6 电磁场与电磁波 第六章 答案
- 格式:doc
- 大小:335.00 KB
- 文档页数:5
第六章时变电磁场有一导体滑片在两根平行的轨道上滑动,整个装置位于正弦时变磁场之中,如题图所示。
滑片的位置由确定,轨道终端接有电阻,试求电流i.解穿过导体回路abcda的磁通为故感应电流为一根半径为a的长圆柱形介质棒放入均匀磁场中与z轴平行。
设棒以角速度绕轴作等速旋转,求介质内的极化强度、体积内和表面上单位长度的极化电荷。
解介质棒内距轴线距离为r处的感应电场为故介质棒内的极化强度为极化电荷体密度为极化电荷面密度为则介质体积内和表面上同单位长度的极化电荷分别为平行双线传输线与一矩形回路共面,如题图所示。
设、、,求回路中的感应电动势。
解由题给定的电流方向可知,双线中的电流产生的磁感应强度的方向,在回路中都是垂直于纸面向内的。
故回路中的感应电动势为式中故则有一个环形线圈,导线的长度为l,分别通过以直流电源供应电压U0和时变电源供应电压U(t)。
讨论这两种情况下导线内的电场强度E。
解设导线材料的电导率为,横截面积为S,则导线的电阻为而环形线圈的电感为L,故电压方程为当U=U0时,电流i也为直流,。
故此时导线内的切向电场为当U=U(t)时,,故即求解此微分方程就可得到。
一圆柱形电容器,内导体半径为a,外导体内半径为b,长为l。
设外加电压为,试计算电容器极板间的总位移电流,证明它等于电容器的传导电流。
解当外加电压的频率不是很高时,圆柱形电容器两极板间的电场分布与外加直流电压时的电场分布可视为相同(准静态电场),即故电容器两极板间的位移电流密度为则式中,是长为l的圆柱形电容器的电容。
流过电容器的传导电流为可见由麦克斯韦方程组出发,导出点电荷的电场强度公式和泊松方程。
解点电荷q产生的电场满足麦克斯韦方程和由得据散度定理,上式即为利用球对称性,得故得点电荷的电场表示式由于,可取,则得即得泊松方程试将麦克斯方程的微分形式写成八个标量方程:(1)在直角坐标中;(2)在圆柱坐标中;(3)在球坐标中。
解(1)在直角坐标中(2)在圆柱坐标中(3)在球坐标系中已知在空气中,求和。
第六章 无界空间平面电磁波的传播 习题解答欧阳家百(2021.03.07)6-1.已知自由空间的电磁波的电场强度E 的瞬时值为试回答下列问题:(1)该电磁波是否属于均匀平面波?沿何方向传播?(2)该电磁波的频率、波长、相位常数和相速度各为多少?(3)该电磁波的磁场强度的瞬时表达式。
解 (1)均匀平面波等振幅面与等相位面重合,在垂直于传播方向上E 、H 的方向和大小都不变的电磁波。
由题给电磁波电场强度的表达式,可知电磁波沿-Z 方向传播,电场强度在垂直于传播方向+Y 方向,且振幅为常数,所以电磁波属于均匀平面波。
(2)与沿-Z 方向传播,且电场强度矢量沿y e 方向的均匀平面波的一般表达式相比较,可知因此,有频率 83.010()2f Hz ωπ==⨯ 波长 21()m k πλ==相速度 881 3.010 3.010(/)f m s ϕυλ==⨯⨯=⨯显然,自由空间电磁波的相速度等于光速。
(3)磁场强度H的瞬时表达式为而代入,得到6-2.理想介质(介质参数为μ=μ0,ε=εr ε0,σ=0)中有一均匀平面电磁波沿X方向传播,已知其电场瞬时表达式为试求:(1)该理想介质的相对介电常数;(2)该平面电磁波的磁场瞬时表达式;(3)该平面电磁波的平均功率密度。
解(1)根据有(2)磁场的瞬时表达式而理想介质中的波阻抗为所以,有(3)平均坡印廷矢量由电场强度E和磁场强度H的瞬时表达式可知,电场和磁场的复振幅矢量为有6-3.空气中一平面电磁波的磁场强度矢量为求:(1)波的传播方向;(2)波长和频率;(3)电场强度矢量E;(4)平均坡印廷矢量。
解(1)根据平面波的一般表达式比较可知有因此,波传播的单位矢量为(2)波长频率(3)电场强度矢量与磁场强度矢量的关系可由麦克斯韦方程得到将波矢量和磁场矢量代入,有(3)平均坡印廷矢量由电场强度E和磁场强度H的瞬时表达式可知,电场和磁场的复振幅矢量为代入得到6-7.在非磁性、有耗电介质中,一个300MHz的平面电磁波的磁场复振幅矢量为求电场、磁场矢量的时域表达式。
第六章 时变电磁场6.1 有一导体滑片在两根平行的轨道上滑动,整个装置位于正弦时变磁场5cos mT z e t ω=B 之中,如题 6.1图所示。
滑片的位置由0.35(1cos )m x t ω=-确定,轨道终端接有电阻0.2R =Ω,试求电流i.解 5cos 0.2(0.7)cos [0.70.35(1cos )]0.35cos (1cos )z z d B ad ab t x t t t t ωωωωωΦ==⨯=⨯-=--=+⎰g g B S e e故感应电流为110.35sin (12cos ) 1.75sin (12cos )mAin d i R R dt t t t t R ωωωωωωΦ==-=-+-+E6.2 一根半径为a 的长圆柱形介质棒放入均匀磁场0z B =B e 中与z 轴平行。
设棒以角速度ω绕轴作等速旋转,求介质内的极化强度、体积内和表面上单位长度的极化电荷。
解 介质棒内距轴线距离为r 处的感应电场为00z r r r B φωω=⨯=⨯=E v B e e B e故介质棒内的极化强度为 00000(1)()e r r r r B r B εεεωεεω==-=-P E e e X极化电荷体密度为2000011()()2()P rP r B r r r rB ρεεωεεω∂∂=-∇⋅=-=--∂∂=--P极化电荷面密度为00()(P r r r a e r σεεωε==⋅=-⋅=-P n B e 则介质体积内和表面上同单位长度的极化电荷分别为220020012()212()P P PS P Q a a B Q a a B πρπεεωπσπεεω=⨯⨯=--=⨯⨯=-6.3 平行双线传输线与一矩形回路共面,如题6.3图所示。
设0.2a m=、0.1m b c d ===、71.0cos(210)A i t π=⨯,求回路中的感应电动势。
解 由题给定的电流方向可知,双线中的电流产生的磁感应强度的方向,在回路中都是垂直于纸面向内的。
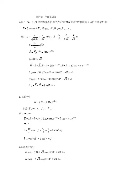
第六章 平面电磁波 1.在εr=2, μr=1的理想介质中,频率为f =150MHZ 的均匀平面波沿y 方向传播,y=0处,E =zˆ10V/m,求E , E (y,t), H ,H (y,t) ,S c,υp.解:s m c cv rr p /2==εμ,m f c fv p 222===λπλπ22==kyj jkye z eE E π2010ˆ--==Z=120π/2Z e z yZ E k H yj /10ˆˆ/ˆ2π-⨯=⨯==-xˆ(2/12π)yj e π2-E (y,t)= zˆ102cos(2π*150*106t-2πy) H (y,t)= -xˆ/6πcos(2π*150*106t-2πy) Sc=*H E ⨯=yˆ52/6π2.在真空中H =xˆx H =x ˆ0H zj e π2求E ,E (z,t), λ, f ,Z, S c.解:Z=120πE =kH Z ˆ⨯=z j e H z x ππ20120)ˆ(ˆ-⨯=y ˆ120π0H z j e π2 k=2πλ=k π2=1m ,Hz c v f p 8103⨯===λλ Sc=*H E⨯=-zˆ120π0H 23.在理想介质中E (x,t)= y ˆ80π2cos(10*107πt+2πx)H (x,t)= -z ˆ2cos(10*107πt+2πx)求: f , εr, μr ,λ.解:71010⨯=πω,f =πω2=5*107Hz π2=k ,λ=kπ2=1m,m f c 60==λ由: k=2π=ω (εrμr)2/1及 Z=80π=120π(μr /εr)2/1 得:εr=9 ,μr=44.均匀平面电磁波在真空中沿kˆ=1/2(yˆ+z ˆ)方向传播, 0E =10x ˆ,求E ,E (y,z,t),H ,H (y,z,t), Sc解:则k=2π,E =0E r k j e ∙-=xˆ10))(2(z y j e +-πH =1/Z*⨯kˆE =2/24π(yˆ-z ˆ))(2z y j e +-πE (y,z,t)= xˆ102cos(2πc/λt-(2π)(y+z)) H (y,z,t)= 1/12π(y ˆ-z ˆ)cos(2πc/λt-(2π)(y+z)) Sc=*H E ⨯=(5/62π)(yˆ+z ˆ)5、在均匀理想介质中)sin(2ˆ)cos(2ˆ)(00kz t E y kz t E xt E -+-=ωω. 求)(t H及平均坡印亭矢量。
第6章 平面电磁波点评:1、6-8题坡印廷矢量单位,2W m ,这里原答案有误!2、6-13题第四问应为右旋圆极化波。
3、6-19题第三问和第四问,原答案错误。
这里在介质一中,z<0。
4、矢量书写一定引起重视,和标量书写要分清,结果若是确切的数值则单位一定要标清楚。
5、马上期末考试,那些对参考答案借鉴过多的同学务必抓紧时间把每道题目弄懂!本章是考试重点,大家务必弄懂每道题。
6-1、已知正弦电磁场的电场瞬时值为()()88,0.03sin 100.04cos 10 3x x z t t kz t kz V m πππ⎛⎫=-+-- ⎪⎝⎭E e e试求:⑴ 电场的复矢量;⑵ 磁场的复矢量和瞬时值。
解:(1)()8,0.03cos 102x z t t kz ππ⎛⎫=-- ⎪⎝⎭E e +80.04cos 103x t kz ππ⎛⎫-- ⎪⎝⎭e所以电场的复矢量为32()0.030.04 j j jkz x z e e e V m ππ---⎡⎤=+⎢⎥⎣⎦E e(2) 由复数形式的麦克斯韦方程,得到磁场的复矢量3200054321()0.030.04 7.610 1.0110j j jkz x y yj j jkz y E j kz e e e j z k e e e A mππππωμωμωμ--------⎡⎤∂=-∇⨯==+⎢⎥∂⎣⎦⎡⎤=⨯+⨯⎢⎥⎣⎦H E e e e磁场的瞬时值则为()5848(,)7.610sin 101.0110cos 103y z t k t kz t kz πππ--⎡⎤⎛⎫=⨯-+⨯-- ⎪⎢⎥⎝⎭⎣⎦H e6-2、真空中同时存在两个正弦电磁场,电场强度分别为1110jk z x E e -=E e ,2220jk z y E e -=E e ,试证明总的平均功率流密度等于两个正弦电磁场的平均功率流密度之和。
解:由麦克斯韦方程11111001()jk z xyy E jk E e j zωμ-∂∇⨯==-=-∂E e e H 可得111100jk z yk E e ωμ-=H e故2*11011101Re 22zk E ωμ⎡⎤=⨯=⎢⎥⎣⎦S E H e 同理可得22222002()y jk z xx E jk E e j zωμ-∂∇⨯=-=--=-∂E e e H222200jk z xk E e ωμ-=-H e2*22022201Re 22zk E ωμ⎡⎤=⨯=⎢⎥⎣⎦S E H e 另一方面,因为12=+E E E 0y x x y E Ej z zωμ∂∂∇⨯=-+=-∂∂E e e H所以212120100jk z jk z xyk k E e E e ωμωμ--=-+H e e22*110220120011Re 22z k E k E ωμωμ⎛⎫⎡⎤=⨯=+=+ ⎪⎢⎥⎣⎦⎝⎭S E H e S S6-5、已知在自由空间中球面波的电场为0sin cos()E t kr r θθω⎛⎫=- ⎪⎝⎭E e ,求H 和k 。
第6章习题答案6-1 在1=r μ、4=r ε、0=σ的媒质中,有一个均匀平面波,电场强度是)3sin(),(πω+-=kz t E t z E m若已知MHz 150=f ,波在任意点的平均功率流密度为2μw/m 265.0,试求:(1)该电磁波的波数?=k 相速?=p v 波长?=λ波阻抗?=η (2)0=t ,0=z 的电场?)0,0(=E(3)时间经过μs 1.0之后电场)0,0(E 值在什么地方?(4)时间在0=t 时刻之前μs 1.0,电场)0,0(E 值在什么地方? 解:(1))rad/m (22πεπμεω===r cfk )m/s (105.1/8⨯==r p c v ε)m (12==kπλ )Ω(60120πεμπη=rr=(2)∵ 6200210265.02121-⨯===m rm av E E S εεμη∴ (V/m)1000.12-⨯=m E)V/m (1066.83sin)0,0(3-⨯==πm E E(3) 往右移m 15=∆=∆t v z p(4) 在O 点左边m 15处6-8微波炉利用磁控管输出的2.45GHz 频率的微波加热食品,在该频率上,牛排的等效复介电常数)j 3.01(40~-=rε。
求: (1)微波传入牛排的穿透深度δ,在牛排内8mm 处的微波场强是表面处的百分之几?(2)微波炉中盛牛排的盘子是发泡聚苯乙烯制成的,其等效复介电常数=r ε~ )103.0j 1(03.14-⨯-。
说明为何用微波加热时,牛排被烧熟而盘子并没有被毁。
解:(1)20.8mm m 0208.011211212==⎥⎥⎦⎤⎢⎢⎣⎡-⎪⎭⎫ ⎝⎛+==-ωεσμεωαδ%688.20/8/0===--e e E E z δ(2)发泡聚苯乙烯的穿透深度(m)1028.103.1103.01045.22103212213498⨯=⨯⨯⨯⨯⨯⨯⨯=⎪⎭⎫ ⎝⎛===-πμεωεσωμεσαδ可见其穿透深度很大,意味着微波在其中传播的热损耗极小,所以不会被烧毁。
第六章 时变电磁场有一导体滑片在两根平行的轨道上滑动,整个装置位于正弦时变磁场5cos mTz e t ω=B 之中,如题图所示。
滑片的位置由0.35(1cos )m x t ω=-确定,轨道终端接有电阻0.2R =Ω,试求电流i.解 穿过导体回路abcda 的磁通为5cos 0.2(0.7)cos [0.70.35(1cos )]0.35cos (1cos )z z d B ad ab t x t t t t ωωωωωΦ==⨯=⨯-=--=+⎰g g B S e e故感应电流为110.35sin (12cos ) 1.75sin (12cos )mAin d i R R dt t t t t R ωωωωωωΦ==-=-+-+E一根半径为a 的长圆柱形介质棒放入均匀磁场0z B =B e 中与z 轴平行。
设棒以角速度ω绕轴作等速旋转,求介质内的极化强度、体积内和表面上单位长度的极化电荷。
解 介质棒内距轴线距离为r 处的感应电场为00z r r r B φωω=⨯=⨯=E v B e e B e故介质棒内的极化强度为 00000(1)()e r r r r B r B εεεωεεω==-=-P E e e X极化电荷体密度为2000011()()2()P rP r B r r r rB ρεεωεεω∂∂=-∇⋅=-=--∂∂=--P极化电荷面密度为0000()()P r r r a e r a B σεεωεεω==⋅=-⋅=-P n B e则介质体积内和表面上同单位长度的极化电荷分别为220020012()212()P P PS P Q a a B Q a a B πρπεεωπσπεεω=⨯⨯=--=⨯⨯=-平行双线传输线与一矩形回路共面,如题图所示。
设0.2a m =、0.1m b c d ===、71.0cos(210)A i t π=⨯,求回路中的感应电动势。
解 由题给定的电流方向可知,双线中的电流产生的磁感应强度的方向,在回路中都是垂直于纸面向内的。
第6章习题答案6-1在r 1、 r 4、0的媒质中,有一个均匀平面波,电场强度是E(z,t) E m sin( t kz —)3若已知f 150 MHz ,波在任意点的平均功率流密度为0.265卩w/m 2,试求:(1) 该电磁波的波数 k ?相速V p ?波长?波阻抗 ?(2)t 0, z 0的电场 E(0,0)?(3) 时间经过0.1 之后电场E(0,0)值在什么地方?(4) 时间在t 0时刻之前0.1 口 s ,电场E(0,0)值在什么地方?—2 f —解:(1) k .——.r 2 (rad/m) cv p c/. r 1.5 108(m/s)k 1(m)(4)在O 点左边15 m 处6-2 一个在自由空间传播的均匀平面波,电场强度的复振幅是—4 j 20 z— 4 j(520 z)八、,、[/ E 10 e je x 10 ee y 伏 / 米试求:(1)电磁波的传播方向?(2) 电磁波的相速V p ?波长 ?频率f ? (3) 磁场强度H ?(4) 沿传播方向单位面积流过的平均功率是多少?=12060 (Q )(2): S a vE m0 60.265 10E m 1.00 10■. 0 r2(V/m)E(0,0)(3)往右移E m sin 8.66 103z v p t 15 m3(V/m )解:(1)电磁波沿z方向传播。
(2)自由空间电磁波的相速v p c 3 108 m/s••• k —20c20 c f —10c3 109Hz217j(20 z )z(3) H ^e z E 26510 7(e 2 e x e j20 z e y )(A/m)*(4)S av ^Re(EH *)^-^e z2.65 10 11e z (W/m 2)226-3证明在均匀线性无界无源的理想介质中,不可能存在 磁波。
证•/ EjkE °e jkz 0,即不满足Maxwell 方程不可能存在E E °e jkz e z 的均匀平面电磁波。
合肥⼯业⼤学电磁场与电磁波第6章答案第6章习题答案6-1 在1=r µ、4=r ε、0=σ的媒质中,有⼀个均匀平⾯波,电场强度是)3sin(),(πω+-=kz t E t z E m若已知MHz 150=f ,波在任意点的平均功率流密度为2µw/m 265.0,试求:(1)该电磁波的波数?=k 相速?=p v 波长?=λ波阻抗?=η(2)0=t ,0=z 的电场?)0,0(=E (3)时间经过µs 1.0之后电场)0,0(E 值在什么地⽅(4)时间在0=t 时刻之前µs 1.0,电场)0,0(E 值在什么地⽅解:(1))rad/m (22πεπµεω== =r cfk)m/s (105.1/8?==r p c v ε)m (12==kπλ )Ω(60120πεµπη=rr=(2)∵ 6200210265.02121-?===m rm av E E S εεµη∴ (V /m)1000.12-?=m E)V/m (1066.83sin)0,0(3-?==πm E E(3)往右移m 15=?=?t v z p(4)在O 点左边m 15处6-2 ⼀个在⾃由空间传播的均匀平⾯波,电场强度的复振幅是⽶伏/1010)202(j 420j 4yx e e E z zeeπππ----+=试求:(1)电磁波的传播⽅向(2)电磁波的相速?=p v 波长?=λ频率?=f (3)磁场强度?=H (4)沿传播⽅向单位⾯积流过的平均功率是多少解:(1)电磁波沿z ⽅向传播。
(2)⾃由空间电磁波的相速m/s 1038?==c v p )m (1.02022===πππλk ∵πω20==ck∴ c πω20=∴ Hz 1031029?===c f πω(3))A/m )((10652120j )220(j 7y z x z z e e .e e E e H πππη-+--+?=?=(4))W/m (106522)Re(21211*z z av .e e H E S *-?=?=?=ηE E6-3 证明在均匀线性⽆界⽆源的理想介质中,不可能存在z e E kz e E j 0-=的均匀平⾯电磁波。
6-1.解:E矢量为y 方向,电磁波沿-z 方向传播,)2106cos(7.37)2(8222z t z E y πππ+⨯⨯-=∂∂)2106cos(7.37)106(82822z t tE y πππ+⨯⨯⨯-=∂∂又π2=k ,μεω22=k ,8106⨯=πω 2222222228222)106()2(tE t E k t E z E y y y y ∂∂=∂∂=∂∂⋅⨯=∂∂∴μεωππ )2106cos(7.378z t E y ππ+⨯=∴符合均匀平面波的一维波动方程,所以它属于均匀平面波。
6-2.解:;10328Hz f ⨯==πω π2=k ;m k 12==πλ;s m kv P /1038⨯==ω;m uE H 1.0/77.3/===εη 波沿-z 轴传播;由右手螺旋法则,H 在x 方向上振动。
6-3. 解: (1)Hz vf 881092.461.0103⨯=⨯==λ (2)91003.2/1⨯==f T s (3)3.1061.022===πλπk (4)12.2377/800/===ηE HA/m 方向为y aˆ 6-4.解:由E 和 H的关系可知:y m x m a az t H aaz t H H ˆ)sin(ˆ)sin(-+--=ωωy m x m a az t E aaz t E ˆ)sin(/ˆ)sin(/00-⋅+-⋅-=ωηωη H E S⨯=z m m z m m a az t E az t E aaz t E az t E ˆ)sin(/)sin(ˆ)sin(/)sin(00-⋅⋅-+-⋅⋅-=ωηωωηω z m a az t E ⋅-=022/)(sin 2ηω6-5 解:Hz U f 98000105.212.0103⨯=⨯==λ5001.050111===H E η 又rrrru u u επεεη120001==πε120500=rru(1)在均匀媒质中有:11v v P = rr u Cf ελ=1 2981108105.2103-⨯⨯⨯⨯==∴λεf C u r r (2)由式(1)、(2)得 99.1=r u 13.1=r ε6-6 解:m V a a aE z y x 310)ˆ2ˆˆ4(⨯+-=1)333310)ˆ78ˆ24ˆ33(3186********ˆˆˆ⨯++-=-⨯-⨯=⨯z y x z y x a a aaaaH E322231078243310)ˆ78ˆ24ˆ33(ˆ⨯++⨯++-=z y x a a aaz y x a a a ˆ89.0ˆ27.0ˆ37.0++= 2)3ˆˆˆ(42)10jkr x y z E aa a e -=-+⨯ˆˆˆ(6183)jkr x y z H aa a e -=+-*311ˆˆˆRe[](332478)1022av x y z S E H aa a =⨯=-++⨯3)HE ur r ==επη1201 5.2=∴r ε6-7解: 1)不失一般性,可假设两圆极化波左旋:)ˆˆ(101y x jkz a j ae E E +=-右旋:)ˆˆ(202y x jkz a j ae E E -=-合成波:21E E E+==y jkz x jkz a e j E E a e E E ˆ)(ˆ)(20102010---++ =y jkz jx jkzae e E E aeE E ˆ)(ˆ)(220102010---++πy x E E+=y x E E ≠ 2πϕϕ-=-y xx E 与y E 振幅不等,相位相差2π为一个椭圆极化波故椭圆极化波可分解为一个左旋圆极化波和一个右旋圆极化波。
第六章 无界空间平面电磁波的传播 习题解答 6-1.已知自由空间的电磁波的电场强度E 的瞬时值为()()()8;37.7cos 6102V/m y z t t z ππ=⨯+E e试回答下列问题:(1)该电磁波是否属于均匀平面波?沿何方向传播?(2)该电磁波的频率、波长、相位常数和相速度各为多少?(3)该电磁波的磁场强度的瞬时表达式。
解 (1)均匀平面波等振幅面与等相位面重合,在垂直于传播方向上E 、H 的方向和大小都不变的电磁波。
由题给电磁波电场强度的表达式,可知电磁波沿-Z 方向传播,电场强度在垂直于传播方向+Y 方向,且振幅为常数,所以电磁波属于均匀平面波。
(2)与沿-Z 方向传播,且电场强度矢量沿y e 方向的均匀平面波的一般表达式()()()0;cos V/m y z t E t kz E e ω=+相比较,可知8610;2k ωππ=⨯=因此,有频率 83.010()2f Hz ωπ==⨯ 波长 21()m k πλ==相速度 881 3.010 3.010(/)f m s ϕυλ==⨯⨯=⨯ 显然,自由空间电磁波的相速度等于光速。
(3)磁场强度H 的瞬时表达式为()()()00011;cos A/m y z t E t kz H k E k e ωηη=⨯=⨯+而0;120()z k e ηπ=-==Ω 代入,得到()()()()()01;()cos A/m 1200.1cos A/m z y x z t E t kz t kz H e e e ωπω=-⨯+=+ 6-2.理想介质(介质参数为μ=μ0,ε=εr ε0,σ=0)中有一均匀平面电磁波沿X 方向传播,已知其电场瞬时表达式为()()()9;377cos 105V/m y x t t x =-E e试求:(1)该理想介质的相对介电常数;(2)该平面电磁波的磁场瞬时表达式;(3)该平面电磁波的平均功率密度。
解 (1)根据00r k有22282290015301022510rk ..(2)磁场的瞬时表达式()()()()()90911;377cos 105A/m 1377cos 105A/m x y z z t t x t x H k E e e eηηη=⨯=⨯-=-而理想介质中的波阻抗为011112012022515rr..所以,有()()()9; 1.5cos 105A/m z z t t x H e =-(3)平均坡印廷矢量1Re 2*av ⎡⎤=⨯⎣⎦S E H 由电场强度E 和磁场强度H 的瞬时表达式可知,电场和磁场的复振幅矢量为55377; 1.5j x j x y z e e E e H e --==有()5521Re 37715282752j x j x av y z x e .e .W /m -⎡⎤=⨯=⎣⎦S e e e 6-3.空气中一平面电磁波的磁场强度矢量为()()631;10cos A/m 22x y z t t x y z ωπ-⎡⎤⎛⎫⎛⎫=+++-- ⎪ ⎪⎢⎥⎝⎭⎝⎭⎣⎦H r e e e求:(1)波的传播方向;(2)波长和频率;(3)电场强度矢量E ;(4)平均坡印廷矢量。
6.2 自由空间中一均匀平面波的磁场强度为)cos()(0x wt H a a H z y π-+= m A /求:(1)波的传播方向;(2)波长和频率;(3)电场强度; (4)瞬时坡印廷矢量。
解:)cos()(0x wt H a a H z y π-+=m A /(1) 波沿+x 方向传播(2) 由题意得:k=π rad/m , 波长m k 22==πλ , 频率Hz c f 8105.1⨯==λ (3))cos(120)(0x wt H a a a H E z y x ππη--=⨯= m v / (4))(cos 24020x wt H a H E S x ππ-=⨯= 2/m w 6.3无耗媒质的相对介电常数4=r ε,相对磁导率1=r μ,一平面电磁波沿+z 方向传播,其电场强度的表达式为)106cos(80z t E a E y β-⨯=求:(1)电磁波的相速;(2)波阻抗和β;(3)磁场强度的瞬时表达式;(4)平均坡印廷矢量。
解:(1)s m cv r r p /105.118⨯===εμμε(2))(6000Ω===πεεμμεμηrr , m r a d c w w r r /4===εμμεβ (3))4106cos(60180z t E a E a H x z -⨯-=⨯=πη m A / (4)π120]Re[2120*E a H E S z av =⨯= 2/m w6.4一均匀平面波从海水表面(x=0)沿+x 方向向海水中传播。
在x=0处,电场强度为m v t a E y /)10cos(1007π =,若海水的80=r ε,1=r μ,m s /4=γ。
求:(1)衰减常数、相位常数、波阻抗、相位速度、波长、趋肤深度;(2)写出海水中的电场强度表达式;(3)电场强度的振幅衰减到表面值的1%时,波传播的距离;(4)当x=0.8m 时,电场和磁场得表达式;(5)如果电磁波的频率变为f=50kHz ,重复(3)的计算。
电磁场与电磁波理论(第二版)(徐立勤,曹伟)第6章习题解答(总10页)--本页仅作为文档封面,使用时请直接删除即可----内页可以根据需求调整合适字体及大小--第6章习题解答已知空气中存在电磁波的电场强度为 ()80cos 6π102πy E e E t z =⨯+V /m试问:此波是否为均匀平面波传播方向是什么求此波的频率、波长、相速以及对应的磁场强度H 。
解:均匀平面波是指在与电磁波传播方向相垂直的无限大平面上场强幅度、相位和方向均相同的电磁波。
电场强度瞬时式可以写成复矢量j 0e kz y E e E -=。
该式的电场幅度为0E ,相位和方向均不变,且0z E e ⋅=⇒z E e ⊥,此波为均匀平面波。
传播方向为沿着z -方向。
由时间相位86π10t t ω=⨯ ⇒ 86π10ω=⨯ 波的频率Hz 1038⨯=f 波数2πk =波长2π 1 m k λ== 相速p 310 m/s v kω==⨯ 由于是均匀平面波,因此磁场为j 0w w1() e kz z x E H e E e Z Z -=-⨯=有一频率为600MHz 的均匀平面波在无界理想介质(r r 4,1εμ==)中沿x +方向传播。
已知电场只有y 分量,初相位为零,且010t t ==s 时,1x =m 处的电场强度值为800kV /m 。
试写出E 和H 的瞬时表达式。
解:根据题意,角频率812π10ω=⨯,r r 0028πk cωωεμεμεμ====,因此 80cos(12π108π)y E e E t x =⨯-由s 10=t ,m 1=x 处的电场强度值为kV/m 800,可以得到kV/m 8000=E8800cos(12π108π) kV/m y E e t x =⨯-根据电场的瞬时表达式可以写出电场的复矢量为j8π800e kV/m x y E e -=波阻抗为()0r w r 060π ΩZ μμμεεε===。
第6章习题答案6-1 在1=r μ、4=r ε、0=σ的媒质中,有一个均匀平面波,电场强度是)3sin(),(πω+-=kz t E t z E m若已知MHz 150=f ,波在任意点的平均功率流密度为2μw/m 265.0,试求:(1)该电磁波的波数?=k 相速?=p v 波长?=λ波阻抗?=η (2)0=t ,0=z 的电场?)0,0(=E(3)时间经过μs 1.0之后电场)0,0(E 值在什么地方?(4)时间在0=t 时刻之前μs 1.0,电场)0,0(E 值在什么地方? 解:(1))rad/m (22πεπμεω===r cfk)m/s (105.1/8⨯==r p c v ε)m (12==kπλ )Ω(60120πεμπη=rr= (2)∵ 6200210265.02121-⨯===m rm av E E S εεμη∴ (V/m)1000.12-⨯=m E)V/m (1066.83sin)0,0(3-⨯==πm E E(3) 往右移m 15=∆=∆t v z p(4) 在O 点左边m 15处6-2 一个在自由空间传播的均匀平面波,电场强度的复振幅是米伏/1010)202(j 420j 4yx e e E z zeeπππ----+=试求: (1)电磁波的传播方向?(2)电磁波的相速?=p v 波长?=λ频率?=f (3)磁场强度?=H(4)沿传播方向单位面积流过的平均功率是多少?解:(1) 电磁波沿z 方向传播。
(2)自由空间电磁波的相速m/s 1038⨯==c v p )m (1.02022===πππλk ∵ πω20==ck∴ c πω20=∴ Hz 1031029⨯===c f πω(3))A/m )((10652120j )220(j 7y z x z z e e.e e E e H πππη-+--+⨯=⨯=(4))W/m (106522)Re(21211*z z av .e e H E S *-⨯=⋅=⨯=ηE E6-3 证明在均匀线性无界无源的理想介质中,不可能存在z e E kz e E j 0-=的均匀平面电磁波。
6.2 自由空间中一均匀平面波的磁场强度为
)cos()(0x wt H a a H z y π-+= m A /
求:(1)波的传播方向;(2)波长和频率;(3)电场强度; (4)瞬时坡印廷矢量。
解:)cos()(0x wt H a a H z y π-+=
m A /
(1) 波沿+x 方向传播
(2) 由题意得:k=π rad/m , 波长m k 22==πλ , 频率Hz c f 8105.1⨯==λ (3))cos(120
)(0x wt H a a a H E z y x ππη--=⨯= m v / (4))(cos 24020x wt H a H E S x ππ-=⨯= 2
/m w 6.3无耗媒质的相对介电常数4=r ε,相对磁导率1=r μ,一平面电磁波沿+z 方向传播,其电场强度的表
达式为)106cos(80z t E a E y β-⨯=
求:(1)电磁波的相速;(2)波阻抗和β;(3)磁场强度的瞬时表达式;(4)平均坡印廷矢量。
解:
(1)s m c
v r r p /105.11
8⨯===εμμε
(2))(6000Ω===πεεμμεμηr
r , m r a d c w w r r /4===εμμεβ (3))4106cos(60180z t E a E a H x z -⨯-=⨯=π
η m A / (4)π120]Re[2120*E a H E S z av =⨯= 2/m w
6.4一均匀平面波从海水表面(x=0)沿+x 方向向海水中传播。
在x=0处,电场强度为m v t a E y /)10cos(1007π =,若海水的80=r ε,1=r μ,m s /4=γ。
求:(1)衰减常数、相位常数、波阻抗、相位速度、波长、趋肤深度;
(2)写出海水中的电场强度表达式;
(3)电场强度的振幅衰减到表面值的1%时,波传播的距离;
(4)当x=0.8m 时,电场和磁场得表达式;
(5)如果电磁波的频率变为f=50kHz ,重复(3)的计算。
比较两个结果会得到什么结论?
解:
(1)
)
/(9.82)
/(9.822211800m r a d m Np r
==≈==
∴>>==ωμγ
βπωμγαεωεγωεγ
s m v j j p /1053.3)1(2
)1(26⨯==Ω+=+==β
ωπγωμεμη m
m c 11.01707.02====αδβ
π
λ
(2)m v x t e a E x y /)9.810cos(10079.8-=-π
(3)m x e
x 52.0%19.8=∴=- (4)4)1(2πππ
ηj e j =+=
x j x y e e a E 9.89.8100
--= m A x e a e H H m A e e a E a H x z t j j x j x z x /)4
9.810cos(100]Re[/100179.849.89.8ππππ
ηωπ--==∴=⨯=∴---- 当x=0.8m 时,
m A t a H m
v t a E z y /)9.710cos(026.0/)11.710cos(082.077-=-=ππ
(5)当f=50KHz 时,
m Np f /89.02===μγπωμγ
α
m x e x 2.5%
189.0=∴=∴-
结论:频率越大,电磁波衰减越快。
6.5判断下面表示的平面波的极化形式:
(1))sin(2)cos(z wt a z wt a E y x ββ-+-=
(2))cos()sin(z wt a z wt a E y x ββ-+-=
(3))sin(5)sin(z wt a z wt a E y x ββ-+-=
(4))4sin()4cos(πβπβ+-+--=z wt a z wt a E y x 解:(1))sin(2)cos(z wt a z wt a E y x ββ-+-=
)cos(z wt E x β-=∴,)2cos(2)sin(2πββ-
-=-=z wt z wt E y 2,1422
π
φφ=-=+∴y x y x E E 所以,该平面波为右旋椭圆极化波。
(2))cos()sin(z wt a z wt a E y x ββ-+-=
)c o s (),2cos()sin(z wt E z wt z wt E y x βπββ-=-
-=-=∴ 2,122π
φφ-=-=+∴y x y x E E 所以,该平面波为左旋椭圆极化波。
(3))sin(5)sin(z wt a z wt a E y x ββ-+-=
y x φφ= 所以,该平面波为线极化波。
(4))4
sin()4cos(πβπβ+-+--=z wt a z wt a E y x )4
cos()4cos(πβπβ--+--=z wt a z wt a y x y x φφ=∴ 所以,该平面波为线极化波。
6.6均匀平面电磁波频率f=100MHz ,从空气垂直入射到x=0的理想导体上,设入射波电场沿+y 方向,振幅m mV E m /6=。
试写出:(1)入射波电场和磁场表达式;(2)入射波电场和磁场表达式;(3)空气中合成波的电场和磁场;(4)空气中离导体表面最近的第一个波腹点的位置。
解: (1))/(3
2103102288m rad c f w k πππμε=⨯⨯=== )/(632m mV e a E x j y i π-=∴ )/(20132m mA e a E a H x j z i x i ππ
η-=⨯= (2) 电磁波垂直入射到理想导体上
)
/(60
,132m mV e a E T R x j y r π -=∴=-=∴ )/(20)(132m mA e a E a H x j z r x r ππ
η =⨯-= (3)空气中合成波的电场)/)(32sin(12m mV x j a E E E y r i π -=+= 磁场)/)(3
2cos(10m mA x a H H H z r i ππ =+= (4)m k 32==πλ ∴空气中离导体表面最近的第一个波腹点的位置为m 4
34-=-λ 6.8自由空间中一均匀平面电场波垂直入射到半无限大无耗介质平面上,已知自由空间与介质分界面上的反射系数为0.5,且分界面为电场波腹点,介质内透射波的波长是自由空间波长的6/1,求介质的相对磁导率和相对介电常数。
解:设自由空间0101,εεμμ==,无耗介质2,2εμ
Ω==Ω==
=+-=
r r R εμπεμηπεμηηηηη120,1205.02221111
212 9=∴r
r εμ ① 6
1111
11
12121222001
11==∴==
==∴==r r r r f f f f k εμλλεμλεμλεμεμλμε
πλ 36=∴r r εμ ②
由①②得: 2,18==r r εμ
6.15在无线电装置中常配有电磁屏蔽罩,屏蔽罩由铜制成,要求铜的厚度至少为5个趋肤深度,为防止200kHz ~3GHz 的无线电干扰,求铜的厚度;若要屏蔽10kHz ~3GHz 的电磁干扰,铜的厚度又是多少? 解:铜的电导率为m s /108.57⨯=γ
趋肤深度μγ
παδf c 11==
(1)m H kHz f /104,2007min 1-⨯==πμ
m
d m f c c 4114m i n 11104.751048.11
--⨯==∴⨯==∴δμγπδ
(2)m H kHz f /104,107min 2-⨯==πμ
m
d m f c c 3224m i n 22103.351061.61
--⨯==∴⨯==∴δμγπδ
6.17一均匀平面波从空间(媒质1)沿+z 方向垂直入射到8=r ε、2=r μ(媒质2)的理想介质表面上,电磁波的频率为100MHz ,入射波电场的振幅为0E 、极化为+x 方向。
试求:(1)入射波电场强度的表达式;
(2)入射波磁场强度的表达式;
(3)反射系数和透射系数;
(4)媒质1中的电场表达式;
(5)媒质2中的电场表达式。
解:(1)m rad c w w k /3
2111πεμ=== z j x i e E a E 320π-=∴
(2)z j y i z i e E a E a H 32011201ππ
η-=⨯= (3)
Ω===Ω===πεεμμεμηπεμεμη601200022200111r r
Ωπεεμμη60002==r
r 311212-=+-=∴ηηηηR ,3
22122=+=ηηηT (4)z j x z j x r e E a e RE a E 3203203ππ -== z j x z j x r e E a e RE a E 3203203ππ -== (5)m rad c w w k r r /38222πεμεμ==
= z j x z j x t e E a e TE a E 38038032ππ--==。