电子电路基础第九章习题答案
- 格式:doc
- 大小:581.50 KB
- 文档页数:6
第九章继电-接触器控制思考题解答9-1-1一个复合按钮的动合触点和动断触点有可能同时闭合或同时断开吗?[答]由教材图9-1-5复合按钮的结构可知,当按钮被按下,动触片移动时,是先断开动断触点,后接通动合触点的,在动触片移动的过程中有一段很短的时间内动断触点和动合触点是同时断开的;当松开按钮时,是动合触点先复位断开,然后动断触点再复位闭合,中间也有一段很短的时间内动断触点和动合触点是同时断开的。
所以复合按钮的动断触点和动合触点只可能同时断开,而不可能同时闭合。
9-2-1 能否直接用按钮来控制三相笼型异步电动机主电路的通/断?为什么?[答]不能,理由有二:1. 三相笼型异步电动机主电路有三根电线,需用三只按钮同步控制,显然不合适;2. 按钮触点的允许通过电流一般不超过5A,而三相异步电动机的额定电流一般都超过此值,起动电流则更大。
9-2-2 在图9-1的电动机起、停控制控制电路中已装有接触器KM,为什么还要装一个隔离开关QS?它们的作用有何不同?图9-1[答] 接触器KM是控制电动机起、停的电器,而刀开关QS是隔离开关,它的作用是在检修时隔离电源以保安全,两者不能互相替代。
9-2-3 在图9-1中,如果将隔离开关QS下面的三个熔断器改接到隔离器上面的电源线上是否合适?为什么?[答]通常熔断器安装在刀开关的下方,是为了在更换熔丝时便于与电源隔离以确保安全,如果将刀开关下面的三个熔断器改接到刀开关上面的电源线上,则在更换熔丝时将带电操作,因此从安全方面考虑是不合适的。
9-2-4 按图9-1所示的三相异步电动机起、停控制电路接好线,通电操作时如果出现以下两种情况,试分析问题可能出在哪部分:(1) 按下起动按钮SBst ,接触器KM已经动作,但电动机不转或转得很慢并发出嗡嗡声;(2)当电动机已经起动后,松开起动按钮SBst ,电动机不能继续运转。
[答] (1) 按下起动按钮SBst,接触器KM已经动作,说明控制电路正常,但电动机不转或转得很慢并发出嗡嗡声.,说明三相电动机未通电或处于单相运行状态,可见问题出在主电路,可能是主电路中未接控制电路一相(图9-1中的L1相)的熔断器熔断,或是主电路中某处线路未接好或接触不良。
第9章 集成振荡电路习题解答【9-1】判断下列说法是否正确。
1.只要具有正反馈,电路就一定能产生振荡。
( 否,还要看幅度平衡条件。
)2.只要满足正弦波振荡电路的相位平衡条件,电路就一定振荡。
( 否,还要看幅度平衡条件。
)3.凡满足振荡条件的反馈放大电路就一定能产生正弦波振荡。
( 否,需要有选频网络。
)4.正弦波振荡电路自行起振荡的幅值条件是1=F A 。
( 否,应1AF> ) 5.正弦波振荡电路维持振荡的条件时F A =-1。
( 否)6.在反馈电路中,只要有LC 谐振电路,就一定能产生正弦波振荡。
( 否,还需 要有正反馈)7.对于LC 正弦波振荡电路,若已满足相位平衡条件,则反馈系数越大越容易起振。
( 是,反馈系数决定振荡的幅度条件)【9-2】在题图9-2所示的三个电路中,应如何进一步连接,才能成为正弦波振荡电路? 解:图(a),①接④;②接⑤;③接地。
图(b),①接⑤;②接⑥;⑦接④;③接⑧。
图(c),①接④;②接⑤;③接⑥。
o④③EE+V 21L L C(b)④③L(c)图9-2 题9-2电路图【9-3】为了使题图9-3中各电路能够产生正弦波振荡,请将图中j、k、m、n、 p各点正确连接。
+VCC+VCC332kp2(a)图9-3 题9-3电路图解:正确连线分别见解图9-3中的(d)、(e)、(f),晶体呈电感性。
+V CCC32解图9-3 题9-3的解【9-4】根据相位平衡条件判断题图9-4所示各电路是否能产生正弦波振荡?并说明理由。
图中的二极管有何作用?u o图9-4 题9-4电路图解:此电路是RC文氏桥振荡器,R w调节电路增益略大于3,保证起振和不产生大的失真。
二极管VD1、VD2起稳幅作用。
当振幅增大时,二极管因非线性正向导通电阻减少,负反馈增强,限制了振幅继续增长;反之,当振幅减少时,二极管因非线性正向导通电阻加大,负反馈减弱,防止振幅继续下降,起到自动稳幅的作用。
【9-5】电路如题图9-5所示。
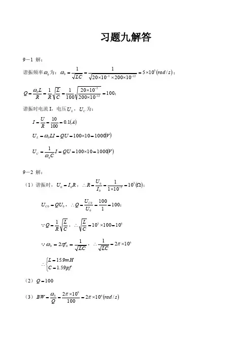
习题九解答9-1 解:谐振频率0ω为:()s rad LC/1051020010201151230⨯=⨯⨯⨯==--ω;100102001020100111230=⨯⨯===--C L R R LQ ω; 谐振时电流I ,电压L U ,C U 为: ()A R U I 1.010010===()V QU LI U L 1000101000=⨯===ω()V QU I CU C 10001010010=⨯===ω9-2 解:(1)谐振时,R I U 00=,()Ω=⨯==∴-3300101011I U R ;00QU U C =,100110000===∴U U Q C ; C L R Q 1=,531010010=⨯=∴CLLCf 1200==πω ,61021⨯=∴πLC⎩⎨⎧==∴pfC mH L 59.19.15 (2)100=Q(3)()s rad Q BW /102100102460⨯=⨯==ππω9-4 解: UI P =max ,即1cos =ϕ,电路发生了串联谐振。
(1)根据谐振条件CL 001ωω=,可得: ()()H C L 02.01082500116220=⨯⨯==-ω;由W R U I R UI P 10022max====,得()Ω===1100102max P U R ,则电路的品质因数50102.025000=⨯==RLQ ω(2)各电压电流相量为:VU o 1510.∠=,VU U o R 1510..∠==,A RUI o 1510..∠==,V j U jQ U ooL 105500151050..∠=∠⨯==,V U U o L C 75500..-∠=-=U .9-5 解:当Q>>1时,原电路可看做为0G 、L 、C 并联电路,且:L RCLR G ==2200ω,所以原电路可化为: (1)谐振时,R 获得max P ,则0G 获得max P ,而LC于开路,Ω=∴K R 500,S G 3010501⨯=;又1000==G CQ ω ,U ..C()F QG C 96301021010501100-⨯=⨯⨯==∴ω; ()()mH C L LCQ 5.01021011,1,1926200=⨯⨯==∴=∴>>-ωω()Ω=⨯⨯⨯⨯==∴=--51021050105.0,93300C LG R L RC G (2)()()mA G U I s 1105050100150200=⨯+=⎪⎪⎭⎫ ⎝⎛+=; ()V G I U 5010501013300=⨯⨯⨯==-;()W I U P s 1.010*******=⨯⨯==-9-7 解: 将L 与电压源串联化为L 与电流源并联,由W P 1000=,且只有电阻消耗有功,可知()A RPI R 10==,R s I I = ,且R C L s I I I I ....++=,∴电路发生并联谐振,()Ω-=10C X 。
第九章 三相电路(部分习题参考答案)9.1 A m cos 2u U t ω=,,C m cos(2120)u U t ω=−oB m cos(2240)u U t ω=−o9.2 相电压为198V ,相电流为6.10A 9.3 220VAXU &BYUU &AYU &9.4440VU &U &AX&ACU &9.5 (1)ϕ2=120°,ϕ3= −120°;(2) A'B'45A I =o&,B'C'165A I =o&,C'A'75A I =−o&;(3) A 15A I =o&,B 135A I =o&,C105A I =−o& 9.6 (1) ,,; A'N'2053.13V U =∠−o &B'N'20173.13V U =∠−o &C'N'2066.87V U =∠o & (2) ,, AB 34.623.13V U =∠−o &BC 34.6143.13V U =∠−o &CA34.696.87V U =∠o &9.7 , ; A 15.8337.7A I =∠−o &A N202.80.96V U ′′=∠o & , ; B 15.83157.7A I =∠−o &B N202.8119.04V U ′′=∠−o &C 15.8382.3A I =∠o &, C N202.8120.96V U ′′=∠o &9.8 ,,; A 28.1739.8A I =∠−o &B 28.17159.8A I =∠−o &C28.1780.2A I =∠o &A B 16.269.8A I ′′=∠−o &,,; B C 16.26129.8A I ′′=∠−o &C A 16.26110.2A I ′′=∠o &A B312.328.86A U′′=∠o &,, B C312.391.14A U ′′=∠−o &C A312.3148.86A U ′′=∠o &9.9110V9.10 (a) 电流表读数为0, (b) 电流表读数为220A 9.11 l I =9.12 1()R C L += 9.13 电流表A 1的读数为0.591A ,电流表A 2的读数为0.318A , 电流表A 3的读数为0.318A ,电流表A 0的读数为0.364A9.14 (1),(2)A B ''4cos15 3.86A I I ==≈o A '2A I =,B 'I =9.15 ,电源连接方式改变不会影响结果。
第9章习题参考答案9.1工厂供电系统由哪些部分组成?答:工厂供电系统由工厂总降压变电所、高压配电线路、车间变配电所、低压配电线路及用电设备组成。
9.2什么是额定电压?如何划分等级?答:额定电压就是指能使各种用电设备处于最佳运行状态的工作电压。
我国现阶段各种电力设备的额定电压统一划分等级,共分为三类。
第一类额定电压是100v 以下的电压,这类电压主要用于安全照明、蓄电池及开关设备的操作电源。
其中36v 电压,只作为潮湿环境的局部照明及其他特殊电力负荷用。
第二类额定电压高于100V ,低于1000V ,这类电压主要用于低压三相电动机及照明设备。
第三类额定电压高于1000V ,这类电压主要用于发电机、变压器、配电线路及发电设备。
9.3标志供电电能质量的指标是什么?答:衡量电能质量的主要指标是:电压、频率、波形和供电的可靠性。
9.4变压器的一次绕组和二次绕组的额定电压是如何定义的?答:电力变压器的额定电压。
电力变压器的额定电压有一次绕组和二次绕组的额定电压之分。
①电力变压器一次绕组的额定电压,分两种情况。
如果变压器直接与发电机相连时,其一次绕组的额定电压应与发电机的额定电压相同,即比同级电网额定电压高5%。
当变压器接在线路上时,则看作是线路的用电设备,所以其一次绕组的额定电压应与电网额定电压相同。
②电力变压器二次绕组的额定电压,也分两种情况。
由于变压器二次绕组的额定电压,是指变压器一次绕组加上额定电压而二次绕组开路的电压,即指的是开路电压;而在变压器满载时,其二次绕组内约有5%的阻抗压降。
所以,如果变压器二次侧供电线路较长(高压电网输电)时,则变压器二次侧额定电压,一方面要考虑补偿变压器满载时内部5%的电压降,另一方面要考虑变压器满载输出时的二次电压还要高于电网额定电压5%,故要比电网额定电压高10%。
若变压器二次侧供电线路不长,如为低压配电网或直接供电给高低压用电设备时,则变压器二次绕组的额定电压,只需高于电网额定电压的5%。
电工第九章习题第九章习题一、选择题9.1.1 对半导体而言,起正确的说法是()。
(1)P型半导体中由于多数载流子为空穴,所以它带正电。
(2)N型半导体中由于多数载流子为只有电子,所以它带负电。
(3)P型半导体和N型半导体本身都不带电。
9.2.1 在图9.01所示的电路中,Uo为()。
(1)-12V (2)-9V(3)-3V9.2.2在图9.02所示的电路中,Uo为()。
其中,忽略二极管的正向压降。
(1)4V (2)1V (3)10V9.3.1 在图9.03所示的电路中,稳压二极管Dz1和Dz2的稳定电压分别为5V和7V,其正向压降课忽略不计,则Uo为()。
(1)5V (2)7V (3)0V9.3.2 在图9.04所示的电路中,稳压二极管Dz1和Dz2的稳定电压分别为5V和7V,其正向压降课忽略不计,则Uo为()。
(1)5 V (2)7 V (3)0 V9.4.1 在放大电路中,若测得某晶体管三个极的电位分别为9 V,4 V,3.4 V,则这三个级分别为()。
(1)C,B,E (2)C,E,B (3)E,C,B9.4.2在放大电路中,若测得某晶体管三个极的电位分别为-6 V,-2.3 V,-2 V,则-2.3V那个极为()。
(1)集电极(2)基极(3)发射极9.4.3 在放大电路中,若测得某晶体管三个极的电位分别为6 V,1.2 V,1 V,则此管为()。
(1)NPN型硅管(2)PNP型锗管(3)NPN型锗管9.4.4 对某电路中一个NPN型硅管测试,测得Ube>0,Ubc>0,Uce>0,则此管工作在()。
(1)放大区(2)饱和区(3)截止区9.4.5 对某电路中一个NPN型硅管测试,测得Ube>0,Ubc<0,Uce>0,则此管工作在()。
(1)放大区(2)饱和区(3)截止区9.4.6 对某电路中一个NPN型硅管测试,测得Ube<0,Ubc<0,Uce>0,则此管工作在()。
电路(第九章)9—7、附图中已知 us 200 2 cos(314t / 3)V ,电流表 A 的读数为 2A,电压表 V1、V2的读数均为 200V。
求参数 R、L、C。
并作出该电路的相量图(提示:先作相量图辅助计算)。
+ V1 -解:由于 Us、V1、V2 读数相等,三个电压的相量图为等边△。
ARjωL+1jωC -+ V2-•US 20060V•则:U 1200120V•U22000V•I290A题 9—7 图XC U2 I200 2 100C 1 1 31.8F X C 100 314Z1• U1 • I200120 290 10030 86.6 j50则:R 86.6X L 50L X L 50 0.16H 314•9—8、附图中 iS 14 2 cos(t )mA ,调节电容,使电压U U ,电流表 A1 的读数为50mA。
求电流表 A2 的读数。
A1+ A2R jωL•解:设U U0V画相量图为:••••从相量图可以看出:U I 2 ,且U 与 I S 同相相量图- 题 9—8 图••• ••所以: I S I 2 ,I S 、I 1 、I 2 构成直角三角形。
I2 I12I2 S502 142 48mA9—9、附图中 Z1(10j50), Z2(400•j1000 ), 如果要使 I 2•和US的相位差为90(正交),β应等于多少?如果把图中 CCCS 换为可变电容 C,求ωC。
Z1 1 +Z2 -题 9—9 图 0••••••解:U S Z1 I Z2 I 2 Z1 I 2 Z1 I 2 Z2 I 2 则:•US• Z1 Z1 Z2I2••若要使 I 2 和U S 正交应有:ReZ1 Z1 Z2 0 即:10+10β+400=0β=-41•••••••若把图中 CCCS 换为可变电容 C 时:U S Z1 (I 2 I C ) Z2 I 2 Z1 I 2 jCZ1Z2 I 2 Z2 I 2ReZ1 jCZ1Z2 Z2 0 即:10-30000ωC+400=0 C 1.37 10219—10、已知附图电路中 Z2=j60Ω,各交流电表的读数分别为 V:100V;V1:171V;V2:240V。
2-1与信息电子电路中的二极管相比,电力二极管具有怎样的结构特点才使得其具有耐受高压和大电流的能力?答:1.电力二极管大都采用垂直导电结构,使得硅片中通过电流的有效面积增大,显著提高了二极管的通流能力。
2.电力二极管在P区和N区之间多了一层低掺杂N区,也称漂移区。
低掺杂N区由于掺杂浓度低而接近于无掺杂的纯半导体材料即本征半导体,由于掺杂浓度低,低掺杂N区就可以承受很高的电压而不被击穿。
2-6 GTO 和普通晶闸管同为PNPN 结构为什么 GTO 能够自关断而普通晶闸管不能?答:GTO和普通晶闸管同为 PNPN 结构,由 P1N1P2 和 N1P2N2 构成两个晶体管V1、V2 分别具有共基极电流增益α1 和α2,由普通晶闸管的分析可得,α1 + α 2 = 1 是器件临界导通的条件。
α1 + α 2>1 两个等效晶体管过饱和而导通;α1 + α 2<1 不能维持饱和导通而关断。
GTO 之所以能够自行关断,而普通晶闸管不能,是因为 GTO 与普通晶闸管在设计和工艺方面有以下几点不同:l)GTO 在设计时α 2 较大,这样晶体管 T2 控制灵敏,易于 GTO 关断;2)GTO 导通时α1 + α 2 的更接近于 l,普通晶闸管α1 + α 2 ≥ 1.5 ,而 GTO 则为α1 + α 2 ≈ 1.05 ,GTO 的饱和程度不深,接近于临界饱和,这样为门极控制关断提供了有利条件;3)多元集成结构使每个 GTO 元阴极面积很小, 门极和阴极间的距离大为缩短,使得 P2 极区所谓的横向电阻很小, 从而使从门极抽出较大的电流成为可能。
2-7与信息电子电路中的MOSFET相比,电力MOSFET具有怎样的结构特点才具有耐受高电压和大电流的能力?1.垂直导电结构:发射极和集电极位于基区两侧,基区面积大,很薄,电流容量很大。
2.N-漂移区:集电区加入轻掺杂N-漂移区,提高耐压。
3.集电极安装于硅片底部,设计方便,封装密度高,耐压特性好。
习题九9-1 集成运放电路与分立元件放大电路相比有哪些突出优点答:集成运放与分立元件放大电路相比有很多优点,其突出优点是:(1)在集成电路中,制造有源器件(晶体三极管、场效应管等)比制造大电阻占用的面积小,且工艺上也不会增加麻烦,因此,集成电路中大量使用有源器件组成的有源负载,以获得大电阻,提高放大电路的放大倍数;将其组成电流源,以获得稳定的偏置电流。
所以一般集成运放的放大倍数与分立元件的放大倍数相比大得多。
(2)由于集成电路中所有元件同处于一块硅片上,相互距离非常近,且在同一工艺条件下制造,因此,尽管各元件参数的绝对精度差,但它们的相对精度好,故对称性能好,特别适宜制作对称性要求高的电路,如差动电路、镜像电流源等。
(3)集成运算放大电路中,采用复合管的接法以改进单管性能。
9-2 什么是零点漂移产生零点漂移的主要原因是什么差动放大电路为什么能抑制零点漂移答:由于集成运放的级间采用直接耦合方式,各级的静态工作点相互影响,前一级的静态工作点的变化将会影响到后面各级的静态工作点,由于各级的放大作用,第一级的微弱信号变化,经多级放大后在输出端也会产生很大变化。
当输入电压为零时,输出电压偏离零值的变化称为“零点漂移”。
产生“零点漂移”的原因主要是因为晶体三极管的参数受温度的影响。
差动电路是采用两个参数完全对称的电路,两个管子的温度特性也完全对称,所以当输入电压为零时,两个管子集电极电位是相等的,差动电路能够抑制“零点漂移”。
9-3 在A 、B 两个直接耦合放大电路中,A 放大电路的电压放大倍数为100,当温度由20℃变到30℃时,输出电压漂移了2V ;B 放大电路的电压放大倍数为1000,当温度从20℃变到30℃时,输出电压漂移10V 。
试问哪一个放大电路的零漂小为什么答:要判断哪个电路零漂大,一般是将它折合到输入端,由于两个电路温度都是由20℃变到30℃,所以A 电路2V/100=20mV ,B 电路为10V/1000=10mV ,所以B 电路零漂小。
电路(第九章)9—7、附图中已知 us 200 2 cos(314t / 3)V ,电流表 A 的读数为 2A,电压表 V1、V2的读数均为 200V。
求参数 R、L、C。
并作出该电路的相量图(提示:先作相量图辅助计算)。
+ V1 -解:由于 Us、V1、V2 读数相等,三个电压的相量图为等边△。
ARjωL+1jωC -+ V2-•US 20060V•则:U 1200120V•U22000V•I290A题 9—7 图XC U2 I200 2 100C 1 1 31.8F X C 100 314Z1• U1 • I200120 290 10030 86.6 j50则:R 86.6X L 50L X L 50 0.16H 314•9—8、附图中 iS 14 2 cos(t )mA ,调节电容,使电压U U ,电流表 A1 的读数为50mA。
求电流表 A2 的读数。
A1+ A2R jωL•解:设U U0V画相量图为:••••从相量图可以看出:U I 2 ,且U 与 I S 同相相量图- 题 9—8 图••• ••所以: I S I 2 ,I S 、I 1 、I 2 构成直角三角形。
I2 I12I2 S502 142 48mA9—9、附图中 Z1(10j50), Z2(400•j1000 ), 如果要使 I 2•和US的相位差为90(正交),β应等于多少?如果把图中 CCCS 换为可变电容 C,求ωC。
Z1 1 +Z2 -题 9—9 图 0••••••解:U S Z1 I Z2 I 2 Z1 I 2 Z1 I 2 Z2 I 2 则:•US• Z1 Z1 Z2I2••若要使 I 2 和U S 正交应有:ReZ1 Z1 Z2 0 即:10+10β+400=0β=-41•••••••若把图中 CCCS 换为可变电容 C 时:U S Z1 (I 2 I C ) Z2 I 2 Z1 I 2 jCZ1Z2 I 2 Z2 I 2ReZ1 jCZ1Z2 Z2 0 即:10-30000ωC+400=0 C 1.37 10219—10、已知附图电路中 Z2=j60Ω,各交流电表的读数分别为 V:100V;V1:171V;V2:240V。
习题九习题九9-1试求图9-1电路中()()()+++000C L L u u i 、、解a :()m A 60=+L i ;()V 24.01064003-=⨯⨯-=-+L u ;()00=+C u b :()A 16330=+=+L i9-2在RC 串联电路中试作:(a )求()()05.1C C u u τ的比值;(b )()()τC C u t u 5.0=时τt 之比值;(c )假若电阻增加10Ω使得时间常数从7mS 增加到8mS 求12R R 之比值。
答0.223;1.693;1.143解:(a )()()()()0223.0005.15.15.1c c c c u eu e u u ===--τττ(b )()()()0368.001c C C u eu u ==-τ()()()()0184.00368.05.00c c tc c u u e u t u =⨯==-τ184.0=-τte;693.1184.0ln ==τt(c ) 31107-⨯==RC τ ()3210810-⨯=+=C R τCR 32108-⨯=; CR 31107-⨯=;143.17812==R R9-3图9-3电路当开关断开瞬间,电压表指示为10V ,经10秒钟电压表指示降为3V ,已知电压表内阻为10M Ω,试求电容值。
98 答0.83μF 解:31010==-τeu c ;204.13.0ln 10==τ;306.8=τ(b )(a )图9-1 习题9-1题图40Ω习题九F 83.01010306.86μτ=⨯==RC9-4图9-4电路中原已稳定,t =0时开关打向2,试求t ≥0时的u、i 。
答V 63102-⨯-t e解4 ()V 69960=⨯=c u ;S 10210102363--⨯=⨯⨯=τV 63102-⨯-=tc eu9-5图9-5电路中,已知()V 60=-C u ,试用两种方法求0≥t 时的C u 、i C 。
电路第九章课后习题答案电路第九章课后习题答案电路是电子工程学的基础课程之一,它涵盖了电流、电压、电阻等基本概念和定律。
在学习电路的过程中,课后习题是巩固知识和提高技能的重要途径。
本文将为大家提供电路第九章课后习题的详细答案,希望能够帮助大家更好地理解和掌握电路的知识。
1. 问题:一个电源的电动势为12V,内阻为2Ω,接有一个电阻为4Ω的负载。
求电源的电流和负载电压。
解答:根据欧姆定律,电流I等于电源电动势E除以总电阻R。
总电阻R等于电源内阻r与负载电阻R之和。
所以,总电流I等于电源电动势E除以电源内阻r加上负载电阻R。
总电流I = E / (r + R) = 12V / (2Ω + 4Ω) = 2A负载电压U = I * R = 2A * 4Ω = 8V所以,电源的电流为2A,负载电压为8V。
2. 问题:一个电路中有一个电阻为6Ω的负载,电源的电动势为10V,内阻为4Ω。
求电路的总电流和负载电压。
解答:同样地,根据欧姆定律,总电流I等于电源电动势E除以总电阻R。
总电阻R等于电源内阻r加上负载电阻R。
所以,总电流I等于电源电动势E除以电源内阻r加上负载电阻R。
总电流I = E / (r + R) = 10V / (4Ω + 6Ω) = 1A负载电压U = I * R = 1A * 6Ω = 6V所以,电路的总电流为1A,负载电压为6V。
3. 问题:一个电路中有一个电阻为8Ω的负载,电源的电流为2A,内阻为2Ω。
求电源的电动势和负载电压。
解答:根据欧姆定律,负载电压U等于电流I乘以负载电阻R。
所以,负载电压U等于电源电动势E减去电源内阻r乘以电流I。
负载电压U = E - r * I = E - 2Ω * 2A = E - 4V负载电压U = I * R = 2A * 8Ω = 16V由上面两个等式可以得到:E - 4V = 16V解方程可得:E = 20V所以,电源的电动势为20V,负载电压为16V。
第9章9.1 选择题1. 处于谐振状态的RLC 串联电路,当电源频率升高时,电路将呈( B )。
A. 电阻性B. 电感性C. 电容性D. 视电路元件参数而定 2. RLC 串联电路中,发生谐振时测得电阻两端电压为6V ,电感两端电压为8V ,则电路总电压是( C )。
A. 8VB. 10VC. 6VD. 14V3. Ω=5R 、mH L 50=,与电容C 串联,接到频率为1KHz 的正弦电压源上,为使电阻两端电压达到最大,电容应该为( B )。
066.5.A F μ B.F μ5066.0 C.F μ20 D.F μ24. 下列关于谐振说法中不正确的是( D )。
A. RLC 串联电路由感性变为容性的过程中,必然经过谐振点B. 串联谐振时阻抗最小,并联谐振时导纳最小C. 串联谐振又称为电压谐振,并联谐振又称为电流谐振D. 串联谐振电路不仅广泛应用于电子技术中,也广泛应用于电力系统中 5. 如图x9.1所示RLC 并联电路,sI •保持不变,发生并联谐振的条件为( A )。
A.CL ωω1=B.Cj L j ωω1=C.CL 1=D.Cj L j R ωω1=+图x9.1 选择题5图6. 若i i i 21+=,且A sin 101t i ω=,A )902sin(102ο+=t iω,则i 的有效值为( C )。
A. 20A B. A 220 C. 10A D. A 2/109.2 填空题1. 在含有L 、C 的电路中,出现总电压、电流同相位的现象,这种现象称为 谐振 。
Cj ω12. RLC 串联电路发生谐振时,电路中的角频率=0ωLC /1,=0f LC π2/1。
3. Ω=10R ,H 1=L ,F 100μ=C ,串联谐振时,电路的特性阻抗=ρ 100 ,品质因数Q= 10 。
4. 对某RLC 并联电路端口外加电流源供电,改变ω使该端口处于谐振状态时,电压 最大, 导纳 最小,功率因数=λ 1 。
第九章习题
输电线路所用的传输线,测得其分布电路参数为00.08/R km =Ω,00.4/L km ω=Ω,0 2.8/C S km ωμ=,0G 忽略不计,求该传输线的特征阻抗0Z 和传播常数k 。
解:
0380.1437.608Z j =
=-
00.00110.0001k j =
=- 传输线的特征阻抗050Z =Ω,负载阻抗(7575)L Z j =+Ω,求: (1)负载处的反射系数 (2)驻波系数 解:(1)0
0.41180.3529L L L Z Z j Z Z -Γ=
=++
(2)max min 1||
3.36991||
L L U U ρ+Γ=
==-Γ 电缆参数为07/R km =Ω,-3
00.310/L H km =⨯,00.2/C F km μ=,
600.510/G S km -=⨯,电源频率800f Hz =。
(1)计算特征阻抗0Z 和传播常数k 。
(2)如电缆长20km ,终端接阻抗10030L Z =∠-Ω,始端电压150U V =,求始端电流1I 及终端电压2U ,终端电流2I 。
解:(1
)084.238.9Z =
=∠-Ω
1(0.066210.0534)k j km -=
=- (2)取始端电压1U 作为参考相量,即1500V U =∠
1.0680.0662kl j =+
11
(),
()22
kl kl kl kl chrl e e shrl e e --=+=-
22L
U I Z =
12022()L
Z U U chrl Z I shrl U chrl shrl Z =+=+
212200
()L U Z
I I chrl shrl I chrl shrl Z Z =+
=+ 得出22118.7,0.187,0.597U V I A I A ===
一条无损传输线的长度为1.5m ,频率为200MHz ,波速是光速,特征阻抗是400Ω,末端接负载与之匹配,求此线的输入阻抗;又如负载为800Ω时,求输入阻抗。
解:终端负载匹配,0400in Z Z ==Ω
1.5,c
m l f
λλ=
==负载为800Ω时800in l Z Z ==Ω 如习题图所示的电路,由两段无损传输线组成,01600Z =Ω,02700Z =Ω,终端电阻2700R =Ω,为使在AB 处不发生反射,求AB 间应接电阻1R 等于多少
习题图
解:202700R Z ==Ω 第二段传输线工作于匹配状态。
AB 段的输入阻抗
022700inAB Z Z R ===Ω
为使AB 段不发生反射,AB 段的总电阻
01600AB Z Z ==Ω
1//AB inAB
Z R Z =, 得出,
14200R =Ω
无损架空输电线长300km ,特征阻抗为500Ω,始端接频率为50Hz ,有效值100U kV =的电源。
求终端开路时电压、电流的有效值的沿线分布。
解:822250,310/,/,6000
f f Hz c m s rad km c π
ππ
βλ
==⨯=
=
= 2
121cos sin L
U U U l I l
Z ββ==
终端开路时,, 21105.15,64.98U kV I A ==得出
21()|cos |,()|sin |U x U x V I x I x A ββ==
2()105.15|cos |,()64.98|sin |,(/,km 6000
U x x V I x x A rad km x π
βββ===
以计)
测得传输线上的驻波比为4,离开负载0.1λ为第一个波节点,传输线的特征阻抗为
50Ω,求负载阻抗L Z 。
解: 1||
41||
L L ρ+Γ=
=-Γ
得到||0.6L Γ=。
从负载向源方向第一个波腹=节的位置是min1()0.144
L d ϕλλ
λπ=-+=- 得到0.6L ϕπ=-
因此负载处反射系数为0.60.6j L e π
-Γ=
负载阻抗为0
1(18.532.9)1L
L L
Z Z j +Γ==-Ω-Γ
已知长为3.25m 的无损传输线,特征阻抗为50Ω,接至电压为100sin u tV ω=的电源,电源的内阻0i R Z =。
传输线上波长1m λ=。
分别在以下情况下求出传输线上的电流和线间的电压:
(1)终端接匹配负载0L Z Z = (2)终端短路。
解:(1)(,)sin(2),(,)50sin(2)i x t t x A u x t t x ωπωπ=-=- (2)(,)2cos 2sin(),(,)100sin 2sin 2
i x t x t A u x t x tV π
πωπω=-
=
在300f MHz =的高频无损线路中,为了得到3
410C F μ-=⨯的电容,利用短于/4λ的开路传输线来代替,设波速是光速,特征阻抗600Ω,求传输线的长度。
解: 对于开路负载,L Z →∞,x l =-处的阻抗: 01
()tan()Z l Z j kl -=
小于/4λ开路无损线相当于电容。
()
1
0j C Z l ω+=-
可得1()Z l j C
ω-=-
将0600Z =Ω,3
410C F μ-=⨯,8610/rad s ωπ=⨯代入得:
81
8
610 6.28310
p k m v ω
π-⨯===⨯ 求得01
arctan()0.25l Z wC m k
=
= 在100f MHz =的无损线路中,为了得到3210L mH -=⨯的电感,利用短于/4λ的短路传输线来代替,设波速是光速,特征阻抗600Ω,求传输线的长度。
解: 对于短路负载,0L Z =,x l =-处的阻抗: 0()tan()Z l jZ kl -= 小于/4λ短路无损线相当于电感。
()11
0Z l j L
ω+=-
可得()Z l j L ω-=-
将0600Z =Ω,3
210L mH -=⨯,8
2210/f rad s ωππ==⨯代入得:
81
8
1013103
p k m v ω
-===⨯ 求得0
1arctan()0.54wL
l m k Z =
=
无损传输线特征阻抗50Ω,负载阻抗525.99L Z =∠Ω,求传输线长度3
,,848
l λλλ
=处的输入阻抗in Z 。
解:00
0tan()2,tan()L in L Z jZ kl Z Z k Z jZ kl π
λ
+==
+ (1) 000,()9.745453.666888L L
Z jZ l Z Z j Z jZ λ
λ
+=
-==++ (2) 2
0,()449.44219.1144L
Z l Z j Z λλ
=-==-
(3) 00033
,()8.189145.096688L L
Z jZ l Z Z j Z jZ λλ-=
==-- 无损传输线的特征阻抗50Ω,终端开路,测得始端输入阻抗为33j Ω,求传输线以波长计的长度
l λ。
解:对于开路负载,L Z →∞,x l =-处的阻抗:
1
()tan()Z l Z j kl -= 2,33,50in o k Z j Z π
λ
=
=Ω=Ω
150
0.5arctan()0.344233
l λπ=-=得出,
如习题图所示,特征阻抗为50Ω、空气填充的无损同轴线终端接有1(5050)L Z j =+Ω的负载阻抗。
在距终端12l cm =处并接特性阻抗为75Ω的无损同轴线,它的终端接有
2(7575)L Z j =-Ω的负载,长度23l cm =。
已知工作波长10cm λ=,求接入点AA 截面前
3.5cm 处传输线始端的输入阻抗。
习题图
解:'1222//il il Z Z Z =
10112
022101
2020111022tan()tan()
20.2,,tan()tan()
L L il il L L Z jZ kl Z jZ kl k Z Z Z Z Z jZ kl Z jZ kl π
πλ
++=
===++ ''012201
0122tan()3.5,(61.5 3.4)tan()
in Z jZ kl l cm Z Z j Z jZ kl +===+Ω+。