人教版数学八上《 整数指数幂(第1课时)负整数指数幂练习 (vip专享)
- 格式:doc
- 大小:254.00 KB
- 文档页数:2
15.2.3 整数指数幂第1课时 负整数指数幂要点感知1 一般地,当n 是正整数时,a -n =_____(a ≠0).即a -n (a ≠0)是an 的____.预习练习1-1 (潍坊中考)计算2-2的结果是( ) A.41 B.2 C.-41 D.4要点感知 2 整数指数幂的运算性质:当m ,n 均为整数时,(1)a m ·a n =____;(2)(a m )n =____;(3)(ab)n =____.预习练习2-1 计算(a -1b 2)3的结果是( )A.a 3b 6B.a -3b 8C.-a 3b 6D.36ab知识点1 负整数指数幂1.计算3-1的正确结果为( ) A.3B.-3C.31D.1 2.计算(a1)-2的正确结果为( ) A.a -2 B.a 2 C.21a D.a1 3.(曲靖中考)计算:|-2|-(14)-1+(2-1.414)0+9.知识点2 整数指数幂的运算4.计算:(1)6x -2·(2x -2y -1)-3; (2)(-2a -2)3b 2÷2a -8b -3.5.将(31)-1、(-3)0、(-3)-2这三个数按从小到大的顺序排列为( )A.(-3)0<(31)-1<(-3)-2B.(31)-1<(-3)0<(-3)-2C.(-3)-2<(-3)0<(31)-1D.(-3)0<(-3)-2<(31)-1 6.计算x 3y(x -1y)-2的结果为( )A.y x 5B.5x yC.25x y D.25y x7.计算:(1)(a -3b)2·(a -2b)-3; (2)(2m 2n -3)-2·(-mn 2)3÷(m -3n)2.8.计算:(-12)-1-12+(1-2)0-︱3-2︱.9.已知式子(x -1)-12x -3+(x -2)0有意义,求x 的取值范围.参考答案课前预习要点感知1 n a 1倒数预习练习1-1 A要点感知2 a m+n a mn a n b n预习练习2-1 D当堂训练1.C2.B3.原式=2.4.(1)原式=3443y x .(2)原式=-4a 2b 5.课后作业5.C6.A7.(1)原式=b 1.(2)原式=-41m 5n 10. 8.-3- 3. 9.x≠32且x≠2且x≠1. 6.。
《整数指数幂》基础练习一、选择题(本大题共5小题,共25.0分)1.(5分)2﹣3的倒数是()A.8B.﹣8C.D.﹣2.(5分)(﹣)﹣1=()A.B.C.3D.﹣3 3.(5分)计算2﹣1的结果是()A.B.﹣C.﹣2D.2 4.(5分)下列算式结果为﹣3的是()A.﹣31B.(﹣3)0C.3﹣1D.(﹣3)2 5.(5分)计算()﹣2的结果是()A.B.C.9D.6二、填空题(本大题共5小题,共25.0分)6.(5分)将代数式化为只含有正整数指数幂的形式是.7.(5分)计算(﹣)﹣1=.8.(5分)计算:a0b﹣2=.9.(5分)计算:a﹣2b2•(a2b﹣2)﹣3=.10.(5分)计算:(﹣1)3+(﹣)﹣2=.三、解答题(本大题共5小题,共50.0分)11.(10分)计算:(2a6b)﹣1÷(a﹣2b)312.(10分)计算:(﹣1)2018﹣(π﹣3.14)0+()﹣2.13.(10分)计算:.14.(10分)计算:(﹣6×6﹣2)2.15.(10分)计算:.《整数指数幂》基础练习参考答案与试题解析一、选择题(本大题共5小题,共25.0分)1.(5分)2﹣3的倒数是()A.8B.﹣8C.D.﹣【分析】利用负整数指数幂法则,以及倒数的定义判断即可.【解答】解:2﹣3==,则2﹣3的倒数是8,故选:A.【点评】此题考查了负整数指数幂,以及倒数,熟练掌握运算法则是解本题的关键.2.(5分)(﹣)﹣1=()A.B.C.3D.﹣3【分析】根据负整数指数幂的计算法则计算即可求解.【解答】解:(﹣)﹣1=﹣3.故选:D.【点评】考查了负整数指数幂,关键是熟练掌握计算法则正确进行计算.3.(5分)计算2﹣1的结果是()A.B.﹣C.﹣2D.2【分析】根据负整数指数幂:a﹣p=(a≠0,p为正整数)可得答案.【解答】解:原式=,故选:A.【点评】此题主要考查了负整数指数幂,关键是掌握计算公式.4.(5分)下列算式结果为﹣3的是()A.﹣31B.(﹣3)0C.3﹣1D.(﹣3)2【分析】结合负整数指数幂、有理数的乘方以及零指数幂的概念和运算法则进行求解即可.【解答】解:A、﹣31=﹣3,本选项正确;B、(﹣3)0=1≠﹣3,本选项错误;C、3﹣1=≠﹣3,本选项错误;D、(﹣3)2=9≠﹣3,本选项错误.故选:A.【点评】本题考查了负整数指数幂、有理数的乘方以及零指数幂,解答本题的关键在于熟练掌握各知识点的概念和运算法则.5.(5分)计算()﹣2的结果是()A.B.C.9D.6【分析】将化成3﹣1再用幂的乘方即可得出结论.【解答】解:()﹣2=(3﹣1)﹣2=32=9,故选:C.【点评】此题主要考查了幂的乘方,负整数指数幂,熟记a﹣p=是解本题的关键.二、填空题(本大题共5小题,共25.0分)6.(5分)将代数式化为只含有正整数指数幂的形式是.【分析】根据负整数指数幂:a﹣p=(a≠0,p为正整数)进行计算即可.【解答】解:=,故答案为:.【点评】此题主要考查了负整数指数幂,关键是掌握计算公式.7.(5分)计算(﹣)﹣1=﹣5.【分析】根据负整数指数幂的意义即可求出答案.【解答】解:原式=(﹣5)=﹣5,故答案为:﹣5.【点评】本题考查负整数指数幂,解题的关键是正确理解负整数指数幂的意义,本题属于基础题型.8.(5分)计算:a0b﹣2=.【分析】根据零指数幂以及负整数指数幂的意义即可求出答案.【解答】解:原式=1×=,故答案为:.【点评】本题考查负整数指数幂以及零指数幂,解题的关键是正确理解负整数指数幂以及零指数幂的意义,本题属于基础题型.9.(5分)计算:a﹣2b2•(a2b﹣2)﹣3=.【分析】根据负整数指数幂的定义求解即可.【解答】解:原式=•=.故答案为.【点评】本题考查了负整数指数幂:a﹣p=(a≠0,p为正整数),牢记定义是关键.10.(5分)计算:(﹣1)3+(﹣)﹣2=3.【分析】先求出(﹣1)3=﹣1,(﹣)﹣2=(﹣2)2=4,合并即可.【解答】解::(﹣1)3+(﹣)﹣2=﹣1+(﹣2)2=﹣1+4=3故答案为:3.【点评】本题考查指数幂的相关运算.理解负指数幂的运算法则是解答关键.三、解答题(本大题共5小题,共50.0分)11.(10分)计算:(2a6b)﹣1÷(a﹣2b)3【分析】直接利用积的乘方运算法则以及同底数幂的乘除运算法则化简得出答案.【解答】解:(2a6b)﹣1÷(a﹣2b)3=a﹣6b﹣1÷(a﹣6b3)=b﹣4=.【点评】此题主要考查了负整数指数幂计算,正确掌握运算法则是解题关键.12.(10分)计算:(﹣1)2018﹣(π﹣3.14)0+()﹣2.【分析】直接利用零指数幂的性质以及负指数幂的性质化简各数得出答案.【解答】解:原式=1﹣1+4,=4.【点评】此题主要考查了负指数幂的性质和零指数幂的性质,正确掌握相关定义是解题关键.13.(10分)计算:.【分析】本题涉及绝对值、负整数指数幂等知识点.在计算时,需要针对每个考点分别进行计算,然后根据实数的运算法则求得计算结果.【解答】解:原式=﹣1+﹣=﹣.故答案为﹣.【点评】本题考查实数的综合运算能力,是各地中考题中常见的计算题型.解决此类题目的关键是熟练掌握负整数指数幂、绝对值等考点的运算.14.(10分)计算:(﹣6×6﹣2)2.【分析】先计算括号中的,6﹣2=,再计算括号的乘方.【解答】解:(﹣6×6﹣2)2=(﹣6×)2,=(﹣)2=.【点评】幂的负整数指数运算,先把底数化成其倒数,然后将负整数指数幂当成正的进行计算.15.(10分)计算:.【分析】本题涉及零指数幂、负整数指数幂.在计算时,需要针对每个考点分别进行计算,然后根据实数的运算法则求得计算结果.【解答】解:原式=(﹣4)+4×1=0.【点评】本题考查实数的综合运算能力,是各地中考题中常见的计算题型.。
八年级数学上册整数指数幂练习题1.[乐山]计算-x3÷-x2的结果是a、 -xb、 xc、 -x5d、 x52.[黄冈]下列运算正确的是a、 x4x3=x12b、 x34=x81c.x4÷x3=xx≠0d.x3+x4=x73.以下计算是正确的a.a7÷a=a7b.a6÷a2=a3c、 -xy8-xy4=-x4y4d。
a6÷a3÷a2=a4.下列运算正确的是a、8a3b8÷4ab4=2a2b2b.-2x2y4÷-12xy2=xy2c、 -xy6÷-xy3=-x3y3d.-a4b5c÷ab3=-a4b2c5.以下计算是正确的a.-x9-x6=x3b.x2y5xy2=x3y3c、 -a2n-a2n-1=-ad.a3nan3=a96.[德州]化简:6a6÷3a3=________.7.填空:1a-b5÷b-a3=\;2[a52÷a9]2a3=________.8.计算:x-y6÷y-x3=___9.计算:-2a23-a4÷-a8+3a2=________.10.计算:4x3y2-12y÷4x2y211.化简[x2-2xy+y22-x4+y4]÷x2-y22的结果是a、 x-y2x+y2-1b。
1-x2+y2x2-y2c.x-y2x+y2-x2+y2x2-y2d.012.计算:4a2+2Ab+B25÷2A+B713.先化简,再求值:a+ba-b+4ab3-8a2b2÷4ab,其中a=2,b=1.14.【东营】如果3x=4,9y=7,则3x-2y的值为a.47b.74c.-3d.271.a2.c3.d 【解析】a7÷a=a6≠a7,a6÷a2=a4≠a3,-xy8-xy4=-xy4=x4y4≠-x4y4,a6÷a3÷a2=a6-3-2=a,所以选项d正确,故选d.4.c5.c 【解析】-x9-x6=-x9x6=-x3≠x3;x2y5xy2=x10y5x2y2=x8y3≠x3y3;a3nan3=a2n3=a6n≠a9;-A2n-A2n-1=A2n-A2n-1=-A,所以选择C6.2a37.1-a-b2 2a5【解析】1a-b5÷b-a3=a-b5÷[-a-b3]=-a-b2。
负整数指数幂(北京习题集)(教师版)一.选择题(共2小题)1.(2019秋•西城区期末)下列运算正确的是 A .B .C .D . 2.(2016秋•西城区期末)下列各式正确的是A .B .C .D . 二.填空题(共3小题)3.(2019秋•西城区校级期中)计算的结果是 .4.(2019秋•西城区校级期中)若有意义,则满足的条件是 .5.(2018春•门头沟区期末) , . 三.解答题(共5小题)6.(2018秋•门头沟区期末)我们规定:,即的负次幂等于的次幂的倒数.例: (1)计算: ; ;(2)如果,那么 ;如果,那么 ; (3)如果,且、为整数,求满足条件的、的取值. 7.(2019春•顺义区期末)计算:; 8.(2018春•延庆区期末)计算: 9.(2018春•怀柔区期末)计算:. 10.(2016秋•西城区校级期中)化简:.()328-=-326-=-3128-=3126-=()6212121x x x x --==g 62331x x x x --÷==323322()x xy x y y--==32123()y x x y -=33-3(25)x -+x 0(3)π-=11()2-=1(0)p p a a a -=≠a P a p 22144-=25-=2(2)--=128p -=p =2116a -=a =19p a -=a p a p 20182022(1)()(4)33π---+---201601(1)(3)2π----+2018021(1)( 3.14)(2π----+32232()(2)m n m n ----g负整数指数幂(北京习题集)(教师版)参考答案与试题解析一.选择题(共2小题)1.(2019秋•西城区期末)下列运算正确的是 A .B .C .D . 【分析】直接利用负指数幂的性质化简得出答案.【解答】解:, 故选:.【点评】此题主要考查了负整数指数幂的性质,正确掌握定义是解题关键.2.(2016秋•西城区期末)下列各式正确的是 A .B .C .D . 【分析】根据同底数幂的乘法,同底数幂的除法,积的乘方,负整数指数幂,可得答案.【解答】解:、,故不符合题意;、,故不符合题意;、,故不符合题意; 、负整数指数幂与正整数指数幂互为倒数,故符合题意;故选:.【点评】本题考查了负整数指数幂,利用同底数幂的乘法,同底数幂的除法,积的乘方,负整数指数幂是解题关键.二.填空题(共3小题)3.(2019秋•西城区校级期中)计算的结果是 . 【分析】直接利用负指数幂的性质化简得出答案.【解答】解:. 故答案为:. 【点评】此题主要考查了负指数幂的性质,正确掌握定义是解题关键.()328-=-326-=-3128-=3126-=3128-=C ()6212121x x x x --==g 62331x x x x --÷==323322()x xy x y y--==32123()y x x y -=A 624x x x -=g A B 628x x x -÷=B C 323366()x xy x y y--==C D D D 33-12733113327-==1274.(2019秋•西城区校级期中)若有意义,则满足的条件是 . 【分析】根据负整数指数幂的底数不等于0列式计算即可得解.【解答】解:有意义,,满足的条件是. 故答案为:. 【点评】本题考查了负整数指数幂与零次幂成立的条件,需熟记. 5.(2018春•门头沟区期末) 1 , . 【分析】直接利用零指数幂的性质以及负指数幂的性质分别化简得出答案.【解答】解:,. 故答案为:1,2.【点评】此题主要考查了零指数幂的性质以及负指数幂的性质,正确把握相关定义是解题关键.三.解答题(共5小题) 6.(2018秋•门头沟区期末)我们规定:,即的负次幂等于的次幂的倒数.例: (1)计算: ; ; (2)如果,那么 ;如果,那么 ; (3)如果,且、为整数,求满足条件的、的取值. 【分析】(1)根据负整数指数幂的计算法则计算即可求解;(2)根据负整数指数幂的计算法则找到指数即可求解;(3)根据负整数指数幂的计算法则找到底数和指数即可求解. 【解答】解:(1);; (2)如果,那么;如果,那么; (3)由于、为整数,所以当时,;当时,;当时,.3(25)x -+x 52x ≠-3(25)x -+Q 250x ∴-≠x ∴52x ≠-52x ≠-0(3)π-=11()2-=0(3)1π-=11()22-=1(0)p p a a a -=≠a P a p 22144-=25-=1252(2)--=128p -=p =2116a -=a =19p a -=a p a p 21525-=21(2)4--=128p -=3p =2116a -=4a =±a p 9a =1p =3a =2p =3a =-2p =故答案为:(1);;(2)3;. 【点评】考查了负整数指数幂,负整数指数幂:,为正整数),注意:①;②计算负整数指数幂时,一定要根据负整数指数幂的意义计算,避免出现的错误;③当底数是分数时,只要把分子、分母颠倒,负指数就可变为正指数;④在混合运算中,始终要注意运算的顺序.7.(2019春•顺义区期末)计算:; 【分析】直接利用负指数幂的性质和零指数幂的性质分别化简进而得出答案.【解答】解:原式 . 【点评】此题主要考查了实数运算,正确化简各数是解题关键.8.(2018春•延庆区期末)计算:【分析】直接利用负整数指数幂的性质以及零指数幂的性质化简进而得出答案.【解答】解:原式 . 【点评】此题主要考查了负整数指数幂的性质以及零指数幂的性质,正确化简各数是解题关键.9.(2018春•怀柔区期末)计算:. 【分析】直接利用零指数幂的性质以及负指数幂的性质化简各数得出答案.【解答】解:原式,.【点评】此题主要考查了负指数幂的性质和零指数幂的性质,正确掌握相关定义是解题关键.10.(2016秋•西城区校级期中)化简:. 【分析】利用负整数指数幂的法则求解即可.【解答】解: , , . 【点评】本题主要考查了负整数指数幂,解题的关键是熟记负整数指数幂的法则.125144±1(0p p a a a -=≠p 0a ≠2(3)(3)(2)--=-⨯-20182022(1)()(4)33π---+---411199=+--13=201601(1)(3)2π----+1112=-+12=2018021(1)( 3.14)(2π----+114=-+4=32232()(2)m n m n ----g32232()(2)m n m n ----g624614m n m n --=⨯g 2414m n -=424n m =。
初中数学试卷 桑水出品15.2.3 整数指数幂第1课时 负整数指数幂要点感知1 一般地,当n 是正整数时,a -n =_____(a ≠0).即a -n (a ≠0)是an 的____.预习练习1-1 (潍坊中考)计算2-2的结果是( ) A.41 B.2 C.-41 D.4要点感知2 整数指数幂的运算性质:当m ,n 均为整数时,(1)a m ·a n =____;(2)(a m )n =____;(3)(ab)n =____. 预习练习2-1 计算(a -1b 2)3的结果是( )A.a 3b 6B.a -3b 8C.-a 3b 6D.36ab 知识点1 负整数指数幂1.计算3-1的正确结果为( )A.3B.-3C.31D.1 2.计算(a1)-2的正确结果为( ) A.a -2 B.a 2 C.21a D.a1 3.(泉州中考)计算:(23-1)0+|-6|-8×4-1+16.知识点2 整数指数幂的运算4.计算:(1)6x -2·(2x -2y -1)-3; (2)(-2a -2)3b 2÷2a -8b -3.5.将(31)-1、(-3)0、(-3)-2这三个数按从小到大的顺序排列为( )A.(-3)0<(31)-1<(-3)-2B.(31)-1<(-3)0<(-3)-2C.(-3)-2<(-3)0<(31)-1D.(-3)0<(-3)-2<(31)-16.计算x 3y(x -1y)-2的结果为( ) A.y x 5B.5x yC.25x yD.25yx 7.计算:(1)(a -3b)2·(a -2b)-3; (2)(2m 2n -3)-2·(-mn 2)3÷(m -3n)2.8.已知式子32)1(1---x x +(x-2)0有意义,求x 的取值范围. 挑战自我9.已知x+x -1=3,求x2+x -2的值.参考答案要点感知1 na 1 倒数 预习练习1-1 A要点感知2 a m+n a mn a n b n预习练习2-1 D1.C2.B3.原式=9.4.(1)原式=3443y x .(2)原式=-4a 2b 5. 5.C 6.A 7.(1)原式=b 1.(2)原式=-41m 5n 10. 8.x ≠23且x ≠2且x ≠1. 9.7.。
《整数指数幂》知识全解
课标要求
理解负整数指数幂的概念及负整数指数幂与相应的正整数指数幂之间的关系,会用科学计数法表示绝对值较小的数。
知识结构
1.负整数指数幂
n a -=n
a 1(a ≠0,n 是正整数),即任何不等于零的数的-n (n 为正整数)次幂等于这个数的n 次幂的倒数. 因为零不能作除数,所以在n a -=n a
1中的底数a ≠0是其成立的前提条件. 2.用科学记数法表示绝对值较小的数 用科学记数法可以把绝对值较小的数表示成a ×10-n (1≤a <10,n 为正整数)的形式;确
定n 的具体数值:第一个不为零的数字前面的零的个数(包括小数点前面那个0). 内容解析
本节课重点介绍了两个方面的内容:负整数指数幂和用科学记数法表示较小的数.通过本节课的学习我们对指数的认识将扩大到整数范围,我们还会知道适合于正整数指数幂的其它运算性质都可以进一步推广到整数指数幂,从而给分式的运算带来更大的便利.
由于我们对正整数幂的印象较为深刻,因此初学时我们可能一时难以理解负整数幂的运算,这就需要我们在回忆学过的正整数幂的运算的基础上,由分式的除法约分推导负指数幂的运算结果,通过自己推导计算理解负指数幂的运算.
重点难点
本节内容的重点是整数指数幂的运算性质和用科学计数法表示小于1的数; 难点是负整数指数幂的运算.
教法导引
教师要引导学生善于抓住问题的本质:指数的取值范围由正整数推广到全体整数,但是正整数指数幂的所以运算性质都仍然适用.
学法建议
在学习过程中,要注意新旧知识的类比和衔接,在学过的旧知识的基础之上学习新知识.比如,利用学过的正整数幂的运算和分式除法推导负指数幂的运算规律.。
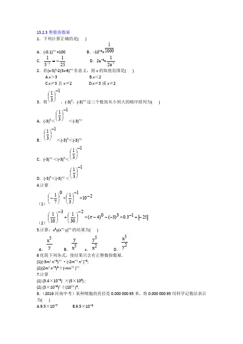
15.2.3整数指数幂1.下列计算正确的是( )A .(-0.1)¯²=100B .-10¯³=10001C .251512-=-D .2a¯³=321a2.若(x-3)0-2(3x-6)¯²有意义,则x 的取值范围是( )A.x >3B.x <2C.x ≠3且x ≠2D.x ≠3或x ≠23.将131-⎪⎭⎫ ⎝⎛,(-3)0,(-3)¯²这三个数按从小到大的顺序排列为( )A .(-3)0<131-⎪⎭⎫ ⎝⎛<(-3)¯² B .131-⎪⎭⎫ ⎝⎛<(-3)0<(-3)¯²C .(-3)¯²<(-3)0<131-⎪⎭⎫ ⎝⎛D .(-3)0<(-3)¯²<131-⎪⎭⎫ ⎝⎛4.计算 (1)210131071-⨯-⎪⎭⎫ ⎝⎛⨯⎪⎭⎫ ⎝⎛-(2)2513.03)3(0)4(23013101-+-⨯---⨯-⎪⎭⎫ ⎝⎛+-⎪⎭⎫ ⎝⎛π5.计算:x³y(x¯¹y)¯²的结果为( )A .y x 5B .5x y c .25x y D .25y x6化简下列各式,使结果只含有正整数指数幂.(1)(-3m ²n¯³)¯²·(-2m¯¹n ²)¯³;(2)(2m ²n¯³)³÷(-mn¯²)¯²7.计算(1) (3.4×10¯⁸) ×(5×10⁵) ;(2) (3×10¯⁶)²÷(10¯²)⁴.8.(2016河南中考)某种细胞的直径是0.000 000 95米,将0.000 000 95用科学记数法表示为( )A.9.5×10¯⁷B.9.5×10¯⁸C.0.95×10¯⁷D.95×10¯⁸9.用小数表示3.56×10¯⁷为( )A. 0. 000 000 003 56B. 0. 000 000 035 6C. 0. 000 000 356D. 0. 000 000 000 3561.已知α210-=3,β-10=51-,求βα2610+的值.2.计算(结果仍用科学记数法表示):(1)(-3.5x10¯¹³)×(-4x10¯⁷);(2)(5.2x10¯⁹)÷(-4x10¯³).3.计算:(x¯¹+y¯¹)÷(x¯²-y¯²).1.(2017湖南娄底新化期中,7.★★☆)下列式子:①(-2)¯²=41;②a 0=1;③3a¯²=231a ;④-7. 02 x10¯⁴=-0.000 702.其中正确的有( )A.1个B.2个C.3个D.4个2.(2017山东德州夏津期末,1,★☆☆)人体内某种细胞的形状可近似看成球状,它的直径是0.000 001 56 m,用科学记数法可表示为( )A.1.56×10¯⁶mB.1.56×10¯⁵mC.0.156×10¯⁵ mD.1.56×10⁶ m3.(2016贵州黔东南州期末,13.★★☆)计算:- 2¯²+(π4.(2016广东中山期末,12,★★☆)计算:(2x¯¹y³)²÷(x¯³1.(2016山东潍坊中考,1.★☆☆)计算20·2¯³=( )A .81-B .81C .0D .82.(2015四川自贡中考.2,★☆☆)将2.05×10-3用小数表示为( )A.0.000 205B.0.020 5C.0.002 05D.-0.002 053.(2016山东聊城中考.3,★★☆)地球的体积约为1012立方千米,太阳的体积约为1.4×10¹⁸立方千米,地球的体积约是太阳体积的倍数是( )A.7.1×10¯⁶B.7.1×10¯⁷C.1.4×10⁶D.1.4×10⁷4.(2016贵州黔西南州中考,12,★☆☆)0.000 015 65.(2014河北中考,18,★★☆)若实数m ,n 满足| m-2|+(n-2014)²=0,则m¯¹6.(2016湖北天门中考,17,★★☆)计算:81-20160 -|-5|+121-⎪⎭⎫ ⎝⎛.1.已知,求x 27的值.2.已知a >0,b >0,如果b a b a -+=x ,b a b a --=y ,试探究x ,y 之间的关系,并求出当y=1时x ²的值.15.2.3整数指数幂1.A (-0.1)¯²=10001.012)1.0(1==-,-10¯³=3101-=10001-,.故选A .2.C 要使零指数幂和负整数指数幂有意义,则底数不能等于零,所以x-3≠0且3x-6≠0,即算x ≠3且x ≠2.故选C .3.C 33111)31(==-;(-3)0=1;(-3)¯²=.因为91<1<3,所以(-3)¯²<(-3)0<1)31(-,故选C .4.解析(1)原式= 1×3×1001=1003. (2)原式=1 000+900 ×1+27 ×310+25=1 000+900+90+25=20155.A x³y(x¯¹y)¯²=x³y ·x ²y¯²=x ⁵y¯¹=y x 5.6.解析(1)(-3m ²n¯³)¯²·(-2m¯¹n ²)¯³=(-3)¯²m ¯⁴n ⁶·(-2)¯³m³n ¯⁶ =91·(81-)m¯¹=m 721-.(2)(2m ²n ¯³)³÷(-mn¯²)¯²= 8m ⁶n ¯⁹÷m¯²4n = 1388-n m =1388n m7.解析(1)( 3.4×10¯⁸)×( 5×10⁵)=( 3.4×5)×( 10¯⁸×10⁵)=17×10¯³= 1.7x10¯².(2)( 3×10¯⁶) ²÷( 10¯²)⁴= 9×10¯¹²÷10¯⁸= 9×10¯⁴.8.A 原数用科学记数法表示为9.5×10¯⁷.故选A .9.C 用科学记数法将绝对值小于1的数(小数)表示成a ×10¯ⁿ(1≤|a|<10,n 为正整数)的形式时,n 为原数中左起第一个非零数字前所有零的个数,所以3.56 ×10-7的原数(小数)为0.000 000 356,故选C .1.解析∵a 210-=a 2101=3,β-10=β101=51-, ∴a 210=31,β10=-5.∴.2.解析(1)原式= 14×10¯20=1.4×10¯¹⁹.(2)原式=[ 5.2÷(-4)]×(10¯⁹÷10¯³)=-1.3×10¯⁶.3.解析(x¯¹+y¯¹)÷(x¯²-y¯²)=(x¯¹+y¯¹)÷[(x¯¹+y¯¹)(x¯¹-y ¯¹)] =x y xy y x -=---111一、选择题 1.B ①(-2)¯²=41,该等式正确;②a 0=1,只有当a ≠0时才成立,故该等式不正确;③3a¯²=23a ≠231a ,故该等式不正确;④-7.02x10¯⁴= -0.000 702,该等式正确.故选B .2.A 0.000 001 56 m 用科学记数法可表示为1.56×10¯⁶m .故选A .二、填空题3.答案43解析 原式=41-+1=43. 4.答案 4xy ⁵解析 原式= 4x¯²y ⁶÷(x¯³y)=4xy ⁵.一、选择题1.B 20·2¯³=1×81=81.故选B .2.C3.B 10¹²÷( 1.4x10¹⁸)=(1÷1.4)×10¹²¯¹⁸≈0. 71×10¯⁶=7.1×10¯⁷.故选B .二、填空题4.答案1.56x10¯⁵解析0.000 015 6=1.56x10¯⁵.5.答案23解析∵|m-2|+(n-2014)²=0,∴m-2=0,n-2014=0,∴m=2,n=2014.因此m¯¹+n 0=2¯¹+20140=23三、解答题6.解析81-2 0160-|-5|+121-)(9-1-5+2=5.1.解析因为x x x x x -=++-=+-32221222.21)2(,所以x -32=16,所以3-x=4,x=-1.所以x 27= 7¯²=491.2.解析x b a b a =-+,①+②,得b a 2=x+y ,所以2yx b a +=①-②,得b a -2=x-y ,所以2yx b a -=-因为,所以12.2=-+y x y x ,所以x ²-y ²=4.把y=1代入x ²-y ²=4,得x ²-1=4,即x ²=5.。
整数指数幂第1课时 负整数指数幂1.计算5-2的值是( )A .-125 B.125 C .25 D .-252.计算⎝⎛⎭⎫-12-1的结果是( )A .-12 B.12 C .2 D .-23.计算a 3·a -5的结果是( )A .a 2B .a -2C .-a 2D .-a -24.若b =-3-2,c =⎝⎛⎭⎫13-2,d =⎝⎛⎭⎫-130,则() A .b <c <d B .b <d <c C .d <c <bD .c <d <b 5.计算:(1)(-2)0×3-2=________;(2)(x -1)2·x 3=________.6.计算:(1)⎝⎛⎭⎫23-2×3-1+(π-2018)0÷⎝⎛⎭⎫13-1;(2)(ab -2)-2·(a -2)3;(3)(2xy -1)2·xy ÷(-2x -2y ).第2课时用科学记数法表示绝对值小于1的数1.0.000012用科学记数法表示为()A.120×10-4B.1.2×10-5C.-1.2×10-5D.-1.2×1052.生物学家发现了一种病毒的长度约为0.00000432毫米.数据0.00000432用科学记数法表示为()A.0.432×10-5B.4.32×10-6C.4.32×10-7D.43.2×10-73.PM2.5是指大气中直径小于或等于2.5μm(0.0000025m)的颗粒物,含有大量有毒、有害物质,也称可入肺颗粒物.若将0.0000025用科学记数法表示为2.5×10n(n为整数),则n的值为()A.-7 B.-6 C.-5 D.64.用科学记数法把0.000009405表示成a×10-6,则a=________.5.用科学记数法表示下列各数:(1)0.0000314; (2)-0.0000064.6.用小数表示下列各数:(1)2×10-7; (2)2.71×10-5.7.纳米是一种长度单位,常用于度量物质原子的大小,1纳米=10-9米.已知某种植物孢子的直径约为45000纳米,用科学记数法表示该孢子的直径约为多少米?整数指数幂第1课时 负整数指数幂1.B. 2.D 3.B 4.B 5.(1)19(2)x 6.解:(1)原式=94×13+13=34+13=1312. (2)原式=a -2b 4·a -6=a -8b 4=b 4a 8. (3)原式=4x 2y -2·xy ÷(-2x -2y )=4x 3y -1÷(-2x -2y )=-2x 5y -2=-2x 5y 2. 第2课时 用科学记数法表示绝对值小于1的数1.B 2.B 3.B 4.9.4055.解:(1)原式=3.14×10-5.(2)原式=-6.4×10-6.6.解:(1)原式=0.0000002.(2)原式=0.0000271.7.解:45000纳米=4.5×104×10-9米=4.5×10-5米.答:该孢子的直径约为4.5×10-5米.。
15.2.3整数指数幂(1)教学设计教学目标1. 了解负整数指数幂的概念.2. 掌握整数指数幂的运算性质,会进行简单的整数指数幂的运算教学重点掌握整数指数幂的运算性质教学难点会运用整数指数幂进行运算教学过程设计一. 复习引入:1、 还记得正整数指数幂的意义吗?正整数指数幂有哪些运算性质呢?师生活动:教师提问,学生思考,回顾正整数指数幂的运算性质。
n m n m a a a +=⋅)1( (m 、n 是正整数)(m 、n 是正整数) (n 是正整数)(n m a >≠,00、n 是正整数,)(n 是正整数) 2、零指数:规定 (,0≠a ) 3、将正整数指数幂的运算性质中指数的取值范围由“正整数”扩大到“整数”,这些性质还适用吗? 设计意图:通过复习,为下面的探究内容作铺垫。
二、互动新授思考1 一般地,m a 中m 指数可以是负整数吗?如果可以,那么负整数指数幂ma 表示什么? 填空:问题 由填空的结果,你有什么发现?师生活动:教师引导学生根据除法的意义、分式的约分及同底数幂的运算性质填空, 并得出结论: 教师归纳:为了使上述运算性质适用范围更广,同时也可以更简便地表示分式,数学中规定:像上面这样,引入负整数指数幂后,指数的取值范围就推广到全体整数。
思考2 引入负整数指数幂后, 这条性质能否推广到m ,n 是任意整数的即 ()n n n b a ab =)3(nm n m a a a -=÷)4(()mnn m a a =)2(10=a )0(1≠=-a aa n n a ),(,是正整数n m a a a n m n m +=⋅)5(32253531-+--====⋅a a aa a aa ,)5(3885353-+----===⋅=⋅a a a a a a a )5(353-+---=⋅a a a )5(3885353111-+----===⋅=⋅a a aa a a a4、 观察结果,你发现什么规律?归纳: 这条性质对于m ,n 是任意整数的情形仍然适用。
本资源的初衷,是希望通过网络分享,能够为广大读者提供更好的服务,为您水平的提高提供坚强的动力和保证。
内容由一线名师原创,立意新,图片精,是非常强的一手资料。
15.2.3 整数指数幂 第1课时 负整数指数幂
要点感知1 一般地,当n 是正整数时,a -n =_____(a ≠0).即a -n (a ≠0)是an 的____.
预习练习1-1 (潍坊中考)计算2-2的结果是( )
A.41
B.2
C.-41
D.4
要点感知2 整数指数幂的运算性质: 当m ,n 均为整数时,(1)a m ·a n =____;(2)(a m )n =____;(3)(ab)n =____.
预习练习2-1 计算(a -1b 2)3的结果是( )
A.a 3b 6
B.a -3b 8
C.-a 3b 6
D.36a
b
知识点1 负整数指数幂
1.计算3-1的正确结果为( )
A.3
B.-3
C.31
D.1 2.计算(a
1)-2的正确结果为( ) A.a -2 B.a 2 C.21a D.a
1 3.(曲靖中考)计算: |-2|-(14
)-1+(2-1.414)0+9.
知识点2 整数指数幂的运算
4.计算:
(1)6x -2·(2x -2y -1)-3; (2)(-2a -2)3b 2÷2a -8b -3.
5.将(31)-1、(-3)0、(-3)-2这三个数按从小到大的顺序排列为( ) A.(-3)0<(31)-1<(-3)-2 B.(3
1)-1<(-3)0<(-3)-2 C.(-3)-2<(-3)0<(31)-1 D.(-3)0<(-3)-2<(31)-1
6.计算x 3y(x -1y)-2的结果为( )
A.y x 5
B.5x y
C.25
x y D.25
y x
7.计算:
(1)(a -3b)2·(a -2b)-3; (2)(2m 2n -3)-2·(-mn 2)3÷(m -3n)2.
8.计算: (-1
2)-1-12+(1-2)0-︱3-2︱.
9.已知式子(x -1)
-1
2x -3+(x -2)0有意义,求x 的取值范围.
参考答案
课前预习
要点感知1 n a 1
倒数
预习练习1-1 A
要点感知2 a m+n a mn a n b n
预习练习2-1 D
当堂训练
1.C
2.B
3.原式=2.
4.(1)原式=3443
y x .(2)原式=-4a 2b 5.
课后作业
5.C
6.A
7.(1)原式=b 1.(2)原式=-41m 5n 10
. 8.-3- 3. 9.x ≠32且x≠2且x≠1.。