确答案: A16.A.对B.错正确答案: B17.A.对B.错正确答案: B18.A.对B.错正确答案: A19.A.对B.错正确答案: B20.A.对B.错正确答案: B21A.对B.错正确答案: B22.A.对B.错正确答案: A23.A.对B.错正确答案: B24.A.对B.错正确答案: A25.A.对B.错正确答案: B26.A.对B.错正确答案: A27.A.对B.错正确答案: A28.A.对B.错正确答案: B29.A.对B.错正确答案: B30.A.对B.错正确答案: B 三、填空题1.设行列式,则= ______ .正确答案:-62.是关于x的一个一次多项式,则该多项式一次项的系数是.正确答案:23.乘积矩阵中元素 C21= ______.正确答案:-164.设A,B均为3阶矩阵,且,则=.正确答案:-725.矩阵的秩为.正确答案:16.若线性方程组有非零解,则.正确答案:-17.一个向量组中如有零向量,则此向量组一定线性.正确答案:相关8.向量组的秩与矩阵的秩.正确答案:相等9.设线性方程组AX=0中有5个未知量,且秩(A)=3,则其基础解系中线性无关的解向量有个.正确答案:210.设A为n阶方阵,若存在数和非零n维向量X,使得,则称数为A的______ .正确答案:特征值11.如果两事件A,B中任一事件的发生不影响另一事件的概率,则称事件A与事件B是.正确答案:独立的12.已知,则当A,B事件互不相容时,=.正确答案:0.313.若,则=.正确答案: 0.997314.称为二维随机变量(X,Y)的.正确答案:协方差15.若都是的无偏估计,而且,则称更 .正确答案:有效四、解答题1. 设矩阵1213A ⎡⎤=⎢⎥⎣⎦,123110B -⎡⎤⎢⎥=⎢⎥⎢⎥⎣⎦,已知XA B =,求X . 答案:2. 设矩阵012213114,356211A B ⎡⎤⎡⎤⎢⎥==⎢⎥⎢⎥-⎣⎦⎢⎥-⎣⎦,解矩阵方程AX B '=答案:3. 解矩阵方程AX X B -=,其中4559A ⎡⎤=⎢⎥⎣⎦,1234B ⎡⎤=⎢⎥⎣⎦.答案:4.求齐次线性方程组1234123413430240450x x x xx x x xx x x-+-=⎧⎪--+=⎨⎪-+=⎩的通解.答案:5.求齐次线性方程组x x x x x x x x x x x x x x x 1234123412341243205230112503540-+-=-+-+=--+-=++=⎧⎨⎪⎪⎩⎪⎪ 的通解.答案:6. 当λ取何值时,齐次线性方程组123123123204503720x x x x x x x x x λ++=⎧⎪++=⎨⎪++=⎩有非零解?在有非零解的情况下求方程组的通解. 答案:7. 当λ取何值时,非齐次线性方程组123123123 124225x x x x x x x x x λ++=⎧⎪-+-=⎨⎪+-=⎩答案:有解?在有解的情况下求方程组的通解.8. 求线性方程组12312312312324523438213496x x x x x x x x x x x x -+=-⎧⎪++=⎪⎨+-=⎪⎪-+=-⎩的通解.答案:9. 设()3,4XN ,试求:(1)()59P X <<;(2)()7P X >.(已知()10.8413Φ=, ()20.9772Φ=,()30.9987Φ=)10. 设2~(1,2)X N ,试求:(1)(3)P X <;(2)求常数a ,使得(1)0.9974P X a -<=(已知(1)0.8413,(2)0.9772,(3)0.9987Φ=Φ=Φ=).11. 设2~(20,2)X N ,试求:(1)(2226)P X <<;(2)(24)P X >.(已知(1)0.8413,(2)0.9772,(3)0.9987Φ=Φ=Φ=)12. 设2~(3,2)X N ,试求:(1)(5)P X <;(2)(9)P X >.(已知(1)0.8413,(2)0.9772,(3)0.9987Φ=Φ=Φ=).13. 设某一批零件重量X 服从正态分布2(,0.6)N μ,随机抽取9个测得平均重量为5(单位:千克),试求此零件重量总体均值的置信度为0.95的置信区间(已知0.9751.96u=).14.为了对完成某项工作所需时间建立一个标准,工厂随机抽查了16名工人分别去完成这项工作,结果发现他们所需的平均时间为15分钟,样本标准差为3分钟. 假设完成这项工作所需的时间服从正态分布,在标准差不变的情况下,试确定完成此项工作所需平均时间的置信度为0.95的置信区间(已知0.9751.96u=). 答案:15. 某校全年级的英语成绩服从正态分布2(85,10)N ,现随机抽取某班16名学生的英语考试成绩,得平均分为80x =. 假设标准差没有改变,在显著水平0.05α=下,问能否认为该班的英语平均成绩为85分(已知0.975 1.96u =). 答案:16. 据资料分析,某厂生产的砖的抗断强度X 服从正态分布(32.5,1.21)N . 今从该厂最近生产的一批砖中随机地抽取了9块,测得抗断强度(单位:kg /cm 2)的平均值为31.18. 假设标准差没有改变,在0.05的显著性水平下,问这批砖的抗断强度是否合格.(0.975 1.96u =) 答案:五、证明题+'是对称矩阵.1.对任意方阵A,试证A A答案:+-=,试证矩阵A可逆.2.设n阶方阵A满足2A A I O答案:3.设随机事件A与B相互独立,试证A与B也相互独立.答案:4.设A B,为两个事件,且B A⊂,试证()()P A B P A+=.答案:。
成绩:工程数学形成性考核册专业:学号:姓名:河北广播电视大学开放教育学院(请按照顺序打印,并左侧装订)工程数学作业(一)第2章 矩阵(一)单项选择题(每小题2分,共20分)⒈设a a a b b b c c c 1231231232=,则a a a a b a b a b c c c 123112233123232323---=( ).A. 4B. -4C. 6D. -6⒉若000100002001001a a =,则a =( ). A. 12 B. -1 C. -12D. 1⒊乘积矩阵1124103521-⎡⎣⎢⎤⎦⎥-⎡⎣⎢⎤⎦⎥中元素c 23=( ).A. 1B. 7C. 10D. 8⒋设A B ,均为n 阶可逆矩阵,则下列运算关系正确的是( ). A. A BAB +=+---111 B. ()AB BA --=11C. ()A B A B +=+---111D. ()AB A B ---=111⒌设A B ,均为n 阶方阵,k >0且k ≠1,则下列等式正确的是( ). A. A B A B +=+ B. AB n A B = C. kA k A = D. -=-kA k A n () ⒍下列结论正确的是( ).A. 若A 是正交矩阵,则A -1也是正交矩阵B. 若A B ,均为n 阶对称矩阵,则AB 也是对称矩阵C. 若A B ,均为n 阶非零矩阵,则AB 也是非零矩阵D. 若A B ,均为n 阶非零矩阵,则AB ≠0⒎矩阵1325⎡⎣⎢⎤⎦⎥的伴随矩阵为( ). A. 1325--⎡⎣⎢⎤⎦⎥ B. --⎡⎣⎢⎤⎦⎥1325C. 5321--⎡⎣⎢⎤⎦⎥ D.--⎡⎣⎢⎤⎦⎥5321⒏方阵A 可逆的充分必要条件是( ).A.A ≠0B.A ≠0C. A *≠0D. A *>0 ⒐设A B C ,,均为n 阶可逆矩阵,则()ACB '=-1( ). A. ()'---B A C 111 B. '--B C A 11C. A C B ---'111()D. ()B C A ---'111⒑设A B C ,,均为n 阶可逆矩阵,则下列等式成立的是( ). A. ()A B A AB B +=++2222 B. ()A B B BA B +=+2 C. ()221111ABC C B A ----= D. ()22ABC C B A '='''(二)填空题(每小题2分,共20分)⒉ 210140001---= . ⒉---11111111x 是关于x 的一个一次多项式,则该多项式一次项的系数是 . ⒊ A 为34⨯矩阵,B 为25⨯矩阵,切乘积AC B ''有意义,则C 为 矩阵.⒋ 阶矩阵A =⎡⎣⎢⎤⎦⎥=11015.⒌ A B =-⎡⎣⎢⎢⎢⎤⎦⎥⎥⎥=--⎡⎣⎢⎤⎦⎥124034120314,,则()A B +''= ⒍ A B ,均为3阶矩阵,且A B ==-3,则-=2AB .⒎ A B ,均为3阶矩阵,且A B =-=-13,,则-'=-312()A B .⒏ A a =⎡⎣⎢⎤⎦⎥101为正交矩阵,则a = . ⒐ 阵212402033--⎡⎣⎢⎢⎢⎤⎦⎥⎥⎥的秩为 . ⒑设A A 12,是两个可逆矩阵,则A O OA 121⎡⎣⎢⎤⎦⎥=- .(三)解答题(每小题8分,共48分) ⒈设A B C =-⎡⎣⎢⎤⎦⎥=-⎡⎣⎢⎤⎦⎥=-⎡⎣⎢⎤⎦⎥123511435431,,,求⑴A B +;⑵A C +;⑶23A C +;⑷A B +5;⑸AB ;⑹()AB C '.⒉设A B C =--⎡⎣⎢⎤⎦⎥=-⎡⎣⎢⎤⎦⎥=--⎡⎣⎢⎢⎢⎤⎦⎥⎥⎥121012103211114321002,,,求AC BC +.⒊已知A B =-⎡⎣⎢⎢⎢⎤⎦⎥⎥⎥=-⎡⎣⎢⎢⎢⎤⎦⎥⎥⎥310121342102111211,,求满足方程32A X B -=中的X .⒋写出4阶行列式1020*********110-- 中元素a a 4142,的代数余子式,并求其值.⒌用初等行变换求下列矩阵的逆矩阵:⑴ 122212221--⎡⎣⎢⎢⎢⎤⎦⎥⎥⎥; ⑵ 1234231*********---⎡⎣⎢⎢⎢⎢⎤⎦⎥⎥⎥⎥; ⑶1000110011101111⎡⎣⎢⎢⎢⎢⎤⎦⎥⎥⎥⎥. ⒍求矩阵101101111011001012101211321⎡⎣⎢⎢⎢⎢⎤⎦⎥⎥⎥⎥的秩.(四)证明题(每小题4分,共12分) ⒎对任意方阵A ,试证A A +'是对称矩阵.⒏若A 是n 阶方阵,且AA I '=,试证A =1或-1.⒐若A 是正交矩阵,试证'A 也是正交矩阵.工程数学作业二第3章 线性方程组(一)单项选择题(每小题2分,共16分)⒈用消元法得x x x x x x 12323324102+-=+=-=⎧⎨⎪⎩⎪的解x x x 123⎡⎣⎢⎢⎢⎤⎦⎥⎥⎥为( ).A. [,,]102-'B. [,,]--'722C. [,,]--'1122D. [,,]---'1122⒉线性方程组x x x x x x x 12313232326334++=-=-+=⎧⎨⎪⎩⎪( ).A. 有无穷多解B. 有唯一解C. 无解D. 只有零解⒊向量组100010001121304⎡⎣⎢⎢⎢⎤⎦⎥⎥⎥⎡⎣⎢⎢⎢⎤⎦⎥⎥⎥⎡⎣⎢⎢⎢⎤⎦⎥⎥⎥⎡⎣⎢⎢⎢⎤⎦⎥⎥⎥⎡⎣⎢⎢⎢⎤⎦⎥⎥⎥,,,,的秩为( ).A. 3B. 2C. 4D. 5⒋设向量组为αααα12341100001110101111=⎡⎣⎢⎢⎢⎢⎤⎦⎥⎥⎥⎥=⎡⎣⎢⎢⎢⎢⎤⎦⎥⎥⎥⎥=⎡⎣⎢⎢⎢⎢⎤⎦⎥⎥⎥⎥=⎡⎣⎢⎢⎢⎢⎤⎦⎥⎥⎥⎥,,,,则( )是极大无关组.A. αα12,B. ααα123,,C. ααα124,,D. α1⒌A 与A 分别代表一个线性方程组的系数矩阵和增广矩阵,若这个方程组无解,则( ). A. 秩()A =秩()A B. 秩()A <秩()A C. 秩()A >秩()A D. 秩()A =秩()A -1⒍若某个线性方程组相应的齐次线性方程组只有零解,则该线性方程组( ). A. 可能无解 B. 有唯一解 C. 有无穷多解 D. 无解 ⒎以下结论正确的是( ).A. 方程个数小于未知量个数的线性方程组一定有解B. 方程个数等于未知量个数的线性方程组一定有唯一解C. 方程个数大于未知量个数的线性方程组一定有无穷多解D. 齐次线性方程组一定有解⒏若向量组ααα12,,, s 线性相关,则向量组内( )可被该向量组内其余向量线性表出. A. 至少有一个向量 B. 没有一个向量C. 至多有一个向量D. 任何一个向量9.设A ,B为n 阶矩阵,λ既是A又是B的特征值,x 既是A又是B的属于λ的特征向量,则结论( )成立.A.λ是AB 的特征值 B.λ是A+B 的特征值C.λ是A -B 的特征值 D.x 是A+B 的属于λ的特征向量10.设A,B,P为n 阶矩阵,若等式(C )成立,则称A和B相似. A.BA AB = B.AB AB =')( C.B PAP =-1 D.B P PA =' (二)填空题(每小题2分,共16分) ⒈当λ= 时,齐次线性方程组x x x x 12120+=+=⎧⎨⎩λ有非零解.⒉向量组[][]αα12000111==,,,,,线性 . ⒊向量组[][][][]123120100000,,,,,,,,,,,的秩是 .⒋设齐次线性方程组ααα1122330x x x ++=的系数行列式ααα1230=,则这个方程组有解,且系数列向量ααα123,,是线性 的.⒌向量组[][][]ααα123100100===,,,,,的极大线性无关组是 . ⒍向量组ααα12,,, s 的秩与矩阵[]ααα12,,, s 的秩 .⒎设线性方程组AX =0中有5个未知量,且秩()A =3,则其基础解系中线性无关的解向量有 个. ⒏设线性方程组AX b =有解,X 0是它的一个特解,且AX =0的基础解系为X X 12,,则AX b =的通解为 .9.若λ是A的特征值,则λ是方程 的根. 10.若矩阵A满足 ,则称A为正交矩阵. (三)解答题(第1小题9分,其余每小题11分) 1.用消元法解线性方程组x x x x x x x x x x x x x x x x 123412341234123432638502412432---=-++=-+-+=--+--=⎧⎨⎪⎪⎩⎪⎪2.设有线性方程组λλλλλ11111112⎡⎣⎢⎢⎢⎤⎦⎥⎥⎥⎡⎣⎢⎢⎢⎤⎦⎥⎥⎥=⎡⎣⎢⎢⎢⎤⎦⎥⎥⎥x y z λ 为何值时,方程组有唯一解?或有无穷多解?3.判断向量β能否由向量组ααα123,,线性表出,若能,写出一种表出方式.其中βααα=---⎡⎣⎢⎢⎢⎢⎤⎦⎥⎥⎥⎥=-⎡⎣⎢⎢⎢⎢⎤⎦⎥⎥⎥⎥=--⎡⎣⎢⎢⎢⎢⎤⎦⎥⎥⎥⎥=--⎡⎣⎢⎢⎢⎢⎤⎦⎥⎥⎥⎥83710271335025631123,,,4.计算下列向量组的秩,并且(1)判断该向量组是否线性相关αααα1234112343789131303319636=-⎡⎣⎢⎢⎢⎢⎢⎢⎤⎦⎥⎥⎥⎥⎥⎥=-⎡⎣⎢⎢⎢⎢⎢⎢⎤⎦⎥⎥⎥⎥⎥⎥=----⎡⎣⎢⎢⎢⎢⎢⎢⎤⎦⎥⎥⎥⎥⎥⎥=⎡⎣⎢⎢⎢⎢⎢⎢⎤⎦⎥⎥⎥⎥⎥⎥,,,5.求齐次线性方程组x x x x x x x x x x x x x x x 1234123412341243205230112503540-+-=-+-+=--+-=++=⎧⎨⎪⎪⎩⎪⎪ 的一个基础解系.6.求下列线性方程组的全部解.x x x x x x x x x x x x x x x 12341234124123452311342594175361-+-=-+-+=----=++-=-⎧⎨⎪⎪⎩⎪⎪7.试证:任一4维向量[]'=4321,,,a a a a β都可由向量组⎥⎥⎥⎥⎦⎤⎢⎢⎢⎢⎣⎡=00011α,⎥⎥⎥⎥⎦⎤⎢⎢⎢⎢⎣⎡=00112α,⎥⎥⎥⎥⎦⎤⎢⎢⎢⎢⎣⎡=01113α,⎥⎥⎥⎥⎦⎤⎢⎢⎢⎢⎣⎡=11114α线性表示,且表示方式唯一,写出这种表示方式.⒏试证:线性方程组有解时,它有唯一解的充分必要条件是:相应的齐次线性方程组只有零解.9.设λ是可逆矩阵A的特征值,且0≠λ,试证:λ1是矩阵1-A 的特征值.10.用配方法将二次型43324221242322212222x x x x x x x x x x x x f +--++++=化为标准型.工程数学作业三第4章 随机事件与概率(一)单项选择题⒈A B ,为两个事件,则( )成立.A. ()A B B A +-=B. ()A B B A +-⊂C. ()A B B A -+=D. ()A B B A -+⊂ ⒉如果( )成立,则事件A 与B 互为对立事件. A. AB =∅ B. AB U =C. AB =∅且AB U =D. A 与B 互为对立事件⒊10张奖券中含有3张中奖的奖券,每人购买1张,则前3个购买者中恰有1人中奖的概率为( ).A. C 10320703⨯⨯..B. 03.C. 07032..⨯ D. 307032⨯⨯.. 4. 对于事件A B ,,命题( )是正确的.A. 如果A B ,互不相容,则A B ,互不相容B. 如果A B ⊂,则A B ⊂C. 如果A B ,对立,则A B ,对立D. 如果A B ,相容,则A B ,相容⒌某随机试验的成功率为)10(<<p p ,则在3次重复试验中至少失败1次的概率为( ). A.3)1(p - B. 31p - C. )1(3p - D. )1()1()1(223p p p p p -+-+-6.设随机变量X B n p ~(,),且E X D X ().,().==48096,则参数n 与p 分别是( ). A. 6, 0.8 B. 8, 0.6 C. 12, 0.4 D. 14, 0.27.设f x ()为连续型随机变量X 的密度函数,则对任意的a b a b ,()<,E X ()=( ). A. xf x x ()d -∞+∞⎰ B.xf x x ab()d ⎰C.f x x ab()d ⎰D.f x x ()d -∞+∞⎰8.在下列函数中可以作为分布密度函数的是( ).A. f x x x ()sin ,,=-<<⎧⎨⎪⎩⎪ππ2320其它B. f x x x ()sin ,,=<<⎧⎨⎪⎩⎪020π其它C. f x x x ()sin ,,=<<⎧⎨⎪⎩⎪0320π其它 D. f x x x ()sin ,,=<<⎧⎨⎩00π其它 9.设连续型随机变量X 的密度函数为f x (),分布函数为F x (),则对任意的区间(,)a b ,则=<<)(b X a P ( ).A. F a F b ()()-B. F x x a b()d ⎰ C. f a f b ()()- D.f x x ab()d ⎰10.设X 为随机变量,E X D X (),()==μσ2,当( )时,有E Y D Y (),()==01. A. Y X =+σμ B. Y X =-σμC. Y X =-μσD. Y X =-μσ2(二)填空题⒈从数字1,2,3,4,5中任取3个,组成没有重复数字的三位数,则这个三位数是偶数的概率为 .2.已知P A P B ().,().==0305,则当事件A B ,互不相容时,P A B ()+= ,P AB ()= . 3.A B ,为两个事件,且B A ⊂,则P A B ()+= .4. 已知P AB P AB P A p ()(),()==,则P B ()= .5. 若事件A B ,相互独立,且P A p P B q (),()==,则P A B ()+= .6. 已知P A P B ().,().==0305,则当事件A B ,相互独立时,P A B ()+= ,P A B ()= . 7.设随机变量X U ~(,)01,则X 的分布函数F x ()= .8.若X B ~(,.)2003,则E X ()= .9.若X N ~(,)μσ2,则P X ()-≤=μσ3 .10.E X E X Y E Y [(())(())]--称为二维随机变量(,)X Y 的 . (三)解答题1.设A B C ,,为三个事件,试用A B C ,,的运算分别表示下列事件: ⑴ A B C ,,中至少有一个发生; ⑵ A B C ,,中只有一个发生; ⑶ A B C ,,中至多有一个发生; ⑷ A B C ,,中至少有两个发生; ⑸ A B C ,,中不多于两个发生; ⑹ A B C ,,中只有C 发生.2. 袋中有3个红球,2个白球,现从中随机抽取2个球,求下列事件的概率: ⑴ 2球恰好同色; ⑵ 2球中至少有1红球.3. 加工某种零件需要两道工序,第一道工序的次品率是2%,如果第一道工序出次品则此零件为次品;如果第一道工序出正品,则由第二道工序加工,第二道工序的次品率是3%,求加工出来的零件是正品的概率.4. 市场供应的热水瓶中,甲厂产品占50%,乙厂产品占30%,丙厂产品占20%,甲、乙、丙厂产品的合格率分别为90%,85%,80%,求买到一个热水瓶是合格品的概率.5. 某射手连续向一目标射击,直到命中为止.已知他每发命中的概率是p ,求所需设计次数X 的概率分布.6.设随机变量X 的概率分布为12345601015020*********.......⎡⎣⎢⎤⎦⎥ 试求P X P X P X (),(),()≤≤≤≠4253.7.设随机变量X 具有概率密度f x x x (),,=≤≤⎧⎨⎩2010其它 试求P X P X (),()≤<<12142.8. 设X f x x x ~(),,=≤≤⎧⎨⎩2010其它,求E X D X (),().9. 设)6.0,1(~2N X ,计算⑴P X (..)0218<<;⑵P X ()>0.10.设X X X n 12,,, 是独立同分布的随机变量,已知E X D X (),()112==μσ,设X n X i i n==∑11,求E X D X (),().工程数学作业四第6章 统计推断(一)单项选择题⒈设x x x n 12,,, 是来自正态总体N (,)μσ2(μσ,2均未知)的样本,则( )是统计量.A. x 1B. x 1+μC. x 122σ D. μx 1⒉设x x x 123,,是来自正态总体N (,)μσ2(μσ,2均未知)的样本,则统计量( )不是μ的无偏估计.A. max{,,}x x x 123B. 1212()x x +C. 212x x -D. x x x 123--(二)填空题1.统计量就是 .2.参数估计的两种方法是 和 .常用的参数点估计有 和 两种方法. 3.比较估计量好坏的两个重要标准是 , .4.设x x x n 12,,, 是来自正态总体N (,)μσ2(σ2已知)的样本值,按给定的显著性水平α检验H H 0010:;:μμμμ=≠,需选取统计量 .5.假设检验中的显著性水平α为事件 发生的概率.(三)解答题11 1.设对总体X 得到一个容量为10的样本值4.5, 2.0, 1.0, 1.5, 3.5, 4.5, 6.5,5.0, 3.5, 4.0 试分别计算样本均值x 和样本方差s 2.2.设总体X 的概率密度函数为 f x x x (;)(),,θθθ=+<<⎧⎨⎩1010其它 试分别用矩估计法和最大似然估计法估计参数θ.3.测两点之间的直线距离5次,测得距离的值为(单位:m ):108.5 109.0 110.0 110.5 112.0测量值可以认为是服从正态分布N (,)μσ2的,求μ与σ2的估计值.并在⑴σ225=.;⑵σ2未知的情况下,分别求μ的置信度为0.95的置信区间.4.设某产品的性能指标服从正态分布N (,)μσ2,从历史资料已知σ=4,抽查10个样品,求得均值为17,取显著性水平α=005.,问原假设H 020:μ=是否成立.5.某零件长度服从正态分布,过去的均值为20.0,现换了新材料,从产品中随机抽取8个样品,测得的长度为(单位:cm ):20.0, 20.2, 20.1, 20.0, 20.2, 20.3, 19.8, 19.5问用新材料做的零件平均长度是否起了变化(α=005.).。