第十届全国周培源大学生力学竞赛安徽赛区获奖名单
- 格式:doc
- 大小:363.50 KB
- 文档页数:11
力学实践周培源力学竞赛
章节一:周培源力学竞赛的历史背景
周培源力学竞赛是中国力学界的一项重要赛事,由中国力学学会主办,旨在促进青年学生对力学学科的学习和研究。
该竞赛始于1991年,至今已经举办了30多届,成为了国内力学领域最具影响力的赛事之一。
章节二:周培源力学竞赛的比赛形式
周培源力学竞赛分为初赛、复赛和决赛三个阶段。
初赛采用笔试形式,主要考察参赛选手对力学基础知识的掌握程度;复赛则采用实验和计算两种方式,对参赛选手的实践能力进行考察;决赛则是最终的比拼,选手需要在规定时间内完成一道难度较大的力学问题,评委会根据选手的答题情况和表现,评选出获奖者。
章节三:周培源力学竞赛的影响
周培源力学竞赛已经成为了中国力学界的一项重要赛事,不仅为广大力学爱好者提供了一个展示自己才华的平台,也为中国力学教育的发展做出了积极的贡献。
通过竞赛的形式,可以激发学生学习力学的兴趣和热情,提高他们的实践能力和创新能力,培养他们的科学精神和团队合作精神,为中国力学事业的发展注入新的活力和动力。
章节四:周培源力学竞赛的获奖选手
周培源力学竞赛的获奖选手涵盖了中国各大高校和科研机构的优秀学生和研究人员,其中不乏一些成为了中国力学领域的杰出人才。
例如,2007年获得周培源力学竞赛一等奖的王瑞华,现为清华大学教授,曾获得国家自然科学基金杰出青年基金等多项荣誉;2015年获得周培源力学竞赛一等奖的李泽霖,现为北京大学教授,曾获得国家自然科学基金优秀青年基金等多项荣誉。
这些获奖选手的成功经历,不仅为中国力学事业的发展注入了新的活力和动力,也为广大力学爱好者树立了榜样和激励。
第十届全国周培源力学竞赛基础力学实验近日,第十届全国周培源力学竞赛基础力学实验在北京成功举办。
本次竞赛旨在提高学生的力学实验能力,培养学生的科学精神和创新思维,加深对力学基本原理和实验方法的理解和掌握。
比赛共分为理论考试和实验操作两个环节。
理论考试考察学生对力学基础知识的掌握和应用能力,包括力的基本概念、牛顿定律、动量守恒定律等。
实验操作环节则要求学生在指定的实验装置下进行实验,并完成相应的实验报告。
基础力学实验是力学理论的重要组成部分,通过实验可以验证和实践理论知识,增强学生对力学原理的理解。
本次竞赛的实验项目包括平衡力的测量、斜面上滚动物体的运动、简谐振子的实验等。
在平衡力的测量实验中,参赛学生需要利用测力计测量不同物体的重力和弹簧拉力,并通过分析测得的数据计算力的平衡情况。
这个实验旨在让学生理解力的平衡条件,并通过实验验证力的平衡原理。
斜面上滚动物体的运动实验要求学生利用斜面和滚动物体进行实验,测量滚动物体在斜面上的运动时间、位移和速度,并通过实验结果分析滚动物体的运动规律。
这个实验旨在让学生掌握物体在斜面上运动的基本规律和公式,并通过实验验证。
简谐振子的实验是力学实验中的经典实验之一,要求学生利用弹簧振子进行实验,测量振子的周期和频率,并通过实验结果计算振子的劲度系数。
这个实验旨在让学生了解简谐振动的特点和计算方法,并通过实验验证简谐振动的规律。
本次竞赛的实验项目涵盖了力学的基本原理和实验方法,要求学生在实验中动手操作、观察实验现象、记录实验数据并进行分析,培养了学生的实验能力和科学精神。
参赛学生在实验中锻炼了观察、思考和解决问题的能力,提高了自己的实践技能和创新意识。
通过参与全国周培源力学竞赛基础力学实验,学生不仅可以提高自己的实验技能和理论水平,还可以与其他学生交流分享经验,拓宽自己的视野,激发学习兴趣。
同时,这也为学生今后深入学习力学和从事科学研究打下了坚实的基础。
第十届全国周培源力学竞赛基础力学实验的成功举办,为培养学生的科学精神和创新思维起到了积极的促进作用。
周培源力学竞赛国二摘要:1.周培源力学竞赛简介2.周培源力学竞赛的级别和国二的含义3.周培源力学竞赛国二的重要性和影响4.如何准备周培源力学竞赛国二正文:【周培源力学竞赛简介】周培源力学竞赛是一项面向全球高校大学生的力学学科竞赛,由我国著名力学家周培源教授发起,旨在激发大学生对力学学科的兴趣,提高力学教育质量,发掘和培养力学领域的优秀人才。
该竞赛自1990 年创办以来,已经成功举办了多届,吸引了众多国内外高校参赛。
【周培源力学竞赛的级别和国二的含义】周培源力学竞赛分为国际赛、全国赛和地区赛三个级别。
其中,全国赛是面向全国范围内的大学生举办的,参赛选手需经过地区赛的选拔。
国二则是全国赛中获得二等奖的选手,代表着在全国范围内取得了优异的成绩。
【周培源力学竞赛国二的重要性和影响】周培源力学竞赛国二对于参赛选手来说具有重要的意义。
首先,它代表了选手在力学领域的较高水平,有助于提高个人学术声誉和竞争力。
其次,获得国二的成绩对于申请国内外优秀高校的研究生项目或就业都有积极的帮助。
最后,参加周培源力学竞赛国二的过程本身也是对个人学术能力和综合素质的锻炼和提高。
【如何准备周培源力学竞赛国二】要想在周培源力学竞赛国二中取得好成绩,以下几点准备是必不可少的:1.扎实的力学基础知识:力学竞赛对选手的基础知识要求很高,因此需要参赛选手熟练掌握力学的基本概念、原理和定理。
2.丰富的题目练习:通过大量做题,可以提高解题速度和准确度,培养解题思路和技巧。
建议选手参加模拟赛和历年真题练习。
3.团队合作与交流:周培源力学竞赛往往需要参赛选手之间进行合作与交流,共同解决复杂的题目。
因此,具备良好的团队合作精神和沟通能力也是取得好成绩的关键。
4.保持良好的心态:竞赛过程中,保持冷静、自信的心态,遇到困难不要气馁,相信自己可以克服一切挑战。
总之,周培源力学竞赛国二是一项具有重要意义和影响力的赛事。
第九届全国周培源大学生力学竞赛(个人赛)优秀奖名单地区 姓名 准考证号 单位李一鸣 230004 中国科学技术大学 安徽省李志鹏 230463 安徽工业大学王松昊 230009 中国科学技术大学王柳 230059 中国科学技术大学杨群 230158 合肥工业大学董岩 230563 安徽理工大学蒋振 230192 合肥工业大学李琛 230100 合肥工业大学钱晨程 230624 安徽理工大学孙朋越 230039 中国科学技术大学谢海 230203 合肥工业大学李锡英 230008 中国科学技术大学李中培 230108 合肥工业大学任张瑜 230637 安徽理工大学吴正昊 230026 中国科学技术大学徐大龙 230235 安徽建筑工业学院章佳健 230047 中国科学技术大学朱晓 230211 合肥工业大学陈宇 230236 安徽建筑工业学院费一东 230199 合肥工业大学陆开洋 230113 合肥工业大学任树桢 230208 合肥工业大学孙占祥 230240 安徽建筑工业学院张哲君 230065 中国科学技术大学李飞 230044 中国科学技术大学曹方亮 230074 合肥工业大学丁浩 230085 合肥工业大学何继业 230573 安徽理工大学黄伟 230473 安徽工业大学汲世祥 230056 中国科学技术大学吴万同 230003 中国科学技术大学张勇 230612 安徽理工大学朱德志 230180 合肥工业大学陈阳 230077 合肥工业大学高尚 230088 合肥工业大学石恒 230129 合肥工业大学田金 230133 合肥工业大学张乐琪 230206 合肥工业大学赵炎军 230241 安徽建筑工业学院赵子荣 230178 合肥工业大学 邵涵 230050 中国科学技术大学 温强 230144 合肥工业大学 徐清清 230470 安徽工业大学 毕程程 230186 合肥工业大学 续立姝 230155 合肥工业大学 邾志慧 230227 安徽建筑工业学院 曹明玮 230202 合肥工业大学 董俊辉 230464 安徽工业大学 郭金潼 230373 安徽新华学院 郭利清 230091 合肥工业大学 李孔娟 230103 合肥工业大学 李世东 230107 合肥工业大学 刘海 230629 安徽理工大学 刘炼 230595 安徽理工大学 沈毅 230017 中国科学技术大学 唐磊 230200 合肥工业大学 汪泉 230135 合肥工业大学 王璐瑛 230007 中国科学技术大学 余佳峰 230636 安徽理工大学 张文俊 230448 安徽工程大学 朱春涛 230207 合肥工业大学 程赋 230005 中国科学技术大学 付登奎 230488 安徽工业大学 郭翔宇 230069 中国科学技术大学刘雄章 230478 安徽工业大学 孟祥俊 230426 皖西学院王责越 230051 中国科学技术大学 奚晨晨 230245 安徽建筑工业学院 张蒋 230310 合肥学院赵丰祥 230058 中国科学技术大学 姜添曦 230068 中国科学技术大学 李彬 230486 安徽工业大学 刘培硕 230110 合肥工业大学 孟迪 230571 安徽理工大学 石瑞瑞 230309 合肥学院叶敏 230063 中国科学技术大学 禹愿雄 230633 安徽理工大学 张坤 230487 安徽工业大学 张秀山 230489 安徽工业大学 周洋 230534 安徽理工大学 朱术文 230458 安徽工程大学陈翰澍 230244 安徽建筑工业学院程泽康 230054 中国科学技术大学郭盼盼 230092 合肥工业大学黄镇 230495 安徽工业大学刘冬骏 230233 安徽建筑工业学院刘杰 230536 安徽理工大学刘小珍 230625 安徽理工大学马隆飞 230116 合肥工业大学潘正鹏 230429 皖西学院宋飞 230590 安徽理工大学宋帅兵 230131 合肥工业大学孙俊 230246 安徽建筑工业学院王化彬 230507 安徽工业大学王静 230137 合肥工业大学王云鹏 230052 中国科学技术大学余磊 230165 合肥工业大学张笑 230474 安徽工业大学朱国文 230469 安徽工业大学孙涛 010295 北京航空航天大学 北京市田欢欢 011030 清华大学赵健宇 010563 北京航空航天大学郑 翔 010559 北京航空航天大学柴一占 011123 清华大学陈志强 011041 清华大学狄嘉威 011079 清华大学杜浩东 011080 清华大学郝柏函 011048 清华大学胡喆 010042 北京大学黄晟林 010025 北京大学李亚坤 011055 清华大学刘思祎 011122 清华大学刘通 011050 清华大学刘元伟 010151 北京航空航天大学张爱国 010209 北京航空航天大学张天汉 010021 北京大学赵明翔 011056 清华大学赵鹏昕 010313 北京航空航天大学冯彦军 010168 北京航空航天大学何鹏宇 010005 北京大学蒋婷 010377 北京航空航天大学李兆涵 011084 清华大学刘飞 011042 清华大学刘晓龙 011154 清华大学刘泽宇 010026 北京大学罗琪 010690 北京科技大学宋言 011112 清华大学王照瑞 010108 北京航空航天大学 许秋怡 010107 北京航空航天大学 张和涛 011067 清华大学陈树生 010127 北京航空航天大学 程将领 010217 北京航空航天大学 崔光耀 010380 北京航空航天大学 高宇 010717 北京理工大学蒋雨晴 010436 北京航空航天大学 任克维 010479 北京航空航天大学 芮少石 010700 北京科技大学尚孚 010225 北京航空航天大学 孙鹏鹏 010153 北京航空航天大学 魏金弟 010773 北京理工大学吴小虎 010903 中国矿业大学(北京) 吴洲洋 010319 北京航空航天大学 徐杲 010009 北京大学张慕天 010790 北京理工大学朱桐乾 010464 北京航空航天大学 董文静 011143 清华大学方耀鹏 011049 清华大学巩浩 010718 北京理工大学李德金 010166 北京航空航天大学 李佳航 010017 北京大学马越辰 010446 北京航空航天大学 邱志祥 011125 清华大学尚恩垚 011137 清华大学王晓强 011060 清华大学王张浩 010397 北京航空航天大学 殷振炜 011166 清华大学张泽 011085 清华大学赵建文 010185 北京航空航天大学 朱云涛 010411 北京航空航天大学 陈斌 010367 北京航空航天大学 陈拓 010113 北京航空航天大学 樊苹博 010032 北京大学高雁飞 010094 北京航空航天大学 刘子玥 011029 清华大学牛峰 011007 中国石油大学(北京)姚赫明 010565 北京航空航天大学 赵隽迪 010801 北京理工大学高武焕 011038 清华大学康杰 010724 北京理工大学李二龙 010375 北京航空航天大学 任昆 010118 北京航空航天大学 万成 011174 清华大学魏全茂 010480 北京航空航天大学 张启明 010242 北京航空航天大学 张伟 010376 北京航空航天大学 张宇靖 010452 北京航空航天大学 周威 010400 北京航空航天大学 曹祥飞 010703 北京理工大学程佳兵 010214 北京航空航天大学 崔慧永 010438 北京航空航天大学 郝进华 010001 北京大学何昌远 010447 北京航空航天大学 胡浩德 010333 北京航空航天大学 李亨 010487 北京航空航天大学 李杨 010180 北京航空航天大学 罗子正 011065 清华大学彭晓康 010746 北京理工大学税小芳 010167 北京航空航天大学 滕雪峰 010288 北京航空航天大学 许耀午 010119 北京航空航天大学 张强 010342 北京航空航天大学 赵鹏 010304 北京航空航天大学 赵啟辰 010425 北京航空航天大学 赵玉臣 010806 北京理工大学黄雪聪 010155 北京航空航天大学 贾瑶光 010511 北京航空航天大学 刘哲 010305 北京航空航天大学 王清洋 011140 清华大学王远 011023 中国石油大学(北京) 吴浩然 010455 北京航空航天大学 袁野 010027 北京大学张泽华 011139 清华大学方世兴 010163 北京航空航天大学 黄骁 010298 北京航空航天大学 贾兴邦 010293 北京航空航天大学 赖宗辉 010848 北京理工大学李晓刚 010177 北京航空航天大学刘峰 010737 北京理工大学 刘颖 010036 北京大学罗杨雄 010256 北京航空航天大学 孙鑫 010754 北京理工大学 杨俊斌 010122 北京航空航天大学 张爱文 010211 北京航空航天大学 张晓敏 010512 北京航空航天大学 从戎飞 010098 北京航空航天大学 洪隽天 011182 清华大学黄蓉 010117 北京航空航天大学 李海东 010024 北京大学李伟杰 010123 北京航空航天大学 李燕 011037 清华大学马利超 010665 北京科技大学 马勇 010109 北京航空航天大学 芮其霆 010398 北京航空航天大学 孙宇申 011101 清华大学万唱唱 010759 北京理工大学 王旭辉 010233 北京航空航天大学 魏啸峰 010148 北京航空航天大学 杨新垒 010347 北京航空航天大学 于沿 010382 北京航空航天大学 张宏宽 010787 北京理工大学 赵泽 010839 北京理工大学 陈耿 010705 北京理工大学 程修妍 010711 北京理工大学 高宇驰 011047 清华大学郭马一 010396 北京航空航天大学 姜培扬 010699 北京科技大学 廉佳 010310 北京航空航天大学 刘铁旭 010605 北京交通大学 刘振涛 010251 北京航空航天大学 王帅帅 010186 北京航空航天大学 谢玉芳 010824 北京理工大学 张迪哲 010290 北京航空航天大学 张萌 010442 北京航空航天大学 张悦 011035 清华大学仲雪松 010240 北京航空航天大学 朱文庆 011119 清华大学陈超南 010704 北京理工大学 陈建良 010709 北京理工大学 顾宇锋 010454 北京航空航天大学蓝磊 010164 北京航空航天大学 李帅 011159 清华大学李禹志 010732 北京理工大学 荣成骁 011150 清华大学施炯明 011070 清华大学石玉 010196 北京航空航天大学 汤宏伟 011168 清华大学王光辉 010762 北京理工大学 谢络 010210 北京航空航天大学 叶金鑫 010104 北京航空航天大学 周弘毅 010096 北京航空航天大学 查运坚 010063 北京工业大学 管沁朴 010409 北京航空航天大学 胡建龙 010179 北京航空航天大学 梁巨平 010457 北京航空航天大学 刘宏鹏 010133 北京航空航天大学 刘世龙 010604 北京交通大学 马瞻 010385 北京航空航天大学 孟韩 010169 北京航空航天大学 彭炬 010218 北京航空航天大学 水成霖 010664 北京科技大学 孙国力 010622 北京交通大学 谭文渊 010131 北京航空航天大学 王青松 010303 北京航空航天大学 王世超 010444 北京航空航天大学 危伟 011102 清华大学吴杰 010271 北京航空航天大学 吴同舟 011069 清华大学杨坚 011176 清华大学艾迪 011092 清华大学陈怡然 011181 清华大学付孝谌 011163 清华大学韩飞洋 010028 北京大学纪国圣 010250 北京航空航天大学 李锋 011044 清华大学廖泽广 010735 北京理工大学 刘幸 011105 清华大学冉令可 010121 北京航空航天大学 史松林 010371 北京航空航天大学 滕锐 010758 北京理工大学 王枫辰 010954 中国农业大学 王潘丁 010766 北京理工大学王岩松 010770 北京理工大学王一全 010450 北京航空航天大学杨海峰 010519 北京航空航天大学余卓阳 010471 北京航空航天大学张键 010421 北京航空航天大学张荣升 010472 北京航空航天大学郑明晔 010807 北京理工大学范 武 100165 厦门理工学院 福建省罗素娟 100154 厦门大学王卫锋 100114 厦门大学王永森 100222 厦门理工学院高真平 100153 厦门大学刘星帆 100112 厦门大学柳苏琴 100089 华侨大学邱俊楠 100070 福建工程学院吴世斌 100022 福州大学于莎莎 100116 厦门大学詹凯利 100132 厦门大学陈博文 100088 华侨大学程宇森 100100 华侨大学柯淼宏 100110 厦门大学郑伟伟 100108 华侨大学朱华诞 100031 福州大学庄翔 100138 厦门大学党军 100119 厦门大学傅嘉亮 100048 福建工程学院高翔 100225 厦门理工学院侯作超 100092 华侨大学华玮 100150 厦门大学雷剑雄 100057 福建工程学院李德生 100077 华侨大学梁庆文 100148 厦门大学莫李平 100004 福州大学巫永坤 100028 福州大学吴杰 100131 厦门大学夏立志 100137 厦门大学余 宽 100166 厦门理工学院张寒林 100133 厦门大学张丽玉 100010 福州大学陈加伟 100086 华侨大学陈煖 100128 厦门大学陈曦 100003 福州大学陈宗毅 100259 厦门理工学院康雷 100144 厦门大学孔建洪 100146 厦门大学李鸿清 100067 福建工程学院林恺帆 100151 厦门大学罗德富 100124 厦门大学彭小燕 100282 厦门理工学院王东明 100158 厦门大学张和龙 100015 福州大学郑梅青 100269 厦门理工学院郭哲 190078 兰州大学 甘肃省黄增龙 190109 兰州交通大学贾登峰 190342 兰州交通大学栾添 190158 兰州大学施成 190178 兰州交通大学童玉锦 190216 兰州大学徐彬 190179 兰州大学张英俊 190522 兰州交通大学朱华超 190175 兰州交通大学李永盛 190218 兰州交通大学刘浩志 190320 兰州交通大学刘宽 190160 兰州交通大学刘子杰 190450 兰州理工大学吕 顺 190505 兰州理工大学马腾霄 190275 兰州理工大学毛丽娟 190423 兰州理工大学孟琪刚 190065 兰州交通大学孙伟 190145 兰州交通大学王国超 190273 兰州交通大学王文东 190048 兰州交通大学邢文典 190197 兰州交通大学闫泽升 190009 兰州大学杨进京 190344 兰州交通大学陈骞 190262 兰州大学陈志斌 190196 兰州理工大学杜昱民 190025 兰州大学范世发 190176 兰州大学韩 博 190171 兰州理工大学韩立喜 190515 兰州理工大学李等言 190141 兰州理工大学刘 俊 190476 兰州理工大学宁昭剑 190090 兰州大学茹雁云 190210 兰州大学 孙火昆 190494 兰州理工大学 王新超 190429 兰州理工大学 王艳文 190368 兰州理工大学 肖彦平 190071 兰州理工大学 张吉明 190200 兰州交通大学 包延斌 190064 甘肃农业大学 曹波宁 190016 兰州交通大学 陈栋梁 190297 兰州交通大学 陈聚正 190116 兰州大学 丁鸿翔 190130 兰州交通大学 董学亮 190463 兰州理工大学 董琰 190310 兰州交通大学 高建强 190348 兰州交通大学 黄 磊 190396 兰州理工大学 贾龙飞 190499 兰州理工大学 吕彦东 190419 兰州理工大学 马大铕 190155 兰州大学 戚学斌 190490 兰州理工大学 齐元欣 190010 兰州理工大学 王海涛 190404 兰州理工大学 王维鹏 190477 兰州理工大学 王仲彤 190167 兰州大学 夏纯阳 190519 兰州理工大学 夏维学 190493 兰州理工大学 谢强华 190322 兰州交通大学 徐瑞东 190400 兰州理工大学 杨建华 190375 兰州理工大学 杨作娟 190079 兰州理工大学 尹强 190324 兰州交通大学 展学鹏 190497 兰州理工大学 张发钧 190335 兰州理工大学 张宏强 190336 兰州交通大学 郑学东 190052 兰州交通大学 朱楷 190094 兰州大学 曹 鸿 190362 兰州理工大学 杜卫军 190243 兰州理工大学 杜小飞 190395 兰州理工大学 冯 欢 190389 兰州理工大学 韩进科 190303 兰州交通大学 胡锦荣 190326 兰州交通大学 户文刚 190211 兰州理工大学李坤鹏 190508 兰州理工大学李勇 190101 兰州交通大学卢学斌 190393 兰州理工大学芦维强 190385 兰州理工大学马鸿敏 190369 兰州理工大学马晓云 190118 兰州交通大学史正元 190088 甘肃农业大学宋浩 190312 兰州交通大学唐永祥 190035 甘肃农业大学王冲 190271 兰州大学王若飞 190166 兰州交通大学王晓勇 190213 兰州大学王亚龙 190305 兰州理工大学王元明 190328 兰州交通大学吴培元 190267 兰州交通大学杨 鹏 190246 兰州理工大学杨 宇 190343 兰州理工大学杨海博 190152 兰州大学叶宏宇 190194 兰州交通大学尹俊 190170 兰州大学张 鹏 190181 兰州交通大学张 强 190445 兰州理工大学张豆豆 190136 兰州交通大学张奇 190247 兰州交通大学张晓非 190337 兰州理工大学张晓磊 190154 兰州交通大学赵栋 190270 兰州交通大学赵志彦 190244 兰州交通大学朱军龙 190003 甘肃农业大学李振鸿 130265 华南理工大学 广东省利杰 130166 中山大学林逸洲 130183 暨南大学罗文峰 130171 暨南大学马文韬 130131 中山大学欧秋望 130257 华南理工大学欧振锋 130398 华南理工大学夏若曦 130292 华南理工大学许饶 130226 华南理工大学周豪 130454 华南理工大学陈洲泉 130361 华南理工大学麦俭坤 130134 中山大学陆新聪 130266 华南理工大学杨龙和 130430 华南理工大学 袁辉 130383 华南理工大学 甄灿燊 130138 中山大学 崔鹿鸣 130358 华南理工大学 洪晓强 130300 华南理工大学 简武荣 130241 华南理工大学 申艺杰 130350 华南理工大学 谭高托 130284 华南理工大学 姚烁 130455 华南理工大学 赵海龙 130297 华南理工大学 周文丰 130154 中山大学 陈磊 130298 华南理工大学 苏晓波 130198 暨南大学 肖栋梁 130380 华南理工大学 叶庆勤 130458 华南理工大学 钟春意 130456 华南理工大学 洪培焕 130364 华南理工大学 李昂 130160 中山大学 尹泽夏 130130 中山大学 朱长航 130035 广东工业大学 李志云 130158 中山大学 曾帝棋 130277 华南理工大学 张婷 130162 中山大学 郑镇杰 130055 广东工业大学 朱能 130197 暨南大学 唐海生 130021 五邑大学 夏荣煜 130161 中山大学 谢俊鹏 130145 中山大学 徐成亮 130309 华南理工大学 张帅 130427 华南理工大学 郑英杰 130185 暨南大学 蔡丹阳 130139 中山大学 黄楷雄 130044 广东工业大学 石小东 130341 华南理工大学 余良滨 130429 华南理工大学 程政 130285 华南理工大学 黄健彰 130242 华南理工大学 潘泽华 130373 华南理工大学 王向毅 130029 五邑大学 许秩 130381 华南理工大学 张亚 130203 华南理工大学 邹立远 130408 华南理工大学曹庆杰 130360 华南理工大学 陈欣杰 130153 中山大学 付杰 130343 华南理工大学 黄家乐 130466 华南理工大学 黄思良 130311 华南理工大学 雷佳 130169 暨南大学 卢楚生 130321 华南理工大学 王忠义 130107 华南农业大学 吴秋瑜 130216 华南理工大学 张飞翔 130349 华南理工大学 张梓豪 130258 华南理工大学 郑建伟 130067 广州大学 郑相立 130208 华南理工大学 马乾 170080 广西大学 徐晓峰 170122 广西科技大学 余和才 170129 桂林理工大学 李君 170040 广西大学 费新宇 170017 广西科技大学 莫发堂 170083 广西科技大学 田腾 170103 广西大学 王月明 170111 广西大学 陈万庆 170007 广西大学 莫天荣170085 桂林理工大学 全守岳 170089 广西大学 安忠静 170001 桂林理工大学 陈北全 170004 广西大学 桂彬 170021 桂林理工大学 李晓敏 170043 广西大学 梁权 170055 广西科技大学 梁作栋 170057 桂林理工大学 倪祖仁 170086 桂林理工大学 石泉 170092 桂林理工大学 唐婷 170102 桂林理工大学 韦懿瑶 170116 桂林理工大学 许春楠 170123 广西大学 广西壮族自治区张军170133 桂林理工大学 安义富 090048 贵州大学 蔡明霜 090033 贵州民族大学 陈冲 090108 贵州大学 陈荣裕 090016 贵州大学 石开垚 090084 贵州大学 贵州省王稀田090020贵州大学夏建松 090038 贵州大学阳悠悠 090139 贵州大学张广辉 090056 贵州大学张宏达 090147 贵州大学崔建 090042 贵州大学何方毕 090072 贵州大学胡芳 090080 贵州大学李光灿 090063 贵州大学李亮 090137 贵州大学李乾龙 090077 贵州大学廖举 090094 贵州大学马洪全 090090 贵州大学欧东阳 090017 贵州民族大学舒映松 090040 贵州大学王俊博 090086 贵州大学杨家飞 090007 贵州民族大学余艳 090146 贵州师范大学成忠祥 300024 海南大学易杰 300064 海南大学韩炼 300073 海南大学平焕 300005 海南大学唐元元 300054 海南大学李丽萍 300017 海南大学海南省肖慧娟 300013 海南大学杨振 300070 海南大学赵良科 300057 海南大学腾义前 300019 海南大学郭鹏飞 300002 海南大学黄光华 300033 海南大学徐茂 300075 海南大学河北省柴东 080099 河北工业大学刁世成 080517 军械工程学院何晓东 080288 河北大学李泽 080507 军械工程学院梁东 080530 军械工程学院吕园园 080572 石家庄铁道大学罗龙 080352 华北电力大学宋泉霖 080523 军械工程学院吴晓峰 080519 军械工程学院辛丽婷 080283 河北大学李少辉 080034 河北工业大学 陈凯 080513 军械工程学院林华彬 080093 河北工业大学 罗超 080511 军械工程学院 潘明 080072 河北工业大学 张昆仑 080512 军械工程学院 张宇 080308 华北电力大学 白静峰 080001 河北工业大学 邓达 080041 河北工业大学 董亚星 080205 北华航天工业学院 郭洲 080069 河北工业大学 胡洪波 080051 河北工业大学 梁介众 080348 华北电力大学 林永辉 080509 军械工程学院 刘硕 080438 河北工程大学 牛辉 080212 北华航天工业学院 王学涛 080487 河北建筑工程学院 王哲 080490 河北建筑工程学院 吴晓辉 080019 河北工业大学 邢运 080261 河北大学张贵军 080345 华北电力大学 安帅锟 080035 河北工业大学 方超文 080358 华北电力大学 和东生 080255 河北大学康凯丽 080241 河北大学李明明 080087 河北工业大学 李学斌 080333 华北电力大学 孟浩 080266 河北大学王华林 080529 军械工程学院 王梦迪 080103 河北工业大学 邢向向 080171 河北联合大学 许文纲 080561 石家庄铁道大学 周建博 080291 河北大学陈肖平 080145 燕山大学纪超 080501 军械工程学院 靳贺欣 080557 石家庄铁道大学 兰瑄 080172 河北联合大学 李银宝 080061 河北工业大学 李云奇 080286 河北大学廉涛 080346 华北电力大学 刘洋 080265 河北大学骆超 080184 河北联合大学 舒炀 080499 军械工程学院 王彬 080538 石家庄铁道大学王海波 080550 石家庄铁道大学 王庆超 080188 河北联合大学 张国盘 080027 河北工业大学 张南 080138 燕山大学朱巍嵘 080522 军械工程学院 朱志强 080563 石家庄铁道大学 崔凡 080331 华北电力大学 井宇 080396 河北农业大学 林少森 080528 军械工程学院 刘影 080474 河北工程大学 刘越 080552 石家庄铁道大学 齐文聪 080293 河北大学饶舰 080158 燕山大学王皓然 080413 河北农业大学 王婧 080119 河北工业大学 王亮 080232 防灾科技学院 王馨玮 080139 燕山大学王星盼 080556 石家庄铁道大学 王一帆 080025 河北工业大学 魏妹 080153 燕山大学谢丹丹 080486 河北建筑工程学院 徐文岐 080303 华北电力大学 臧扬雪 080165 河北联合大学 张克青 080305 华北电力大学 张磊 080320 华北电力大学 张永建 080218 北华航天工业学院 崔磊 080568 石家庄铁道大学 崔晓伟 080295 河北大学杜永 080456 河北工程大学 高智逊 080071 河北工业大学 侯荣荣 080144 燕山大学黄宏主 080431 河北工程大学 黄亚飞 080553 石家庄铁道大学 贾宁 080570 石家庄铁道大学 蒋中明 080576 石家庄铁道大学 李宁 080330 华北电力大学 刘慧娟 080162 河北联合大学 刘宇 080483 河北建筑工程学院 卢思瑶 080309 华北电力大学 马贺冲 080260 河北大学马笑辉 080150 燕山大学米亭 080203 北华航天工业学院彭文家 080166 河北联合大学田渴鑫 080497 军械工程学院尉舰巍 080430 河北工程大学吴超 080496 军械工程学院徐培飞 080463 河北工程大学杨柳 080143 燕山大学岳玉彬 080410 河北农业大学张辉平 080135 燕山大学张仝 080492 河北建筑工程学院 河南省黄超 070264 郑州大学李艳飞 070346 黄河科技学院刘凯 070141 郑州大学罗明生 070261 郑州大学王凯辉 070143 郑州大学郑鹏飞 070279 郑州大学马锴 070165 郑州大学闫盛太 070463 华北水利水电学院臧全胜 070213 郑州大学陈波 070273 郑州大学方军科 070299 安阳师范学院黄光辉 070148 郑州大学娄元静 070505 河南理工大学王广 070162 郑州大学杨春节 070242 郑州大学赵旭阳 070460 华北水利水电学院朱裕 070280 郑州大学代振 070486 河南理工大学范慧如 070032 郑州大学韩鹏飞 070095 郑州大学胡翱 070351 黄河科技学院李 晓 070478 华北水利水电学院李玉韦 070465 华北水利水电学院廖燕华 070175 郑州大学刘二辉 070488 河南理工大学万震 070223 郑州大学许江阴 070527 河南理工大学于全魁 070156 郑州大学张月领 070469 华北水利水电学院程国用 070367 河南工业大学陈荣 070274 郑州大学陈有 070424 中原工学院杜浩鸣 070149 郑州大学李增光 070159 郑州大学刘浩然 070507 河南理工大学 刘亚威 070088 郑州大学聂鑫 070521 河南理工大学 饶东海 070487 河南理工大学 任毅豪 070450 华北水利水电学院 田富成 070031 郑州大学于乐 070332 郑州轻工业学院 张浩 070131 郑州大学郑云超 070210 郑州大学常晓亮 070098 郑州大学高云睿 070511 河南理工大学 候会敏 070199 郑州大学李朋欣 070500 河南理工大学 刘杰 070388 中原工学院马闯闯 070180 郑州大学邵奔腾 070100 郑州大学苏向宇 070037 郑州大学熊志浩 070179 郑州大学徐鹏辉 070153 郑州大学杨杉楠 070361 河南工业大学 张 鹏 070466 华北水利水电学院 张乐 070170 郑州大学张青松 070362 河南工业大学 郑 伟 070446 华北水利水电学院 朱文洋 070209 郑州大学曹朋生 070364 河南工业大学 顾朝阳 070138 郑州大学雷俊安 070458 华北水利水电学院 李站飞 070413 中原工学院刘洋 070114 郑州大学刘玉森 070077 郑州大学苏会晓 070142 郑州大学陶献伟 070323 郑州轻工业学院 王胡友 070381 河南工业大学 王珂 070047 郑州大学韦锦鹏 070246 郑州大学肖水 070166 郑州大学杨西亚 070304 安阳工学院袁俊俊 070281 郑州大学张鑫 070065 郑州大学张杨 070020 郑州大学赵立志 070392 中原工学院赵启焱 070265 郑州大学白晓玮 070113 郑州大学陈振东 070253 郑州大学豆林森 070543 河南理工大学韩开开 070526 河南理工大学韩鹏飞 070302 安阳工学院胡小武 070303 安阳工学院皇甫飞飞 070359 河南工业大学 简明 070441 中原工学院李进 070061 郑州大学李荣军 070263 郑州大学李团伟 070250 郑州大学李小兰 070011 郑州大学李毅 070497 河南理工大学李占峰 070300 安阳工学院刘远峰 070291 安阳师范学院吕英杰 070447 华北水利水电学院栾勇 070228 郑州大学马鑫 070041 郑州大学孟杏 070014 郑州大学牛振坤 070419 中原工学院任高杰 070222 郑州大学宋中兴 070327 郑州轻工业学院孙玉顺 070427 中原工学院涂家明 070216 郑州大学王壬 070207 郑州大学王少坤 070537 河南理工大学杨俊 070282 郑州大学杨坤 070490 河南理工大学杨林 070099 郑州大学应利伟 070284 郑州大学悦敢超 070357 河南工业大学张景威 070184 郑州大学张延辉 070501 河南理工大学张扬 070510 河南理工大学张宗伟 070329 郑州轻工业学院周晓斌 070377 河南工业大学周震 070444 中原工学院李东昌 110147 哈尔滨工程大学 黑龙江省李文赛 110164 黑龙江工程学院孙庆涛 110315 东北石油大学徐直 110428 哈尔滨理工大学 张帆 110487 东北农业大学 陈曦 110024 东北农业大学 池冰 110034 哈尔滨工业大学 李保磊 110143 东北林业大学 李腾飞 110162 哈尔滨工程大学 马建强 110249 哈尔滨工程大学 王欣宇 110378 哈尔滨工程大学 赵志强 110540 哈尔滨理工大学 杨超毅 110444 哈尔滨工业大学 岑启锋 110009 东北农业大学 李钰航 110178 哈尔滨工业大学 马舜 110251 哈尔滨工业大学 宋佳凝 110300 哈尔滨工业大学 谭池 110319 哈尔滨工程大学 薛晓杰 110436 哈尔滨工业大学 于震 110470 哈尔滨工业大学 张静元 110494 东北林业大学 张沛 110502 东北石油大学 赵璇 110536 哈尔滨工业大学 李梦奇 110159 哈尔滨工业大学 刘源斌 110226 哈尔滨工业大学 吴鹏程 110395 哈尔滨工业大学 叶雪香 110459 哈尔滨工业大学 张烁 110505 哈尔滨工业大学 赵翔 110533 哈尔滨工业大学 周邦召 110549 哈尔滨工业大学 金鑫 110124 东北林业大学 赵志强 110540 哈尔滨理工大学 陈志伟 110029 哈尔滨工程大学 王儒文 110365 哈尔滨工程大学 董日治 110046 东北石油大学 孙庆涛 110315 东北石油大学 陈曦 110024 东北农业大学 李岩奇 110172 哈尔滨理工大学 赵金阳 110524 哈尔滨理工大学 赵天骄 110531 黑龙江科技大学 金鑫 110124 东北林业大学 张帆 110487 东北农业大学 刘士祥 110215 哈尔滨理工大学 张尚尚 110504 哈尔滨理工大学 张宏110489 东北农业大学。
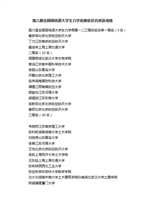
第六届全国周培源大学生力学竞赛获奖名单及成绩
第六届全国周培源大学生力学竞赛一二三等获奖名单一等奖(3名)曹娇坤北京北京航空航天大学
丁力江苏南京航空航天大学
崔进举上海上海交通大学
二等奖(10名)
周建银湖北武汉大学水电学院
曾鸿江安徽中国科学技术大学
李超山东青岛大学
邓磊北京北京理工大学
赵伟湖南国防科技大学
谭建江西南昌航空大学
顾振华江苏河海大学
胡耀武江苏东南大学
李新田北京北京航空航天大学
曹硕北京北京航空航天大学
三等奖(30名)
韦晓栋江苏南京理工大学
张科乾湖南湖南大学土木学院
刘桂根山东青岛大学
李昊江苏河海大学
王悦北京北京航空航天大学
李航上海同济大学土木学院
汪东廷上海上海交通大学
张彬陕西西北工业大学
张召彬吉林吉林大学数学学院
沈大为湖南中南大学土木建筑学院孙峰湖北武汉大学土建学院
陈娟福建厦门大学。
全国周培源力学竞赛简章
全国周培源力学竞赛是以周培源教授为名义举办的力学竞赛。
该竞赛旨在挖掘和培养优秀的力学人才,促进力学教育的发展和学科建设。
竞赛面向全国高校力学专业的本科生和研究生,每年举办一次。
二、竞赛形式
竞赛形式包括笔试和实验两个部分。
笔试部分主要考察学生的理论知识和解题能力,实验部分主要考察学生的实验技能和数据处理能力。
竞赛试卷为闭卷,考试时间通常为4个小时。
三、竞赛内容
竞赛内容主要涉及静力学、动力学、弹性力学、流体力学等力学基础理论和力学实验技能。
试题难度层次分为本科生组和研究生组两个级别。
四、竞赛奖励
竞赛设一、二、三等奖和优秀奖等奖项,每个奖项设若干名获奖者。
同时,获奖者还将获得奖金和荣誉证书。
特别优秀的选手还有机会获得实习或就业机会。
五、竞赛报名
竞赛报名时间为每年4月至5月,具体时间以主办方公告为准。
报名方式为在线报名,报名截止后主办方将发布考试通知和考生须知。
六、竞赛办法
竞赛实行“公平、公正、公开”的原则。
竞赛试题由主办方组织专家编制,考试现场由主办方负责监考。
考试成绩由主办方组织专家
评分,评分结果以主办方公布的成绩为准。
七、竞赛注意事项
1.竞赛试卷为闭卷,考试时间为4个小时。
2.考试现场禁止携带通讯设备、参考资料等作弊工具。
3.考试成绩以主办方公布的成绩为准,异议可在规定时间内向主办方提出。
4.竞赛期间如有任何疑问,请及时联系主办方。
第十届全国周培源大学生力学竞赛“理论设计与操作”团体冠军队的设计方案张涵寓;杨丰源;王仕青;张乾龙;谭栋国【摘要】简要介绍了湖南大学代表队在第十届周培源大学生力学竞赛“理论设计与操作”团体赛中的解题思路以及设计方案,总结了参加此次竞赛的几点心得体会。
【期刊名称】《力学与实践》【年(卷),期】2016(038)003【总页数】3页(P347-349)【关键词】力学竞赛;设计方案;心得体会【作者】张涵寓;杨丰源;王仕青;张乾龙;谭栋国【作者单位】湖南大学机械与运载工程学院,长沙 410006;湖南大学机械与运载工程学院,长沙 410006;湖南大学土木工程学院,长沙 410006;湖南大学机械与运载工程学院,长沙 410006;湖南大学机械与运载工程学院,长沙 410006【正文语种】中文【中图分类】O31;O341在第十届全国周培源大学生理论设计与操作团体赛中,湖南大学代表队以优异成绩完成全部4个项目的比赛,并取得特等奖.下面将对湖南大学代表队关于此次比赛4个项目的分析过程和设计方案进行简要介绍,希望对学生学习材料力学和理论力学课程以及今后参加力学竞赛团体赛有所启发和帮助.1.1 谁的刚度最大第一道题目要求根据提供的材料设计制作一个跨度为 800mm,具有一定刚度的悬臂结构(如图1),此题在本届4道题目中属于最容易的一道题目,规定完成时间也最短,要求考生具备在最短时间找出最优方案,并短时间内分工协作完成题目的能力.拿到题目后,由于可使用搭建悬臂结构的主材只有吸管,为了保证更大的惯性矩和更好的稳定性,我们团队很快就达成共识-使用桁架结构,如何在结构上寻找薄弱环节进行结构优化成为我们关注的焦点.经过深入思考与讨论,设计方案成型:考虑到四边形截面不利于结构稳定而且会耗费更多材料,其他更加复杂的截面形式所需要耗费制作时间又过长,所以我们采用三角形截面,并利用所给固定区域最大竖向距离确定三角形截面的高度;由于从自由端至固定端弯矩线性增大,所以设计变截面来节约材料;利用材料中的棉线作为斜拉索来限制梁的竖向挠度,并通过斜拉索使悬臂结构内部产生预应力,从而可以最大限度的减小结构变形.我们将吸管套接并用大头针固定,桁架利用在基座打孔穿钉的方式与基座固结,利用合理工序避免结构中有害的装配应力.手工制作误差使悬挂重物位置不一定在理论上的截面水平方向中点,通过试验确定螺母悬挂位置使得梁结构不发生扭转变形,完成了整个装置的制作,设计方案如图2所示.最终与上海交通大学代表队在此项目上并列第一.1.2 谁吊起的重物最重第2题题干要求利用所提供的材料设计制作一个起吊装置,如图3所示.该题目提供的材料比较丰富,思路难以把握,制作工艺复杂.经过仔细讨论,形成了一个统一的意见:设计一个塔吊结构.由于时间紧迫,确定了塔吊结构型式之后,我们就开始了塔吊的制作,并在制作过程中思考如何实现重物竖直运动到水平运动的转换.我们花了两个半小时来制作塔吊,由于该方案的工作量极大.还剩一个小时的时候,我们已经感觉到无法在规定时间内完成该方案.这时,一个大胆而疯狂的想法被提了出来:不搞任何复杂的机械结构和承重结构,只需要简单地实现重物的竖直运动,水平运动采取滑落的方式,而实现这一切只靠一根铁丝!这个方案之中有一个关键问题我们反复考虑:控制螺母水平方向滑落的铁丝除了末端没有任何其他固定和支撑,在螺母运动过程中铁丝会产生较大的变形限制运送螺母的数量,因此如何尽可能提高数量成了关键.于是我们完善了设计思路:木板当底座固定马达,木板上用筷子搭建一个简单牢固的高塔,铁丝弯成倒立的L型底端固定于底座,并且与木筷高塔独立.高塔的作用仅仅是传递马达产生的将重物竖直提升的力,而倒立L型铁丝充当导轨,将充当重物螺母套进铁丝固定螺母移动路径,实现水平运动仅仅靠倒立L型铁丝水平伸出的那一段.由于马达扭力强劲,实现竖直运动非常简单,水平运动中铁丝虽然会发生较大变形,但是足以将螺母滑送至目标位置.在试验成功之后,我们便开始思考如何增加装置的运送能力:利用组委会提供的铅笔当润滑剂使整个导轨更加光滑,利用力学数学相关知识优化了下滑钢丝导轨段的曲线形状,加固木筷高塔减小结构振动.最终使我们在规定的三个半小时比赛时间内顺利完成了装置的制作,并且以运送5个螺母的成绩完成了比赛.1.3 谁穿过隧道的能力最强本题要求制作一台小车,并使该装置储备一定的机械能.利用小车所储备的机械能,使小车前进的距离越远,获得的分数越高(图4).这道题提供的制作材料较多,其中包括弹簧、微型的蓄力齿轮箱和发条.该题关键有两个:一是动力装置选择与装配,二是减小阻力.经过讨论,我们一致认为动力装置是重中之重,动力装置可以采用弹簧或者发条.由于考虑到弹簧过于简单,而提供的发条足够大,能够提供足够的动力,因此我们首先考虑采用采用发条的方案,仿照微型蓄力齿轮箱的结构,做一个适合比赛的蓄力齿轮箱来带动小车.但在实际制作过程中发现该装置需要在木板上制孔为蓄力齿轮箱提供支撑,而中间还要有三级齿轮传动,装置的精度我们完全无法保证,还有发条的固定等一系列问题难以在规定的时间内完成.最后还有半个小时,蓄力齿轮箱方案面临多个问题.此时,我们决定放弃蓄力齿轮箱方案,转投弹簧的方案,将橡皮管卷在车轮轴上,小车压缩弹簧,通过橡皮管的拉伸和压簧的压缩弹力作为动力来源,尽量简化装置,以减小摩擦.最后,小车跑了四米多远,顺利完成了比赛.1.4 谁找得最准最后是一道理论分析题,要求在给定的矩形面板(如图5所示)上确定一条直线,使得矩形板绕该直线转动时,所产生的振动最小.前面三道题都是设计操作方面的,这最后一题考查的是理论分析和实验结合的能力.这道题不仅考查准确度,还将完成速度作为考核指标.为了获得高分,必须权衡精度和速度.根据所学的力学知识,要想产生的振动最小,必定是绕面板过质心的惯性主轴转动,质心用悬挂法很容易测得,如何确定惯性主轴是其中的难点问题.由于矩形面板不规则,只能得到近似解,同时该题可以采用理论计算、实验和拆凑割补的方案,每一种方法都有误差,因此如何提高精度是关键.为了提高解题速度和精度,我们决定三个人分别采用三种不同的方案进行求解,然后再综合平均.理论计算的具体步骤为,首先过质心画一条线把板分成两块使其一侧尽量规则以便计算一侧质心,一侧质心必定与另一侧质心关于整个板的质心对称.连接一侧质心与整个板质心做出一条直线,看这条直线与一开始过质心做的直线是否垂直,如果不垂直就再次调整划分板的直线的角度,逐渐逼近真实结果.实验方法是将板在非常接近边界的位置打孔悬挂起来,此时悬挂点与质心连线所形成的轴必定垂直于大地,操纵悬挂线旋转带动板绕轴旋转,观察轴的振动情况,如果轴线始终与大地垂直不产生振动,则找出答案.所以此实验也属于试错法,但是在做实验的过程中,空气阻力是无法控制的变量,导致实验有一定误差.拆凑割补方法也是在近似的情况下进行的,第一步和方案一类似,找一个过质心的轴,左右两侧划分成小块区域,寻找对应关于轴可平衡区域.如果不平衡必定存在找不到对应区域的小区域,则再次调整轴线夹角重复以上过程,直到两侧小区域一一对应为止.在比赛进行50分钟之后,我们把各自找到的直线进行比对,很惊奇地发现,我们三人的答案极其接近.于是,最终结果取的是三人结果的平均值.最终我们给出的精度极高,这场比赛我们也获得了95.8的全场最高分.本次力学竞赛结束了,回顾从赛前培训到比赛期间的经历,有许多心得体会可以分享.赛前,指导教师为我们制定了十余天的培训计划.我们对精心挑选的培训题目进行了理论分析和实际操作,提高了我们的动手操作能力.完成后我们还对题目进行深入讨论,对其中涉及的理论力学和材料力学知识进行归纳总结.比赛过程中,我们会用十多分钟将题目认真通读两遍,弄清题目要求、评分标准并检查材料是否齐全,队员独自思考五分钟后便开始讨论确定设计思路,根据队员实际擅长安排分工动手制作.当制作中发现新问题不确定能否解决时,我们便安排其中一名同学寻找新思路,另两名同学继续原有思路制作,确保能够完成比赛.当作品完成,我们继续对不足之处进行弥补和改善.全国周培源大学生力学竞赛是一项适应我国教育改革潮流的赛事[1],给全国上下热爱力学的青年学子一个展现自我才华的机会,让大学生在公平竞争中提高自身理论水平与创新能力,拓展了大学生的眼界.真诚希望全国周培源大学生力学竞赛越办越好.致谢感谢湖南大学力学系任毅如老师、方棋洪老师和肖万伸老师在本次竞赛和论文写作过程中对我们进行的悉心指导和帮助.【相关文献】1武际可.在第七届全国周培源大学生力学竞赛团体赛开幕式上的讲话(二).力学与实践,2009,31(5):101-102。
全国周培源大学生力学竞赛20年总结
蒋持平
【期刊名称】《力学与实践》
【年(卷),期】2007(29)2
【摘要】全国周培源大学生力学竞赛从1986年酝酿筹办、1988年成功地举办第1届至今已走过了20年的历程,发展成为了在全国高校有重要影响的竞赛活动.如今该项竞赛被批准为教育部高教司委托主办的大学生科技竞赛,值此之际,总结过去的成功经验,分析所存在的问题,规划未来发展的蓝图,是十分重要的.
【总页数】2页(P91-92)
【作者】蒋持平
【作者单位】北京航空航天大学航空科学与工程学院,北京,100083
【正文语种】中文
【中图分类】F832.33
【相关文献】
1.从竞赛看基础力学教与学的质量提升——全国基础力学青年教师讲课比赛和全国周培源大学生力学竞赛相关分析与思考 [J], 叶志明;黄兴
2.第十一届全国周培源大学生力学竞赛个人赛命题总结 [J], 肖万伸;彭凡;任毅如;方棋洪;周加喜;杨刚;刘腾喜
3.第八届全国周培源大学生力学竞赛团体赛总结 [J], 高云峰;庄茁;殷雅俊
4.让我们仰望星空——第七届全国周培源大学生力学竞赛总结 [J], 蒋持平
5.第十一届全国周培源大学生力学竞赛“理论设计与操作”团体赛命题和竞赛总结[J], 任毅如;方棋洪;肖万伸;彭凡;周加喜;杨刚;刘文洋;刘腾喜;胡绚
因版权原因,仅展示原文概要,查看原文内容请购买。