高一数学 暑假练习 实数与向量的积1
- 格式:doc
- 大小:250.00 KB
- 文档页数:2
实数与向量的积一.知识清单1. 实数与向量的积的定义实数λ与向量a 的积是一个向量,记作 ,它的长度与方向规定如下: (1) ;(2)当0λ>时,λa 的方向与a 的方向 ;当0λ<时,λa 的方向与a 的方向 ;0λ=时,λa = 。
2. 实数与向量的积的运算律:设R λμ∈,则 (1)()a λμ= ; (2)()λμ+a = ;(3)λ(a+b )= ; 3.两个向量共线的充要条件向量b 与非零向量a 共线的充要条件是 ,使得b=λa 4. 平面向量基本定理如果12,e e 是同一平面内两个不共线向量,那么对于这一平面内的任一向量a , ,使得1122a e e λλ=+5.基底用来表示某一平面内任一向量的一对不共线的向量,叫做 。
6.三点共线的充要条件,O A O B 不共线,三点A 、B 、P 共线的充要条件是()AP t AB t R =∈ 二.基础训练1.已知a =12e e +,b =122e e -,则向量a+2b 与2a-b ( )A 一定共线B 一定不共线C 仅当12e e 与共线时共线D 以上均不成立 2.在ABCD 中,AC 与BD 交于点M ,若设AB =a ,AD =b ,则下列选项中与12-a +12b 相等的向量是( )A MAB MBC MCD MD 3.设四边形ABCD 中,有12DC AB =,且AD BC =,则这个四边形是( ) A 平行四边形 B 矩形 C 等腰梯形 D 菱形4.已知向量12,e e 不共线,实数x,y 满足1212(34)(23)63x y e x y e e e -+-=+,则x-y 的值等于( )A 3B -3C 0D 25.若M 是ABC ∆的重心,则下列各向量中与AB 共线的是( ) A AB BC AC ++ B AM MB BC ++ C AM BM CM ++ D 3AM AC +6.若3a =,b 与a 的方向相反,且5b =,则a = b 7.已知向量12,e e 不共线(1)若12AB e e =-,1228BC e e =-,1233CD e e =+,求证A 、B 、D 三点共线; (2)向量12e e λ-与12e e λ-共线,求实数λ的值 三.强化训练1.(2005山东)已知向量a 、b 且AB =a+2b ,BC =-5a+6b ,CD =7a -2b ,则一定共线的三点是( )A A 、B 、D B A 、B 、C C C 、B 、D D A 、C 、D 2.(2006广东)如图D 是ABC ∆的边AB 上的中点,则向量CD =( ) A 12BC BA +B 12BC BA -+ C 12BC BA -- D 12BC BA -3.如图,在ABC ∆中,OA =a ,OB =b,M 为OB 的中点,N 为AB 的中点,P 为ON 、AM 的交点,则AP 等( )A23a 13- b B 23-a 13-b C 13a 23-b D 13-a 23+ b4.(2006武汉)如图所示),已知43AP AB =,用OA 、OB 表示OP ,则OP 等于( )A 1433OA OB -+B 1433OA OB +C 1433OA OB -D 1433OA OB --BCD AAO MNPB。
高一数学实数与向量的积人教版【同步教育信息】一. 本周教学内容:实数与向量的积二. 重点、难点:1. 实数与向量的积的定义和运算律2. 向量共线的充要条件3. 平面向量的基本定理【典型例题】[例1] 设1e 、2e 是两个不共线的向量,已知:212e K e AB +=,213e e CB +=,212e e CD -=,若A 、B 、D 三点共线,求实数K 的值。
解:2121214)3()2(e e e e e e -=+--=-=由三点A 、B 、D 三点共线等价于向量AB 与BD 共线,由向量共线的充要条件知,存在实数λ,使得λ=,即2121214)4(2e e e e e K e λλλ-=-=+[例2] 其中实数λ、证明: 即 令 注:上述结论可推广为以下一段形式,对于0≠λμ,向量μλ+与μλ-共线的充要条件是与共线。
事实上,若与至少有一个为时,命题显然成立,下面对与均不为时加以证明。
充分性,由//,则存在唯一R t ∈,使t =,故t )(μλμλ+=+b t b a )(μλμλ-=- 若0=-μλt ,则0=-b a μλ,故 b a μλ+与b a μλ-共线 若0≠-μλt ,则)(b a t t b a μλμλμλμλ--+=+故μλ+与μλ-共线26 216131)(213121+=-+=+=+=b a 2161+=故-= 即与共线则AC t AM t AP +-=)1(于是MC t AB MP AM AP +=+=31)(31AM t -+=t tt +-=-+=)331()31(31 设s = 同理s s +-=)1(s +=+=41s s+-=)441( 故有s s t t +-=+-)441()331( 由与不共线,故⎪⎪⎩⎪⎪⎨⎧-==-441331st s t解得:⎪⎪⎩⎪⎪⎨⎧==113112s t 所以112113+= [例6] 已知点P 为ABC ∆内一点,且0543=++CP BP AP ,设a AB =,b AC =。
高一数学实数与向量的积一目标:⑴要求学生掌握实数与向量的积的定义、运算律,理解向量共线的充要条件⑵培养发现问题和提出问题的能力,学会分析问题和创造地解决问题;培养学生抽象概括能力和逻辑思维能力,培养善于独立思考的习惯⑶激发学生学习数学的兴趣和积极性,陶冶学生的情操,培养学生坚忍不拔的意志,实事求是的科学学习态度和勇于创新的精神重点:掌握实数与向量的积的定义、运算律、理解向量共线的充要条件 难点:对实数与向量的积的理解、理解向量共线的充要条件 过程:一、复习:向量的加法、减法的定义、运算法则。
二、新课:1.引入:已知非零向量a 作出a +a +a 和(-a )+(-a )+(-a)OC =BC AB OA ++=a +a +a=3aPN =MN QM PQ ++=(-a )+(-a )+(-a )=-3a讨论:①3a 与a 方向相同且|3a |=3|a|②-3a 与a 方向相反且|-3a |=3|a |2.提出课题:实数与向量的积 实数λ与向量a 的积,记作:λa定义:实数λ与向量a 的积是一个向量,记作:λa①|λa |=|λ||a|②λ>0时λa 与a 方向相同;λ<0时λa 与a 方向相反;λ=0时λa=0 3.运算定律:结合律: λ(μa )=(λμ)a① 第一分配律:(λ+μ)a =λa +μa②第二分配律:λ(a +b )=λa+λb ③结合律证明:如果λ=0,μ=0,a=0至少有一个成立,则①式成立aaa a O AB C a -a -a -a-N M Q P如果λ≠0,μ≠0,a ≠0有:|λ(μa )|=|λ||μa |=|λ||μ||a| |(λμ)a |=|λμ|| a |=|λ||μ||a| ∴|λ(μa )|=|(λμ)a|如果λ、μ同号,则①式两端向量的方向都与a 同向; 如果λ、μ异号,则①式两端向量的方向都与a反向。
从而λ(μa )=(λμ)a第一分配律证明:如果λ=0,μ=0,a=0至少有一个成立,则②式显然成立 如果λ≠0,μ≠0,a≠0当λ、μ同号时,则λa 和μa同向,∴|(λ+μ)a |=|λ+μ||a |=(|λ|+|μ|)|a||λa +μa |=|λa |+|μa |=|λ||a |+|μ||a |=(|λ|+|μ|)|a| ∵λ、μ同号 ∴②两边向量方向都与a同向 即:|(λ+μ)a |=|λa +μa|当λ、μ异号,当λ>μ时 ②两边向量的方向都与λa同向 当λ<μ时 ②两边向量的方向都与μa同向 还可证:|(λ+μ)a |=|λa +μa| ∴②式成立 第二分配律证明:如果a=0,b =0中至少有一个成立,或λ=0,λ=1则③式显然成立 当a≠0,b ≠0且λ≠0,λ≠1时1︒当λ>0且λ≠1时在平面内任取一点O ,作=OA a =AB b =1OA λa=11B A λb 则=OB a +b =1OB λa+λb由作法知:AB ∥11B A 有∠OAB=∠OA 1B 1 |AB |=λ|11B A | ==||||111AB B A OA OA λ∴△OAB ∽△OA 1B 1 =||||1OB OB λ ∠AOB=∠ A 1OB 1OABB 1A 1因此,O ,B ,B 1在同一直线上,|1OB |=|λOB | 1OB 与λOB 方向也相同λ(a +b )=λa+λb当λ<0时 可类似证明:λ(a +b )=λa+λb∴ ③式成立4.例1 (见P106)略三、向量共线的充要条件(向量共线定理)1.若有向量a (a ≠0)、b ,实数λ,使b =λa则由实数与向量积的定义知:a 与b为共线向量若a 与b 共线(a ≠0)且|b |:|a |=μ,则当a 与b 同向时b =μa当a 与b 反向时b =-μa从而得:向量b 与非零向量a 共线的充要条件是:有且只有一个非零实数λ使b =λa2.例2(P106 略) 三、小结: 四、作业:课本 P107练习 P109 习题5.3 1、2AOBB 1A。
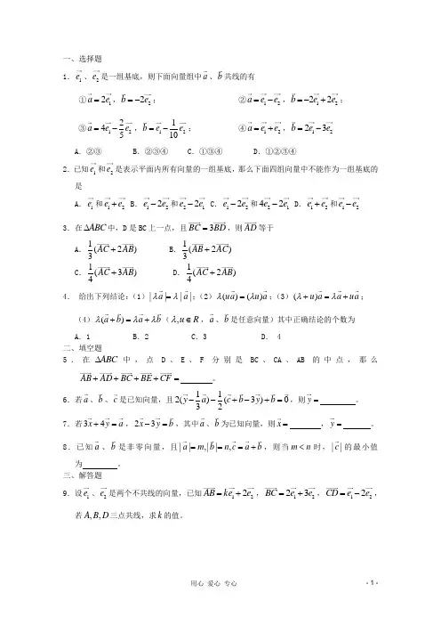
一、选择题1.1e 、2e 是一组基底,则下面向量组中a 、b 共线的有①12a e =,22b e =-; ②12a e e =-,1222b e e =-+; ③12245a e e =-,12110b e e =-; ④12a e e =+,1223b e e =- A .②③ B .②③④ C .①③④ D .①②③④2.已知1e 和2e 是表示平面内所有向量的一组基底,那么下面四组向量中不能作为一组基底的是A .1e 和12e e +B .122e e -和212e e -C .122e e -和2142e e -D .12e e +和12e e -3.在ABC ∆中,D 是BC 上一点,且3BC BD =,则AD 等于A .1(2)3AC AB + B .1(2)3AB AC +C .1(3)4AC AB +D .1(2)4AC AB + 4. 给出下列结论:(1)||||a a λλ=;(2)()()ua u a λλ=;(3)()u a a ua λλ+=+;(4)()a b a b λλλ+=+(,u R λ∈,a 、b 是任意向量)其中正确结论的个数为A .1B .2C .3D . 4二、填空题5.在ABC ∆中,点D 、E 、F 分别是BC 、CA 、AB 的中点,那么AB AD BC BE CF ++++= 。
6.若a 、b 、c 是已知向量,且112()(3)032y a c b y b --+-+=,则y = 。
7.若34x y a +=,23x y b -=,其中a 、b 为已知向量,则x = ,y = 。
8.已知a 、b 是非零向量,且||,||,a m b n c a b ===+,则当m n <时,||c 的最小值为 。
三、解答题9.设1e 、2e 是两个不共线的向量,已知122AB ke e =+,1223BC e e =+,122CD e e =-,若,,A B D 三点共线,求k 的值。
2021-2022年高一数学暑假练习实数与向量的积2一、选择题1.、是一组基底,则下面向量组中、共线的有①,;②,;③,;④,A.②③ B.②③④ C.①③④ D.①②③④2.已知和是表示平面内所有向量的一组基底,那么下面四组向量中不能作为一组基底的是A.和 B.和 C.和 D.和3.在中,D是BC上一点,且,则等于A. B.C. D.4.给出下列结论:(1);(2);(3);(4)(,、是任意向量)其中正确结论的个数为A.1 B.2 C.3 D. 4二、填空题5.在中,点D、E、F分别是BC、CA、AB的中点,那么++++=。
AB AD BC BE CF6.若、、是已知向量,且112()(3)032y a c b y b--+-+=,则。
7.若,,其中、为已知向量,则,。
8.已知、是非零向量,且,则当时,的最小值为。
三、解答题9.设、是两个不共线的向量,已知,,,若三点共线,求的值。
10.在平行四边形ABCD中,M为DC的中点,N为BC的中点,设,。
(1)以为基底表示;(2)以为基底表示。
11.设向量、不共线,向量,且、、有共同的起点,试证:向量、、的终点在一条直线上的充要条件是。
一、选择题1.A2.C3.A4.C二、填空题5.6.7.8.三、解答题9.10.(1)(2)11.略34495 86BF 蚿36643 8F23 輣Q39853 9BAD 鮭Dg28329 6EA9 溩#26458 675A 杚=29668 73E4 珤21016 5218 刘24141 5E4D 幍。
高一数学下学期向量的加减法 实数与向量的乘积同步测试说明:本套试卷分第一卷和第二卷两局部.第一卷60分,第二卷90分,一共150分,答题时间是120分钟.第一卷〔选择题,一共60分〕一、选择题〔每一小题5分,一共60分,请将所选答案填在括号内〕 1.以下各量中不是向量的是〔 〕A .浮力B .风速C .位移D .密度2.以下命题正确的选项是〔 〕 A .向量AB 与BA 是两平行向量 B .假设a 、b 都是单位向量,那么a =bC .假设AB =DC ,那么A 、B 、C 、D 四点构成平行四边形 D .两向量相等的充要条件是它们的始点、终点一样3.在△ABC 中,D 、E 、F 分别BC 、CA 、AB 的中点,点M 是△ABC 的重心,那么 MC MB MA -+等于〔 〕A .OB .MD 4C .MF 4D .ME 4 4.向量b a 与反向,以下等式中成立的是〔 〕A .||||||b a b a -=-B .||||b a b a -=+C .||||||b a b a -=+D .||||||b a b a +=+5.在△ABC 中,AB =AC ,D 、E 分别是AB 、AC 的中点,那么〔 〕A .AB 与AC 一共线 B .DE 与CB 一共线 C .AD 与AE 相等D .AD 与BD 相等6.向量e 1、e 2不一共线,实数x 、y 满足(3x -4y )e 1+(2x -3y )e 2=6e 1+3e 2,那么x -y 的值等于( )A .3B .-3C .0D .27.正方形ABCD 的边长为1, AB =a , BC =b , AC =c ,那么|a +b +c |等于〔 〕A .0B .3C .2D .228.以下各式计算正确的有〔 〕(1)(-7)6a =-42a (2)7(a +b )-8b =7a +15b (3)a -2b +a +2b =2a (4)假设a =m +n ,b =4m +4n ,那么a ∥bA .1个B .2个C .3个D .4个 9.化简)]24()82(21[31b a b a --+的结果是〔 〕A .b a -2B .a b -2C .a b -D .b a -10.以下各式表达不正确的选项是〔 〕A .假设a ≠λb ,那么a 、b 不一共线(λ∈R )B .b =3a (a 为非零向量),那么a 、b 一共线C .假设m =3a +4b ,n =23a +2b ,那么m ∥n D .假设a +b +c =0,那么a +b =-c11.假设2121,,PP P P b OP a OP λ===,那么OP 等于〔 〕A .b a λ+B .b a +λC .b a )1(λλ-+D .b a λλλ+++111 12.对于菱形ABCD ,给出以下各式:①BC AB =②||||BC AB =③||||BC AD CD AB +=- ④||4||||22AB BD AC =+ 2其中正确的个数为 〔 〕A .1个B .2个C .3个D .4个第二卷〔非选择题,一共90分〕二、填空题〔每一小题4分,一共16分,答案填在横线上〕13.|AB |=1,| AC |=2,假设∠BAC =60°,那么|BC |= .14.点A(-1,5)和向量a ={2,3},假设AB =3a ,那么点B 的坐标为 . 15.在四边形ABCD 中,假设||||,,b a b a b AD a AB -=+==且,那么四边形ABCD 的形状是 .16.一艘船从A 点出发以23km/h 的速度向垂直于对岸的方向行驶,而船实际行驶速度的大小为4 km/h,那么河水的流速的大小为 . 三、解答题〔本大题一一共74分,17—21题每一小题12分,22题14分〕 17.菱形ABCD 的边长为2,求向量AB -CB +CD 的模的长.18.设OA 、OB 不一共线,P 点在AB 上.求证: OP =λOA +μOB 且λ+μ=1,λ、μ∈R . 19.向量,,32,32212121e e e e b e e a 与其中+=-=不一共线向量,9221e e c -=,问是否存在这样的实数,,μλ使向量c b a d 与μλ+=一共线?20.i 、j 是两个不一共线的向量,AB =3i +2j ,CB =i +λj , CD =-2i +j ,假设A 、B 、D 三点一共线,试务实数λ的值.21.如图,在△ABC 中,P 是BC 边上的任一点,求证:存在,1)1,0(,2121=+∈λλλλ且使 AC AB AP 21λλ+=.22.一架飞机从A 地按北偏西30°方向飞行3000千米到达13地,然后向C 地飞行,设C 地恰在A 地的北偏东30°,并且A 、C 两地相距3000千米,求飞机从B 地向C 地飞行 的方向和B 、C 两地的间隔 .参考答案一、选择题1.D 2.A3.C 4.C 5.B .A 7.D 8.C9.B 10.A 11.D 12.C 二、填空题13.3 14.(5,4) 15.菱形 16.2 km/h三、解答题17.解析: ∵AB -CB +CD =AB +(CD -CB )=AB +BD =AD又|AD |=2 ∴|AB -CB +CD |=|AD |=218.证明: ∵P 点在AB 上,∴AP 与AB 一共线.∴AP =t AB (t ∈R )∴OP =OA +AP =OA +t AB =OA +t (OB -OA )=OA (1-t )+ OB令λ=1-t ,μ=t∴λ+μ=1∴OP =λOA +μOB 且λ+μ=1,λ、μ∈R19.解析:222,2,,.2339,k R k λμλμλμλμλμ+=⎧=-∈=-⎨-+=-⎩解之故存在只要即可.20.解析: ∵BD =CD -CB =(-2i +j )-(i +λj )=-3i +(1-λ)j∵A 、B 、D 三点一共线,∴向量AB 与BD 一共线,因此存在实数μ,使得AB =μBD ,即3i +2j =μ[-3i +(1-λ)j ]=-3μi +μ(1-λ)j∵i 与j 是两不一共线向量,由根本定理得:⎩⎨⎧=-=∴⎩⎨⎧=-=-312)1(33λμλμμ 故当A 、B 、D 三点一共线时,λ=3.21.解析:如图,作PE ∥AB ,PD ∥AC ,那么||||21BC BC ==λλ,=+=+=+∴21λλ.22.解析:〔1〕3000千米; 〔2〕正向.励志赠言经典语录精选句;挥动**,放飞梦想。
高一数学测试题—实数与向量的积(5)一、选择题:1、下面给出四个命题:1)对于实数m 和向量a,b 恒有:m(a -b )=m a -m b ; 2)对于实数m,n 和向量a ,恒有:(m -n)a =m a -n a ; 3)若m a =m b (m ∈R),则有:a =b ; 4)若m a =n a (m,n ∈R,a ≠0),则m=n. 其中正确命题的个数是 ( ) A .1 B .2 C .3 D .42、设e 1、e 2是两个不共线的向量,则向量a =e 1+λe 2(λ∈R)与向量b =-(e 2-2e 1)共线的充要条件是 ( )A .λ=0B .λ=-1C .λ=-2D .λ=-213、设O 是菱形ABCD 的两对角线交点,下列向量组: ( ) ①与; ②与③与④与其中可作为这个菱形所在平面表示它的所有向量基底的是 ( )A .①②B .③④C .①③D .①④4、己知向量e 1,e 2不共线,下列各项中向量a 、b 不共线的是 ( )A .a =3e 1, b =5e 2B .a =3e 1, b =6e 2C .a =e 1+3e 2, b =3e 1+9e 2D .a =21e 1-e 2 , b =2e 1-4e 2 5、若向量方程2x -3(x -2a )=0,则向量x 等于 ( )A .56a B .-6a C .6a D .-56a 6、在矩形ABCD 中,若=3a,=2b , 则等于( )A .21(3a +2b )B .21(3a -2b )C .21 (2b -3a )D .21(3b +2a )7、下列各式或命题中:①-=②+=0 ③ 0·=0 ④若两个非零向量a 、b满足 a =k b (k ≠0),则a 、b 同向. 正确的个数为 ( )A .0B .1C .2D .3 8、已知O 是△ABC 内一点,存在一组正实数λ1,λ2,λ3,使λ1OA +λ2OB +λ3OC= 0 ,则∠AOB,∠BOC,∠COA ( ) A .都是钝角 B .至多有两个钝角 C .恰有两个钝角 D .至少有两个钝角DC二、填空题: 9、已知向量a =21i -3j , b =5i -j ,则4a -3b =_____________. 10、己知平行四边形ABCD 中,= a,= b , 则=_______,=_________.11、 己知e 1,e 2是不共线的向量,a =k e 1-8e 2, b =2e 1-k e 2,且a 、b 共线,则k=____. 12、在正六边形ABCDEF中,己知= a,= b ,则=__________,=__________,=_________.三、解答题:13、设e 1,e 2是两个不共线的向量,则向量b =e 1+λe 2(λ∈R)与向量a =2e 1-e 2共线的充要条件是什么?14、如图.C 、D 是△AOB 中边AB 的三等分点,试用= e 1,= e 2为基底表示,.15、己知菱形ABCD 的对角线交于O,设= e 1, =e 2,= e 3,=e 4.①试以e 1,e 2为基底表示、 、 、;②以e 1,e 3为基底表示、 ; ③以e 3,e 4为基底表示、.16、用向量的方法证明:顺次连结任一四边形各边中点所得的四边形为平行四边形.高一数学测试题—参考答案实数与向量的积一、CDCBCAAD二、(9)j i 913-- (10))(21),(21b a b a +- (11)4±=k (12)),(21b a +- ).3(21),(21a b b a --- 三、(13)分析:根据两个共线的充要条件. 即存在实数ub ,从而解出λ.解:a 与b 共线,.3231)(3232.3132)(3131.:)14(21,20102,.0)1()2)((2.,112121121122,1212121e e e e e AB OA AD OA OD e e e e e AB OA e e e e e e e e e e b a +=-+=+=+=+=-+=+=+=∴-=-=-==∴⎩⎨⎧=+=-∴=+--+=-=∴ 解不共线即使存在实数λμπμμλμμλμμμ注:在此题中,反复利用三角形法则和向量共线的概念,通过这题同学们应认识基底的作用.其实图中任何向量都可用e 1,e 2表示出来.15.①;,,211221e e e e e e ==-=+=②)2(31e e +-== ③.,4334e e e e --=-=(16)分析:如图:要证EFGH 是平行四边形,只要证EH=FG 且EH//FG .即证.= 解:如图E 、F 、G 、H 分别为AB 、BC 、CD 、DA 的中点,连BD ,则=∴==-=-=-=.21,21)(212121同理 ∴EFGH 为平行四边形.注:=的含义是EH=FG 且EH//FG .本 例的证法说明了向量是解决几何问题有力工具.。
实数与向量的积(1)一、选择题1.已知,u R λ∈,则在以下各命题中,正确的命题的个数是①0,0a λ<≠r r 时,a λr 与a r 的方向一定相反;②0,0a λ≠≠r r 时,a λr 与a r 是共线向量;③0,0u a λ>≠r r 时,a λr 与ua r 的方向一定相同;④若a r 与b r 是不共线的两个向量,则a λr 与ua r 也一定不共线。
A .1B .2C .3D .42.化简1[2(28)4(42)]12a b a b +--r r r r 的结果为 A . 2a b -r r B .2b a -r r C .a b -r r D .b a -r r3.若AD 与BE 分别为ABC ∆的边BC 、AC 上的中线,且,AD a BE b ==u u u r r u u u r r ,则BC uuu r 为A .4233a b +r rB .2433a b +r rC .2233a b -r rD .2233a b -+r r 4.已知命题:0p x =,命题:0q x a ⋅=r r ,则命题p 是命题q 的A .充分不必要条件B .必要不充分条件C .充要条件D .既不充分也不必要条件二、填空题5.若||3a =r ,b r 与a r 的方向相反,且||5b =r ,则a =r b r 。
6.若b c a +=r r r ,则3(2)2(3)2()a b c b a b +-+-+=r r r r r r 。
7.已知1e u r 、2e u r 是不共线向量,128a ke e =-r u r u r ,122b e ke =-r u r u r ,且a r 、b r 共线,则k = 。
8.若点C 在线段AB 上,且35AC AB =u u u r u u u r ,则AC =u u u r BC uuu r 。
三、解答题9.求证:起点相同的三个非零向量a r 、b r 、32a b -r r 的终点在同一条直线上。
高一数学实数与向量的积 人教版教材:实数与向量的积目的:要求学生掌握实数与向量的积的定义、运算律,理解向量共线的充要条件。
过程:一、复习:向量的加法、减法的定义、运算法则。
二、1.引入新课:已知非零向量a 作出a +a +a 和(-a )+(-a )+(-a)=++=a +a +a =3aPN =MN QM PQ ++=(-a )+(-a )+(-a )=-3a讨论:1︒3a 与a 方向相同且|3a |=3|a| 2︒-3a 与a 方向相反且|-3a |=3|a| 2.从而提出课题:实数与向量的积 实数λ与向量a 的积,记作:λa定义:实数λ与向量a 的积是一个向量,记作:λa1︒|λa |=|λ||a|2︒λ>0时λa 与a 方向相同;λ<0时λa 与a 方向相反;λ=0时λa= 3.运算定律:结合律:λ(μa )=(λμ)a①第一分配律:(λ+μ)a =λa +μa②第二分配律:λ(a +b )=λa+λb ③结合律证明:如果λ=0,μ=0,a=至少有一个成立,则①式成立如果λ≠0,μ≠0,a ≠0有:|λ(μa )|=|λ||μa |=|λ||μ||a||(λμ)a |=|λμ|| a |=|λ||μ||a|∴|λ(μa )|=|(λμ)a|如果λ、μ同号,则①式两端向量的方向都与a 同向; 如果λ、μ异号,则①式两端向量的方向都与a反向。
从而λ(μa )=(λμ)aa a a a O A B Ca -a-a-a-NMQP第一分配律证明:如果λ=0,μ=0,a=至少有一个成立,则②式显然成立 如果λ≠0,μ≠0,a≠当λ、μ同号时,则λa 和μa同向, ∴|(λ+μ)a |=|λ+μ||a |=(|λ|+|μ|)|a||λa +μa |=|λa |+|μa |=|λ||a |+|μ||a |=(|λ|+|μ|)|a| ∵λ、μ同号 ∴②两边向量方向都与a同向 即:|(λ+μ)a |=|λa +μa|当λ、μ异号,当λ>μ时 ②两边向量的方向都与λa同向 当λ<μ时 ②两边向量的方向都与μa同向还可证:|(λ+μ)a |=|λa +μa| ∴②式成立 第二分配律证明:如果a=,b =中至少有一个成立,或λ=0,λ=1则③式显然成立 当a≠,b ≠且λ≠0,λ≠1时1︒当λ>0且λ≠1时在平面内任取一点O ,作=a =b =1λa=11B A λb则=a +b =1OB λa+λb由作法知:∥11B A 有∠OAB=∠OA 1B 1 ||=λ|11B A | ==111λ ∴△OAB ∽△OA 1B 1=1λ ∠AOB=∠ A 1OB 1因此,O ,B ,B 1在同一直线上,|1OB |=|λ| 1OB 与λ方向也相同λ(a +b )=λa+λb当λ<0时 可类似证明:λ(a +b )=λa+λb∴ ③式成立OABB 1A 1AOB1A 14.例一 (见P104)略三、向量共线的充要条件(向量共线定理)1. 若有向量a (a ≠0)、b ,实数λ,使b =λa 则由实数与向量积的定义知:a 与b为共线向量若a 与b 共线(a ≠)且|b |:|a |=μ,则当a 与b 同向时b =μa当a 与b 反向时b =-μa从而得:向量b 与非零向量a共线的充要条件是:有且只有一个非零实数λ 使b =λa2.例二(P104-105 略) 三、小结:四、作业: 课本 P105 练习 P107-108 习题5.3 1、2。
一、选择题
1.已知,u R λ∈,则在以下各命题中,正确的命题的个数是
①0,0a λ<≠时,a λ与a 的方向一定相反;
②0,0a λ≠≠时,a λ与a 是共线向量;
③0,0u a λ>≠时,a λ与ua 的方向一定相同;
④若a 与b 是不共线的两个向量,则a λ与ua 也一定不共线。
A .1
B .2
C .3
D .4
2.化简1[2(28)4(42)]12
a b a b +--的结果为 A . 2a b - B .2b a - C .a b - D .b a -
3.若AD 与BE 分别为ABC ∆的边BC 、AC 上的中线,且,AD a BE b ==,则BC 为
A .4233a b +
B .2433a b +
C .2233a b -
D .2233
a b -+ 4.已知命题:0p x =,命题:0q x a ⋅=,则命题p 是命题q 的
A .充分不必要条件
B .必要不充分条件
C .充要条件
D .既不充分也不必要条件
二、填空题
5.若||3a =,b 与a 的方向相反,且||5b =,则a = b 。
6.若b c a +=,则3(2)2(3)2()a b c b a b +-+-+= 。
7.已知1e 、2e 是不共线向量,128a ke e =-,122b e ke =-,且a 、b 共线,则k = 。
8.若点C 在线段AB 上,且35AC AB =
,则AC = BC 。
三、解答题
9.求证:起点相同的三个非零向量a 、b 、32a b -的终点在同一条直线上。
10.已知,,L M N 分别为ABC ∆的边BC 、CA 、AB 上的点,,,BL CM AN l m n BC CA AB
===,若0AL BM CN ++=,求证:l m n ==。
11.在OAB ∆的边OA 、OB 上分别有一点,P Q 。
已知:1:2,:3:2OP PA OQ QB ==,连结
AQ ,在AQ 上取一点R ,满足:5:1AR RQ =。
(1)用,OA OB 表示BR ; (2)求证:点R 在线段BP 上。
参考答案
一、选择题
1.C
2.B
3.B
4.A
二、填空题
5.3
5-
6.a -
7.4±
8.3
2-
三、解答题
9.略
10.略
11.(1)1
1
62BR AR AB OA OB =-=- (2)略。