《电磁场与电磁波》(陈抗生)习题解答选
- 格式:doc
- 大小:1.40 MB
- 文档页数:46
一章习题解答1.1 给定三个矢量A 、B 和C 如下: 23x y z =+-A e e e4y z =-+B e e52x z =-C e e求:(1)A a ;(2)-A B ;(3)A B ;(4)AB θ;(5)A 在B 上的分量;(6)⨯A C ;(7)()⨯A B C 和()⨯A B C ;(8)()⨯⨯A B C 和()⨯⨯A B C 。
解 (1)23A x y z+-===+-e e e A a e e e A (2)-=A B (23)(4)x y z y z +---+=e e e ee 64x y z +-=e e e (3)=A B (23)x y z +-e e e (4)y z -+=e e -11(4)由 c o s AB θ=8==A B A B ,得 1c o s AB θ-=(135.5= (5)A 在B 上的分量 B A =A c o s AB θ==A B B (6)⨯=A C 123502x y z-=-e e e 41310x y z ---e e e (7)由于⨯=B C 041502x yz-=-e e e 8520x y z ++e e e ⨯=A B 123041xyz-=-e e e 1014x y z ---e e e所以 ()⨯=A B C (23)x y z +-e e e (8520)42x y z ++=-e e e ()⨯=A B C (1014)x y z ---e e e (52)42x z -=-e e(8)()⨯⨯=A B C 1014502x y z---=-e e e 2405x y z -+e e e()⨯⨯=A B C 1238520xy z -=e e e 554411x y z --e e e1.2 三角形的三个顶点为1(0,1,2)P -、2(4,1,3)P -和3(6,2,5)P 。
(1)判断123PP P ∆是否为一直角三角形;(2)求三角形的面积。
《电磁场与电磁波》(陈抗生)习题解答第一章 引言——波与矢量分析1.1.,,/)102102cos(1026300p y v k f E m V x t y y E E 相速度相位常数度,频率波的传播方向,波的幅的方向,,求矢量设 --⨯+⨯==ππ解:m /V )x 102t 102cos(10y y E z E y E x E E 26300y 0z 0y 0x --⨯π+⨯π==++=∴ 矢量E 的方向是沿Y 轴方向,波的传播方向是-x 方向;波的幅度m /V 10E E 3y -==。
s /m 10102102k V ;102k ;MHZ 1HZ 1021022f 826P 266=⨯π⨯π=ω=⨯π===π⨯π=πω=--1.2写出下列时谐变量的复数表示(如果可能的话))6sin()3sin()()6(cos 1)()5()2120cos(6)()4(cos 2sin 3)()3(sin 8)()2()4cos(6)()1(πωπωωππωωωπω++=-=-=-=-=+=t t t U t t D t t C t t t A tt I t t V(1)解:4/)z (v π=ϕj 23234sin j 64cos6e6V 4j+=π+π==π∴ (2)解:)2t cos(8)t (I π-ω-=2)z (v π-=ϕj 8e 8I j 2=-=π-∴(3)解:)t cos 132t sin 133(13)t (A ω-ω= j32e13A 2)z ()2t cos(13)t (A 133cos )2(j v --==π-θ=ϕ∴π-θ+ω==θπ-θ则则令 (4)解:)2t 120cos(6)t (C π-π=j 6e6C 2j -==∴π(5)(6)两个分量频率不同,不可用复数表示1.3由以下复数写出相应的时谐变量])8.0exp(4)2exp(3)3()8.0exp(4)2(1)1(j j C j C jC +==+=π(1)解:t sin t cos j t sin j t cos )t sin j t )(cos j 1(e )j 1(t j ω-ω+ω+ω=ω+ω+=+ωt sin t cos )Ce (RE )t (C t j ω-ω==∴ω(2)解:)8.0t cos(4)e e 4(RE )Ce (RE )t (C t j 8.0j t j +ω===ωω(3)解:)8.0t (j )2t (j tj 8.0j j tj e 4e3e)e4e3(Ce2+ωπ+ωωω+=+=π得:)t cos(3)8.0t cos(4)8.0t cos(4)2t cos(3)Ce (RE )t (C tj ω-+ω=+ω+π+ω==ω1.4]Re[,)21(,)21(000000**⨯⋅⨯⋅++--=+++=B A B A B A B A z j y j x B z j y j x A ,,,求:假定解:1B A B A B A B A z z y y x x -=++=⋅0000000000z y x z y x 000z y x 6)B A (RE j)j 21(1j 21j 1z y x B A j 21B A z )j 21(x B z )j 1(y )j 31(x )4j 4(B B B A A A z y x B A--=⨯----+=⨯--=⋅---=--+--++-==⨯****得到:则:1.5计算下列标量场的梯度xyzu xy y x u xz yz xy u z y x u z y x u =++=++=-+==)5(2)4()3(2)2()1(22222222(1)解:u u grad ∇=)(22022022022202220222222z z y x y yz x x z xy z z z y x y y z y x x x z y x++=∂∂+∂∂+∂∂=(2)解:u u grad ∇=)(000224z z y y x x -+=(3) 解:u u grad ∇=)(000)()()(z x y y z x x z y+++++=(4)解:u u grad ∇=)(00)22()22(y x y x y x+++=(5)解:u u grad ∇=)(000z xy y xz x yz ++=1.6)处的法线方向,,在点(求曲面21122y x z +=解:梯度的方向就是电位变化最陡的方向令z y x T-+=22则代入锝:将点)2,1,1(22000z y y x x T-+=∇法线方向与00022z y x-+同向1.7求下列矢量场的散度,旋度200022000002020265)4()()()3()()()()2()1(z x y yz x A y y x x y x A z y x y z x x z y A z z y y x x A ++=+++=+++++=++=(1)解:zA y A x A A A div zy x ∂∂+∂∂+∂∂=⋅∇=)(z y x 222++=0)(222000=∂∂∂∂∂∂=⨯∇=z y x z y x z y x A A curl(2)解:div(A)=0curl(A)=0(3)解:div(A)=1+2y022000)12(0)(z x y x yx z y x z y x A A curl -=++∂∂∂∂∂∂=⨯∇= (4)解:div(A)=6z002002665)(y x x y x yzz y x z y x A A curl --=∂∂∂∂∂∂=⨯∇= 1.11⎰===+⋅=Sh z z r y x S S d A x x A 组成的闭合曲面是由其中,求若矢量场,0,,2220解:由散度定理可得:hr dV dVx x h z r y x V dV A dS A VV s V20222)]([),()(π==⋅∇===+⋅∇=⋅⎰⎰⎰⎰围成的体积为1.12)()()(,,000000B A A B B A z B y B x B B z A y A x A A z y x z y x⨯∇⋅-⨯∇⋅=⨯⋅∇++=++=试证明:假定证明:)(B A ⨯⋅∇zB A B A y B A B A xB A B A B A B A z B A B A y B A B A x B B B A A A z y x x y y x z x x z y z z y x y y x z x x z y z z y zy x z yx ∂-∂+∂-∂+∂-∂=-+-+-⋅∇=⋅∇=)()()()]()()([00000)()()()()()()()(B A A B y B x B A x B z B A z B y B A yA x AB x A z A B z A y A B zB A B A A B A B yB A B A A B A B xB A B A A B A B x y z z x y yz x x y z z x y yz x xy y x y x x y zx y z x z z x y z z y z y y z⨯∇-⨯∇=∂∂-∂∂-∂∂-∂∂-∂∂-∂∂-∂∂-∂∂+∂∂-∂∂+∂∂-∂∂=∂∂-∂+∂-∂+∂∂-∂+∂-∂+∂∂-∂+∂-∂=1.13AA A A A A⨯∇Φ+⨯Φ∇=Φ⨯∇⋅∇Φ+Φ∇⋅=Φ⋅∇)()2()()1(证明:(1)证明:证毕右边左边右边左边=∴∂Φ∂+∂Φ∂+∂Φ∂=∂Φ∂+∂Φ+∂Φ∂+∂Φ+∂Φ∂+∂Φ=∂∂+∂∂+∂∂Φ+∂Φ∂+∂Φ∂+∂Φ∂⋅++=∂Φ∂+∂Φ∂+∂Φ∂=Φ+Φ+Φ⋅∇=z A y A x A z A A y A A x A A zA y A x A z z y y x x z A y A x A zA y A x A z A y A x A z y x z z y y x x z y x z y x zy x z y x )()()()(000000000(2)证明:证毕左边右边左边=∂∂Φ∂∂Φ∂∂Φ+∂Φ∂∂Φ∂∂Φ∂=⨯∇Φ+⨯Φ∇=ΦΦΦ∂∂∂∂∂∂=Φ⨯∇=zyx z y x zy xA A A z y x z y x A A A z y x z y x A A A A A z y x z y x A 000000000)(1.14 证明:)()2(0)()1(=Φ∇⨯∇=⨯∇⋅∇A(1)证明:证毕)]()()([)(222222000000=∂∂∂-∂∂∂+∂∂∂-∂∂∂+∂∂∂-∂∂∂=∂∂-∂∂+∂∂-∂∂+∂∂-∂∂⋅∇=∂∂∂∂∂∂⋅∇=⨯∇⋅∇y z A z x A y x A y z A z x A y x A yA x A z x A z A y z A y A x A A A z y x z y x A x y z x y z xy z x y z zy x(2)证明:证毕0)()(000000=∂Φ∂∂Φ∂∂Φ∂∂∂∂∂∂∂=∂Φ∂+∂Φ∂+∂Φ∂⨯∇=Φ∇⨯∇zy x z y x z y x z zy y x x第二章 传输线基本理论与圆图2.1710'0.042/'510/'510/'30.5/R m L H m G S mC pF mk Z Ω-==⨯=⨯=市话用的平行双导线,测得其分布电路参数为:求传播常数与特征阻抗。
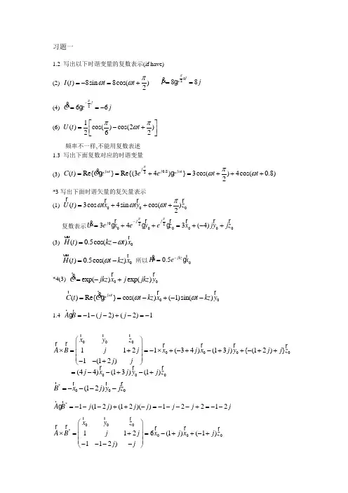
习题一1.2 写出以下时谐变量的复数表示(if have) (2) ()8sin 8cos()2I t t t πωω=-=+288jI e j π==(4) 266jC ej π-==-(6) 1()cos()cos(2)262U t t ππω⎡⎤=-+⎢⎥⎣⎦频率不一样,不能用复数表述1.3 写出下面复数对应的时谐变量(3) 0.82()Re{}Re{(34)}3cos()4cos(0.8)2jj tj j t C t Ce ee e t t πωωπωω==+=+++*3写出下面时谐矢量的复矢量表示(1) 000()3cos 4sin cos()2U t tx ty t z πωωω=+++复数表示022000000343(4)j j j U e x e y e z x jy jz ππ-=++=+-+(3) 0()0.5cos()H t kz t x ω=-0()0.5c o s ()H t t k z x ω=- 所以00.5jkz H e x -=*4(3) 00exp()exp()C jkz x j jkz y =-+00()Re{}cos()(1)sin()j t C t C e t kz x t kz y ωωω==-+--1.4 1(2)(2)1A B j j =---+-=-0000000001121(34)(13){(12)}1(12)(44)(13)(1)x y z A B j j x j x j y j j z j j j x j y j z ⎛⎫ ⎪⨯=+=-⨯+-+-++-++ ⎪ ⎪--+⎝⎭=--+-+*000(12)B x j y jz =----*1(12)(12)()12212A B j j j j j j j =---++-=----+=--00*0001126(1)(1)112)x y z A B j j x j x j z j j ⎛⎫ ⎪⨯=+=-++-+ ⎪ ⎪----⎝⎭*000Re{}6A B x y z ⨯=--*7 假定300056A x yzy x z =++ ,求A ∇⨯ ,A ∇ .00020036(3)56x y z A yx x y x y z yzx ⎛⎫ ⎪∂∂∂⎪∇⨯==-- ⎪∂∂∂ ⎪⎝⎭, 3000000()(56)6A x y z x yzy x z z x y z∂∂∂∇=++++=∂∂∂*10 证明 1) r r r ∇= 2) 3r ∇= 3) 22r r r ∇∇=∇=4) 31r r r∇=- 5) 0r ∇⨯=6) 2114()r r r πδ∇∇=∇=- 证明000r xx yy zz =++r =1) 000(r r x y z x y z r ∂∂∂∇=++=∂∂∂2) 000000()()3r x y z xx yy zz x y z ∂∂∂∇=++++=∂∂∂3) 3132()r r r r r r r r r r r r ∇∇∇=∇=+∇=-=4) 23111dr r r r r dr r r r∇=∇=-=-5) 0000x y z r x y z x y z ⎛⎫ ⎪∂∂∂ ⎪∇⨯== ⎪∂∂∂ ⎪⎝⎭6) 当0r ≠,323333341()113()()(())33()0d r r r r r r r r r r r drr r r r r∇∇=∇-=-+∇=-+∇=--=对于0r =的点作包含0r =的体积分20321114v s r ds dv dv ds r ds r r r r r π∇=∇∇=∇==-=-⎰⎰⎰⎰⎰所以等式成立习题二2.1已知0.042/R m '=Ω, 7510/L H m -'=⨯, 7510/G S m -'=⨯, 30.5/C pF m '=,求,c k Z .解: jk ==Z ==2.2 3(0)13L C v L C Z Z Z Z -Γ==+ 驻波系数 1|(0)|1.61|(0)|v v ρ+Γ==-Γ(0)max min max (0)|(0)|(0)00,44j v v e d d d ψλλψΓ=Γ∴==>==+=max 0d =故max V 出现在Z=0处,即max 5L V V V ==,maxmin 5/1.6 3.0125V V ρ===(0)tan ()(0)tan c cc Z jZ kzZ z Z Z jZ kz-=- (0)L Z Z =,2k πλ=4l λ=,2250080c in L Z Z Z == 2l λ=,2225008031.25c in in Z Z Z λ===(相当于平移)max min ||I v d d =,故maxmax 0.1cV I A Z ==,2.3 8l λ=,L tan 525.995050tan 50525.99o L c in c oc Z jZ kz j Z Z Z jZ kz j +∠+==++∠ 4l λ=,22250050025.99525.99oc in oin Z Z Z λ===∠-∠ 38l λ=,tan 525.995050(0)tan 50525.99o L c in c oc Z jZ kz j Z Z Z jZ kz j -∠-==--∠minmin max min ||0.0627I v cV d d I A Z ===2.4 10.8 1.010.2 1.0(0)0.8 1.01 1.8 1.01LL C C v LL C CZ Z Z Z j j Z Z Z j j Z --+--+Γ====+++++ ||0.4953v Γ= (a)1||2.91||v v ρ+Γ==-Γ(b) 0.8, 1.0L L R X j == =>2(0)arctan() 1.270.64ψ===> m i n 1(0)0.3544d λλπψ=+= (c) 2||0.25r i P P=Γ=(d) max min min1max1(0)|| 1.5,||0.5,0.35,0.0984V V d d λπψ===== |(0)||1(0)| 1.2488V =+Γ=2.52||r i P P =Γ,max minV V ρ=121.25, 1.5ρρ==,12121211||0.11,||0.211v v ρρρρ--Γ==Γ==++,所以传输线1效率高 功率上, max ||12C V P Z ρ=,121280,100,P P P P ==<2.15 0.3cm fλ==,0.0754l m λ==匹配器长度,270.71C Z ===Ω匹配器特征阻抗tan tan L c in cc L Z jZ kl Z Z Z jZ kl +=+,||||0.1in Cv in CZ Z f Z Z -Γ=<=>+的范围习题三3.1求以下量纲(1) E D (2) H B (3) S3/J m 3/J m 2/w m3.2 写出以下时谐矢量的复矢量表示 (1) 000()3cos 4sin cos()2V t tx ty t z πωωω=+++解: 200034j V x jy e z π=-+(2) 00()(3cos 4sin )8(cos sin )E t t t x t t z ωωωω=++-解: 00(34)8(1)E j x j z =-++(3) 0()0.5cos()H t kz t x ω=-解: 00.5jkz H e x -=3.3 从复矢量写出相应的时谐矢量 (1) 00C x jy =-解: 0000()Re[]Re[]cos sin j t j t j t C t C e x e je y tx ty ωωωωω==-=+(3) 00exp()exp()C jkz x j jkz y =-+解: 0000()Re[exp()exp()]cos()sin()C t j t jkz x j j t jkz y t kz x t kz y ωωωω=-++=--+3.4 无源空间00H zy yz =+,D 是否随时间变化? 解0DH H t∂∇⨯==>∇⨯=∂,所以D 是否随时间变化. 3.10 一点电荷(电量为510C -)作圆周运动,其角速度1000/rad s ω=,圆周半径r=1cm,如图3.10,求圆心处的位移电流密度.解000220000(cos sin )44qqE r tx ty R R ωωπεπε==+002(sin cos )4d D q J tx ty t R ωωωπ∂==-+∂3.11 假定0000(),()jz jz E x jy e H y jx e --=+=-,求S 以及<S>解0000()Re[()]cos()sin()jz j t E t x jy e e t z x t z y ωωω-=+=---00()cos()sin()H t t z y t z x ωω=-++0()()()S t E t H t z=⨯=*0000011()Re[]Re[()()]22jz jz S t E H x jy e y jx e z -<>=⨯=+⨯-=习题四4.1 写出,,,,k f T ωλ的单位 解: /,/,,rad s rad m Hz m4.2 激光器输出波长76.32810m -⨯,计算它的,,f T k 。
电磁场与电磁波第二版答案陈抗生【篇一:2011版电磁场与电磁波课程标准】xt>课程编号:适用专业:总学时数:学分:07050021 通信工程本科理论32学时 3一、课程目的及性质电磁场与电磁波是通信技术的理论基础,通过本课程的学习,使学生掌握电磁场的有关定理、定律、麦克斯韦方程等的物理意义及数学表达式。
使学生熟悉一些重要的电磁场问题的数学模型(如波动方程、拉氏方程等)的建立过程以及分析方法。
培养学生正确的思维方法和分析问题的能力,使学生学会用场的观点去观察、分析和计算一些简单、典型的场的问题。
为后续课程打下坚实的理论基础。
二、本课程的基本内容第一章矢量分析(一)教学目的与要求1、理解矢量的标积和矢积;2、理解标量场的方向导数与梯度;3、理解矢量场的通量、散度与散度定理;4、理解矢量场旋度的散度,标量场梯度的旋度;5、理解亥姆霍兹定理、正交曲面坐标系。
(二)教学的重点与难点 1、 2、 3、矢量场中的散度定理和斯托克斯定理;无散场、无旋场的含义;格林定理。
(三)课时安排理论6课时(四)主要内容第一节:标量与矢量(1)课时 1、 2、 3、矢量的代数运算矢量的标积与矢积标量场的方向导数与梯度第二节:矢量场(1)课时 1、矢量场的通量、散度与散度定理 2、矢量场的环量、旋度与旋度定理第三节:无散场与无旋场(1)课时1、矢量场旋度的梯度2、标量场梯度的旋度3、格林定理第四节:矢量场的基本定义和坐标系 1、格林定理2、矢量场的唯一性定义3、亥姆霍兹定理4、正交曲面坐标系(3)课时第二章静电场(一)教学目的与要求 1、 2、 3、 4、 5、 6、 7、8、(二)教学的重点与难点 1、 2、 3、 4、电荷分布与电场强度、电位的关系式;静电场边界中:束缚电荷与电场,极化强度的关系;电场能量;虚位移方法在求解电场作用力的应用。
理解电通量定理,电场线及电场强度方向;理解真空中静电场的积分和微分形式;理解电荷的面密度和线密度与电位、电场强度的关系;理解束缚电荷与极化强度的关系;理解介质中静电场的微分与积分形式;理解静电场的边界条件;理解电容与电场能量的关系;理解虚位移方法在求解作用力的方法在常电荷,常电位系统中的应用。
习题解答4.1 如题4.1图所示为一长方形截面的导体槽,槽可视为无限长,其上有一块与槽相绝缘的盖板,槽的电位为零,上边盖板的电位为U ,求槽内的电位函数。
解 根据题意,电位(,)x y ϕ满足的边界条件为 ① (0,)(,)0y a y ϕϕ== ② (,0)0x ϕ= ③0(,)x b U ϕ=根据条件①和②,电位(,)x y ϕ的通解应取为1(,)sinh()sin()n n n y n xx y A a a ππϕ∞==∑由条件③,有01sinh()sin()n n n b n x U A a a ππ∞==∑两边同乘以sin()n x a π,并从0到a 对x 积分,得到002sin()d sinh()an U n xA x a n b a a ππ==⎰02(1cos )sinh()U n n n b a πππ-=04,1,3,5,sinh()02,4,6,U n n n b a n ππ⎧=⎪⎨⎪=⎩L L ,故得到槽内的电位分布1,3,5,41(,)sinh()sin()sinh()n U n y n xx y n n b a a a ππϕππ==∑L4.2 两平行无限大导体平面,距离为b ,其间有一极薄的导体片由d y =到b y =)(∞<<-∞x 。
上板和薄片保持电位U ,下板保持零电位,求板间电位的解。
设在薄片平面上,从0=y 到d y =,电位线性变化,0(0,)y U y d ϕ=。
a题4.1图解 应用叠加原理,设板间的电位为(,)x y ϕ=12(,)(,)x y x y ϕϕ+其中,1(,)x y ϕ为不存在薄片的平行无限大导体平面间(电压为U )的电位,即10(,)x y U y b ϕ=;2(,)x y ϕ是两个电位为零的平行导体板间有导体薄片时的电位,其边界条件为: ①22(,0)(,)0x x b ϕϕ==②2(,)0()x y x ϕ=→∞③002100(0)(0,)(0,)(0,)()U U y y d by y y U U y y d y b d b ϕϕϕ⎧-≤≤⎪⎪=-=⎨⎪-≤≤⎪⎩根据条件①和②,可设2(,)x y ϕ的通解为 21(,)sin()en x bn n n y x y A b ππϕ∞-==∑由条件③有00100(0)sin()()n n U U y y d n y b A U U b y yd y b d b π∞=⎧-≤≤⎪⎪=⎨⎪-≤≤⎪⎩∑两边同乘以sin()n yb π,并从0到b 对y 积分,得到0002211(1)sin()d ()sin()d dbn d U U y n y n y A y y y b b b b d b b ππ=-+-=⎰⎰022sin()()U b n d n d b ππ故得到 (,)x y ϕ=0022121sin()sin()e n x bn U bU n d n y y b d n b b ππππ∞-=+∑4.3 求在上题的解中,除开0U y 一项外,其他所有项对电场总储能的贡献。
第9章习题解答【9.1】 解:因为布儒斯特角满足21tan /B n n θ= 根据已知条件代入即可求得: (a ) 67.56)1/52.1(tan 1==-B θ (b ) 1.53)1/33.1(tan 1==-B θ【9.2】 证明:已知''0021tan cot i tE E θθ=+(9-38)⎥⎥⎥⎥⎦⎤⎢⎢⎢⎢⎣⎡+=i tn n n n E E θθcos cos 1221210''0 (9-45) 再法向入射情况下,0=i θ根据斯涅尔折射定理i t n n θθsin sin 12=,有,0=t θ 将斯涅尔折射定理和,0==t i θθ代入(9-38)和(9-45)有120''012n E E +=故命题得证。
【9.3】 解:对于法向入射情形,满足反射和折射条件如下:21210'0n n nn E E R +-== (1)120''012n E E T +== (2) 依题意,对于由介质溴化钾和空气,当波从空气射向介质时,设空气的折射率为1n ,介质的折射率为2n ,当波从介质射向空气时,设介质的折射率为1n ,空气的折射率为2n 。
我们统一将空气的折射率为1n ,介质的折射率为2n ,则R 随着波透射的传播方向不同仅相差一个负号,但考虑到我们要分析的是能量损耗,即只与2R 有关,所以不用考虑R 的正负。
对于T ,则分成两种情形:① 当波从空气射向介质时,120''012n n E E p T +=== (3) ② 当波从介质射向空气时,210''012n n E E q T +=== (4) 如下图,波在两个截面上经过无数次反射和折射,能量的损耗由两部分组成,即第一次反射波21R S =,另外一部分为无数次与传播方向反向的方向透射的能量之和,即:++++=+=)3(2)2(2)1(2221S S S R S S S (5) 其中3222)(2322)3(222)2(22)1(2)()()()()()()(-====n n R p q R S R p q R S R p q R S p q R S (6)可以看出该数列为等比为2R 的一个无穷等比数列,将已知条件和式(1)、(3)、(4)、(6)代入(5)后×100%式可以求得能量损耗的百分比。
电磁场与电磁波第二版课后答案本文档为《电磁场与电磁波》第二版的课后答案,包含了所有章节的练习题的答案和解析。
《电磁场与电磁波》是电磁学领域的经典教材,它讲述了电磁场和电磁波的基本原理和应用。
通过学习本书,读者可以深入了解电磁学的基本概念和原理,并且能够解决一些相关问题。
第一章绪论练习题答案1.电磁场是由电荷和电流产生的一种物质性质,具有电场和磁场两种形式。
电磁波是电磁场的振动。
电磁辐射是指电磁波传播的过程。
2.对于一点电荷,其电场是以该点为中心的球对称分布,其强度与距离成反比。
对于无限长直导线产生的电场,其强度与距离呈线性关系,方向垂直于导线轴线。
3.电磁场的本质是相互作用力。
电场力是由于电荷之间的作用产生的,磁场力是由于电流之间的作用产生的。
解析1.电磁场是由电荷和电流产生的物质性质。
当电荷存在时,它会产生一个电场,该电荷周围的空间中存在电场强度。
同时,当电流存在时,它会产生一个磁场,该电流所在的区域存在磁场。
电磁波是电磁场的振动传播。
电磁波是由电磁场的变化引起的,相邻电磁场的振动会相互影响,从而形成了电磁波的传播。
电磁辐射是指电磁波在空间中的传播过程。
当电磁波从一个介质传播到另一个介质时,会发生折射和反射现象。
2.在一点电荷产生的电场中,电场强度与该点到电荷的距离成反比,即\(E = \frac{{k \cdot q}}{{r^2}}\),其中\(E\)为电场强度,\(k\)为电场常数,\(q\)为电荷量,\(r\)为距离。
对于无限长直导线产生的电场,其电场强度与离导线的距离呈线性关系。
当离无限长直导线的距离为\(r\)时,其电场强度可表示为\(E = \frac{{\mu_0 \cdot I}}{{2 \pi \cdot r}}\),其中\(E\)为电场强度,\(\mu_0\)为真空中的磁导率,\(I\)为电流强度。
3.电磁场的本质是相互作用力。
当两个电荷之间有作用力时,这个作用力是由于它们之间的电场力产生的。
电磁场与电磁波第二版答案陈抗生【篇一:2011版电磁场与电磁波课程标准】xt>课程编号:适用专业:总学时数:学分:07050021 通信工程本科理论32学时 3一、课程目的及性质电磁场与电磁波是通信技术的理论基础,通过本课程的学习,使学生掌握电磁场的有关定理、定律、麦克斯韦方程等的物理意义及数学表达式。
使学生熟悉一些重要的电磁场问题的数学模型(如波动方程、拉氏方程等)的建立过程以及分析方法。
培养学生正确的思维方法和分析问题的能力,使学生学会用场的观点去观察、分析和计算一些简单、典型的场的问题。
为后续课程打下坚实的理论基础。
二、本课程的基本内容第一章矢量分析(一)教学目的与要求1、理解矢量的标积和矢积;2、理解标量场的方向导数与梯度;3、理解矢量场的通量、散度与散度定理;4、理解矢量场旋度的散度,标量场梯度的旋度;5、理解亥姆霍兹定理、正交曲面坐标系。
(二)教学的重点与难点 1、 2、 3、矢量场中的散度定理和斯托克斯定理;无散场、无旋场的含义;格林定理。
(三)课时安排理论6课时(四)主要内容第一节:标量与矢量(1)课时 1、 2、 3、矢量的代数运算矢量的标积与矢积标量场的方向导数与梯度第二节:矢量场(1)课时 1、矢量场的通量、散度与散度定理 2、矢量场的环量、旋度与旋度定理第三节:无散场与无旋场(1)课时1、矢量场旋度的梯度2、标量场梯度的旋度3、格林定理第四节:矢量场的基本定义和坐标系 1、格林定理2、矢量场的唯一性定义3、亥姆霍兹定理4、正交曲面坐标系(3)课时第二章静电场(一)教学目的与要求 1、 2、 3、 4、 5、 6、 7、8、(二)教学的重点与难点 1、 2、 3、 4、电荷分布与电场强度、电位的关系式;静电场边界中:束缚电荷与电场,极化强度的关系;电场能量;虚位移方法在求解电场作用力的应用。
理解电通量定理,电场线及电场强度方向;理解真空中静电场的积分和微分形式;理解电荷的面密度和线密度与电位、电场强度的关系;理解束缚电荷与极化强度的关系;理解介质中静电场的微分与积分形式;理解静电场的边界条件;理解电容与电场能量的关系;理解虚位移方法在求解作用力的方法在常电荷,常电位系统中的应用。
第7章习题解答【7.1】 解:设第一个分子的球心位置为原点,即0d (d 为分子直径)处 依题意任意时刻都要满足%5)10()0(0≤-E d d E E (1)其中E 是空间变化的电场,其形式为)exp(0ikx E -=E ,ck ω=,则(1)式变为%5)210exp(1≤--cfdi π (2) 可以求出 15151019.11056.1215⨯≈⨯≤f 所以频率上限的数量级为1510【7.2】解p V k ω=p pg p g p kdV dV d V V V dk dk V d ωωω===+ 1pg pp V V V d ωω=-22()1p i o rcc V n n ωωαω==-+0i n → p V c ∴= g p V V c ==即 2g p V V c ⋅=【7.3】解(1)波数681221501022310k f πππ===⨯⨯⨯⨯=⨯(rad/m ) 相速81.510p v ===⨯ (m/s )波长 21kπλ==(m )波阻抗60ηπ==(Ω) (2)均匀平面波的平均坡印廷矢量26z m S 0.26510z e e -==⨯平均 (W/m 2)得 31010m E -=⨯(V/m )当t = 0,z = 0时33sin 10100.8668.66103m E E π--⎛⎫==⨯⨯=⨯ ⎪⎝⎭(V/m )(3) t = 0.1s μ后210sin 23E ft kz ππ-⎛⎫=-+ ⎪⎝⎭267310sin 21501011028.66103z πππ---⎛⎫=⨯⨯⨯⨯-+=⨯ ⎪⎝⎭得 1sin 3028.66103z πππ-⎛⎫+-=⨯ ⎪⎝⎭15z =(m )【7.4】 解:电磁波的频率为8820310********v f λ-⨯===⨯⨯(Hz ) 在无损耗媒质中的波长为 12810vfλ-==⨯ (m ) 故波速为12888102510210v f λ-==⨯⨯⨯=⨯=(m/s )而无损耗媒质的本征阻抗为505000.1E H η==== (Ω) 联解以下两式:8210=⨯500= 得 1.99, 1.13r r με==【7.5】 解: 803100.2c f fλ⨯===故 883101510()0.2f Hz ⨯==⨯ 而 0.09vfλ== 故 880.090.091510 1.3510(/)v f m s =⨯=⨯⨯=⨯ 又v ===故 2882(/)(310/1.3510) 4.94r c v ε==⨯⨯=【7.6】 解:由题意知 7610ωπ=⨯0.8k π==106016E Hηππ====联解6100.8ππ⨯= 和60π= 得 8,2r r εμ==【7.7】 解:因4101σωε=<<,为低损耗媒质。
电磁场与电磁波课后习题与答案七章习题解答(2)《电磁场与电磁波》习题解答第七章正弦电磁波7.1 求证在⽆界理想介质沿任意⽅向e n (e n 为单位⽮量)传播的平⾯波可写成j()e n r t m βω?-=e E E 。
解 E m 为常⽮量。
在直⾓坐标中故则⽽故可见,已知的()n j e r t m e βω?-=E E 满⾜波动⽅程故E 表⽰沿e n ⽅向传播的平⾯波。
7.2 试证明:任何椭圆极化波均可分解为两个旋向相反的圆极化波。
解表征沿+z ⽅向传播的椭圆极化波的电场可表⽰为式中取显然,E 1和E 2分别表⽰沿+z ⽅向传播的左旋圆极化波和右旋圆极化波。
7.3 在⾃由空间中,已知电场3(,)10sin()V/my z t t z ωβ=-E e ,试求磁场强度(,)z t H 。
解以余弦为基准,重新写出已知的电场表⽰式这是⼀个沿+z ⽅向传播的均匀平⾯波的电场,其初相⾓为90?-。
与之相伴的磁场为 7.4 均匀平⾯波的磁场强度H 的振幅为1A/m 3π,以相位常数30rad/m 在空⽓中沿z -e ⽅向传播。
当t=0和z=0时,若H 的取向为y -e,试写出E 和H 的表⽰式,并求出波的频率和波长。
解以余弦为基准,按题意先写出磁场表⽰式与之相伴的电场为由rad/m β=30得波长λ和频率f 分别为则磁场和电场分别为7.5 ⼀个在空⽓中沿ye +⽅向传播的均匀平⾯波,其磁场强度的瞬时值表⽰式为(1)求β和在3ms t =时,z H =的位置;(2)写出E 的瞬时表⽰式。
解(1)781π10πrad /m rad /m 0.105rad /m 31030β==?==?在t =3ms 时,欲使H z =0,则要求若取n =0,解得y =899992.m 。
考虑到波长260mλβ==,故因此,t =3ms 时,H z =0的位置为(2)电场的瞬时表⽰式为7.6 在⾃由空间中,某⼀电磁波的波长为0.2m 。
《电磁场与电磁波》课后习题解答(第⼋章)第8章习题解答【8.1】已知:原⼦质量=107.9,密度=10.53×3310/kg m ,阿佛加德罗常数 =6.02×2610/kg 原⼦质量,电荷量q =1.6×C 1910- 电⼦质量m =9.11×kg 3110-,绝对介电系数(真空中)0ε=8.85×1210/F m - 银是单价元素,由于价电⼦被认为是⾃由电⼦,因⽽单位体积内的电⼦数⽬等于单位体积内的原⼦数⽬。
9.1071002.61053.10263)()(每⽴⽅⽶的原⼦数⽬=即每⽴⽅⽶的⾃由电⼦数⽬:281088.5?=N 可得 s Nq m 1421074.3/-?==στ(对于银)将上述σ、τ和0ε的值代⼊r k =+-)1(/1220τωεστ和l k =+ωτωεσ)1(2/220中可得 52251061.2)1/(1061.21?-=+?-=τωr k 71055.5?=l k则 7461242/122=??++-=lr r i k k k n故 72104.6-?==in c ωδ【8.4】解:良导体αβ== 场衰减因⼦ 2zxzeeeπαβλ---==当传播距离 z λ=时, 220.002zee πλαπλ---===⽤分贝表⽰即为 55dB 。
【8.2】已知:电导率σ=4.6m s /,原⼦质量=63.5,海⽔平均密度=1.025×3310/kg m ,阿佛加德罗常数 =6.02×2610/kg 原⼦质量,电荷量q =1.6×C 1910- ,m 2=δ,电⼦质量m =9.11×kg 3110-,绝对介电系数(真空中)0ε=8.85×1210/F m -解:(1)与8.1题⼀样,可以求出每⽴⽅⽶的⾃由电⼦数⽬:281034.3?=N s Nq m 2121089.4/-?==στ 910545.2-?=r k f k l 101014.4?=则 fk k k k n l lr r i 102/1221014.424?=≈??++-= ⽽δωcn i =所以: k H z f 8.13=(2)依题意,满⾜%0001.0)exp(2=-δz可以求出 m z 8.13=【8.3】解:当法向⼊射时,1cos ,0==i i θθ,012=-=ωεm Nq n r 所以,20221ωεπm Nq f c =,其中参数的解法与8.1、8.2题公式相同。
《电磁场与电磁波》(陈抗生)习题解答第一章 引言——波与矢量分析1.1.,,/)102102cos(1026300p y v k f E m V x t y y E E 相速度相位常数度,频率波的传播方向,波的幅的方向,,求矢量设 --⨯+⨯==ππ解:m /V )x 102t 102cos(10y y E z E y E x E E 26300y 0z 0y 0x --⨯π+⨯π==++=∴ 矢量E 的方向是沿Y 轴方向,波的传播方向是-x 方向;波的幅度m /V 10E E 3y -==。
s /m 10102102k V ;102k ;MHZ 1HZ 1021022f 826P 266=⨯π⨯π=ω=⨯π===π⨯π=πω=--1.2写出下列时谐变量的复数表示(如果可能的话))6sin()3sin()()6(cos 1)()5()2120cos(6)()4(cos 2sin 3)()3(sin 8)()2()4cos(6)()1(πωπωωππωωωπω++=-=-=-=-=+=t t t U t t D t t C t t t A tt I t t V(1)解:4/)z (v π=ϕj 23234sin j 64cos6e6V 4j+=π+π==π∴ (2)解:)2tcos(8)t (I π-ω-= 2)z (v π-=ϕ j8e 8I j 2=-=π-∴(3)解:)t cos 132t sin 133(13)t (A ω-ω= j32e13A 2)z ()2t cos(13)t (A 133cos )2(j v --==π-θ=ϕ∴π-θ+ω==θπ-θ则则令 (4)解:)2t 120cos(6)t (C π-π=j 6e6C 2j -==∴π(5)(6)两个分量频率不同,不可用复数表示1.3由以下复数写出相应的时谐变量])8.0exp(4)2exp(3)3()8.0exp(4)2(1)1(j j C j C jC +==+=π(1)解:t sin t cos j t sin j t cos )t sin j t )(cos j 1(e )j 1(t j ω-ω+ω+ω=ω+ω+=+ω t sin t cos )Ce (RE )t (C t j ω-ω==∴ω(2)解:)8.0t cos(4)e e 4(RE )Ce (RE )t (C t j 8.0j t j +ω===ωω(3)解:)8.0t (j )2t (j tj 8.0j j tj e 4e3e)e4e3(Ce 2+ωπ+ωωω+=+=π得:)t cos(3)8.0t cos(4)8.0t cos(4)2t cos(3)Ce (RE )t (C t j ω-+ω=+ω+π+ω==ω1.4]Re[,)21(,)21(000000**⨯⋅⨯⋅++--=+++=B A B A B A B A z j y j x B z j y j x A ,,,求:假定解:1B A B A B A B A z z y y x x -=++=⋅0000000000z y x z y x 000z y x 6)B A (RE j)j 21(1j 21j 1z y x B A j 21B A z )j 21(x B z )j 1(y )j 31(x )4j 4(B B B A A A z y x B A--=⨯----+=⨯--=⋅---=--+--++-==⨯****得到:则:1.5计算下列标量场的梯度xyzu xy y x u xz yz xy u z y x u z y x u =++=++=-+==)5(2)4()3(2)2()1(22222222(1)解:u u grad ∇=)(22022022022202220222222z z y x y yz x x z xy z z z y x y y z y x x x z y x++=∂∂+∂∂+∂∂=(2)解:u u grad ∇=)(000224z z y y x x -+=(3) 解:u u grad ∇=)(000)()()(z x y y z x x z y+++++=(4)解:u u grad ∇=)(00)22()22(y x y x y x+++=(5)解:u u grad ∇=)(000z xy y xz x yz ++=1.6)处的法线方向,,在点(求曲面21122y x z+=解:梯度的方向就是电位变化最陡的方向令z y x T-+=22则代入锝:将点)2,1,1(22000z y y x x T-+=∇法线方向与00022z y x-+同向1.7求下列矢量场的散度,旋度200022000002020265)4()()()3()()()()2()1(z x y yz x A y y x x y x A z y x y z x x z y A z z y y x x A ++=+++=+++++=++=(1)解:zA y A x A A A div zy x ∂∂+∂∂+∂∂=⋅∇=)(z y x 222++=0)(222000=∂∂∂∂∂∂=⨯∇=z y x z y x z y x A A curl(2)解:div(A)=0curl(A)=0(3)解:div(A)=1+2y022000)12(0)(z x y x yx z y x z y x A A curl -=++∂∂∂∂∂∂=⨯∇= (4)解:div(A)=6z002002665)(y x x y x yzz y x z y x A A curl --=∂∂∂∂∂∂=⨯∇= 1.11⎰===+⋅=Sh z z r y x S S d A x x A 组成的闭合曲面是由其中,求若矢量场,0,,2220解:由散度定理可得:hr dV dVx x h z r y x V dV A dS A VV s V20222)]([),()(π==⋅∇===+⋅∇=⋅⎰⎰⎰⎰围成的体积为1.12)()()(,,000000B A A B B A z B y B x B B z A y A x A A z y x z y x⨯∇⋅-⨯∇⋅=⨯⋅∇++=++=试证明:假定证明:)(B A ⨯⋅∇zB A B A y B A B A xB A B A B A B A z B A B A y B A B A x B B B A A A z y x x y y x z x x z y z z y x y y x z x x z y z z y zy x z yx ∂-∂+∂-∂+∂-∂=-+-+-⋅∇=⋅∇=)()()()]()()([00000)()()()()()()()(B A A B y B x B A x B z B A z B y B A yA x AB x A z A B z A y A B zB A B A A B A B yB A B A A B A B xB A B A A B A B x y z z x y yz x x y z z x y yz x xy y x y x x y zx y z x z z x y z z y z y y z⨯∇-⨯∇=∂∂-∂∂-∂∂-∂∂-∂∂-∂∂-∂∂-∂∂+∂∂-∂∂+∂∂-∂∂=∂∂-∂+∂-∂+∂∂-∂+∂-∂+∂∂-∂+∂-∂=1.13AA A A A A⨯∇Φ+⨯Φ∇=Φ⨯∇⋅∇Φ+Φ∇⋅=Φ⋅∇)()2()()1(证明:(1)证明:证毕右边左边右边左边=∴∂Φ∂+∂Φ∂+∂Φ∂=∂Φ∂+∂Φ+∂Φ∂+∂Φ+∂Φ∂+∂Φ=∂∂+∂∂+∂∂Φ+∂Φ∂+∂Φ∂+∂Φ∂⋅++=∂Φ∂+∂Φ∂+∂Φ∂=Φ+Φ+Φ⋅∇=z A y A x A z A A y A A x A A zA y A x A z z y y x x z A y A x A zA y A x A z A y A x A z y x z z y y x x z y x z y x zy x z y x )()()()(000000000(2)证明:证毕左边右边左边=∂∂Φ∂∂Φ∂∂Φ+∂Φ∂∂Φ∂∂Φ∂=⨯∇Φ+⨯Φ∇=ΦΦΦ∂∂∂∂∂∂=Φ⨯∇=zyx z y x zy xA A A z y x z y x A A A z y x z y x A A A A A z y x z y x A 000000000)(1.14 证明:)()2(0)()1(=Φ∇⨯∇=⨯∇⋅∇A(1)证明:证毕)]()()([)(222222000000=∂∂∂-∂∂∂+∂∂∂-∂∂∂+∂∂∂-∂∂∂=∂∂-∂∂+∂∂-∂∂+∂∂-∂∂⋅∇=∂∂∂∂∂∂⋅∇=⨯∇⋅∇y z A z x A y x A y z A z x A y x A yA x A z x A z A y z A y A x A A A z y x z y x A x y z x y z xy z x y z zy x(2)证明:证毕0)()(000000=∂Φ∂∂Φ∂∂Φ∂∂∂∂∂∂∂=∂Φ∂+∂Φ∂+∂Φ∂⨯∇=Φ∇⨯∇zy x z y x z y x z zy y x x第二章 传输线基本理论与圆图2.1710'0.042/'510/'510/'30.5/R m L H m G S mC pF mk Z Ω-==⨯=⨯=市话用的平行双导线,测得其分布电路参数为:求传播常数与特征阻抗。
第一章习题解答【习题1.1解】222222222222222222222222222222222222cos cos cos cos cos cos 1xx x y z yx y z z x y z x y z x y z x y z x y z x y z x y z 矢径r 与轴正向的夹角为,则同理,矢径r 与y 轴正向的夹角为,则矢径r 与z 轴正向的夹角为,则可得从而得证a a b b g g a b g =++=++=++++=++++++++++==++【习题1.2解】924331329(243)54(9)(243)236335x y z x y z x y z x y z x y z x y z x y z x y z A B e e e e e e e e e A B e e e e e e e e e A B e e e e e e A B +=--+-+=-+=----+=---∙=--∙-+=+-=⨯()()-()(9)(243)19124331514x y z x y z x y z x y ze e e e e e e e e e e e =--⨯-+=---=--+【习题1.3解】已知,38,x y z x y z A e be ce B e e e =++=-++ (1)要使A B ⊥,则须散度 0A B =所以从 1380A B b c =-++=可得:381b c += 即只要满足3b+8c=1就可以使向量和向量垂直。
(2)要使A B ,则须旋度 0A B ⨯= 所以从1(83)(8)(3)0138xy zx y z e e e A B b c b c e c e b e ⨯==--+++=- 可得 b=-3,c=-8 【习题1.4解】已知129x y z A e e e =++,x y B ae be =+,因为B A ⊥,所以应有0A B ∙= 即()()1291290xy z x y ee e ae be a b ++∙+=+= ⑴又因为 1B =; 所以221a b +=; ⑵由⑴,⑵ 解得 34,55a b =±=【习题1.5解】由矢量积运算规则123233112()()()x y zx y z x x y y z ze e e A Ca a a a z a y e a x a z e a y a x e xyzB e B e B e B =?=-+-+-=++取一线元:x y z dl e dx e dy e dz =++则有xy z xyz e e e dlB B B dx dy dzB ?=则矢量线所满足的微分方程为 x y zd x d y d z B B B == 或写成233112()dx dy dzk a z a y a x a z a y a x==---=常数 求解上面三个微分方程:可以直接求解方程,也可以采用下列方法k xa a y a a z a d z a a x a a y a d y a a z a a x a d =-=-=-323132132231211)()()( (1)k x a y a z zdzz a x a y ydy y a z a x xdx =-=-=-)()()(211332 (2)由(1)(2)式可得)()(31211y a a x a a k x a d -=)()(21322z a a x a a k y a d -= (3) )()(32313x a a y a a k z a d -= )(32xy a xz a k xdx -=)(13yz a xy a k ydy -= (4))(21xz a yz a k zdz -=对(3)(4)分别求和0)()()(321=++z a d y a d x a d 0)(321=++z a y a x a d0=++zdz ydy xdx 0)(222=++z y x d所以矢量线方程为1321k z a y a x a =++ 2222k z y x =++【习题1.6解】已知矢量场222()()(2)x y z A axz x e by xy e z z cxz xyz e =++++-+- 若 A 是一个无源场 ,则应有 div A =0即: div A =0y x zA A A A x y z∂∂∂∇⋅=++=∂∂∂ 因为 2x A axz x =+ 2y A by xy =+ 22z A z z cxz xyz =-+- 所以有div A =az+2x+b+2xy+1-2z+cx-2xy =x(2+c)+z(a-2)+b+1=0 得 a=2, b= -1, c= - 2 【习题1.7解】设矢径 r 的方向与柱面垂直,并且矢径 r到柱面的距离相等(r =a )所以,2sssr ds rds a ds a ah πΦ===⎰⎰⎰=22a h π=【习题1.8解】已知23x y φ=,223yz A x yze xy e =+ 而 A A A A rot⨯∇+⨯∇=⨯∇=φφφφ)()(2222(6)3203xy zx y ze e e A xy x y e y e xyze x y z x yz xy ∂∂∂∇⨯==--+∂∂∂ 2223[(6)32]x y z A x y xy x y e y e xyze φ∴∇⨯=--+又y x z y xe x e xy ze y e x e 236+=∂∂+∂∂+∂∂=∇φφφφ 232233222630918603xy z x y z e e e A xyx x y e x y e x y ze x yz xy φ∇⨯==-+所以222()3[(6)32]x y z rot A A A x y xy x y e y e xyze φφφ=∇⨯+∇⨯=--+ +z y x e z y x e y x e y x 2332236189+-=]49)9[(3222z y x e xz e y e x x y x+--【习题1.9解】已知 222(2)(2)(22)x y zA y x z e x y z e x z y z e =++-+-+ 所以()()1144(22)0xyzyy x x z z x y z x yzx y z A A A A A A rot A A x y z y z z x x y A A A xz xz y y e e ee e e e e e ∂∂⎛⎫⎛⎫∂∂∂∂∂∂∂⎛⎫=∇⨯==-+-+- ⎪ ⎪ ⎪∂∂∂∂∂∂∂∂∂⎝⎭⎝⎭⎝⎭-++-+-=由于场A 的旋度处处等于0,所以矢量场A 为无旋场。
三章习题解答3.1 真空中半径为a 的一个球面,球的两极点处分别设置点电荷q 和q -,试计算球赤道平面上电通密度的通量Φ(如题3.1图所示)。
解 由点电荷q 和q -共同产生的电通密度为33[]4q R Rπ+-+-=-=R R D22322232()(){}4[()][()]r z r z r z a r z a q r z a r z a π+-++-+-++e e e e则球赤道平面上电通密度的通量d d z z SSS Φ====⎰⎰D S D e22322232()[]2d 4()()aq a a r r r a r a ππ--=++⎰221211)0.293()aqa q q r a =-=-+3.2 1911年卢瑟福在实验中使用的是半径为a r 的球体原子模型,其球体内均匀分布有总电荷量为Ze -的电子云,在球心有一正电荷Ze (Z 是原子序数,e 是质子电荷量),通过实验得到球体内的电通量密度表达式为02314ra Ze r r r π⎛⎫=- ⎪⎝⎭D e ,试证明之。
解 位于球心的正电荷Ze 球体内产生的电通量密度为 124rZ erπ=D e原子内电子云的电荷体密度为 333434a aZe Zer r ρππ=-=-电子云在原子内产生的电通量密度则为 32234344r rarZe r rr ρπππ==-D e e故原子内总的电通量密度为 122314ra Ze r r r π⎛⎫=+=- ⎪⎝⎭D D D e 3.3 电荷均匀分布于两圆柱面间的区域中,体密度为30C m ρ, 两圆柱面半径分别为a 和b ,轴线相距为c )(a b c -<,如题3.3图()a 所示。
求空间各部分的电场。
解 由于两圆柱面间的电荷不是轴对称分布,不能直接用高斯定律求解。
但可把半径为a 的小圆柱面内看作同时具有体密度分别为0ρ±的两种电荷分布,这样在半径为b 的整个圆柱体内具有体密度为0ρ的均匀电荷分布,而在半径为a 的整个圆柱体内则具有体密度为0ρ-的均匀电荷分布,如题3.3图()b 所示。
《电磁场与电磁波》习题解答第七章正弦电磁波7.1求证在无界理想介质内沿任意方向飾(勺为单位矢量)传播的平面波可写成E = E m eiSz")o解E”为常矢量。
在直角坐标中e n = e x cos a + e y cos p + e: cos 丫r = e x x+e v y^e:zej r = (e x cos a + e x cos/3 + e: cos /)・(g、x+e y y + e: z) =xcos a +ycos 0 + z cos yE = E= E£丿[0©8”十二《«”-初]V2E = e V2E + eV2E v + eN2E.=E〃Q0)2R〔0(・gW0+g”5】=(j 0)2 E护卩p2°—j[0(AC8d十〉8“+二CO”)-期]! _ _力2£亍一乔/;,&E、r / _ rV2E 一应—={jpyE + psarE = (joJ“e)2E + peorE = 0 可见,已知的匕一匕满足波动方程歹学=0dr故E表示沿勺方向传播的平面波。
7.2试证明:任何椭圆极化波均可分解为两个旋向相反的圆极化波。
解表征沿+Z方向传播的椭圆极化波的电场可表示为E = (e x E x+e y jE y)e~Jfiz =E^E2式中取E产扣M +耳)+ e J© + &)]宀2E2-^[e x(E x-E y)-e y j(E x-E y)]e-^显然,Ei和E2分别表示沿+z方向传播的左旋圆极化波和右旋圆极化波。
7.3在自由空间中,已知电场氐小讣皿曲-血冋!!!,试求磁场强度O解以余弦为基准,重新写出已知的电场表示式E(Z,f)=乞10’ cos(曲一0z-彳)V/m这是一个沿+z方向传播的均匀平面波的电场,其初相角为一90°。
与之相伴的磁场为] 1 / n H(z.t) = —e.xEQ) = 一e. xe 103cos cot-/3z- — 〃o 、 仏、• I2103 = -e v ------- c osT20龙1 A/—A« ill7.4均匀平面波的磁场强度H 的振幅为衍 ,以相位常数30iad/m 在空气中沿一© 方向传播。
《电磁场与电磁波》(陈抗生)习题解答第一章 引言——波与矢量分析1.1.,,/)102102cos(1026300p y v k f E m V x t y y E E 相速度相位常数度,频率波的传播方向,波的幅的方向,,求矢量设 --⨯+⨯==ππ解:m /V )x 102t 102cos(10y y E z E y E x E E 26300y 0z 0y 0x --⨯π+⨯π==++=∴ 矢量E 的方向是沿Y 轴方向,波的传播方向是-x 方向;波的幅度m /V 10E E 3y -==。
s /m 10102102k V ;102k ;MHZ 1HZ 1021022f 826P 266=⨯π⨯π=ω=⨯π===π⨯π=πω=--1.2写出下列时谐变量的复数表示(如果可能的话))6sin()3sin()()6(cos 1)()5()2120cos(6)()4(cos 2sin 3)()3(sin 8)()2()4cos(6)()1(πωπωωππωωωπω++=-=-=-=-=+=t t t U t t D t t C t t t A tt I t t V(1)解:4/)z (v π=ϕj 23234sin j 64cos6e6V 4j+=π+π==π∴ (2)解:)2t cos(8)t (I π-ω-=2)z (v π-=ϕj 8e 8I j 2=-=π-∴(3)解:)t cos 132t sin 133(13)t (A ω-ω= j32e13A 2)z ()2t cos(13)t (A 133cos )2(j v --==π-θ=ϕ∴π-θ+ω==θπ-θ则则令 (4)解:)2t 120cos(6)t (C π-π=j 6e6C 2j -==∴π(5)(6)两个分量频率不同,不可用复数表示1.3由以下复数写出相应的时谐变量])8.0exp(4)2exp(3)3()8.0exp(4)2(1)1(j j C j C jC +==+=π(1)解:t sin t cos j t sin j t cos )t sin j t )(cos j 1(e )j 1(t j ω-ω+ω+ω=ω+ω+=+ωt sin t cos )Ce (RE )t (C t j ω-ω==∴ω(2)解:)8.0t cos(4)e e 4(RE )Ce (RE )t (C t j 8.0j t j +ω===ωω(3)解:)8.0t (j )2t (j tj 8.0j j tj e 4e3e)e4e3(Ce2+ωπ+ωωω+=+=π得:)t cos(3)8.0t cos(4)8.0t cos(4)2t cos(3)Ce (RE )t (C tj ω-+ω=+ω+π+ω==ω1.4]Re[,)21(,)21(000000**⨯⋅⨯⋅++--=+++=B A B A B A B A z j y j x B z j y j x A ,,,求:假定解:1B A B A B A B A z z y y x x -=++=⋅0000000000z y x z y x 000z y x 6)B A (RE j)j 21(1j 21j 1z y x B A j 21B A z )j 21(x B z )j 1(y )j 31(x )4j 4(B B B A A A z y x B A--=⨯----+=⨯--=⋅---=--+--++-==⨯****得到:则:1.5计算下列标量场的梯度xyzu xy y x u xz yz xy u z y x u z y x u =++=++=-+==)5(2)4()3(2)2()1(22222222(1)解:u u grad ∇=)(22022022022202220222222z z y x y yz x x z xy z z z y x y y z y x x x z y x++=∂∂+∂∂+∂∂=(2)解:u u grad ∇=)(000224z z y y x x -+=(3) 解:u u grad ∇=)(000)()()(z x y y z x x z y+++++=(4)解:u u grad ∇=)(00)22()22(y x y x y x+++=(5)解:u u grad ∇=)(000z xy y xz x yz ++=1.6)处的法线方向,,在点(求曲面21122y x z +=解:梯度的方向就是电位变化最陡的方向令z y x T-+=22则代入锝:将点)2,1,1(22000z y y x x T-+=∇法线方向与00022z y x-+同向1.7求下列矢量场的散度,旋度200022000002020265)4()()()3()()()()2()1(z x y yz x A y y x x y x A z y x y z x x z y A z z y y x x A ++=+++=+++++=++=(1)解:zA y A x A A A div zy x ∂∂+∂∂+∂∂=⋅∇=)(z y x 222++=0)(222000=∂∂∂∂∂∂=⨯∇=z y x z y x z y x A A curl(2)解:div(A)=0curl(A)=0(3)解:div(A)=1+2y022000)12(0)(z x y x yx z y x z y x A A curl -=++∂∂∂∂∂∂=⨯∇= (4)解:div(A)=6z002002665)(y x x y x yzz y x z y x A A curl --=∂∂∂∂∂∂=⨯∇= 1.11⎰===+⋅=Sh z z r y x S S d A x x A 组成的闭合曲面是由其中,求若矢量场,0,,2220解:由散度定理可得:hr dV dVx x h z r y x V dV A dS A VV s V20222)]([),()(π==⋅∇===+⋅∇=⋅⎰⎰⎰⎰围成的体积为1.12)()()(,,000000B A A B B A z B y B x B B z A y A x A A z y x z y x⨯∇⋅-⨯∇⋅=⨯⋅∇++=++=试证明:假定证明:)(B A ⨯⋅∇zB A B A y B A B A xB A B A B A B A z B A B A y B A B A x B B B A A A z y x x y y x z x x z y z z y x y y x z x x z y z z y zy x z yx ∂-∂+∂-∂+∂-∂=-+-+-⋅∇=⋅∇=)()()()]()()([00000)()()()()()()()(B A A B y B x B A x B z B A z B y B A yA x AB x A z A B z A y A B zB A B A A B A B yB A B A A B A B xB A B A A B A B x y z z x y yz x x y z z x y yz x xy y x y x x y zx y z x z z x y z z y z y y z⨯∇-⨯∇=∂∂-∂∂-∂∂-∂∂-∂∂-∂∂-∂∂-∂∂+∂∂-∂∂+∂∂-∂∂=∂∂-∂+∂-∂+∂∂-∂+∂-∂+∂∂-∂+∂-∂=1.13AA A A A A⨯∇Φ+⨯Φ∇=Φ⨯∇⋅∇Φ+Φ∇⋅=Φ⋅∇)()2()()1(证明:(1)证明:证毕右边左边右边左边=∴∂Φ∂+∂Φ∂+∂Φ∂=∂Φ∂+∂Φ+∂Φ∂+∂Φ+∂Φ∂+∂Φ=∂∂+∂∂+∂∂Φ+∂Φ∂+∂Φ∂+∂Φ∂⋅++=∂Φ∂+∂Φ∂+∂Φ∂=Φ+Φ+Φ⋅∇=z A y A x A z A A y A A x A A zA y A x A z z y y x x z A y A x A zA y A x A z A y A x A z y x z z y y x x z y x z y x zy x z y x )()()()(000000000(2)证明:证毕左边右边左边=∂∂Φ∂∂Φ∂∂Φ+∂Φ∂∂Φ∂∂Φ∂=⨯∇Φ+⨯Φ∇=ΦΦΦ∂∂∂∂∂∂=Φ⨯∇=zyx z y x zy xA A A z y x z y x A A A z y x z y x A A A A A z y x z y x A 000000000)(1.14 证明:)()2(0)()1(=Φ∇⨯∇=⨯∇⋅∇A(1)证明:证毕)]()()([)(222222000000=∂∂∂-∂∂∂+∂∂∂-∂∂∂+∂∂∂-∂∂∂=∂∂-∂∂+∂∂-∂∂+∂∂-∂∂⋅∇=∂∂∂∂∂∂⋅∇=⨯∇⋅∇y z A z x A y x A y z A z x A y x A yA x A z x A z A y z A y A x A A A z y x z y x A x y z x y z xy z x y z zy x(2)证明:证毕0)()(000000=∂Φ∂∂Φ∂∂Φ∂∂∂∂∂∂∂=∂Φ∂+∂Φ∂+∂Φ∂⨯∇=Φ∇⨯∇zy x z y x z y x z zy y x x第二章 传输线基本理论与圆图2.1710'0.042/'510/'510/'30.5/R m L H m G S mC pF mk Z Ω-==⨯=⨯=市话用的平行双导线,测得其分布电路参数为:求传播常数与特征阻抗。
解:))((C j G L j R jk '+''+'=ωω)()(C j G L j R Z c '+''+'=ωω将数据代入解得(以50Hz 代入,不是很正确):Ω⨯-=⨯-=--3810)44.15.1(10)6.198.16(j Z j k c2.2min1max min max min 80,50,5/,/4,/2,3/8,,I ,I L C L Z Z Z V d l V V ρλλλλ===参看图,负载电压,求驻波系数,驻波最小点位置传输线长度处的输入阻抗以及。
解:(1)由题意可锝:80503(0)805013311(0)13 1.631(0)113L C v L C v v Z Z Z Z ΓΓρΓ--===++++===--Z L(2)3(0)(0)013v Γψ==即 4141maxmin=+=∴λλd d (3)224πλπλ===l kl l 时Ω=++=++=25.312tan80502tan 508050tan tan ππj j kljZ Z kljZ Z Z Z L C C L Cin Ω-=++====Ω=++====j kljZ Z kljZ Z Z Z l kl l kljZ Z kljZ Z Z Z l kl l L C C L C in L C C L C in 50tan tan 4328380tan tan 22πλπλπλπλ时时(4)iv i V V V 513161331)0(1)0(==+=Γ+=可得:1665=i V max min max maxminmin 653[1(0)](1)51613653[1(0)](1) 3.12516130.10.0625i v i v C CV V V V V VV I A Z V I A Z ΓΓ=+=+==-=-=====2.3处输入阻抗求传输线长度,,负载阻抗无线传输线特征阻抗8/3,4/,8/99.25550λλλ===l Z Z L C解:43,2,483,4,8πππλλλ==kl l处当Ω-=++=++=Ω=++=++=Ω+=++=++=)44.4526.8(43tan99.2555043tan5099.25550tan tan 502tan99.255502tan 5099.25550tan tan )26.531.9(4tan 99.255504tan 5099.25550tan tan j j j kljZ Z kl jZ Z Z Z j j kljZ Z kljZ Z Z Z j j j kl jZ Z kljZ Z Z Z L C C L C in L C C L Cin L C C L Cin ππππππ2.4功率之比)负载反射功率与入射(点位置)离开驻波第一个最小()驻波系数(求:传输线终端归一化阻抗321,0.18.0min d j z L ρ+=解:(0)10.2 1.0(0)(0)1 1.8 1.0j L C L v L C L Z Z z j e Z Z z j ψνΓΓ---+====+++(1)96.2)0(1)0(1=Γ-Γ+=v v ρ(2)min(0)0.3544d ψλλλπ=+= (3)41)0(2=Γ=v i r P P2.6λ/3350l j 长度求传输线以波长计的电,输入阻抗为,终端开路,测得始端传输线特征阻抗为ΩΩ解:终端开路时:cot 3350tan 3350arctan 3350arctan()1330.34322in C Z jZ kl j kl kl l πλπ=-=∴=-=-=-=得:2.8求负载阻抗,,驻波系数为为为在无耗线上测得:36.0,1.0,25,100min =⋯⋯-ρλλd j Z j Z ocin sc in解:5.0131311=+-=+-=Γρρvmin 0.60.6(0)0.1(0)0.644501(0)10.5501(0)10.5C j v L C jv d Z e Z Z e ππψλλλψππΩΓΓ--==+⇒=-===++==--即2.9(3060),50,L C L Z j Z Z d ΩΩ=+=如图,用可移动单可变电纳匹配器进行匹配,用圆图决定可变电纳匹配器到负载的距离,以及并联短路支线长度。