应用阿贝尔变换解竞赛题
- 格式:pdf
- 大小:52.52 KB
- 文档页数:4
第7届国际物理奥林匹克比赛试题与解答(1974 年于波兰的华沙)【题 1】一个处于基态的氢原子与另一个静止基态的氢原子碰撞。
问可能发生非弹性碰撞的最小速度为多少?假如速度较大而产生光发射,且在原速度方向能够察看到光。
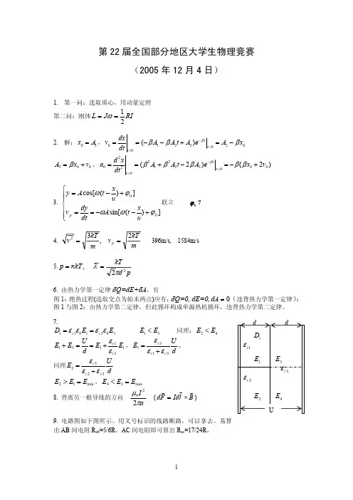
问这类光的频次与简正频次相差多少?氢原子质量是 1.67 ×10-27kg,电离能 E=13.6 eV= 2.18 ×10-18J。
112解:处于基态的氢原子能量为E1=-E? 原子汲取的最小能量为 ?E=E2-E1=E(112,第一激发态能量为E2=-E?)=34E=1.163? 10-18122。
被氢-122J我们一定求出在碰撞中能量损失为以上数据代最小速度。
假如碰撞是完整非弹性的,则mv 碰撞中能量损失最大,碰撞后的速度将是v/2, 22v22m()2mv2-=24这个值应等于最小的能量子?E=mv42所以 v=4?Em4=6.26? 10m/s非弹性碰撞后,两个原子的速度为v2=3.13? 10m/s4此题第二问的解答与多普勒效应有联系。
关于比光速小好多的速度,相对速度之比给出频次相对变化的极好近似: 6.26 ×104∶ 3×108=2.09 ×10-4=2.09 ×10-2 % 两束光的频次按此比率稍小于或稍大于简正频次。
【题 2】给定一厚度为 d 的平行平板,其折射率按下式变化n(x)=n01-xr束光在 O 点由空气垂直射入平板,并在 A 点以角度射出,如图 7.1 所示。
求 A 点的折射率 nA,并确立 A 点的地点及平板的厚度。
(设 n0=1.2, r= 13cm,β1解:第一考虑光的路线,如解图 7.1 所示。
关于经过一系列不一样折射率的平行平板的透射光,能够应用斯奈尔定律:sin β 1sin β2=n2n1,si β n2si β n3=n3n2更简单的形式是:n1sin β 1=n2sin β 2=n3sin β 3=2β1n1n23这个公式对随意薄层都是建立的。
第十四届全国大学生数学竞赛初赛(补赛二)试题及参考解答(非数学类, 2023年3月5日)一、 填空题(本题满分30分,每小题6分) (1)极限22231lim13(21)→∞⎡⎤+++-=⎣⎦ n n n .【解】 利用定积分的定义,得2122223011114lim 13(21)4lim 4d 23→∞→∞=⎛⎫⎡⎤+++-=-== ⎪⎣⎦⎝⎭∑⎰ n n n k k n x x n n nn . (2)设函数()f x 在1=x 的某一邻域内可微,且满足(1)3(1)42()+--=++f x f x x o x ,其中()o x 是当0→x 时x 的高阶无穷小,则曲线()=y f x 在点(1,(1))f 处的切线方程为.【解】 由于()f x 在1=x 处可微,因而连续,故对所给等式求极限0→x ,可得2(1)4-=f ,所以(1)2=-f . 仍由所给等式,得(1)(1)(1)(1)()32+---+⋅=+-f x f f x f o x x x x,两边取极限0→x ,并根据导数的定义,得4(1)2'=f ,所以1(1)2'=f . 因此,曲线()=y f x 在点(1,(1))f 处的切线方程为(1)(1)(1)'-=-y f f x , 即 250--=x y .(3)设()=y y x 是初值问题31,(0)0(0)21,''--=⎧⎨'=⎩'=y y y y y 的解,则()=y x .【解】 对于齐次微分方程230'-=''-y y y ,其特征方程2302λλ--=的根为13λ=,21λ=-,所以230'-=''-y y y 的通解为312e e -=+x x y C C .经观察,非齐次微分方程231'-=''-y y y 的一个特解为013=-y . 所以,方程的通解为312()e e 13--=+x x y x C C .又由(0)0(0)1,'==y y 解得,113=C ,20=C ,因此()313()e 1=-x y x .(4)设可微函数(,)=z z x y 满足2222∂∂+=∂∂z z x y z x y ,又设=u x ,11=-v y x,【解】 由=u x ,11=-v y x 解得=x u ,1=+u y uv ,且11=-w z u,所以 2222111111⎛⎫∂∂∂∂∂∂∂⎛⎫=-=-⋅+=-⋅+⋅+ ⎪ ⎪∂∂∂∂∂∂∂⎝⎭⎝⎭w z z x z y u u z u z u u z x u y u u222222111111(1)(1)⎛⎫⎛⎫∂∂+-∂∂=-+⋅+=-+⋅+ ⎪ ⎪∂∂+∂∂+⎝⎭⎝⎭z z uv uv z z z x y uv u z x y uv u 222222222211111⎛⎫⎛⎫∂∂∂∂=-+⋅+=-++=- ⎪ ⎪∂∂∂∂⎝⎭⎝⎭z z y z z x y z x y u u z u x y u u.因此2114==∂=-∂u v w u . (5)设0>a ,则均匀曲面2222++=x y z a (0,0,0)≥≥≥x y z 的重心坐标为.【解】 记所给曲面为∑,并设∑的面密度为常数μ, ∑的重心坐标为(,,)x y z ,由于∑的质量为221482πμπμ=⋅=a M a ,所以212dd μπ∑∑==⎰⎰⎰⎰z z S z S M a .设∑的外法向量与z 轴正向的夹角为γ,则cos γ=za,所以 2222221d cos d d d 42γπππππ∑∑∑====⋅=⎰⎰⎰⎰⎰⎰a z z S S x y a a a a a . 根据对称性,2==a x y ,因此曲面的重心坐标为,,222⎛⎫⎪⎝⎭a a a .二、(本题满分14分) 设函数202320()e d 1-=+⎰xxt f x t t ,正整数2023≤n ,求导数()(0)n f .【解】 令202320()d 1=+⎰xt F x t t ,则20232()1'=+x F x x,202222024222023(1)2()(1)+-''=+x x x F x x ,所以(0)(0)(0)0'''===F F F . ------------------- 5分对()e ()-=x f x F x 利用Leibniz 公式,再代入0x =得()()()(0)e(1)()(1)(0)---====-=-∑∑nnn xn kkk n k k k nn k k x fC Fx C F .------------------- 4分欲求()(0)k F ,对22023(1)()'+=x F x x 两边求1-k 阶导数,并利用Leibniz 公式,得2()(1)(2)2023(1)(1)()2(1)()(1)(2)()()---++-+--=k k k k x F x k xF x k k F x x ,代入0x =,并注意到2023≤≤k n ,得()(2)(0)(1)(2)(0)-=---k k F k k F . 由此递推,得(2)1(0)(1)(21)!(0)0-''==--= k k F k F , (2+1)(0)(1)(2)!(0)0'==-= k k F k F ,因此,()()(0)(1)(0)0-==-=∑nn n k k k n k f C F . ------------------- 5分三、(本题满分14分) 设函数()f x 在区间(0,1)内有定义,+lim ()0→=x f x ,且+0()()3lim0→-=x x f x f x. 证明:+0()lim 0→=x f x x . 【证】 根据题设条件得,对于任意非负整数k ,有10()()33lim 03++→-=k k x kx xf f x .------------------- 4分令0,1,2,,1=- k n ,并求和,可得1001()(()()1333lim lim 033++→→=--=⋅=∑n n k k k x x k kx x x f x f f f x x . ------------------- 5分因此,有()(()3α-=n xf x f x x ,其中()x α是当0+→x 时的无穷小.对上式取极限n →∞,并利用条件+lim ()0→=x f x ,得()()α=f x x x . 所以 00()limlim ()0α→→==x x f x x x. ------------------- 5分四、(本题满分14分) 设函数()f x 在区间[0,1]上连续,在(0,1)内可导,且(0)0=f ,(1)2=f . 证明:存在两两互异的点123,,(0,1)ξξξ∈,使得12()(2ξξ''≥f f .【证】 令()()2=-+F x f x x ,则()F x 在[0,1]上连续,且(0)2=-F ,(1)1=F .根据连续函数介值定理,存在3(0,1)ξ∈使得3()0ξ=F ,即33()2ξξ=-f .------------------- 5分在区间3[0, ]ξ,3[,1]ξ上分别利用Lagrange 中值定理,存在13(0, )ξξ∈,23(,1)ξξ∈,使得313()(0)()0ξξξ-'=-f f f , 且323()(1)()1ξξξ-'=-f f f , 即3132()ξξξ-'=f ,323()1ξξξ'=-f , ------------------- 5分 所以3123321()()111ξξξξξ-''==+≥--f f , 因此,存在两两互异的点123,,(0,1)ξξξ∈,使得12()(2ξξ''≥f f .------------------- 4分五、(本题满分14分) 设()f x 是[1,1]-上的连续的偶函数,计算曲线积分:()22d =+⎰LI x f x y ,其中曲线L 为正向圆周222+=-x y y .【解】 取圆的圆心角θ作参数,则曲线L :22(1)1++=x y 的参数方程为:cos ,1sin θθ=+=x y (02)θπ≤≤. 因为d sin d ,d cos d θθθθ=-=x y ,所以22001sin (sin )d (cos )cos d |sin |ππθθθθθθθ-=-+⎰⎰I f .------------------- 4分其中第一项为22100(1sin )sin d (1sin )d (1sin )d 4|sin |ππππθθθθθθθθ--==--+-=⎰⎰⎰I ,------------------- 5分第二项为2220(cos )cos d (cos )cos d (cos )cos d (cos )cos d (cos())cos()d (cos )cos d (cos )cos d 0,ππππππππθθθθθθθθθθθθππθθθ==+=+++=--=⎰⎰⎰⎰⎰⎰⎰I f f f f f t t tf f t t t因此,原积分 124=+=I I I . ------------------- 5分六、(本题满分14分) 设函数30ln(1)()d 1sin -+=+⎰xt t f x t e t,(0)>x ,证明级数11()∞=∑n f n 收敛,且1115()36∞=<<∑n f n . 【解】 利用不等式:当(0,1]x ∈时,2ln(1)2-≤+≤x x x x ,sin ≤x x ,可得2232300ln(1)111()d d 1sin 1212631-⎛⎫⎛⎫+=≥-=->⋅ ⎪ ⎪++++⎝⎭⎝⎭⎰⎰xx t t t x x x f x t t t e t x x x, ------------------- 3分且2300ln(1)1()d d 1sin 2-+=≤=+⎰⎰xx t t f x t t t x e t , ------------------- 3分 所以21111111111111()133(1)3131∞∞∞∞====⎛⎫>==-= ⎪++⎝⎭+∑∑∑∑n n n n n f n n n n n n. ------------------- 4分221111115(2266π∞∞==≤=⋅<∑∑n n f n n . 综合上述,级数11(∞=∑n f n 收敛,且1115(36∞=<<∑n f n . ------------------- 4分。
laplace变换习题答案
Laplace变换习题答案
Laplace变换是一种非常重要的数学工具,它在控制工程、电路分析、信号处理等领域都有着广泛的应用。
通过Laplace变换,我们可以将一个复杂的微分方
程转化为一个简单的代数方程,从而更容易地解决问题。
在学习Laplace变换的过程中,习题是非常重要的一部分。
通过做习题,我们
可以更好地理解Laplace变换的原理和应用。
下面,我们来看几道Laplace变换的习题,并给出相应的答案。
1. 计算函数f(t) = e^(-2t)的Laplace变换。
答案:根据Laplace变换的定义,我们有L{e^(-2t)} = 1/(s+2)。
2. 计算函数f(t) = sin(3t)的Laplace变换。
答案:根据Laplace变换的定义,我们有L{sin(3t)} = 3/(s^2+9)。
3. 计算函数f(t) = t^2的Laplace变换。
答案:根据Laplace变换的定义,我们有L{t^2} = 2/s^3。
通过以上习题的解答,我们可以看到Laplace变换的计算并不复杂,只需要根
据定义进行变换即可。
但在实际应用中,可能会碰到更复杂的函数,需要运用
一些技巧和公式来进行计算。
因此,熟练掌握Laplace变换的原理和方法,对
于我们解决实际问题将会有很大的帮助。
总之,通过做Laplace变换的习题,我们可以更好地掌握这一重要的数学工具,为日后的学习和工作打下坚实的基础。
希望大家能够认真对待Laplace变换,
多加练习,提高自己的数学水平。
2010年第二十届全国初中应用物理知识竞赛初赛复赛试题与答案2010年第二十届全国初中应用物理知识竞赛初赛试题一、选择题(每小题2分,共20分):以下各小题给出的四个选项中只有一个是正确的,把正确选项前面的字母填在题后的括号内。
1.2009年的诺贝尔物理学奖由三人分享,其中因在光纤通信技术方面所做的原创性工作而被称为“光纤之父”的美籍华人是()A.钱永健B.朱棣文C.高馄D.丁肇中2.晴朗无风的早晨,当飞机从空中飞过,在蔚蓝的天空中会留下一条长长的“尾巴”,,这种现象俗称为“飞机拉烟”。
产生这一现象的原因之一是飞机在飞行过程中排出的暖湿气体遇冷所致。
在这一过程中,暖湿气体发生的物态变化是()A.熔化B.液化C.蒸发D.升华3. 2010年1月2日起,我国北方大部地区遭遇大范围降雪天气袭击。
大雪严重影响了民航、铁路和高速公路等交通,如图2所示。
在遇到这种天气时,为了尽快清除积雪,常用的办法是撒“融雪盐”,这是因为()A.“融雪盐”与少量水发生化学反应,产生的热量使周围的冰雪熔化B.“融雪盐”产生“保暖层”,使冰雪吸收足够的“地热”而熔化C.使雪形成“含融雪盐的雪”,“含融雪盐的雪”熔点低于当地温度,使雪熔化D.“融雪盐”有利于冰雪对阳光的吸收,从而加快冰雪的熔化4.小明发现户外地面以上的冬季供热管道每隔一段距离总呈现型,如图3所示。
其主要原因是()A.为了避开行人和建筑物B.为了美观C.为了避免管道因热胀冷缩导致的损 D.为了方便工人师傅安装和检修5.体操、投掷、攀岩等体育运动都不能缺少的“镁粉”,它的学名是碳酸镁。
体操运动员在上杠前都要在手上涂擦“镁粉”,其目的是() A.仅仅是为了利用“镁粉”吸汗的作用,增加手和器械表面的摩擦而防止打滑B.仅仅是为了利用手握着器械并急剧转动时“镁粉”能起到衬垫作用,相当于在中间添加了一层“小球”做“滚动摩擦”C.仅仅是为了利用“镁粉”填平手掌的褶皱和纹路,使手掌与器械的接触面增大,将握力变得更加实在和均匀D.上述各种功能都具有6.小新同学家中的墙壁上竖直悬挂着一指针式电子钟,当其因电池电能不足而停止时,指针最可能停在如图4中所示的哪个位置附近()C.由两位同学分别按选项A, B两种方法测量时间,求平均值后,再乘以声速D.由一位同学按照选项A的方法,多测几次对应不同闪电与雷声的时间间隔,求平均值后,再乘以声速10.图5是环卫工人用的一种垃圾夹的结构示意图。
这是关于阿贝尔定理应用的一种题型,有很多童鞋都对这种题目感到模棱两可,今天笔者就好好解析下到底是怎么回事,其实没有那么难。
先把阿贝尔定理回顾一下吧,如下:阿贝尔定理:幂级数n n a x ∑在x 0处收敛,则在一切|x|<|x 0|处都绝对收敛,若在x 0处发散,则在一切|x|>|x 0|处都发散。
下面我们就来相关一类典型例题,如下。
题目:若()1nn a x -∑在x=-1处收敛,则此级数在x=2处(B ),在x=-2处(D )A 条件收敛B 绝对收敛C 发散D 收敛性不确定解析:我把两道题合并成了一道,但解决的思路都是一样的。
以后遇到这种类型的题,尽管按照下面的思路来做就行了。
因为阿贝尔定理是针对幂级数的,因此我们首先做个简单的变换,使原级数变成幂级数:()1(1)n n n n a x a t t x -==-∑∑,那么原级数在x=-1处收敛,则n n a t ∑在t=-2处收敛。
根据阿贝尔定理有n n a t ∑在|t|<|-2|处绝对收敛,即|t|<2处绝对收敛。
将t 回代为x ,就有()1n n a x -∑在|x-1|<2处绝对收敛,解之得-1<x<3。
也就说原级数在[-1,3]内绝对收敛,而x=2落在该区间,因此在x=2时绝对收敛,选B 。
而x=-2落在该区间外,根据题目的条件我们无法判断[-1,3]之外的情况,因此x=-2的敛散性无法判断,选D 。
点睛:此题的关键在于利用n n a t ∑与()1nn a x -∑的等价关系,从而利用n n a t ∑的敛散性得到()1n n a x -∑的敛散性。
而阿贝尔定理的应用是突破口。
高中物理竞赛电磁学专题练习20题(带答案详解)一、解答题1.如图所示,长直螺旋管中部套有一导线围成的圆环,圆环的轴与螺旋管的轴重合,圆环由电阻不同的两半圆环组成,其阻值1R 、2R 未知.在两半圆环的结合点A 、B 间接三个内阻均为纯电阻的伏特表,且导线0A V B --准确地沿圆环直径安放,而1A V B --、2A V B --分置螺旋管两边,长度不拘,螺旋管中通有交流电时发现,0V 、1V 的示数分别为5V 、10V ,问:1V 的示数为多少?螺旋管外的磁场及电路的电感均忽略不计2.图1、2、3所示无限长直载流导线中,如果电流I 随时间t 变化,周围空间磁场B 也将随t 变化,从而激发起感应电场E .在载流导线附近空间区域内,B 随t 的变化,乃至E 随t 的变化可近似处理为与I 随时间t 变化同步.距载流导线足够远的空间区域,B 、E 随t 的变化均会落后于I 随t 的变化.考虑到电磁场变化传播的速度即为光速,如果题图讨论的空间区域线度尽管很大,题图讨论的空间区域线度尽管很大,即模型化为图中即模型化为图中x 可趋向无穷,可趋向无穷,但这一距离造成的但这一距离造成的B 、E 随t 的变化滞后于I 随t 变化的效应事实上仍可略去.在此前提下,求解下述问题(1)系统如图1、2所示,设()I I t =①通过分析,判定图1的xOy 平面上P 处感应电场场强P E 的三个分量Px E 、Py E 、PzE中为零的分量中为零的分量②图2中12l l ⨯长方形框架的回路方向已经设定,试求回路电动势ε③将图1中的P 、Q 两处感应电场场强的大小分别记为P E 、Q E ,试求P Q -E E 值 (2)由两条无限长反向电流导线构成的系统如图3所示,仍设()I I t =,试求P 处感应电场场强P E 的方向和大小3.现构造如图1所示网络,该网络为无穷正方形网络,以A 为原点,B 的坐标为()1985,930.现在两个这样的网络C C A B 和L L A B ,其单位长度上所配置的电学元件分别为电容为C 的电容器及电感为L 的线圈,且网络中的电阻均忽略不计,并连接成如图2所示的电路S 为调频信号发生器,可发出频率()0,f Hz ∈+∞的电学正弦交流信号.即()0sin 2πS U U ft =,0U 为一已知定值,R 为一已知保护电阻为一已知保护电阻试求干路电流达到最大时,S 的频率m f 以及此时干路的峰值电流max I4.在空间中几个点依次放置几个点电荷1q ,2q ,3q ,4q ,…,n q ,对于点i ,其余1n -个点电荷在这一点上的电势和为i U ,若在这n 个点上换上另n 个点电荷1q ',2q ',3q ',…,n q ',同理定义()1,2,,i U i n '=L(1)证明:()112nni i i i i i qU q U n ==''=≥∑∑(2)利用(1)中结论,证明真空中一对导体电容器的电容值与这两个导体的带电量无关.(这对导体带等量异号电荷)(3)利用(1)中的结论,中的结论,求解如下问题:求解如下问题:求解如下问题:如图所示,如图所示,如图所示,正四面体正四面体ABCD各面均为导体,但又彼此绝缘.已知带电后四个面的静电势分别为1ϕ、2ϕ、3ϕ和4ϕ,求四面体中心O点的电势O ϕ5.有七片完全相同的金属片,有七片完全相同的金属片,面积为面积为S ,放置在真空中,放置在真空中,除除4和5两板间的间距为2d 外,其他相邻两板间距均为d ,且1和5、3和7用导线相连,试求:(1)4与6两板构成的电极的电容(2)若在4和6间加上电压U ,求各板的受力.6.如图所示,一电容器由一圆形平行金属板构成,金属板的半径为R ,间距为d ,现有一点P ,在两金属板的中位面(即平行于两板,且平分两极板所夹区域的平面)上,P 到两中心O 的距离为()0R r r +>R ,已知极板所带的面电荷密度为σ±,且R r d ??,试求P 点的场强大小P E7.在一环形铁芯上绕有N 匝外表绝缘的导线,导线两端接到电动势为ε的交流电源上,一电阻为R 、自感可略去不计的均匀细圆环套在这环形铁芯上,细圆环上a 、b 两点间的环长(劣弧)为细圆环长度的1n.将电阻为r 的交流电流计G 接在a 、b 两点,有两种接法,分别如图1、图2所示,试分别求这两种接法时通过G 的电流8.有一个平面正方形无限带电网络,每个格子边长均为r ,线电荷密度为()0λλ>,有一带电电量为()0Q Q >、质量为m 的粒子恰好处于一个格子的中心,若给它某个方向的微扰,使其位移d ,d r =.试求它受到电场力的大小,并描述它以后的运动.(提示:可能用到的公式2222π11116234=++++L )9.(1)一维电磁驻波()()sin x E x A k x =在x 方向限制在0x =和x a =之间.在两个端点处驻波消失,求x k 的可能值.的可能值.(2)弦理论认为物理空间多于三维,多出的隐藏维空间像细圆柱的表面一样卷了起来,如图中y 坐标所示,设圆柱的半径为()b a =,在圆柱面上电磁波的形式为()()(),sin cos x y E x y A k x k y =,其中y 是绕圆柱的折叠空间的坐标.求y k 的可能值.的可能值.(3)光子能量222πx yhc W k k =+,其中()1239hc eV nm =⨯,eV 表示1电子伏特,1nm 等于910m -.目前人类能产生的最高能量的光子大约为121.010eV ⨯.如果该能量能够产生一个折叠空间的光子,b 的值满足什么条件?10.在图1所示的二极管电路中,所示的二极管电路中,从从A 端输入图2所示波形的电压,所示波形的电压,若各电容器最初都若各电容器最初都没有充电,试画出B 、D 两点在三个周期内的电压变化.将三极管当作理想开关,B 点电压的极限是多少?电压的极限是多少?11.理想的非门可以视为一个受控电压源:理想的非门可以视为一个受控电压源:当输入端电压小于当输入端电压小于6C U V =时,输出端相当于和地线之间有一个理想电压源,电源电压012U V =;当输入端电压大于C U 时,输出端相当于和地线之间短路.出端相当于和地线之间短路.等效电路图如图等效电路图如图1所示.不同非门中接地点可以视为是同一个点,我们利用非门、电容和电阻能够做成一个输出方波信号的多谐振荡器.给出图2电路中02U 随着时间的变换关系.提示:如图3的RC 电路,从刚接通电路开始,电容上的电压随时间变化规律为()()01t RC U t U e -=- 12.如图所示,在圆形区域中(足够大),有垂直于纸面向内随时间均匀增加的磁场B kt∆=∆.在与圆心O 距离为d 的位置P 处有一个钉子,钉住了一根长度为l ,质量为m 的均匀绝缘棒的中心,绝缘棒能在平面内自由无摩擦地自由转动.绝缘棒能在平面内自由无摩擦地自由转动.绝缘棒上半截均匀带绝缘棒上半截均匀带正电,电量为Q ,下半截均匀带负电,电量为Q -.初始时刻绝缘棒垂直于OP(1)计算在P 点处钉子受到的压力(2)若绝缘棒受到微小扰动,在平面内来回转动起来(速度很小,洛仑兹力可以忽略),求证此运动是简谐振动,并计算周期.(绝缘棒绕质心的转动惯量为2112I ml =)13.如图1所示的电阻网络中,图中各段电阻的阻值均为r(1)试求AB R 、AC R(2)现将该网络接入电路中,如图2所示.AC 间接电感L ,A 、B 间接一交流电源,其角频率为ω,现为提高系统的动率因数,在A 、B 间接一电容C ,试求使功率因数为1的电容C ,已知rL αω=14.两个分别绕有1N 和2N 匝的圆线圈,半径分别为1r ,2r 且21r r =,设大圆的电阻为R ,试求:(1)两线圈在同轴共面位置的互惑系数(2)在小线圈中通以稳恒电流I ,并使之沿轴线以速度v 匀速运动.始终保持二者共轴,求两线圈中心相距为x 时,大线圈中的感生电动势(3)若把小线圈从共面移到很远处,求大线圈中通过的感生电量.(忽略所有自感) 15.如图所示为一两端无限延伸的电阻网络,设每小段电阻丝电阻均为1Ω,试问:A 、B 间等效电阻AB R 为多少?(结果保留三位有效数字)为多少?(结果保留三位有效数字)16.如图a 所示,电阻101k R R ==Ω,电动势6V E =,两个相同的二极管D 串联在电路中,二极管D 的D D I U -特性曲线如图b 所示.试求: (1)通过二极管D 的电流;的电流; (2)电阻1R 消耗的功率.17.如图甲所示,两台发电机并联运行,共同供电给负载,负载电阻24R =Ω.由于某种原因,两台发电机的电动势发生差异,1130V ε=、11r =Ω、2117V ε=、20.6r =Ω.求每台发电机中的电流和它们各自发出的功率.18.如图1所示的无限旋转内接正方形金属丝网络由一种粗细一致、所示的无限旋转内接正方形金属丝网络由一种粗细一致、材料相同的金属丝材料相同的金属丝构成,其中每一个内接正方形的顶点都在外侧正方形四边中点上.其中每一个内接正方形的顶点都在外侧正方形四边中点上.已知与最外侧正方形已知与最外侧正方形边长相同的同种金属丝A B ''的电阻为0R ,求网络中 (1)A 、C 两端间等效电阻AC R ; (2)E 、G 两端间等效电阻EC R .19.正四面体框架形电阻网络如图所示,其中每一小段的电阻均为R,试求:(1)AB两点间的电阻;(2)CD两点间的电阻.20.在如图所示的网络中,仅知道部分支路上的电流值及其方向、某些元件参数和支路交点的电势值(有关数值及参数已标在图甲上),请你利用所给的有关数值及参数求出含有电阻x R的支路上的电流值x I及其方向.参考答案1.220V U V =或0. 【解析】【解析】 【详解】因螺旋管中通有交流电,故回路中产生的电动势也是交变的,但可以仅限于某确定时刻的感生电动势、电压和电流的瞬时值,这是因为在无电感、电容的情况下,各量有效值的关系与瞬时值的关系相同.(1)当12R R <,取A B U U >时,回路中的电流如图所示,则时,回路中的电流如图所示,则0001102V I R I R ε+-=,0100102V V I R I R ε'+-=,2202V I R I R ε-+=,0200202V V I R I R ε'-+=.整理可得0120001202V V V V I R I R I R I R ε''=+=-.所以,2201201220V V V V U I R I R I R V ''==+=(2)当12R R >,取A B U U <时,0I 反向,其他不变,则1020010202V V V V I R I R I R I R ε''=-=+所以,221021020V V V V U I R I R I R ''==-=(此时20R =,即2R 段为超导体,10R ≠) 综上所述,220V U V =或02.(1)①0PzE =②012d ln2πd l x l l t x με+⎛⎫= ⎪⎝⎭ ③02d ln 2πd P Q x l I E E t x μ+⎛⎫-= ⎪⎝⎭(2)()0d ln 2πd P I d x E x t x μ-⎛⎫= ⎪⎝⎭,基准方向取为与y 轴反向轴反向 【解析】 【详解】(1)①若0Pz E ≠,则在过P 点且与xOy 坐标面平行的平面上,取一个以x 为半径,以y 轴为中央轴的圆,设定回路方向如题解图所示.由系统的轴对称性,回路各处感应电场E 的角向分量与图中Pz E 方向一致地沿回路方向,且大小相同,由E 的回路积分所得的感应电动势0ε≠.另一方面,电流I 的磁场B 在该回路所包围面上磁通量恒为零,磁通量变化也为零,据法拉第电磁感应定律应有0ε=.两者矛盾,故必定是0Pz E =.若0Py E ≠,由系统的轴对称性,在题解图1的圆柱面上各处场强E 的y 方向分量方向、大小与图中Py E 方向、大小相同.若取一系列不同半径x 的同轴圆柱面,每个圆柱面上场强E 的y 方向分量方向相同、方向分量方向相同、大小也相同,但大小应随大小也相同,但大小应随x 增大而减小.这将使得题文图2中的矩形回路感生感应电动势0ε≠,与法拉第电磁感应定律相符,因此允许0Py E ≠若0Px E ≠,由轴对称性,题解图1的圆柱面上各处场强E E 的径向分量方向与Px E 对应的径向方向一致,两者大小也相同.将题解图1中的圆柱面上、下封顶,成为一个圆筒形高斯面,上、下两个端面d ⋅E S 通量积分之和为零,侧面d ⋅E S 通量积分不为零,这与麦克斯韦假设所得1d d 0se sV V ρε⋅==⎰⎰⎰⎰⎰ÒE S矛盾,故必定是0Px E =②据法拉第定律,参考题文图2,有()21d d d x l xB x l x t ε+=--⎰,其中()02πI B x x μ= 所以,001221d d ln ln d 2π2πd Il x l x l l l t x t x μμε++⎛⎫⎛⎫=-= ⎪ ⎪⎝⎭⎝⎭③据麦克斯韦感应电场假设,结合(1.1)问解答,有)问解答,有 ()()121=d LE l E x l E x l l ε⋅=-+⎰Ñ结合①②问所得结果,有()()012121d ln 2πd l x l I E x l E x l l t x μ+⎛⎫-+= ⎪⎝⎭ ()()022d ln 2πd x l IE x E x l t xμ+⎛⎫-+= ⎪⎝⎭ 即得()()022d ln2πd P Q x l I E E E x E x l t x μ+⎛⎫-=-+=⎪⎝⎭ (2)从物理上考虑,远场应()220l E x l →∞+→代入上式,得()202d ln 2πd Pl x l I E E xt x μ→∞+⎛⎫==→∞⎪⎝⎭为行文方便,将P E 改述为()02d ln2πd z PP l x l IE E xt x μ→∞+⎛⎫→=→∞⎪⎝⎭()P E x 为发散量,系因模型造成,并非真实如图所示,由左侧变化电流贡献的()P x 左E 和右侧变化电流贡献的()P x 右E合成的()PE x ,基准方向取为与y 轴反向.轴反向.即有()()()P P P E x E x E x =-左右()()00d d ln ln 2πd 2πd P x d x lx l I I E x t x t x μμ∞+-++⎛⎫⎛⎫== ⎪ ⎪⎝⎭⎝⎭左右()()()00d d ln ln 2πd 2πd P d x l d x x lI I E x t d x t d x μμ∞-+-++⎛⎫⎛⎫== ⎪ ⎪--⎝⎭⎝⎭右左 使得()()0d ln 2πd P I d x E x E x t xμ-⎛⎫== ⎪⎝⎭3.0maxU I R =,12π2πm f LCω== 【解析】【解析】 【详解】不妨设电感网络等效电感AB L L α=,则其阻抗L αω=Z j (j 为单位虚根)为单位虚根) 又由于C C A B 与L L A B 的结构相同,故在阻抗上形式具有相似性,故在阻抗上形式具有相似性,有有1C C αω=⋅Z j ,从而总阻抗11LCRR L RL C C αωααωωω⎛⎫⎛⎫=++=+-=+- ⎪ ⎪⎝⎭⎝⎭ZZZZj j j 又峰值0U I =Z ,所以,1222001I U R L C ααω-⎡⎤⎛⎫⎥=⋅+- ⎪⎢⎝⎭⎣⎦所以,当10L Cωω-=,即1LCω=时,0I 最大 此时,0maxU I R =,而12π2πm f LCω== 4.(1)证明见解析(2)证明见解析(3)12344Oϕϕϕϕϕ+++=【解析】 【详解】(1)设i 点对j 点所产生的电势为ij i a q ,同理易知j 点对i 点产生电势为ji j a q ,而对于此二点系统,我们有ij j ji i U q U q =,即ij i j ji j i a q q a q q = 所以,ij ji a a =,易知ij a 为只与位置有关的参量.又1231231n ni i i i i n ij j j U a q a q a q a q a q ==++++=∑L (令0ii a =)则1231231n nii i i i nij j j U a q a q a q a q a q =''''''=++++=∑L(ij a 只与位置有关)所以,111,1111nnn n n nn i i i ij j ij i j i ij j i i i i j i j i j i qU q a q a q q q a q q U =======⎛⎫⎛⎫'''''==== ⎪ ⎪⎝⎭⎝⎭∑∑∑∑∑∑∑所以原式(格林互易定理)成立(2)分别设两导体前后所带静电分别为1Q ±,2Q ±,其对应的电容分别为1C 、2C则由(1)知,()121122121221ni i i qU QU QU Q U U ='=-=-∑(其中21U ,22U 为带2Q ±时两导体电势)同样()211212211121ni i i q U Q U Q U Q U U ='=-=-∑(其中11U ,12U 为带1Q ±时两导体电势)时两导体电势)由(1)知二者相等,则()()1212221112Q U U Q U U -=-所以,121211122122Q Q C C U U U U ===--即与导体带电量多少无关.即与导体带电量多少无关.(3)由题意,设四个面与中心O 的电荷量分别为1q 、2q 、3q 、4q 、0 同时,四个面与中心的电势分别为1ϕ、2ϕ、3ϕ、4ϕ、O ϕ.现将外面四个面接地,中心放一个电量为Q 的点电荷,中心电势为U ,而四个面产生的感应电荷都相等,为4Q-,则此时四个面与中心O 的电荷和电势分别为4Q -、4Q -、4Q -、4Q-、Q ;0、0、0、0、U由格林互易定理可得123404444O Q Q Q Q U ϕϕϕϕϕ⎛⎫⎛⎫⎛⎫⎛⎫⋅-+⋅-+⋅-+⋅-+⋅=⎪ ⎪ ⎪ ⎪⎝⎭⎝⎭⎝⎭⎝⎭即可得12344O ϕϕϕϕϕ+++=5.(1)04616161919S C C d ε==(2)24232361U S F d ε=,方向向上;25213722U S F dε=,方向向下;206216722U S F d ε=,方向向上;207281722U SF d ε=,方向向上【解析】 【详解】【详解】(1)由4与6两板构成的电极的电容结构可等效为图所示的电容网络,其中图101223345667SC C C C C C dε======,04522SC C dε==.由图可知,各电容器所带的电量满足342356Q Q Q =+,451267Q Q Q +=,2312Q Q =. 各支路的电压满足如下关系:各支路的电压满足如下关系:3456Q Q U C C +=,45672Q Q U C C +=,23566712Q Q Q Q C C C C+=-. 由上述各式解得1223119Q Q CU ==,341019Q CU =,45619Q CU =,56919Q CU =,67719Q CU =,则344504616161919Q Q S C C U dε+===.为求4、6端的电容,我们也可通过先求如图左所示的电阻网络的阻值,进而求得电容.将图中O ABC -的Y 形接法部分转化为△接法,得到图2右所示电路,其阻值如图所示,进而易得到进而易得到461916R R =. 直流电路的电阻、电压、电流之间有U I R=. 由电容组成的电路的电容、电压、电量之间有Q CU =. 类比有1C R~.且上述的电阻电路与电容电路匹配,所以,46461C R ~,即有04616161919S C C dε==.(2)由于各板的受力为系统中其他板上的电荷在该板处产生的电场对其板上电荷的作用力,故而通过高斯定理易求得各板处的场强,进而求得各板的受力为2121111202722U S Q F E Q Q dεε==⋅=,方向向下,在原系统中. (1E 求法:1板上侧面不带电,下侧面带电12Q ,正电,即011219USQ Q dε==,由电荷守恒知,27~板带电总量为1Q ,为负电,将27~视为整体,由高斯定理易得到1102Q E ε=)下面符号i Q 表示第i 块板所带的总电量.2220F E Q ==.(该板显然有20Q =)2456701233332009922722Q Q Q Q U S Q Q F E Q Q d εεε⎛⎫++++==-⋅= ⎪⎝⎭,方向向下.,方向向下.式中00033423109191919US US US Q Q Q d d d εεε=-+=-+=-,0434451619US Q Q Q d ε=+=, 054556319US Q Q Q d ε=-+=,656671619US Q Q Q d ε=--=-, 0767719USQ Q d ε=-=-.同理可得:24232361U S F d ε=,方向向上;,方向向上;205213722U SF d ε=,方向向下; 206216722U S F dε=,方向向上; 27281722U SF dε=,方向向上.6.02πP dE rσε=【解析】【解析】 【详解】我们用磁场来类比,引入假想的磁荷1m q 、2m q ,且定义,且定义123014πm m q q r μ==F r ,且1213014πm m q q r μ==F H r . 下面我们通过磁偶极子与环电流找到联系:下面我们通过磁偶极子与环电流找到联系:对于一1m ±q 的磁偶极子,磁矩m m q =p l ,而对于一个电流为I 的线圈,磁矩0m I μ'=p S ,当m m '=p p 时,有0m q I μ=l S .对于此题,我们认为上、下两极板带磁荷面密度为m σ±,则对于S ∆面积中的上、下磁荷,我们看作磁偶极子,则若用环电流代替,有0m Sd I S σμ∆=∆,所以,0m dI σμ=.于是,该两带电磁荷板可等效为许多小电流元的叠加,该两带电磁荷板可等效为许多小电流元的叠加,而这样的电流源会在内部抵消,而这样的电流源会在内部抵消,而这样的电流源会在内部抵消,最后最后只剩下最外层一大圆,且0mdI σμ=.在P 点处的磁场强度,由于R r,故可认为由一距P 距离为r 的无限长通电导线所产生,且其中的电流为I ,则002π2πm Pd B IH r r σμμ===. 由于电、磁场在引入磁荷后,在形式上完全一样,则02πP d E rσε=7.()21n N n R n r ε⎡⎤-+⎣⎦ 【解析】 【详解】【详解】解法(1):细圆环中的电动势为R Nεε=.细圆环上ab 段的电阻为段的电阻为劣弧ab R R n=. 优弧()1ab n R R n-'=.如题图1中接上G 后,G 的电阻r 与ab R 并联,然后再与ab R '串联,这时总电阻便为串联,这时总电阻便为()11ab ab abn RrR rRR R r R nr R n -'=+=+++.于是,总电流(通过优弧ab R '的电流)为()1111RI n R R NrR nr R nεε==⋅-++.(请读者自行推导此式)则通过G 的电流为()11121RR nn i I I Rnr R N n R n r rnε===+⎡⎤-+⎣⎦+.(请读者自行推导此式)解法(2):如题图2中接上G 后,G 的电阻r 与abR '并联,然后再与ab R 串联,这时总电阻便为()()211ab ab abn rRrR R R R nr n Rnr R '-=+=++-'+.于是,总电流(通过劣弧ab R 的电流)为()()22111RI n rR R N R nr n R n εε==⋅-++-,则通过G的电流为()()2211n n i N n R n r ε-=⎡⎤-+⎣⎦8.故对于一微扰位移为d 的粒子,有()20π02Q Q r λλε=->F d ,粒子做简谐振动,20π2Q r mλωε= 【解析】 【详解】引理:线电荷密度为()0λλ>的无限长带电线,其在距带电线r 处产生的场强大小为02πE r λε=,方向垂直于带电线向外.,方向垂直于带电线向外. 证明略.证明略.对于本题所给的模型,对于本题所给的模型,建立图示坐标.建立图示坐标.建立图示坐标.因粒子在因粒子在x 轴方向上的受力只与粒子x 方向上的微扰有关,在y 方向上的受力,也只与y 方向上的微扰有关,设粒子在x 方向上有微扰位移x d ,则110021212π2πd 22xi i x Q Q F i i d r x r λλεε∞∞==∆=---⎛⎫⎛⎫+-+⎪ ⎪⎝⎭⎝⎭∑∑. 又由于x d r =,则()()110022*********π2π22xxx i i d d Q Q F i r i r i r i r λλεε∞∞==⎡⎤⎡⎤∆≈--+⎢⎥⎢⎥--⎛⎫⎛⎫⎣⎦⎣⎦-- ⎪ ⎪⎝⎭⎝⎭∑∑()()22221100441ππ2121x xi i Q d Q d r i r i λλεε∞∞===-=---∑∑.又22222222221111111111113523456246⎛⎫⎛⎫+++=-++++++-+++ ⎪ ⎪⎝⎭⎝⎭LL L222222221111111111234564123⎛⎫⎛⎫=++++++-+++ ⎪ ⎪⎝⎭⎝⎭L L 223ππ468=⨯=,所以,2π2x x Q F d rλε∆=-.同理,20π2y y Q F d rλε∆=-. 故对于一微扰位移为d 的粒子,有()20π02Q Q rλλε=->F Fd , 故粒子做简谐振动,20π2Q r mλωε=9.(1)πx n k a =,1n =,2,3,… (2)y mk b=,1m =,2,3,…(3)12101239102102πb nm nm -->⨯≈⨯【解析】【解析】 【详解】(1)要使得电磁波在两端形成驻波,则长度应是半波长的整数倍,相位满足:πx k a n =,即πx nk a=,1n =,2,3,….(2)要使得电磁波在y 方向上的形式稳定为()()(),sin cos x y E x y A k x k y =,则圆柱的周长应为波长的整数倍,相位满足:2π2πy k b m =,即y mk b=,1m =,2,3,…. (3)由222πx yhc W k k =+得22121239π102πn m a b ⎛⎫⎛⎫+=⎪ ⎪⎝⎭⎝⎭, 所以,121239102πm m b <,即12101239102102πb nm nm -->⨯≈⨯10.02U 【解析】【解析】 【详解】将过程分为三个阶段,记为α、β、γ.在第一个14周期内,A U 增加,0A D U U >>,因此二极管2D 截止;又因0DB U ≥,二极管1D 保持导通,等效电路如图1所示,在此阶段2D B A U U U ==,记为α然后A U 开始减小,但AD U 保持不变,最初D U 仍然大于零,因此,2D 依然截止.不过D U 正在逐渐减小,所以1D 截止.由于电容上的电荷无处可走,B U 保持不变,AD U 也保持不变.这个阶段一直持续到0D U =,这一过程等效电路如图2所示,记为β.不过,0D U <是不可能的,所以0D U =直至0A U U =-.这一过程等效电路如答图3所示,记为γ.下面A U 又从0U -开始增加,然后AD U 又保持在0U -不变(再次处于β阶段),而B D U U >停留在02U ,直到D U 升至B U .当D B U U =时β阶段结束.阶段结束. 而后新的α阶段又开始了.每个周期均按αβγβ---的次序通过各个阶段,但是电路并不是随时间周期变化的,这可以从图4中看出.B U 等比地趋近于02U ,即是说00322B U U U -→,034U ,038U ,0316U ,….这个电路称为电压倍增器 11.见解析.见解析 【解析】 【详解】将多谐振荡器电路等效为图示电路,可见电流只在0102U R C U ---回路中流动.假设系统存在稳态,则电容电量为常数,因而电阻上电流为0,则1G 输入电压等于输出电压,这显然矛盾,因而系统不存在稳态.不失一般性,电容初态电压为0,系统初态010U =,因而0212U V =,电路沿顺时针给电容充电(电阻上的电流I 从下向上为正,电容电量Q 右边记为正).从0C Q Q CU ==时起,图中i U 的大小开始小于6V ,门反转,将此后直到门再次反转的过程记为过程I :此时0112U V =,020U =,由于电容上电量不突变,所以,006iQ U V C=-=-.因而电路沿逆时针给电容反向充电,新充入电量为Q ∆.120Q Q V IR C +∆-=--,即18Q VIR C∆=--.i U 不断上升,到达6C U V =时,10C Q Q Q CU =+∆=-时,门反转,此后进入过程Ⅱ.设过程Ⅰ历时t Ⅰ,将18QV IR C ∆=--与题目中的RC 电路满足的0Q U IR C∆=+类比,过程Ⅰ满足的018U V =,()12Q U t V C∆==,则由电容上的电压随时间变化规律()()01t RCU t U e-=-可得:ln 3tRC =Ⅰ. 对于过程Ⅱ,此时010U =,0212UV =,由于电容上电量不突变,所以,11218i Q U V C=-=.因而电路沿顺时针给电容正向充电,新冲入电量为Q '.1012Q Q V IR C '+∆-=--,即18Q V IR C'∆=+. i U 不断上升,到达6C U V =时,210C Q Q Q CU Q '=+∆==,门再次反转,此后又进入过程Ⅰ.同理可得:1ln 3t RC =. 过程Ⅰ、Ⅱ循环进行.因此得方波的信号周期为2ln3T RC =. 12.(1)4klQ (2)2π2π3d m mlT K k Q== 【解析】 【详解】设由变化的磁场产生的涡旋电场大小为E ,则有22ππB E r r t∆⋅=∆,得到2rE k =⋅,方向垂直于与O 的连线.则杆上场强分量为2x k E y =-⋅,2y kE d =-⋅.(1)由于上下电量相反,y 方向的场强为定值,故钉子在y 方向不受力.在x 方向上,其所受电场力(考虑到上下对称)为202d 224l k Q klQ F y y l ⎛⎫=⨯-⋅⋅=⎪⎝⎭⎰. 故钉子压力为4klQ .(由于电场和y 坐标成正比,因而也可以使用平均电场计算电场力)坐标成正比,因而也可以使用平均电场计算电场力)(2)设绝缘棒转过一微小角度θ,此时,y 方向的电场力会提供回转力矩.(由于力臂是一阶小量,横坐标变化引起的电场力改变也是一阶小量,横坐标变化引起的电场力改变也是一阶小量,忽略二阶以上小量,忽略二阶以上小量,忽略二阶以上小量,因而不必计算电因而不必计算电场力改变量产生的力矩.由于电场几乎是均匀的,所以正电荷受力的合力力臂为4lθ⋅)244k l kdlQM d Q θθ=-⋅⋅⋅⋅=-,而M I θ=,则04kdlQ Iθθ+=.这是简谐方程,故绝缘棒的运动是简谐运动,其周期为2π2π3d m mlT K k Q==. 13.(1)12AB R r =,78AC R r =(2)241916C rααω=+【解析】 【分析】【分析】 【详解】(1)将题图1所示的电阻网络的A 、B 两点接入电路时,可以发现D 、E 等势点,于是DC 、DE 、CE 可去掉.所以,12AB R r =.将A 、C 接入电路时,将原电路进行等效变化,如图甲所示.接入电路时,将原电路进行等效变化,如图甲所示.11711283122AC R r r r r =+=+.(2)将题图1等效为图所示三端网络.等效为图所示三端网络.由(1)知1122AB R R r ==,1278AC R R R r +==,解得114R r =,258R r =.所以图所示虚线框内的等效阻抗为121211121324154496448i Z r r r i L αααω-⎛⎫ ⎪++=++= ⎪+ ⎪+⎝⎭.电路的总复导纳()()()()()22222222214964213244964111213216213216Y i C i C Z r r ααααωωαααα⎛⎫+++ ⎪=+=⋅+-⋅ ⎪++++⎝⎭为使功率因数为1,则复导纳虚部为0.所以,()()2222244964141916213216C r rαααωαωαα+=⋅=⋅+++14.(1) 201221211π2I N r I r μΦ= (2) ()2201212522213π2N N r r Ivx r xμε=+ (3) 201221π2N N r IQ r Rμ=【解析】【解析】 【详解】6.【解析.如图所示,半径为a 的线圈中通以I 的电流,则中轴线上距圆心x 处的磁感强度为()22π00322222022d d 4π2a a II l a B B a x a x a x μμ==⋅=+++⎰⎰P(1)两线圈在同轴共面位置时,1a r =,0x =,当大线圈中通有1I 的电流时,有010112I B N r μ=⋅因为21r r =,所以,212022πB N r Φ=⋅,则201221211π2I N r I r μΦ=(2)当两环中心相距x 时,有()220121211232221π2N N r r I r x μΦ=+,121M I Φ=,12MI Φ=,()22012122121522213πd d d d d d 2N N r r Ivxx t x tr x μεΦΦ=-=-⋅=+(3)d d q I t =220122012211ππ1d 1d d d d 0d 22N N r IN N r I Q q I t t t R R t R rr R μμε⎛⎫Φ⎛⎫====-⋅=-= ⎪ ⎪⎝⎭⎝⎭⎰⎰⎰⎰ 15.112310.465AB I R I I I '⨯==Ω'''++ 【解析】【解析】【分析】 【详解】将该网络压扁,如图1所示,除AB ,BC ,CD ,DA 间各边电阻为1Ω外,其余电阻为12Ω现在我们讨论MNPQ 的内部电阻我们将RSTL 的内部电阻等效为图2所示电路,其中a ,b 为待定值,由于RSTL 与MNPQ全等,则有如图所示的等价关系,此等价关系即1212MQ MQ MP MP R R R R =⎧⎪⎨=⎪⎩下标的1代表图3,2代表图4(1)MP R 的分析的分析①1MP R ,由对称性,去掉NS ,SL ,LQ 得1112112MP ab a b R ab a b ⎛⎫+⋅ ⎪+⎝⎭=⎛⎫++⎪+⎝⎭ ②2MP R ,由对称性,去掉NQ ,得2MP ab R a b=+,从而112112ab ab a b ab a b a b ⎛⎫+⋅ ⎪+⎝⎭=+⎛⎫++ ⎪+⎝⎭,解得312ab a b -=+ (2)MQ R 的分析的分析①1MQ R .如图5所示,取回路MNPQM ,MRLQM ,RSTLR ,RLTR ,QLTPQ 得()()13412255256452566225643301110222334001110222I I I I I I aI I I I I I aI a I I I bI I a I I I I I -+=⎧⎪⎪---=⎪⎪-++-=⎨⎪----=⎪⎪+----=⎪⎩解得1626364655166721162582482562376252222531332225b ab a b aI I a b a b a I I a b ab a b a I I a b a a I I a b b a I I a ⎧++++⎪=⎪+⎪+++⎪=⎪+⎪⎪⎪++++⎨=⎪+⎪⎪++⎪=⎪+⎪⎪++⎪=⎪+⎩ 故1122316167211626016246460MQ b ab a b I a R b I I I ab a b a++++==++++++ ②2MP R 如图6所示,由回路MNPQM ,MQPM 得()79878930I I I aaI bI aI⎧--=⎨--=⎩,解得7898322a bI Iaa bI Ia+⎧=⎪⎪⎨+⎪=⎪⎩,故()27789344MQa b aaIR I I I a b+==+++.于是有()166721163604416246460312bab a ba b a aba bab a baaba b⎧++++⎪+=⎪+⎪++++⎨⎪-⎪=⎪+⎩⑧⑨令1xa=,由,由⑨⑨得()131xb=--⑩由⑩代入代入⑧⑧化简有2210x x--=.则12x=±又0a>,则0x>,所以,21x=+,所以,()()2132ab⎧=-Ω⎪⎨=+Ω⎪⎩于是ABCD如图7所示,同上步骤可得:所示,同上步骤可得:1618.93I I ''=,2614.55I I ''=,367.19I I ''=,462.64I I ''=,5610.57I I ''=.则112310.465ABI R I I I '⨯==Ω'''++ 16.(1) 2mA D I = (2) 211116mW U P R ==【解析】 【详解】(1)设每只二极管两端的电压为D U ,通过二极管的电流为D I ,则有,则有1222D D DU U I R R ε⎛⎫=-+ ⎪⎝⎭ 代入题设数据得代入题设数据得()31.50.2510V DDU I =-⨯这是一个在图c 上横轴截距为1.5,纵轴截距为6,斜率为一4的直线方程,绘于c 图可获一直线一直线(称为二极管的负载线).因D U 、D I 还受二极管D 的伏安线限制,故二极管必然工作在负载线与伏安曲线的交点P 上,如图c 所示.此时二极管两端的电压和电流分别为1VDU =,2mA DI =.(2)电阻1R 上的电压124V D U U ε=-=.其功率211116mW U P R==.【点睛】对于非线元件的伏安特性曲线,一般无法用函数方式表述,用图解的方式确定其静态工作点应该是不二的选择.应该是不二的选择.物理问题中涉及非线性元件或过程时,物理问题中涉及非线性元件或过程时,物理问题中涉及非线性元件或过程时,通过图解法来确定其工作点,通过图解法来确定其工作点,通过图解法来确定其工作点,应应该是这类问题的通行做法.17.110A I =(方向为11I 的方向),25A I =(方向为21I 的方向);11200W P =,2600W P =-. 【解析】 【分析】 【详解】【详解】这个电路的结构,不能简单地等效为一个串联、并联电路.要计算这种较复杂的电路,可有多种解法.下面提供两种较为常用的方法.方法一:用基尔霍夫定律解.方法一:用基尔霍夫定律解.如图乙所示,设各支路的电流分别为1I 、2I 、3I . 对节点1:1230I I I --+=. ① 对回路1:112212I r I r εε-=-. ② 对回路2:2232I r I R ε+=.③解①②③式求得()2121122110A r R RI rrr R r R εε+-==++,()121212215A r R RI r r r R r Rεε+-==-++,2112312215A r r I r r r R r Rεε-==++.2I 为负值,说明实际电流方向与所设方向相反.为负值,说明实际电流方向与所设方向相反. 各发电机输出的功率分别为2111111200W PI I r ε=-=, 221111600W P I I r ε=-=-.这说明第二台发电机不仅没有输出功率,而且还要吸收第一台发电机的功率. 方法二:利用电源的独立作用原理求解.当只考虑发电机1ε的作用时,原电路等效为如图丙所示的电路,的作用时,原电路等效为如图丙所示的电路,由图可知()2111122182A r RI rrr R r R ε+==++,2111280A RI I r R==+. 当只考虑发电机2ε的作用时,原电路等效为如图丁所示的电路. 由图可知由图可知将()1222122175A r RI r r r R r Rε+==++122172A RI I r R ==+两次求得的电流叠加,可得到两台发电机的实际电流分别为两次求得的电流叠加,可得到两台发电机的实际电流分别为11112827210A I I I =-=-=(方向为11I 的方向),2212280755A I I I =-=-=(方向为21I 的方向).同理,可解得各发电机的输出功率同理,可解得各发电机的输出功率 11200W P =,2600W P =-.【点睛】(1)从本题计算结果看出,将两个电动势和内电阻都不同的电源并联向负载供电未必是好事,这样做会形成两电源并联部分的环路电流,使电源发热.(2)运用基尔霍夫定律解题时,对于一个复杂的含有电源的电路,如果有n 个节点、p 条支路所组成,我们可以对每一支路任意确定它的电流大小和方向,我们可以对每一支路任意确定它的电流大小和方向,最后解出值为正说明所设电流最后解出值为正说明所设电流方向与实际方向一致,所得值为负则说明所设电流方向与实际方向相反.这个电路中共有p 个待求电流强度.个待求电流强度.在n 个节点中任意选取其中()1n -个节点,根据基尔霍夫第一定律,列出节点电流方程组,再选择()1m p n =--个独立回路,根据基尔霍夫第二定律,列出回路电压方程组,个独立回路,根据基尔霍夫第二定律,列出回路电压方程组,从而得从而得到p 个方程即可求解.(3)处理复杂的电路的方法有很多,各种方法的优点与不足是在比较中领会的,对于某一道具体的试题,该用何种方法,取决于你的经验与临场的判断.事实上,这些方法也不存在优劣之分,只是在具体的过程中可能存在繁易的差别.18.(1) 00.659AC R R = (2)0321321EG R R -+++=【解析】【分析】【分析】【详解】(1)先考察B 、D 连线上的节点.由于这些节点都处于从A 到C 途径的中点上,在A 、C 两端接上电源时,这些节点必然处在一等势线上.因此可将这些节点“拆开”,将原网络等效成如图2所示网络.所示网络.。
阿贝尔变换在数列问题中的应用
阿贝尔变换是一种数学工具,可以将一个数列转化为另一个数列。
在数列问题中,阿贝尔变换可以用来求解一些复杂的问题,例如求和、求积、求倒数等。
阿贝尔变换的基本思想是将一个数列表示为一个幂级数的形式,然后对幂级数进行运算。
在数学和工程领域中,阿贝尔变换有广泛的应用。
在信号处理中,阿贝尔变换可以用来分析和处理信号,例如在音频处理中应用广泛。
在数论中,阿贝尔变换可以用来研究数列的性质,例如素数分布等。
阿贝尔变换的应用还包括解决一些著名的问题,例如费马小定理、欧拉定理等。
此外,阿贝尔变换还有许多变体和扩展,例如离散阿贝尔变换、快速傅里叶变换等。
总之,阿贝尔变换是一个非常有用的数学工具,在数列问题中有广泛的应用。
对于学习数学和工程的人们来说,学习和掌握阿贝尔变换的基本知识和应用是非常重要的。
- 1 -。
运用微元思维方法解物理竞赛试题吕贤年袁孝金所谓微元思维方法一是指从整体中取某个特定的微小部分作为研究对彖,从而达到解决事物整体问题的一种思维方式。
这种思维方法是基于宏观事物的普遍性(即共性)不仅存在于事物发展的全过程屮,而且也包含在每微元的特殊性(即个性)之中这一基木属性的基础上,而产牛的一种创造性思维方式。
因此,我们在研究物理问题时,对于某一具体的研究对象,当从整体或宏观上无法求解时,运用微元思维方法,往往会收到化难为易,化繁为简的意想不到的效果。
木文试通过近年来的冇关全国屮学牛物理竞赛试题为例,导析微元思维方法解题的一般思路,供同学们参考。
一、长度微元△/对长度进行微小分割,称为线分割,分割出來的长度单元,称之为长度微元,用A/表示。
例1 -根无限长的均匀带电细线,弯成图1所示的平面图形。
其中AB是半径为R的半圆弧,AA,〃BB,。
试求圆心0处的电场强度。
(1988年全国中学生物理竞赛试题)解析因为电荷均匀布在整条曲线上,所以不能把它当作点电荷处理。
因此,无法直接应用初等方法求出它在0点所形成的电场强度。
如果将曲线分成无数小线元,可看作点电荷,则弯曲的带电细线在0处所产牛的电场,就是各小段线元在0处的电场强度,就能按矢量合成法求得曲线整体在O处的电场强度。
在半圆弧AB上取任一小段线元ab = A/,则线元ab对应的圆心角为△(),对应于直导线线元为当厶。
-*。
时,a 图1 逼近于b, 逼近于b‘。
此时,我们可以认为ab所帯电荷△()集中于一点(如b点), Yb,所带的电荷集中于对应的另一点(如b‘点)。
这样,对于M张角所包含的区域在O点所形成的场强,我们认为是由两个点电荷形成的。
设细线上单位长度所带的正电荷为则ab线元所带的电荷为Aq= HRA0, Aq在O点所形成的场强为:回,其中AE的方向指向Ob,。
Ra zb z线元所带电荷为Aq= na^b^,距离圆心0的距离用I•表示(△&越小,以上考虑越准确),作aa"垂直于OW,贝!]Za"ah= Zb r OB=0 + A0 因而a'b'= a'a"/cos 0 =aa" r/R,又因为aa" = r0,故得:a r b r =r2A0/R.o因此,点电荷在O点产生的电场强度的大小为:AE =k^=k^=AE,方r2 R向与AE方向相反。
20XX年复习资料大学复习资料专业:班级:科目老师:日期:专题一:数项级数的敛散性 (测试题16分,每题8分)(1) 正项级数的敛散性判定; (2) 绝对收敛与条件收敛; (3) 数项级数敛散性证明.1. 讨论下列级数的敛散性,若为变号级数收敛请指出它是条件收敛还是绝对收敛:(1) 111n nnn nn n +∞=⎛⎫+ ⎪⎝⎭∑; (2) ()1111n nn n∞-=⎛⎫-- ⎝∑ 解: (1) 12lim lim10111n nnnnx x nnn n n +→∞→∞==≠⎛⎫⎛⎫++ ⎪⎪⎝⎭⎝⎭, 级数发散----------(4分);(2) 设()1x f x e x =--, 则()'10x f x e =->,所以()f x 单调减则1nn a n=-单调减,且lim 0n n a →∞=,由莱布尼兹准则知级数收敛------(2分)而()22000111lim limlim 22x x x x x f x e x e x x x →→→---===,这说明1111 nn n n n与∞∞==⎛⎫- ⎝∑∑同敛散,则级数条件收敛------(4分)本题分数 30得 分2. 设级数1n n a ∞=∑收敛, 且lim 0n n na →∞=. 求证: 级数()11n n n n a a ∞+=-∑收敛,且()111n n n n n n a a a ∞∞+==-=∑∑.证:记12n n a a a σ=++, 由级数1n n a ∞=∑收敛知1lim n n n n a σ∞=→∞=∑存在------(3分)因为级数()11nn n n aa ∞+=-∑的部分和()()()12231121112 =1n n n n n n n n S a a a a n a a a a a na n a a σ++++=-+-+-=++--++-----(6分)于是由lim 0n n na →∞=知1lim lim n n n n n n a S σ→∞→∞∞===∑----(8分)专题二:幂级数及其应用 (测试题20XXXX 分,每题6分). (1) 阿贝尔(Abel)定理; (2) 幂级数的收敛域与和函数; (3) 幂级数展开.1. 已知幂级数()12nn n a x ∞=+∑在0x =处收敛,在4x =-处发散,求幂级数()13nn n a x ∞=-∑的收敛域.本题分数 30得 分解: 记2t x =+,则由条件知1n n n a t ∞=∑在2t =处收敛,在2t =-处发散------(3分)从而得()13nn n a x ∞=-∑的收敛域为(1,5]------(6分)2. 求()()2011!nnn n x n ∞=-+∑的收敛域及和函数.解: 记()()211!nn n a n -=+,则1lim 0n n naa +→∞=,知收敛域为(),-∞+∞-----(2分)()()()()()()()()()()22000011111111!1!!1!nnnnn n n nn n n n n n n S x x x x x n n n n ∞∞∞∞====--+----===++++∑∑∑∑()()()()()1101111!!1!n nnnn n n n n x x x n n n ∞∞∞===---=-+-+∑∑∑()()()123S x S x S x =-+ -----(4分) 其中()()()()1231, 1, 1(0)x x x S x xe S x e S x x e x x---=-=-=--≠ 则()()()111, 00, 0x xx e e x S x xx --⎧-++-≠⎪=⎨⎪=⎩-----(6分)3. 将 ()2147f x x x =++ 展开成()2x +的幂级数.解: ()()22114723f x x x x ==++++------(3分) ()()210112,23233nnn n x x ∞+==-+-<<-+∑分)专题三:傅里叶级数展开及应用 (测试题14分,每题7分)(1) 狄里克雷(Dirichlet)定理; (2) 正弦级数和余弦级数; (3) 求数项级数的和.1. 设函数1, 201, 0 2x f xx在[]2, 2-上展开为傅里叶级数01(cossin)222n n n a n x n xa b ,求该傅里叶级数的和函数()S x .解: 根据狄里克雷(Dirichlet)定理得和函数()1,201,020,00,2x x S x x x --<<⎧⎪<<⎪=⎨=⎪⎪=±⎩-- --------------------------(6分)2. 将(), [0,)f x x x ππ=-∈展开成余弦级数, 并求数项级数222111135+++ 的和.解: 将()f x 偶延拓:(),0,0x x F x x x ππππ-≤<⎧=⎨+-≤<⎩-------------(2分)则0, 1, 2,n b n ==()()022, 11, 1, 2,nn a a n n ππ==--=从而224cos3cos5()cos 235x xf x x ππ⎛⎫=++++ ⎪⎝⎭-------------(4分) 本题分数 30得 分当0x =时,()0f π=,从而22221111358π+++=.. 专题四:空间向量的知识 (测试题20分,每题5分)(1)向量的坐标; (2) 向量的运算; (3) 向量的夹角;(4) 向量法证明.1. 已知两点1(42,1)M 和2(3,0,2)M , 求向量12M M 的三个方向角以及与12M M 同方向的单位向量012M M .解: 三个方向角为23,,343πππ-----------(3分) 单位向量012121{,}22M M =-.--------(5分)2. 已知||5, ||1, ||4, a b a b a b 求. 解: 3a b -------(5分)3. 求直线1233x ty t z =+⎧⎪=+⎨⎪=⎩与平面2550x y z +-+=的夹角.解: 夹角为6π.--------(5分)4. 利用向量证明:三角形三中线长度的平方和等于三边长度平方和的本题分数 20XX得 分34.证: 三边向量为,,a b c ,则三中线向量为111,,,222l b c m c a n a b =+=+=+222222222111()()()2225()()4l m n b c c a a b a b c a b c a b c ++=+++++=+++⋅+⋅+⋅又0a b c ++=,则2()0a b c ++=,由此得2221()()2a b c a b c a b c ++=-⋅+⋅+⋅故2222223()4l m n a b c ++=++…--------(5分)专题五:点、直线与平面 (测试题20XX 分,每题5分)(1) 点到平面的距离公式;(2) 点到直线的距离公式;(3)求平面方程;(4)求直线方程.1. 求点(1,2,3)-到平面:5340x y z π-++=的距离.解: 距离0d =.-------(5分)2. 求点(2,3,1)-到直线1213114x y z ---==的距离. 本题分数 20XX得 分解: 距离6d =. ----(5分)3. 求经过点1(3,2,9)P -和2(6,0,4)P --, 且垂直于平面:2480x y z π-+-=的平面方程.解: {}{}129,2,13, 2,1,4PP n =--=- 所求平面法向量为{}125,10,5PP n ⨯=---------(3分) 得平面的方程为:220x y z --+=-------(5分)4.求过点(11,9,0)与直线1135:243x y z l -+-==和直线221:512x y z l -+==-都相交的直线方程和两交点12,P P 的坐标.解: 设所求直线l 与直线1l 的交点为1(12,34,53)P t t t +-++,与直线2l 的交点为2(5,2,12)P ρρρ--+,因0(11,9,0)M 与点1P ,2P 共线,所以有1002PM M P即111293453,5112912t t t λρρρ--+---===----+令① ……………(2分) 上式成为 210(511)()412(7)()35(21)()t i t ii t iii λρλρλρ-=-⎧⎪-=--⎨⎪+=-⎩将()2()i ii ⋅-得11158λρλ=- ②将()3()4ii iii ⋅-⋅得111756λρλ=-+ ③由②③有,2λ=,1ρ=代入( i )有,1t =- ……………(4分)从而得交点1(1,7,2)P --和2(5,1,1)P 两点间的直线方程为:182:681x y z l ++-==-…………(5分)专题六:求旋转曲面的方程 (测试题20XXXX 分,每题6分)(1) 坐标面内的曲线绕坐标轴旋转;(2) 一般空间曲线绕定直线旋转.1. ()22340x y z ⎧-+=⎪⎨=⎪⎩绕y 轴旋转所得旋转曲面方程.解: 旋转曲面方程为()222234x z y ±++=………(6分)2. 直线1:210x y z -Γ==绕直线:L x y z ==旋转所得旋转曲面方程. 解: 设1111(,,)M x y z 是母线上的任意点,因为旋转轴通过原点,所以过1M 的纬圆方程是本题分数 20XXXX 得 分11 / 11 111222222111()()()0x x y y z z x y z x y z -+-+-=⎧⎨++=++⎩---------------(3分) 由于1111(,,)M x y z 在母线上得1111210x y z -------------(4分) 消去111,,x y z 得旋转曲面方程-----------(6分)222251(1)9x y z x y z ++-=++-。
上海市第四届初中物理竞赛(1990年)初赛试卷详解区(县)___学校___班级___姓名___说明:(1)每题只有一个答案符合要求,将其代号选出,填在括号内。
(2)每题答对得2分,答错或不答均不给分,也不扣分;满分120分。
(3)每位考生应将竟赛准考证号、学校、姓名填写在试卷附页的答案表上;在答题过程中应将所选答案的代号按题序填入对应的答案表中;交卷时交答案表。
1.关于光的传播,正确的说法是(A)在任何情况下,光都是沿直线传播的;(B)光在水中传播的速度比在空气中的速度小;(C)光在真空中的速度相当于1分钟饶地球赤道七圈半的速度;(D)传播同样的距离,光所需要的时间比无线电波短。
【B】V=C/n解:A、光在同一种均匀介质中沿直线传播,A说法错误,不符合题意;B、光在水中传播的速度是光在空气中传播速度的3 4 ,光在水中的速度小于在空气中的速度,说法正确,符合题意;C、赤道周长约为4×107m,光在真空中的传播速度约为3×108m/s,光在真空中的速度相当于1s中绕地球七圈半的速度,C说法错误,不符合题意;D、光与无线电波都是电磁波,它们的传播速度相同,传播同样的距离,光与无线电波需要的时间相等,D说法错误,不符合题意.故选B.2.入射光线与反射面的夹角是15°,则入射光线与反射光线的夹角是(A)30°;(B)15°;(C)75°;(D)150°。
【D】入射角为90-15=75,反射角=入射角3.关于凸镜和凹镜的应用,正确的是(A)凸镜用于汽车头灯;(B)凹镜用于太阳灶;(C)凹镜可用作观后镜;(D)凹镜用于放大镜。
【B】太阳灶利用凹面镜对光线的会聚作用4.通过凸透镜观察到一个放大的像,则物体应放在(A)1倍焦距和2倍焦距之间;(B)1倍焦距之内;(C)2倍焦距之外;(D)2倍焦距处。
【B】因为是通过透镜观察到一个放大的像,说明像和物体在凸透镜的同一侧,由凸透镜成像规律可知,此时物距小于焦距时,成正立放大的虚像.故选B.5.当光线从一种透明物质进入另一种透明物质时,下列说法中正确的是(A)光线的传播方向一定发生改变;(B)光线的传播方向有时不发生改变;(C)当光线从水斜射入空气时,折射角小于入射角;(D)当光线从玻璃斜射入空气时,入射角大于折射角。
阿贝尔变换数列求和
阿贝尔变换,也被称为阿贝尔求和法,是一种用于数列求和的经典方法。
其核心思想是将有限个两项乘积之和转换成含有其中一项部分和的乘积之和的过程。
这种方法在处理一些特定的数列求和问题时,具有独特的优势和简洁性。
阿贝尔变换的应用范围非常广泛,它不仅可以用于处理等差数列与等比数列的乘积求和,还可以应用于其他更复杂的数列求和情况。
通过阿贝尔变换,我们可以将复杂的数列求和问题转化为更简单、更直观的形式,从而更容易找到求和的公式或方法。
以等差数列与等比数列的乘积求和为例,我们可以使用阿贝尔变换来简化求和过程。
首先,我们将等差数列的每一项看作是一个小矩形的宽度,将等比数列的每一项看作是小矩形的高度。
然后,我们将这些小矩形按照一定的顺序排列起来,形成一个梯形图形。
接着,我们可以通过对这个梯形图形进行不同的分区域操作,得到两个不同的求和表达式。
这两个表达式之间的关系就是阿贝尔变换的核心内容。
在实际应用中,阿贝尔变换不仅可以用于求解数列的和,还可以用于求解数列的部分和、积的和等问题。
同时,阿贝尔变换还可以与其他数学方法相结合,如微积分、差分等,以处理更复杂的数学问题。
总之,阿贝尔变换是一种非常实用的数列求和方法,它不仅可以简化求和过程,还可以拓宽我们的数学视野。
通过学习和掌握阿贝尔变换,我们可以更好地理解和解决一些数学问题,提高我们的数学素养和思维能力。