对数函数及其性质练习题
- 格式:docx
- 大小:78.98 KB
- 文档页数:2
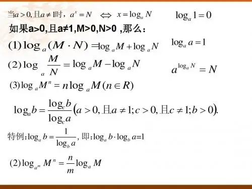
指数函数及其性质1.指数函数概念一般地,函数叫做指数函数,其中是自变量,函数的定义域为.2.指数函数函数性质:函数名称定义图象定义域值域过定点奇偶性单调性函数值的变化情况变化对图象的影响指数函数函数且叫做指数函数图象过定点,即当时,.非奇非偶在上是增函数在上是减函数在第一象限内,从逆时针方向看图象,逐渐增大;在第二象限内,从逆时针方向看图象,逐渐减小 .对数函数及其性质1.对数函数定义一般地,函数叫做对数函数,其中是自变量,函数的定义域.2.对数函数性质:函数名称定义函数对数函数且叫做对数函数图象定义域值域过定点奇偶性图象过定点,即当非奇非偶时,.单调性在上是增函数在上是减函数函数值的变化情况变化对图象的影响在第一象限内,从顺时针方向看图象,看图象,逐渐减小 .逐渐增大;在第四象限内,从顺时针方向指数函数习题一、选择题aa ≤ b,则函数 f ( x ) =1?2x 的图象大致为 ()1.定义运算 a ?b =>b a b2.函数 f ( x ) = x 2-bx + c 满足 f (1 + x ) =f (1 - x ) 且 f (0) =3,则 f ( b x ) 与 f ( c x ) 的大小关系是()xxA . f ( b ) ≤ f ( c ) x xB . f ( b ) ≥ f ( c )xxC . f ( b )> f ( c )D .大小关系随 x 的不同而不同3.函数 y = |2 x - 1| 在区间A . ( - 1,+∞ )C . ( - 1,1)( k - 1, k + 1) 内不单调,则 k 的取值范围是 ()B . ( -∞, 1)D . (0,2)4.设函数 f ( x ) =ln [( x -1)(2 -x)] 的定义域是 ,函数 ( ) = lg(x - 2x -1) 的定义域是 ,Ag xaB若 ?,则正数a 的取值范围 ()ABA . a >3B . a ≥ 3C . a > 5D . a ≥ 5.已知函数 f (x = 3- a x -3, x ≤ 7,若数列 { a n 满足 a n = f (n )(n ∈ * ,且 {a n }是递5 ) a x - 6, x >7. } N) 增数列,则实数a 的取值范围是 ()A . [ 9, 3)B . ( 9, 3) 44C . (2,3)D . (1,3)2x16.已知 a >0 且 a ≠ 1,f ( x ) = x - a ,当 x ∈ ( - 1,1) 时,均有 f ( x )< 2,则实数 a 的取值范围 是( )1 1 A . (0 , 2] ∪ [2 ,+∞ ) B . [ 4, 1) ∪ (1,4]11C . [ 2, 1) ∪ (1,2]D . (0 , 4) ∪ [4 ,+∞ )二、填空题xa7.函数 y = a ( a >0,且 a ≠ 1) 在 [1,2] 上的最大值比最小值大 2,则 a 的值是 ________.8.若曲线 | y | = 2 x + 1 与直线 y =b 没有公共点,则b 的取值范围是 ________.| x|的定义域为9. (2011 ·滨州模拟 ) 定义:区间 [x 1,x 2 ]( x 1<x 2) 的长度为 x 2- x 1. 已知函数 y = 2 [a , b] ,值域为 [1,2] ,则区间 [a , b] 的长度的最大值与最小值的差为 ________.三、解答题10.求函数y=2x2 3x 4 的定义域、值域和单调区间.11.(2011 ·银川模拟 ) 若函数y=a2x+ 2a x-1( a>0 且a≠ 1) 在x∈ [- 1,1]上的最大值为14,求a 的值.12.已知函数f (x) = 3x,(a+ 2) = 18, (x) =λ·3ax-4x的定义域为 [0,1] .f g(1)求 a 的值;(2) 若函数g( x) 在区间 [0,1] 上是单调递减函数,求实数λ的取值范围.1. 解析:由? = a a≤ b x2x x≤0,b a>b x>0 .1答案: A2. 解析:∵f (1 +x) =f (1 -x) ,∴f ( x) 的对称轴为直线x=1,由此得 b=2.又 f (0)=3,∴c=3.∴f ( x)在(-∞,1)上递减,在(1,+∞)上递增.x≥2x≥ 1,∴ (3 x) ≥(2 x) .若 x≥0,则3f f若 x<0,则3x<2x<1,∴f (3x)> f (2x).∴f (3x)≥ f (2x).答案: A3.解析:由于函数 y=|2x-1|在(-∞,0)内单调递减,在(0,+∞)内单调递增,而函数在区间 ( k- 1,k+ 1) 内不单调,所以有答案: Ck-1<0<k+1,解得-1<k<1.4.解析:由题意得: A=(1,2)x x>1x x>1在(1,2)上恒成立,即,a- 2且 a>2,由 A? B知 a- 2x x上恒成立,令x x xln a-2xln2>0 ,所以函数a-2 - 1>0 在 (1,2)u( x)=a- 2- 1,则u′( x) =au ( x ) 在 (1,2) 上单调递增,则 u ( x )> u (1) = a - 3,即 a ≥ 3.答案: B*f ( n ) 为增函数,5. 解析: 数列 { a } 满足 a = f ( n )( n ∈ N ) ,则函数nna >18- 6- ) × 7- 3,所以 3- a >0注意 a>(3,解得 2<a <3.aa8-6> 3- a × 7-3答案: C1 2x1 21 x x21的图象,6. 解析: f ( x )<? x -a < ? x - <a ,考查函数 y = a与 y =x - 2222当 a >1 时,必有 a-1≥1,即 1<a ≤ 2,21 1当 0<a <1 时,必有 a ≥ ,即 ≤a <1,2 2 1 综上, 2≤ a <1 或 1<a ≤ 2. 答案: C7. 解析: 当 a >1 时, y x在 [1,2] 上单调递增,故 2a3x= a a - a = ,得 a = . 当 0<a <1 时, y = a2 22a在 [1,2] 上单调递减,故 a -a = 2,得 a = 2. 故 a =2或 2.1131 3答案: 2或28. 解析: 分别作出两个函数的图象,通过图象的交点个数来判断参数的取值范围.x+1 与直线 y = b 的图象如图所示,由图象可得:如果x+ 1 与直线 y = b曲线 | y | = 2 | y | = 2没有公共点,则 b 应满足的条件是 b ∈ [- 1,1] .答案: [- 1,1]9. 解析: 如图满足条件的区间 [a , b] ,当 a =- 1, b = 0 或 a = 0, b = 1 时区间长度最小,最小值为 1,当 a =- 1,b = 1 时区间长度最大,最大值为2,故其差为 1.答案: 110. 解: 要使函数有意义,则只需- x 2-3x + 4≥ 0,即 x 2+ 3x -4≤ 0,解得- 4≤ x ≤ 1.∴函数的定义域为 { x | -4≤ x ≤ 1} .223225 令 t =- x - 3x + 4,则 t =- x - 3x + 4=- ( x + ) +4,2253∴当-4≤ x ≤ 1 时, t max = 4 ,此时 x =- 2, t min = 0,此时 x =- 4 或 x =1.∴0≤t ≤ 25 . ∴0≤ -x 2- 3x + 4≤ 5 .4 2∴函数 y = ( 1)x 23 x4的值域为 [ 2 , 1] .8223 225由 t =- x - 3x + 4=- ( x + )+4( - 4≤ x ≤ 1) 可知,23当- 4≤ x ≤- 2时, t 是增函数,3当- 2≤ x ≤1 时, t 是减函数.根据复合函数的单调性知:y = ( 1 )x 23 x 4在 [ - 4,- 3 3] 上是减函数,在 [ - ,1] 上是增函数.22 233∴函数的单调增区间是 [ - 2, 1] ,单调减区间是 [ - 4,- 2] . 11. 解: 令x22tt >0y= t+ 2t1= ( t+ 1)2,其对称轴为t =- 1.该二次函数a = ,∴ ,则--在[ - 1,+ ∞ ) 上是增函数.x12①若 a >1,∵x ∈ [ - 1,1] ,∴t = a ∈ [ a , a ] ,故当 t = a ,即 x =1 时, y max =a + 2a - 1=14,解得 a = 3( a =- 5 舍去 ) .②若 0<a <1,∵x ∈ [ - 1,1] ,∴ = x∈1 1=-时,a [ a , ] ,故当 t = ,即 1t a ax12y max = (a + 1) - 2= 14.11∴a =3或- 5( 舍去 ) .1综上可得 a = 3 或 3.12. 解: 法一: (1) 由已知得 a2 aa =log 32.3 += 18? 3 = 2?(2) 此时 g ( x ) = λ·2x - 4 x ,设 0≤ x 1<x 2≤ 1,因为 g ( x ) 在区间 [0,1] 上是单调减函数,所以 g ( x ) - g ( x ) = (2 x - 2x )( λ- 2x - 2x )>0 恒成立,即 λ<2x + 2x 恒成立.1 2 1 2 2 1 2 1由于 2x 2+ 2x 1>2 + 2 = 2,所以实数 λ的取值范围是λ≤ 2.法二: (1) 同法一.(2) 此时 g ( x ) = λ·2x - 4x ,因为 g ( x ) 在区间 [0,1] 上是单调减函数,所以有 g ′( x ) = λln2 ·2x - ln4 ·4x = ln2 [- 2 ·(2x )2+ λ·2x] ≤0 成立.x2 设 2 = u ∈ [1,2] ,上式成立等价于-2u+ λu ≤0 恒成立.因为 u ∈ [1,2] ,只需 λ≤2u 恒成立,所以实数 λ的取值范围是λ≤ 2.对数与对数函数同步练习一、选择题1、已知 3a2 ,那么 log3 8 2log 3 6 用 a 表示是()A 、 a 2B 、 5a2C 、 3a (1 a)2D 、 3a a 22、 2log a (M 2N ) log a Mlog a N ,则M的值为()A 、1NB 、4C 、1D 、 4 或 1413 、 已 知 x 2 y 2 1, x0, y 0 , 且 log a (1 x) m,log a n,则 log a y 等 于1 x()A 、 m nB 、 m nC 、 1m nD 、 1m n224、如果方程 lg 2 x (lg5lg 7)lgx lg5 glg 7 0 的两根是 ,,则 g的值是()A 、 lg5 glg 7B 、 lg35C 、 35D 、13515、已知 log 7[log 3 (log 2 x)] 0,那么 x2等于( )A 、1B 、13 C 、1D 、1322 2336、函数 ylg2 1 的图像关于()1 xA 、 x 轴对称B 、 y 轴对称C 、原点对称D 、直线 yx 对称7、函数 ylog (2 x 1) 3x2 的定义域是()A 、 2,1 U 1,B 、 1,1 U 1,32C 、 2,D 、 1,328、函数 ylog 1 (x 2 6x17) 的值域是()2A 、 RB 、 8,C 、, 3D 、 3,9、若 log m 9 log n 9 0 ,那么 m, n 满足的条件是( )A 、 m n 1B 、 n m 1C 、 0 n m 1D 、 0 m n 110、 log a 2 1,则 a 的取值范围是()3A 、 0, 2U 1,B 、 2,C 、 2,1D 、 0, 2U 2,3333 311、下列函数中,在 0,2 上为增函数的是()A 、 ylog 1 ( x1)B 、 y log 2 x 2 12C 、 ylog 2 1D 、 ylog 1 ( x 2 4x 5)x212、已知 g( x) log a x+1 ( a 0且a 1) 在 10, 上有 g( x)0 ,则 f ( x)a x 1 是( )A 、在 ,0上是增加的 B 、在 ,0 上是减少的C 、在, 1 上是增加的D 、在,0 上是减少的二、填空题13、若 log a 2 m,log a 3 n, a 2 m n 。
高一数学(必修一)《第五章 对数函数的图象和性质》练习题及答案解析-人教版班级:___________姓名:___________考号:___________一、单选题1.函数()()2log 1f x x =-的图像为( )A .B .C .D .2.已知对数函数()f x 的图像经过点1,38A ⎛⎫- ⎪⎝⎭与点则( )A .c a b <<B .b a c <<C .a b c <<D .c b a <<3.函数1()ln f x x x x ⎛⎫=-⋅ ⎪⎝⎭的图象可能是( ) A . B .C .D .4.下图中的函数图象所对应的解析式可能是( )A .112x y -=-B .112xy =-- C .12x y -=- D .21xy =--5.函数f (x )=|ax -a |(a >0且a ≠1)的图象可能为( )A. B . C . D .6.下列函数中是减函数的为( ) A .2()log f x x = B .()13x f x =- C .()f x = D .2()1f x x =-+7.设0.30.50.514,log 0.6,16a b c -⎛⎫=== ⎪⎝⎭,则a ,b ,c 的大小关系为( )A .a b c <<B .b a c <<C .b c a <<D .c a b <<8.已知函数2(43)3,0()log (1)2,0a x a x a x f x x x ⎧+-+<=⎨++≥⎩ (a >0且a ≠1)是R 上的单调函数,则a 的取值范围是( )A .30,4⎛⎫⎪⎝⎭B .3,14⎡⎫⎪⎢⎣⎭C .23,34⎡⎤⎢⎥⎣⎦D .23,34⎛⎤ ⎥⎝⎦9.已知定义在R 上的函数()f x 满足()11f =,对于1x ∀,2R x ∈当12x x <时,则都有()()()12122f x f x x x -<-则不等式()222log 1log f x x +<的解集为( )A .(),2-∞B .()0,2C .1,2D .()2,+∞10.函数y ) A .1,2⎛⎤-∞ ⎥⎝⎦B .10,2⎛⎤⎥⎝⎦C .1,2⎡⎫+∞⎪⎢⎣⎭D .[]1,211.记函数2log 2x y x=-的定义域为集合A ,若“x A ∈”是关于x 的不等式()22200x mx m m +-<>成立”的充分不必要条件,则实数m 的取值范围是( ) A .()2,+∞ B .[)2,+∞ C .()0,2D .(]0,212.下列函数在(),1-∞-上是减函数的为( )A .()ln f x x =-B .()11f x x =-+ C .()234f x x x =--D .()21f x x =13.下列函数是偶函数且值域为[)0,∞+的是( )①y x =;②3y x =;③||2x y =;④2y x x =+ .A .①②B .②③C .①④D .③④14.已知函数22,2()log ,2x a x f x x x ⎧-<=⎨≥⎩,若()f x 存在最小值,则实数a 的取值范围是( )A .(],2-∞B .[)1,-+∞C .(),1-∞-D .(],1-∞-15.已知910,1011,89m m m a b ==-=-,则( ) A .0a b >>B .0a b >>C .0b a >>D .0b a >>16.已知集合{}1,0,1,2A =-和2{|1}B x x =≤,则A B =( ) A .{}1,0,1-B .{}0,1C .{}1,1-D .{}0,1,217.已知22log log 0a b +=(0a >且1a ≠,0b >且1b ≠),则函数()1()xf x a=与()log b g x x =的图像可能是( )A .B .C .D .18.设123a -=,1312b -⎛⎫= ⎪⎝⎭和21log 3c =,则( ) A .a c b << B .c a b << C .b c a << D .a b c <<19.已知函数212()log (3)f x x ax a =-+ 在[)2,+∞上单调递减,则a 的取值范围( )A .(,4]-∞B .(4,4]-C .[4,4]-D .(4,)-+∞20.函数22log (2)y x x =-的单调递减区间为( )A .(1,2)B .(]1,2C .(0,1)D .[)0,121.已知函数()f x 是定义在R 上的奇函数,当0x ≥时,则()4322x xf x a =-⨯+.则关于x 的不等式()6f x ≤-的解集为( ) A .(,2]-∞-B .(,1]-∞-C .[)()2,00,2- D .[)()2,02,-⋃+∞二、解答题22.比较下列各数的大小: (1)12log 3与12log π;(2)4log 3与5log 3; (3)5log 2与2log 5.23.已知函数()()()ln 1ln 1f x ax x =++-的图象经过点()3,3ln 2.(1)求a 的值,及()f x 的定义域; (2)求关于x 的不等式()()ln 2f x x ≤的解集.24.已知函数()()9log 91xf x x =++.(1)若()()20f x x a -+>对于任意x 恒成立,求a 的取值范围; (2)若函数()()9231f x xx g x m -=+⋅+和[]90,log 8x ∈,是否存在实数m ,使得()g x 的最小值为0?若存在,求出m 的值,若不存在,请说明理由.25.已知函数()ln f x x =.(1)在①()21g x x =-,②()21g x x =+这两个条件中任选一个,补充在下面的横线上,并解答.问题:已知函数___________,()()()=h x f g x 求()h x 的值域. 注:如果选择两个条件分别解答,按第一个解答计分.(2)若1x ∀∈R ,()20,x ∈+∞和()1122421ln x xa x x -+<-,求a 的取值范围.26.已知______,且函数()22x bg x x a+=+.①函数()()224f x x a x =+-+在定义域[]1,1b b -+上为偶函数;②函数()()0f x ax b a =+>在[1,2]上的值域为[]2,4.在①,②两个条件中选择一个条件,将上面的题目补充完整,求出a ,b 的值,并解答本题. (1)判断()g x 的奇偶性,并证明你的结论;(2)设()2h x x c =--,对任意的1x ∈R ,总存在[]22,2x ∈-,使得()()12g x h x =成立,求实数c 的取值范围. 27.定义:若函数()y f x =在某一区间D 上任取两个实数12x x 、,且12x x ≠,都有()()121222f x f x x x f ++⎛⎫> ⎪⎝⎭则称函数()y f x =在区间D 上具有性质L .(1)写出一个在其定义域上具有性质L 的对数函数(不要求证明). (2)判断函数1()f x x x=+在区间(0,)+∞上是否具有性质L ?并用所给定义证明你的结论. (3)若函数21()g x ax x=-在区间(0,1)上具有性质L ,求实数a 的取值范围.三、填空题28.函数()ln(4)f x x =+-的定义域是___________. 29.()()log 4a f x ax =-在(]1,3上递减,则a 的范围是_________.30.已知函数211,0()2,0xx f x x x x ⎧⎛⎫-≤⎪ ⎪=⎨⎝⎭⎪-+>⎩,则函数12()log g x f x ⎛⎫= ⎪⎝⎭的单调递增区间为__. 31.已知函数2(12)0()log (1)0a x a x f x x x +-<⎧=⎨+≥⎩,,的值域为R ,则实数a 的范围是_________32.已知函数()log (23)1(>0a f x x a =-+且1)a ≠,且的图象恒过定点P ,则点P 的坐标为_________.33.已知函数()2log 081584,,⎧<≤⎪=⎨-+>⎪⎩x x f x x x ,若a b c ,,互不相等,且()()()f a f b f c ==,则abc 的取值范围是____.34.若0x >和0y >,且111x y+=,则22log log x y +的最小值为___________.四、多选题35.已知函数()f x 和()g x 的零点所构成的集合分别为M ,N ,若存在M α∈和N β∈,使得1αβ-≤,则称()f x 与()g x 互为“零点伴侣”.若函数()1e 2xf x x -=+-与()23g x x ax a =--+互为“零点伴侣”,则实数a的取值不能是( ) A .1B .2C .3D .436.已知函数()()2lg 1f x x ax a =+--,下列结论中正确的是( )A .当0a =时,则()f x 的定义域为()(),11,-∞-⋃+∞B .()f x 一定有最小值C .当0a =时,则()f x 的值域为RD .若()f x 在区间[)2,+∞上单调递增,则实数a 的取值范围是{}4a a ≥-参考答案与解析1.A【分析】根据函数的定义域为(),1-∞可排除B 、D.再由单调性即可选出答案.【详解】当0x =时,则()()20log 10=0f =-,故排除B 、D. 当1x =-时,则()()21log 1110f -=+=>,故A 正确. 故选A.【点睛】本题考查函数的图像,属于基础题.解决本类题型的两种思路:①将初等函数的图像通过平移、伸缩、对称变换选出答案,对学生能力要求较高;②根据选项代入具体的x 值,判断y 的正负号. 2.C【分析】根据对数函数可以解得2a =,4t =再结合中间值法比较大小. 【详解】设()()log 0,1a f x x a a =>≠,由题意可得:1log 38a =-,则2a = ∴log 164a t ==0.1log 40a =<,()40.20,1b =∈和0.141c =>∴a b c << 故选:C . 3.A【分析】利用函数的奇偶性排除选项D ,利用当01x <<时,则()0f x >,排除选项B ,C ,即得解. 【详解】解:∵函数()f x 的定义域为{}0x x ≠,关于原点对称,1()ln f x x xx ⎛⎫-=-+⋅- ⎪⎝⎭1ln ()x x f x x ⎛⎫--⋅=- ⎪=⎝⎭ ∴()f x 为奇函数,排除选项D .当01x <<时,则2110x x x x--=<和ln 0x < ∴()0f x >,排除选项B ,C . 故选:A . 4.A【分析】根据函数图象的对称性、奇偶性、单调性以及特殊点,利用排除法即可求解.【详解】解:根据图象可知,函数关于1x =对称,且当1x =时,则1y =-,故排除B 、D 两项; 当1x >时,则函数图象单调递增,无限接近于0,对于C 项,当1x >时,则12x y -=-单调递减,故排除C项. 故选:A. 5.C【分析】根据指数函数的单调性分类讨论进行求解即可.【详解】当>1a 时,则,1()=,<1x xa a x f x a a x -≥-⎧⎨⎩显然当1x ≥时,则函数单调递增,当<1x 时,则函数单调递减 函数图象的渐近线为=y a ,而>1a ,故AB 不符合; 对于CD ,因为渐近线为=2y ,故=2a ,故=0x 时,则=1y 故选项C 符合,D 不符合;当0<<1a 时,则,<1()=,1x xa a x f x a a x --≥⎧⎨⎩当1x ≥时,则函数单调递增,当<1x 时,则函数单调递减 函数图象的渐近线为=y a ,而0<<1a ,故ABD 不符合; 故选:C 6.B【分析】利用对数函数单调性判断选项A ;利用指数函数单调性判断选项B ;利用幂数函数单调性判断选项C ;利用二次函数单调性判断选项D.【详解】选项A :由21>,可得2()log f x x =为增函数.判断错误; 选项B :由31>,可得3x y =为增函数,则()13x f x =-是减函数.判断正确; 选项C :由12-<,可得12y x -=是减函数,则()f x =为增函数.判断错误;选项D :2()1f x x =-+在(),0∞-上单调递增. 判断错误. 故选:B 7.B【分析】计算可得2a =,再分析()0.5log 0.60,1b =∈,0.3116c a -⎛⎫=> ⎪⎝⎭即可判断【详解】由题意0.542a ==,()()0.50.50.5log 0.6log 1,log 0.50,1b =∈=和0.30.30.2511616216c a -⎛⎫==>== ⎪⎝⎭,故b ac <<故选:B 8.C【分析】根据二次函数和对数函数的单调性,结合分段函数的性质进行求解即可.【详解】二次函数2(43)3y x a x a =+-+的对称轴为:432a x -=-因为二次函数开口向上,所以当0x <时,则该二次函数不可能单调递增 所以函数()f x 是实数集上的减函数则有01432302343log 122a a a a a <<⎧⎪-⎪-≥⇒≤≤⎨⎪≥+=⎪⎩故选:C 9.B【分析】由题设知()()2h x f x x =-在R 上递增,将不等式转化为2(log )(1)h x h <,利用单调性求解集即可. 【详解】由题设12x x <时1122()2()2f x x f x x -<-,即()()2h x f x x =-在R 上递增又(1)(1)21h f =-=-,而()222log 1log f x x +<等价于()22log 2log 1f x x -<-所以2(log )(1)h x h <,即2log 1x <,可得02x <<. 故不等式解集为()0,2. 故选:B 10.C【分析】依题意可得21log 0x +≥,根据对数函数的性质解不等式,即可求出函数的定义域. 【详解】解:依题意可得21log 0x +≥,即221log 1log 2x ≥-=,所以12x ≥ 即函数的定义域为1,2⎡⎫+∞⎪⎢⎣⎭.故选:C 11.B【分析】求出函数2log 2x y x=-的定义域得集合A ,解不等式()22200x mx m m +-<>得m 的范围,根据充分不必要条件的定义可得答案. 【详解】函数2log 2xy x =-有意义的条件为02x x>-,解得02x << 所以{}02A x x =<<,不等式()22200x mx m m +-<>,即()()20x m x m +-<因为0m >,所以2m x m -<<,记不等式()22200x mx m m +-<>的解集为集合B所以A B ⊆,所以220≥⎧⎨-≤⎩m m ,得2m ≥.故选:B . 12.C【分析】根据熟知函数的图象与性质判断函数的单调性.【详解】对于选项A ,()ln f x x =-在(),1-∞-上无意义,不符合题意; 对于选项B ,()11f x x =-+在(),1-∞-上是增函数,不符合题意; 对于选项C ,2234,? 4134,? 14x x x x x x x ⎧--≥≤-⎨-++-<<⎩或的大致图象如图所示中由图可知()f x 在(),1-∞-上是减函数,符合题意;对于选项D ,()21f x x =在(),1-∞-上是增函数,不符合题意. 故选:C. 13.C【分析】根据奇偶性的定义依次判断,并求函数的值域即可得答案. 【详解】对于①,y x =是偶函数,且值域为[)0,∞+; 对于②,3y x =是奇函数,值域为R ; 对于③,2xy =是偶函数,值域为[)1,+∞;对于④,2y x x=+是偶函数,且值域为[)0,∞+所以符合题意的有①④ 故选:C. 14.D【分析】根据函数的单调性可知,若函数存在最小值,则最小值是()21f =,则根据指数函数的性质,列式求实数a 的取值范围.【详解】2x <时,则()2,4xa a a -∈--,2x ≥时,则2log 1x ≥若要使得()f x 存在最小值,只需要2log 2a -≥,即1a ≤-. 故选:D. 15.A【分析】法一:根据指对互化以及对数函数的单调性即可知9log 101m =>,再利用基本不等式,换底公式可得lg11m >,8log 9m >,然后由指数函数的单调性即可解出. 【详解】[方法一]:(指对数函数性质)由910m=可得9lg10log 101lg 9m ==>,而()222lg9lg11lg99lg9lg111lg1022+⎛⎫⎛⎫<=<= ⎪ ⎪⎝⎭⎝⎭,所以lg10lg11lg 9lg10>,即lg11m >,所以lg11101110110m a =->-=.又()222lg8lg10lg80lg8lg10lg922+⎛⎫⎛⎫<=< ⎪ ⎪⎝⎭⎝⎭,所以lg9lg10lg8lg9>,即8log 9m > 所以8log 989890m b =-<-=.综上,0a b >>. [方法二]:【最优解】(构造函数) 由910m =,可得9log 10(1,1.5)m =∈.根据,a b 的形式构造函数()1(1)m f x x x x =--> ,则1()1m f x mx -'=- 令()0f x '=,解得110m x m -= ,由9log 10(1,1.5)m =∈ 知0(0,1)x ∈ .()f x 在 (1,)+∞ 上单调递增,所以(10)(8)f f > ,即 a b >又因为9log 10(9)9100f =-= ,所以0a b >> .故选:A.【整体点评】法一:通过基本不等式和换底公式以及对数函数的单调性比较,方法直接常用,属于通性通法;法二:利用,a b 的形式构造函数()1(1)mf x x x x =-->,根据函数的单调性得出大小关系,简单明了,是该题的最优解.16.A【分析】根据一元二次不等式的求解得{}11B x x =-≤≤,根据集合的交运算即可求解. 【详解】因为{}1,0,1,2A =-和{}11B x x =-≤≤,所以{}1,0,1A B =-故选:A . 17.B【分析】由对数的运算性质可得ab =1,讨论a ,b 的范围,结合指数函数和对数函数的图像的单调性,即可得到答案.【详解】22log log 0a b +=,即为2log 0ab =,即有ab =1. 当a >1时,则0<b <1函数()1()xf x a=与()log b g x x =均为减函数,四个图像均不满足当0<a <1时,则b >1函数数()1()xf x a=与()log b g x x =均为增函数,排除ACD在同一坐标系中的图像可能是B 故选:B . 18.B【分析】结合指数函数,对数函数的单调性,以及临界值0和1,判断即可 【详解】由题意201313a -<==,故(0,1)a ∈ 1130312212b -⎛⎫==>= ⎪⎝⎭2231log log 10c =<= 故c a b << 故选:B 19.B【分析】转化为函数23y x ax a =-+在[)2,+∞上单调递增,且230x ax a -+>在[)2,+∞上恒成立,再根据二次函数的单调性以及不等式恒成立列式可求出结果. 【详解】因为函数212()log (3)f x x ax a =-+在[)2,+∞上单调递减所以函数23y x ax a =-+在[)2,+∞上单调递增,且230x ax a -+>在[)2,+∞上恒成立 所以2222230a a a ⎧≤⎪⎨⎪-+>⎩,解得44a -<≤.故选:B 20.A【分析】先求出函定义域,再通过换元法利用复合函数“同增异减”的性质得到结果【详解】由220x x ->,得02x <<令22t x x =-,则2log y t=22t x x =-在(0,1)上递增,在(1,2)上递减因为2log y t=在定义域内为增函数所以22log (2)y x x =-的单调递减区间为(1,2)故选:A 21.A【分析】由()f x 是R 上的奇函数求出a 值,并求出0x <时,则函数()f x 的解析式,再分段讨论解不等式作答.【详解】因函数()f x 是定义在R 上的奇函数,且当0x ≥时,则()4322x xf x a =-⨯+则()0004322220f a a =-⨯+=-=,解得1a =,即当0x ≥时,则()4322x xf x =-⨯+当0x <时,则0x ->,则()()(4322)x x f x f x --=--=--⨯+而当0x ≥时,则()2311(2)244xf x =--≥-,则当()6f x ≤-时,则0(4322)6x xx --<⎧⎨--⨯+≤-⎩,即0(24)(21)0x xx --<⎧⎨-+≥⎩变形得024x x -<⎧⎨≥⎩,解得2x -≤所以不等式()6f x ≤-的解集为(,2]-∞-. 故选:A22.(1)1122log 3log π>.(2)45log 3log 3>.(3)52log 2log 5<. 【分析】(1)根据12()log f x x=,在定义域内是减函数,即可比较二者大小;(2)根据3log y x =,在定义域内是增函数,可得330log 4log 5<<,故3311log 4log 5>,即可比较二者大小; (3)根据5log 21<,2log 51>即可比较二者大小. 【详解】(1)设12()log f x x =.3π<且()f x 是减函数 ∴(3)()f f π>即1122log 3log π>.(2)3log y x =是增函数∴330log 4log 5<<. ∴3311log 4log 5> 即45log 3log 3>. (3)55log 2log 51<=且22log 5log 21>=∴52log 2log 5<.【点睛】本题主要考查了比较对数的大小,解题关键是掌握对数的单调性和对数的运算性质,考查了分析能力和计算能力,属于基础题. 23.(1)1a =,定义域为()1,+∞ (2){112}x x <+∣【分析】(1)直接将()3,3ln 2代入函数解析式,即可求出参数a 的值,从而求出函数解析式,再根据对数的真数大于零得到不等式组,解得即可;(2)依题意可得()()2ln 1ln 2x x -,再根据对数函数的单调性,将函数不等式转化为自变量的不等式,解得即可; (1)解:由题意可得()()ln 31ln 313ln2a ++-=,即()ln 312ln2a +=,所以314a += 解得1a =则()()()ln 1ln 1f x x x =++-.由1010x x +>⎧⎨->⎩,解得1x >.所以()f x 的定义域为()1,+∞. (2)解:由(1)可得()()()()2ln 1ln 1ln 1,1f x x x x x =++-=->不等式()()ln 2f x x 可化为()()2ln 1ln 2x x -因为ln y x =在()0,+∞上是增函数所以20121x xx ⎧<-⎨>⎩ 解得112x <+.故不等式()()ln 2f x x 的解集为{}|112x x <+. 24.(1)(],0-∞(2)存在 m =【分析】(1)利用分离参数法得到()9log 91x a x <+-对于任意x 恒成立,令()()9log 91xh x x =+-,利用对数的图像与性质即可求得;(2)先整理得到()9232x xg x m =+⋅+令3x t =, t ⎡∈⎣研究函数()()222222p t t mt t m m =++=++-,t ⎡∈⎣根据二次函数的单调性对m 进行分类讨论,即可求出m . (1)由题意可知,()()20f x x a -+>对于任意x 恒成立代入可得()9log 910x x a +-->所以()9log 91xa x <+-对于任意x 恒成立令()()()99999911log 91log 91log 9log log 199x xxxx xh x x +⎛⎫=+-=+-==+ ⎪⎝⎭因为1119x +>,所以由对数的图像与性质可得:91log 109x⎛⎫+> ⎪⎝⎭,所以0a ≤. 即实数a 的范围为(],0-∞. (2) 由()()9231f x xx g x m -=+⋅+,[]90,log 8x ∈且()()9log 91x f x x =++代入化简可得()9232x xg x m =+⋅+.令3x t =,因为[]90,log 8x ∈,所以t ⎡∈⎣则()()222222p t t mt t m m =++=++- t ⎡∈⎣①当1m -≤,即1m ≥-时,则()p t 在⎡⎣上为增函数所以()()min 1230p t p m ==+=,解得32m =-,不合题意,舍去②当1m <-<1m -<-时,则()p t 在[]1,m -上为减函数,()p t 在m ⎡-⎣上为增函数所以()()2min 20p t p m m =-=-=,解得m =m =③当m ≤-,即m ≤-()p t 在⎡⎣上为减函数所以()(min 100p t p ==+=解得m =综上可知m =【点睛】二次函数中“轴动区间定”或“轴定区间动”类问题,分类讨论的标准是函数在区间里的单调性. 25.(1)答案见解析 (2)1,4⎛⎫-∞- ⎪⎝⎭【分析】(1)根据复合函数的性质即可得到()h x 的值域;(2)令()()1ln F x x x =-,求出其最小值,则问题转化为1142x x a <-恒成立,进而求1142x xy =-最小值即可.(1)选择①,()()2ln 1h x x =-令21t x =-,则()0,t ∈+∞,故函数ln y t =的值域为R ,即()h x 的值域为R .选择②,()()2ln 1h x x =+,令21t x =+,则[)1,t ∈+∞因为函数ln y t =单调递增,所以0y ≥,即()h x 的值域为[)0,∞+. (2)令()()1ln F x x x =-.令12x m =,则()0,m ∈+∞,所以112211142244x x m m m ⎛⎫-=-=--≥- ⎪⎝⎭故14a <-,即a 的取值范围为1,4⎛⎫-∞- ⎪⎝⎭.26.(1)选择条件见解析,a =2,b =0;()g x 为奇函数,证明见解析; (2)77,88⎡-⎤⎢⎥⎣⎦.【分析】(1)若选择①,利用偶函数的性质求出参数,a b ; 若选择②,利用单调性得到关于,a b 的方程,求解即可;将,a b 的值代入到()g x 的解析式中再根据定义判断函数的奇偶性; (2)将题中条件转化为“()g x 的值域是()f x 的值域的子集”即可求解. (1) 选择①.由()()224f x x a x =+-+在[]1,1b b -+上是偶函数得20a -=,且()()110b b -++=,所以a =2,b =0. 所以()222xg x x =+.选择②.当0a >时,则()f x ax b =+在[]1,2上单调递增,则224a b a b +=⎧⎨+=⎩,解得20a b =⎧⎨=⎩ 所以()222xg x x =+.()g x 为奇函数.证明如下:()g x 的定义域为R . 因为()()222xg x g x x --==-+,所以()g x 为奇函数.(2) 当0x >时,则()122g x x x=+,因为224x x +≥,当且仅当22x x =,即x =1时等号成立,所以()104g x <≤; 当0x <时,则因为()g x 为奇函数,所以()104g x -≤<;当x =0时,则()00g =,所以()g x 的值域为11,44⎡⎤-⎢⎥⎣⎦.因为()2h x x c =--在[]22-,上单调递减,所以函数()h x 的值域是[]22,22c c ---. 因为对任意的1x R ∈,总存在[]22,2x ∈-,使得()()12g x h x =成立 所以[]11,22,2244c c ⎡⎤-⊆---⎢⎥⎣⎦,所以12241224c c ⎧--≤-⎪⎪⎨⎪-≥⎪⎩,解得7788c -≤≤. 所以实数c 的取值范围是77,88⎡-⎤⎢⎥⎣⎦.27.(1)12log y x =;(2)函数1()f x x x =+在区间(0,)+∞上具有性质L ;答案见解析;(3)(,1]-∞.【分析】(1)由于底数在(0,1)上的对数函数满足题意,故可得答案; (2)任取12,(0,)x x ∈+∞,且12x x ≠,对()()122f x f x +与122x x f +⎛⎫ ⎪⎝⎭作差化简为因式乘积形式,判断出与零的大小,可得结论; (3)函数21()g x ax x =-在区间(0,1)上具有性质L ,即()()1212022g x g x x x g ++⎛⎫-> ⎪⎝⎭恒成立,参变分离求出最值,可得参数的范围. 【详解】(1)如12log y x=(或底在(0,1)上的对数函数);(2)函数1()f x x x=+在区间(0,)+∞上具有性质L .证明:任取12,(0,)x x ∈+∞,且12x x ≠()()12121212121211122222f x f x x x x x f x x x x x x +⎛⎫⎛⎫++⎛⎫-=+++-+ ⎪ ⎪ ⎪+⎝⎭⎝⎭⎝⎭()()()()2212121212121212121241112222x x x x x x x x x x x x x x x x x x +--⎛⎫=+-== ⎪+++⎝⎭ 因为12,(0,)x x ∈+∞且12x x ≠所以()()21212120,20x x x x x x ->⋅+>,即()()1212022f x f x x x f ++⎛⎫-> ⎪⎝⎭. 所以函数1()f x x x=+在区间(0,)+∞上具有性质L . (3)任取12,(0,1)x x ∈,且12x x ≠,则()()21222121212121211122222g x g x x x x x g ax ax a x x x x ⎡⎤+⎛⎫++⎛⎫⎛⎫-=-+---⎢⎥ ⎪ ⎪ ⎪+⎝⎭⎝⎭⎢⎥⎝⎭⎣⎦()()()()()()2221212121212121212122244ax x x x x x x x a x x x x x x x x x x -+⎡⎤--⎣⎦=-⋅=-++ 因为12,(0,1)x x ∈且12x x ≠,所以()()21212120,40x x x x x x ->⋅+> 要使上式大于零,必须()121220a x x x x -⋅⋅+>在12,(0,1)x x ∈上恒成立 即()12122a x x x x <+()212124x x x x +< ()()()()231212*********8x x x x x x x x x x +∴++>=+ 令()()3120,8x x t +=∈,则38y t =在()0,1上单调递减,即()()()()2331212121212228148x x x x t x x x x x x ∴>=++=>++ 所以1a ≤,即实数a 的取值范围为(,1]-∞.【点睛】关键点点睛:本题考查函数新概念,考查不等式的恒成立问题,解决本题的关键点是将函数21()g x ax x =-在区间(0,1)上具有性质L ,即()()1212022g x g x x x g ++⎛⎫-> ⎪⎝⎭恒成立,参变分离后转化为求最值问题,并借助于基本不等式和幂函数的单调性得出参数的范围,考查学生逻辑思维能力和计算能力,属于中档题. 28.(3,4)【分析】由对数的真数大于零,同时二次根式在分母,则其被开方数大于零,从而可求出定义域【详解】由题意可得260,40,x x ->⎧⎨->⎩解得34x <<,即()f x 的定义域是(3,4).故答案为:(3,4) 29.413a <<【分析】使复合函数()()log 4a f x ax =-在(]1,3上递减,需内增外减或外增内减,讨论a 求解即可 【详解】由题可得,根据对数的定义,0a >且1a ≠,所以4y ax =-是减函数,根据复合函数单调性的“同增异减”特点,得到1430a a >⎧⎨->⎩,所以413a <<.故答案为:413a <<30.2⎛ ⎝⎭[1,)+∞ 【分析】先根据题意求出()g x 的解析式,然后在每一段上求出函数的增区间即可 【详解】由12log 0x ≤,得1≥x ,由12log 0x >,得01x <<所以当1≥x 时,则12log 1()112xg x x ⎛⎫=-=- ⎪⎝⎭,则()g x 在[1,)+∞上递增当01x <<时,则21122()loglog g x x x =-+则121212log 11()2log 111lnlnln222x g x x x x x -'=-⋅+=由()0g x '>,得1212log 0x -<,解得0x <<所以()g x在⎛ ⎝⎭上递增 综上得函数()g x的单调递增区间为⎛ ⎝⎭ [1,)+∞故答案为:⎛ ⎝⎭,[1,)+∞ 31.1(,0]2-【分析】先求出分段函数中确定的一段的值域,然后分析另一段的值域应该有哪些元素.【详解】当0x ≥时,则2()log 0f x x =≥,因此当0x <时,则()(12)f x a x a =+-的取值范围应包含(,0)-∞ ∴1200a a +>⎧⎨-≥⎩,解得102-<≤a . 故答案为1(,0]2-. 【点睛】本题考查分段函数的值域问题,解题时注意分段讨论.32.()2,1【解析】根据对数函数的性质求解.【详解】令231x -=,则2x =,(2)1f =即()f x 图象过定点(2,1).故答案为:(2,1)33.()820,【分析】利用函数图像,数形结合进行分析.【详解】不妨设a b c <<,画出函数()f x 图像:()()()f a f b f c ==221log log 54a b c ∴==-+- ()2log 0ab ∴= 10534c <-+< 解得1ab = 820c <<820abc ∴<<.故答案为:()820,34.2【分析】由均值不等式求出xy 的最小值,再由对数的运算及性质即可求解.【详解】因为0x >,0y >且111x y+=所以111x y ≥+=4xy ≥,当且仅当11x y =,即2x y ==时等号成立 即xy 的最小值为4所以2222log log log log 42x y xy +=≥=故答案为:235.AD【分析】首先确定函数()f x 的零点,然后结合新定义的知识得到关于a 的等式,分离参数,结合函数的单调性确定实数a 的取值范围即可.【详解】因为函数()1e 2x f x x -=+-是R 上的增函数,且()10f =,所以1α=,结合“零点伴侣”的定义得11β-≤,则02β≤≤又函数()23g x x ax a =--+在区间[]0,2上存在零点,即方程230x ax a --+=在区间[]0,2上存在实数根 整理得2232122411x x x x a x x +++--+==++()4121x x =++-+ 令()()4121h x x x =++-+,[]0,2x ∈所以()h x 在区间[]0,1上单调递减,在[]1,2上单调递增 又()03h =,()723h =和()12h =,所以函数()h x 的值域为[]2,3 所以实数a 的取值范围是[]2,3.故选:AD .36.AC【分析】A 项代入参数,根据对数型函数定义域求法进行求解;B 项为最值问题,问一定举出反例即可;C 项代入参数值即可求出函数的值域;D 项为已知单调性求参数范围,根据二次函数单调性结合对数函数定义域求解即可.【详解】对于A ,当0a =时,则()()2lg 1f x x =-,令210x ->,解得1x <-或1x >,则()f x 的定义域为()(),11,-∞-⋃+∞,故A 正确;对于B 、C ,当0a =时,则()()2lg 1f x x =-的值域为R ,无最小值,故B 错误,C 正确;对于D ,若()f x 在区间[)2,+∞上单调递增,则21y x ax a =+--在[)2,+∞上单调递增,且当2x =时,则0y >则224210aa a⎧-≤⎪⎨⎪+-->⎩,解得3a>-,故D错误.故选:AC.。
课时分层作业(二十) 对数函数及其性质的应用(建议用时:40分钟)[学业达标练]一、选择题1.若lg(2x -4)≤1,则x 的取值X 围是( ) A .(-∞,7] B .(2,7] C .[7,+∞)D .(2,+∞)B [由lg(2x -4)≤1,得0<2x -4≤10, 即2<x ≤7,故选B.]2.函数f (x )=|log 12x |的单调递增区间是( )【导学号:37102301】A.⎝ ⎛⎦⎥⎤0,12 B .(0,1] C .(0,+∞)D .[1,+∞)D [f (x )的图象如图所示,由图象可知单调递增区间为[1,+∞).]3.已知log a 13>log b 13>0,则下列关系正确的是( )A .0<b <a <1B .0<a <b <1C .1<b <aD .1<a <bA [由log a 13>0,log b 13>0,可知a ,b ∈(0,1),又log a 13>log b 13,作出图象如图所示,结合图象易知a >b ,∴0<b <a <1.]4.若a =20.2,b =log 4(3.2),c =log 2(0.5),则( )【导学号:37102302】A .a >b >cB .b >a >cC .c >a >bD .b >c >aA [∵a =20.2>1>b =log 4(3.2)>0>c =log 2(0.5),∴a >b >c . 故选A.]5.若函数f (x )=a x+log a (x +1)在[0,1]上的最大值和最小值之和为a ,则a 的值为( ) A.14 B.12C .2D .4 B [当a >1时,a +log a 2+1=a ,log a 2=-1,a =12(舍去).当0<a <1时,1+a +log a 2=a , ∴log a 2=-1,a =12.]二、填空题6.函数y =log 0.4(-x 2+3x +4)的值域是________.【导学号:37102303】[-2,+∞) [-x 2+3x +4=-⎝ ⎛⎭⎪⎫x -322+254≤254,∴有0<-x 2+3x +4≤254,所以根据对数函数y =log 0.4x 的图象即可得到: log 0.4(-x 2+3x +4)≥log 0.4254=-2, ∴原函数的值域为[-2,+∞).]7.若log a 23<1,则a 的取值X 围是________.⎝ ⎛⎭⎪⎫0,23∪(1,+∞) [原不等式⇔⎩⎪⎨⎪⎧ 0<a <1,23>a 或⎩⎪⎨⎪⎧a >1,23<a ,解得0<a <23或a >1,故a 的取值X 围为⎝ ⎛⎭⎪⎫0,23∪(1,+∞).]8.若y =log a (ax +3)(a >0且a ≠1)在区间(-1,+∞)上是增函数,则a 的取值X 围是________.【导学号:37102304】(1,3] [因为y =log a (ax +3)(a >0且a ≠1)在区间(-1,+∞)上是增函数, 所以⎩⎪⎨⎪⎧-a +3≥0,a >1,a >0且a ≠1,解得1<a ≤3.故a 的取值X 围是(1,3].] 三、解答题9.已知函数y =(log 2x -2)⎝⎛⎭⎪⎫log 4x -12,2≤x ≤8.(1)令t =log 2x ,求y 关于t 的函数关系式,并写出t 的X 围; (2)求该函数的值域.[解] (1)y =12(t -2)(t -1)=12t 2-32t +1,又2≤x ≤8,∴1=log 22≤log 2x ≤log 28=3,即1≤t ≤3. (2)由(1)得y =12⎝ ⎛⎭⎪⎫t -322-18,1≤t ≤3,当t =32时,y min =-18;当t =3时,y max =1,∴-18≤y ≤1,即函数的值域为⎣⎢⎡⎦⎥⎤-18,1. 10.已知函数f (x )=ln(3+x )+ln(3-x ). (1)求函数y =f (x )的定义域; (2)判断函数y =f (x )的奇偶性;(3)若f (2m -1)<f (m ),求m 的取值X 围.【导学号:37102305】[解] (1)要使函数有意义,则⎩⎪⎨⎪⎧3+x >0,3-x >0,解得-3<x <3,故函数y =f (x )的定义域为(-3,3).(2)由(1)可知,函数y =f (x )的定义域为(-3,3),关于原点对称. 对任意x ∈(-3,3),则-x ∈(-3,3). ∵f (-x )=ln(3-x )+ln(3+x )=f (x ), ∴由函数奇偶性可知,函数y =f (x )为偶函数. (3)∵函数f (x )=ln(3+x )+ln(3-x )=ln(9-x 2),由复合函数单调性判断法则知,当0≤x <3时,函数y =f (x )为减函数. 又函数y =f (x )为偶函数,∴不等式f (2m -1)<f (m ),等价于|m |<|2m -1|<3, 解得-1<m <13或1<m <2.[冲A 挑战练]1.函数f (x )=lg ⎝⎛⎭⎪⎫1x 2+1+x 是( ) A .奇函数 B .偶函数 C .既奇又偶函数D .非奇非偶函数A [f (x )定义域为R ,f (-x )+f (x )=lg ⎝ ⎛⎭⎪⎫1x 2+1-x +lg ⎝ ⎛⎭⎪⎫1x 2+1+x =lg 1x 2+1-x 2=lg 1=0,∴f (x )为奇函数,故选A.]2.当0<x ≤12时,4x<log a x ,则a 的取值X 围是( )【导学号:37102306】A .(2,2)B .(1,2)C.⎝⎛⎭⎪⎫22,1D.⎝⎛⎭⎪⎫0,22C [当0<x ≤12时,函数y =4x 的图象如图所示,若不等式4x<log a x 恒成立,则y =log a x 的图象恒在y =4x 的图象的上方(如图中虚线所示),∵y =log a x 的图象与y =4x的图象交于⎝ ⎛⎭⎪⎫12,2点时,a =22,故虚线所示的y =log a x 的图象对应的底数a 应满足22<a <1,故选C.]3.函数f (x )=log 2x ·log2(2x )的最小值为________.-14 [f (x )=log 2x ·log 2(2x )=12log 2x ·2log 2(2x )=log 2x (1+log 2x ).设t =log 2x (t ∈R ),则原函数可以化为y =t (t +1)=⎝ ⎛⎭⎪⎫t +122-14(t ∈R ),故该函数的最小值为-14.故f (x )的最小值为-14.] 4.(2018·全国卷Ⅲ)已知函数f (x )=ln(1+x 2-x )+1,f (a )=4,则f (-a )=________. -2 [由f (a )=ln(1+a 2-a )+1=4,得ln(1+a 2-a )=3,所以f (-a )=ln(1+a 2+a )+1=-ln11+a 2+a+1=-ln(1+a 2-a )+1=-3+1=-2.]5.已知函数f (x )=log a (1-x )+log a (x +3),其中0<a <1. (1)求函数f (x )的定义域;(2)若函数f (x )的最小值为-4,求a 的值.[解] (1)要使函数有意义,则有⎩⎪⎨⎪⎧1-x >0,x +3>0,解得-3<x <1,所以函数的定义域为(-3,1).(2)函数可化为f (x )=log a (1-x )(x +3)=log a (-x 2-2x +3)=log a [-(x +1)2+4],因为-3<x <1,所以0<-(x +1)2+4≤4.因为0<a <1,所以log a [-(x +1)2+4]≥log a 4,即f (x )min =log a 4,由log a 4=-4,得a -4=4,所以a =4-14=22.。
2.2.2 对数函数及其性质课后篇巩固提升基础巩固1.y=2x与y=log2x的图象关于( )A.x轴对称B.直线y=x对称C.原点对称D.y轴对称y=2x与y=log2x互为反函数,故函数图象关于直线y=x对称.2.函数y=ln(1-x)的图象大致为( )(-∞,1),且函数在定义域上单调递减,故选C.3.已知函数y=log a(x+c)(a,c为常数,且a>0,a≠1)的图象如图所示,则下列结论成立的是( )A.a>1,c>1B.a>1,0<c<1C.0<a<1,c>1D.0<a<1,0<c<1y=log a (x+c )的图象是由y=log a x 的图象向左平移c 个单位长度得到的,结合题图知0<c<1.根据单调性易知0<a<1.4.已知a>0且a ≠1,函数y=log a x ,y=a x ,y=x+a 在同一坐标系中的图象可能是( )函数y=a x 与y=log a x 的图象关于直线y=x 对称,再由函数y=a x 的图象过(0,1),y=log a x 的图象过(1,0),观察图象知,只有C 正确.5.已知a=,b=log 2,c=lo ,则( )2-1313g 1213A.a>b>cB.a>c>bC.c>b>aD.c>a>b0<a=<20=1,b=log 2<log 21=0,c=lo >lo =1,∴c>a>b.故选D .2-1313g 1213g 12126.若对数函数f (x )的图象经过点P (8,3),则f = .(12)f (x )=log a x (a>0,a ≠1),则log a 8=3,∴a 3=8,∴a=2.∴f (x )=log 2x ,故f =log 2=-1.(12)1217.将y=2x 的图象先 ,再作关于直线y=x 对称的图象,可得到函数y=log 2(x+1)的图象( )A.先向上平移一个单位长度B.先向右平移一个单位长度C.先向左平移一个单位长度D.先向下平移一个单位长度,可求出解析式或利用几何图形直观推断.8.已知函数f (x )=直线y=a 与函数f (x )的图象恒有两个不同的交点,则a 的取值范围{log 2x ,x >0,3x ,x ≤0,是 .f (x )的图象如图所示,要使直线y=a 与f (x )的图象有两个不同的交点,则0<a ≤1.9.作出函数y=|log 2x|+2的图象,并根据图象写出函数的单调区间及值域.y=log 2x 的图象,如图甲.再将y=log 2x 在x 轴下方的图象关于x 轴对称翻折到x 轴上方(原来在x 轴上方的图象不变),得函数y=|log 2x|的图象,如图乙;然后将y=|log 2x|的图象向上平移2个单位长度,得函数y=|log 2x|+2的图象,如图丙.由图丙得函数y=|log 2x|+2的单调递增区间是[1,+∞),单调递减区间是(0,1),值域是[2,+∞).10.已知对数函数y=f(x)的图象经过点P(9,2).(1)求y=f(x)的解析式;(2)若x∈(0,1),求f(x)的取值范围.(3)若函数y=g(x)的图象与函数y=f(x)的图象关于x轴对称,求y=g(x)的解析式.设f(x)=log a x(a>0,且a≠1).由题意,f(9)=log a9=2,故a2=9,解得a=3或a=-3.又因为a>0,所以a=3.故f(x)=log3x.(2)因为3>1,所以当x∈(0,1)时,f(x)<0,即f(x)的取值范围为(-∞,0).g1(3)因为函数y=g(x)的图象与函数y=log3x的图象关于x轴对称,所以g(x)=lo x.3能力提升1.函数y=log a(x+2)+1(a>0,且a≠1)的图象过定点( )A.(1,2)B.(2,1)C.(-2,1)D.(-1,1)x+2=1,得x=-1,此时y=1.2.若函数f (x )=log 2x 的反函数为y=g (x ),且g (a )=,则a=( )14A.2 B.-2 C. D.-1212,得g (x )=2x .∵g (a )=,∴2a =,∴a=-2.14143.若函数f (x )=log 2(x 2-ax-3a )在区间(-∞,-2]上是减函数,则实数a 的取值范围是( )A.(-∞,4)B.(-4,4]C.(-∞,4)∪[2,+∞)D.[-4,4)t (x )=x 2-ax-3a ,则由函数f (x )=log 2t 在区间(-∞,-2]上是减函数,可得函数t (x )在区间(-∞,-2]上是减函数,且t (-2)>0,所以有-4≤a<4,故选D .4.已知函数f (x )=a x +log a (x+1)在[0,1]上的最大值与最小值之和为a ,则a 的值等于( )A. B.2 C.3D.1213y=a x 与y=log a (x+1)在[0,1]上的单调性相同,所以f (x )在[0,1]上的最大值与最小值之和为f (0)+f (1)=(a 0+log a 1)+(a 1+log a 2)=a ,整理得1+a+log a 2=a ,即log a 2=-1,解得a=.故选A .125.已知a=log 23.6,b=log 43.2,c=log 43.6,则a ,b ,c 的大小关系为 .a==2log 43.6=log 43.62,又函数y=log 4x 在区间(0,+∞)上是增函数,3.62>3.6>3.2,log 43.6log 42∴log 43.62>log 43.6>log 43.2,∴a>c>b.6.已知a>0且a ≠1,则函数y=a x 与y=log a (-x )在同一直角坐标系中的图象只能是下图中的 (填序号).方法一)首先,曲线y=a x 位于x 轴上方,y=log a (-x )位于y 轴左侧,从而排除①③.其次,从单调性考虑,y=a x 与y=log a (-x )的增减性正好相反,又可排除④.故只有②满足条件.(方法二)若0<a<1,则曲线y=a x 下降且过点(0,1),而曲线y=log a (-x )上升且过点(-1,0),所有选项均不符合这些条件.若a>1,则曲线y=a x 上升且过点(0,1),而曲线y=log a (-x )下降且过点(-1,0),只有②满足条件.(方法三)如果注意到y=log a (-x )的图象关于y 轴的对称图象为y=log a x 的图象,又y=log a x 与y=a x 互为反函数(两者图象关于直线y=x 对称),则可直接选②.7.已知函数f (x )是定义在R 上的奇函数,若当x ∈(0,+∞)时,f (x )=lg x ,则满足f (x )>0的x 的取值范围是 .f (x )的解析式为f (x )=其图象如右图所示.{lg x ,x >0,0,x =0,-lg (-x ),x <0,由函数图象可得不等式f (x )>0时,x 的取值范围为(-1,0)∪(1,+∞).-1,0)∪(1,+∞)8.设函数f (x )=ln(ax 2+2x+a )的定义域为M.(1)若1∉M ,2∈M ,求实数a 的取值范围;(2)若M=R ,求实数a 的取值范围.由题意M={x|ax 2+2x+a>0}.由1∉M ,2∈M 可得{a ×12+2×1+a ≤0,a ×22+2×2+a >0,化简得解得-<a ≤-1.{2a +2≤0,5a +4>0,45所以a 的取值范围为.(-45,-1](2)由M=R 可得ax 2+2x+a>0恒成立.当a=0时,不等式可化为2x>0,解得x>0,显然不合题意;当a ≠0时,由二次函数的图象可知Δ=22-4×a×a<0,且a>0,即化简得解得a>1.{4-4a 2<0,a >0,{a 2>1,a >0,所以a 的取值范围为(1,+∞).9.已知函数f (x )=log 2(a 为常数)是奇函数.1+ax x -1(1)求a 的值与函数f (x )的定义域;(2)若当x ∈(1,+∞)时,f (x )+log 2(x-1)>m 恒成立,求实数m 的取值范围.∵函数f (x )=log 2是奇函数,1+axx -1∴f (-x )=-f (x ).∴log 2=-log 2.1-ax -x -11+ax x -1即log 2=log 2,∴a=1.ax -1x +1x -11+ax 令>0,解得x<-1或x>1.1+x x -1所以函数的定义域为{x|x<-1或x>1}.(2)f (x )+log 2(x-1)=log 2(1+x ),当x>1时,x+1>2,∴log 2(1+x )>log 22=1.∵x ∈(1,+∞),f (x )+log 2(x-1)>m 恒成立,∴m ≤1.故m 的取值范围是(-∞,1].。
对数函数及其性质(习题)1.在f (x) = log( a-2)(5 -a) 中,实数a 的取值范围是()A.(-∞,2)∪(5,+∞)B.(2,3)∪(3,5)C.(2,5) D.(3,4)2.若f (x) =1log1(2x +1)2,则f (x)的定义域为()A.(-1,0) 2C.(-1,+∞)2B.(-1,0]2D.(0,+∞)3.已知函数f (ln x) 的定义域为(0,e),则函数f (2x) 的定义域为()A.(0,e) B.(0,log2e)C.(-∞,0) D.(0,+∞)4.已知函数f (x) = 2 log1x 的值域为[-1,1],则函数f (x) 的定义2域为()A.[2,2]2B.[-1,1]C.[1,2]2D.(-∞,2] [2,+∞)25.若函数f (x) = loga(x +b) (a>0,且a≠1)的图象经过点(-1,0)和点(0,1),则()A. a = 2 ,b =B. a = 2 ,b = 2C.a=2,b=1 D.a=2,b=212a6.若函数f (x) = loga2x +1(a>0,且a≠1)的图象恒过定点P,x -1则点P 的坐标为()A.(1,0) B.(-2,0) C.(2,0) D.(-1,0)7.当a>1 时,在同一坐标系中,函数y =a-x 与y = log x 的图象大致是()A.B.C.D.8. 若函数f(x)=ka x-a-x(a>0,a≠1)在(-∞,+∞)上既是奇函数又是增函数,则g(x) = loga(x +k )的图象是()A.B.C.D.9.函数f (x) = lg | x | 为()A.奇函数,在区间(0,+∞)上是减函数B.奇函数,在区间(0,+∞)上是增函数C.偶函数,在区间(-∞,0)上是增函数D.偶函数,在区间(-∞,0)上是减函数10.1.2A.(-∞,+∞)C.(-∞,2)B.(-∞,-2)D.(-∞,-2)∪(2,+∞)2函数f (x) = log1x + 2 的单调递增区间为()1 4 a 11. 已知a = log 3 6 , b = log 5 10 , c = log 7 14 ,则() A . c > b > aB . b > c > aC . a > c > bD .a > b > c12. 设小关系是(),则这四个数的大A . C .B .D .13. 已知函数 f (x ) = lg 1- x ,若 f (a ) = 1,则 f (-a ) =.1+ x 2⎧e x -1( x ≤1)14. 已知函数 f (x ) = ⎨⎩ln x ,则 f (ln 2) 的值为 .(x >1) ⎧⎪log 1x ( x ≥ 1) 15. 函数 f (x ) = ⎨ 2 ⎪⎩2x 的值域是.( x < 1)16.已知a = log 2 , b = 20.6 , c = log 3 ,则 a ,b ,c 的大小关系3为 .17.已知函数 f (x ) = log 2(xa > 0,且a ≠ 1)在 R 上单调递减,则 实数 a 的取值范围是 .18. 设函数 f (x ) 是定义在 R 上的奇函数,若当 x ∈(0 ,+ ∞) 时, f (x ) = lg x ,求满足 f (x ) > 0 的 x 的取值范围.3【参考答案】1. B2. A3. C4. A5. D6. B7. A8. C9. D10.B11.D12.D13. -1 214. 115. (-∞,2)16. a <c <b17. (0 ,1)18. (-1,0) (1,+∞)4。
对数函数及其性质题型及解析1.给出下列函数:①y=logx 2;②y=log 3(x ﹣1);③y=log x+1x ;④y=log πx ;⑤y=log x 2;⑥y=log 8x ;⑦y=lnx ;⑧y=log x (x+2);⑨y=2log 4x ;⑩y=log 2(x+1),其中是对数函数的为___________分析:根据对数函数的定义,y=log a x (a >0,且a ≠1),逐一分析给定函数是否为指数函数,可得结论 解:①y=232log x 的真数为x 2,故不是对数函数;②y=log 3(x-1)的真数为x-1,故不是对数函数;③y=log x+1x的底数为x+1,故不是对数函数;④y=log πx 是对数函数;⑤y=log x 2不是对数函数;⑥y=log 8x 是对数函数;⑦y=lnx 是对数函数;⑧y=log x (x+2)不是对数函数;⑨y=2log 4x 不是对数函数;⑩y=log 2(x+1)不是对数函数2.求下列函数的定义域 (1)y=log a (4﹣x ) (2)y=log a x 2(3)y=log a [log a (log a x )] 分析:根据对数函数的真数大于0,列出不等式,求出对应函数的定义域即可. 解:(1)∵函数y=log a (4﹣x ),∴4﹣x >0,解得x <4,∴函数y 的定义域为(﹣∞,4);(2)∵函数y=log a x 2,∴x 2>0,解得x ≠0,∴函数y=log a x 2的定义域为{x|x ≠0}.(3)∵log a (log a x )>0,log a x >0,当a >1时,x >a ,当0<a <1时,a <x <1,∴a 为(a ,+∞)∪(a ,1) 3.比较下列各组数中值的大小.(1)log 23.4,og 28.5;(2)log 0.31.8,log 0.32.7;(3)log a 5.1,log a 5.9(4)1.10.9,log 1.10.9,log 0.70.8 (5)log 20.4,log 30.4 (6)log 67,log 76;(7)log 3π,log 20.8(8)log 30.2,log 40.2;(9)log 3π,log π3. (10)ln0.3,ln2;(11)log a 3.1,log a 5.2(a >0,且a ≠1);(12)log 3π,log π3.分析:根据对数函数的图象和性质或者换底公式即可比较log 30.2,log 40.2的大小或者寻找中间量1可比较log 3π,log π3的大小,对于y=log a x ,当a >1时,函数为增函数,当0<a <1时,函数为减函数,可比较大小 解:根据对数函数的图象和性质,对于y=logax ,当a >1时,函数为增函数,当0<a <1时,函数为减函数, 所以(1)log 23.4<log 28.5;(2)log 0.31.8>log 0.32.7;(3)当a >1时,log a 5.1<log a 5.9,当0<a <1时,log a 5.1>log a 5.9;(4)1.10.9>1,log 1.10.9<0,0<log 0.70.8<1,∴1.10.9>log 0.70.8>log 1.10.9;(5)log 20.4<log 30.4;(6)∵<<,∴>;(7)∵<<,∴> (8)log 30.2=,log 40.2=;∵log 0.24<log 0.23<0,∴<;即log 30.2<log 40.2;(9)∵log 3π>1,log π3<1,∴log 3π>log π3;(10)因为函数y=lnx 是增函数,且0.3<2,所以ln0.3<ln2.(11)当a >1时,函数y=log a x 在(0,+∞)上是增函数,又3.1<5.2,所以log a 3.1<log a 5.2,当0<a <1时,函数y=log a x 在(0,+∞)上是减函数,又3.1<5.2,所以log a 3.1>log a 5.2.(12)因为函数y=log 3x 是增函数,且π>3,所以log 3π>log 33=1,同理,1=log ππ>log π3,即log 3π>log π3.4.求函数y=log 0.5(4﹣x 2)的单调区间分析:令t=4﹣x 2>0,求得函数的定义域为(﹣2,2),且y=log 0.5t ,再利用二次函数的性质求得t 在定义域内的单调增区间,即为函数y 的减区间;函数t 在定义域内的单调减区间,即为函数y 的增区间.解:令t=4﹣x 2>0,求得﹣2<x <2,故函数的定义域为(﹣2,2),且y=log 0.5t ,故本题即求函数t 在定义域内的单调区间.由于函数t 在定义域内的单调增区间为(﹣2,0],故函数y 的减区间为(﹣2,0];由于函数t 在定义域内的单调减区间为(0,2),故函数y 的增区间为(0,2)5.已知对数函数y=log a x 在区间[3,6]上的最大值比最小值大2,求实数a 的值分析:利用函数的单调性求出函数的最大值和最小值列出不等式解出.需要分情况讨论 解:(1)当a >1时,y=log a x 在区间[3,6]上是增函数,y max =log a 6,y min =log a 3∴log a 6﹣log a 3=2,即log a 2=2,解得a=.(2)当0<a <1时,y=log a x 在区间[3,6]上是减函数,y max =log a 3,y min =log a 6∴log a 3﹣log a 6=2, 即log a 1/2=2,解得a=2/2,故答案为2或2/26.求下列各式中x 的值 (1)log x (3+2)=﹣2 (2)log (x+3)(x 2+3x )=1分析:本题考察对数的运算性质,(1)由log x (3+2)=﹣2,利用指数式与对数式的互化即可得到x ﹣2=3+2,注意到x >0且x ≠1,解出即可;(2)由log (x+3)(x 2+3x )=1,利用底的对数等于1可得x 2+3x=x+3,①,及x 2+3x >0,②,x+3>0且x+3≠1,③解①并验证②③即可解:(1)∵log x (3+2)=﹣2,∴x ﹣2=3+2,∴=3+2,∴x 2=,又∵x >0且x ≠1,∴x=﹣1.(2)∵log (x+3)(x 2+3x )=1,∴,解①x 2+2x ﹣3=0得,x=﹣3或x=1.当x=﹣3时,不满足②和③,当x=1时,满足②③,故x=17.设0<a<1,x和y满足log a x+3log x a﹣log x y=3,如果y有最大值,求这时a和x的值分析:把原方程转化为log a x+﹣=3,即log a y=log a2x﹣3log a x+3=(log a x﹣)2+,然后利用二次函数的性质求如果y有最大值时a和x的值解:原式可化为log a x+﹣=3,即log a y=log a2x﹣3log a x+3=(log a x﹣)2+,知当log a x=时,log a y有最小值.∵0<a<1,∴此时y有最大值,根据题意=⇒a=.这时x===8.求函数的反函数(1)y=(2)y=(3)y=lnx+1 (4)y=3x+2分析:由已知的解析式求出x的表达式,再把x换成y、y换成x,并注明反函数的定义域.解:由y=的得,xy+4y=x﹣4,解得(y≠1),所以(x≠1),则函数y=的反函数是(x≠1).(2)函数y=可得:2x=2x y+y.可得2x(1﹣y)=y,2x=,可得x=,函数y=的反函数为y=.(3)由y=lnx+1解得x=e y﹣1,即:y=e x﹣1,∵x>0,∴y∈R所以函数f(x)=lnx+1(x>0)反函数为y=e x﹣1(x∈R);(4)∵y=3x+2,∴3x=y﹣2,又3x>0,故y>2,∴x=log3(y﹣2)(y>2),∴函数y=3x+2的反函数是y=log3(x﹣2)(x>2)9.求下列函数的反函数的定义域(1)y=(2)(3)分析:欲求反函数的定义域,可以通过求原函数的值域获得,所以只要求出函数的值域即可,反函数的定义域即为原函数的值域求解即可解:(1)∵y=,∴ye x+y=e x,∴(y﹣1)e x=﹣y,∴,∴x=ln,x,y互换,得函数y=的反函数为:,,解得反函数的定义域为:{x|0<x<1}(2)反函数的定义域即为原函数的值域,由,x>0,所以,所以,则y<0,反函数的定义域为(﹣∞,0)(3)由得,e x=.∵e x>0,∴>0,∴﹣1<y<1,∴反函数的定义域是(﹣1,1)10.求下列函数的反函数,并指出该函数和它的反函数的定义域(1)y=;(2)y=;(3)y=e x﹣1解:(1)由y=,即2xy﹣y=x,x(2y﹣1)=y,解得x=,x,y互换得y=,其定义域为{x|x≠} (2)由(2)y=可得y2=2x﹣3,即x=(y2+3),x,y互换得y=(x2+3),因为原函数的值域为[0,+∞),则反函数的定义域为[0,+∞)(3)由y=e x﹣1则x﹣1=lny,即x=1+lny,x,y互换得y=1+lnx,则其定义域为(0,+∞)。
2.2.2对数函数及其性质5分钟训练(预习类训练,可用于课前) 1.函数f (x )=|log 2x|的图象是()思路解析:考查对数函数的图象及图象变换.注意到y=|log 2x|的图象应是将y=log 2x 的图象位于x 轴下方的部分翻折到x 轴的上方,故选A. 答案:A2.若log a 2<log b 2<0,则a 、b 满足的关系是() A.1<a <bB.1<b <aC.0<a <b <1D.0<b <a <1思路解析:考查y=log a x 和y=log b x 的图象.当x=2时,又log a 2<log b 2<0,所以y=log a x 和y=log b x 为减函数.∴a 、b 均小于1.又由log a 2<log b 2知y=log a x 的图象与y=log b x 的图象如下图所示.故0<b <a <1. 答案:D3.函数y=log a (x-2)+1(a >0且a ≠1)恒过定点_________. 思路解析:若x-2=1,则不论a 为何值,只要a >0且a=1,都有y=1. 答案:(3,1)4.函数f (x )=log (a-1)x 是减函数,则a 的取值范围是_________.思路解析:考查对数函数的概念、性质.注意到a-1既受a-1>0且a-1≠1的制约,又受减函数的约束,由此可列关于a 的不等式求a.由题意知0<a-1<1,∴1<a <2. 答案:1<a <210分钟训练(强化类训练,可用于课中)1.(2006广东高考)函数f(x)=xx -132+lg(3x+1)的定义域是()A.(-31,+∞)B.(-31,1)C.(-31,31)D.(-∞,-31) 思路解析:要使函数有意义,则⎩⎨⎧>+>-,013,01x x 解得-31<x<1.答案:B2.若函数f (x )=log a x (0<a<1)在区间[a ,2a ]上的最大值是最小值的3倍,则a 等于() A.42B.22C.41D.21思路解析:本题关键是利用f (x )的单调性确定f (x )在[a ,2a ]上的最大值与最小值.f (x )=log a x (0<a<1)在(0,+∞)上是减函数,当x ∈[a ,2a ]时,f (x )max =f (a )=1,f (x )min =f(2a )=log a 2a.根据题意,3log a 2a=1,即log a 2a=31,所以log a 2+1=31,即log a 2=-32.故由32-a =2得a=322-42=. 答案:A3.右图是对数函数y=log a x 当底数a 的值分别取3,34,53,101时所对应图象,则相应于C 1,C 2,C 3,C 4的a 的值依次是()A.3,34,53,101B.3,34,101,53 C.34,3,53,101D.34,3,101,53思路解析:因为底数a 大于1时,对数函数的图象自左向右呈上升趋势,且a 越大,图象就越靠近x 轴;底数a 大于0且小于1时,对数函数的图象自左向右呈下降趋势,且a 越小,图象就越靠近x 轴. 答案:A 4.比较大小:(1)log 0.27和log 0.29;(2)log 35和log 65;(3)(lgm )1.9和(lgm )2.1(m >1);(4)log 85和lg4.思路解析:本题大小比较代表了几个典型的题型.其中题(1)是直接利用对数函数的单调性;题(2)是对数函数底数变化规律的应用;题(3)是指数函数单调性及对数函数性质的综合运用;题(4)是中间量的运用.当两个对数的底数和真数都不相同时,需要找出中间量来“搭桥”,再利用对数函数的增减性.常用的中间量有0、1、2等可通过估算加以选择.(1)log 0.27和log 0.29可看作是函数y=log 0.2x 当x=7和x=9时对应的两函数值,由y=log 0.2x 在(0,+∞)上单调递减,得log 0.27>log 0.29.(2)考察函数y=log a x 底数a >1的底数变化规律,函数y=log 3x (x >1)的图象在函数y=log 6x (x >1)的上方,故log 35>log 65.(3)把lgm 看作指数函数的底数,要比较两数的大小,关键是比较底数lgm 与1的关系.若lgm >1即m >10,则(lgm )x 在R 上单调递增,故(lgm )1.9<(lgm )2.1.若0<lgm <1即1<m <10,则(lgm )x 在R 上单调递减,故(lgm )1.9>(lgm )2.1.若lgm=1即m=10,则(lgm )1.9=(lgm )2.1.(4)因为底数8、10均大于1,且10>8,所以log 85>lg5>lg4,即log 85>lg4.答案:(1)log 0.27>log 0.29.(2)log 35>log 65.(3)m >10时,(lgm )1.9<(lgm )2.1;m=10时,lgm=1,(lgm )1.9=(lgm )2.1;1<m <10时,(lgm )1.9>(lgm )2.1.(4)log 85>lg4. 5.已知函数y=lg (x x -+12),求其定义域,并判断其奇偶性、单调性. 思路解析:注意到12+x +x=xx -+112,即有lg (12+x -x )=-lg (12+x +x ),从而f (-x )=lg (12+x +x )=-lg (12+x -x )=-f (x ),可知其为奇函数.又因为奇函数在关于原点对称的区间上的单调性相同,所以我们只需研究(0,+∞)上的单调性. 解:由题意12+x -x >0,解得x ∈R ,即定义域为R.又f (-x )=lg [1)(2+-x -(-x )]=lg (12+x +x )=lgxx -+112=lg (12+x -x )-1=-lg (12+x -x )=-f (x ),∴y=lg (12+x -x )是奇函数.任取x 1、x 2∈(0,+∞)且x 1<x 2,则121+x <122+x ⇒121+x +x 1<122+x +x 2⇒12111x x ++>22211x x ++,即有121+x -x 1>122+x -x 2>0,∴lg(121+x -x 1)>lg (122+x -x 2),即f (x 1)>f (x 2)成立.∴f (x )在(0,+∞)上为减函数.又f (x )是定义在R 上的奇函数,故f (x )在(-∞,0)上也为减函数. 6.作出下列函数的图象:(1)y=|log 4x|-1;(2)y=31log |x+1|.思路解析:(1)y=|log 4x|-1的图象可以看成由y=log 4x 的图象经过变换而得到:将函数y=log 4x 的图象在x 轴下方部分以x 轴为对称轴翻折上去,得到y=|log 4x|的图象,再将y=|log 4x|的图象向下平移1个单位,横坐标不变,就得到了y=|log 4x|-1的图象.(2)y=31log |x+1|的图象可以看成由y=31log x 的图象经过变换而得到:将函数y=31log x 的图象作出右边部分关于y 轴的对称图象,即得到函数y=31log |x|的图象,再将所得图象向左平移一个单位,就得到所求的函数y=31log |x+1|的图象.解:函数(1)的图象作法如图①~③所示.函数(2)的图象作法如图④~⑥所示. 7.函数y=lg|x|()A.是偶函数,在区间(-∞,0)上单调递增B.是偶函数,在区间(-∞,0)上单调递减C.是奇函数,在区间(0,+∞)上单调递增D.是奇函数,在区间(0,+∞)上单调递减 思路解析:画出函数y=lg|x|的草图即得答案.在画函数y=lg|x|的草图时,注意应用函数y=lg|x|是个偶函数,其图象关于y 轴对称.比如列表时,要先确定对称轴,然后在对称轴的两侧取值列表. 答案:B8.已知f (x )=1+log x 3,g (x )=2log x 2,试比较f (x )与g (x )的大小.思路解析:要比较两个代数式的大小,通常采取作差法或作商法,作差时,所得差同零比较,作商时,应先分清代数式的正负,再将商同“1”比较大小.因为本题中的f (x )与g (x )的正负不确定,所以采取作差比较法.解:f (x )和g (x )的定义域都是(0,1)∪(1,+∞).f (x )-g (x )=1+log x 3-2log x 2=1+log x 3-log x 4=log x 43x. (1)当0<x <1时,若0<43x <1,即0<x <34,此时log x 43x >0,即0<x <1时,f (x )>g (x );(2)当x >1时,若43x >1,即x >34,此时log x 43x >0,即x >34时,f (x )>g (x ); 若43x=1,即x=34,此时log x 43x=0,即x=34时,f (x )=g (x ); 若0<43x <1,即0<x <34,此时log x 43x <0,即1<x <34时,f (x )<g (x ).综上所述,当x ∈(0,1)∪(34,+∞)时,f (x )>g (x );当x=34时,f (x )=g (x ); 当x ∈(1,34)时,f (x )<g (x ).快乐时光 七个男人和一个女人朋友闲来无事,到街上遛达,看到有一录像点高挂着牌子,写着:今晚精彩录像——《七个男人与一个女人的故事》,莫失良机.朋友好奇心发作,买票进场.待人坐齐以后,开始放映.一开场屏幕上出现了真实片名《八仙过海》. 30分钟训练(巩固类训练,可用于课后)1.如下图,当a >1时,在同一坐标系中,函数y=a -x 与y=log a x 的图象是() 思路解析:首先把y=a -x 化为y=(a 1)x ,∵a >1,∴0<a 1<1.因此y=(a1)x ,即y=a -x 的图象是下降的,y=log a x 的图象是上升的. 答案:A2.(2006福建高考,文)已知f(x)是周期为2的奇函数,当0<x<1时,f(x)=lgx.设a=f(56),b=f(23),c=f(25),则() A.a<b<cB.b<a<cC.c<b<aD.c<a<b 思路解析:由题意,a=f(56)=f(-54)=-f(54)=-lg 54=lg 45,b=f(23)=f(-21)=-f(21)=-lg 21=lg2, c=f(25)=f(21)=lg 21,由于f(x)=lgx 在实数范围内为增函数,所以有c<a<b. 答案:D3.已知函数f (x )=lg (x 2-3x+2)的定义域为F ,函数g (x )=lg (x-1)+lg (x-2)的定义域为G ,那么()A.GFB.G=FC.F ⊆GD.F ∩G=∅思路解析:F={x|x 2-3x+2>0}={x|x>2或x<1},G={x|x>2}.∴G F.答案:A4.已知函数f (x )=log 2(x 2-ax+3a )在[2,+∞]上是增函数,则实数a 的取值范围是() A.(-∞,4)B.(-4,4]C.(-∞,-4)∪[2,+∞)D.[-4,4)思路解析:解决复合函数问题的通法是把复合函数化归为基本初等函数.令u (x )=x 2-ax+3a ,其对称轴x=2a . 由题意有⎪⎩⎪⎨⎧≤>+-=.22,0324)2(a a a u解得-4<a ≤4. 答案:B5.(2006福建高考,理)函数y=log 21-x x(x>1)的反函数是() A.y=122-x x (x>0)B.y=122-x x(x<0)C.y=x x 212-(x>0)D.y=xx 212-(x<0) 思路解析:求函数时一定不要忘记求反函数的定义域,也就是原函数的值域.原函数值域为y>0,由于y=log 21-x x (x>1)=log 21-x x =log 2(1+11-x ),所以1+11-x =2y,x=121-y +1=122-y y .将x,y对调,可得反函数为y=122-x x(x>0).答案:A6.已知函数f (x )=log abx bx -+(a >1且b >0). (1)求f (x )的定义域; (2)判断函数的奇偶性;(3)判断f (x )的单调性,并用定义证明.思路解析:本题考查定义域、单调性的求法及判断方法,注意要利用定义求解.解:(1)由⎪⎩⎪⎨⎧≠->-+,0,0b x b x bx 解得x <-b 或x >b.∴函数f (x )的定义域为(-∞,-b )∪(b ,+∞). (2)由于f (-x )=log a (b x b x --+-)=log a (b x b x +-)=log a (b x b x -+)-1=-log a (bx bx -+)=-f (x ),所以f (x )为奇函数.(3)设x 1、x 2是区间(b ,+∞)上任意两个值,且x 1<x 2.则b x b x -+22-b x b x -+11=))(()(2))(()(1221122121221212b x b x x x b b x b x b bx bx x x b bx bx x x ---=----+--+-. ∵b >0,x 1-x 2<0,x 2-b >0,x 1-b >0, ∴b x b x -+22-b x bx -+11<0.∴b x b x -+22<bx bx -+11.又a >1时,函数y=log a x 是增函数, ∴log ab x b x -+22<log a bx bx -+11,即f (x 2)<f (x 1).∴函数f (x )在区间(b ,+∞)上是减函数.同理,可证f (x )在(-∞,-b )上也是减函数. 7.已知f (x )=log axx-+11(a>0且a ≠1). (1)求函数的定义域; (2)讨论函数的单调性;(3)求使f (x )>0的x 的取值范围. 解:(1)由xx-+11>0得-1<x<1. ∴函数的定义域为(-1,1). (2)对任意-1<x 1<x 2<1,1111x x -+-2211x x -+=)1)(1()(22121x x x x ---<0,∴1111x x -+<2211x x -+.当a>1时,log a1111x x -+<log a 2211x x -+,即f (x 1)<f (x 2); 当0<a<1时,log a2211x x -+>log a 2211x x -+,即f (x 1)>f (x 2).∴当a>1时,f (x )为(-1,1)上的增函数; 当0<a<1时,f (x )为(-1,1)上的减函数.(3)log axx-+11>0=log a 1. ∴当a>1时,x x -+11>1,即x x -+11-1=xx-12>0.∴2x (x-1)<0.∴0<x<1.当0<a<1时,⎪⎪⎩⎪⎪⎨⎧<-+>-+,111,011xx xx解得-1<x<0;当a>1时,f (x )>0的解为(0,1); 当0<a<1时,f (x )>0的解为(-1,0).8.设函数f (x )=x 2-x+b ,且f (log 2a )=b ,log 2[f (a )]=2(a ≠1),求f (log 2x )的最小值及对应的x 的值.思路解析:关键是利用已知的两个条件求出a 、b 的值.解:由已知得⎪⎩⎪⎨⎧=+-=+-,2)(log ,log log 22222b a a b b a a即)2()1(.4,0)1(log log 222⎪⎩⎪⎨⎧=+-=-b a a a a由①得log 2a=1,∴a=2. 代入②得b=2.∴f (x )=x 2-x+2.∴f (log 2x )=log 22x-log 2x+2=(log 2x-21)2+47. ∴当log 2x=21时,f (log 2x )取得最小值47,此时x=2.9.设a ≠0,对于函数f (x )=log 3(ax 2-x+a ), (1)若x ∈R ,求实数a 的取值范围; (2)若f (x )∈R ,求实数a 的取值范围.思路解析:f (x )的定义域是R ,等价于ax 2-x+a >0对一切实数都成立,而f (x )的值域为R ,等价于其真数ax 2-x+a 能取遍大于0的所有实数值,(1)与(2)虽只有一字之差,但结果却大不相同.解:(1)f (x )的定义域为R ,则ax 2-x+a >0对一切实数x 恒成立,其等价条件是⎩⎨⎧<-=∆>.041,02a a 解得a >21. (2)f (x )的值域为R ,则真数ax 2-x+a 能取遍大于0的所有实数,其等价条件是⎩⎨⎧≥-=∆>.041,02a a 解得0<a ≤21. 10.已知a>0且a ≠1,f (log a x )=12-a a (x-x1). (1)试证明函数y=f (x )的单调性.(2)是否存在实数m 满足:当y=f (x )的定义域为(-1,1)时,有f (1-m )+f (1-m 2)<0?若存在,求出其取值范围;若不存在,请说明理由.(3)若函数f (x )-4恰好在(-∞,2)上取负值,求a 的值. (1)证明:由f (log a x )=12-a a (x-x 1),得f (x )=12-a a (a x -a -x ),x ∈R ,任取x 1<x 2,f (x 1)-f (x 2)=12-a a (1x a -2x a )21211x x x x a a +++.a>1时,1x a <2x a ,a 2-1>0;0<a<1时,1x a >2xa ,a 2-1<0.综上可得f (x 1)<f (x 2),即函数为减函数.(2)解:因为f (-x )=-12-a a(a x -a -x )=-f (x ),即函数为奇函数,f (1-m )+f (1-m 2)<0可转化为f (1-m )<f (m 2-1),所以⎪⎩⎪⎨⎧-<-<-<-<-<-.11,111,11122m m m m 解得1<m<2.(3)解:f (x )-4恰好在(-∞,2)的值为负,即当x ∈(-∞,2)时,有f (x )-4<f (2)-4=0,解得a=2±3.11.已知f (x )=lg (a x -b x )(a>1>b>0). (1)求y=f (x )的定义域;(2)在函数图象上是否存在不同两点,使过这两点的直线平行于x 轴?思路解析:(2)的思维难点是把问题化归为研究函数的单调性问题. 解:(1)由a x -b x >0,得(b a )x >1=(ba )0. ∵ba>1,∴x>0. ∴函数的定义域为(0,+∞).(2)先证明f (x )是增函数.对于任意x 1>x 2>0,∵a>1>b>0,∴1x a >2x a ,1x b <2xb . ∴1xa -1x b >2x a -2xb .∴lg (1xa -1x b )>lg (2x a -2xb ). ∴f (x 1)>f (x 2).∴f (x )在(0,+∞)上为增函数.假设y=f (x )上存在不同的两点A (x 1,y 1)、B (x 2,y 2),使直线AB 平行于x 轴,则x 1≠x 2,y 1=y 2,这与f (x )是增函数矛盾.∴y=f (x )的图象上不存在两点,使过这两点的直线平行于x 轴.12.2006年春节晚会的现场上无数次响起响亮的掌声,某报记者用仪器测量到最响亮的一次音量达到了90.1分贝.分贝是计量声音强度相对大小的单位.物理学家引入了声压级(spl )来描述声音的大小:把一很小的声压P 0=2×10-5帕作为参考声压,把所要测量的声压P 与参考声压P 0的比值取常用对数后乘以20得到的数值称为声压级.声压级是听力学中最重要的参数之一,单位是分贝(dB ).分贝值在60以下为无害区,60~110为过渡区,110以上为有害区. (1)根据上述材料,列出分贝y 与声压P 的函数关系式.(2)某地声压P=0.002帕,试问该地为以上所说的什么区?声音环境是否优良?思路解析:由已知条件即可写出分贝y 与声压P 之间的函数关系式,然后由函数关系式求得当P=0.002帕时,分贝y 的值.由此可判断所在区. 解:(1)由已知y=(lg0P P )×20=20·lg 0P P(其中P 0=2×10-5). (2)将P=0.002代入函数关系y=20lg0P P ,则y=20lg 5102002.0-⨯=20lg102=40(分贝). 由已知条件知40分贝小于60分贝,所以在噪音无害区,环境优良.。
指数函数及其性质1.指数函数概念一般地,函数叫做指数函数,其中是自变量,函数的定义域为.2.指数函数函数性质:函数名称指数函数定义函数且叫做指数函数图象定义域值域过定点图象过定点,即当时,.奇偶性非奇非偶单调性在上是增函数在上是减函数函数值的变化情况变化对图象的影响在第一象限,从逆时针向看图象,逐渐增大;在第二象限,从逆时针向看图象,逐渐减小.对数函数及其性质1.对数函数定义一般地,函数叫做对数函数,其中是自变量,函数的定义域.2.对数函数性质:函数名称对数函数定义函数且叫做对数函数图象定义域值域过定点图象过定点,即当时,.奇偶性非奇非偶单调性在上是增函数在上是减函数函数值的变化情况变化对图象的影响在第一象限,从顺时针向看图象,逐渐增大;在第四象限,从顺时针向看图象,逐渐减小.指数函数习题一、选择题1.定义运算a ⊗b =⎩⎨⎧a a ≤b b a >b,则函数f (x )=1⊗2x 的图象大致为( )2.函数f (x )=x 2-bx +c 满足f (1+x )=f (1-x )且f (0)=3,则f (b x )与f (c x )的大小关系是( ) A .f (b x )≤f (c x ) B .f (b x )≥f (c x ) C .f (b x )>f (c x )D .大小关系随x 的不同而不同3.函数y =|2x -1|在区间(k -1,k +1)不单调,则k 的取值围是( ) A .(-1,+∞) B .(-∞,1) C .(-1,1) D .(0,2) 4.设函数f (x )=ln[(x -1)(2-x )]的定义域是A ,函数g (x )=lg(a x -2x -1)的定义域是B ,若A ⊆B ,则正数a 的取值围( ) A .a >3 B .a ≥3 C .a > 5D .a ≥ 55.已知函数f (x )=⎩⎪⎨⎪⎧3-a x -3,x ≤7,ax -6,x >7.若数列{a n }满足a n =f (n )(n ∈N *),且{a n }是递增数列,则实数a 的取值围是( ) A .[94,3)B .(94,3)C .(2,3)D .(1,3)6.已知a >0且a ≠1,f (x )=x 2-a x ,当x ∈(-1,1)时,均有f (x )<12,则实数a 的取值围是( ) A .(0,12]∪[2,+∞) B .[14,1)∪(1,4] C .[12,1)∪(1,2]D .(0,14)∪[4,+∞)二、填空题7.函数y =a x (a >0,且a ≠1)在[1,2]上的最大值比最小值大a2,则a 的值是________. 8.若曲线|y |=2x +1与直线y =b 没有公共点,则b 的取值围是________.9.(2011·滨州模拟)定义:区间[x 1,x 2](x 1<x 2)的长度为x 2-x 1.已知函数y =2|x |的定义域为[a ,b ],值域为[1,2],则区间[a ,b ]的长度的最大值与最小值的差为________.三、解答题 10.求函数y =2342x x ---+的定义域、值域和单调区间.11.(2011·模拟)若函数y =a 2x +2a x -1(a >0且a ≠1)在x ∈[-1,1]上的最大值为14,求a 的值.12.已知函数f (x )=3x ,f (a +2)=18,g (x )=λ·3ax -4x 的定义域为[0,1]. (1)求a 的值;(2)若函数g (x )在区间[0,1]上是单调递减函数,数λ的取值围.1.解析:由a ⊗b =⎩⎨⎧ a a ≤b b a >b得f (x )=1⊗2x =⎩⎪⎨⎪⎧2x x ≤0,1 x >0.答案:A2. 解析:∵f (1+x )=f (1-x ),∴f (x )的对称轴为直线x =1,由此得b =2. 又f (0)=3,∴c =3.∴f (x )在(-∞,1)上递减,在(1,+∞)上递增. 若x ≥0,则3x ≥2x ≥1,∴f (3x )≥f (2x ). 若x <0,则3x <2x <1,∴f (3x )>f (2x ). ∴f (3x )≥f (2x ). 答案:A3.解析:由于函数y =|2x -1|在(-∞,0)单调递减,在(0,+∞)单调递增,而函数在区间(k -1,k +1)不单调,所以有k -1<0<k +1,解得-1<k <1. 答案:C4. 解析:由题意得:A =(1,2),a x -2x >1且a >2,由A ⊆B 知a x -2x >1在(1,2)上恒成立,即a x -2x -1>0在(1,2)上恒成立,令u (x )=a x -2x -1,则u ′(x )=a x ln a -2x ln2>0,所以函数u (x )在(1,2)上单调递增,则u (x )>u (1)=a -3,即a ≥3. 答案:B5. 解析:数列{a n }满足a n =f (n )(n ∈N *),则函数f (n )为增函数, 注意a 8-6>(3-a )×7-3,所以⎩⎪⎨⎪⎧a >13-a >0a 8-6>3-a ×7-3,解得2<a <3.答案:C6. 解析:f (x )<12⇔x 2-a x <12⇔x 2-12<a x ,考查函数y =a x 与y =x 2-12的图象,当a >1时,必有a -1≥12,即1<a ≤2, 当0<a <1时,必有a ≥12,即12≤a <1, 综上,12≤a <1或1<a ≤2.答案:C7. 解析:当a >1时,y =a x 在[1,2]上单调递增,故a 2-a =a 2,得a =32.当0<a <1时,y =a x 在[1,2]上单调递减,故a -a 2=a 2,得a =12.故a =12或32. 答案:12或328. 解析:分别作出两个函数的图象,通过图象的交点个数来判断参数的取值围.曲线|y |=2x +1与直线y =b 的图象如图所示,由图象可得:如果|y |=2x +1与直线y =b 没有公共点,则b 应满足的条件是b ∈[-1,1]. 答案:[-1,1]9. 解析:如图满足条件的区间[a ,b ],当a =-1,b =0或a =0,b =1时区间长度最小,最小值为1,当a =-1,b =1时区间长度最大,最大值为2,故其差为1. 答案:110. 解:要使函数有意义,则只需-x 2-3x +4≥0,即x 2+3x -4≤0,解得-4≤x ≤1. ∴函数的定义域为{x |-4≤x ≤1}.令t =-x 2-3x +4,则t =-x 2-3x +4=-(x +32)2+254,∴当-4≤x ≤1时,t max =254,此时x =-32,t min =0,此时x =-4或x =1. ∴0≤t ≤254.∴0≤-x 2-3x +4≤52. ∴函数y =2341()2x x --+[28,1].由t =-x 2-3x +4=-(x +32)2+254(-4≤x ≤1)可知, 当-4≤x ≤-32时,t 是增函数,当-32≤x ≤1时,t 是减函数. 根据复合函数的单调性知:y =1()2[-4,-32]上是减函数,在[-32,1]上是增函数.∴函数的单调增区间是[-32,1],单调减区间是[-4,-32].11. 解:令a x =t ,∴t >0,则y =t 2+2t -1=(t +1)2-2,其对称轴为t =-1.该二次函数在[-1,+∞)上是增函数.①若a >1,∵x ∈[-1,1],∴t =a x ∈[1a ,a ],故当t =a ,即x =1时,y max =a 2+2a -1=14,解得a =3(a =-5舍去). ②若0<a <1,∵x ∈[-1,1],∴t =a x ∈[a ,1a ],故当t =1a ,即x =-1时, y max =(1a +1)2-2=14. ∴a =13或-15(舍去). 综上可得a =3或13.12. 解:法一:(1)由已知得3a +2=18⇒3a =2⇒a =log 32. (2)此时g (x )=λ·2x -4x , 设0≤x 1<x 2≤1,因为g (x )在区间[0,1]上是单调减函数,所以g (x 1)-g (x 2)=(2x 1-2x 2)(λ-2x 2-2x 1)>0恒成立,即λ<2x 2+2x 1恒成立. 由于2x 2+2x 1>20+20=2, 所以实数λ的取值围是λ≤2. 法二:(1)同法一.(2)此时g (x )=λ·2x -4x ,因为g (x )在区间[0,1]上是单调减函数,所以有g ′(x )=λln2·2x -ln4·4x =ln2[-2·(2x )2+λ·2x ]≤0成立. 设2x =u ∈[1,2],上式成立等价于-2u 2+λu ≤0恒成立. 因为u ∈[1,2],只需λ≤2u 恒成立, 所以实数λ的取值围是λ≤2.对数与对数函数同步练习一、选择题1、已知32a =,那么33log 82log 6-用a 表示是( )A 、2a -B 、52a -C 、23(1)a a -+ D 、 23a a -2、2log (2)log log a a a M N M N -=+,则NM的值为( ) A 、41B 、4C 、1D 、4或13、已知221,0,0x y x y +=>>,且1log (1),log ,log 1y a a a x m n x +==-则等于( )A 、m n +B 、m n -C 、()12m n + D 、()12m n -4、如果程2lg (lg5lg 7)lg lg5lg 70x x +++=的两根是,αβ,则αβ的值是( )A 、lg5lg 7B 、lg35C 、35D 、351 5、已知732log [log (log )]0x =,那么12x -等于( )A 、13 B C D6、函数2lg 11y x ⎛⎫=-⎪+⎝⎭的图像关于( ) A 、x 轴对称 B 、y 轴对称 C 、原点对称 D 、直线y x =对称 7、函数(21)log x y -= )A 、()2,11,3⎛⎫+∞ ⎪⎝⎭B 、()1,11,2⎛⎫+∞⎪⎝⎭C 、2,3⎛⎫+∞ ⎪⎝⎭D 、1,2⎛⎫+∞ ⎪⎝⎭8、函数212log (617)y x x =-+的值域是( )A 、RB 、[)8,+∞C 、(),3-∞-D 、[)3,+∞ 9、若log 9log 90m n <<,那么,m n 满足的条件是( )A 、 1 m n >>B 、1n m >>C 、01n m <<<D 、01m n <<< 10、2log 13a<,则a 的取值围是( ) A 、()20,1,3⎛⎫+∞ ⎪⎝⎭B 、2,3⎛⎫+∞ ⎪⎝⎭C 、2,13⎛⎫ ⎪⎝⎭D 、220,,33⎛⎫⎛⎫+∞ ⎪ ⎪⎝⎭⎝⎭11、下列函数中,在()0,2上为增函数的是( )A 、12log (1)y x =+ B 、2log y =C 、21log y x = D 、2log (45)y x x =-+ 12、已知()log x+1 (01)a g x a a =>≠且在()10-,上有()0g x >,则1()x f x a +=是( )A 、在(),0-∞上是增加的B 、在(),0-∞上是减少的C 、在(),1-∞-上是增加的D 、在(),0-∞上是减少的 二、填空题13、若2log 2,log 3,m n a a m n a +=== 。
对数函数及其性质(人教A版)一、单选题(共10道,每道10分)1.函数的定义域是( )A. B.C. D.答案:C解题思路:试题难度:三颗星知识点:对数函数的定义域2.已知函数的定义域是,则的定义域为( )A. B.C. D.答案:D解题思路:试题难度:三颗星知识点:对数函数的定义域3.已知函数,则的值为( )A.4B.C. D.答案:B解题思路:试题难度:三颗星知识点:对数函数的值域与最值4.函数的值域为( )A. B.C. D.答案:A解题思路:试题难度:三颗星知识点:对数函数的值域5.函数的图象必经过定点( )A.(1,0)B.(1,1)C.(1,2)D.(2,1)答案:B解题思路:试题难度:三颗星知识点:对数函数的图象与性质6.设,,,则( )A. B.C. D.答案:B解题思路:试题难度:三颗星知识点:对数值大小的比较7.已知函数在上是增函数,则a的取值范围是( )A. B.C. D.答案:D解题思路:试题难度:三颗星知识点:复合函数的单调性8.若函数的定义域为,则k的取值范围是( )A. B.C. D.解题思路:试题难度:三颗星知识点:对数函数的定义域9.已知函数在上恒有,则a的取值范围是( )A.(1,2)B.C.(1,3)D.(2,3)答案:A解题思路:试题难度:三颗星知识点:对数函数的值域与最值10.下列函数中既不是奇函数,又不是偶函数的是( )A. B.C. D.解题思路:试题难度:三颗星知识点:对数函数的图象与性质。
高一数学上册第二章基本初等函数之对数函数知识点总结及练习题(含答案)高一数学上册第二章基本初等函数之对数函数知识点总结及练习题(含答案)〖2.2〗对数函数【2.2.1】对数与对数运算(1)对数的定义①若a某N(a0,且a1),则某叫做以a为底N的对数,记作某logaN,其中a叫做底数,N叫做真数.②负数和零没有对数.③对数式与指数式的互化:某logaNa某N(a0,a1,N0).(2)几个重要的对数恒等式:loga10,logaa1,logaabb.N;自然对数:lnN,即loge(3)常用对数与自然对数:常用对数:lgN,即log10…).e2.71828(4)对数的运算性质如果a0,a1,M①加法:logaN(其中0,N0,那么MlogaNloga(MN)M②减法:logaMlogaNlogaN③数乘:nlogaMlogaMn(nR)④alogaNNnlogaM(b0,nR)bn⑤logabM⑥换底公式:logaNlogbN(b0,且b1)logba【2.2.2】对数函数及其性质(5)对数函数函数名称定义函数对数函数yloga某(a0且a1)叫做对数函数a1y某10a1y某1yloga某yloga某图象O(1,0)O(1,0)某某定义域值域过定点奇偶性(0,)R图象过定点(1,0),即当某1时,y0.非奇非偶单调性在(0,)上是增函数在(0,)上是减函数loga某0(某1)函数值的变化情况loga某0(某1)loga某0(某1)loga某0(0某1)loga某0(某1)loga某0(0某1)a变化对图象的影响在第一象限内,a越大图象越靠低,越靠近某轴在第一象限内,a越小图象越靠低,越靠近某轴在第四象限内,a越大图象越靠高,越靠近y轴在第四象限内,a越小图象越靠高,越靠近y轴(6)反函数的概念设函数果对于yf(某)的定义域为A,值域为C,从式子yf(某)中解出某,得式子某(y).如y在C中的任何一个值,通过式子某(y),某在A中都有唯一确定的值和它对应,那么式子某(y)表示某是y的函数,函数某(y)叫做函数yf(某)的反函数,记作某f1(y),习惯上改写成yf1(某).(7)反函数的求法①确定反函数的定义域,即原函数的值域;②从原函数式③将某yf(某)中反解出某f1(y);f1(y)改写成yf1(某),并注明反函数的定义域.(8)反函数的性质①原函数②函数yf(某)与反函数yf1(某)的图象关于直线y某对称.yf(某)的定义域、值域分别是其反函数yf1(某)的值域、定义域.yf(某)的图象上,则P"(b,a)在反函数yf1(某)的图象上.③若P(a,b)在原函数④一般地,函数yf(某)要有反函数则它必须为单调函数.一、选择题:1.log89的值是log23A.()23B.1C.32D.22.已知某=2+1,则log4(某3-某-6)等于A.()C.0D.32B.54123.已知lg2=a,lg3=b,则lg12等于lg15()A.2ab1abB.a2b1abC.2ab1abD.a2b1ab4.已知2lg(某-2y)=lg某+lgy,则某的值为 yA.1B.4()C.1或4C.(C.ln5D.4或-1()5.函数y=log1(2某1)的定义域为2A.(1,+∞)B.[1,+∞)2B.5e1,1]2D.(-∞,1)()D.log5e()y6.已知f(e某)=某,则f(5)等于A.e57.若f(某)loga某(a0且a1),且f1(2)1,则f(某)的图像是yyyABCD8.设集合A{某|某10},B{某|log2某0|},则AB等于A.{某|某1}C.{某|某1}B.{某|某0}D.{某|某1或某1}2O某O某O某O某()9.函数yln某1,某(1,)的反函数为()某1e某1,某(0,)B.y某e1e某1,某(,0)D.y某e1e某1,某(0,)A.y某e1e某1,某(,0)C.y某e1二、填空题:10.计算:log2.56.25+lg11log23+lne+2=10011.函数y=log4(某-1)2(某<1的反函数为__________.12.函数y=(log1某)2-log1某2+5在2≤某≤4时的值域为______.44三、解答题:13.已知y=loga(2-a某)在区间{0,1}上是某的减函数,求a的取值范围.14.已知函数f(某)=lg[(a2-1)某2+(a+1)某+1],若f(某)的定义域为R,求实数a的取值范围.15.已知f(某)=某2+(lga+2)某+lgb,f(-1)=-2,当某∈R时f(某)≥2某恒成立,求实数a的值,并求此时f(某)的最小值?一、选择题:.15.(lgm)0.9≤(lgm)0.8,16.25y8413,14.y=1-2某(某∈R),217.解析:因为a是底,所以其必须满足a>0且a不等于1a>0所以2-a某为减函数,要是Y=loga(2-a某)为减函数,则Y=loga(Z)为增函数,得a>1又知减函数区间为[0,1],a必须满足2-a某0>02-a某1>0即得a扩展阅读:高一数学上册_第二章基本初等函数之对数函数知识点总结及练习题(含答案)〖2.2〗对数函数【2.2.1】对数与对数运算(1)对数的定义①若a某N(a0,且a1),则某叫做以a为底N的对数,记作某logaN,其中a叫做底数,N叫做真数.②负数和零没有对数.③对数式与指数式的互化:某logaNa某N(a0,a1,N0).(2)几个重要的对数恒等式:loga10,logaa1,logbaab.(3)常用对数与自然对数:常用对数:lgN,即log10N;自然对数:lnN,即logeN(其中e2.71828…).(4)对数的运算性质如果a0,a1,M0,N0,那么①加法:logaMlogaNloga(MN)②减法:logaMlogaNlogMaN③数乘:nlogaMlogaMn(nR)log④aaNN⑤lognnabMblogaM(b0,nR)⑥换底公式:logbNaNloglog(b0,且b1)ba【2.2.2】对数函数及其性质(5)对数函数函数名称对数函数定义函数yloga某(a0且a1)叫做对数函数a10a1y某1ylog某1a某yyloga某图象(1,0)OO(1,0)某某定义域(0,)值域R 过定点图象过定点(1,0),即当某1时,y0.奇偶性非奇非偶单调性在(0,)上是增函数在(0,)上是减函数loga某0(某1)loga某0(某1)函数值的变化情况loga某0(某1)loga某0(某1)loga某0(0某1)loga某0(0某1)a变化对在第一象限内,a越大图象越靠低,越靠近某轴在第四象限内,a越大图象越靠高,越靠近y轴在第一象限内,a越小图象越靠低,越靠近某轴在第四象限内,a越小图象越靠高,越靠近y轴④一般地,函数yf(某)要有反函数则它必须为单调函数.图象的影响(6)反函数的概念设函数yf(某)的定义域为A,值域为C,从式子yf(某)中解出某,得式子某(y).如果对于y在C中的任何一个值,通过式子某(y),某在A中都有唯一确定的值和它对应,那么式子某(y)表示某是y的函数,函数某(y)叫做函数yf(某)的反函数,记作某f1(y),习惯上改写成yf1(某).(7)反函数的求法①确定反函数的定义域,即原函数的值域;②从原函数式yf(某)中反解出某f1(y);③将某f1(y)改写成yf1(某),并注明反函数的定义域.(8)反函数的性质①原函数②函数yf(某)与反函数yf1(某)的图象关于直线y某对称.yf(某)的定义域、值域分别是其反函数yf1(某)的值域、定义域.yf(某)的图象上,则P(b,a)在反函数yf(某)的图象"1③若P(a,b)在原函数上.一、选择题:1.log89log的值是23A.23B.12.已知某=2+1,则log4(某3-某-6)等于A.3B.5243.已知lg2=a,lg3=b,则lg12lg15等于A.2ab1abB.a2b1abD.a2b1ab4.已知2lg(某-2y)=lg某+lgy,则某y的值为A.1B.45.函数y=log1(2某1)的定义域为2A.(12,+∞)B.[1,+∞)1)6.已知f(e某)=某,则f(5)等于C.32()C.0()C.()C.1或4C.(12,1]()D.2D.122ab1abD.4或-1)D.(-∞,()A.e5B.5eC.ln5D.log5e7.若f(某)loga某(a0且a1),且f1(2)1,则f(某)的图像是()yyyyABCDO某O某某OO某8.设集合A{某|某210},B{某|lo2某g0|}则,AB等于()A.{某|某1}B.{某|某0}C.{某|某1}D.{某|某1或某1}9.函数yln某1某1,某(1,)的反函数为()A.ye某1e某1,某(0,)B.ye某1e某1,某(0,)C.ye某1e某1e某1,某(,0)D.ye某1,某(,0)二、填空题:10.计算:log2.56.25+lg1100+lne+21log23=(11.函数y=log4(某-1)2(某<1的反函数为__________.12.函数y=(log1某)2-log1某2+5在2≤某≤4时的值域为______.44三、解答题:13.已知y=loga(2-a某)在区间{0,1}上是某的减函数,求a的取值范围.14.已知函数f(某)=lg[(a2-1)某2+(a+1)某+1],若f(某)的定义域为R,求实数a的取值范围.15.已知f(某)=某2+(lga+2)某+lgb,f(-1)=-2,当某∈R时f(某)≥2某恒成立,求实数a的值,并求此时f(某)的最小值?一、选择题:.132,14.y=1-2某(某∈R),15.(lgm)0.9≤(lgm)0.8,16.254y817.解析:因为a是底,所以其必须满足a>0且a不等于1a>0所以2-a某为减函数,要是Y=loga(2-a某)为减函数,则Y=loga(Z)为增函数,得a>1又知减函数区间为[0,1],a必须满足2-a某0>02-a某1>0即得a。
对数函数的图象和性质一、选择题(每小题5分,共20分)1.(2021·丰台高一检测)已知a =ln 3,b =log 0.32,c =log 32,则a ,b ,c 的大小关系为( ) A .a <c <b B .a <b <c C .b <c <aD .c <a <b2.(2021·廊坊高一检测)设a =log 3 e ,b =12log e ,c =e -1,则( )A .a >b >cB .b >a >cC .a >c >bD .c >a >b3.若点(a ,b)在函数f(x)=ln x 的图象上,则下列点中,不在函数f(x)图象上的是( ) A .⎝⎛⎭⎫1a ,-bB .(a +e ,1+b)C .⎝⎛⎭⎫e a ,1-bD .(a 2,2b)4.函数y =|lg (x +1)|的图象是( )二、填空题(每小题5分,共10分)5.(2021·洛阳高一检测)函数y =log a (2x -3)+4的图象恒过定点A ,且点A 在幂函数f(x)的图象上,则f(3)=________.6.设函数y =a x 的反函数为f(x),则f(a +1)与f(2)的大小关系是________. 三、解答题(每小题10分,共20分)7.(2021·信阳高一检测)已知函数f(x)=log 3(ax +b)的部分图象如图所示.(1)求f(x)的解析式与定义域;(2)函数f(x)能否由y =log 3x 的图象平移变换得到; (3)求f(x)在[4,6]上的最大值、最小值.8.已知函数f(x)=(log 4x)2+12log x -3,x ∈[1,8],求f(x)的值域以及取得最值时x 的值.能力过关一、选择题(每小题5分,共10分)1.(2021·泰安高一检测)对数函数y =log a x(a >0且a≠1)与二次函数y =(a -1)x 2-x 在同一坐标系内的图象可能是( )2.(多选题)若实数a ,b 满足log a 2<log b 2,则下列关系中成立的是( ) A .0<b<a<1 B .0<a<1<b C .a>b>1D .0<b<1<a二、填空题(每小题5分,共10分)3.已知函数f(x)=⎩⎪⎨⎪⎧2x ,x<1,log 2x ,x≥1,则f(8)=________,若直线y =m 与函数f(x)的图象只有1个交点,则实数m 的取值范围是________.4.若log a 25 <1,则a 的取值范围为________.三、解答题(每小题10分,共20分) 5.已知函数f(x)=|12log x |.(1)画出函数y =f(x)的图象; (2)写出函数y =f(x)的单调区间;(3)当x ∈⎣⎡⎦⎤12,m 时,函数y =f(x)的值域为[0,1],求m 的取值范围. 6.(2021·徐州高一检测)设函数f(x)=lg (x 2-2x +a). (1)求函数f(x)的定义域A ;(2)若对任意实数m ,关于x 的方程f(x)=m 总有解,求实数a 的取值范围.一、选择题(每小题5分,共20分)1.(2021·丰台高一检测)已知a =ln 3,b =log 0.32,c =log 32,则a ,b ,c 的大小关系为( ) A .a <c <b B .a <b <c C .b <c <aD .c <a <b分析选C.a =ln 3>1,b =log 0.32<0,c =log 32∈(0,1),则a >c >b. 2.(2021·廊坊高一检测)设a =log 3 e ,b =12log e ,c =e -1,则( )A .a >b >cB .b >a >cC .a >c >bD .c >a >b分析选C.因为c =1e ,log 3e>11e233log 3>log 3=1e>0, 1122log e<log 1=0,所以a >c >b.3.若点(a ,b)在函数f(x)=ln x 的图象上,则下列点中,不在函数f(x)图象上的是( ) A .⎝⎛⎭⎫1a ,-bB .(a +e ,1+b)C .⎝⎛⎭⎫e a ,1-bD .(a 2,2b)分析选B.因为点(a ,b)在f(x)=ln x 的图象上,所以b =ln a ,所以-b =ln 1a ,1-b =ln ea ,2b =2ln a =lna 2.4.函数y =|lg (x +1)|的图象是( )分析选A.由于函数y =lg (x +1)的图象可由函数y =lg x 的图象左移一个单位而得到,函数y =lg x 的图象与x 轴的交点是(1,0),故函数y =lg (x +1)的图象与x 轴的交点是(0,0),即函数y =|lg (x +1)|的图象与x 轴的公共点是(0,0),考查四个选项中的图象只有A 选项符合题意. 二、填空题(每小题5分,共10分)5.(2021·洛阳高一检测)函数y =log a (2x -3)+4的图象恒过定点A ,且点A 在幂函数f(x)的图象上,则f(3)=________.分析因为log a 1=0,所以当2x -3=1,即x =2时,y =4,所以点A 的坐标是A(2,4).幂函数f(x)=x α的图象过点A(2,4),所以4=2α,解得α=2;所以幂函数为f(x)=x 2,则f(3)=9. 答案:96.设函数y =a x 的反函数为f(x),则f(a +1)与f(2)的大小关系是________. 分析因为y =a x 的反函数为f(x),所以f(x)=log a x. 当a>1时,a +1>2,f(x)=log a x 是单调递增函数,则f(a +1)>f(2);当0<a<1时,a +1<2,f(x)=log a x 是单调递减函数,则f(a +1)>f(2).综上f(a +1)>f(2). 答案:f(a +1)>f(2)三、解答题(每小题10分,共20分)7.(2021·信阳高一检测)已知函数f(x)=log 3(ax +b)的部分图象如图所示.(1)求f(x)的解析式与定义域;(2)函数f(x)能否由y =log 3x 的图象平移变换得到; (3)求f(x)在[4,6]上的最大值、最小值.分析(1)把图象中A ,B 两点坐标代入函数f(x)=log 3(ax +b),得⎩⎪⎨⎪⎧2a +b =3,5a +b =9, 解得⎩⎪⎨⎪⎧a =2,b =-1. 故f(x)=log 3(2x -1),定义域为⎝⎛⎭⎫12,+∞ . (2)可以,由f(x)=log 3(2x -1)=log 3⎣⎡⎦⎤2⎝⎛⎭⎫x -12 =log 3⎝⎛⎭⎫x -12 +log 32, 所以f(x)的图象是由y =log 3x 的图象向右平移12 个单位,再向上平移log 32个单位得到的.(3)由函数的单调性可得,最大值为f(6)=log 311,最小值为f(4)=log 37. 8.已知函数f(x)=(log 4x)2+12log x -3,x ∈[1,8],求f(x)的值域以及取得最值时x 的值.分析令t =log 4x ,t ∈⎣⎡⎦⎤0,32 , 又12log x =-12 log 2x =-412=-log 4x ,则y =t 2-t -3,t ∈⎣⎡⎦⎤0,32 ,函数对称轴为t =12 ∈⎣⎡⎦⎤0,32 , 故当t =12 ,即x =2时,f(x)min =-134 .当t =32 ,即x =8时,f(x)max =-94 ,所以f(x)的值域是⎣⎡⎦⎤-134,-94 , 当x =2时,f(x)min =-134 ;当x =8时,f(x)max =-94.能力过关一、选择题(每小题5分,共10分)1.(2021·泰安高一检测)对数函数y =log a x(a >0且a≠1)与二次函数y =(a -1)x 2-x 在同一坐标系内的图象可能是( )分析选A.由对数函数y =log a x(a >0且a≠1)与二次函数y =(a -1)x 2-x 可知,①当0<a <1时,此时a -1<0,对数函数y =log a x 为减函数,而二次函数y =(a -1)x 2-x 开口向下,且其对称轴为x =12(a -1),故排除C 与D ;②当a >1时,此时a -1>0,对数函数y =log a x 为增函数,而二次函数y =(a -1)x 2-x 开口向上,且其对称轴为x =12(a -1),故B 错误,而A 符合题意.2.(多选题)若实数a ,b 满足log a 2<log b 2,则下列关系中成立的是( ) A .0<b<a<1 B .0<a<1<b C .a>b>1D .0<b<1<a分析选ABC.根据题意,实数a ,b 满足log a 2<log b 2,对于A ,若a ,b 均大于0小于1,依题意,必有0<b<a<1,故A 有可能成立;对于B ,若log b 2>0>log a 2,则有0<a<1<b ,故B 有可能成立;对于C ,若a ,b 均大于1,由log a 2<log b 2,知必有a>b>1,故C 有可能成立;对于D ,当0<b<1<a 时,log a 2>0,log b 2<0,log a 2<log b 2不能成立. 二、填空题(每小题5分,共10分)3.已知函数f(x)=⎩⎪⎨⎪⎧2x ,x<1,log 2x ,x≥1 ,则f(8)=________,若直线y =m 与函数f(x)的图象只有1个交点,则实数m 的取值范围是________.分析当x =8时,f(8)=log 28=3;作出函数f(x)的图象,如图所示,若直线y =m 与函数f(x)的图象只有1个交点,由图象可知,当m≥2或m =0时满足条件. 答案:3 {0}∪[2,+∞)4.若log a 25 <1,则a 的取值范围为________.分析log a 25 <1即log a 25<log a a ,当a >1时,函数y =log a x 在定义域内是增函数, 所以log a 25<log a a 总成立;当0<a <1时,函数y =log a x 在定义域内是减函数, 由log a 25 <log a a ,得a <25 ,故0<a <25.故a 的取值范围为0<a <25 或a >1.答案:0<a <25或a >1三、解答题(每小题10分,共20分) 5.已知函数f(x)=|12log x |.(1)画出函数y =f(x)的图象; (2)写出函数y =f(x)的单调区间;(3)当x ∈⎣⎡⎦⎤12,m 时,函数y =f(x)的值域为[0,1],求m 的取值范围. 分析(1)先作出y =log 12x 的图象,再把y =log 12x 的图象x 轴下方的部分往上翻折,得到f(x)=⎪⎪⎪⎪log 12x 的图象如图.(2)f(x)的定义域为(0,+∞),由图可知,f(x)在(0,1)上单调递减,在(1,+∞)上单调递增.(3)由f(x)=|log12x|的图象可知f⎝⎛⎭⎫12=f(2)=1,f(1)=0,由题意结合图象知,1≤m≤2.6.(2021·徐州高一检测)设函数f(x)=lg (x2-2x+a).(1)求函数f(x)的定义域A;(2)若对任意实数m,关于x的方程f(x)=m总有解,求实数a的取值范围.分析(1)由f(x)=lg (x2-2x+a)有意义,可得x2-2x+a=(x-1)2+a-1>0,当a>1时,f(x)的定义域为A=R;当a=1时,f(x)的定义域为A={x|x≠1};当a<1时,f(x)的定义域为A={x|x>1+1-a 或x<1-1-a }.(2)对任意实数m∈R,方程f(x)=m总有解,等价于函数f(x)=lg (x2-2x+a)的值域为R,即t=x2-2x+a能取遍所有正数即可,所以Δ=4-4a≥0,a≤1,实数a的取值范围为(-∞,1].。
指数函数及其性质1.指数函数概念一般地,函数叫做指数函数,其中是自变量,函数的定义域为.且图象过定点,即当.在在变化对图在第一象限内,从逆时针方向看图象,看图象,对数函数及其性质1.对数函数定义一般地,函数叫做对数函数,其中是自变量,函数的定义域.且图象过定点,即当时,上是增函数上是减函数变化对图在第一象限内,从顺时针方向看图象,看图象,指数函数习题一、选择题 1.定义运算a ⊗b =⎩⎪⎨⎪⎧a (a ≤b )b (a >b ),则函数f (x )=1⊗2x的图象大致为( )2.函数f (x )=x 2-bx +c 满足f (1+x )=f (1-x )且f (0)=3,则f (b x )与f (c x)的大小关系是( )A .f (b x )≤f (c x)B .f (b x )≥f (c x)C .f (b x )>f (c x)D .大小关系随x 的不同而不同3.函数y =|2x-1|在区间(k -1,k +1)内不单调,则k 的取值范围是( ) A .(-1,+∞) B .(-∞,1) C .(-1,1) D .(0,2)4.设函数f (x )=ln [(x -1)(2-x )]的定义域是A ,函数g (x )=lg(a x-2x-1)的定义域是B ,若A ⊆B ,则正数a 的取值范围( ) A .a >3 B .a ≥3 C .a > 5D .a ≥ 55.已知函数f (x )=⎩⎪⎨⎪⎧(3-a )x -3,x ≤7,a x -6,x >7.若数列{a n }满足a n =f (n )(n ∈N *),且{a n }是递增数列,则实数a 的取值范围是( ) A .[94,3)B .(94,3)C .(2,3)D .(1,3)6.已知a >0且a ≠1,f (x )=x 2-a x,当x ∈(-1,1)时,均有f (x )<12,则实数a 的取值范围是( )A .(0,12]∪[2,+∞)B .[14,1)∪(1,4]C .[12,1)∪(1,2]D .(0,14)∪[4,+∞)二、填空题7.函数y =a x(a >0,且a ≠1)在[1,2]上的最大值比最小值大a2,则a 的值是________.8.若曲线|y |=2x+1与直线y =b 没有公共点,则b 的取值范围是________.9.定义:区间[x 1,x 2](x 1<x 2)的长度为x 2-x 1.已知函数y =2|x |的定义域为[a ,b ],值域为[1,2],则区间[a ,b ]的长度的最大值与最小值的差为________.三、解答题10.求函数y=211.若函数y=a2x+2a x-1(a>0且a≠1)在x∈[-1,1]上的最大值为14,求a的值.12.已知函数f(x)=3x,f(a+2)=18,g(x)=λ·3ax-4x的定义域为[0,1].(1)求a的值;(2)若函数g(x)在区间[0,1]上是单调递减函数,求实数λ的取值范围.1.解析:由a ⊗b =⎩⎪⎨⎪⎧a (a ≤b )b (a >b )得f (x )=1⊗2x=⎩⎪⎨⎪⎧2x(x ≤0),1 (x >0).答案:A2. 解析:∵f (1+x )=f (1-x ),∴f (x )的对称轴为直线x =1,由此得b =2. 又f (0)=3,∴c =3.∴f (x )在(-∞,1)上递减,在(1,+∞)上递增.若x ≥0,则3x ≥2x ≥1,∴f (3x )≥f (2x).若x <0,则3x <2x <1,∴f (3x )>f (2x).∴f (3x )≥f (2x). 答案:A3.解析:由于函数y =|2x-1|在(-∞,0)内单调递减,在(0,+∞)内单调递增,而函数在区间(k -1,k +1)内不单调,所以有k -1<0<k +1,解得-1<k <1. 答案:C4. 解析:由题意得:A =(1,2),a x -2x >1且a >2,由A ⊆B 知a x -2x>1在(1,2)上恒成立,即a x -2x -1>0在(1,2)上恒成立,令u (x )=a x -2x -1,则u ′(x )=a x ln a -2x ln2>0,所以函数u (x )在(1,2)上单调递增,则u (x )>u (1)=a -3,即a ≥3. 答案:B5. 解析:数列{a n }满足a n =f (n )(n ∈N *),则函数f (n )为增函数,注意a 8-6>(3-a )×7-3,所以⎩⎪⎨⎪⎧a >13-a >0a 8-6>(3-a )×7-3,解得2<a <3.答案:C6. 解析:f (x )<12⇔x 2-a x <12⇔x 2-12<a x ,考查函数y =a x 与y =x 2-12的图象,当a >1时,必有a -1≥12,即1<a ≤2,当0<a <1时,必有a ≥12,即12≤a <1,综上,12≤a <1或1<a ≤2.答案:C7. 解析:当a >1时,y =a x 在[1,2]上单调递增,故a 2-a =a 2,得a =32.当0<a <1时,y =ax在[1,2]上单调递减,故a -a 2=a 2,得a =12.故a =12或32.答案:12或328. 解析:分别作出两个函数的图象,通过图象的交点个数来判断参数的取值范围.曲线|y |=2x+1与直线y =b 的图象如图所示,由图象可得:如果|y |=2x+1与直线y =b 没有公共点,则b 应满足的条件是b ∈[-1,1]. 答案:[-1,1]9. 解析:如图满足条件的区间[a ,b ],当a =-1,b =0或a =0,b =1时区间长度最小,最小值为1,当a =-1,b =1时区间长度最大,最大值为2,故其差为1. 答案:110. 解:要使函数有意义,则只需-x 2-3x +4≥0,即x 2+3x -4≤0,解得-4≤x ≤1. ∴函数的定义域为{x |-4≤x ≤1}.令t =-x 2-3x +4,则t =-x 2-3x +4=-(x +32)2+254,∴当-4≤x ≤1时,t max =254,此时x =-32,t min =0,此时x =-4或x =1.∴0≤t ≤254.∴0≤-x 2-3x +4≤52.∴函数y =1()2[28,1]. 由t =-x 2-3x +4=-(x +32)2+254(-4≤x ≤1)可知,当-4≤x ≤-32时,t 是增函数,当-32≤x ≤1时,t 是减函数.根据复合函数的单调性知:y =1()2在[-4,-32]上是减函数,在[-32,1]上是增函数.∴函数的单调增区间是[-32,1],单调减区间是[-4,-32].11. 解:令a x=t ,∴t >0,则y =t 2+2t -1=(t +1)2-2,其对称轴为t =-1.该二次函数在[-1,+∞)上是增函数.①若a >1,∵x ∈[-1,1],∴t =a x ∈[1a,a ],故当t =a ,即x =1时,y max =a 2+2a -1=14,解得a =3(a =-5舍去). ②若0<a <1,∵x ∈[-1,1],∴t =a x∈[a ,1a ],故当t =1a,即x =-1时,y max =(1a+1)2-2=14.∴a =13或-15(舍去).综上可得a =3或13.12. 解:法一:(1)由已知得3a +2=18⇒3a=2⇒a =log 32.(2)此时g (x )=λ·2x -4x, 设0≤x 1<x 2≤1,因为g (x )在区间[0,1]上是单调减函数,所以g (x 1)-g (x 2)=(2x 1-2x 2)(λ-2x 2-2x 1)>0恒成立,即λ<2x 2+2x 1恒成立.由于2x 2+2x 1>20+20=2,所以实数λ的取值范围是λ≤2. 法二:(1)同法一.(2)此时g (x )=λ·2x -4x,因为g (x )在区间[0,1]上是单调减函数,所以有g ′(x )=λln2·2x -ln4·4x=ln2[-2·(2x )2+λ·2x ]≤0成立.设2x =u ∈[1,2],上式成立等价于-2u 2+λu ≤0恒成立. 因为u ∈[1,2],只需λ≤2u 恒成立, 所以实数λ的取值范围是λ≤2.对数与对数函数同步练习一、选择题1、已知32a =,那么33log 82log 6-用a 表示是( )A 、2a -B 、52a -C 、23(1)a a -+ D 、 23a a -2、2log (2)log log a a a M N M N -=+,则NM的值为( ) A 、41B 、4C 、1D 、4或13、已知221,0,0x y x y +=>>,且1l o g (1),l o g ,l o g 1y aa a x m n x+==-则等于( )A 、m n +B 、m n -C 、()12m n +D 、()12m n -4、如果方程2lg (lg5lg7)lg lg5lg70x x +++= 的两根是,αβ,则αβ 的值是( )A 、lg5lg 7B 、lg 35C 、35D 、351 5、已知732log [log (log )]0x =,那么12x -等于( )A 、13 B C D 6、函数2lg 11y x ⎛⎫=- ⎪+⎝⎭的图像关于( )A 、x 轴对称B 、y 轴对称C 、原点对称D 、直线y x =对称7、函数(21)log x y -=的定义域是( )A 、()2,11,3⎛⎫+∞ ⎪⎝⎭B 、()1,11,2⎛⎫+∞ ⎪⎝⎭C 、2,3⎛⎫+∞ ⎪⎝⎭D 、1,2⎛⎫+∞ ⎪⎝⎭8、函数212log (617)y x x =-+的值域是( )A 、RB 、[)8,+∞C 、(),3-∞-D 、[)3,+∞ 9、若log 9log 90m n <<,那么,m n 满足的条件是( )A 、 1 m n >>B 、1n m >>C 、01n m <<<D 、01m n <<<10、2log 13a <,则a 的取值范围是( )A 、()20,1,3⎛⎫+∞ ⎪⎝⎭B 、2,3⎛⎫+∞ ⎪⎝⎭C 、2,13⎛⎫ ⎪⎝⎭D 、220,,33⎛⎫⎛⎫+∞ ⎪ ⎪⎝⎭⎝⎭11、下列函数中,在()0,2上为增函数的是( )A 、12log (1)y x =+ B 、2log y =C 、21log y x = D 、2log (45)y x x =-+ 12、已知()log x+1 (01)a g x a a =>≠且在()10-,上有()0g x >,则1()x f x a +=是( )A 、在(),0-∞上是增加的B 、在(),0-∞上是减少的C 、在(),1-∞-上是增加的D 、在(),0-∞上是减少的 二、填空题13、若2log 2,log 3,m n a a m n a +=== 。
对数函数及其性质练习题
1.对数式b a a =--)5(log 2中,实数a 的取值范围是
( ) A .)5,(-∞ B .(2,5) C .),2(+∞ D . )5,3()3,2(
2.函数f (x )=lg(x -1)+4-x 的定义域为( )
A .(1,4]
B .(1,4)
C .[1,4]
D .[1,4) 3.函数y =x |x |
log 2|x |的大致图象是( )
4.若log a 2<1,则实数a 的取值范围是( )
A .(1,2)
B .(0,1)∪(2,+∞)
C .(0,1)∪(1,2)
D .(0,12) 5.若log a 2<log b 2<0,则下列结论正确的是( )
A .0<a <b <1
B .0<b <a <1
C .a >b >1
D .b >a >1
6.设a =2log 3,b =2
1log 6,c =6log 5,则( ) A .a <c <b B .b <c <a C .a <b <c D .b <a <c
7.已知a >0且a ≠1,则函数y =a x 与y =log a (-x )的图象可能是( )
8.函数y =log 2x 在[1,2]上的值域是( )
A .R
B .[0,+∞)
C .(-∞,1]
D .[0,1]
9.已知函数f (x )=2log 12
x 的值域为[-1,1],则函数f (x )的定义域是( )
A .[22,2]
B .[-1,1]
C .[12,2]
D .(-∞,22
]∪[2,+∞) 10. 若函数f (x )=a x +log a (x +1)在[0,1]上的最大值和最小值之和为a ,则a 的值为( ) A.14 B.12
C .2
D .4
11. 函数y =log a (x +2)+3(a >0且a ≠1)的图象过定点________.
12.函数y =log 1
2(x -1)的定义域是________. 13.若函数f (x )=log a x (0<a <1)在区间[a,2a ]上的最大值是最小值的3倍,则a 的值为________.
14. 将函数x 2log y =的图象向左平移3个单位,得到图象1C ,再将1C 向上平移2个单位得到图象2C ,则2C 的解析式为 .
15.已知g (x )=,00ln e >≤⎩⎨⎧x x x x
则g [g (1
3)]=________. 16.若b a ==4log ,7log 36,则7log 12= , 若,518,9log 18==b a 则45log 36=
17.f (x )=log 21+x a -x
的图象关于原点对称,则实数a 的值为________. 2218.()log (23)_______;________.
f x x x =-++函数人的单调增区间是单调减区间是19.函数f (x )=lo
g 12
(3x 2-ax +5)在[-1,+∞)上是减函数,求实数a 的取值范围.
120.()log (01)1(1)()()1()0a
x f x a a x
f x f x f x x -=>≠+>>已知函数且求的定义域; (2)判断的奇偶性并证明;(3)当a 时,求使的的取值范围。
21.解下列对数不等式
(1))13(log )152(log 5.025.0+>--x x x (2)012792493log log >--x x。