大学理论力学期末试题及答案
- 格式:doc
- 大小:262.50 KB
- 文档页数:4
一、选择题(每题2分,共20分)1.若平面力系对一点A 的主矩等于零,则此力系( )。
A .不可能合成为一个力 B .不可能合成为一个力偶C .一定平衡D .可能合成为一个力偶,也可能平衡2.刚体在四个力的作用下处于平衡,若其中三个力的作用线汇交于一点,则第四个力的作用线( )。
A .一定通过汇交点B .不一定通过汇交点C .一定不通过汇交点3.将平面力系向平面内任意两点简化,所得主矢相等,主矩也相等,且主矩不为零,则该力系简化的最后结果为( )。
A .一个力 B .一个力偶 C .平衡4.图1中,已知P =60kN ,F =20kN静摩擦系数f s =0.5,动摩擦系数f d =0.4,则物体所受 摩擦力的大小为( )。
A .25kN B .20kN C .17.3kN5.一点做曲线运动,开始时的速度s m v /100=,恒定切向加速度2/4s m a =τ,则2s 末该点的速度大小为( )。
A .2m/sB .18m/sC .12m/sD .无法确定6.圆轮绕某固定轴O 转动,某瞬时轮缘上一点的速度v 和加速度a 如图2所示,试问哪些情况下是不可能的?( ) A .(a )、(b )运动是不可能的 B .(a )、(c )运动是不可能的 C .(b )、(c )运动是不可能的 D .均不可能7.如图3所示平行四边形机构,在图示瞬时,杆O 1A以角速度ω转动,滑块M 相对AB 杆运动,若取M 动点,动系固联在AB 上,则该瞬时动点M 的牵连速度与杆AB 间的夹角为( )。
A .00 B .300 C .600图28.平面机构如图4所示,选小环M 为动点,动系固联 在曲柄OCD 杆上,则动点M 的科氏加速度的方向( )。
A .垂直于CD B .垂直于AB C .垂直于OM D .垂直于纸面9.如图5所示,两物块A 、B ,质量分别为A m 和B m 初始静止。
如A 沿斜面下滑的相对速度为r v ,设B 向左运动的速度为v ,根据动量守恒定律理有(A .v m v mB r A =θcos B.v m v m B r A=C.v m v v m B r A =+)cos (θD. v m v v m B r A =-)cos (θ10.已知刚体质心C 到相互平行的z '、z 轴之间的距离分别为a 、b ,刚体的质量为m ,对z 轴的转动惯量为z J ,则'z J 的计算公式为( )。
2011~2012 学年度第 二 学期《 理论力学 》试卷(A 卷)一、填空题(每小题 4 分,共 28 分)1、如图1.1所示结构,已知力F ,AC =BC =AD =a ,则CD 杆所受的力F CD =( ),A 点约束反力F Ax =( )。
2、如图1.2 所示结构,,不计各构件自重,已知力偶矩M ,AC=CE=a ,A B ∥CD 。
则B 处的约束反力F B =( );CD 杆所受的力F CD =( )。
1.1 1.23、如图1.3所示,已知杆OA L ,以匀角速度ω绕O 轴转动,如以滑块A 为动点,动系建立在BC 杆上,当BO 铅垂、BC 杆处于水平位置时,滑块A 的相对速度v r =( );科氏加速度a C =( )。
4、平面机构在图1.4位置时, AB 杆水平而OA 杆铅直,轮B 在水平面上作纯滚动,已知速度v B ,OA 杆、AB 杆、轮B 的质量均为m 。
则杆AB 的动能T AB =( ),轮B 的动能T B =( )。
1.3 1.45、如图1.5所示均质杆AB 长为L ,质量为m,其A 端用铰链支承,B 端用细绳悬挂。
当B 端细绳突然剪断瞬时, 杆AB 的角加速度 =( ),当杆AB 转到与水平线成300角时,AB 杆的角速度的平方ω2=( )。
6、图1.6所示机构中,当曲柄OA 铅直向上时,BC 杆也铅直向上,且点B 和点O 在同一水平线上;已知OA=0.3m,BC=1m ,AB=1.2m,当曲柄OA 具有角速度ω=10rad/s 时,则AB 杆的角速度ωAB =( )rad/s,BC 杆的角速度ωBC =( )rad/s 。
AB1.57、图1.7所示结构由平板1、平板2及CD 杆、EF 杆在C 、D 、E 、F 处铰接而成,在力偶M 的作用下,在图上画出固定铰支座A 、B 的约束反力F A 、F B 的作用线方位和箭头指向为( )(要求保留作图过程)。
1.7二、单项选择题(每小题 4 分,共28 分)1、如图2.1所示,四本相同的书,每本重均为P ,设书与书间的摩擦因数为0.1,书与手间的摩擦因数为0.25,欲将四本书一起抱起,则两侧手应加的压力至少大于( )。
一.选择题(每题3分,共15分。
请将答案的序号填入划线内。
)1.空间同向平行力系1F 、2F 、3F 和4F ,如图所示。
该力系向O 点简化,主矢为'R F,主矩为OM ,则 (B )(A) 主矢主矩均不为零,且'R F 平行于O M(B) 主矢主矩均不为零,且'RF 垂直于O M(C) 主矢不为零,而主矩为零 (D) 主矢为零,而主矩不为零2.已知点M 的运动方程为ct b s +=,其中b 、c 均为常数,则( C )。
(A) 点M 的轨迹必为直线 (B) 点M 必作匀速直线运动 (C) 点M 必作匀速运动 (D) 点M 的加速度必定等于零3.如图所示若尖劈两侧与槽之间的摩擦角均为m ϕ,则欲使尖劈被打入后不致自动滑出,θ角应为( C )(A) θ≤m ϕ (B) θ≥m ϕ(C) θ≤2m ϕ (D) θ≥2m ϕ4.若质点的动能保持不变,则( D )。
(A) 该质点的动量必守恒 (B)(C) 该质点必作变速运动 (D) 5.直管AB 以匀角速度ω绕过点O 且垂直于管子轴线的定轴转动,小球M 在管内相对于管子以匀速度r v 运动,在如图所示瞬时,小球M 正好经过轴O 点,则在此瞬时小球M 的绝对速度a v 和绝对加速度a a 大小是( D )。
(A)a v =,a a = (B) a rv v =,0a a =(C) 0a v =,2a r a v ω= (D) a r v v =,2a ra v ω=二.填空题(每空2分,共30分。
请将答案填入划线内。
)1.平面汇交力系平衡的几何条件是 各力构成的力多边形自行封闭 ;平面汇交力系平衡的解析条件是0x F =∑、0y F =∑。
2.空间力偶的三个要素是 力偶矩的大小 、 力偶作用面的方位 和 力偶的转向 。
3.如图所示,均质长方体的高度30h cm =,宽度20b cm =,重量600G N =,放在粗糙水平面上,它与水平面的静摩擦系数0.4s f =。
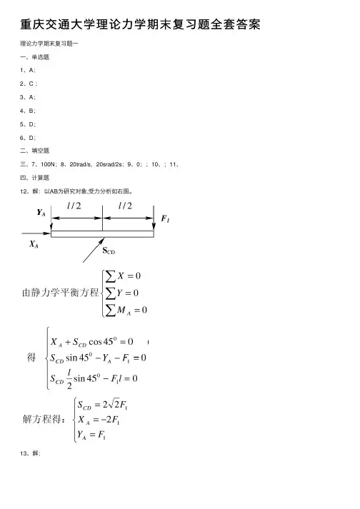
重庆交通⼤学理论⼒学期末复习题全套答案理论⼒学期末复习题⼀⼀、单选题1、A;2、C ;3、A;4、B;5、D;6、D;⼆、填空题三、7、100N;8、20trad/s,20srad/2s;9、0;;10、;11、四、计算题12、解:以AB为研究对象,受⼒分析如右图。
13、解:14、解:动点:O2A杆上A点;动系:O1A杆;静系:地⾯绝对运动:圆周运动相对运动:直线运动;牵连运动:圆周运动,;速度⽮量图如右图所⽰。
根据点的速度合成定理得:,第14题图第15题图由质⼼运动定理得:16、解:因BC杆件作曲线平移,OA杆作圆周运动:杆件AB作平⾯运动,以点A为基点,速度分析如下图,有,,理论⼒学期末复习题三⼀、判断题1、√2、× 3.× 4、√ 5、√ ⼆、选择题1.A2.C3.B4.D5.B6.D7.C三、解:研究AB ,已知的⽅向,因此可确定出P 点为速度瞬⼼四、解:选系统为研究对象。
受⼒分析如图⽰。
由定轴转动微分⽅程根据质⼼运动微分⽅程,得五、解:系统机械能守恒, 当θ=30o时BC 杠的瞬⼼I 如图所⽰AC '= C 'I = lωAC = ωBC = ω T 1= 0T 2 = T AC + T BCC A BθIB ' C' O ’Fy F xOa c1y mg A a c2ymg a c2x,//2()A AB A B AB v l AP l v AP l l v BP l ωωωωωω==∴====?=←,A B v v 20.598 89.80.2589.80.7 15.78 rad/sεε??=??+??= 0.250.7O I mg mg ε=?+?222110.70.5932O I ml mR m m=++?≈12C x C x xma ma F --=12C y C y y ma ma F mg mg--=--2212 ()8 (40.25 40.7 )121.6 Nx C x C x F m a a ∴=-+=-?+?=-289.88 ( 15.780.25 15.780.7 ) 36.87 Ny F =??-?+?=00112sin 60sin 602V Mgl Mgl =?=222111236ACAC TMl Ml ωω2== ?()22022115sin 6021212BC BC T Ml M l Ml ωω2=+=由:T 1+V 1 = T 2+V 2理论⼒学期末复习题四⼀、判断题1、×2、×3、√4、√5、× ⼆、选择题 CDCAC DCDBD 三、解:)(↑=-?+?qa a F a F B ; )(kN 40←==qa F Cx ,)(↑=-=-=kN 53540B Cy F F F ; )(kN 80←=Ax F ,)(kN5↑=Ay F ,m kN 240?=A M (逆时针)。
理论力学部分第一章静力学基础一、是非题(每题3分,30分)1.力有两种作用效果,即力可以使物体的运动状态发生变化,也可以使物体发生变形。
()2.在理论力学中只研究力的外效应。
()3.两端用光滑铰链连接的构件是二力构件。
()4.作用在一个刚体上的任意两个力成平衡的必要与充分条件是:两个力的作用线相同,大小相等,方向相反。
()5.作用于刚体的力可沿其作用线移动而不改变其对刚体的运动效应。
()6.三力平衡定理指出:三力汇交于一点,则这三个力必然互相平衡。
()7.平面汇交力系平衡时,力多边形各力应首尾相接,但在作图时力的顺序可以不同。
()8.约束力的方向总是与约束所能阻止的被约束物体的运动方向一致的。
()9. 力偶只能使刚体发生转动,不能使刚体移动。
()10.固定铰链的约束反力是一个力和一个力偶。
()二、选择题(每题4分,24分)1.若作用在A点的两个大小不等的力F1和F2,沿同一直线但方向相反。
则其合力可以表示为。
①F1-F2;②F2-F1;③F1+F2;2.作用在一个刚体上的两个力F A、F B,满足F A=-F B的条件,则该二力可能是。
①作用力和反作用力或一对平衡的力;②一对平衡的力或一个力偶。
③一对平衡的力或一个力和一个力偶;④作用力和反作用力或一个力偶。
3.三力平衡定理是。
①共面不平行的三个力互相平衡必汇交于一点;②共面三力若平衡,必汇交于一点;③三力汇交于一点,则这三个力必互相平衡。
4.已知F1、F2、F3、F4为作用于刚体上的平面共点力系,其力矢关系如图所示为平行四边形,由此。
①力系可合成为一个力偶;②力系可合成为一个力;③力系简化为一个力和一个力偶;④力系的合力为零,力系平衡。
5.在下述原理、法则、定理中,只适用于刚体的有。
①二力平衡原理;②力的平行四边形法则;③加减平衡力系原理;④力的可传性原理;⑤作用与反作用定理。
6.关于约束的说法正确的是 。
① 柔体约束,沿柔体轴线背离物体。
② 光滑接触面约束,约束反力沿接触面公法线,指向物体。
理论力学期末测试试题1-1、自重为P=100kN的T字形钢架ABD,置于铅垂面内,载荷如下列图.其中转矩M=20kN.m ,拉力F=400kN,分布力q=20kN/m,长度l=1m.试求固定端A的约束力.解:取T型刚架为受力对象,画受力图其中耳一;q •次-3(ikN工已二“产看十骂—F£m6<r = 0工弓=0 ^-?-Fcos600 = 0一.一^ A必-W-Fi/十外必60F + F疝g= 0i^ = 3164kN 为二SOQkNMi= - IlSSkNm1-2如下列图,飞机机翼上安装一台发动机,作用在机翼OA上的气动力按梯形分布:解:q i=60kN/m, q2 =40kN/m ,机翼重P i=45kN ,发动机重P2 =20kN ,发动机螺旋桨的反作用力偶矩M=18kN.m .求机翼处于平衡状态时,机翼根部固定端.所受的力.幅研究机翼.把梯形教荷分解为一三角形载荷与一轮修救荷,其合力分利为Fja = y(^)- q2) , 9 = 90 kN,F k2= 9 * = 36° kN分别作用在矩赛.点3m与4.5 m处,如下列图,由= 口,F山=01Y = 0, F% - K - P# 1 中k=0SM0(F1 = Q t Mo - 3.6P| — 4.2尸工一M + 3F RI + 4.$F R1 = 0解得For = 0T F Q,=- 3S5 k\, M0 二-1 626 kN * m1-3图示构件由直角弯杆EBD以及直杆AB组成,不计各杆自重,q=10kN/m , F=50kN , M=6kN.m ,各尺寸如图.求固定端A处及支座C的约束力.6 m 1 i m } I m !M 先研究构架EBD如图(b),由WX= 0, F小-F sin30' = 0E Y = 0.F HJ + F3 - F mfi30 = 02A什⑺=0T F2 T - M + 2F = 0 解得= 25 kN. = 87.3 kN. F/ =-44 kN 再研究AB梁如图(a).由解:XX = 04 -如* 6 sinJO* * F旭一Fn, = 0XV - 0,为-1 6 (xx3tf . F* 二UEM八F) - 0, - 2 * -j * & * fl coeJO -白产皿"0懈得F〞 = 40 kN. F A I= 113 3 kN. M A= 575,S kN - m it愿也可先研究EBD,求得F*之后.再研究整体,求a处反力।这样祈减少平街方程数■但计算鼠并未明髭减少,1-4:如下列图结构, a, M=Fa, F1 F2 F,求:A, D处约束力.以上修为明究时聚.受力如下列图.广%-0 加-:'=. T工… 4・%七.二工9口 : 0 A<P -I %'二昌1'二小l nF吗一:F /=F1-5、平面桁架受力如下列图. ABC为等边三角形,且AD=DB .求杆CD的内力.H 翌体受力如图Q).由工M A(F)=0,方,/\ *F\B"4B - F - 1■心・sinbU- - Q 6蹲得Fw 一§F⑸.反将桁架微升.研究右边局部,如图化)所 \ __________________示,由人汽J^*Wf)= g Fft* ■ DB * sinfiO f+ F.nc , flH - F , £)P - sinGO,= 0 %⑻解樗Ffp = -|F/再研究节点匚,如图(cl由尔工K =①(Ftr- F在加曲,=0 代〞的EV = 0, -(F CF +F C¥)m&S0,- F QJ = Q *3 57ffl解得Fm =一与F t) 866F(压)本剧晟筒单的解法是.菖先断定QE杆为零杆,再觎取&BDF来研兆,只由一个方覆LM a(f> =.,即可健出R* ,读者不妨一试.1-6、如下列图的平面桁架,A端采用钱链约束,B端采用滚动支座约束, 各杆件长度为1m.在节点E和G上分别作用载荷F E=10kN, F G=7 kN.试计算杆1、2和3的内力.解:取圣体.求支庄为束力.工…小口口小0%+品一3%A取= 9kN / = SLN用盘面法,取疗架上边局部,s城■ g一月1 y〔峪3.“ 一/.」二9▽5=.&+鸟/疝16.“ 一鸟二0 E氏=0 F{\H 十巴83600 —.^ = l04kN(aj ^=l.l?kN 但弓।牛iilkNlji】2-1图示空间力系由6根桁架构成.在节点A上作用力F,此力在矩形ABDC平面内,且与铅直线成45o角.A EAK= A FBM.等腰三角形EAK , FBM和NDB在顶点A, B和D处均为直角,又EC=CK=FD=DM .假设F=10kN ,求各杆的内力.解节点受力分别如图所开:,对节点八,由工X —0, F1 sin45 - % sin45 = 0+ F sin45' = 0£Y " F3= 0, —F] C3s45 —F± COH45-F cos45 - 0解得Fi = F:= -5kN〔压〕, F3=一7.07 kN〔压〕再对节点B,由SX ~ 0, F$ stn45* - F< sin45, ; 0EV = 0. Fi sin45 - F3 = 0三2 士0, 一居a>s45 - F? crt?45" - F6 co^45' = 0 解得F4 = 5 kN〔拉〕,R=5卜^1〔拉〕,5& =- 10 kN〔压〕2-2杆系由钱链连接, 位于正方形的边和对角线上,如下列图.在节点D沿对角线LD方向作用力F D.在节点C沿CH边铅直向下作用力F.如钱链B, L和H是固定的,杆重不计, 求各杆的内力.求解TY = 0,SZ = 0,求二 0,F| 4M5* + Fj + F. sn45 = 0 厕 4,30 图解得 Fi = F D (1C),F $ =F J =二 Ji F 虱电然后研究节点c ,由SX = 0, - Fj - F*W cut45' - 0v3 £Y = ar -Fj - Fi — sin45 = 0心SZ = 0h - F, - F - F4言=0得 Fj = 7年户口,匕=-/5匹口. Fs M- (F + \2F D )2-3 重为R=980 N,半径为r =100mm 的滚子A 与重为P 2 = 490 N 的板B 由通过定滑轮 C 的柔绳相连.板与斜面的静滑动摩擦因数f s =0.1 o 滚子A 与板B 间的滚阻系数为8C 为光滑的.求各杆的内力. 先研究节点D,由- F)cts?45 + F 口 au45 - 0=0.5mm,斜面倾角a =30o,柔绳与斜面平行,柔绳与滑轮自重不计,钱链 拉动板B 且平行于斜面的力 F 的大小.〔l i 设闻拄口有向下漆动慧等.取国校DFsu 话出—凡-H-3=0EFf =❶ /一 Fcosfl = 0一% /Vine 7- co*?i 算豉圄杜.有向匕浪动越势.虢S ]社“ 三H 』二UJ£ 一%】R l J 'O U _EF F - 0 及-Fai%一.又Mn>« =的&- /J(siii 口 \ — u.凶 81J JI ,13.jp."系怩平衍叶F4五河n 日一)co* 6}工A4 尸I 五m n 8一 3 cow R'\-3/c - 0 1氏-A& =0 工尸j 二.尸M -FCQ博.二.只浪不滑3t.应点 门“用=¥斗型8那么上之£ y K 同理一圆柱.有向上填动趋势时得二二三 K 间柱匀速蛇淳时. f一 R2-4两个均质杆AB 和BC 分别重P i 和P 2 ,其端点A 和C 用球较固定在水平面, 另一端B 由 球镀链相连接,靠在光滑的铅直墙上,墙面与 AC 平行,如下列图.如 AB 与水平线的交角 为45o, / BAC=90.,求A 和C 的支座约束力以及墙上点B 所受的压力.解先研究AB 杆,受力如图(b),由। n 投阅柱.有向下滚动越舜O题4.27-SMjF)三0, 一几,QA = 0 得1 0 再取AB、CD两杆为一体来研究,受力如图(月海茉:由EM AC(F)= 0t(P[ + Pj) <WG45_F N* AB 热in45 —0XX = 0,九十 % = 0工My(F)= 0, Fc - AC - pj • AC = 0 LNZ 〞开工+如一2】一丹=0(F) —0, -(F AT+ FQ • OA - Fc y *- AC= 0工M塞2 K = 0, % + % + Fn = 0解得Fx = y(Pi + Pj)»Fer =.产值=2^P:t町=Pi +yp2>F o= 0,%=-2(P[ + 尸口3-1:如下列图平面机构中,曲柄OA=r,以匀角速度°转动.套筒A沿BC杆滑动.BC=DE ,且BD=CE=l.求图示位置时,杆BD的角速度和角加速度.解:].动点:滑块T 动系:贰广杆绝对运动:国周运动〔.点〕相对运动:直线运动〔£「二)j|iij V V V&加速度4_ 3/十&*)疝13伊_ J5诏r(/+r)耳cos30Q ST?收属/(/ + r)cz w= 1—1=----- 不 ------w BD 3 户3-2 图示钱链四边形机构中, O i A = O2B =100mm ,又QO2 = AB,杆O〔A以等角速度=2rad/s绕轴01转动.杆AB上有一套筒C,此套筒与杆CD相较接.机构的各部件都在同一铅直面内.求当①二60o时杆CD的速度和加速度.〔15分〕解取CD杆上的点C为动点,AB杆为动系,时动点作速度分析和加速度分析,如图S〕、〔b〕所示,图中式中口月=〔八一4 •田二0一2 ir〕/s5 - 0iA • J = 0*4 m/s2 解出杆CD的速度.加速度为G =-UA coep = 0. I mA&3 = since;= 0,3464 m/s2«1aAM1Al1V!4-1:如下列图凸轮机构中,凸轮以匀角速度3绕水平.轴转动,带动直杆AB沿铅直线上、下运动,且O, A, B共线.凸轮上与点A接触的点为A',图示瞬时凸轮轮缘线上' '点A的曲率半径为 A ,点A的法线与OA夹角为e , OA=l.求该瞬时AB的速度及加速度.〔15 分〕绝对运动: 相对运动: 奉连道处:2.速度大小 方向 1, 二、Ja 】iH=「WkmH I丫3,加速度 比=凡."'+ %r 门 大小9炉『『、;"2 方向 / /4-2:如下列图,在外啮合行星齿轮机构中,系杆以匀角速度 定,行星轮半径为r,在大轮上只滚不滑.设 A 和B 是行星轮缘 上的两点,点 A 在O 1O 的延长线上,而点 B 在垂直于o 1o 的半径上.求:点 A 和B 的加速度.解:2.选基点为〔〕亓*二后.*疗;口 +疗;. 大小0 *忒0 1时 方向“ J JJi7A ~ a ? +^C?I .轮I 作平面运动,瞬心为「沿"轴投勉乙8々4 * ■献i 1+ .1绕O i 转动.大齿轮固S 二「" 直线运动 曲线运动 定购林动 功系:凸轮. C 凸轮外边瘴〕〔.轴〕大小,方向?% ="g =仃口+ "什=fuclaii——=闺.㈢11 -4-3: 动.摇杆OC铅直,〔科氏加速度〕如下列图平面机构, AB长为1,滑块A可沿摇杆OC的长槽滑OC以匀角速度3绕轴O转动,滑块B以匀速v 1沿水平导轨滑动.图示瞬时AB与水平线OB夹角为300.求:此瞬时AB杆的角速度及角加速度.〔20分〕* *沿】:方向投彩大小方句V4B COS30J LD F福:速度分析1-杆.〞作平面运动,族点为瓦V A = V S - y AP2.动点:滑块.心动系:〞抨沿£方向强彩以一=1■沿吃方向表恁% ; gin 30" -4?os 对15-1如下列图均质圆盘,质量为m 、半径为R,沿地面纯滚动,角加速为3.求圆盘对图中A,C 和P 三点的动量矩. 平行轴定理:4二=一十/嫉 一或点P 为睡心 3hL ? = ^^R-\ L e =mP 2it 〕\ 1相?\"= -15-2 〔动量矩定理〕:如下列图均质圆环半径为 r,质量为m,其上焊接刚杆 OA,杆加生度介册 0f Ai = = 3VJtv 2AB点「为眉心上匚二J屯+ 1师;-G长为r,质量也为m.用手扶住圆环使其在OA水平位置静止.设圆环与地面间为纯滚动.独汰庵一方「.斗管力加玛所示建丸平为走动微分方程2f -月—+Y2由朱加R先K熹法瑞拽彩到水平强错乱两个才向20 r3"悟105-3 11-23 〔动量矩定理〕均质圆柱体的质量为m,半径为r,放在倾角为60o的斜面上, 一细绳绕在圆柱体上,其一端固定在A点,此绳和A点相连局部与斜面平行,如下列图.如圆柱体与斜面间的东摩擦因数为f=1/3,求圆柱体的加速度.〔15〕(15)解:解IW柱受力与运动分析如图.平而运动徽分方程为nta〔;= mg sin60* 一尸一Fj,.=F\ —fiig CQt^ff』社- 〔F=—广〕『式中F = /Fv» ac - fQ解得口c=O.355q5-4 11-28 〔动量矩定理〕均质圆柱体A和B的质量均为m,半径均为r, 一细绳缠在绕固定轴.转动的圆柱A上,绳的另一端绕在圆柱B上,直线绳段铅垂,如下列图.不计摩擦.求:〔1〕圆柱体B下落时质心的加速度;〔2〕假设在圆柱体A上作用一逆时针转向力偶矩M,试问在什么条彳^下圆柱体B的质心加速度将向上.〔15分〕解:解“〕两轮的受力与运动分析分别如用w.1 2 ET™r=近]对E轮,有以轮与直樊和切点为基点,明轮心B的加速度〃工,M t s4解得5g〔2〕再分别对两卷作受力与运动分析如图〔b〕对内轮,有fflaa =ntg -Ppj~2 tfrr~afj —rFj2依然存运动学关系dj}二皿用+的日J但Q.i中也B〕令< 0,可解得31柱体B的质心加速度向上的条件:M〉217UJT6-1:轮O的半径为R1 ,质量为ml,质量分布在轮缘上;均质轮C的半径为R2 , 质量为m2 ,与斜面纯滚动,初始静止.斜面倾角为.,轮.受到常力偶M驱动. 求: 轮心C走过路程s时的速度和加速度.〔15分〕韩:轮C1月轮0扶同作为一个质点系九一a『w 一阁7j = o石—,血人"吊斗!岫甘&岫对网」言必二% =9 1V :3/聚TH得J弘口日=-^―〔+3JJL〕旭〕中二二¥ =:羡居迎日一式G〕是函数关系式.两端计『求导,得-〔Jffij + 访看网收=M -Kin H - 鸟2 例U 尸―- :〔加1+.%啊〕局6-2均质杆 OB=AB=l,质量均为 m,在铅垂面内运动,AB 杆上作用一不变的力偶矩M,系统初始静止,不计摩擦.求当端点 A 运动到与端点 .重合时的速度. 〔15分〕解:由于A 京不离并地面,那么,EAO= /BOA.牝=可=H嫌同:是否可以利用求寻求此蜓时的商和速段? 〔H 与行没 有必然联系,角度不是时间的函数.〕6-3:重物m,以v 匀速下降,钢索刚度系数为 k .求轮D 突然卡住时,钢索的最大张 力.〔15分〕1J 上口『9-"将『〔1-E 穹 2/ V itt由「二心〞;有6-4均质杆 AB 的质量m=4kg,长l=600mm,均匀圆盘B 的质量为6kg,半径为r=600mm, 作纯滚动.弹簧刚度为 k=2N/mm,不计套筒A 及弹簧的质量.连杆在与水平面成 30o 角时无 初速释放.求〔1〕当AB 杆达水平位置而接触弹簧时,圆盘与连杆的角速度;〔2〕弹簧的最大压缩量 max o 〔 15分〕彝:卡住前E 二些 s* kF - kS SJ - mg - 2.45kN卡隹后取点物平街位苜1为更力加弹性力的 搴势T ; 一"解U〕该系统初始静tL.动能为杆达水平位置时.B 点是33杆的速度瞬心,网盅的角速度3H = 0,设杆的角速度为那么业,山幼能近理,得\ * ;配%品-0 = mg * ~ 5in341,解得连杆的角速度号〞:4;殳巴丝⑵AB杆达水平位置接触赢亚,统的动能为“,弹簧达到最大压缩量bz.的瞬时,系魂再次鄢止.动能丁;:= 0.由72 - 7】二五得0 _ [■闻]品=-J 6ra«二+ mJ片0 W *■解得1AM= 87.1 mm。
理论力学期末复习题(附答案)理论力学基础期末复习题一、填空题1. 在介质中上抛一质量为m 的小球,已知小球所受阻力R kv ,若选择坐标轴x 铅直向上,则小球的运动微分方程为_____________________。
2. 质点在运动过程中,在下列条件下,各作何种运动?①a t 0 ,a n 0 (答):;②a 0 ,a n 0 (答):;③a t 0 ,a n 0t(答):;④a 0,a 0(答):。
t n3. 质量为10kg 的质点,受水平力F 的作用,在光滑水平面上运动,设 F 3 4t ( t以s计,F 以N 计),初瞬间(t 0)质点位于坐标原点,且其初速度为零。
则t 3s 时,质点的位移等于_______________,速度等于_______________。
4. 在平面极坐标系中,质点的径向加速度为__________;横向加速度为_______。
5. 哈密顿正则方程用泊松括号表示为,。
6. 质量m 2kg 的重物M ,挂在长l 0.5m 的细绳下端,重物受到水平冲击后获得了速度 1v0 5m s ,则此时绳子的拉力等于。
7. 平面自然坐标系中的切向加速度为,法向加速度为。
8. 如果F V ,则力所作的功与无关,只与的位置有关。
9. 在南半球地面附近自南向北的气流有朝的偏向;而北半球的河流岸冲刷较为严重。
2 210. 已知力的表达式为 F axy F z ax 。
则该力做功与路径_ (填F y az ,x ,“有关”或“无关”),该力_ 保守力(填“是”或“不是”)。
11. 一质量组由质量分别为m、2 m0 、3 m0 的三个质点组成,某时刻它们的位矢和速度分别为r1 i j 、v1 2i、r2 j k 、v2 i 、r3 k 、yv3 i j k 。
则该时刻质点组相对于坐标原点的动量等于,相对于坐标原点的动量矩等于_ 。
12. 一光滑水平直管中有一质量为m 的小球,直管以恒Oa P vmx定角速度绕通过管子一端的竖直轴转动,若某一时刻,小z球到达距O点的距离为 a 的P 点,取x 轴沿管,y 轴竖直向上,并垂直于管,z 轴水平向前,并于管面垂直,如图所示,此时小球相对于管子的速度为v1,则惯性离心力大小为,方向为,科里奥利力大小为,方向为。
理论力学部分第一章静力学基础一、是非题(每题3分,30分)1.力有两种作用效果,即力可以使物体的运动状态发生变化,也可以使物体发生变形。
()2.在理论力学中只研究力的外效应。
()3.两端用光滑铰链连接的构件是二力构件。
()4.作用在一个刚体上的任意两个力成平衡的必要与充分条件是:两个力的作用线相同,大小相等,方向相反。
()5.作用于刚体的力可沿其作用线移动而不改变其对刚体的运动效应。
()6.三力平衡定理指出:三力汇交于一点,则这三个力必然互相平衡。
()7.平面汇交力系平衡时,力多边形各力应首尾相接,但在作图时力的顺序可以不同。
()8.约束力的方向总是与约束所能阻止的被约束物体的运动方向一致的。
()9. 力偶只能使刚体发生转动,不能使刚体移动。
()10.固定铰链的约束反力是一个力和一个力偶。
()二、选择题(每题4分,24分)1.若作用在A点的两个大小不等的力F1和F2,沿同一直线但方向相反。
则其合力可以表示为。
①F1-F2;②F2-F1;③F1+F2;2.作用在一个刚体上的两个力F A、F B,满足F A=-F B的条件,则该二力可能是。
①作用力和反作用力或一对平衡的力;②一对平衡的力或一个力偶。
③一对平衡的力或一个力和一个力偶;④作用力和反作用力或一个力偶。
3.三力平衡定理是。
①共面不平行的三个力互相平衡必汇交于一点;②共面三力若平衡,必汇交于一点;③三力汇交于一点,则这三个力必互相平衡。
4.已知F1、F2、F3、F4为作用于刚体上的平面共点力系,其力矢关系如图所示为平行四边形,由此。
①力系可合成为一个力偶;②力系可合成为一个力;③力系简化为一个力和一个力偶;④力系的合力为零,力系平衡。
5.在下述原理、法则、定理中,只适用于刚体的有。
①二力平衡原理;②力的平行四边形法则;③加减平衡力系原理;④力的可传性原理;⑤作用与反作用定理。
6.关于约束的说法正确的是 。
① 柔体约束,沿柔体轴线背离物体。
② 光滑接触面约束,约束反力沿接触面公法线,指向物体。
大学理论力学期末考试题库及答案一、选择题(每题2分,共20分)1. 质点系的质心位置取决于()。
A. 质点系的总质量B. 质点系中各质点的质量C. 质点系中各质点的位置D. 质点系中各质点的速度答案:C2. 刚体的转动惯量与()有关。
A. 质量B. 质量分布C. 质量分布和形状D. 形状3. 两个质点组成的系统,若两质点间的作用力大小相等,方向相反,则这两个力()。
A. 是一对平衡力B. 是一对作用力和反作用力C. 是一对内力D. 不能确定答案:B4. 质点沿直线做匀加速运动,加速度为a,初速度为v0,则经过时间t后的速度v为()。
A. v = v0 + atB. v = v0 - atC. v = v0 + 1/2atD. v = v0 - 1/2at5. 两个质点组成的系统,若两质点间的作用力大小相等,方向相反,则这两个力()。
A. 是一对平衡力B. 是一对作用力和反作用力C. 是一对内力D. 不能确定答案:B6. 刚体绕固定轴转动时,其转动惯量与()有关。
A. 质量B. 质量分布C. 质量分布和形状D. 形状答案:C7. 质点沿直线做匀加速运动,加速度为a,初速度为v0,则经过时间t后的位移s为()。
A. s = v0t + 1/2at^2B. s = v0t - 1/2at^2C. s = v0t + at^2D. s = v0t - at^2答案:A8. 刚体绕固定轴转动时,其角加速度与()有关。
A. 质量B. 质量分布C. 质量分布和形状D. 形状答案:B9. 质点沿直线做匀加速运动,加速度为a,初速度为v0,则经过时间t后的位移s为()。
A. s = v0t + 1/2at^2B. s = v0t - 1/2at^2C. s = v0t + at^2D. s = v0t - at^2答案:A10. 两个质点组成的系统,若两质点间的作用力大小相等,方向相反,则这两个力()。
A. 是一对平衡力B. 是一对作用力和反作用力C. 是一对内力D. 不能确定答案:B二、填空题(每题2分,共20分)1. 质点系的质心位置取决于质点系中各质点的________和________。
第 1 页 共 5 页2008-2009 学年第 一 学期考试题(卷)一、作图题(10分)如下图所示,不计折杆AB 和直杆CD 的质量,A 、B 、C 处均为铰链连接。
试分别画出图中折杆AB 和直杆CD 的受力图。
二、填空题(30分,每空2分)1.如下图所示,边长为a =1m 的正方体,受三个集中力的作用。
则将该力系向O 点简化可得到:主矢为=R F( , , )N ;主矩为=O M( , , )N.m 。
D2.如下图所示的平面机构,由摇杆A O 1、B O 2,“T 字形”刚架ABCD ,连杆DE 和竖直滑块E 组成,21O O 水平,刚架的CD 段垂直AB 段,且AB =21O O ,已知l BO AO ==21,DE=l 4 ,A O 1杆以匀角速度ω绕1O 轴逆时针定轴转动,连杆DE 的质量均匀分布且大小为M 。
根据刚体五种运动形式的定义,则“T 字形”刚架ABCD 的运动形式为 ,连杆DE 的运动形式为 。
在图示位置瞬时,若A O 1杆竖直,连杆DE 与刚架CD 段的夹角为o CDE 60=∠,则在该瞬时:A 点的速度大小为 ,A 点的加速度大小为 ,D 点的速度大小为 ,连杆DE 的速度瞬心到连杆DE 的质心即其中点的距离为 ,连杆DE 的角速度大小为 ,连杆DE 的动量大小为 ,连杆DE 的动能大小为 。
三、计算题(20分)如左下图所示,刚架结构由直杆AC 和折杆BC 组成,A 处为固定端,B 处为辊轴支座,C 处为中间铰。
所受荷载如图所示。
已知F=40 kN ,M= 20kN ·m ,q=10kN/m ,a=4m 。
试求A 处和B 处约束力。
四、计算题(20分)机构如右上图所示,1O 和2O 在一条竖直线上,长度mm A O 2001=的曲柄A O 1的一端A 与套筒A 用铰链连接,当曲柄A O 1以匀角速度s rad /21=ω绕固定轴1O 转动时,套筒A 在摇杆B O 2上滑动并带动摇杆B O 2绕固定轴2O 摆动。
理论力学期末考试试题1-1、自重为P=100kN的T字形钢架ABD,置于铅垂面内,载荷如图所示。
其中转矩M=20kN.m,拉力F=400kN,分布力q=20kN/m,长度l=1m。
试求固定端A的约束力。
解:取T型刚架为受力对象,画受力图.1-2 如图所示,飞机机翼上安装一台发动机,作用在机翼OA上的气动力按梯形分布:q=60kN/m,2q=40kN/m,机翼重1p=45kN,发动机1重p=20kN,发动机螺旋桨的反作用力偶矩M=18kN.m。
求机翼处于平2衡状态时,机翼根部固定端O所受的力。
解:1-3图示构件由直角弯杆EBD以及直杆AB组成,不计各杆自重,已知q=10kN/m,F=50kN,M=6kN.m,各尺寸如图。
求固定端A处及支座C的约束力。
1-4 已知:如图所示结构,a, M=Fa, 12F F F ==, 求:A ,D 处约束力.解:1-5、平面桁架受力如图所示。
ABC为等边三角形,且AD=DB。
求杆CD的内力。
1-6、如图所示的平面桁架,A端采用铰链约束,B端采用滚动支座约束,各杆件长度为1m。
在节点E和G上分别作用载荷F=10kN,G F=7EkN。
试计算杆1、2和3的内力。
解:2-1 图示空间力系由6根桁架构成。
在节点A上作用力F,此力在矩形ABDC平面内,且与铅直线成45º角。
ΔEAK=ΔFBM。
等腰三角形EAK,FBM和NDB在顶点A,B和D处均为直角,又EC=CK=FD=DM。
若F=10kN,求各杆的内力。
2-2 杆系由铰链连接,位于正方形的边和对角线上,如图所示。
在节点D沿对角线LD方向作用力F。
在节点C沿CH边铅直向下作用力F。
D如铰链B,L和H是固定的,杆重不计,求各杆的内力。
2-3 重为1P =980 N ,半径为r =100mm 的滚子A 与重为2P =490 N 的板B 由通过定滑轮C 的柔绳相连。
已知板与斜面的静滑动摩擦因数s f =0.1。
滚子A 与板B 间的滚阻系数为δ=0.5mm ,斜面倾角α=30º,柔绳与斜面平行,柔绳与滑轮自重不计,铰链C 为光滑的。
……………………………………总………………………………………蓝………………………………………………`议t ……………………………………(器如`关芒器,蓝衔)恁茫一二邸;E 峚诚信应考,考试作弊将带来严重后果!本科生期末测试1《理论力学I 》2020-2021(1)注意事项: 1. 开考前请将密封线内各项信息填写清楚;2. 所有答案请直接答在试卷上;3 考试形式:(闭)卷;4. 本试卷共(六)大题,满分100分,考试时间120分钟。
这斯题号四五六总分得分、题号答案判断题(正确打”守,错误打"x"'将答案填在下表中,每小题1分,共10分)I : I : I \I : I : I : I : I : I : I 10✓....l 2345.6.□宜驴.. 789.力在两个坐标轴上的投影与力沿这两个坐标轴方向进行分解得到的分力的意义是相同的。
力偶无合力的意思是说力偶的合力为零。
质点系惯性力系的主矢与简化中心的选择有关,而惯性力系的主矩与简化中心的选择无关。
平面力系向某点简化之主矢为零,主矩不为零。
则此力系可合成为一个合力偶,且此力系向任一点简化之主矩与简化中心的位置无关。
某瞬时刚体上各点的速度矢量都相等而各点的加速度矢量不相等,因此该刚体不是作平动。
两齿轮咄合传动时,传动比等千主动轮与从动轮的转速比,若主动轮转速增大,则传动比也随之增大。
若刚体内各点均作圆周运动,则此刚体的运动必是定轴转动。
不管质点做什么样的运动,也不管质点系内各质点的速度为何,只要知道质点系的质量,质点系质心的速度,即可求得质点系的动晕。
质点系的内力不能改变质点系的动量与动量矩。
10. 刚体受到一群力作用,不论各力作用点如何,此刚体质心的加速度都一样。
芯#1二单项选择题(8小题,每题2分,共16分,将答案填在下表中。
)I:: I�I : I: I : I /I86 I87 I :I勹1.二力平衡条件的使用范围是()A刚体B刚体系统C变形体 D.任何物体或物体系统2.不经计算,可直接判定出图示析架中零力杆的根数为()A. 3B. 5 FC 6 D.93.某一瞬时,作平面运动的平面图形内任意两点的加速度在此两点连线上投影相等,则可以断定该瞬时平面图形的()A.角速度m=OB.角加速度a=0C.OJ a同时为0D m a均不为04.图示平行四连杆机构O,AB02AB C为-刚性三角形板,则C点的切向加速度为:()A.a, =A01·a CB.a,=AC a .ch Ct)C.a,=C01·a1矿111111° D.a r =B C-aB 。
《理论力学》——期末考试答案一、单选题1.力对点之矩决定于( )。
A.力的大小B.力臂的长短C.力的大小和力臂的长短D.无法确定正确答案:C2.动点相对于动坐标系的运动称为( )的运动。
A.牵连运动B.相对运动C.绝对运动D.圆周运动正确答案:B3.动点的牵连速度是指该瞬时牵连点的速度,它相对的坐标系是( )。
A.动坐标系B.不必确定的C.静坐标系D.静系或动系都可以正确答案:C4.在质点系动能定理中,应注意外力或内力做的功之和不等于合外力或( )做的功。
A.重力B.浮力C.合内力D.牵引力正确答案:C5.将平面力系向平面内任意两点进行简化,所得主矢量和主矩都相等,且主矩不为零,则该力系简化的最后结果为( )。
A.合力偶B.合力C.平衡力系D.无法进一步合成正确答案:A6.超静定结构的超静定次数等于结构中( )。
A.约束的数目B.多余约束的数目C.结点数D.杆件数正确答案:B7.静不定系统中,多余约束力达到3个,则该系统静不定次数为( )A.3次B.6次C.1次D.不能确定正确答案:A8.关于平面力偶系、平面汇交力系、平面一般力系,最多能够得到的相互独立的平衡方程的个数依次是( )。
A.2、1、3B.2、2、3C.1、2、2D.1、2、3正确答案:D9.平面任意力系向一点简化,应用的是( )。
A.力的平移定理B.力的平衡方程C.杠杆原理D.投影原理正确答案:A10.对于平面力系,一个平衡方程可解( )未知量。
A.1个B.2个C.3个D.不一定正确答案:A11.一平面力系由两组平面平行力系组成(这两组平面平行力系之间互不平行),若力系向某A点简化结果为一合力,下述说法正确的是( )。
A.这两组平面平行力系必然都各自向A点简化为一合力B.这两组平面平行力系可能都各自简化为一力偶C.可能一组平面平行力系向A点简化得到一个力和一个力偶,而另一组平面平行力系向A点简化得到一合力D.可能这两组平面平行力系都各自向A点简化得到一个力和一个力偶正确答案:D12.在任何情况下,在几何可变体系上增加一个二元体后构成的体系是几何( )体系。
大学理论力学期末考试题库及答案一、单项选择题(每题2分,共20分)1. 牛顿第一定律描述的是:A. 物体在没有外力作用下的运动状态B. 物体在受到平衡力作用下的运动状态C. 物体在受到非平衡力作用下的运动状态D. 物体在受到任何力作用下的运动状态答案:A2. 动量守恒定律适用于:A. 只有当系统所受合外力为零时B. 只有当系统所受合外力不为零时C. 任何情况下D. 只有当系统所受合外力为零时,以及系统内部力远大于外部力时答案:A3. 角动量守恒的条件是:A. 系统不受外力矩作用B. 系统受外力矩作用C. 系统受外力矩作用,但外力矩为零D. 系统不受外力作用答案:A4. 刚体定轴转动的转动惯量I与物体的质量m和半径r的关系是:A. I = kr^2B. I = krC. I = 2mrD. I = mr^2答案:A5. 简谐运动的周期与振幅无关,与:A. 质量有关B. 弹簧劲度系数有关C. 质量与弹簧劲度系数都有关D. 质量与弹簧劲度系数都无关答案:B6. 两质点组成的系统,若质点间距离不变,则系统的质心:A. 位置不变B. 速度不变C. 加速度不变D. 位置、速度、加速度均不变答案:A7. 某物体沿直线运动,其位移随时间的变化关系为s = 3t^2 + 4t + 5,该物体在t = 2s时的速度为:A. 10 m/sB. 14 m/sC. 16 m/sD. 20 m/s答案:C8. 一物体做匀加速直线运动,初速度为2 m/s,加速度为3 m/s^2,则物体在第3秒内的位移为:A. 9 mB. 12 mC. 15 mD. 18 m答案:B9. 两物体A和B,质量分别为m和2m,它们通过一轻质弹簧相连,置于光滑水平面上。
若对A施加一水平向右的力F,系统从静止开始运动,则A和B的加速度之比为:A. 1:2B. 1:1C. 2:1D. 3:1答案:A10. 一物体从静止开始自由下落,下落时间为t,则物体下落过程中的平均速度为:A. gt/2B. gtC. 2gtD. 3gt/2答案:A二、填空题(每题2分,共20分)11. 牛顿第二定律的数学表达式为:________。
我:一、判断题(正确打“4飞错误打气”,每小题2分,共10分)
盟军划E !怜:-K' 都:1骂:悔:
l、己知杆AB 和CD 的自重不计,且在C处光滑接触。
若作用在AB 杆上的力偶镇:理工大学期末考试(附答案)
《理论力学》试卷(A卷)
考试时间120分钟。
题号
一四五/主-\ 总分一得分
评卷入
注意事项: 1.考前请将密封线内填写清楚:
2.所有答案请直接答在试卷上:
3.考试形式:闭卷:
4.本试卷共六大题,满分100分曲”制制4-川
hv '1
l 、平面任意力系,只要主矢i;,t,O ,最后必可简化为一合力。
×)
3、某刚体作平面运动时J若A和B是其平面图形上的任意两点,则速度投2、刚体在3个力的作用下平衡,这3个力不一定在同一个平面内。
'1 影定理[vJ AB =札L n 恒成立。
主星非×) 4、作瞬时平移的刚体,i衷瞬时其惯性力系向质,心简化,主矩为零。
×) 二、选择题(每一小题只有一个正确答案,多选不给分。
请将正确答案的序号填入括号内。
每题3分,共15分)
5、当牵连运动为定轴转动时一定有科氏加速度。
A
矩为m,,欲使系统保持平衡,需在CD 杆上施加力偶矩,叭,其大小为(B
m ,’三\o µ、非 c
《理论力学》64学时A卷第1页共8页
m.= ,n.:• 3 . n1. = -m.• 2 .B 、D 、m 2 =m 1;
m 2 =2m,; A 、C、明斗÷4号E。
理论力学试题
一`作图题(10分)
如下图所示,不计折杆AB 和直杆CD 的质量,A 、B 、C 处均为铰链连接。
试分别画出图中折杆AB 和直杆CD 的受力图。
二、填空题(30分,每空2分)
1.如下图所示,边长为a =1m 的正方体,受三个集中力的作用。
则将该力系向O 点简化可得到:
主矢为=R F
( , , )N ;
主矩为=O M
( , , )N.m 。
2.如下图所示的平面机构,由摇杆A O 1、B O 2,“T 字形”刚架ABCD ,连杆DE 和竖直滑块E 组成,21O O 水平,刚架的CD 段垂直AB 段,且AB =21O O ,已知
l BO AO ==21,DE=l 4 ,A O 1杆以匀角速度ω
绕
1O 轴逆时针定轴转动,连杆DE 的质量均匀分布且大小为
M 。
根据刚体五种运动形式的定义,则“T 字形”刚架ABCD 的运动形式为 ,连杆DE 的运动形式为 。
在图示位置瞬时,若A O 1杆竖直,连杆DE 与刚架CD 段的夹角为o CDE
60=∠,则在该瞬时:
A 点的速度大小为 ,A 点的加速度大小为 ,D 点的速度大小为 ,
连杆DE 的速度瞬心到连杆DE 的质心即其中点的距离为 ,连杆DE 的角速度大小为 ,连杆DE 的动量大小为 ,连杆DE 的动能大小为 。
三、计算题(20分)A A
r
v C
P F
D
C 2O
1O
ω E
B
A
D
如左下图所示,刚架结构由直杆AC 和折杆BC 组成,A 处为固定端,B 处为辊轴支座,C 处为中间铰。
所受荷载如图所示。
已知F=40 kN ,M= 20kN ·m ,q=10kN/m ,a=4m 。
试求A 处和B 处约束力。
四、计算题(20分)
机构如右上图所示,1O 和2O 在一条竖直线上,长度mm A O 2001=的曲柄A O 1的一端A 与套筒
A 用铰链连接,当曲柄A O 1以匀角速度s rad /21
=ω绕固定轴1O 转动时,套筒A 在摇杆B O 2上滑动
并带动摇杆B O 2绕固定轴2O 摆动。
在图示瞬时,曲柄A O 1为水平位置,02130=∠B O O 。
试求此
瞬时:(1)摇杆B O 2的角速度2ω;(2)摇杆B O 2的角加速度2α 五、计算题(20分)
如下图所示,滚子A 沿倾角为θ=0
30的固定斜面作纯滚动。
滚子A 通过一根跨过定滑轮B 的绳子与物块C 相连。
滚子A 与定滑轮B 都为均质圆盘,半径相等均为r ,滚子A 、定滑轮B 和物块C 的质量相等均为m ,绳子的质量忽略不计。
系统由静止开始运动,试求:
(1)物块C 的加速度;
(2)绳子对滚子A 的张力和固定斜面对滚子A 的摩擦力。
答案
一、作图题(10分)
(5分) (5分)
二、填空题(30分,每空2分) 1. -1,2,-3 ; -4,2,2 2. 平移或平动, 平面运动 。
l ω, l 2ω,l ω ,l 2,
2
ω,
l M ω,
223
2
l M ω 。
RB
三、计算题(20分) 解:(1)取折杆BC 为研究对象,画出受力图(4分)
列平衡方程组中的一个方程得:
∑=⨯-⨯
-+=02
2a
qa a F M a F M RB C ;解得:)(35↑=kN F RB 。
(4分) (2)取整体为研究对象,画出受力图(4分)
列出平衡方程组:
∑=x
F
02=⨯-a q F Ax
∑=y
F
0=-+F F F RB Ay
∑=⨯-⨯
-++=022
a a q a
F M a F M M RB A A 解得:
=Ax F )(kN 80← )(kN 5↑=Ay
F m kN 240⋅=A M (逆时针)。
(8分) 四、计算题(20分) 解: 选套筒A 为动点,动系与摇杆B O 2相固连。
(1)求角速度:由动点的速度合成定理r e A a
v v v v +==作速度平行四边形,因此有:
s m A O v v v A a e /2.02
1
2130sin 11=⨯==
=ω ,s m v v A r /32.030cos == , 摇杆B O 2的角速度.04
.02
.0
2v e ===ω
(2)求角加速度 再由C r n
e e B a
a a a a a a +++==τ作矢量图
投影有τe C A a a a -=030cos ,即030cos A C e a a a -=τ, 其中:22/32.02s m v a r C ==ω,212
1/8.0s m A O a A ==ω
因此
2/32.0s m a e -=τ,所以,摇杆B O 2的角加速度为
)s /(2/3222rad A
O a e
-==τα(逆时针)。
(10分) 五、计算题(20分) (1)以系统为研究对象,设当物块C 下降h 时,其速度
为v 。
采用动能定理:∑-=-)(2112e W T T ,其中:222
3
mv T =,01=T ,
)sin 1()(21θ-=-mgh W e ,即:mgh mv 21232=。
对上式求一次导数,得g a 6
1
=。
(10
分)
(2)以滚子A 为研究对象,设绳子对滚子A 的拉力为T ,固定台面对滚子A 的摩擦力为F ,方向平行斜面向下。
物块C 下降的加速度为a ,由运动学关系得滚子A 质心的a a C =和角加速度为r
a =
α,由平面运动微分方程得:ma ma mg F T
C ==--θsin ;mra mr Fr 2
1
212==
α
联立解得:mg T 4
3=;mg F 12
1=。