初一下数学解方程组练习题
- 格式:docx
- 大小:110.82 KB
- 文档页数:5
七年级下册50道解二元一次方程组含答案1、求解方程组:begin{cases} x+y= \\ x-y=2 \end{cases}$$改写为:begin{cases} x+y=a \\ 2x=a+2y \end{cases}$$其中,$a$为待求解的常数。
解得:$x=\frac{a+2}{2}$,$y=\frac{a-2}{2}$,因此方程的解为$(\frac{a+2}{2},\frac{a-2}{2})$。
2、求解方程组:begin{cases} y=2x \\ x+y=3 \end{cases}$$将第一个方程代入第二个方程,得到$3x=3$,解得$x=1$,因此$y=2$,方程的解为$(1,2)$。
3、求解方程组:begin{cases} x-y=6 \\ 2x+31y=-11 \end{cases}$$将第一个方程变形为$x=6+y$,代入第二个方程得到$2(6+y)+31y=-11$,解得$y=-\frac{23}{33}$,因此$x=\frac{55}{33}$,方程的解为$(\frac{55}{33},-\frac{23}{33})$。
4、求解方程组:begin{cases} x+y=1 \\ 3x-y=3 \end{cases}$$将第一个方程变形为$y=1-x$,代入第二个方程得到$3x-(1-x)=3$,解得$x=1$,因此$y=0$,方程的解为$(1,0)$。
5、求解方程组:begin{cases} y=2x-3 \\ 3x+2y=8 \end{cases}$$将第一个方程代入第二个方程,得到$3x+2(2x-3)=8$,解得$x=2$,因此$y=1$,方程的解为$(2,1)$。
6、求解方程组:begin{cases} x+y=1 \\ 4x+y=10 \end{cases}$$将第一个方程变形为$y=1-x$,代入第二个方程得到$4x+(1-x)=10$,解得$x=3$,因此$y=-2$,方程的解为$(3,-2)$。
初一下解方程组练习题解方程组是初中数学中的重要内容,也是数学建模和解决实际问题的基础。
下面将为大家提供一些初一下学期解方程组的练习题,帮助大家巩固和提高解方程组的能力。
练习题1:已知方程组:$\begin{cases}2x+y=7 \\3x-2y=1\end{cases}$求解方程组。
解答:首先,我们可以使用消元法解这个方程组。
为了消去y的系数,在第一个方程的两边同时乘以2,得到新的方程:$\begin{cases}4x+2y=14 \\3x-2y=1\end{cases}$将这两个方程相加,可以得到:$7x=15$解得$x=\frac{15}{7}$将$x$的值代入第一个方程,可以得到:$2(\frac{15}{7})+y=7$解得$y=7-\frac{30}{7}=-\frac{1}{7}$因此,方程组的解为$x=\frac{15}{7}$,$y=-\frac{1}{7}$。
练习题2:已知方程组:$\begin{cases}3x-4y=10 \\5x+2y=2\end{cases}$解答:这个方程组也可以使用消元法解。
为了消去y的系数,在第二个方程的两边同时乘以2,得到新的方程:$\begin{cases}3x-4y=10 \\10x+4y=4\end{cases}$将这两个方程相加,可以得到:$13x=14$解得$x=\frac{14}{13}$将$x$的值代入第一个方程,可以得到:$3(\frac{14}{13})-4y=10$解得$y=-\frac{12}{13}$因此,方程组的解为$x=\frac{14}{13}$,$y=-\frac{12}{13}$。
练习题3:$\begin{cases}7x-3y=1 \\3x+5y=11\end{cases}$求解方程组。
解答:这个方程组我们可以使用消元法来解。
为了消去y的系数,在第一个方程的两边同时乘以5,得到新的方程:$\begin{cases}35x-15y=5 \\3x+5y=11\end{cases}$将这两个方程相加,可以得到:$38x=16$解得$x=\frac{8}{19}$将$x$的值代入第一个方程,可以得到:$7(\frac{8}{19})-3y=1$解得$y=\frac{33}{19}$因此,方程组的解为$x=\frac{8}{19}$,$y=\frac{33}{19}$。
七年级下册数学二元一次方程组题一、基础题型。
1. 已知方程2x + y = 5,当x = 2时,求y的值。
- 解析:将x = 2代入方程2x+y = 5中,得到2×2 + y=5,即4 + y = 5,解得y = 5 - 4=1。
2. 解方程组x + y = 3 x - y = 1- 解析:将两个方程相加,可得(x + y)+(x - y)=3 + 1,即2x=4,解得x = 2。
把x = 2代入x + y = 3中,得到2+y = 3,解得y = 1。
所以方程组的解为x = 2 y = 1。
3. 若x = 1 y = - 1是方程ax - 2y = 3的解,则a的值是多少?- 解析:将x = 1,y=-1代入方程ax-2y = 3中,得到a×1-2×(-1)=3,即a + 2 = 3,解得a=1。
4. 解方程组2x+3y = 8 3x - 2y=-1- 解析:给第一个方程乘以2,第二个方程乘以3,得到4x + 6y = 16 9x-6y=-3。
将这两个新方程相加,可得(4x + 6y)+(9x - 6y)=16+( - 3),即13x = 13,解得x = 1。
把x = 1代入2x+3y = 8中,得到2 + 3y = 8,解得3y = 6,y = 2。
所以方程组的解为x = 1 y = 2。
5. 已知x = 2m y = 3m满足方程2x + y = 14,求m的值。
- 解析:将x = 2m,y = 3m代入方程2x + y = 14中,得到2×2m+3m = 14,即4m+3m = 14,7m = 14,解得m = 2。
二、应用题类型。
6. 一个长方形的周长是40,长比宽多4,设长为x,宽为y,求这个长方形的长和宽。
- 解析:根据长方形周长公式C = 2(x + y),已知周长C = 40,可得方程2(x + y)=40,即x + y = 20。
又因为长比宽多4,所以x-y = 4。
解方程组50题配完整解析1.解下列方程组.(1)(2).【解答】解:(1)方程组整理得:,②﹣①×2得:y=8,把y=8代入①得:x=17,则方程组的解为;(2)方程组整理得:,①×3﹣②×2得:5y=5,即y=1,把y=1代入①得:x=8,则方程组的解为.2.解方程组:①;②.【解答】解:①,①×3+②×2得:13x=52,解得:x=4,则y=3,故方程组的解为:;②,①+12×②得:x=3,则3+4y=14,解得:y=,故方程组的解为:.3.解方程组.(1).(2).【解答】解:(1),②﹣①得:x=1,把x=1代入①得:y=9,∴原方程组的解为:;(2),①×3得:6a+9b=6③,②+③得:10a=5,a=,把a=代入①得:b=,∴方程组的解为:.4.计算:(1)(2)【解答】解:(1),①×2﹣②得:5x=5,解得:x=1,把x=1代入②得:y=﹣2,所以方程组的解为:;(2),①﹣②×2得:y=1,把y=1代入①得:x=﹣3,所以方程组的解为:.5.解下列方程组:(1)(2).【解答】解:(1),①×5,得15x﹣20y=50,③②×3,得15x+18y=126,④④﹣③,得38y=76,解得y=2.把y=2代入①,得3x﹣4×2=10,x=6.所以原方程组的解为(2)原方程组变形为,由②,得x=9y﹣2,③把③代入①,得5(9y﹣2)+y=6,所以y=.把y=代入③,得x=9×﹣2=.所以原方程组的解是6.解方程组:【解答】解:由①得﹣x+7y=6 ③,由②得2x+y=3 ④,③×2+④,得:14y+y=15,解得:y=1,把y=1代入④,得:﹣x+7=6,解得:x=1,所以方程组的解为.7.解方程组:.【解答】解:原方程组可化为,①+②得:y=,把y的值代入①得:x=.所以此方程组的解是.或解:①代入②得到,2(5x+2)=2x+8,解得x=,把x=代入①可得y=,∴.8.解方程组:(1)(2)【解答】解:(1)①代入②,得:2(2y+7)+5y=﹣4,解得:y=﹣2,将y=﹣2代入①,得:x=﹣4+7=3,所以方程组的解为;(2)①×2+②,得:11x=11,解得:x=1,将x=1代入②,得:5+4y=3,解得:y=﹣,所以方程组的解为.9.解方程组(1)(2).【解答】解:(1),②﹣①得:8y=﹣8,解得:y=﹣1,把y=﹣1代入①得:x=1,则方程组的解为;(2)方程组整理得:,①﹣②得:4y=26,解得:y=,把y=代入①得:x=,则方程组的解为.10.计算:(1)(2).【解答】解:(1),把①代入②得:5x+4x﹣10=8,解得:x=2,把x=2代入①得:y=﹣1,则方程组的解为;(2),②×2﹣①得:7y=21,解得:y=3,把y=3代入②得:x=﹣14,则方程组的解为.11.解方程组:【解答】解:方程组整理得:,①×4﹣②×3得:7x=42,解得:x=6,把x=6代入①得:y=4,则方程组的解为.12.解方程组:(1)(2)【解答】解:(1),①代入②,得:5x﹣3(2x﹣1)=7,解得:x=﹣4,将x=﹣4代入②,得:y=﹣8﹣1=﹣9,所以方程组的解为;(2),①×2+②,得:15x=3,解得:x=,将x=代入②,得:+6y=13,解得:y=,所以方程组的解为.13.解方程组(1)(2)【解答】解:(1),①+②,得:3x=3,解得:x=1,将x=1代入①,得:1+y=2,解得:y=1,则方程组的解为;(2),①×8﹣②,得:y=17,解得:y=3,将y=3代入②,得:4x﹣9=﹣1,解得:x=2,则方程组的解为.14.解方程组(1)(2)【解答】解:(1),①×3+②得:10x=25,解得:x=2.5,把x=2.5代入②得:y=0.5,则方程组的解为;(2)方程组整理得:,①×4+②×11得:42x=15,解得:x=,把x=代入②得:y=﹣,则方程组的解为.15.解方程组:【解答】解:①+②得:9x﹣33=0x=把x=代入①,得y=∴方程组的解是16.解方程组【解答】解:方程组整理得:,①×3﹣②×2得:x=1,把x=1代入①得:y=﹣2,则方程组的解为.17.用适当方法解下列方程组.(1)(2)【解答】解:(1),①×2,得:6s﹣2t=10 ③,②+③,得:11s=22,解得:s=2,将s=2代入②,得:10+2t=12,解得:t=1,则方程组的解为;(2)原方程组整理可得,①×2,得:8x﹣2y=10 ③,②+③,得:11x=22,解得:x=2,将x=2代入②,得:6+2y=12,解得:y=3,则方程组的解为.18.解方程组:(1)(2)【解答】解:(1),②﹣①,得:3y=6,解得:y=2,将y=2代入①,得:x﹣2=﹣2,解得:x=0,则方程组的解为;(2)方程组整理可得,①+②,得:6x=18,解得:x=3,将x=3代入②,得:9+2y=10,解得:y=,则方程组的解为.19.解方程组:【解答】解:方程组整理成一般式可得:,①+②,得:﹣3x=3,解得:x=﹣1,将x=﹣1代入①,得:﹣5+y=0,解得:y=5,所以方程组的解为.20.用适当的方法解下列方程组:(1)(2)【解答】解:(1),①代入②,得:7x﹣6x=2,解得:x=2,将x=2代入①,得:y=6,所以方程组的解为;(2)方程组整理可得,②﹣①,得:y=2,将y=2代入①,得:3x﹣4=2,解得:x=2,所以方程组的解为.21.解二元一次方程组:(1)(2)【解答】解:(1),②×3﹣①,得:13y=﹣13,解得:y=﹣1,将y=﹣1代入①,得:3x+4=10,解得:x=2,∴方程组的解为;(2)原方程组整理可得,①﹣②,得:y=10,将y=10代入①,得:3x﹣10=8,解得:x=6,∴方程组的解为.22.解方程组:(1)(2)【解答】解:(1),①×2+②得:7x=14,解得:x=2,把x=2代入①得:y=﹣1,则方程组的解为;(2)方程组整理得:,①+②得:3x=7,解得:x=,把x=代入①得:y=﹣,则方程组的解为.23.解下列方程组:(1)(2)【解答】解:(1)整理,得:,②﹣①×6,得:19y=114,解得:y=6,将y=6代入①,得:x﹣12=﹣19,解得:x=﹣7,所以方程组的解为;(2)方程整理为,②×4﹣①×3,得:11y=﹣33,解得:y=﹣3,将y=﹣3代入①,得:4x﹣9=3,解得:x=3,所以方程组的解为.24.解方程组(1)(2)【解答】解:(1),①×2,得:2x﹣4y=2 ③,②﹣③,得:7y=14,解得:y=2,将y=2代入①,得:x﹣4=1,解得:x=5,所以方程组的解为;(2)方程组整理可得,②×4,得:24x+4y=60 ③,③﹣①,得:23x=46,解得:x=2,将x=2代入②,得:12+y=15,解得:y=3,所以方程组的解为.25.(1)(2)【解答】解:(1)方程组整理得:,①×2﹣②×3得:﹣m=﹣162,解得:m=162,把m=162代入①得:n=204,则方程组的解为;(2)方程组整理得:,①﹣②×6得:﹣11x=﹣55,解得:x=5,把x=5代入①得:y=1,则方程组的解为.26.解方程(1)(代入法)(2)【解答】解:(1),由②,得:y=3x+1 ③,将③代入①,得:x+2(3x+1)=9,解得:x=1,将x=1代入②,得:y=4,所以方程组的解为;(2)原方程组整理可得,①+②,得:4x=12,解得:x=3,将x=3代入①,得:3+4y=14,解得:y=,则方程组的解为.27.解方程:(1)(2)【解答】解:(1),①×2,得:2x+4y=0 ③,②﹣③,得:x=6,将x=6代入①,得:6+2y=0,解得:y=﹣3,所以方程组的解为;(2)方程组整理可得,①+②,得:10x=30,解得:x=3,①﹣②,得:6y=0,解得:y=0,则方程组的解为.28.解下列二元一次方程组(1)(2)【解答】解:(1),①+②得:5x=10,解得:x=2,把x=2代入①得:y=3,则方程组的解为;(2),①×3+②得:10a=5,解得:a=,把a=代入①得:b=,则方程组的解为.29.解下列方程组:(1)(2)【解答】解:(1),由②得:x=y+4③代入①得3(y+4)+4y=19,解得:y=1,把y=1代入③得x=5,则方程组的解为;(2)方程组整理得:,①+②×4得:﹣37y=74,解得:y=﹣2,把y=﹣2代入①得:x=﹣,则方程组的解为.30.解下列方程组:(1)用代入消元法解;(2)用加减消元法解.【解答】解:(1),由①,得:a=b+1 ③,把③代入②,得:3(b+1)+2b=8,解得:b=1,则a=b+1=2,∴方程组的解为;(2),①×3,得:9m+12n=48 ③,②×2,得:10m﹣12n=66 ④,③+④,得:19m=114,解得:m=6,将m=6代入①,得:18+4n=16,解得:n=﹣,所以方程组的解为.31.解方程组:.【解答】解:方程组整理得:,①+②得:8x=24,解得:x=3,把x=3代入②得:y=﹣5,则方程组的解为.32.解下列方程组①;②.【解答】解:①化简方程组得:,(1)×3﹣(2)×2得:11m=55,m=5.将m=5代入(1)式得:25﹣2n=11,n=7.故方程组的解为;②化简方程组得:,(1)×4+(2)化简得:30y=22,y=.将y=代入第一个方程中得:﹣x+7×=4,x=.故方程组的解为.33.解下列方程组:(1);(2);(3);(4).【解答】解:(1)由①得x=y③,把③代入②,得y﹣3y=1,解得y=3,把y=3代入③,得x=5.即方程组的解为;(2)把①代入②,得4(y﹣1)+y﹣1=5,解得y=2,把y=2代入①,得x=4.即方程组的解为;(3)原方程组整理得,把②代入①,得x=,把x=代入②,得y=,即方程组的解为;(4)原方程组整理得,把①代入②,得﹣14n﹣6﹣5n=13,解得n=﹣1,把n=﹣1代入①,得m=4.即方程组的解为.34.用合适的方法解下列方程组(1)(2)(3)(4)==4.【解答】解:(1)把①代入②得,3x+2(40﹣2x)=22,解得x=58,把x=58代入①得,y=40﹣2×58=﹣76,故原方程组的解为;(2)①×2﹣②得,8y=9,解得y=,把y=代入①得,2x+3×=5,解得,x=,故原方程组的解为;(3)①+②×5得,21x=0,解得,x=0,把x=0代入①得,5y=15,解得y=3,故原方程组的解为;(4)原方程可化成方程组,①+②×3得,﹣7y=56,解得,y=﹣8,把y=﹣8代入②得,﹣x+24=12,解得,x=12.故原方程组的解为.35.计算解下列方程组(1)(2)(3).【解答】解:(1)①×2﹣②,得3y=15,解得y=5,将y=5代入①,得x=0.5,故原方程组的解是;(2)化简①,得﹣4x+3y=5③②+③,得﹣2x=6,得x=﹣3,将x=﹣3代入②,得y=﹣,故原方程组的解是;(3)将③代入①,得5y+z=12④将③代入②,得6y+5z=22⑤④×5﹣⑤,得19y=38,解得,y=2,将y=2代入③,得x=8,将x=8,y=2代入①,得z=2,故原方程组的解是.36.解下列方程组(1)(2)(3)【解答】解:(1),由①得:x=﹣2y③,将③代入②,得:3(﹣2y)+4y=6,解得:y=﹣3,将y=﹣3代入③得:x=6.所以方程组的解为;(2),①×2得:2x﹣4y=10③,②﹣③得:7y=﹣14.解得:y=﹣2,把y=﹣2代入①,得x+4=5,解得:x=1.所以原方程组的解是;(3),①+②得2y=16,即y=8,①+③得2x=12,即x=6,②+③得2z=6,即z=3.故原方程组的解为.37.解方程组:(1)(2).【解答】解:(1)把①代入②得:3(3+2y)﹣8y=13,解得:y=﹣2,把y=﹣2代入①得:x=3﹣4=﹣1,所以原方程组的解为;(2)①+②得:2x+3y=21④,③﹣①得:2x﹣2y=﹣2⑤,由④和⑤组成一元二元一次方程组,解得:,把代入①得:++z=12,解得:z=,所以原方程组的解为.38.解下列方程组:(1);(2);(3);(4).【解答】解:(1)将①代入②,得5x+2x﹣3=11解得,x=2将x=2代入②,得y=1故原方程组的解是;(2)②×3﹣①,得11y=22解得,y=2将y=2代入①,得x=1故原方程组的解是;(3)整理,得①+②×5,得14y=14解得,y=1将y=1代入②,得x=2故原方程组的解是;(4)①+②×2,得3x+8y=13④①×2+②,得4x+3y=25⑤④×4﹣⑤×3,得23y=﹣23解得,y=﹣1将y=﹣1代入④,得x=7将x=7,y=﹣1代入①,得z=3故原方程组的解是.39.解方程(1)(2)(3)(4).【解答】解:(1),①﹣②得y=1,把y=1代入②得x+2=1,解得x=﹣1.故方程组的解为.(2),①×4+②×3得17x=34,解得x=2,把x=2代入②得6+4y=2,解得y=﹣1.故方程组的解为.(3),②﹣①得x=2,把x=2代入②得12+0.25y=13,解得y=4.故方程组的解为.(4),①+②+③得2(x+y+z)=38,解得x+y+z=19④,④﹣①得z=3,④﹣②得x=7,④﹣③得y=9.故方程组的解为.40.解下列方程组:(1)(2)(3)(4).【解答】解:(1)可化为①﹣②得3y=4,y=;代入①得﹣y=4,y=;∴方程组的解为:;(2)方程组可化为,①×3﹣②×2得m=18,代入①得3×18+2n=78,n=12;方程组的解为:;(3)方程组可化为,把①变形代入②得9(36﹣5x)﹣x=2,x=7;代入①得35+y=36,y=1;方程组的解为:;(4)原方程组可化为,①﹣②得﹣6y=3,y=﹣;③﹣①×2得﹣6y﹣7z=﹣4,即﹣6×(﹣)﹣7z=﹣4,z=1;代入①得x+2×(﹣)+1=2,x=2.方程组的解为:.41.解方程组:(1)(2)(3).【解答】解:(1)由得,①﹣②得2x=4,∴x=2,把x=2代入①得,3×2﹣2y=0,∴y=3,∴;(2),原方程组可化为,①×6﹣②×2得,4y=8,∴y=2,把y=2代入①得,8x+9×2=6,∴x=﹣,∴;(3),①+②得,4x+y=16④,②×2+③得,3x+5y=29⑤,④×5﹣⑤得,17x=51,∴x=3,把x=3代入④得,y=4,把x=3和y=4代入①得,3×3﹣4+z=10,∴z=5,∴.42.解方程组(1)(2)(3).【解答】解:(1),由①得:x=3y+5③,把③代入②得:6y+10+5y=21,即y=1,把y=1代入③得:x=8,则方程组的解为;(2),①×3+②×2得:13x=52,即x=4,把x=4代入①得:y=3,则方程组的解为;(3),由①得:x=1,②+③得:x+2z=﹣1,把x=1代入得:z=﹣1,把x=1,z=﹣1代入③得:y=2,则方程组的解为.43.解方程组:(1)(2)(3).【解答】解:(1),由②得:x=2y+4③,将③代入①得:11y=﹣11,解得:y=﹣1,将y=﹣1代入③得:x=2,则原方程组的解是;(2),②﹣①×2得:13y=65,即y=5,将y=5代入①得:x=2,则原方程组的解是;(3),将①代入②得:4x﹣y=5④,将①代入③得:y=3,将y=3代入④得:x=2,将x=2,y=3代入①得:z=5,则原方程组的解是.44.解方程组:(1)(2)(3)(4).【解答】解:(1)①+②得:3x=3,解得:x=1,把x=1代入①得:1﹣y=1,解得:y=0,所以原方程组的解为:;(2)①×3+②×2得:13x=52,解得:x=4,把x=4代入①得:12﹣2y=6,解得:y=3,所以原方程组的解为:;(3)整理得:①﹣②得:﹣7y=﹣7,解得:y=1,把y=1代入①得:3x﹣2=﹣8,解得:x=﹣2,所以原方程组的解为:;(4)①+②得:3x+3y=15,x+y=5④,③﹣②得:x+3y=9⑤,由④和⑤组成一个二元一次方程组,解得:x=3,y=2,把x=3,y=2代入①得:z=1,所以原方程组的解为:.45.解方程组:(1);(2);(3).【解答】解:(1)①+②得:3x=9解得:x=3把x=3代入①得:y=﹣1所以;(2)原方程可化为①×4﹣②×3得:7x=42解得:x=6把x=6代入①得:y=4所以;(3)把③变为z=2﹣x把z代入上两式得:两式相加得:2y=4解得:y=2把y=2代入①得:x=﹣1,z=3所以.46.用合适的方法解下列方程组:(1)(2)(3)(4)(5)【解答】解:(1)把①代入②得,3x+2(40﹣2x)=22,解得x=58,把x=58代入①得,y=40﹣2×58=﹣76,故原方程组的解为;(2)①×2﹣②得,8y=9,解得y=,把y=代入①得,2x+3×=5,解得,x=,故原方程组的解为;(3)①+②×5得,21x=0,解得,x=0,把x=0代入①得,5y=15,解得y=3,故原方程组的解为;(4)原方程可化成方程组,①+②×3得,﹣7y=56,解得,y=﹣8,把y=﹣8代入②得,﹣x+24=12,解得,x=12.故原方程组的解为;(5)把②代入③得,5x+3(12x﹣10)+2z=17,即41x+2z=47…④,①+④×2得,85x=85,解得,x=1,把x=1代入①得,3﹣4z=﹣9,解得,z=3,把x=1代入②得,y=12﹣10=2,故原方程组的解为.47.解方程组:(1)(2)(3)(4).【解答】解:(1),①×3﹣②得:﹣16y=﹣160,解得:y=10,把y=10代入①得:x=10,则原方程组的解是:;(2),①+②得;x+y=③,①﹣③得:2008x=,解得:x=,把x=代入③得:y=,则原方程组的解是:;(3)①4x﹣6y=13③,②﹣③得:3y=﹣6,解得:y=﹣2,把y=﹣2代入②得:x=,则原方程组的解为:;(4)由①得,y=1﹣x把y=1﹣x代入②得,1﹣x+z=6④④+③得2z=10,解得z=5,把z=5代入②得,y=1,把y=1代入②得,x=0,则原方程组的解为.48.解下列方程组:(1)(2)(3)(4).【解答】解:(1)②﹣①×2,得3x=6,解得,x=2,将x=2代入①,得y=﹣1,故原方程组的解是;(2)①×9+②,得x=9,将x=9代入①,得y=6,故原方程组的解是;(3)②﹣①,得y=1,将y=1代入①,得x=1故原方程组的解是;(4)②+③×3,得5x﹣7y=19④①×5﹣④,得y=﹣2,将y=﹣2代入①,得x=1,将x=1,y=﹣2代入③,得z=﹣1故原方程组的解是.49.(1);(2);(3);(4).【解答】解:(1)把①变形后代入②得:5(3x﹣7)﹣x=7,x=3;代入①得:y=2;即方程组的解为;(2)原方程化简为①×5﹣②得:y=﹣988代入①得:x﹣988=600,x=1588.原方程组的解为;(3)在中,把两方程去分母、去括号得:①+②×5得:14y﹣28=0,y=2;代入②得:x=﹣2.原方程组的解为;(4)在③×3﹣②得:7x﹣y=35,代入①得:5x+3(7x﹣35)=25,x=5;代入①得:25+3y=25,y=0;代入②得:2×5﹣3z=19,z=﹣3.原方程组的解为.50.解方程组:①;②;③.【解答】解:①方程组整理得:,①+②×5得:7x=﹣7,解得:x=﹣1,把x=﹣1代入②得:y=3,则方程组的解为;②方程组整理得:得,①×6+②得:19y=114,解得:y=6,把y=6代入①得:x=﹣7,则方程组的解为;③,①+②得:x+z=1④,③+④得:2x=5,解得:x=2.5,把x=2.5代入④得:z=﹣1.5,把x=2.5,z=﹣1.5代入①得:y=1,则方程组的解为.。
第八章 二元一次方程组 8.2.2 用加减法解二元一次方程组1. 若二元一次方程组的解为则a-b 等于( ) A. B. C. 3 D. 12. 方程组⎩⎪⎨⎪⎧8x -3y =9,8x +4y =-5消去x 得到的方程是( ) A .y =4 B .7y =-14 C .7y =4 D .y =143. 二元一次方程组⎩⎪⎨⎪⎧x +y =6,x -3y =-2的解是( ) A.⎩⎪⎨⎪⎧x =5y =1 B. ⎩⎪⎨⎪⎧x =-5y =-1 C. ⎩⎪⎨⎪⎧x =4y =2 D.⎩⎪⎨⎪⎧x =-4y =-2 4. 若方程组的解满足x+y=0,则k 的值为( )A. -1B. 1C. 0D. 不能确定5. 用加减法解方程组⎩⎪⎨⎪⎧2a +2b =3,①3a +b =4,②最简单的方法是( ) A .①×3-②×2 B .①×3+②×2 C .①+②×2 D .①-②×26.解方程组⎩⎪⎨⎪⎧0.2x -0.3y =2,0.5x -0.7y =-1.5最合适的方法是( ) A .试值法 B .加减消元法 C .代入消元法 D .无法确定7. 某校运动员分组训练,若每组7人,余3人;若每组8人,则缺5人.设运动员人数为x 人,组数为y 组,则列方程组为( )A.⎩⎪⎨⎪⎧7y =x -38y =x +5B.⎩⎪⎨⎪⎧7y =x +38y =x -5C.⎩⎪⎨⎪⎧7y =x +38y +5=xD.⎩⎪⎨⎪⎧7y =x +38y =x +5 8. 对于非零的两个实数a,b,规定a ⊕b=am-bn,若3⊕(-5)=15,4⊕(-7)=28,则(-1)⊕2的值为( )A. -13B. 13C. 2D. -29. 已知则= .10. 二元一次方程组x +y 2=2x -y 3=x +2的解是________.11. 观察下列两方程组的特征:①⎩⎪⎨⎪⎧4x -3y =5,4x +6y =4; ②⎩⎪⎨⎪⎧y =3x +4,3x +5y =0. 其中方程组①采用______消元法较简单,而方程组②采用____消元法较简单.12. 已知方程组⎩⎪⎨⎪⎧2x -3y =4,①3x +2y =1,②用加减法消去x 的方法是_____________;用加减法消去y 的方法是______________.13. 根据图中的信息可知,一件上衣的价格是____元,一条短裤的价格是____元.14. 解下列方程组:(1)⎩⎪⎨⎪⎧x -3y =1,x +2y =6;(2)⎩⎪⎨⎪⎧3x +y =7,2x -y =3.15. 用加减法解下列方程组:(1)⎩⎪⎨⎪⎧x +y =5,2x +3y =11;(2)⎩⎪⎨⎪⎧3x +2y =4,4x -3y =11;(3)⎩⎪⎨⎪⎧3(x +y )-5(x -y )=16,2(x +y )+(x -y )=15.16. 甲、乙两人同求方程ax -by =7的整数解,甲正确地求出一组解为⎩⎪⎨⎪⎧x =1,y =-1,乙把ax -by =7看成ax -by =1,求得一组解为⎩⎪⎨⎪⎧x =1,y =2,求a 2-2ab +b 2的值.17. 小丽购买了6支水彩笔和3本练习本共用了21元;小明购买了同样的12支水彩笔和5本练习本共用了39元.已知水彩笔与练习本的单价不同.(1)求水彩笔与练习本的单价;(2)小刚要买4支水彩笔和4本练习本,共需多少钱?18. A,B两地相距20 km,甲从A地向B地前进,同时乙从B地向A地前进,2 h 后两人在途中相遇,相遇后,甲返回A地,乙仍然向A地前进,甲回到A地时,乙离A地还有2 km,求甲、乙两人的速度.19. 某种水果的价格如表:张欣两次共购买了25 kg这种水果(第二次多于第一次),共付款132元.问张欣第一次、第二次分别购买了多少千克这种水果?答案:1---8 ABCBD BAA9. -310. ⎩⎪⎨⎪⎧x =-5y =-111. 加减 代入12. ①×3-②×2 ①×2+②×313. 40 2014. 解:(1)⎩⎪⎨⎪⎧x =4,y =1. (2)⎩⎪⎨⎪⎧x =2,y =1. 15. (1) 解:⎩⎪⎨⎪⎧x +y =5,①2x +3y =11,②①×3-②,得x =4,把x =4代入①,得y =1, ∴方程组的解为⎩⎪⎨⎪⎧x =4,y =1.(2) 解:⎩⎪⎨⎪⎧3x +2y =4,①4x -3y =11,②①×3+②×2,得17x =34,解得x =2, 把x =2代入①,得6+2y =4,解得y =-1,∴方程组的解为⎩⎪⎨⎪⎧x =2,y =-1.(3) 解:⎩⎪⎨⎪⎧3(x +y )-5(x -y )=16,①2(x +y )+(x -y )=15,②①+②×5,得13(x +y)=91,解得x +y =7,把x +y =7代入①,得x -y =1.解方程组⎩⎪⎨⎪⎧x +y =7,x -y =1, 得⎩⎪⎨⎪⎧x =4,y =3,∴方程组的解为⎩⎪⎨⎪⎧x =4,y =3. 16. 解:由题意,得⎩⎪⎨⎪⎧a +b =7,a -2b =1,解得⎩⎪⎨⎪⎧a =5,b =2. ∴a 2-2ab +b 2=52-2×5×2+22=9.17. 解:(1)设水彩笔与练习本的单价分别为x 元和y 元,由题意, 得⎩⎪⎨⎪⎧6x +3y =21,12x +5y =39,解得⎩⎪⎨⎪⎧x =2,y =3. 则水彩笔与练习本的单价分别为2元和3元.(2)小刚买4支水彩笔和4本练习本共需2×4+3×4=20(元).18. 解:设甲的速度为x km/h ,乙的速度为y km/h ,由题意, 得⎩⎪⎨⎪⎧2x +2y =20,(2+2)y +2=20,解得⎩⎪⎨⎪⎧x =5.5,y =4.5. 则甲的速度为5.5 km/h ,乙的速度为4.5 km/h.19. 解:设张欣第一次、第二次分别购买了这种水果x kg ,y kg , 因为第二次购买多于第一次,则x<12.5<y.①当x ≤10时,⎩⎪⎨⎪⎧x +y =25,6x +5y =132,解得⎩⎪⎨⎪⎧x =7,y =18. ②当10<x<12.5时,⎩⎪⎨⎪⎧x +y =25,5x +5y =132,此方程组无解, ∴张欣第一次、第二次分别购买了这种水果7 kg ,18 kg.。
初一数学方程练习题一、一元一次方程1. 解方程:3x 7 = 112. 解方程:5 2x = 3x + 13. 解方程:4(x 2) = 84. 解方程:7 3(x + 1) = 25. 解方程:2(3x 4) + 5 = 21二、二元一次方程组1. 解方程组:\[\begin{cases}2x + 3y = 8 \\x y = 1\end{cases}\]2. 解方程组:\[\begin{cases}3x 4y = 7 \\2x + y = 6\end{cases}\]3. 解方程组:\[\begin{cases}5x + 2y = 15 \\4x 3y = 2\end{cases}\]4. 解方程组:\[\begin{cases}2x 3y = 9 \\x + 4y = 8\end{cases}\]5. 解方程组:\[\begin{cases}4x + 5y = 23 \\3x 2y = 7\end{cases}\]三、分式方程1. 解方程:$\frac{2x 3}{5} = \frac{x + 1}{2}$2. 解方程:$\frac{3}{x 2} = \frac{4}{x + 1}$3. 解方程:$\frac{1}{x + 3} + \frac{2}{x 1} = 1$4. 解方程:$\frac{2}{x 4} \frac{3}{x + 2} = 1$5. 解方程:$\frac{5}{2x + 3} = \frac{2}{x 3}$四、一元二次方程1. 解方程:$x^2 5x + 6 = 0$2. 解方程:$2x^2 4x 6 = 0$3. 解方程:$3x^2 + 12x + 9 = 0$4. 解方程:$4x^2 12x + 9 = 0$5. 解方程:$5x^2 + 10x 3 = 0$五、应用题1. 某数的2倍与3的和等于13,求这个数。
2. 甲、乙两人年龄之和为35岁,甲的年龄是乙的2倍,求甲、乙的年龄。
七年级下册数学《第八章二元一次方程组》专题解二元一次方程组(计算题50题)1.用代入法解下列方程组:(1)x−y=4,3x+y=16;(2)x−y=2,3x+5y=14.2.用代入法解下列方程组:(1)2x−y=33x+2y=8;(2)u+v=103u−2v=5.3.用代入法解下列方程组:(1)3x−y=2,9x+8y=17;(2)3x−4y=10x+3y=12.4.用代入法解下列方程组.(1)x+2y=4y=2x−3;(2)x−y=44x+2y=−2.5.用代入法解下列方程组:(1)5x+4y=−1.52x−3y=4(2)4x−3y−10=03x−2y=06.用代入法解下列方程组:(1)x−y=42x+y=5;(2)3x−y=29x+8y=17;(3)3x+2y=−8 6x−3y=−9.7.用代入法解下列方程组:(1)3x+2y=11,①x=y+3,②(2)4x−3y=36,①y+5x=7,②(3)2x−3y=1,①3x+2y=8,②8.用代入法解下列方程组:(1)5x+2y=15①8x+3y=−1②;(2)3(y−2)=x−172(x−1)=5y−8.9.用代入法解下列方程组:(1)x=6−5y3x−6y=4(2)5x+2y=15x+y=6(3)3x+4y=22x−y=5(4)2x+3y=73x−5y=110.用代入法解下列方程组:(1)2x+y=3x+2y=−6;(2)x+5y=43x−6y=5;(3)2x−y=63x+2y=2;(4)5x+2y=113y−x=−9;1.用加减法解下列方程组:(1)4x−y =143x +y =7 (2x−2y =7x−3y =−82.用加减法解下列方程组:(1)2m +7n =53m +n =−2(2)2u−5v =124u +3v =−2(3y 7=12+y 7=133.用加减法解下列方程组:(1)x−y =52x +y =4;(2)x−2y =33x +4y =−1.4.用加减法解下列方程组:(1)4x−3y =11,2x +y =13;(2)x−y =3,2y +3(x−y)=115.用加减法解下列方程组:(1)3μ+2t =76μ−2t =11 (2)2a +b =33a +b =4.6.(2023•市北区校级开学)用加减法解下列方程组:(1)3y−4x =04x +y =8; (2+y =3x−32y =−1.7.(2022秋•陕西期末)用加减法解下列方程组:(1)x−y =33x−8y =14; (2+2y =10=1+y 13.8.用加减法解下列方程组:(1)x +3=y ,2(x +1)−y =6; (2)x +y =2800,96%x +64%y =2800×92%.9.用加减法解下列方程组:(1)x−y =5,①2x +y =4;②(2)x−2y =1,①x +3y =6;②(3)2x−y =5,①x−1=12(2y−1).②10.用加减法解下列方程组:(1)x +3y =62x−3y =3 (2)7x +8y =−57x−y =4(3)y−1=3(x−2)y+4=2(x+1)(4+y4=1−y3=−1.1.(2022春•新田县期中)用指定的方法解下列方程组:(1)2x−5y=14①y=−x②(代入法);(2)2x+3y=9①3x+5y=16②(加减法).2.(2022春•安岳县校级月考)解下列方程组:(1)3x−y=75x+2y=8(用代入法);(2+n3=10−n4=5(用加减法).3.(2022春•大连期中)用指定的方法解下列方程组:(1)x−3y=42x+y=13(代入法);(2)5x+2y=4x+4y=−6(加减法).4.(2022春•宁远县月考)请用指定的方法解下列方程组(1)5a−b=113a+b=7(代入消元法);(2)2x−5y=245x+2y=31(加减消元法).5.(2021秋•蒲城县期末)请用指定的方法解下列方程组:(1)2x+3y=11①x=y+3②(代入消元法);(2)3x−2y=2①4x+y=10②(加减消元法).6.(2022秋•历下区期中)请用指定的方法解下列方程组:(1)m−n2=22m+3n=12(代入法);(2)6s−5t=36s+t=−15(加减法).7.(2022春•泰安期中)用指定的方法解下列方程组(1)3x+4y=19x−y=4(代入消元法);(2)2x+3y=−53x−2y=12(加减消元法);(35(x−9)=6(y−2)−y13=2.8.(2021秋•历下区期中)请用指定的方法解下列方程组:(1)3x+2y=14x=y+3;(代入法)(2)2x+3y=123x+4y=17.(加减法)9.(2021春•沙河口区期末)用指定的方法解下列方程组:(1)y=2x−33x+2y=8(代入法);(2)3x+4y=165x−6y=33(加减法).10.用指定的方法解下列方程组:(1)3x+4y=19x−y=4(代入法);(2)2x+3y=−53x−2y=12(加减法).1.(2022•苏州模拟)用适当的方法解下列方程组.(1)x+2y=9y−3x=1;(2x−34y=1=4.2.(2022秋•锦江区校级期末)用适当的方法解下列方程组.(1)x=2y−14x+3y=7;(2)3x+2y=22x+3y=28,.3.用适当的方法解下列方程组:(1)x+2y=0,3x+4y=6;(2=2y1)−y=11(3)x+0.4y=40,0.5x+0.7y=35;(4+n−m4=−14,5(n1)12=2.4.(2022•天津模拟)用适当的方法解下列方程组:(1)x +y =52x−y =4; (2=y 24−y−33=112.5.(2021•越城区校级开学)用适当的方法解下列方程组:(1)2x−3y =7x−3y =7. (2)0.3p +0.4q =40.2p +2=0.9q .6.(2022春•东城区校级月考)用适当的方法解下列方程组(1)x +y =52x +y =8; (2)2x +3y =73x−2y =4.7.(2021春•哈尔滨期末)用适当的方法解下列方程组(1)x +2y =93x−2y =−1 (2)2x−y =53x +4y =28.(2022春•椒江区校级期中)用适当的方法解下列方程组:(1)2x +3y =16①x +4y =13②; (2)2s t 3=3s−2t 8=3.9.(2022春•诸暨市期中)用适当的方法解下列方程组:(1)y=2x−1x+2y=−7(2+y3=7+y2=810.(2021春•南湖区校级期中)用适当的方法解下列方程组:(1)3x+2y=9x−y=8;(2=x y2=7.1.先阅读材料,然后解方程组:材料:解方程组x+y=4①3(x+y)+y=14②在本题中,先将x+y看作一个整体,将①整体代入②,得3×4+y=14,解得y=2.把y=2代入①得x=2,所以x=2 y=2这种解法称为“整体代入法”,你若留心观察,有很多方程组可采用此法解答,请用这种方法解方程组x−y−1=0①4(x−y)−y=5②.2.(2021秋•乐平市期末)解方程组3x−2y=8⋯⋯⋯①3(3x−2y)+4y=20⋯.②时,可把①代入②得:3×8+4y=20,求得y=﹣1,从而进一步求得x=2y=−1这种解法为“整体代入法“,请用这样的方法解下列方程组2x−3y=123(2x−3y)+5y=26.3.先阅读,然后解方程组.解方程组x−y−1=0①4(x−y)−y=5②时,可由①得x﹣y=1.③,然后再将③代入②得4×1﹣y=5,求得y=﹣1,从而进一步求得x=0y=−1这种方法被称为“整体代入法”,请用这样的方法解下列方程组:=0=2y+1.4.(2022春•太和县期末)先阅读,然后解方程组.解方程组x−y−1=0①4(x−y)−y=5②时,可由①得x﹣y=1,③然后再将③代入②得4×1﹣y=5,求得y=﹣1,从而进一步求得x=0①y=−1②这种方法被称为“整体代入法”,+2y=9.5.先阅读,然后解方程组.解方程组x−y−1=0①4(x−y)−y=5②时,可由①得x﹣y=1③,然后再将③代入②得4×1﹣y=5,求得y=﹣1,从而进一步求得x这种方法被称为“整体代入法”,请用这样的方法解下列方程组:2x−3y−2=03(2x−3y)+y=7.1.用换元法解下列方程组+2y=12−1y=342.用换元法解下列方程组:(1)3(x+y)+2(x−y)=36(x+y)−4(x−y)=−16(2+x5y3=2−(x+5y)=5.3.(2022春•云阳县期中)阅读探索:解方程组(a−1)+2(b+2)=62(a−1)+(b+2)=6解:设a﹣1=x,b+2=y原方程组可以化为x+2y=62x+y=6,解得x=2y=2,即:a−1=2b+2=2∴a=3b=0,此种解方程组的方法叫换元法.(1)拓展提高运用上述方法解下列方程组(a4−1)+2(b5+2)=102(a4−1)+(b5+2)=11;(2)能力运用已知关于x,y的方程组a1x+b1y=c1a2x+b2y=c2的解为x=6y=7,求关于m、n的方程组a1(m−2)+b1(n+3)=c1a2(m−2)+b2(n+3)=c2的解.4+x−y10=3①−x−y10=−1②,你会解这个方程组吗?小明、小刚、小芳争论了一会儿,他们分别写出了一种方法:小明:把原方程组整理得8x+2y=90③2x+8y=−30④④×4﹣③得30y=﹣210,所以y=﹣7把y=﹣7代入③得8x=104,所以x=13,即x=13y=−7小刚:设x y6=m,x−y10=n,则m+n=3③m−n=−1④③+④得m=1,③﹣④得m=2,=1=2,所以x+y=6x−y=20,所以x=13y=−7.小芳:①+②得2(x y)6=2,即x+y=6.③①﹣②得2(x−y)10=4,即x﹣y=20.④③④组成方程组得x=13③﹣④得y =﹣7,即x =13y =−7.老师看过后,非常高兴,特别是小刚的方法独特,像小刚的这种方法叫做换元法,你能用换元法解下列方程组吗?+2x 3y 7=1−2x 3y 7=5.5.(2022春•卧龙区校级月考)阅读探索(1)知识积累解方程组(a−1)+2(b +2)=62(a−1)+(b +2)=6.解:设a ﹣1=x ,b +2=y .原方程组可变为x +2y =62x +y =6,解这个方程组得x =2y =2,即a−1=2b +2=2,所以a =3b =0,这种解方程组的方法叫换元法.(2)拓展提高运用上述方法解下列方程组:(m 3−1)+2(n 5+2)=43(m 3−1)−(n 5+2)=5.(3)能力运用已知关于x ,y 的方程组a 1x +b 1y =c 1a 2x +b 2y =c 2的解为x =3y =4,请直接写出关于m 、n 的方程组a 1(m +2)−b 1n =c 1a 2(m +2)−b 2n =c 2的解是 .。
数学七下解方程组练习题解方程组是数学中的重要内容之一,通过解方程组可以找到多个未知数的值。
在数学七下的学习中,我们会遇到一些解方程组的练习题,让我们来看几个例子。
1. 题目一:已知方程组:2x + 3y = 74x - y = 1要求解出方程组的解。
解析:首先,我们可以通过消元法来解这个方程组。
将第二个方程的系数乘以2,得到:8x - 2y = 2现在我们有两个方程:2x + 3y = 78x - 2y = 2接下来,我们可以通过相减消元法来求解。
将第一个方程的两倍减去第二个方程,可以消去x的项:(2x + 3y) - (8x - 2y) = 7 - 22x + 3y - 8x + 2y = 5-6x + 5y = 5我们得到一个新的方程:-6x + 5y = 5现在我们有两个方程:-6x + 5y = 54x - y = 1继续使用消元法,将第一个方程的系数乘以4,得到:-24x + 20y = 20现在我们有两个方程:-24x + 20y = 204x - y = 1再次使用相减消元法,可以消去y的项:(-24x + 20y) - (4x - y) = 20 - 1-24x + 20y - 4x + y = 19-28x + 21y = 19我们得到一个新的方程:-28x + 21y = 19现在我们有两个方程:-28x + 21y = 194x - y = 1继续使用消元法,将第一个方程的系数乘以7,得到:-196x + 147y = 133现在我们有两个方程:-196x + 147y = 1334x - y = 1再次使用相减消元法,可以消去y的项:(-196x + 147y) - (28x - 7y) = 133 - 7-196x + 147y - 28x + 7y = 126-224x + 154y = 126我们得到一个新的方程:-224x + 154y = 126现在我们有两个方程:-224x + 154y = 1264x - y = 1继续使用消元法,将第一个方程的系数乘以7,得到:-1568x + 1078y = 882现在我们有两个方程:-1568x + 1078y = 8824x - y = 1再次使用相减消元法,可以消去y的项:(-1568x + 1078y) - (28x - 7y) = 882 - 7-1568x + 1078y - 28x + 7y = 875-1596x + 1085y = 875我们得到一个新的方程:-1596x + 1085y = 875现在我们有两个方程:-1596x + 1085y = 8754x - y = 1继续使用消元法,将第一个方程的系数乘以7,得到:-11172x + 7595y = 6125现在我们有两个方程:-11172x + 7595y = 61254x - y = 1再次使用相减消元法,可以消去y的项:(-11172x + 7595y) - (28x - 7y) = 6125 - 7-11172x + 7595y - 28x + 7y = 6118-11184x + 7602y = 6118我们得到一个新的方程:-11184x + 7602y = 6118现在我们有两个方程:-11184x + 7602y = 61184x - y = 1继续使用消元法,将第一个方程的系数乘以11184,得到:-125209856x + 85072248y = 68445512现在我们有两个方程:-125209856x + 85072248y = 684455124x - y = 1再次使用相减消元法,可以消去y的项:(-125209856x + 85072248y) - (28x - 7y) = 68445512 - 7-125209856x + 85072248y - 28x + 7y = 68445505-125209884x + 85072255y = 68445505我们得到一个新的方程:-125209884x + 85072255y = 68445505现在我们有两个方程:-125209884x + 85072255y = 684455054x - y = 1继续使用消元法,将第一个方程的系数乘以1,得到:-125209884x + 85072255y = 68445505现在我们有两个方程:-125209884x + 85072255y = 684455054x - y = 1将第二个方程中的y用4x - 1代替,得到:-125209884x + 85072255(4x - 1) = 68445505-125209884x + 340289020x - 85072255 = 68445505 214079136x = 253117760x ≈ 1.182将x的值代入第二个方程,得到:4(1.182) - y = 14.728 - y = 1-y = 1 - 4.728y ≈ 3.728所以,方程组的解为:x ≈ 1.182y ≈ 3.7282. 题目二:已知方程组:3x + 4y = 105x - y = 7要求解出方程组的解。
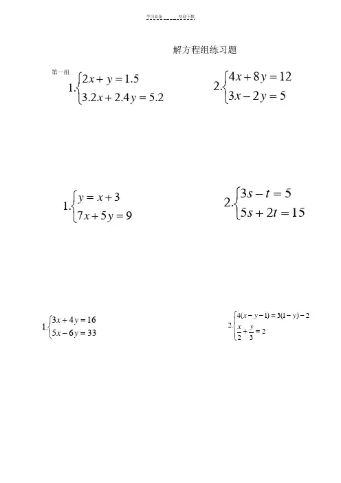
解方程组练习题第一组⎩⎨⎧=+=+2.54.22.35.12.1y x y x ⎩⎨⎧=-=+5231284.2y x y x ⎩⎨⎧=++=9573.1y x x y ⎩⎨⎧=+=-152553.2t s t s ⎩⎨⎧=-=+33651643.1y x y x ⎪⎩⎪⎨⎧=+--=--2322)1(3)1(4.2y x y y x1.二元一次方程x 十2y=12在正整数范围内的解有( )组.A .3B .4C .5D .无数2.已知方程8x-7y=10,用含x 的式子表示y ,则y= ;用含y 的代数式表示x ,则x=____.3.若⎩⎨⎧==by a x 是方程2x+y=0的一个解,则6a+3b+2= 4.已知甲种物品每个重4kg ,乙种物品每个重7 kg ,现有甲种物品x 个,乙种物品y 个,共重76 kg.(1)列出关于x ,y 的二元一次方程;(2)若x=12,则y=__;(3)若乙种物品有8个,则甲种物品有____个;(4)请你用含x 的代数式表示y ,然后再写出满足条件的x ,y 的全部整数解5.用代入消元法解方程组⎩⎨⎧=-=-42872x y y x 可以由 得 ③,把③代入 ,得一元一次方程 ,解得____,再把求得的值代人③中,求得 ,从而得到原方程组的解为____.6.用代入法解方程组⎩⎨⎧=+=+14353y x y x 最简单的方法是根据方程用含 的式子表示出 ,并代入 。
7.用代入法解方程组⎩⎨⎧=+=-82573y x y x ,小明是这样解的: 解:由①,得y=3x-7.③ (第一步)把③代入①,得3x-(3x-7)=7, (第二步)即7=7.所以此方程组无解. (第三步)你认为他的解法有误吗?若有误,错在第____步,正确解法应是8.解方程组: ()()⎩⎨⎧=--+=-9501011515000000y x y x9.如图,设∠1=x °,∠2=y °,且∠1的度数比∠2的度数的2倍多10°,则可列方程组为____10.如果()025322=-+++-y x y x ,求10x-5y+l 的值.11.已知方程组⎩⎨⎧=-=+872y cx by ax 的解为⎩⎨⎧-==23y x .而小明粗心地把c 看错了,解得⎩⎨⎧=-=22y x 请你求出正确的a,b,c 的值,12.已知二元一次方程组⎩⎨⎧=+=+8272y x y x ,则x-y= , x+y= .13.若二元一次方程组⎩⎨⎧=-=+my x m y x 95的解也是方程2x+3y=6的解,求m 的值.14.若4x-3y=0且x ≠O,y≠0,则y x y x 5454+-的值为( ). A .311 B .31 C 41-. D .32 15.解方程组⎪⎩⎪⎨⎧==-+3:2:2213y x y x x 的值。
二元一次方程组解法练习题精选一.解答题(共16小题)1.求适合的x,y的值.2.解下列方程组(1)(2)(3)(4).3.解方程组:4.解方程组:5.解方程组:6.已知关于x,y的二元一次方程y=kx+b的解有和.(1)求k,b的值.(2)当x=2时,y的值.(3)当x为何值时,y=3?7.解方程组:(1);(2).8.解方程组:9.解方程组:10.解下列方程组:(1)(2)11.解方程组:(1)(2)12.解二元一次方程组:(1);(2).13.在解方程组时,由于粗心,甲看错了方程组中的a,而得解为,乙看错了方程组中的b,而得解为.(1)甲把a看成了什么,乙把b看成了什么?(2)求出原方程组的正确解.14.15.解下列方程组:(1);(2).16.解下列方程组:(1)(2)第二十六章《二次函数》检测试题1,(2008年芜湖市)函数2y ax b y ax bx c =+=++和在同一直角坐标系内的图象大致是 ( )2,在一定条件下,若物体运动的路程s (米)与时间t (秒)的关系式为s =5t 2+2t ,则当t =4时,该物体所经过的路程为( )3,已知二次函数y =ax 2+bx +c (a ≠0)的图象如图2所示,给出以下结论:① a +b +c <0;② a -b +c <0;③ b +2a <0;④ abc >0 .其中所有正确结论的序号是( )A. ③④B. ②③C. ①④D. ①②③4,二次函数y =ax 2+bx +c 的图象如图3所示,若M =4a +2b +c ,N =a -b +c ,P =4a +2b ,则( ) A.M >0,N >0,P >0 B. M >0,N <0,P >0 C. M <0,N >0,P >0 D. M <0,N >0,P <0 5,如果反比例函数y =kx的图象如图4所示,那么二次函数y =kx 2-k 2x -1的图象大致为( )6y所对应的函数值依次为:20,56,110,182,274,380,506,650.其中有一个值不正确,这个不正确的值是()A. 506B.380C.274D.18图3图4A .B . 图5 图1A. y =x 2-2B. y =(x -2)2C. y =x 2+2D. y =(x +2)28如图6,小敏在今年的校运动会跳远比赛中跳出了满意一跳,函数h =3.5t -4.9t 2(t 的单位:s ,h 的单位:m )可以描述他跳跃时重心高度的变化,则他起跳后到重心最高时所用的时间是( )A.0.71sB.0.70sC.0.63sD.0.36s9,如果将二次函数y =2x 2的图象沿y 轴向上平移1个单位,那么所得图象的函数解析式是 .10,平移抛物线y =x 2+2x -8,使它经过原点,写出平移后抛物线的一个解析式______ . 11,若二次函数y =x 2-4x +c 的图象与x 轴没有交点,其中c 为整数,则c = 12,二次函数y =ax 2+bx +c 的图像如图7所示,则点A (a ,b )在第___象限.13,已知抛物线y =x 2-6x +5的部分图象如图8,则抛物线的对称轴为直线x = ,满足y <0的x 的取值范围是 .14,已知一抛物线与x 轴的交点是)0,2( A 、B (1,0),且经过点C (2,8)。
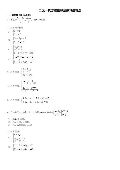
二元一次方程组练习题100道(卷一)(范围:代数: 二元一次方程组)一、判断1、⎪⎩⎪⎨⎧-==312y x 是方程组⎪⎪⎩⎪⎪⎨⎧=-=-910326523y x y x 的解 …………( ) 2、方程组⎩⎨⎧=+-=5231y x x y 的解是方程3x -2y =13的一个解( ) 3、由两个二元一次方程组成方程组一定是二元一次方程组( )4、方程组⎪⎪⎩⎪⎪⎨⎧=-++=+++25323473523y x y x ,可以转化为⎩⎨⎧-=--=+27651223y x y x ( ) 5、若(a 2-1)x 2+(a -1)x +(2a -3)y =0是二元一次方程,则a 的值为±1( )6、若x +y =0,且|x |=2,则y 的值为2 …………( )7、方程组⎩⎨⎧=+-=+81043y x x m my mx 有唯一的解,那么m 的值为m ≠-5 …………( ) 8、方程组⎪⎩⎪⎨⎧=+=+623131y x y x 有无数多个解 …………( ) 9、x +y =5且x ,y 的绝对值都小于5的整数解共有5组 …………( )10、方程组⎩⎨⎧=+=-3513y x y x 的解是方程x +5y =3的解,反过来方程x +5y =3的解也是方程组⎩⎨⎧=+=-3513y x y x 的解 ………( ) 11、若|a +5|=5,a +b =1则32-的值为b a ………( )12、在方程4x -3y =7里,如果用x 的代数式表示y ,则437y x +=( ) 二、选择:13、任何一个二元一次方程都有( )(A )一个解; (B )两个解;(C )三个解; (D )无数多个解;14、一个两位数,它的个位数字与十位数字之和为6,那么符合条件的两位数的个数有( )(A )5个 (B )6个 (C )7个 (D )8个15、如果⎩⎨⎧=+=-423y x a y x 的解都是正数,那么a 的取值范围是( )(A )a <2; (B )34->a ; (C )342<<-a ; (D )34-<a ; 16、关于x 、y 的方程组⎩⎨⎧=-=+m y x m y x 932的解是方程3x +2y =34的一组解,那么m 的值是( )(A )2; (B )-1; (C )1; (D )-2;17、在下列方程中,只有一个解的是( )(A )⎩⎨⎧=+=+0331y x y x (B )⎩⎨⎧-=+=+2330y x y x(C )⎩⎨⎧=-=+4331y x y x (D )⎩⎨⎧=+=+3331y x y x18、与已知二元一次方程5x -y =2组成的方程组有无数多个解的方程是() (A )15x -3y =6 (B )4x -y =7 (C )10x +2y =4 (D )20x -4y =319、下列方程组中,是二元一次方程组的是( )(A )⎪⎩⎪⎨⎧=+=+9114y x y x (B )⎩⎨⎧=+=+75z y y x(C )⎩⎨⎧=-=6231y x x (D )⎩⎨⎧=-=-1y x xyy x20、已知方程组⎩⎨⎧-=+=-135b y ax y x 有无数多个解,则a 、b 的值等于()(A )a =-3,b =-14 (B )a =3,b =-7(C )a =-1,b =9 (D )a =-3,b =1421、若5x -6y =0,且xy ≠0,则y x yx 3545--的值等于( )(A )32(B )23(C )1 (D )-122、若x 、y 均为非负数,则方程6x =-7y 的解的情况是( )(A )无解 (B )有唯一一个解(C )有无数多个解 (D )不能确定23、若|3x +y +5|+|2x -2y -2|=0,则2x 2-3xy 的值是( )(A )14 (B )-4 (C )-12 (D )1224、已知⎩⎨⎧-==24y x 与⎩⎨⎧-=-=52y x 都是方程y =kx +b 的解,则k 与b 的值为( )(A )21=k ,b =-4 (B )21-=k ,b =4(C )21=k ,b =4 (D )21-=k ,b =-4□x +5y =13 ①4x -□y =-2 ②25、在方程3x +4y =16中,当x =3时,y =________,当y =-2时,x =_______若x 、y 都是正整数,那么这个方程的解为___________;26、方程2x +3y =10中,当3x -6=0时,y =_________;27、如果0.4x -0.5y =1.2,那么用含有y 的代数式表示的代数式是_____________;28、若⎩⎨⎧-==11y x 是方程组⎩⎨⎧-=-=+1242a y x b y ax 的解,则⎩⎨⎧==______________b a ; 29、方程|a |+|b |=2的自然数解是_____________; 30、如果x =1,y =2满足方程141=+y ax ,那么a =____________; 31、已知方程组⎩⎨⎧-=+=+m y x ay x 26432有无数多解,则a =______,m =______; 32、若方程x -2y +3z =0,且当x =1时,y =2,则z =______;33、若4x +3y +5=0,则3(8y -x )-5(x +6y -2)的值等于_________;34、若x +y =a ,x -y =1同时成立,且x 、y 都是正整数,则a 的值为________;35、从方程组)0(030334≠⎩⎨⎧=+-=--xyz z y x z y x 中可以知道,x :z =_______;y :z =________; 36、已知a -3b =2a +b -15=1,则代数式a 2-4ab +b 2+3的值为__________;四、解方程组37、⎪⎪⎩⎪⎪⎨⎧=-=-1332343n m n m ; 38、)(6441125为已知数a a y x a y x ⎩⎨⎧=-=+; 39、⎪⎪⎩⎪⎪⎨⎧=++=+125432y x y x y x ; 40、⎪⎩⎪⎨⎧=--+=-++0)1(2)1()1(2x y x x x y y x ; 41、⎪⎪⎩⎪⎪⎨⎧++=++=+=+6253)23(22)32(32523233y x y x y x y x ; 42、⎪⎪⎩⎪⎪⎨⎧=-++=-++1213222132y x y x ; 43、⎪⎩⎪⎨⎧=-+-=-+=-+3113y x z x z y z y x ; 44、⎪⎩⎪⎨⎧=+=+=+101216x z z y y x ;45、⎪⎩⎪⎨⎧=-+=+-=-+35351343z y x z y x z y x ; 46、⎪⎩⎪⎨⎧=+-==30325:3:7:4:z y x z x y x ;47、甲、乙两人在解方程组 时,甲看错了①式中的x 的系数,解得⎪⎪⎩⎪⎪⎨⎧==475847107y x ;乙看错了方程②中的y 的系数,解得⎪⎪⎩⎪⎪⎨⎧==19177681y x ,若两人的计算都准确无误,请写出这个方程组,并求出此方程组的解;48、使x +4y =|a |成立的x 、y 的值,满足(2x +y -1)2+|3y -x |=0,又|a |+a =0,求a 的值;49、代数式ax 2+bx +c 中,当x =1时的值是0,在x =2时的值是3,在x =3时的值是28,试求出这个代数式;50、要使下列三个方程组成的方程组有解,求常数a 的值。
七下解方程组练习题解方程组是数学中的重要内容之一,在七年级的学习中,我们开始接触解方程组的基础知识。
为了巩固所学知识,我们来做一些解方程组的练习题。
1. 问题一:解方程组:2x + 3y = 10x - y = 2解答:我们可以使用消元法来解这个方程组。
由第二个方程可以解出 x = y + 2,将其代入第一个方程,则有:2(y + 2) + 3y = 102y + 4 + 3y = 105y = 6y = 6/5将 y 的值代入 x = y + 2,则有:x = 6/5 + 2 = 16/5所以,方程组的解是 x = 16/5,y = 6/5。
2. 问题二:解方程组:3x - 2y = 84x + 5y = 17解答:我们可以使用消元法来解这个方程组。
首先,将第一个方程乘以 4,第二个方程乘以 3,使得两个方程的 x 的系数相等,即 12x。
这样,方程组变为:12x - 8y = 3212x + 15y = 51两个方程相减,消去 x 的项,则有:12x - 8y - (12x + 15y) = 32 - 51-8y - 15y = -19-23y = -19y = 19/23将 y 的值代入第一个方程,则有:3x - 2(19/23) = 83x - 38/23 = 83x = 8 + 38/233x = 200/23x = 200/69所以,方程组的解是 x = 200/69,y = 19/23。
3. 问题三:解方程组:5x + 2y = 133x - 4y = -9解答:我们可以使用消元法来解这个方程组。
首先,将第一个方程乘以 3,第二个方程乘以 5,使得两个方程的 y 的系数相等,即 10y。
这样,方程组变为:15x + 6y = 3915x - 20y = -45两个方程相减,消去 x 的项,则有:15x + 6y - (15x - 20y) = 39 - (-45)6y + 20y = 39 + 4526y = 84y = 84/26 = 42/13将 y 的值代入第一个方程,则有:5x + 2(42/13) = 135x + 84/13 = 135x = 13 - 84/135x = 169/13 - 84/135x = 85/13x = 17/13所以,方程组的解是 x = 17/13,y = 42/13。
七年级下册数学二元一次方程计算题一、基础计算类。
1. 解方程组:x + y = 5 2x - y = 1- 解析:- 对于这个方程组,我们可以采用加减消元法。
将两个方程相加,就可以消去y。
- 方程x + y = 5加上方程2x - y = 1,得到(x + y)+(2x - y)=5 + 1,即x+2x+y - y=6,3x = 6,解得x = 2。
- 把x = 2代入x + y = 5,得2+y = 5,解得y = 3。
- 所以方程组的解为x = 2 y = 3。
2. 解方程组:2x+3y = 8 3x - 2y=-1 - 解析:- 这里我们使用加减消元法。
先给第一个方程乘以2,第二个方程乘以3。
- 得到4x + 6y = 16 9x-6y=-3。
- 然后将这两个新方程相加,(4x + 6y)+(9x - 6y)=16+( - 3),即4x+9x+6y -6y = 13,13x = 13,解得x = 1。
- 把x = 1代入2x+3y = 8,得2 + 3y = 8,3y = 6,解得y = 2。
- 所以方程组的解为x = 1 y = 2。
3. 解方程组:3x + y = 7 x - 2y = - 3 -解析: - 我们给第一个方程乘以2,得到6x+2y = 14 x - 2y=-3。
- 然后将这两个方程相加,(6x + 2y)+(x - 2y)=14+( - 3),即6x+x+2y - 2y = 11,7x = 11,解得x=(11)/(7)。
- 把x=(11)/(7)代入3x + y = 7,得3×(11)/(7)+y = 7,y = 7-(33)/(7)=(49 - 33)/(7)=(16)/(7)。
- 所以方程组的解为x=(11)/(7) y=(16)/(7)。
4. 解方程组:4x - 3y = 11 2x + y = 13 - 解析: - 由方程2x + y = 13可得y = 13 - 2x。
七年级下册数学《第八章二元一次方程组》专题解二元一次方程组(计算题50题)1.用代入法解下列方程组:(1)−=4,3+=16;(2)−=2,3+5=14.【分析】(1)−=4①3+=16②,由①得:x=y+4,代入②得:3(y+4)+y=16,即可求出y的值,则x的值也就迎刃而解了;(2)−=4①3+5=14②,由①得:y=x﹣2,代入②得:3x+5(x﹣2)=14,即可求出x的值,则y的值也就可以求出了.【解答】解:(1)−=4①3+=16②,由①得:x=y+4,代入②得:3(y+4)+y=16,解得y=1.将y=1代入x=y+4中得x=5,故方程组的解为:=5=1;(2)−=4①3+5=14②,由①得:y=x﹣2,代入②得:3x+5(x﹣2)=14,解得x=3.将x=3代入y=x﹣2,得y=1.故方程组的解为:=3=1.【点评】本题主要考查了二元一次方程组的解法,解题的关键是掌握代入法解方程.2.用代入法解下列方程组:(1)2−=33+2=8;(2)+=103−2=5.【分析】两方程组利用代入消元法求出解即可.【解答】解:(1)2−=3①3+2=8②,由①得:y=2x﹣3③,把③代入②得:3x+2(2x﹣3)=8,解得:x=2,把x=2代入③得:y=4﹣3=1,则方程组的解为=2=1;(2)+=10①3−2=5②,由①得:u=10﹣v③,把③代入②得:3(10﹣v)﹣2v=5,解得:v=5,把v=5代入①得:5+u=10,解得:u=5,则方程组的解为=5=5.【点评】此题考查了解二元一次方程组,利用了消元的思想,消元的方法有:代入消元法与加减消元法.3.用代入法解下列方程组:(1)3−=2,9+8=17;(2)3−4=10+3=12.【分析】(1)由①得出y =3x ﹣2③,把③代入②得出9x +8(3x ﹣2)=17,求出x ,再把x =1代入③求出y 即可;(2)由②得出x =12﹣3y ③,把③代入①得出3(12﹣3y )﹣4y =10,求出y ,再把y =2代入③求出x 即可.【解答】解:(1)3−=2①9+8=17②,由①,得y =3x ﹣2③,把③代入②,得9x +8(3x ﹣2)=17,解得:x =1,把x =1代入③,得y =3×1﹣2,即y =1,所以原方程组的解是=1=1;(2)3−4=10①+3=12②,由②,得x =12﹣3y ③,把③代入①,得3(12﹣3y )﹣4y =10,解得:y =2,把y =2代入③,得x =12﹣3×2,即x =6,所以原方程组的解是=6=2.【点评】本题考查了解二元一次方程组,能把二元一次方程组转化成一元一次方程是解此题的关键.4.用代入法解下列方程组.(1)+2=4=2−3;(2)−=44+2=−2.【分析】(1)方程组利用代入消元法求出解即可;(2)方程组利用加减消元法求出解即可.【解答】解:(1)+2=4①=2−3②,把②代入①得:x +2(2x ﹣3)=4,解得:x =2,把x =2代入②得:y =4﹣3=1,则方程组的解为=2=1;(2)方程组整理得:−=4①2+=−1②,①+②得:3x =3,解得:x =1,把x =1代入①得:1﹣y =4,解得:y =﹣3,则方程组的解为=1=−3.【点评】此题考查了解二元一次方程组,利用了消元的思想,消元的方法有:代入消元法与加减消元法.5.用代入法解下列方程组:(1)5+4=−1.52−3=4(2)4−3−10=03−2=0【分析】(1)方程组利用代入消元法求出解即可;(2)方程组利用代入消元法求出解即可.【解答】解:(1)5+4=−1.5①2−3=4②,由②得:x =3r42③,把③代入①得:15r202+4y =﹣1.5,去分母得:15y +20+8y =﹣3,移项合并得:23y =﹣23,解得:y =﹣1,把y =﹣1代入③得:x =12,则方程组的解为=12=−1;(2)方程组整理得:4−3−10=0①=23t ,把②代入①得:83y ﹣3y ﹣10=0,去分母得:8y ﹣9y ﹣30=0,解得:y=﹣30,把y=﹣30代入②得:x=﹣20,则方程组的解为=−20=−30.【点评】此题考查了解二元一次方程组,利用了消元的思想,消元的方法有:代入消元法与加减消元法.6.用代入法解下列方程组:(1)−=42+=5;(2)3−=29+8=17;(3)3+2=−86−3=−9.【分析】各方程组利用代入消元法求出解即可.【解答】解:(1)−=4①2+=5②,由①得:x=y+4③,把③代入②得:2(y+4)+y=5,解得:y=﹣1,把y=﹣1代入③得:x=﹣1+4=3,则方程组的解为=3=−1;(2)3−=2①9+8=17②,由①得:y=3x﹣2③,把③代入②得:9x+8(3x﹣2)=17,解得:33x=33,解得:x=1,把x=1代入③得:y=3﹣2=1,则方程组的解为=1=1;(3)3+2=−8①2−=−3②,由②得:y=2x+3③,把③代入①得:3x+2(2x+3)=﹣8,解得:x=﹣2,把x=﹣2代入②得:﹣4﹣y=﹣3,解得:y=﹣1,则方程组的解为=−2=−1.【点评】此题考查了解二元一次方程组,利用了消元的思想,消元的方法有:代入消元法与加减消元法.7.用代入法解下列方程组:(1)3+2=11,①=+3,②(2)4−3=36,①+5=7,②(3)2−3=1,①3+2=8,②【分析】(1)将方程②代入方程①进行求解;(2)将方程②变形为y=﹣5x+7,再代入方程①进行求解;(3)将方程①变形为y=2K13,再代入方程②进行求解.【解答】解:(1)将方程②代入方程①得,3(y+3)+2y=11,解得y=25,把y=25代入②得,x=175,∴该方程组的解为=175=25;(2)将方程②变形为y=﹣5x+7③,把③代入①得,4x﹣3(﹣5x+7)=36,解得x=3,将x=3代入③得,y=﹣5×3+7,解得y=﹣8,∴该方程组的解为=3=−8;(3)将方程①变形为y=2K13③,把③代入②得,3x+2×2K13=8,解得x=2,将x =2代入③得,y =2×2−13,解得y =1,∴该方程组的解为=2=1.【点评】此题考查了利用代入法解二元一次方程组的能力,关键是能直接或将某方程变式后进行代入消元求解.8.用代入法解下列方程组:(1)5+2=15①8+3=−1②;(2)3(−2)=−172(−1)=5−8.【分析】(1)用代入消元法解二元一次方程组即可;(2)用代入消元法解二元一次方程组即可.【解答】解:(1)5+2=15①8+3=−1②,由①得,y =15−52③,将③代入②得,8x +15−52×3=﹣1,解得,x =﹣47,将x =﹣47代入①得,y =125,∴方程组的解为=−47=125;(2)3(−2)=−172(−1)=5−8,整理得,3−=−11①2−5=−6②,由①得,x =3y +11③,将③代入②得,y =﹣28,将y =﹣28代入①得,x =﹣73,∴方程组的解为=−73=−28.【点评】本题考查二元一次方程组的解,熟练掌握代入消元法和加减消元法解二元一次方程组是解题的关键.9.用代入法解下列方程组:(1)=6−53−6=4(2)5+2=15+=6(3)3+4=22−=5(4)2+3=73−5=1【分析】(1)用代入消元法解方程组即可.(2)用代入消元法解方程组即可.(3)用代入消元法解方程组即可.(4)用代入消元法解方程组即可.【解答】解:(1)=6−5s3−6=4②,把①代入②得3(6﹣5y)﹣6y=4,解得y=23,∴x=6−5×23=83,所以方程组的解为=83=23;(2)5+2=15①+=6②,由②得x=6﹣y③,把③代入①,得y=5,∴x=6﹣5=1,所以原方程组的解为=1=5;(3)3+4=2①2−=5②,由②得y=2x﹣5③,把③代入①得,解得x=2,∴y=2×2﹣5=﹣1,所以原方程组的解为=2=−1;(4)2+3=7①3−5=1②,由①得x=7−32③,把③代入②得解得y=1,∴x=7−3×12=2,所以原方程组的解为=2=1.【点评】本题考查二元一次方程组的解法,解题关键是熟知代入消元法解方程组的步骤.10.用代入法解下列方程组:(1)2+=3+2=−6;(2)+5=43−6=5;(3)2−=63+2=2;(4)5+2=113−=−9;【分析】(1)用代入消元法解方程组即可.(2)用代入消元法解方程组即可.(3)用代入消元法解方程组即可.(4)用代入消元法解方程组即可.【解答】解:(1)2+=3①+2=−6②,由①得y=3﹣2x,把y=3﹣2x代入②得x+2(3﹣2x)=﹣6,解得x=4,∴y=3﹣2×4=﹣5.∴方程组的解为=4=−5.(2)+5=4①3−6=5②,由①得x=4﹣5y,把x=4﹣5y代入②得3(4﹣5y)﹣6y=5,解得y=13,∴x=4﹣5×13=73.∴方程组的解为=73=13.(3)2−=6①3+2=2②,由①得y=2x﹣6,把y=2x﹣6代入②得3x+2(2x﹣6)=2,解得x=2,∴y=2x﹣6=2×2﹣6=﹣2.方程组的解为=2=−2.(4)5+2=11①3−=−9②,由②得x=3y+9,把x=3y+9代入①得5(3y+9)+2y=11,解得y=﹣2,∴x=3×(﹣2)+9=3.∴方程组的解为=3=−2.【点评】本题考查二元一次方程组的解法,解题关键是熟知代入消元法解方程组的步骤.1.用加减法解下列方程组:(1)4−=143+=7(2−2=7−3=−8【分析】(1)方程组利用加减消元法求出解即可;(2)方程组利用加减消元法求出解即可.【解答】解:(1)4−=14①3+=7②,①+②得:7x=21,解得:x=3,把x=3代入②得:y=﹣2,则方程组的解为=3=−2;(2−2=7①−3=−8②,①﹣②得:y=15,把y=15代入①得:x=74,则方程组的解为=74=15.【点评】此题考查了解二元一次方程组,利用了消元的思想,消元的方法有:代入消元法与加减消元法.2.用加减法解下列方程组:(1)2+7=53+=−2(2)5=123=−2(37=127=13【分析】(1)由②得出n=﹣2﹣3m③,把③代入①得出2m+7(﹣2﹣3m)=5,求出m,把m=﹣1代入③求出n即可;(2)②﹣①×2得出13v=﹣26,求出v,把v=﹣2代入①求出u即可;(3)整理后①+②得出28x=35,求出x,②﹣①求出y即可.【解答】解:(1)2+7=5①3+=−2②由②得:n=﹣2﹣3m③,把③代入①得:2m+7(﹣2﹣3m)=5,解得:m=﹣1,把m=﹣1代入③得:n=1,所以原方程组的解是:=−1=1;(2)2−5=12①4+3=−2②②﹣①×2得:13v=﹣26,解得:v=﹣2,把v=﹣2代入①得:2u+10=12,解得:u=1,所以原方程组的解是:=1=−2;(3)整理得:14−6=21①14+6=14②,①+②得:28x=35,解得:x=54,②﹣①得:12y=﹣7,解得:y=−712,所以原方程组的解是:=54=−712.【点评】本题考查了解二元一次方程组,能把二元一次方程组转化成一元一次方程是解此题的关键.3.用加减法解下列方程组:(1)−=53+4=−1.2+=4;(2)−2=3【分析】(1)方程组利用加减消元法求出解即可;(2)方程组利用加减消元法求出解即可.【解答】解:(1)−=5①2+=4②,①+②得:3x =9,解得:x =3,把x =3代入①得:3﹣y =5,解得:y =﹣2,则方程组的解为=3=−2;(2)−2=3①3+4=−1②,①×2+②得:5x =5,解得:x =1,把x =1代入①得:1﹣2y =3,解得:y =﹣1,则方程组的解为=1=−1.【点评】此题考查了解二元一次方程组,利用了消元的思想,消元的方法有:代入消元法与加减消元法.4.用加减法解下列方程组:(1)4−3=11,2+=13;(2)−=3,2+3(−p =11【分析】(1)方程组利用加减消元法求出解即可;(2)方程组整理后,利用加减消元法求出解即可.【解答】解:(1)4−3=11①2+=13②,①+②×3得:10x =50,解得:x =5,把x =5代入①得:20﹣3y =11,解得:y =3,所以方程组的解为=5=3;(2)方程组整理得:−=3①3−=11②,②﹣①得:2x =8,解得:x =4,把x=4代入①得:4﹣y=3,解得:y=1,所以方程组的解为=4=1.【点评】此题考查了解二元一次方程组,解方程组利用了消元的思想,消元的方法有:代入消元法与加减消元法.5.用加减法解下列方程组:(1)3+2=76−2=11(2)2+=33+=4.【分析】各个方程组利用加减消元法求出解即可.【解答】解:(1)3+2=7①6−2=11②,①+②得:9μ=18,即μ=2,把μ=2代入①得:6+2t=7,解得:t=12,则方程组的解为=2=12;(2)2+=3①3+=4②,②﹣①得:a=1,把a=1代入①得:2+b=3,解得:b=1,则方程组的解为=1=1.【点评】此题考查了解二元一次方程组,熟练掌握运算法则是解本题的关键.6.(2023•市北区校级开学)用加减法解下列方程组:(1)3−4=04+=8;(2+=3−32=−1.【分析】(1)方程组利用加减消元法求出解即可;(2)方程组整理后,利用加减消元法求出解即可.【解答】解:(1)3−4=0①4+=8②,①+②得:4y=8,解得:y=2,把y=2代入②得:4x+2=8,解得:x=32,则方程组的解为=32=2;(2)方程组整理得:2+=3①−3=−2②,①×3+②得:7x=7,解得:x=1,把x=1代入①得:2+y=3,解得:y=1,则方程组的解为=1=1.【点评】此题考查了解二元一次方程组,利用了消元的思想,消元的方法是代入消元法与加减消元法.7.(2022秋•陕西期末)用加减法解下列方程组:(1)−=33−8=14;(2+2=10=1+r13.【分析】(1)根据加减消元法解二元一次方程组即可求解;(2)将第二个方程去分母化简,然后根据加减消元法解二元一次方程组即可求解.【解答】解:(1)−=3①3−8=14②,①×3﹣②得:﹣3y+8y=9﹣14,解得:y=﹣1,将y=﹣1代入①得:x+1=3,解得:x=2,∴原方程组的解为:=2=−1;(2+2=10①=1+r13②,由②得3x=6+2(y+1),即3x﹣2y③,①﹣③得:4y=2,解得:=12,①+③得:6x=18,解得:x=3,∴原方程组的解为:=3=12.【点评】本题考查了加减消元法解二元一次方程组,掌握解二元一次方程组的方法是解题的关键.8.用加减法解下列方程组:(1)+3=,2(+1)−=6;(2)+=2800,96%+64%=2800×92%.【分析】(1)先用第二个方程减去第一个方程即可得到x 的值,然后将x 的值代入任意一个方程,解方程即可得到y 的值;(2)先对方程组进行化简可得+=2800①3+2=8050②,易得两个方程中y 的系数存在2倍关系,故只需用方程②减去方程①乘2的积即可得到关于x 的方程,解方程即可.【解答】解:(1)+3=,①2(+1)−=6.②②﹣①,得x ﹣1=6,∴x =7,x =7代入①得y =10,所以原方程组的解为=7=10.(2)原方程化简得+=2800,①3+2=8050.②②﹣①×2,得﹣x =﹣2450,∴x =2450,将x =2450代入①得:y =350,∴原方程组的解为:=2450=350.【点评】本题考查二元一次方程组的解法,利用正确的方法求解是本题的关键.9.用加减法解下列方程组:(1)−=5,①2+=4;②(2)−2=1,①+3=6;②(3)2−=5,①−1=12(2−1).②【分析】(1)利用加减消元法解答即可;(2)利用加减消元法解答即可;(3)利用加减消元法解答即可.【解答】解:(1)−=5①2+=4②,①+②得:3x=9,解得:x=3,把x=3代入①得:3﹣y=5,解得:y=﹣2,所以方程组的解为:=3=−2;(2)−2=1①+3=6②,②﹣①得:5y=5,解得:y=1,把y=1代入①得:x﹣2=1,解得:x=3,所以方程组的解为:=3=1;(3)2−=5①−1=12(2−1)②,由②得:2x﹣2y=1③,①﹣③得:y=4,把y=4代入①得:2x﹣4=5,解得:x=92,所以方程组的解为:=92=4.【点评】此题考查了解二元一次方程组,以及解一元一次方程,熟练掌握运算法则是解本题的关键.10.用加减法解下列方程组:(1)+3=62−3=3(2)7+8=−57−=4(3)−1=3(−2)+4=2(+1)(4+4=1−3=−1.【分析】各方程组整理后,利用加减消元法求出解即可.【解答】解:(1)+3=6①2−3=3②,①+②得:3x=9,即x=3,把x=3代入①得:y=1,则方程组的解为=3=1;(2)7+8=−5①7−=4②,①﹣②得:9y=﹣9,即y=﹣1,把y=﹣1代入①得:x=37,则方程组的解为=37=−1;(3)方程组整理得:3−=5①2−=2②,①﹣②得:x=3,把x=3代入①得:y=4,则方程组的解为=3=4;(4)方程组整理得:4+3=12①3−2=−6②,①×2+②×3得:17x=6,即x=617,①×3﹣②×4得:17y=60,即y=6017,则方程组的解为=617=6017.【点评】此题考查了解二元一次方程组,利用了消元的思想,消元的方法有:代入消元法与加减消元法.1.(2022春•新田县期中)用指定的方法解下列方程组:(1)2−5=14①3+5=16②(加减法).=−t(代入法);(2)2+3=9①【分析】(1)方程组利用代入消元法求出解即可;(2)方程组利用加减消元法求出解即可.【解答】解:(1)把②代入①得:2x+5x=14,解得:x=2,把x=2代入②,得:y=﹣2,则原方程组的解是=2=−2;(2)①×3得:6x+9y=27③,②×2得:6x+10y=32④,④﹣③得:y=5,把y=5代入①得:2x+15=9,解得:x=﹣3,则原方程组的解是=−3=5.【点评】此题考查了解二元一次方程组,利用了消元的思想,消元的方法有:代入消元法与加减消元法.2.(2022春•安岳县校级月考)解下列方程组:(1)3−=75+2=8(用代入法);(23=104=5(用加减法).【分析】(1)方程组利用代入消元法求出解即可;(2)方程组利用加减消元法求出解即可.【解答】解:(1)3−=7①5+2=8②,由①得:y=3x﹣7③,把③代入②得:5x+2(3x﹣7)=22,解得:x=2,把x=2代入①得:6﹣y=7,解得:y=﹣1,则方程组的解为=2=−1;(2)方程组整理得:3+4=120①4−3=60②,①×3+②×4得:25m=600,解得:m=24,把m=24代入①得:72+4n=120,解得:n=12,则方程组的解为=24=12.【点评】此题考查了解二元一次方程组,利用了消元的思想,消元的方法有:代入消元法与加减消元法.3.(2022春•大连期中)用指定的方法解下列方程组:(1)−3=42+=13(代入法);(2)5+2=4+4=−6(加减法).【分析】(1)利用代入法解方程组;(2)利用加减消元法解方程组.【解答】解:(1)−3=4①2+=13②,由①得x =3y +4③,把③代入②,得2(3y +4)+y =13,解得y =57,∴x =3×57+4=617,∴方程组的解为=617=57;(2)5+2=4①+4=−6②,①×2﹣②,得9x =14,解得x =149,把x =149代入②,得149+4y =﹣6,解得y =−179.∴方程组的解为=149=−179.【点评】本题考查了解二元一次方程组,做题的关键是掌握加减消元法,和代入消元法解二元一次方程组.4.(2022春•宁远县月考)请用指定的方法解下列方程组(1)5−=113+=7(代入消元法);(2)2−5=245+2=31(加减消元法).【分析】(1)由方程①,得b =5a ﹣11,再代入方程②求出未知数a ,进而得出未知数b ;(2)用方程①×2﹣②×5,可消去未知数y ,求出未知数x ,进而得出y 的值.【解答】解:(1)5−=11①3+=7②,由①,得b =5a ﹣11③,把③代入②,得3a +5a ﹣11=7,解得a =94,把a=94代入③,得b=14,故方程组的解为=94=14;(2)2−5=24①5+2=31②,①×2﹣②×5,得29x=203,解得x=7,把x=7代入①,得y=﹣2,故方程组的解为=7=−2.【点评】本题考查了解二元一次方程组,掌握加减消元法和代入消元法是解答本题的关键.5.(2021秋•蒲城县期末)请用指定的方法解下列方程组:(1)2+3=11①=+3②(代入消元法);(2)3−2=2①4+=10②(加减消元法).【分析】(1)利用代入消元法进行求解即可;(2)利用加减消元法进行求解即可.【解答】解:(1)2+3=11①=+3②,把②代入①得:2(y+3)+3y=11,解得y=1,把y=1代入②得:x=1+3=4,故原方程组的解是:=4=1;(2)3−2=2①4+=10②,②×2得:8x+2y=20③,①+③得:11x=22,解得x=2,把x=2代入②得:8+y=10,解得y=2,故原方程组的解是:=2=2.【点评】本题主要考查解二元一次方程组,解答的关键是对解二元一次方程组的方法的掌握.6.(2022秋•历下区期中)请用指定的方法解下列方程组:(1)−2=22+3=12(代入法);(2)6−5=36+=−15(加减法).【分析】(1)整理后由①得出n =2m ﹣4③,把③代入②得出2m +3(2m ﹣4)=12,求出m ,再把m =3代入③求出n 即可;(2)②﹣①得出6t =﹣18,求出t ,再把t =﹣3代入①求出s 即可.【解答】解:(1)整理得:2−=4①2+3=12②,由①,得n =2m ﹣4③,把③代入②,得2m +3(2m ﹣4)=12,解得:m =3,把m =3代入③,得n =2×3﹣4=6﹣4=2,所以原方程组的解是=3=2;(2)6−5=3①6+=−15②,②﹣①,得6t =﹣18,解得:t =﹣3,把t =﹣3代入①,得6s +15=3,解得:s =﹣2,所以原方程组的解是=−2=−3.【点评】本题考查了解二元一次方程组,能把二元一次方程组转化成一元一次方程是解此题的关键,解二元一次方程组的方法有代入消元法和加减消元法两种.7.(2022春•泰安期中)用指定的方法解下列方程组(1)3+4=19−=4(代入消元法);(2)2+3=−53−2=12(加减消元法);(3−9)=6(−2)r13=2.【分析】(1)方程组利用代入消元法求出解即可;(2)方程组利用加减消元法求出解即可;(3)方程组整理后,利用加减消元法求出解即可.【解答】解:(1)3+4=19①−=4②,由②得:x =y +4③,把③代入①得:3(y +4)+4y =19,解得:y=1,把y=1代入③得:x=1+4=5,则方程组的解为=5=1;(2)2+3=−5①3−2=12②,①×2+②×3得:13x=26,解得:x=2,把x=2代入①得:4+3y=﹣5,解得:y=﹣3,则方程组的解为=2=−3;(3)方程组整理得:5−6=33①3−4=28②,①×2﹣②×3得:x=﹣18,把x=﹣18代入①得:﹣90﹣6y=33,解得:y=−412,则方程组的解为=−18=−412.【点评】此题考查了解二元一次方程组,利用了消元的思想,消元的方法有:代入消元法与加减消元法.8.(2021秋•历下区期中)请用指定的方法解下列方程组:(1)3+2=143+4=17.(加减法)=+3;(代入法)(2)2+3=12【分析】(1)用代入消元法解方程组即可;(2)用加减消元法解方程组即可.【解答】解:(1)3+2=14①=+3②,将②代入①,得3y+9+2y=14,解得y=1,将y=1代入②得x=4,∴方程组的解为=4=1;(2)2+3=12①3+4=17②,①×3得,6x+9y=36③,②×2得,6x+8y=34④,③﹣④,得y=2,将y=2代入①得,x=3,∴方程组的解为=3=2.【点评】本题考查二元一次方程组的解,熟练掌握代入消元法和加减消元法解二元一次方程组的方法是解题的关键.9.(2021春•沙河口区期末)用指定的方法解下列方程组:(1)=2−33+2=8(代入法);(2)3+4=165−6=33(加减法).【分析】(1)把①代入②得出x的值,再把x的值代入①求出y的值,从而得出方程组的解;(2)①×3+②×2得出19x=114,求出x,把x=6代入①求出y即可.【解答】解:(1)=2−3①3+2=8②,把①代入②得:3x+2(2x﹣3)=8,解得:x=2,把x=2代入①得:y=1,则原方程组的解是:=2=1.(2)3+4=16①5−6=33②,①×3+②×2得:19x=114,解得:x=6,把x=6代入①得:18+4y=16,解得:y=−12,所以方程组的解=6=−12.【点评】本题考查了解二元一次方程组,能把二元一次方程组转化成一元一次方程是解此题的关键.10.用指定的方法解下列方程组:(1)3+4=19−=4(代入法);(2)2+3=−53−2=12(加减法).【分析】(1)由②得出x=4+y③,把③代入①得出3(4+y)+4y=19,求出y,把y =1代入③求出x即可;(2)①×2+②×3得出13x=26,求出x,把x=2代入①求出y即可.【解答】解:(1)3+4=19①−=4②,由②得:x=4+y③,把③代入①得:3(4+y)+4y=19,解得:y=1,把y=1代入③得:x=4+1=5,所以方程组的解是=5=1;(2)2+3=−5①3−2=12②,①×2+②×3得:13x=26,解得:x=2,把x=2代入①得:4+3y=﹣5,解得:y=﹣3,所以方程组的解=2=−3.【点评】本题考查了解二元一次方程组,能把二元一次方程组转化成一元一次方程是解此题的关键.1.(2022•苏州模拟)用适当的方法解下列方程组.(1)+2=9−3=1;(2−34=1−p−(−4p=4.【分析】(1)利用加减消元法,方程组可化为:7y=28,解得:y=4,将y=4代入①得:x=1;(2)先将方程组化为:8−9=12①8−5=4②,利用加减消元法解得:y=﹣2,将y=﹣2代入①得:=−34.【解答】解:(1)+2=9①−3=1②①×3+②得:7y=28,解得:y=4,将y=4代入①得:x=1,即方程的解为:=1=4;(2)原方程组可化为:8−9=12①8−5=4②,①﹣②得:﹣4y=8,解得:y=﹣2,将y=﹣2代入①得:=−34,即方程的解为:=−34=−2.【点评】本题主要考查的是二元一次方程组的解法,利用合适的方法解方程组即可.2.(2022秋•锦江区校级期末)用适当的方法解下列方程组.(1)=2−14+3=7;(2)3+2=22+3=28,.【分析】(1)方程组利用代入消元法求解即可;(2)用方程①×3﹣②×2,可消去未知数y,求出未知数x,进而得出y的值.【解答】解:(1)=2−1①4+3=7②,把①代入②,得4(2y﹣1)+3y=7,解得y=1,把y=1代入①,得x=1,故原方程组的解为=1=1;(2)3+2=2①2+3=28②,①×3﹣②×2,得5x=﹣50,解得x=﹣10,把x=﹣10代入①,得y=16,故原方程组的解为=−10=16.【点评】本题考查了解二元一次方程组,掌握加减消元法和代入消元法是解答本题的关键.3.用适当的方法解下列方程组:(1)+2=0,3+4=6;(2=21)−=11(3)+0.4=40,0.5+0.7=35;(4K4=−14,5(r1)12=2.【分析】(1)由x+2y=0可用y表示x,利用代入消元法求第一个方程组的解.同理解(2)(3)利用加减消元法求方程组的解.(4)对于关于m、n的方程,将其化为整系数方程时,给第一个方程两边同时乘12,给第二个方程两边同时乘12.利用加减消元法求方程组的解.【解答】解:(1)+2=0,①3+4=6;②由①,得x=﹣2y,③把③代入②,得﹣6y+4y=6,解得y=﹣3,把y=﹣3代入①,得x=6.∴原方程组的解为=6=−3;(2=2s1)−=11②由①,得x+1=6y,③把③代入②,得12y﹣y=11,解得y=1.把y=1代入③,得x+1=6,解得x=5.∴原方程组的解为=5=1;(3)+0.4=40,①0.5+0.7=35;②②×2,得x+1.4y=70,③③﹣①,得y=30.把y=30代入①,得x+0.4×30=40,解得x=28.∴原方程组的解为=28=30;(4K4=−14,5(r1)12=2,原方程组化为:+7=−3,①2−5=13,②,①×2﹣②,得19n=﹣19,解得n=﹣1.把n=﹣1代入①,得m﹣7=﹣3,解得m=4.∴原方程组的解为=4=−1.【点评】此题主要考查了解二元一次方程组的方法,灵活运用代入消元法和加减消元法是解题的关键.4.(2022•天津模拟)用适当的方法解下列方程组:(1)+=52−=4;(2=r24−K33=112.【分析】(1)应用代入消元法,求出方程组的解即可.(2)应用加减消元法,求出方程组的解即可.【解答】解:(1)+=5①2−=4②,由①,可得:x=5﹣y③,③代入②,可得:2(5﹣y)﹣y=4,解得y=2,把y=2代入③,可得:x=5﹣2=3,∴原方程组的解是=3=2.(2=r24①−K33=112②,由①,可得:4x﹣3y=2③,由②,可得:3x﹣4y=﹣2④,③×4﹣④×3,可得7x=14,解得x=2,把x=2代入③,可得:4×2﹣3y=2,解得y=2,∴原方程组的解是=2=2.【点评】此题主要考查了解二元一次方程组的方法,注意代入消元法和加减消元法的应用.5.(2021•越城区校级开学)用适当的方法解下列方程组:(1)2−3=7−3=7.(2)0.3+0.4=40.2+2=0.9.【分析】(1)利用加减法消元法解二元一次方程组即可;(2)先整理方程,再利用加减消元法解二元一次方程组即可.【解答】解:(1)2−3=7①−3=7②,①﹣②得x =0,把x =0代入②得0﹣3y =7,解得y =−73,∴方程组的解为=0=−73;(2)整理原方程组得3+4=40①2−9=−20②,①×2﹣②×3得35q =140,q =4,把q =4代入②得2p ﹣36=﹣20,解得p =8,∴方程组的解为=8=4.【点评】本题考查了解二元一次方程组,做题关键是掌握加减消元法和代入消元法解二元一次方程组.6.(2022春•东城区校级月考)用适当的方法解下列方程组(1)+=52+=8;(2)2+3=73−2=4.【分析】(1)应用代入消元法,求出方程组的解是多少即可.(2)应用加减消元法,求出方程组的解是多少即可.【解答】解:(1)+=5①2+=8②,由①,可得:x =5﹣y ③,③代入②,可得:2(5﹣y )+y =8,解得y =2,把y =2代入③,解得x =3,∴原方程组的解是=3=2.(2)2+3=7①3−2=4②,①×2+②×3,可得13x=26,解得x=2,把x=2代入①,解得y=1,∴原方程组的解是=2=1.【点评】此题主要考查了解二元一次方程组的方法,注意代入消元法和加减消元法的应用.7.(2021春•哈尔滨期末)用适当的方法解下列方程组(1)+2=93−2=−1(2)2−=53+4=2【分析】(1)利用加减消元法进行求解即可;(2)利用加减消元法进行求解即可.【解答】解:(1)+2=9①3−2=−1②,①+②得:4x=8,解得:x=2,把x=2代入①得:2+2y=9,解得:y=72,故原方程组的解是:=2=72;(2)2−=5①3+4=2②,①×4得:8x﹣4y=20③,②+③得:11x=22,解得:x=2,把x=2代入①得:4﹣y=5,解得:y=﹣1,故原方程组的解是:=2=−1.【点评】本题主要考查解二元一次方程组,解答的关键是熟练掌握解二元一次方程组的方法.8.(2022春•椒江区校级期中)用适当的方法解下列方程组:(1)2+3=16①+4=13②;(2)2r3=3K28=3.【分析】(1)②×2﹣①得出5y=10,求出y,再把y=2代入②求出x即可;(2)整理后得出得2+=9①3−2=24②,①×2+②得出7s=42,求出s,再把s=6代入①求出t即可.【解答】解:(1)2+3=16①+4=13②,②×2﹣①,得5y=10,解得:y=2,把y=2代入②,得x+8=13,解得:x=5,所以方程组的解为=5=2;(2)整理方程组,得2+=9①3−2=24②,①×2+②,得7s=42,解得:s=6,把s=6代入①,得12+t=9,解得:t=﹣3,所以方程组的解为=6=−3.【点评】本题考查了解二元一次方程组,能把二元一次方程组转化成一元一次方程是解此题的关键.9.(2022春•诸暨市期中)用适当的方法解下列方程组:(1)=2−1+2=−7(2+3=7+2=8【分析】(1)用代入消元解二元一次方程组即可;(2)用加减消元解二元一次方程组即可;【解答】解:(1)=2−1①+2=−7②,把①代入②得,x+2(2x﹣1)=﹣7,解得x=﹣1,将x=﹣1代入①得y=﹣3,∴方程组的解为=−1=−3.(2)整理得3+4=84①2+3=48②,①×2﹣②×3得,﹣y=24,解得y=﹣24,将y=﹣24代入②得x=60,∴方程组的解为=60=−24.【点评】本题考查二元一次方程组的解,熟练掌握加减消元法和代入消元法解二元一次方程组是解题的关键.10.(2021春•南湖区校级期中)用适当的方法解下列方程组:(1)3+2=9−=8;(2=r25=7.【分析】(1)由②可得x=8+y③,再把③代入①,可得y的值,然后把y的值代入③求出x的值即可;(2)方程组整理后可得+5=0①2−5=7②,利用①+②可得x的值,然后把x的值代入①求出y的值即可.【解答】解:(1)3+2=9①−=8②,由②得,x=8+y③,将③代入①得,3(8+y)+2y=9,解得,y=﹣3,把y=﹣3代入③得,x=5,则方程组的解为=5=−3;(2)方程组整理得:+5=0①2−5=7②,①+②得:3x=7,解得:x=73,把x=73代入①得:y=−715,则方程组的解为=73=−715.【点评】此题考查了解二元一次方程组,利用了消元的思想,消元的方法有:代入消元法与加减消元法.1.先阅读材料,然后解方程组:材料:解方程组+=4①3(+p+=14②在本题中,先将x+y看作一个整体,将①整体代入②,得3×4+y=14,解得y=2.把y=2代入①得x=2,所以=2=2这种解法称为“整体代入法”,你若留心观察,有很多方程组可采用此法解答,请用这种方法解方程组−−1=0①4(−p−=5②.【分析】根据阅读材料中的方法求出方程组的解即可.【解答】解:由①得:x﹣y=1③,把③代入②得:4﹣y=5,即y=﹣1,把y=﹣1代入③得:x=0,则方程组的解为=0=−1.【点评】此题考查了解二元一次方程组,熟练掌握运算法则是解本题的关键.2.(2021秋•乐平市期末)解方程组3−2=8⋯⋯⋯①3(3−2p+4=20⋯.②时,可把①代入②得:3×8+4y=20,求得y=﹣1,从而进一步求得=2=−1这种解法为“整体代入法“,请用这样的方法解下列方程组2−3=123(2−3p+5=26.【分析】利用整体代入法的求解方法进行解答即可.【解答】解:2−3=12①3(2−3p+5=26②,把①代入②得:3×12+5y=26,解得y=﹣2,把y=﹣2代入①得:2x+6=12,解得x =3,故原方程组的解是:=3=−2.【点评】本题主要考查解二元一次方程组,解答的关键是对解二元一次方程组的方法的掌握与运用.3.先阅读,然后解方程组.解方程组−−1=0①4(−p −=5②时,可由①得x ﹣y =1.③,然后再将③代入②得4×1﹣y =5,求得y =﹣1,从而进一步求得=0=−1这种方法被称为“整体代入法”,请用这5=0=2+1.【分析】利用整体代入法解方程组即可.5=0①=2+1②,由①得,2x ﹣3y =﹣5,③,把③代入②得,10+37=2y +1,解得,y =37,把y =37代入③得,x =−137,则方程组的解为:=−137=37.【点评】本题考查的是二元一次方程组的解法,掌握整体代入法解方程组的一般步骤是解题的关键.4.(2022春•太和县期末)先阅读,然后解方程组.解方程组−−1=0①4(−p −=5②时,可由①得x ﹣y =1,③然后再将③代入②得4×1﹣y =5,求得y =﹣1,从而进一步求得=0①=−1②这种方法被称为“整体代入法”,2=02=9.【分析】仿照所给的题例先把①变形,再代入②中求出y 的值,进一步求出方程组的解即可.2=0①+2=9②,由①得,2x﹣3y=2③,代入②得2+57+2y=9,解得y=4,把y=4代入③得,2x﹣3×4=2,解得x=7.故原方程组的解为=7=4.【点评】本题考查的是在解二元一次方程组时整体思想的应用,利用整体思想可简化计算.5.先阅读,然后解方程组.解方程组−−1=0①4(−p−=5②时,可由①得x﹣y=1③,然后再将③代入②得4×1﹣y=5,求得y=﹣1,从而进一步求得x这种方法被称为“整体代入法”,请用这样的方法解下列方程组:2−3−2=03(2−3p+=7.【分析】把2x﹣3y看作一个整体,代入第二个方程求出y的值,进而求出x的值即可.【解答】解:2−3−2=0①3(2−3p+=7②,把①变形得:2x﹣3y=2③,③代入②得:6+y=7,即y=1,把y=1代入③得:x=2.5,则方程组的解为=2.5=1.【点评】此题考查了解二元一次方程组,利用了消元的思想,消元的方法有:代入消元方法与加减消元法.1.用换元法解下列方程组+2=12−1=34【分析】方程组利用换元法求出解即可.【解答】解:设1=a,1=b,方程组变形为2+2=12①5−=34②,①+②×2得:12a=2,解得:a=16,把a=16代入②得:b=112,则方程组的解为=16=112,即=6=12.【点评】此题考查了解二元一次方程组,熟练掌握运算法则是解本题的关键.2.用换元法解下列方程组:(1)3(p+2(−p=36(−4(−p=−16(2+r53=2−(+5p=5.【分析】(1)令x+y=m、x﹣y=n得关于m、n的方程组,解得m、n的值,从而可得关于x、y的方程组,求解可得;(2)令x﹣4y=a、x+5y=b得关于a、b的方程组,解该方程组可得a、b的值,从而可得关于x、y的方程组,求解可得.【解答】解:(1)令x+y=m,x﹣y=n,则原方程组可化为:3+2=36−4=−16,解得:=8=6,即+=8−=6,解得:=7=1;(2)令x﹣4y=a,x+5y=b,+3=2−=5,解得:=6=−3,即:−4=6+5=−3,解得:=2=−1.【点评】本题主要考查换元法解方程组的能力,熟练而准确地解方程组是基础,正确找到共同的整体加以换元是关键.3.(2022春•云阳县期中)阅读探索:解方程组(−1)+2(+2)=62(−1)+(+2)=6解:设a﹣1=x,b+2=y原方程组可以化为+2=62+=6,解得=2=2,即:−1=2+2=2∴=3=0,此种解方程组的方法叫换元法.(1)拓展提高运用上述方法解下列方程组(4−1)+2(5+2)=102(4−1)+(5+2)=11;(2)能力运用已知关于x,y的方程组1+1=12+2=2的解为=6=7,求关于m、n的方程组1(−2)+1(+3)=12(−2)+2(+3)=2的解.【分析】(1)仿照“阅读探索“的思路,利用换元法进行计算即可解答;(2)仿照“阅读探索“的思路,利用换元法进行计算即可解答.【解答】解:(1)设4−1=x,5+2=y,∴原方程组可变为:+2=102+=11,解这个方程组得:=4=3,−1=45+2=3,所以:=20=5;(2)设−2=+3=,可得:−2=6+3=7,解得:=8=4.【点评】本题考查了解二元一次方程组,二元一次方程组的解,理解并掌握例题的换元法是解题的关键.4.在学过了二元一次方程组的解法后,+K10=3①−K10=−1②,你会解这个方程组吗?小明、小刚、小芳争论了一会儿,他们分别写出了一种方法:小明:把原方程组整理得8+2=90③2+8=−30④④×4﹣③得30y=﹣210,所以y=﹣7把y=﹣7代入③得8x=104,所以x=13,即=13=−7小刚:设r6=m,K10=n,则+=3③−=−1④③+④得m=1,③﹣④得m=2,=1=2,所以+=6−=20,所以=13=−7.小芳:①+②得2(rp6=2,即x+y=6.③①﹣②得2(Kp10=4,即x﹣y=20.④③④组成方程组得x=13③﹣④得y=﹣7,即=13=−7.老师看过后,非常高兴,特别是小刚的方法独特,像小刚的这种方法叫做换元法,你能用换元法解下列方程组吗?+2r37=1−2r37=5.【分析】设3K26=m,2r37=n,方程组整理后求出m与n的值,即可确定出x与y 的值.【解答】解:设3K26=m,2r37=n,方程组整理得:+=1①−=5②,①+②得:2m=6,即m=3,①﹣②得:2n=﹣4,即n=﹣2,=32r3=−2,整理得:3−2=182+3=−14,解得:=2=−6.【点评】此题考查了解二元一次方程组,利用了消元的思想,消元的方法有:代入消元法与加减消元法.5.(2022春•卧龙区校级月考)阅读探索(1)知识积累解方程组(−1)+2(+2)=62(−1)+(+2)=6.解:设a﹣1=x,b+2=y.原方程组可变为+2=62+=6,解这个方程组得=2=2,即−1=2+2=2,所以=3=0,这种解方程组的方法叫换元法.(2)拓展提高运用上述方法解下列方程组:(3−1)+2(5+2)=43(3−1)−(5+2)=5.(3)能力运用已知关于x,y的方程组1+1=12+2=2的解为=3=4,请直接写出关于m、n的方程组1(+2)−1=12(+2)−2=2的解是.【分析】(2)仿照(1)的思路,利用换元法进行计算即可解答;(3)仿照前两个题的思路,利用换元法进行计算即可解答.【解答】解:(2)设3−1=x,5+2=y,∴原方程组可变为:+2=43−=5,解这个方程组得:=2=1,−1=25+2=1,所以:=9=−5;(3)设+2=−=,可得:+2=3−=4,解得:=1=−4.。
初一下册青岛版数学解方程练习题1.(每题5分,共10分)解方程组:(1)⎩⎨⎧=+=-1732623y x y x ;(22.解方程组 ⎪⎩⎪⎨⎧=-+=++=++1232721323z y x z y x z y x3.解方程组:(1(2)04239328a b c a b c a b c -+=⎧⎪++=⎨⎪-+=⎩4.解方程(组) (12)⎩⎨⎧-=+=+12332)13(2y x yx56.已知x ,y 是有理数,且(│x │-1)2+(2y+1)2=0,则x -y 的值是多少?7.二元一次方程组437(1)3x y kx k y +=⎧⎨+-=⎩的解x ,y 的值相等,求k .8..当y=-3时,二元一次方程3x+5y=-3和3y -2ax=a+2(关于x ,y 的方程)•有相同的解,求a 的值.9.⎪⎩⎪⎨⎧=---=+-=+-.441454y x z x z y z y x10.若42x y =⎧⎨=⎩是二元一次方程ax -by=8和ax+2by=-4的公共解,求2a -b 的值.11.解下列方程: (1).(2)(3)(4)⎪⎩⎪⎨⎧=-+=+-=+321236z -y x z y x z y x12.(开放题)是否存在整数m ,使关于x 的方程2x+9=2-(m -2)x 在整数范围内有解,你能找到几个m 的值?你能求出相应的x 的解吗?13.方程组2528x y x y +=⎧⎨-=⎩的解是否满足2x -y=8?满足2x-y=8的一对x ,y 的值是否是方程组2528x y x y +=⎧⎨-=⎩的解?14.甲乙两车间生产一种产品,原计划两车间共生产300件产品,实际甲车间比原计划多生产10%,乙车间比原计划多生产20%,结果共生产了340件产品,问原计划甲、乙两车间各生产了多少件产品?15.(本题满分14分) (1)解方程组25211x y x y -=-⎧⎨+=⎩,(2) 解方程组 ⎩⎨⎧=-=+)2.(633)1(,844y x y x16.⎪⎩⎪⎨⎧=++-=+--.6)(2)(3152y x y x yx y x答案第1页,总3页试题分析:(1)应用加减消元法消去未知数y ,得到关于未知数x 的方程,解得x 的值,然后再求出y 的值,得到方程组的解;(2)首先把方程②进行变形,重新组成方程组,应用代入消元法求解.试题解析:(1)解:3262317x y x y -=⎧⎨+=⎩①②,①×3+②×2得,13x=52,解得x=4,把x=4代入①得,12-2y=6, 解得y=3,所以方程组的解为43x y =⎧⎨=⎩;(2由②整理得,3x-4y=-2③,由①得x=14-4y ④,把④代入③得,3(14-4y )-4y= -2, 解得 考点:二元一次方程组的解法.2.原方程组的解231x y z =⎧⎪=⎨⎪=⎩【解析】试题分析:3213.........(1)27............(2)2312.........(3)x y z x y z x y z ++=⎧⎪++=⎨⎪+-=⎩(1)(3)+得5525x y +=得5.......................(4)x y += (1)2⨯得64226....(5)x y z ++= (5)(2)-得5319..........(6)x y += (4)3⨯得3315............(7)x y += (6)(7)2x -=3y =点评:本题难度较低,主要考查学生对三元一次方程组知识点的掌握。
初一下册青岛版数学解方程练习题1.(每题5分,共10分)解方程组:(1)⎩⎨⎧=+=-1732623y x y x ;(22.解方程组 ⎪⎩⎪⎨⎧=-+=++=++1232721323z y x z y x z y x3.解方程组:(1)33(1)022(3)2(1)10x y x y -⎧--=⎪⎨⎪---=⎩(2)04239328a b c a b c a b c -+=⎧⎪++=⎨⎪-+=⎩4.解方程(组) (1)3221+=--x x x (2)⎩⎨⎧-=+=+12332)13(2y x yx5.⎪⎪⎩⎪⎪⎨⎧=++-=+--3423174231y x y x6.已知x ,y 是有理数,且(│x │-1)2+(2y+1)2=0,则x -y 的值是多少?7.二元一次方程组437(1)3x y kx k y +=⎧⎨+-=⎩的解x ,y 的值相等,求k .8..当y=-3时,二元一次方程3x+5y=-3和3y -2ax=a+2(关于x ,y 的方程)•有相同的解,求a 的值.9.⎪⎩⎪⎨⎧=---=+-=+-.441454y x z x z y z y x10.若42x y =⎧⎨=⎩是二元一次方程ax -by=8和ax+2by=-4的公共解,求2a -b 的值.11.解下列方程: (1).(2)(3)(4)⎪⎩⎪⎨⎧=-+=+-=+321236z -y x z y x z y x12.(开放题)是否存在整数m ,使关于x 的方程2x+9=2-(m -2)x 在整数范围内有解,你能找到几个m 的值?你能求出相应的x 的解吗?13.方程组2528x y x y +=⎧⎨-=⎩的解是否满足2x -y=8?满足2x-y=8的一对x ,y 的值是否是方程组2528x y x y +=⎧⎨-=⎩的解?14.甲乙两车间生产一种产品,原计划两车间共生产300件产品,实际甲车间比原计划多生产10%,乙车间比原计划多生产20%,结果共生产了340件产品,问原计划甲、乙两车间各生产了多少件产品? 15.(本题满分14分)(1)解方程组25211x y x y -=-⎧⎨+=⎩,(2) 解方程组 ⎩⎨⎧=-=+)2.(633)1(,844y x y x16.⎪⎩⎪⎨⎧=++-=+--.6)(2)(3152y x y x yx y x参考答案1.(1)⎩⎨⎧==34y x ;(2)⎪⎩⎪⎨⎧==4113y x . 【解析】试题分析:(1)应用加减消元法消去未知数y ,得到关于未知数x 的方程,解得x 的值,然后再求出y 的值,得到方程组的解;(2)首先把方程②进行变形,重新组成方程组,应用代入消元法求解. 试题解析:(1)解:3262317x y x y -=⎧⎨+=⎩①②,①×3+②×2得,13x=52, 解得x=4,把x=4代入①得,12-2y=6, 解得y=3, 所以方程组的解为43x y =⎧⎨=⎩;(2)解:4143314312x y x y +=⎧⎪⎨---=⎪⎩①②,由②整理得,3x-4y=-2③,由①得x=14-4y ④,把④代入③得,3(14-4y )-4y= -2,解得y=114, 把y=114代入④,解得x=3,所以原方程组的解为3114x y =⎧⎪⎨=⎪⎩.考点:二元一次方程组的解法.2.原方程组的解231x y z =⎧⎪=⎨⎪=⎩【解析】试题分析:3213.........(1)27............(2)2312.........(3)x y z x y z x y z ++=⎧⎪++=⎨⎪+-=⎩(1)(3)+得5525x y +=得 5.......................(4)x y += (1)2⨯得64226....(5)x y z ++= (5)(2)-得5319..........(6)x y += (4)3⨯得3315............(7)x y += (6)(7)2x -=3y =1z = ∴原方程组的解231x y z =⎧⎪=⎨⎪=⎩考点:三元一次方程组点评:本题难度较低,主要考查学生对三元一次方程组知识点的掌握。
为中考常见题型,要求学生掌握解题技巧。
3.(1)92x y =⎧⎨=⎩ ; (2)325a b c =⎧⎪=-⎨⎪=-⎩【解析】 试题分析:考点:二元一次方程组的解法,及三元一次方程组的解法。
点评:考查二元(三元)一次方程组的解法,可先整理化简,由加减,或代入消元法求之,本题属于基础题,难度不大,但解答时易出错,需注意。
4.去分母,得:6x-3(x-1)=2(x+2) ………………2分去括号,得:6x-3x+3=2x+4 ………………4分 整理,得:x=1 ………………6分 原方程组变形,得⎩⎨⎧=++=+)2(213)1(32)13(2y x y x ………………2分 (2)把(2) 代入(1)得:4y=2+3y 解得:y=2………………4分把y=2代入(2) 得:x=1………………5分 ∴ ⎩⎨⎧==21y x 【解析】先去分母,然后去括号得出结果。
(2)利用代入消元法求解。
5.⎩⎨⎧-==1016y x【解析】两方程相加解得x=16, 把x=16代入任意一方程解得y=-10, 所以方程组的解为⎩⎨⎧-==1016y x6.解:由(│x │-1)2+(2y+1)2=0,可得│x │-1=0且2y+1=0,∴x=±1,y=-12. 当x=1,y=-12时,x -y=1+12=32; 当x=-1,y=-12时,x -y=-1+12=-12.【解析】任何有理数的平方都是非负数,且题中两非负数之和为0,则这两非负数(│x │-1)2与(2y+1)2都等于0,从而得到│x │-1=0,2y+1=0.7.由题意可知x=y ,∴4x+3y=7可化为4x+3x=7,∴x=1,y=1.将x=1,y=•1•代入kx+(k -1)y=3中得k+k -1=3, ∴k=2 【解析】由两个未知数的特殊关系,可将一个未知数用含另一个未知数的代数式代替,化“二元”为“一元”,从而求得两未知数的值. 8.∴a=-119.【解析】.解:∵y=-3时,3x+5y=-3,∴3x+5×(-3)=-3,∴x=4,∵方程3x+5y=•-•3•和3x -2ax=a+2有相同的解, ∴3×(-3)-2a ×4=a+2,∴a=-119.9.⎪⎪⎪⎩⎪⎪⎪⎨⎧=-==.15451z y x【解析】 将三个方程左,右两边分别相加,得4x -4y +4z =8,故 x -y +z =2 ④,把④分别与第一、二个方程联立,然后用加、减消元法即可求得x 、z 的值. 10.4 【解析】试题分析:把42x y =⎧⎨=⎩分别代入ax -by=8和ax+2by=-4得:4a-2b=8和4a+4b=-4.建立二元一次方程组,解得a=1,b=-2.所以2a-b=4 考点:二元一次方程组点评:本题难度中等,主要考查学生对二元一次方程组知识点的掌握。
为中考常考题型,要求学生牢固掌握解题技巧。
11.(1)x=1(2)方程组的解是;(3)原方程组的解是.(4)原方程组的解是⎪⎪⎩⎪⎪⎨⎧-=-==3173310z y x【解析】试题分析:(1)去分母得:6﹣2(x+2)=3(x ﹣1), 去括号得:6﹣2x ﹣4=3x ﹣3, 移项合并得:﹣5x=﹣5, 解得:x=1.. (2)(1),①+②得,6x=12,解得x=2, 把x=2代入①得,2×2﹣y=5,解得y=﹣1, 所以,方程组的解是;(3)方程组可化为,①+②得,5x+5y=40,所以,x+y=8③, ①﹣②得,x ﹣y=﹣16④, ③+④得,2x=﹣8,解得x=﹣4, ③﹣④得,2y=24, 解得y=12, 所以,原方程组的解是.;(4).解① - ③得,-y=3,解得y=-3 ① - ②得,4y-3z=5 ④ 把y=-3代入④得,-3×4-3z=5解得z=-317把y=-3, z=-317代入①得,x-3-(-317)=6解得x=310所以,原方程组的解是⎪⎪⎩⎪⎪⎨⎧-=-==3173310z y x考点:一元一次方程和一元二次方程组点评:本题难度较低,主要考查学生对一元一次方程和一元二次方程组知识点的掌握。
为中考常考题型,要求学生牢固掌握。
12.24.解:存在,四组.∵原方程可变形为-mx=7, ∴当m=1时,x=-7;m=-1时,x=7;m=•7时,x=-1;m=-7时x=1.【解析】略13.解:满足,不一定.【解析】解析:∵2528x y x y +=⎧⎨-=⎩的解既是方程x+y=25的解,也满足2x -y=8,•∴方程组的解一定满足其中的任一个方程,但方程2x -y=8的解有无数组, 如x=10,y=12,不满足方程组2528x y x y +=⎧⎨-=⎩.14.解:设甲、乙两车间分别生产了x 件产品, y 件产品,则405001210{=+=+y x y x解这个方程得200100{==x y答:甲、乙两车间分别生产了200件产品, 100件产品.【解析】略 15.(1)34x y =⎧⎨=⎩(2)⎩⎨⎧==.0,2y x【解析】略 16.⎩⎨⎧-==.11y x【解析】用换元法,设x -y =A ,x +y =B ,解关于A 、B的方程组⎪⎩⎪⎨⎧=+=-623152B A B A ,进而求得x ,y .。