数列综合练习题3
- 格式:doc
- 大小:434.00 KB
- 文档页数:10
高一数学数列综合测试题1.{a n}是首项a1=1,公差为d=3 的等差数列,如果a n=2 005 ,则序号n等于( ).A.667 B.668 C.669 D.6702.在各项都为正数的等比数列{a n}中,首项a1=3,前三项和为21,则a3+a4+a5=( ).A.33 B.72 C.84 D.1893.如果a1,a2,?,a8 为各项都大于零的等差数列,公差d≠0,则( ).A.a1a8>a4a5 B.a1a8<a4a5 C.a1+a8<a4+a5 D.a1a8=a4a52 24.已知方程(x -2x+m)( x -2x+n)=0 的四个根组成一个首项为14的等差数列,则|m-n|等于( ).A.1 B.34C.12D.385.等比数列{a n}中,a2=9,a5=243,则{a n}的前 4 项和为( ).A.81 B.120 C.168 D.1926.若数列{a n}是等差数列,首项a1>0,a2 003 +a2 004 >0,a2 003 ·a2 004 <0,则使前n 项和S n>0 成立的最大自然数n 是( ).A.4005 B.4006 C.4007 D.40087.已知等差数列{a n}的公差为2,若a1,a3,a4 成等比数列, 则a2=( ).A.-4 B.-6 C.-8 D.-108.设S n 是等差数列{a n}的前n 项和,若a5a3=59,则S9S5=( ).A.1 B.-1 C.2 D.1 29.已知数列-1,a1,a2,-4 成等差数列,-1,b1,b2,b3,-4 成等比数列,则a2b2a1 的值是( ).A.12B.-12C.-12或12D.1410.在等差数列{a n}中,a n≠0,a n-1- 2a +a n+1=0( n≥2,) 若S2n-1=38,则n=( ).nA.38 B.20 C.10 D.9二、填空题..11.设 f (x )=1x ,利用课本中推导等差数列前n 项和公式的方法,可求得f (-5)+f(-4)+?+f (0) +?+2 2f (5)+f (6) 的值为.12.已知等比数列{a n}中,(1) 若a3·a4·a5=8,则a2·a3·a4·a5·a6=.(2) 若a1+a2=324,a3+a4=36,则a5+a6=.(3) 若S4=2,S8=6,则a17+a18+a19+a20=.13.在83 和272之间插入三个数,使这五个数成等比数列,则插入的三个数的乘积为.14.在等差数列{a n}中,3(a3+a5)+2( a7+a10+a13)=24,则此数列前13 项之和为.15.在等差数列{a n}中,a5=3,a6=-2,则a4+a5+?+a10=.16.设平面内有n 条直线(n≥3,) 其中有且仅有两条直线互相平行,任意三条直线不过同一点.若用 f (n)表示这n 条直线交点的个数,则 f (4) =;当n>4 时,f (n )=.三、解答题217.(1)已知数列{a n}的前n 项和S n=3n -2n,求证数列{a n}成等差数列.(2) 已知1a,1b,1c成等差数列,求证b c c a a b,,a b c也成等差数列.18.设{a n}是公比为q的等比数列,且a1,a3,a2 成等差数列.(1) 求q 的值;..(2)设{b n}是以 2 为首项,q 为公差的等差数列,其前n 项和为S n,当n≥2时,比较S n 与b n 的大小,并说明理由.19.数列{a n}的前n 项和记为S n,已知a1=1,a n+1=n 2nS n(n=1,2,3?).求证:数列{ S nn}是等比数列.20.已知数列{a n}是首项为 a 且公比不等于 1 的等比数列,S n 为其前n 项和,a1,2a7,3a4 成等差数列,求证:12 S3,S6,S12-S6 成等比数列...高一数学数列综合测试题参考答案一、选择题1.C解析:由题设,代入通项公式a n=a1+(n-1) d,即 2 005=1+3( n-1),∴n=699.2.C解析:本题考查等比数列的相关概念,及其有关计算能力.设等比数列{a n}的公比为q(q>0),由题意得a1+a2+a3=21,即a1(1+q+q 2 2)=21,又a1=3,∴1+q+q =7.解得q=2 或q=-3(不合题意,舍去),2 2 2∴a3+a4+a5=a1q (1+q+q )=3×2 ×7=84.3.B.解析:由a1+a8=a4+a5,∴排除C.2又a1·a8=a1(a1+7d)=a1 +7a1d,2 2∴a4·a5=(a1+3d )(a1+4d )=a1 +7a1d +12d >a1·a8.4.C解析:..解法1:设a1=14 ,a2=14+d,a3=14+2d,a4=142 2+3d,而方程x -2x+m=0 中两根之和为2,x -2x+n=0中两根之和也为2,∴a1+a2+a3+a4=1+6d=4,∴d=12,a1=14,a4=74是一个方程的两个根,a1=34,a3=54是另一个方程的两个根.7 ∴16 ,1516分别为m 或n,∴|m-n|=12,故选C.解法2:设方程的四个根为x1,x2,x3,x4,且x1+x2=x3+x4=2,x1·x2=m,x3·x4=n.由等差数列的性质:若+s=p+q,则 a +a s=a p+a q,若设x1 为第一项,x2 必为第四项,则x2=74,于是可得等差数列为14,34,54,74,∴m =716,n=1516,∴|m-n|=12 .5.B解析:∵a2=9,a5=243,a5a23=q=2439=27,∴q=3,a1q=9,a1=3,∴S4=53 3-1 3-=2402=120.6.B解析:解法1:由a2 003 +a2 004 >0,a2 003 ·a2 004 <0,知a2 003 和a2 004 两项中有一正数一负数,又a1>0,则公差为负数,否则各项总为正数,故a2 003>a2 004 ,即a2 003 >0,a2 004<0.∴S4 006 =4006( a1 a )+4 0062=4006( a a+2 003 22004)>0,∴S4 007 =40072·(a1+a4 007 )=40072·2a2 004 <0,故4 006 为S n>0 的最大自然数. 选B.... ..解法2:由a1>0,a2 003+a2 004>0,a2 003·a2 004<0,同解法 1 的分析得a2 003 >0,a2 004 <0,∴S2 003 为S n 中的最大值.∵S n 是关于n 的二次函数,如草图所示,( 第6 题) ∴2 003 到对称轴的距离比 2 004 到对称轴的距离小,4 ∴0072在对称轴的右侧.根据已知条件及图象的对称性可得 4 006 在图象中右侧零点 B 的左侧, 4 007,4 008 都在其右侧,S n>0 的最大自然数是 4 006 .7.B解析:∵{a n}是等差数列,∴a3=a1+4,a4=a1+6,又由a1,a3,a4 成等比数列,∴(a1+4) 2 =a1(a1+6),解得a1=-8,∴a2=-8+2=-6.8.A9(a1 a )9解析:∵S9S5= 225(a1a )5=95a5a3=9559·=1,∴选A.9.A4 解析:设 d 和q 分别为公差和公比,则-4=-1+3d 且-4=(-1)q,2∴d=-1,q =2,a2 ∴b2 a1d= 2q=12.10.C解析:∵{a n}为等差数列,∴ 2 a =an-1+a n+1,∴n2a =2a n,n...又a n≠0,∴a n=2,{a n}为常数数列,..而a n=S n22n11,即2n-1=382=19,∴n=10.二、填空题11.3 2 .解析:∵f( x)=1x ,2 2∴f (1-x)=11 x =2 2 2x22 2x=1222x2x,∴f (x )+f (1-x)=2 1x2+122x2x2=1122x2x2=12(22x2x2 )=22.设S=f (-5)+f(-4)+?+f (0)+?+f (5) +f (6) ,则S=f (6) +f (5) +?+f (0) +?+f (-4)+f (-5),∴2S=[f(6) +f (-5)] +[f(5) +f (-4)] +?+[f(-5)+f (6)] =6 2 ,∴S=f (-5)+f (-4)+?+f (0) +?+f (5) +f (6) =3 2 .12.(1)32;(2)4;(3)32.解析:(1)由a3·a5= 2a ,得a4=2,4∴a2·a3·a4·a5·a6= 5 a =32.4(2)a1( a1a2a23242)q 362q19,4∴a5+a6=(a1+a2)q=4.S a a a a 2=+++=4 1 2 3 44 (3)q =24S a= a a S S q+++=+8 1 2 8 4 4,16∴a17+a18+a19+a20=S4q =32.13.216....解析:本题考查等比数列的性质及计算,由插入三个数后成等比数列,因而中间数必与83 ,272同号,由等比中项的中间数为83 27283=6,插入的三个数之积为×272×6=216...14.26.解析:∵a3+a5=2a4,a7+a13=2a10,∴6(a4+a10)=24,a4+a10=4,∴S13=13( a1 a13 )+2=13( a4 a10 )+2=13 42=26.15.-49.解析:∵d=a6-a5=-5,∴a4+a5+?+a10=7(a a4+)102=7(a5 d a5 5d) -++2=7( a5+2d) =-49.16.5,12(n+1)( n-2).解析:同一平面内两条直线若不平行则一定相交,故每增加一条直线一定与前面已有的每条直线都相交,∴f(k)=f (k -1) +(k-1).由f (3) =2,f (4)=f (3) +3=2+3=5,f (5)=f (4) +4=2+3+4=9,??f (n)=f(n-1)+(n-1),相加得 f (n)=2+3+4+?+(n-1)=12(n+1)( n-2).三、解答题17.分析:判定给定数列是否为等差数列关键看是否满足从第 2 项开始每项与其前一项差为常数.证明:(1)n=1 时,a1=S1=3-2=1,... ..2 2当n≥2 时,a n=S n-S n-1=3n -2n-[3( n-1) -2(n-1)]=6n-5,n=1 时,亦满足,∴a n=6n-5( n∈N*).首项a1=1,a n-a n-1=6n-5-[6( n-1)-5]=6(常数)(n∈N*),∴数列{a n}成等差数列且a1=1,公差为6.(2)∵1a,1b,1c成等差数列,2b ∴=1a+1c化简得2ac=b( a+c).b+a c+a+bc=2 2bc+c +a +acab=(ba c ++)ac2+2a c=(a+c)ac2=(ac)+b(ac)+2a+=2·bc,b+∴a c ,c+ba ,a+bc也成等差数列.218.解:(1)由题设2a3=a1+a2,即2a1q =a1+a1q,∵a1≠0,∴2q 2-q-1=0,∴q=1 或-12 .(2)若q=1,则S n=2n+n(n-1)2 =2 nn 3+2.( n-1)( n+2)当n≥2 时,S n-b n=S n-1=>0,故S n>b n.2若q=-12,则S n=2n+n(n-1)2(-12)=- 2 nn +94.当n≥2 时,S n-b n=S n-1=( n 1 n-1)( 0-)4,故对于n∈N+,当2≤n≤9 时,S n>b n;当n=10 时,S n=b n;当n≥11 时,S n<b n.19.证明:∵a n+1=S n+1-S n,a n+1=n+2nS n,∴(n+2) S n=n( S n+1-S n),整理得nS n+1=2( n+1) S n,所以S n+1n 1=2S nn.... +故{ S nn}是以 2 为公比的等比数列.20.证明:由a1,2a7,3a4 成等差数列,得4a7=a1+3a4,即 4 a1q 6 3 =a1+3a1q,3 3变形得(4q +1)( q -1)=0,∴q 3 =-143或q =1(舍)...a (1 16 q )由S612S3=112a (11q 1=3q )3q12=116;1 qa (1112q )S12S6 S6 =S12S6-1=1a (11q6q )6-1=1+q -1=116;得S612S3=S12S6S6 .1 q∴12 S3,S6,S12-S6 成等比数列.单纯的课本内容,并不能满足学生的需要,通过补充,达到内容的完善教育之通病是教用脑的人不用手,不教用手的人用脑,所以一无所能。
数列综合测试题(经典)含标准答案(总8页)--本页仅作为文档封面,使用时请直接删除即可----内页可以根据需求调整合适字体及大小--数列综合测试题第Ⅰ卷(选择题 共60分)一、选择题(本大题共12个小题,每小题5分,共60分,在每小题给出的四个选项中,只有一项是符号题目要求的。
)1.已知等差数列{a n }的前n 项和为S n ,且满足S 33-S 22=1,则数列{a n }的公差是( )B .1C .2D .32.设等比数列{a n }的前n 项和为S n ,若8a 2+a 5=0,则下列式子中数值不能确定的是( )3.(理)已知数列{a n }满足log 3a n +1=log 3a n +1(n ∈N *)且a 2+a 4+a 6=9,则log 13(a 5+a 7+a 9)的值是( )A .-5B .-15C .54.已知两个等差数列{a n }和{b n }的前n 项和分别为A n 和B n ,且A n B n =7n +45n +3,则使得a nb n为正偶数时,n 的值可以是( )A .1B .2C .5D .3或115.已知a >0,b >0,A 为a ,b 的等差中项,正数G 为a ,b 的等比中项,则ab 与AG 的大小关系是( )A .ab =AGB .ab ≥AGC .ab ≤AGD .不能确定6.各项都是正数的等比数列{a n }的公比q ≠1,且a 2,12a 3,a 1成等差数列,则a 3+a 4a 4+a 5的值为( )或5-127.数列{a n }的通项公式为a n =2n -49,当该数列的前n 项和S n 达到最小时,n 等于( )A.24 B.25C.26 D.278.数列{a n}是等差数列,公差d≠0,且a2046+a1978-a22012=0,{b n}是等比数列,且b2012=a2012,则b2010·b2014=( )A.0 B.1C.4 D.89.已知各项均为正数的等比数列{a n}的首项a1=3,前三项的和为21,则a3+a4+a5=( )A.33 B.72C.84 D.18910.已知等差数列{a n}的前n项和为S n,若a1=1,S3=a5,a m=2011,则m=( ) A.1004 B.1005C.1006 D.100711.设{a n}是由正数组成的等差数列,{b n}是由正数组成的等比数列,且a1=b1,a2003=b2003,则( )A.a1002>b1002B.a1002=b1002C.a1002≥b1002D.a1002≤b100212.已知数列{a n}的通项公式为a n=6n-4,数列{b n}的通项公式为b n=2n,则在数列{a n}的前100项中与数列{b n}中相同的项有( )A.50项B.34项C.6项D.5项第Ⅱ卷(非选择题共90分)二、填空题(本大题共4个小题,每小题4分,共16分,把正确答案填在题中横线上)13.已知数列{a n}满足:a n+1=1-1a n,a1=2,记数列{a n}的前n项之积为P n,则P2011=________.14.秋末冬初,流感盛行,荆门市某医院近30天每天入院治疗流感的人数依次构成数列{a n},已知a1=1,a2=2,且a n+2-a n=1+(-1)n(n∈N*),则该医院30天入院治疗流感的人数共有________人.15.已知等比数列{a n}中,各项都是正数,且a1,12a3,2a2成等差数列,则a3+a10a1+a8=________.16.在如图的表格中,每格填上一个数字后,使每一横行成等差数列,每一纵列成等比数列,且从上到下所有公比相等,则a+b+c的值为________.三、解答题()17.设数列{a n }的前n 项和为n S =2n 2,{b n }为等比数列,且a 1=b 1,b 2(a 2 -a 1)=b 1。
数列综合练习1.(2011·山东)在等差数列{a n }中,已知a 1=2,a 2+a 3=13,则a 4+a 5+a 6等于()A .40B .42C .43D .452 )(2011·江西)已知等差数列{a n }的前n 项和为S n ,且满足S 33-S 22=1,则数列{a n }的公差是()A.12 B .1 C .2 D .33.(2011·辽宁沈阳二中检测,辽宁丹东四校联考)已知数列{a n }满足log 3a n +1=log 3a n +1(n∈N *)且a 2+a 4+a 6=9,则log 13(a 5+a 7+a 9)的值是()A .-5B .-15C .5 D.154.已知{a n }为等差数列,{b n }为正项等比数列,公式q ≠1,若a 1=b 1,a 11=b 11,则()A .a 6=b 6B .a 6>b 6C .a 6<b 6D .以上都有可能5(联考)已知a >0,b >0,A 为a ,b 的等差中项,正数G 为a ,b 的等比中项,则ab 与AG 的大小关系是()A .ab =AGB .ab ≥AGC .ab ≤AGD .不能确定6.(2011·潍坊一中期末)各项都是正数的等比数列{a n }的公比q ≠1,且a 2,12a 3,a 1成等差数列,则a 3+a 4a 4+a 5的值为() A.1-52 B.5+12 C.5-12 D.5+12或5-127.数列{a n }是公差不为0的等差数列,且a 1、a 3、a 7为等比数列{b n }的连续三项,则数列{b n }的公比为()A. 2 B .4 C .2 D.128在等差数列{a n }中,其前n 项和是S n ,若S 15>0,S 16<0,则在S 1a 1,S 2a 2,…,S 15a 15中最大的是()A.S 1a 1B.S 8a 8C.S 9a 9D.S 15a 159(2011·海南嘉积中学模拟)若数列{a n }满足:a n +1=1-1a n且a 1=2,则a 2011等于() A .1 B .-12 C .2 D.1210(2011湖北荆门市调研)数列{a n }是等差数列,公差d ≠0,且a 2046+a 1978-a 22012=0,{b n }是等比数列,且b 2012=a 2012,则b 2010·b 2014=()A .0B .1C .4D .811(2011·豫南九校联考)设数列{a n }是以2为首项,1为公差的等差数列,{b n }是以1为首项,2为公比的等比数列,则ab 1+ab 2+…+ab 10=()A .1033B .1034C .2057D .205812(2011·苏北)已知α∈⎝⎛⎭⎫0,π2∪⎝⎛⎭⎫π2,π,且sin α,sin2α,sin4α成等比数列,则α的值 13.(本小题满分12分)(2011·河南濮阳)数列{a n }的前n 项和记为S n ,a 1=1,a n +1=2S n +1(n ≥1).(1)求{a n }的通项公式; (2)等差数列{b n }的各项为正数,前n 项和为T n ,且T 3=15,又a 1+b 1,a 2+b 2,a 3+b 3成等比数列,求T n .14.(本小题满分12分))(2011·宁夏银川一中模拟)在各项均为负数的数列{a n }中,已知点(a n ,a n +1)(n ∈N *)在函数y =23x 的图象上,且a 2·a 5=827.(1)求证:数列{a n }是等比数列,并求出其通项;(2)若数列{b n }的前n 项和为S n ,且b n =a n +n ,求S n .。
专题3 数列专题压轴小题一、单选题1.(2022·全国·模拟预测(理))数列{}n a 满足1a a =,2131n n n a a a +=--,则下列说法错误的是( ) A .若1a ≠且2a ≠,数列{}n a 单调递减B .若存在无数个自然数n ,使得1n n a a +=,则1a =C .当2a >或1a <时,{}n a 的最小值不存在D .当3a =时,121111,12222n a a a ⎛⎤++⋅⋅⋅⋅⋅⋅+∈ ⎥---⎝⎦2.(2022·浙江·杭州高级中学模拟预测)已知数列{}n a 中,11a =,若()*112,N n n n na a n n n a --=≥∈+,则下列结论中错误的是( ) A .41225a =B .11112n n a a +-≤ C .ln(1)1n a n ⋅+<D .21112n n a a -≤ 3.(2022·浙江·高三开学考试)已知数列{}n a 满足递推关系1e 1e nn a an a +-=,且10a >,若存在等比数列{}n b 满足1+≤≤n n n b a b ,则{}n b 公比q 为( )A .12B .1eC .13D .1π4.(2022·浙江·模拟预测)已知数列{}n a 满足()()112,1ln n n a a a b b n *+=-=+-∈N .若{}n a 有无穷多个项,则( ) A .0b ≥B .1b ≥-C .1b ≥D .2b ≥-5.(2022·全国·高三专题练习)已知等差数列{}n a (公差不为零)和等差数列{}n b 的前n 项和分别为n S ,n T ,如果关于x 的实系数方程22021202120210x S x T -+=有实数解,那么以下2021个方程()201,2,3,,2021i i x a x b i -+==⋅⋅⋅中,无实数解的方程最多有( )A .1008个B .1009个C .1010个D .1011个6.(2022·全国·高三专题练习)己知数列{}n a 满足:12a =,)()1123n n a a n *+=∈N .记数列{}n a 的前n 项和为n S ,则( ) A .101214S << B .101416S << C .101618S <<D .101820S <<7.(2022·浙江·慈溪中学模拟预测)已知数列{}n a 满足:112a =-,且()1ln 1sin +=+-n n n a a a ,则下列关于数列{}n a 的叙述正确的是( ) A .1n n a a +>B .1124-≤<-n aC .212nn n a a a +>-+D .2124n n a -≤-8.(2022·浙江省江山中学高三期中)已知数列{}n a 满足13a =,121n n na a a +=+-,记数列{}2n a -的前n项和为n S ,设集合12624535,,,5251712M ⎧⎫=⎨⎬⎩⎭,{nN M Sλλ=∈>对*n ∈N 恒成立},则集合N 的元素个数是( ) A .1B .2C .3D .49.(2022·浙江省嘉善中学高三阶段练习)已知数列{}n a 满足11a =,()*14,2n n a a n N n -⎫=+∈≥,n S 为数列1n a ⎧⎫⎨⎬⎩⎭的前n 项和,则( ) A .20227833S << B .2022723S <<C .2022523S << D .2022513S <<10.(2022·全国·高三专题练习)已知数列{}{}{}n n n a b c 、、满足()*111112233411111112334n n n n n n n n n n n b a b c c a a c c n S n T n b b b b a a a n+++====-=⋅∈=+++≥=+++≥---N ,,,(),(),则下列有可能成立的是( )A .若{}n a 为等比数列,则220222022a b > B .若{}n c 为递增的等差数列,则20222022S T <C .若{}n a 为等比数列,则220222022a b < D .若{}n c 为递增的等差数列,则20222022S T >11.(2022·浙江·模拟预测)已知各项均为正数的数列{}n a 满足11a =,()1*111n n n n n a a n N a +++=-∈,则数列{}n a ( )A .无最小项,无最大项B .无最小项,有最大项C .有最小项,无最大项D .有最小项,有最大项12.(2022·浙江浙江·二模)已知{}n a 为非常数数列且0n a ≠,1a μ=,()()*1sin 2,,n n n a a a n λμλ+=++∈∈R N ,下列命题正确的是( )A .对任意的λ,μ,数列{}n a 为单调递增数列B .对任意的正数ε,存在λ,μ,()*00n n ∈N ,当0n n >时,1n a ε-<C .存在λ,μ,使得数列{}n a 的周期为2D .存在λ,μ,使得2122n n n a a a +++->13.(2022·浙江温州·二模)对于数列{}n x ,若存在正数M ,使得对一切正整数n ,恒有n x M ≤,则称数列{}n x 有界;若这样的正数M 不存在,则称数列{}n x 无界,已知数列{}n a 满足:11a =,()()1ln 10n n a a λλ+=+>,记数列{}n a 的前n 项和为n S ,数列{}2na 的前n 项和为nT ,则下列结论正确的是( ) A .当1λ=时,数列{}n S 有界 B .当1λ=时,数列{}n T 有界 C .当2λ=时,数列{}n S 有界D .当2λ=时,数列{}n T 有界14.(2022·北京市育英学校高三开学考试)[]x 为不超过x 的最大整数,设n a 为函数()[]f x x x ⎡⎤=⎣⎦,[)0,x n ∈的值域中所有元素的个数.若数列12n a n ⎧⎫⎨⎬+⎩⎭的前n 项和为n S ,则2022S =( )A .10121013B .12C .20214040D .1011101215.(2022·浙江浙江·高三阶段练习)已知数列{}n a 满足11a =,且12n n T a a a =,若*12,1n nn n a T T n N a ++∈=,则( ) A .5011,1211a ⎛⎫∈⎪⎝⎭B .5011,1110a ⎛⎫∈⎪⎝⎭C .1011,87a ⎛⎫∈ ⎪⎝⎭D .1011,65a ⎛⎫∈ ⎪⎝⎭16.(2022·浙江·高三专题练习)已知数列{}n a 满足()*111,1ln 2n n a a a n N +==+∈,记n T 表示数列{}n a 的前n 项乘积.则( ) A .911,3026T ⎛⎫∈⎪⎝⎭ B .911,2622T ⎛⎫∈⎪⎝⎭ C .911,2218T ⎛⎫∈⎪⎝⎭ D .911,1814T ⎛⎫∈⎪⎝⎭ 17.(2022·浙江·湖州中学高三阶段练习)已知各项均为正数的数列{}n a 满足11a =,()11e cos n a n n a a n +*+=-∈Ν,其前n 项和为n S ,则下列关于数列{}n a 的叙述错误的是( ) A .()1n n a a n *+>∈Ν B .()211n n n a a a n *++<+∈ΝC.)n a n *∈ΝD.)n S n *<∈Ν18.(2022·浙江·镇海中学高三期末)已知无穷项实数列{}n a 满足: 1a t =, 且 14111n n n a a a +=--, 则( )A .存在1t >, 使得20111a a =B .存在0t <, 使得20211a a =C .若2211a a =, 则21a a =D .至少有2021个不同的t , 使得20211a a =19.(2022·浙江杭州·高三期末)若数列{}n a 满足1n n a a +<,则下列说法错误的是( ) A .存在数列{}n a 使得对任意正整数p ,q 都满足p pq q a a a =+ B .存在数列{}n a 使得对任意正整数p ,q 都满足pq q p a pa qa =+ C .存在数列{}n a 使得对任意正整数p ,q 都满足p q q p a pa qa +=+ D .存在数列{}n a 使得对任意正整数p ,q 部满足p q p q a a a +=20.(2022·全国·高三专题练习)已知{}n a 是各项均为正整数的数列,且13a =,78a =,对*k N ∀∈,11k k a a +=+与1212k k a a ++=有且仅有一个成立,则127a a a ++⋅⋅⋅+的最小值为( ) A .18 B .20C .21D .2221.(2022·浙江·海亮高级中学模拟预测)已知数列{},n a n N *∈,212,n n n a a a m m R +=-+∈,下列说法正确的是( )A .对任意的(0,1)m ∈,存在1[1,2]a ∈,使数列{}n a 是递增数列;B .对任意的95(,)42m ∈,存在1[1,2]a ∈,使数列{}n a 不单调;C .对任意的(0,1)m ∈,存在1[1,2]a ∈,使数列{}n a 具有周期性;D .对任意的(0,1)m ∈,当1[1,2]a ∈时,存在3n a >.22.(2022·全国·高三专题练习)已知{}n a 是等差数列,()sin n n b a =,存在正整数()8t t ≤,使得n t n b b +=,*n N ∈.若集合{}*,n S x x b n N==∈中只含有4个元素,则t 的可能取值有( )个A .2B .3C .4D .523.(2022·上海民办南模中学高三阶段练习)已知数列{}n a 满足:当0n a ≠时,2112+-=n n na a a ;当0n a =时,10n a +=;对于任意实数1a ,则集合{}0,1,2,3,nn an ≤=的元素个数为( )A .0个B .有限个C .无数个D .不能确定,与1a 的取值有关24.(2022·全国·高三专题练习)已知数列{}n a 满足1221nn n a a a +=+,满足()10,1a ∈,1220212020a aa ++⋅⋅⋅+=,则下列成立的是( ) A .120211ln ln 2020a a ⋅> B .120211ln ln 2020a a ⋅=C .120211ln ln 2020a a ⋅<D .以上均有可能25.(2022·全国·高三专题练习)已知各项都为正数的数列{}n a 满足1(2)a a a =>,1*11()n a n n ne a ka n N a +-++=-+∈,给出下列三个结论:①若1k =,则数列{}n a 仅有有限项;①若2k =,则数列{}n a 单调递增;①若2k =,则对任意的0M >,陼存在*0n N ∈,使得020n n M a >成立.则上述结论中正确的为( ) A .①① B .①① C .①① D .①①①二、多选题26.(2022·全国·清华附中朝阳学校模拟预测)数列{}n a 满足1a a =,2131n n n a a a +=--,则下列说法正确的是( )A .若1a ≠且2a ≠,数列{}n a 单调递减B .若存在无数个自然数n ,使得1n n a a +=,则1a =C .当2a >或1a <时,{}n a 的最小值不存在D .当3a =时,121111,12222n a a a ⎛⎤++⋅⋅⋅⋅⋅⋅+∈ ⎥---⎝⎦27.(2022·福建省福州第一中学高三开学考试)已知数列{}n a 满足101a <<,()()11ln 2N*n n n a a a n ++=-∈,n S 为数列1n a ⎧⎫⎨⎬⎩⎭的前n 项和,则下列结论正确的是( ) A .()12n n n S +>B .202212022a >C .01n a <<D .若113a =,则1132n n a -≥⋅28.(2022·江苏·高三开学考试) 已知n S 是数列{}n a 的前n 项和,21n n S S n +=-+,则( )A . 121(2)n n a a n n ++=-≥B . 22n n a a +-=C . 当10a =时,501225S =D . 当数列{}n a 单调递增时,1a 的取值范围是11,44⎛⎫- ⎪⎝⎭29.(2022·湖北武汉·高三开学考试)已知数列{}n a 满足:11a =,(()11322n n a a n -=≥,下列说法正确的是( )A .N n *∀∈,12,,n n n a a a ++成等差数列B .()1132n n n a a a n +-=-≥C .()11*23N n n n a n --≤≤∈D .*N n ∀∈,12,,n n n a a a ++一定不成等比数列30.(2022·浙江绍兴·模拟预测)已知正项数列{}n a ,对任意的正整数m 、n 都有222m n m n a a a +≤+,则下列结论可能成立的是( ) A .n mmn a a a m n+= B .m n m n na ma a ++= C .2m n mn a a a ++=D .2m n m n a a a +⋅=31.(2022·全国·模拟预测)已知数列{}n a 满足328a =,()()1122nn n a n a n --⎡⎤=+≥⎢⎥⎣⎦,*n ∈N ,数列{}n b 的前n 项和为n S ,且()()222212221log log n n n n n b a a a a +-+=⋅-⋅,则下列说法正确的是( ) A .4221a a = B .1216a a ⋅=C .数列212n n a a -⎧⎫⎨⎬⎩⎭为单调递增的等差数列D .满足不等式50n S ->的正整数n 的最小值为6332.(2022·福建南平·三模)如图,在平面直角坐标系中的一系列格点(),i i i A x y ,其中1,2,3,,,i n =⋅⋅⋅⋅⋅⋅且,i i x y ∈Z .记n n n a x y =+,如()11,0A 记为11a =,()21,1A -记为20a=,()30,1A -记为31,a =-⋅⋅⋅,以此类推;设数列{}n a 的前n 项和为n S .则( )A .202242a =B .202287S =-C .82n a n =D .()245312n n n n S ++=33.(2022·全国·长郡中学模拟预测)已知数列{}n a 的前n 项和为n S ,且1n n S a +=对于*n N ∀∈恒成立,若定义(1)n n S S =,()()(1)12nk k ni i S S k -==≥∑,则以下说法正确的是( )A .{}n a 是等差数列B .()232122nn n n S -+=-C .()()()121A 1!k k k n k nn S S k +++--=+D .存在n 使得()202120222022!nn S =34.(2022·全国·高三专题练习)我们常用的数是十进制数,如32101079110010710910⨯⨯+⨯⨯=++,表示十进制的数要用10个数码.0,1,2,3,4,5,6,7,8,9;而电子计算机用的数是二进制数,只需两个数码0和1,如四位二进制的数()3212110112120212⨯⨯⨯++⨯=+,等于十进制的数13.把m 位n 进制中的最大数记为(),M m n ,其中m ,*,2n n ∈≥N ,(),M m n 为十进制的数,则下列结论中正确的是( )A .()5,231M =B .()()4,22,4M M =C .()()2,11,2M n n M n n ++<++D .()()2,11,2M n n M n n ++>++35.(2022·全国·高三专题练习)已知数列{}n a 满足11a =,()12ln 11n n n a a a +=++,则下列说法正确的有( ) A .31225a a a <+B .2211n nn a a a +-≤+ C .若2n ≥,则131141ni i a =≤<+∑ D .()()1ln 121ln 2nni i a =+≤-∑36.(2022·海南·嘉积中学高三阶段练习)“0,1数列”在通信技术中有着重要应用,它是指各项的值都等于0或1的数列.设A 是一个有限“0,1数列”,()f A 表示把A 中每个0都变为1,0,每个1都变为0,1,所得到的新的“0,1数列”,例如()0,1,1,0A,则()()1,0,0,1,0,1,1,0f A =.设1A 是一个有限“0,1数列”,定义()1k k A f A +=,1k =、2、3、⋅⋅⋅.则下列说法正确的是( )A .若()31,0,0,1,1,0,0,1A =,则()10,0A =B .对任意有限“0,1数列”1A ,则()2,n A n n ≥∈N 中0和1的个数总相等C .1n A +中的0,0数对的个数总与n A 中的0,1数对的个数相等D .若()10,0A =,则2021A中0,0数对的个数为10101413-() 37.(2022·全国·高三专题练习(理))设数列{}n a 满足10a =,3128,N n na ca c n *+=+-∈其中c 为实数,数列{}2n a 的前n 项和是n S ,下列说法不正确的是( ) A .当1c >时,{}n a 一定是递减数列 B .当0c <时,不存在c 使{}n a 是周期数列 C .当10,4c ⎡⎤∈⎢⎥⎣⎦时,[]0,2n a ∈D .当17c =时,52n S n >- 三、填空题38.(2022·全国·高三专题练习)对于数列{}n a ,若1,n n a a +是关于x 的方程2103n n x c x -+=的两个根,且12a =,则数列{}n c 所有项的和为________.39.(2022·全国·高三专题练习(文))已知函数()2()log 41xf x x =+-,数列{}n a 是公差为2的等差数列,若()()()()112233440a f a a f a a f a a f a +++=,则数列{}n a 的前n 项和n S =__________.40.(2022·全国·高三专题练习)数列{}n a 满足:2110n n n a a a a c +==-++,.若数列{}n a 单调递减,则c的取值范围是________;若数列{}n a 单调递增,则c 的取值范围是__________.41.(2022·全国·高三专题练习(理))黎曼猜想由数学家波恩哈德·黎曼于1859年提出,是至今仍未解决的世界难题.黎曼猜想研究的是无穷级数1111()123s s s sn n n ξ∞-===+++⋅⋅⋅∑,我们经常从无穷级数的部分和1111123s s s s n +++⋅⋅⋅+入手.已知正项数列{}n a 的前n 项和为n S ,且满足112n n n S a a ⎛⎫=+ ⎪⎝⎭,则122021111S S S ⎡⎤++⋅⋅⋅=⎢⎥⎣⎦______.(其中[]x 表示不超过x 的最大整数) 42.(2022·上海·华东师范大学附属东昌中学高三阶段练习)已知函数2()(2),2x f x f x x ≤<=-≥⎪⎩,若对于正数(*)n k n N ∈,直线n y k x =与函数()f x 的图像恰好有21n 个不同的交点,则22212n k k k ++⋯+=___________.43.(2022·全国·高三专题练习)设①A n B n C n 的三边长分别为a n ,b n ,c n ,n =1,2,3…,若11b c >,1112b c a +=,11,2n n n n n a c a a b +++==,12n n n a bc ++=,则n A ∠的最大值是________________.44.(2022·上海·高三专题练习)若数列{}n a 满足()**120,n n n n k a a a a n N k N +++++++=∈∈,则称数列{}n a 为“k 阶相消数列”.已知“2阶相消数列”{}n b 的通项公式为2cos n b n ω=,记12n n T b b b =,12021n ≤≤,*n N ∈,则当n =___________时,n T 取得最小值45.(2022·上海·高三专题练习)若数列{}n a 满足()*4411414242434141032n n n n n n n n a a a a a a a n N a a +-----=-=-===∈,,,且对任意*n N ∈都有n a m <,则m 的最小值为________.46.(2022·全国·高三开学考试(理))用()g n 表示自然数n 的所有因数中最大的那个奇数,例如:9的因数有1,3,9,(9)9g =,10的因数有1,2,5,10,(10)5g =,那么2015(1)(2)(3)(21)g g g g ++++-=__________.47.(2022·江苏苏州·模拟预测)设函数()21f x x =,()()222f x x x =-,()31sin 23f x x π=,取2019i it =,0,1,2,,2019i =,()()()()()()102120192018k k k k k k k S f t f t f t f t f t f t +-++=--,1,2,3k =,则1S ,2S ,3S 的大小关系为________.(用“<”连接)四、双空题48.(2022·浙江·模拟预测)已知数列{}n a 对任意的n *∈N ,都有n a *∈N ,且131,,2n n n n n a a a a a ++⎧⎪=⎨⎪⎩为奇数为偶数.①当18a =时,2022a =_________.①若存在m *∈N ,当n m >且n a 为奇数时,n a 恒为常数P ,则P =_________.49.(2022·全国·高三专题练习)2022年北京冬奥会开幕式中,当《雪花》这个节目开始后,一片巨大的“雪花”呈现在舞台中央,十分壮观.理论上,一片雪花的周长可以无限长,围成雪花的曲线称作“雪花曲线”,又称“科赫曲线”,是瑞典数学家科赫在1904年研究的一种分形曲线.如图是“雪花曲线”的一种形成过程:从一个正三角形开始,把每条边分成三等份,然后以各边的中间一段为底边分别向外作正三角形,再去掉底边,重复进行这一过程若第1个图中的三角形的周长为1,则第n 个图形的周长为___________;若第1个图中的三角形的面积为1,则第n 个图形的面积为___________.50.(2022·全国·高三专题练习)对于正整数n ,设n x 是关于x 的方程:()222253log 1nn n nx x x ++++=的实根,记12nnax⎡⎤=⎢⎥⎣⎦,其中[]x表示不超过x的最大整数,则1a=______;若πsin2n nnb a=⋅,nS为{}n b的前n项和,则2022S=______.。
数列高考复习含答案———综合训练篇一、选择题:1. 在等差数列{}n a 中,12031581=++a a a ,则1092a a -的值为 ( D )A .18B .20C .22D .242.等差数列{}n a 满足:30,8531==+S a a ,若等比数列{}n b 满足,,4311a b a b ==则5b 为( B ) A .16B .32C .64D .273.等差数列{}n a 中,,27,39963741=++=++a a a a a a 则数列{}n a 的前9项之和S 9等于 ( C )A .66B .144C .99D .2974.各项都是正数的等比数列{}n a 的公比q ≠1,且2a ,321a ,1a 成等差数列,则5443a a a a ++为(A ) A .215- B .215+ C .251- D .215+或215-5.设等比数列{}n a 的前n 项和为n S ,若,336=S S 则=69S S( B ) A. 2 B.73 C. 83D.3 6.已知等差数列{}n a 的前n 项的和为n S ,且210S =,555S =,则过点(,)n P n a 和2(2,)()n Q n a n N *++∈的直线的一个方向向量的坐标是 ( B )A.1(2,)2B.1(,2)2-- C.1(,1)2-- D.(1,1)-- 7.设a 、b 、c 为实数,3a 、4b 、5c 成等比数列,且a 1、b 1、c 1成等差数列,则a c c a +的值为( C ) A .1594B .1594±C .1534 D .1534±8. 已知数列{}n a 的通项,1323211⎥⎥⎦⎤⎢⎢⎣⎡-⎪⎭⎫ ⎝⎛⎪⎭⎫ ⎝⎛=--n n n a 则下列表述正确的是 ( A ) A .最大项为,1a 最小项为3a B .最大项为,1a 最小项不存在 C .最大项不存在,最小项为3a D .最大项为,1a 最小项为4a9.已知{}n a 为等差数列,1a +3a +5a =105,246a a a ++=99.以n S 表示{}n a 的前n 项和,则使得n S 达到最大值的n 是(B )A .21B .20C .19D .189.一系列椭圆都以一定直线l 为准线,所有椭圆的中心都在定点M ,且点M 到l 的距离为2,若这一系列椭圆的离心率组成以43为首项,31为公比的等比数列,而椭圆相应的长半轴长为a i =(i=1,2,…,n),设b n =2(2n+1)·3n -2·a n ,且C n =11+n n b b ,T n =C 1+C 2+…+C n ,若对任意n ∈N*,总有T n >90m 恒成立,则m 的最大正整数为( B )A .3B .5C .6D .9二、填空题:10.已知等差数列{}n a 前n 项和S n =-n 2+2tn ,当n 仅当n=7时S n 最大,则t 的取值范围是 (6.5,7.5) .11. 数列{}n a 的通项公式是⎪⎩⎪⎨⎧=)(2)(2为偶数为奇数n n na nn ,则数列的前2m (m 为正整数)项和是 2m+1+m 2-2 .12.已知数列{}n a 满足:434121,0,,N ,n n n n a a a a n *--===∈则2009a =________;2014a =_________.【答案】1,0【解析】本题主要考查周期数列等基础知识.属于创新题型.依题意,得2009450331a a ⨯-==,2014210071007425210a a a a ⨯⨯-====.∴应填1,0.13.在数列{}n a 和{}n b 中,b n 是a n 与a n +1的等差中项,a 1 = 2且对任意*N n ∈都有3a n +1-a n = 0,则数列{b n }的通项公式 nn b 34= . 14. 设P 1,P 2,…P n …顺次为函数)0(1>=x xy 图像上的点(如图),Q 1,Q 2,…Q n …顺次为x 轴上的点,且n n n Q P Q Q P O Q OP 122111,,-∆∆∆ ,…,均为等腰直解三角形(其中P n 为直角顶点).设Q n 的坐标为(*)0)(0,N x n ∈,则数列{a n }的通项公式为n x n 2=*)N n ∈ .三、解答题:15.已知}{n a 是等比数列,S n 是其前n 项的和,a 1,a 7,a 4成等差数列,求证:2S 3,S 6,S 12-S 6,成等比数列.15. [解法1]由已知.21,2,26361311741q q q a q a a a a a =+∴=+=+………………(2分)当66663124373124126361,2()2()2()2q S S S S a a a S a q a q a q S S q ≠-=+++=++= 时…………(4分).1)1(1)1()1()1(266616318633S S qq a S q q a q S S q =⋅--=⋅--⋅+=+=………………(8分)当,)(2,6,6,3,126612316121613S S S S a S S a S a S q =-=-===同样有时……(10分)所以,61263,,2S S S S -成等比数列.………………………………………………(12分) [解法2]由已知636131174121,2,2q q q a q a a a a a =+∴=+=+,……………(2分)当,36)12(32)(2,1231314122a a a a S S S q =-⨯=-=时∴==.36)6(232126a a S ∴=-.)(2266122S S S S 61263,,2S S S S -成等比数列.…(6分)当,221)1(2111212,1633636q q q q S S q ⋅=+=--⋅=≠时…………………………(8分) ∴61263,,2S S S S -成等比数列.……………………………………………………(11分)综上,61263,,2S S S S -成等比数列.………………………………………………(12分)16.已知数列{a n }的前n 项和为S n ,且对任意自然数n 总有p a p S n n (),1(-=为常数,且q q n b b p p n n (2}{),1,0+=≠≠中有数列为常数)。
Ⅰ题型归类练习1.已知等比数列{}n a ,12a =,且2525(3)2n n n a a -⋅≥=,试求21222l o g ()l o g ()l o g ()n a a a +++ 例1. 数列121,,,4a a --成等差数列,1231,,,,4b b b --成等比数列,求212a ab -。
练习1.等比数列{}n b 中,0nb >,524346236b b b b b b ++=,求53b b +。
练习2.等比数列{}n b 前n 项和n S ,若422S S =,求{}n b 公比。
二、求数列通项例1. 数列{}n a 满足21nn S a =+(1n ≥),求n a 。
练习1.数列{}n a 满足11a =,且10n n n a S S -⋅+=(2n ≥),试求n a 。
类型3.1()n n a a f n +=+⇒1()n n a a f n +-=⇒利用累加法(逐差相加法)求解例3.已知数列{}n a 满足112a =,121n n a a n n+=++,求n a 。
练习3.已知数列{}n a 满足11a =,21n n a a n n +=++,求n a 。
类型4.1()n n a f n a +=⨯ ⇒1()n na f n a +=⇒利用累乘法(逐商相乘法)求解例4.已知数列{}n a 满足123a =,1(1)n n n a na ++=,求n a 。
练习4.已知数列{}n a 满足13a =,1(43)(41)n n n a n a ++=-,求n a 。
类型5.1n n a pa q +=+(其中p,q 为常数,(1)0pq p -≠) ⇒ 待定系数法例5.已知数列{}n a 中,满足12a =,121n n a a +=+,求n a 。
解:由条件得:12()n n a t a t ++=⨯+⇒ 1t = ⇒112(1)n n a a ++=⨯+ ⇒ 令1n n b a =+,则{}n b 是以1113b a =+=为首项,2为公比的等比数列 ⇒ 132n n b -=⨯ ⇒ 1321n n a -=⨯-练习5.已知数列{}n a 中,满足11a =,124nn a a +=+,求n a 。
专题3——数列数列通项公式的求法一、定义法 —— 直接利用等差或等比数列的定义求通项。
特征:适应于已知数列类型的题目.例1.等差数列{}n a 是递增数列,前n 项和为n S ,且931,,a a a 成等比数列,255a S =.求数列{}n a 的通项公式.二、公式法求数列{}n a 的通项n a 可用公式⎩⎨⎧≥⋅⋅⋅⋅⋅⋅⋅-=⋅⋅⋅⋅⋅⋅⋅⋅⋅⋅⋅⋅⋅⋅⋅⋅=-2111n S S n S a n n n 求解。
特征:已知数列的前n 项和n S 与n a的关系例2.已知数列{}n a 的前n 项和n S 满足1,)1(2≥-+=n a S n n n .求数列{}n a 的通项公式。
三、由递推式求数列通项法 类型1 特征:递推公式为)(1n f a a n n +=+对策:把原递推公式转化为)(1n f a a n n =-+,利用累加法(逐差相加法)求解。
例3. 已知数列{}n a 满足211=a ,nn a a n n ++=+211,求n a 。
类型2 特征:递推公式为 n n a n f a )(1=+ 对策:把原递推公式转化为)(1n f a a nn =+,利用累乘法(逐商相乘法)求解。
例4. 已知数列{}n a 满足321=a ,n n a n n a 11+=+,求n a 。
类型3 特征:递推公式为q pa a n n +=+1(其中p ,q 均为常数,)0)1((≠-p pq ) 对策:把原递推公式转化为:)(1t a p t a n n -=-+,其中pqt -=1,再利用换元法转化为等比数列求解。
例5. 已知数列{}n a 中,11=a ,321+=+n n a a ,求n a .类型4 特征:递推公式为n n n qa pa a +=++12(其中p ,q 均为常数)。
对策:先把原递推公式转化为)(112n n n n sa a t sa a -=-+++ 其中s ,t 满足⎩⎨⎧-==+qst pt s ,再应用前面类型3的方法求解。
3月6日数列综合练习题一、单选题1.已知数列为等比数列,是它的前n项和.若,且与的等差中项为,则()A .35B .33C .31D .29【答案】C 【解析】试题分析:∵等比数列{}n a ,∴21a a q =⋅,∴13134222a q a a q a a ⋅⋅=⇒⋅=⇒=,又∵与的等差中项为54,∴477512244a a a ⋅=+⇒=,∴3741182a q q a ==⇒=,∴41316a a q ==,515116(1)(1)32311112a q S q--===--.2.等差数列{}n a 中,19173150a a a ++=则10112a a -的值是()A.30B.32C.34D.25【答案】A 【解析】试题分析:本题考查等差数列的性质,难度中等.由条件知930a =,所以10112a a -=930a =,故选A.3.数列满足且,则等于()A.B.C.D.【答案】D 【解析】由有解知数列1n x ⎧⎫⎨⎬⎩⎭是首项为1,公差为211112x x -=的等差数列;所以11121(1),221n n n n x x n +=+-=∴=+.故选D 4.设等差数列{}n a 的前n 项和为n S ,数列21{}n a -的前n 项和为n T ,下列说法错误..的是()A .若n S 有最大值,则n T 也有最大值B .若n T 有最大值,则n S 也有最大值C .若数列{}n S 不单调,则数列{}n T 也不单调D .若数列{}n T 不单调,则数列{}n S 也不单调【答案】C 【解析】【详解】解:数列{a 2n ﹣1}的首项是a 1,公差为2d ,A .若S n 有最大值,则满足a 1>0,d <0,则2d <0,即T n 也有最大值,故A 正确,B .若T n 有最大值,则满足a 1>0,2d <0,则d <0,即S n 也有最大值,故B 正确,C .S n =na 1()12n n -+•d 2d =n 2+(a 12d -)n ,对称轴为n 111122222d da a a d d d --=-==--⨯,T n =na 1()12n n -+•2d =dn 2+(a 1﹣d )n ,对称轴为n 111222a d d -=-=-•1a d,不妨假设d >0,若数列{S n }不单调,此时对称轴n 11322a d =-≥,即1a d-≥1,此时T n 的对称轴n 1122=-•111122a d ≥+⨯=1,则对称轴1122-•132a d <有可能成立,此时数列{T n }有可能单调递增,故C 错误,D .不妨假设d >0,若数列{T n }不单调,此时对称轴n 1122=-•132a d ≥,即1a d-≥2,此时{S n }的对称轴n 11122a d =-≥+25322>=,即此时{S n }不单调,故D 正确则错误是C ,故选C .5.设n=()A .333n 个B .21333n - 个C .21333n- 个D .2333n 个【答案】A【解析】1013333n n -====⋅⋅⋅ 个.故选A.6.已知各项均为正数的数列{}n a 的前n 项和为n S ,满足2124n n a S n +=++,且21a -,3a ,7a 恰好构成等比数列的前三项,则4a =().A .1B .3C .5D .7【答案】C 【详解】∵2124n n a S n +=++,当2n ≥,()21214n n a S n -=+-+,两式相减,化简得()2211n n a a +=+,∵0n a >,∴11n n a a +=+,数列{}n a 是公差1的等差数列.又21a -,3a ,7a 恰好构成等比数列的前三项,∴()()211126a a a +=+,∴12a =,∴45a =.故选:C第II 卷(非选择题)二、填空题7.已知数列{}n a 的首项11a =,且1(1)12nn na a n a +=+ ,则5a =____.【答案】198.等差数列{}n a 中,39||||a a =,公差0d <,则使前n 项和n S 取得最大值的自然数n 是________.【答案】5或6【解析】试题分析:因为0d <,且39||||a a =,所以39a a =-,所以1128a d a d +=--,所以150a d +=,所以60a =,所以0n a >()15n ≤≤,所以n S 取得最大值时的自然数n 是5或6.9.数列{}n a 满足:11a =,121n n a a +=+,且{}n a 的前n 项和为n S ,则n S =__.【答案】122n n +--【详解】由121n n a a +=+得()1+121n n a a +=+所以1112+n n a a +=+,且112a +=所以数列{}1n a +是以2为首项,2为公比的等比数列,且11=222n nn a -+⨯=所以21nn a =-前n 项和()123121222222212n nn nS n n n +-=++++-==--- 10.已知数列{}n a 中,132a =前n 项和为n S ,且满足()*123n n a S n N ++=∈,则满足2348337n n S S <<所有正整数n 的和是___________.【答案】12【详解】由()*123n n a S n N++=∈得()123n n n SS S +-+=,即()11332n n S S +-=-,所以数列{}3n S -是首项为113332S a -=-=-,公比为12的等比数列,故31322n nS -=-⋅,所以332n n S =-,所以22332n n S =-.由2348337n n S S <<得2332334833732n n -<-<,化简得1113327n <<,故3,4,5n =.满足2348337n nS S <<所有正整数n 的和为34512++=.故答案为:12三、解答题11.已知数列{a n }满足a 1=3,a n ﹣a n ﹣1﹣3n =0,n ≥2.(1)求数列{a n }的通项公式;(2)设b n 1na =,求数列{b n }的前n 项和S n .【详解】(1)数列{a n }满足a 1=3,a n ﹣a n ﹣1﹣3n =0,n ≥2,即a n ﹣a n ﹣1=3n ,可得a n =a 1+(a 2﹣a 1)+(a 3﹣a 2)+…+(a n ﹣a n ﹣1)=3+6+9+…+3n 12=n (3+3n )32=n 232+n ;(2)b n 123n a ==•2123n n =+(111n n -+),前n 项和S n 23=(1111112231n n -+-++-+ )23=(111n -+)()231n n =+.12.在数列{}n a 中,n S 为其前n 项和,满足2(,*)n n S ka n n k R n N =+-∈∈.(I )若1k =,求数列{}n a 的通项公式;(II )若数列{}21n a n --为公比不为1的等比数列,求n S .【答案】解:(1)当1k =时,2,n n S a n n =+-所以21,(2)n S n n n -=-≥,即22(1)(1),(1)n S n n n n n =+-+=+≥……3分所以当1n =时,112a S ==;当2n ≥时,221(1)(1)2n n n a S S n n n n n -=-=+----=所以数列{}n a 的通项公式为.……………6分(II )当时,1122n n n n n a S S ka ka n --=-=-+-,1(1)22n n k a ka n --=-+,111a S ka ==,若1k =,则211n a n --=-,从而{}21n a n --为公比为1的等比数列,不合题意;……………8分若1k ≠,则10a =,221a k=-,3246(1)k a k -=-212325378333,5,71(1)k k k a a a k k --+--=--=-=--由题意得,2213(5)(3)(7)0a a a -=--≠,所以0k =或32k =.……10分当0k =时,2n S n n =-,得22n a n =-,213n a n --=-,不合题意;…12分当32k =时,1344n n a a n -=-+,从而1213[2(1)1]n n a n a n ---=---因为121130,a -⨯-=-≠210n a n --≠,{}21n a n --为公比为3的等比数列,213nn a n --=-,所以231nn a n =-+,从而1233222n n S n n +=+-+.………………………14分【解析】试题分析:解:(1)当1k =时,2,n n S a n n =+-所以21,(2)n S n n n -=-≥,即22(1)(1),(1)n S n n n n n =+-+=+≥……3分所以当1n =时,112a S ==;当2n ≥时,221(1)(1)2n n n a S S n n n n n -=-=+----=所以数列{}n a 的通项公式为…6分(2)当时,1122n n n n n a S S ka ka n --=-=-+-,1(1)22n n k a ka n --=-+,111a S ka ==,若1k =,则211n a n --=-,从而{}21n a n --为公比为1的等比数列,不合题意;若1k ≠,则10a =,221a k=-,3246(1)k a k -=-212325378333,5,71(1)k k k a a a k k --+--=--=-=--由题意得,2213(5)(3)(7)0a a a -=--≠,所以0k =或32k =.当0k =时,2n S n n =-,得22n a n =-,213n a n --=-,不合题意;当32k =时,1344n n a a n -=-+,从而1213[2(1)1]n n a n a n ---=---因为121130,a -⨯-=-≠210n a n --≠,{}21n a n --为公比为3的等比数列,213nn a n --=-,所以231nn a n =-+,从而1233222n n S n n +=+-+.13.设数列{}n a 的通项公式63n a n =-+,{}n b 为单调递增的等比数列,123512b b b =,1133a b a b +=+.()1求数列{}n b 的通项公式.()2若3nn na cb -=,求数列{}n c 的前n 项和n T .【详解】()1由题意,数列{}n a 的通项公式n a 6n 3=-+,{}n b 为单调递增的等比数列,设公比为q ,123b b b 512=,1133a b a b +=+.可得331b q 512=,2113b 15b q -+=-+,解得1b 4=,或1q 2(2=-舍去),则n 1n 1n b 422-+=⋅=。
数列训练(3) 数列与函数问题数列与函数问题1.已知数列{a n }满足a 1=2,且点(a n ,a n +1)在函数f (x )=x 2+2x 的图象上,其中n =1,2,3,…. (1)证明:数列{lg(1+a n )}是等比数列; (2)设T n =(1+a 1)(1+a 2)…(1+a n ),求T n 及数列{a n }的通项. (1)证明 由于(a n ,a n +1)在函数f (x )的图象上, ∴a n +1=a 2n +2a n ,∴a n +1+1=(a n +1)2.∵a 1=2,∴a n +1>1,∴lg (a n +1+1)=2lg (a n +1). ∴数列{lg(a n +1)}是公比为2的等比数列.(2)解 由(1)知lg(a n +1)=2n -1lg(1+a 1) =2n -1lg3=lg 123-n .∴a n +1=123-n .∴T n =(1+a 1)(1+a 2)…(1+a n )=023·123·223 (1)23-n =1222213-++++n =123-n.∴T n =123-n,a n =123-n -1.2.已知{a n }是正数组成的数列,a 1=1,且点(1,n n a a +)(n ∈N *)在函数y =x 2+1的图象上。
(1)求数列{a n }的通项公式;(2)若数列{b n }满足b n =n a 2(n ∈N*),求数列{b n }的前n 项和n S 。
(3) 在(2)的条件下,数列{S n }中是否存在三项,它们可以构成等差数列?若存在,请求出一组适合条件的项;若不存在,请说明理由.解:(1)由已知得 11+=+n n a a 根据等差数列的定义,}{n a 是首项为1,公差为1的等差数列所以 n a n = (n ∈N *) (2) 由(1)可知na n nb 22== (n ∈N *)nn n b b b b b S +++++=-13212221)21(2222121-=--⨯=+++=+n n n(3)设存在p ,q,r ∈N *,且p <q <r 使S p ,S q ,S r 成等差数列,∴2S q =S p +S r , 即2(2q+1-2)=(2p+1-2)+(2r+1-2)∴2q +1=2p +2r ,∴2q-p +1=1+2r -p . ∵p ,q ,r ∈N *,且p<q <r ,∴2q-p +1、2r -p为偶数,1+2r -p 为奇数, 于是产生矛盾. 因此不存在满足条件的三项.)(x f R ∈)()()(a bf b af b a f +=⋅3.已知: 是定义的R 上的不恒为零的函数,且对任意a 、b ,满足: ,且4.已知数列{a n }中,a 1=53,a n =2-11-n a (n ≥2,n ∈N *),数列{b n }满足b n =11-n a (n ∈N *). (1)求证:数列{b n }是等差数列;(2)求数列{a n }中的最大项和最小项,并说明理由. (1)证明 因为a n =2-11-n a (n ≥2,n ∈N *),b n =11-n a . 所以当n ≥2时,b n -b n -1=11-n a -111--n a =11211-⎪⎪⎭⎫⎝⎛--n a -111--n a =111---n n a a -111--n a =1.又b 1=111-a =-25.所以,数列{b n }是以-25为首项,以1为公差的等差数列. (2)解 由(1)知,b n =n -27,则a n =1+n b 1=1+722-n .设函数f (x )=1+722-x ,易知f (x )在区间(-∞, 27)和(27,+∞)内为减函数.所以,当n =3时,a n 取得最小值-1;当n =4时,a n 取得最大值3.5、已知{}n a 是公差为d 的等差数列,它的前n 项和为n S ,4224S S =+,1nn na b a +=. (1)求公差d 的值;(2)若152a =-,求数列{}nb 中的最大项和最小项的值;(3)若对任意的*n N ∈,都有8n b b ≤成立,求1a 的取值范围.解:(1)∵4224S S =+,∴113442(2)42a d a d ⨯+=++解得1d = (2)∵152a =-,∴数列{}n a 的通项公式为17(1)2n a a n n =+-=-∴111172n n b a n =+=+-∵函数1()172f x x =+-在7,2⎛⎫-∞ ⎪⎝⎭和7,2⎛⎫+∞ ⎪⎝⎭上分别是单调减函数,∴3211b b b <<<当4n ≥时,41n b b <≤∴数列{}n b 中的最大项是43b =,最小项是31b =- (2)由11n n b a =+得1111n b n a =++- 又函数11()11f x x a =++-在()1,1a -∞-和()11,a -+∞上分别是单调减函数,且11x a <-时1y <;11x a >-时1y >.∵对任意的*n N ∈,都有8n b b ≤,∴1718a <-< ∴176a -<<-∴1a 的取值范围是(7,6)--6.已知S n 是数列{a n }的前n 项和,且a n =S n -1+2(n ≥2),a 1=2. (1)求数列{a n }的通项公式; (2)设b n =na 2log 1,T n =b n +1+b n +2+…+b 2n ,是否存在最大的正整数k ,使得对于任意的正整数n ,有T n >12k恒成立?若存在,求出k 的值;若不存在,说明理由. 解 (1)由已知a n =S n -1+2 ① 得a n +1=S n +2 ②②-①,得a n +1-a n =S n -S n -1 (n ≥2),∴a n +1=2a n (n ≥2).又a 1=2,∴a 2=a 1+2=4=2a 1,∴a n +1=2a n (n =1,2,3,…)所以数列{a n }是一个以2为首项,2为公比的等比数列,∴a n =2·2n -1=2n. (2)b n =n a 2log 1=n 2log 12=n 1,∴T n =b n +1+b n +2+…+b 2n =11+n +21+n +…+n 21, T n +1=b n +2+b n +3+…+b 2(n +1)=21+n +31+n +…+n 21+121+n +221+n .∴T n +1-T n =121+n +221+n -11+n =)1)(12(2)12(2)12()1(2+++-+++n n n n n =)1)(12(21++n n .∵n 是正整数,∴T n +1-T n >0,即T n +1>T n .∴数列{T n }是一个单调递增数列, 又T 1=b 2=21,∴T n ≥T 1=21,要使T n >12k 恒成立,则有21>12k,即k ﹤6, 又k 是正整数,故存在最大正整数k =5使T n >12k恒成立. 7.已知数列{a n }和{b n }满足:a 1=λ,a n +1=32a n +n -4,b n =(-1)n(a n -3n +21),其中λ为实数,n 为正整数.(1)证明:对任意实数λ,数列{a n }不是等比数列; (2)证明:当λ≠-18时,数列{b n }是等比数列;(3)设S n 为数列{b n }的前n 项和.是否存在实数λ,使得对任意正整数n ,都有S n >-12?若存在,求λ的取值范围;若不存在,说明理由. (1)证明 假设存在一个实数λ,使{a n }是等比数列,则有a 22=a 1a 3,即2332⎪⎭⎫ ⎝⎛-λ=λ⎪⎭⎫⎝⎛-494λ⇔94λ2-4λ+9=94λ2-4λ⇔9=0,矛盾.所以{a n }不是等比数列. (2)证明 因为b n +1=(-1)n +1[a n +1-3(n +1)+21]=(-1)n +1⎪⎭⎫⎝⎛+-14232n a n =-32(-1)n ·(a n -3n +21)=- 32b n .又λ≠-18,所以b 1=-(λ+18)≠0.由上式知b n ≠0,所以n n b b 1+=-32(n ∈N *).故当λ≠-18时,数列{b n }是以-(λ+18)为首项,-32为公比的等比数列.(3)解 当λ≠-18时,由(2)得:b n =-(λ+18)·132-⎪⎭⎫⎝⎛-n ,于是S n =-53(λ+18)·⎥⎥⎦⎤⎢⎢⎣⎡⎪⎭⎫ ⎝⎛--n 321.当λ=-18时,b n =0,从而S n =0,上式成立. 要使对任意正整数n ,都有S n >12.即-53(λ+18 )·⎥⎥⎦⎤⎢⎢⎣⎡⎪⎭⎫ ⎝⎛--n 321>-12⇔λ<n⎪⎭⎫⎝⎛--32120-18.令f (n )=1-n⎪⎭⎫⎝⎛-32,则 当n 为正奇数时,1<f (n )≤35;当n 为正偶数时,95≤f (n )<1, 所以f (n )的最大值为f (1)= 35.于是可得λ<20⨯53-18=-6. 综上所述,存在实数λ,使得对任意正整数n ,都有S n >-12,λ的取值范围为(-∞,-6). 8、已知数列{}n a 中,12a =,23a =,其前n 项和n S 满足1121n n n S S S +-+=+(2n ≥,*n ∈N ).(1)求数列{}n a 的通项公式;(2)设14(1)2(n a n n n b λλ-=+-⋅为非零整数,*n ∈N ),试确定λ的值,使得对任意*n ∈N ,都有n n b b >+1成立. 解:(1)由已知,()()111n n n n S S S S +----=(2n ≥,*n ∈N ),即11n n a a +-=(2n ≥,*n ∈N ),且211a a -=.∴数列{}n a 是以12a =为首项,公差为1的等差数列.∴1n a n =+. (2)∵1n a n =+,∴114(1)2n n n n b λ-+=+-⋅,要使n n b b >+1恒成立,∴()()112114412120nn n n n n n n b b λλ-++++-=-+-⋅--⋅>恒成立, ∴()11343120n nn λ-+⋅-⋅->恒成立,∴()1112n n λ---<恒成立.(ⅰ)当n 为奇数时,即12n λ-<恒成立,当且仅当1n =时,12n -有最小值为1,∴1λ<.(ⅱ)当n 为偶数时,即12n λ->-恒成立,当且仅当2n =时,12n --有最大值2-,∴2λ>-. 即21λ-<<,又λ为非零整数,则1λ=-. 综上所述,存在1λ=-,使得对任意*n ∈N ,都有1n n b b +>9.已知二次函数2()()f x x ax a x R =-+∈同时满足:①不等式()f x ≤0的解集有且只有一个元素;②在定义域内存在120x x <<,使得不等式12()()f x f x >成立,设数列{n a }的前n 项和()n S f n =.(Ⅰ)求函数()f x 的表达式;(Ⅱ)求数列{n a }的通项公式;(Ⅲ)设各项均不为0的数列{n c }中,所有满足10i i c c +⋅<的整数i 的个数称为这个数列{n c }的变号数,令1n na c a =-(n N *∈),求数列{n c }的变号数. 解:(Ⅰ)∵不等式()f x ≤0的解集有且只有一个元素∴240a a ∆=-= 解得0a =或4a =当0a =时,函数2()f x x =在(0,)+∞递增,不满足条件②当4a =时,函数2()44f x x x =-+在(0,2)上递减,满足条件② 综上得4a =,即2()44f x x x =-+(Ⅱ)由(Ⅰ)知2244(2)n S n n n =-+=-,当1n =时,111a S ==,当n ≥2时1n n n a S S -=-=22(2)(3)n n ---=25n -,∴1,(1)2 5.(2)n n a n n =⎧=⎨-≥⎩(Ⅲ)由题设可得3,(1)41.(2)25n n c n n -=⎧⎪=⎨-≥⎪-⎩∵1230,1450c c =-<=+=>,330c =-<,∴1i =,2i =都满足10i i c c +⋅< ∵当n ≥3时,14482523(25)(23)n n c c n n n n +-=-=----0>即当n ≥3时,数列{n c }递增,∵413c =-0<,由41025n ->-5n ⇒≥,可知4i =满足10i i c c +⋅<,∴数列{n c }的变号数为3.10.已知数列{}n a 满足:11a =,11,22,nn n a n n a a n n +⎧+-⎪=⎨⎪-⎩为奇数为偶数,记2n n b a =(n ∈N*),n S 为数列{}n b 的前n 项和.(Ⅰ)证明数列{}n b 为等比数列,并求其通项公式;(Ⅱ)若对任意n∈N*且n ≥2,不等式11-+≥n S λ恒成立,求实数λ的取值范围(Ⅲ)令5(1)()11nn n n c b +=,证明:9101110≤n c (n ∈N*). 【解】(Ⅰ)因为2n n b a =,由已知可得,2121212(1)(21)12411(21)12222222n n n n n n n n a a a n b a a n n n a b ++++++-===++-=+=+==.(3分)又11a =,则1211122b a a ===. 所以数列{}n b 是首项和公比都为12的等比数列,故1111()()222n n n b -=⋅=.(Ⅱ)因为12121212111--++++=+n n S 2)2112211211<-=--=n n (( n ≥2). 若对任意n ∈N*且n ≥2,不等式11-+≥n S λ恒成立,则2λ≥,故λ的取值范围是[)∞+,2.(Ⅲ)因为5(1)()1011(1)()11nn n n n c n b +==+,则 1110101010109(2)()(1)()()[(2)(1)]()111111111111n n n n n n nc c n n n n ++--=+-+=+-+=⋅. 当9<n 时,01>-+n n c c ,即1+<n n c c ;当9=n 时,01=-+n n c c ,即1+=n n c c ; 当9>n 时,01<-+n n c c ,即1+>n n c c .所以数列{}n c 的最大项是9c 或10c ,且1091091011c c ==,故9101110≤n c .10. 已知数列{}n a 的相邻两项1,+n n a a 是关于x 的方程022=+-n nb x x ∈n (N )*的两根,且11=a .(1) 求证: 数列⎭⎬⎫⎩⎨⎧⨯-n n a 231是等比数列; (2) 设n S 是数列{}n a 的前n 项和, 问是否存在常数λ,使得0>-n n S b λ对任意∈n N*都成立,若存在, 求出λ的取值范围; 若不存在, 请说明理由.. (1)证法1: ∵1,+n n a a 是关于x 的方程022=+-n nb x x ∈n (N )*的两根,∴⎩⎨⎧==+++.,211n n n n n n a a b a a由nn n a a 21=++,得⎪⎭⎫ ⎝⎛⨯--=⨯-++n n n n a a 23123111, 故数列⎭⎬⎫⎩⎨⎧⨯-n n a 231是首项为31321=-a ,公比为1-的等比数列. 证法2: ∵1,+n n a a 是关于x 的方程022=+-n nb x x ∈n (N )*的两根, ∴⎩⎨⎧==+++.,211n n n n n n a a b a a ∵nn n n n n n n n a a a a 2312312231231111⨯-⨯--=⨯-⨯-+++1231231-=⨯-⎪⎭⎫ ⎝⎛⨯--=n n n n a a , 故数列⎭⎬⎫⎩⎨⎧⨯-n n a 231是首项为31321=-a ,公比为1-的等比数列. (2)解: 由(1)得()1131231--⨯=⨯-n n n a , 即()[]nn n a 1231--=.∴()[]()[]111121291+++--⨯--==n n n n n n n a a b ()[]1229112---=+nn .∴n n a a a a S ++++= 321()()()()[]{}nn 111222231232-++-+--++++=()⎥⎦⎤⎢⎣⎡----=+21122311nn . 要使0>-n n S b λ对任意∈n N *都成立,即()[]1229112---+n n ()02112231>⎥⎦⎤⎢⎣⎡-----+nn λ(*)对任意∈n N *都成立.① 当n 为正奇数时, 由(*)式得[]1229112-++n n ()01231>--+n λ, 即()()1212911+-+n n ()01231>--+n λ,∵0121>-+n , ∴()1231+<n λ对任意正奇数n 都成立.当且仅当1=n 时, ()1231+n有最小值1.∴1<λ.② 当n 为正偶数时, 由(*)式得[]1229112--+n n ()02231>--+n λ,即()()1212911-++n n ()01232>--nλ,∵012>-n , ∴()12611+<+n λ对任意正偶数n 都成立.当且仅当2=n 时, ()12611++n 有最小值23.∴<λ23.综上所述, 存在常数λ,使得0>-n n S b λ对任意∈n N *都成立, λ的取值范围是()1,∞-11.数列{}n a 的各项均为正数,n S 为其前n 项和,对于任意*N n ∈,总有2,,n n n a S a 成等差数列.(1)求数列{}n a 的通项公式;(2)设数列{}n b 的前n 项和为n T ,且2ln nn n a x b =,求证:对任意实数(]e x ,1∈(e 是常数,e =2.71828⋅⋅⋅)和任意正整数n ,总有2<n T ; (3)正数数列{}n c 中,())(,*11N n c a n n n ∈=++.求数列{}n c 中的最大项.解:(1)由已知:对于*N n ∈,总有22n n n S a a =+ ①成立∴21112n n n S a a ---=+ (n ≥ 2)②①--②得21122----+=n n n n n a a a a a ,∴()()111----+=+n n n n n n a a a a a a∵1,-n n a a 均为正数,∴11=--n n a a (n ≥ 2) ∴数列{}n a 是公差为1的等差数列又n =1时,21112S a a =+, 解得1a =1,∴n a n =.(*N n ∈)(2)证明:∵对任意实数(]e x ,1∈和任意正整数n ,总有2ln nn n a xb =≤21n. ∴()n n nT n 11321211112111222-++⋅+⋅+<+++≤ 21211131212111<-=--++-+-+=nn n(3)解:由已知 221212=⇒==c c a ,54545434343232355,244,33=⇒====⇒===⇒==c c a c c a c c a易得 12234,...c c c c c <>>>猜想 n ≥2 时,{}n c 是递减数列.令()()22ln 1ln 1,ln xx x xx x x f x x x f -=-⋅='=则 ∵当().00ln 1,1ln 3<'<->≥x f x x x,即则时,∴在[)+∞,3内()x f 为单调递减函数.由()11ln ln 11++==++n n c c a n n nn 知. ∴n ≥2 时, {}n c ln 是递减数列.即{}n c 是递减数列.又12c c < , ∴数列{}n c 中的最大项为323=c12.已知数列{}n a 和{}n b 满足11a b =,且对任意n ∈N *都有1n n a b +=,121n n n na ba a +=-. (1) 判断数列1n a ⎧⎫⎨⎬⎩⎭是否为等差数列, 并说明理由; (2) 证明: ()111n nnn a b ++> . (1) 解: 数列1n a ⎧⎫⎨⎬⎩⎭为等差数列. 理由如下: ∵对任意n ∈N *都有1n n a b +=,121n n n na b a a +=-,∴12211111n n n n n n n a b a a a a a +-===--+. ∴1111n n a a +=+,即1111n n a a +-=.∴数列1n a ⎧⎫⎨⎬⎩⎭是首项为11a ,公差为1的等差数列.(2) 证明: ∵11a b =, 且111a b +=,∴11a b =12=. 由(1)知()1211n n n a =+-=+. ∴ 11n a n =+, 11n n n b a n =-=+. 所证不等式()111n nn n a b ++> ,即111111n nn n n +⎛⎫⎛⎫+> ⎪⎪++⎝⎭⎝⎭,也即证明111111n nn n +⎛⎫⎛⎫+>+ ⎪ ⎪+⎝⎭⎝⎭. 令()()ln 11xf x x x =>-, 则()'21ln (1)x xxf x x --=-. 再令()1ln xg x x x -=-,则()'211g x x x=-21xx -=. 当1x >时, ()'0g x <,∴函数()g x 在[)1,+∞上单调递减. ∴当1x >时,()()10g x g <=,即1ln 0x x x--<.∴当1x >时, ()'21ln (1)x xx f x x --=-0<.∴函数()ln 1x f x x =-在()1,+∞上单调递减.,∵111111n n<+<++, ∴11111f f n n ⎛⎫⎛⎫+>+ ⎪ ⎪+⎝⎭⎝⎭.∴11ln 1ln 111111111n n n n⎛⎫⎛⎫++ ⎪ ⎪+⎝⎭⎝⎭>+-+-+. ∴111ln 1ln 11n nn n +⎛⎫⎛⎫+>+ ⎪ ⎪+⎝⎭⎝⎭.∴111111n nn n +⎛⎫⎛⎫+>+ ⎪ ⎪+⎝⎭⎝⎭.∴()111n nn n a b ++>成立.13.已知各项均为正数的数列{n a }的前n 项和满足1>n S ,且*),2)(1(6N n a a S n n n ∈++=(1)求{n a }的通项公式;(2)设数列{n b }满足1)12(=-n b n a ,并记n T 为{n b }的前n 项和,求证:*2),3(log 13N n a T n n ∈+>+(Ⅰ)解:由)2)(1(611111++==a a S a ,解得a 1=1或a 1=2,由假设a 1=S 1>1,因此a 1=2。
1已知数列{n a }中的相邻两项21k a -、2k a 是关于x 的方程2(32)320kkx k x k -++⋅= 的两个根,且21k a -≤2k a (k =1,2,3,…). (I)求1357,,,a a a a 及2n a (n ≥4)(不必证明); (Ⅱ)求数列{n a }的前2n 项和S 2n .〖解析〗 (I)方程2(32)320k k x k x k -++⋅=的两个根为123, 2k x k x ==.当k =1时,123,2x x ==,所以12a =;当k =2时,126,4x x ==,所以34a =;当k =3时,129,8x x ==,所以58a =; 当k =4时,1212,16x x ==,所以712a =; 因为n ≥4时,23n n >,所以22 (4)n n a n =≥(Ⅱ)22122(363)(222)n n n S a a a n =+++=+++++++=2133222n n n +++-. 2.设数列{}n a 满足211233333n n n a a a a -++++=…,a ∈*N . (Ⅰ)求数列{}n a 的通项; (Ⅱ)设n nnb a =,求数列{}n b 的前n 项和n S . 〖解析〗(I)2112333...3,3n n n a a a a -+++=221231133...3(2),3n n n a a a a n ---+++=≥1113(2)333n n n n a n --=-=≥,1(2)3n n a n =≥.验证1n =时也满足上式,*1()3n n a n N =∈.(II) 3n n b n =⋅, 23132333...3n n S n =⋅+⋅+⋅+⋅,23413132333...3n n S n +=⋅+⋅+⋅++⋅,则231233333n n n S n +-=+++-⋅,11332313n n n S n ++--=-⋅-,所以111333244n n n n S ++=⋅-⋅+.3数列{}n a 中,12a =,1n n a a cn +=+(c 是不为零的常数,123n = ,,,),且123a a a ,,成等比数列. (1)求c 的值;(2)求{}n a 的通项公式; (3)求数列}{nn c n ca ⋅-的前n 项之和n T . 〖解析〗(1)12a =,22a c =+,323a c =+, 因为1a ,2a ,3a 成等比数列,所以2(2)2(23)c c +=+, 解得0c =或2c =. ∵c≠0,∴2c =. (2)当2n ≥时,由于21a a c -=,322a a c -=, 1(1)n n a a n c --=-,所以1(1)[12(1)]2n n n a a n c c --=+++-=. 又12a =,2c =,故22(1)2(23)n a n n n n n =+-=-+= ,,. 当1n =时,上式也成立,所以22(12)n a n n n =-+= ,,. (3)令nnn n n cn c a b )21)(1(-=⋅-=n n b b b b T +++=321n n )21)(1()21(3)21(2)21(0432-++++= ……①143)21)(1()21)(2()21(2)21(021+-+-++++=n n n n n T ……② ①-②得:n n n n T 21)21(11---=-4已知数列{n a }中,111,22n n a n a a +=-,点()在直线y=x 上,其中n=1,2,3…. (1)令11n n n b a a ,+=--求证数列{}n b 是等比数列; (2)求数列{}n a 的通项;⑶ 设分别为数列、n n T S {}、n a {}n b 的前n 项和,是否存在实数λ,使得数列n n S T n λ+⎧⎫⎨⎬⎩⎭为等差数列?若存在,试求出λ.若不存在,则说明理由.〖解析〗(I )由已知得 111,2,2n n a a a n +==+ 2213313,11,4424a a a =--=--=-又11,n n n b a a +=--1211,n n n b a a +++=--11112111(1)111222.1112n n n n n n n n n n n n n n a n a n a a b a a b a a a a a a +++++++++++-----∴====------{}n b ∴是以34-为首项,以12为公比的等比数列. (II )由(I )知,13131(),4222n n n b -=-⨯=-⨯1311,22n n n a a +∴--=-⨯21311,22a a ∴--=-⨯322311,22a a --=-⨯⋅⋅⋅⋅⋅⋅11311,22n n n a a --∴--=-⨯将以上各式相加得:1213111(1)(),2222n n a a n -∴---=-++⋅⋅⋅+11111(1)31313221(1)(1) 2.12222212n n n n a a n n n ---∴=+--⨯=+---=+--32.2n n a n ∴=+-(III )解法一:存在2λ=,使数列{}n nS T nλ+是等差数列. 12121113()(12)2222n n n S a a a n n =++⋅⋅⋅+=++⋅⋅⋅++++⋅⋅⋅+-11(1)(1)2232212n n n n -+=⨯+--2213333(1) 3.2222n n n n n n --=-+=-++ 12131(1)313342(1).1222212n n n n n T b b b +--=++⋅⋅⋅+==--=-+- 数列{}nn S T n λ+是等差数列的充要条件是,(n nS T An B A nλ+=+、B 是常数) 即2,n n S T An Bn λ+=+又2133333()2222n n n n n n S T λλ+-+=-+++-+2313(1)(1)222n n n λ-=+-- ∴当且仅当102λ-=,即2λ=时,数列{}n nS T nλ+为等差数列. 4.已知函数()21f x x =-,设曲线()y f x =在点(),n n x y 处的切线与x 轴的交点为()1,0n x +,其中1x 为正实数(1)用n x 表示1n x +; (2)12x =,若1lg1n n n x a x +=-,试证明数列{}n a 为等比数列,并求数列{}n a 的通项公式; (3)若数列{}n b 的前n 项和()12n n n S +=,记数列{}n n a b ⋅的前n 项和n T ,求n T . 〖解析〗(1)由题可得()2f x x '=,所以在曲线上点()(),n n x f x 处的切线方程为()()()n n n y f x f x x x '-=-,即()()212nn n y x x x x --=- 令0y =,得()()2112n n n n x x x x +--=-,即2112n n n x x x ++=由题意得0n x ≠,所以2112n n nx x x ++=(2)因为2112n n n x x x ++=,所以2211221111221lg lg lg 112112n n n n n n n n n n nx x x x x a x x x x x ++++++++===+--+-()()2211lg 2lg211nn n n n x x a x x ++===-- 即12n n a a +=,所以数列{}n a 为等比数列故11111112lg 22lg31n n n n x a a x ---+==⋅=- ---8分 (3)当1n =时,111b S == 当2n ≥时,()()11122n n n n n n n b S S n -+-=-=-= 所以数列{}n b 的通项公式为n b n =,故数列{}n n a b 的通项公式为12lg3n n n a b n -=⋅()21122322lg 3n n T n -∴=+⨯+⨯++⋅ ①①2⨯的()2212322lg 3nn T n =⨯+⨯++⋅ ② ①②得()2112222lg 3n nn T n --=++++-⋅故()221lg 3n nn T n =⋅-+ .5.已知x x f m log )(=(m 为常数,m>0且1≠m ),设))((,),(),(21+∈N n a f a f a f n 是首项为4,公差为2的等差数列.(1)求证:数列{a n }是等比数列;(2)若b n =a n ·)(n a f ,且数列{b n }的前n 项和S n ,当2=m 时,求S n ;(3)若c n =lg n n a a ,问是否存在m ,使得{c n }中每一项恒小于它后面的项?若存在,求出m 的范围;若不存在,说明理由.〖解析〗(1)由题意,22)1(24)(+=-+=n n a f n 即,22log +=n a n m∴22+=n n m a∴2222)1(21m mm a a n n n n ==++++ ∵m>0且1≠m ,∴m 2为非零常数, ∴数列{a n }是以m 4为首项,m 2为公比的等比数列 (2)由题意222222)22(log )(+++⋅+===n n m n n n n m n m m a f a b , 当212)1(2)22(2++⋅+=⋅+==n n n n n b m 时,∴25432)1(242322+⋅+++⋅+⋅+⋅=n n n S ①①式两端同乘以2,得326542)1(22423222++⋅++⋅++⋅+⋅+⋅=n n n n n S ②②-①并整理,得3265432)1(222222++⋅++-----⋅-=n n n n S3254332)1(]2222[2++⋅++++++--=n n n=3332)1(21]21[22+⋅++----n n n 3332)1()21(22+⋅++-+-=n n n n n ⋅=+32…10分(3)由题意 22lg (22)lg n n n n c a a n m m +==+⋅要使n n c c <-1对一切2≥n 成立,即 m m n m n lg )1(lg 2⋅⋅+<对一切 2≥n 成立, ①当m>1时, 2)1(2≥+<n m n n 对成立; ②当0<m<1时,2)1(m n n +>∴221m m n ->对一切 2≥n 成立,只需2122<-m m , 解得 3636<<-m , 考虑到0<m<1, ∴0<m<.36 综上,当0<m<36或m>1时,数列{c n }中每一项恒小于它后面的项. 6.在数列{}n a 中,11a =,22a =,且11(1)n n n a q a qa +-=+-(2,0n q ≥≠). (Ⅰ)设1n n n b a a +=-(*n N ∈),证明{}n b 是等比数列; (Ⅱ)求数列{}n a 的通项公式;(Ⅲ)若3a 是6a 与9a 的等差中项,求q 的值,并证明:对任意的*n N ∈,n a 是3n a +与6n a +的等差中项.〖解析〗(Ⅰ)证明:由题设11(1)n n n a q a qa +-=+-(2n ≥),得11()n n n n a a q a a +--=-,即1n n b qb -=,2n ≥.又1211b a a =-=,0q ≠,所以{}n b 是首项为1,公比为q 的等比数列. (Ⅱ)解法:由(Ⅰ) 211a a -=, 32a a q -=, ……21n n a a q --=,(2n ≥).将以上各式相加,得211n n a a q q --+++= (2n ≥).所以当2n ≥时,11,,.1,111n n q q q a n q-≠=⎧-+⎪=-⎨⎪⎩上式对1n =显然成立.(Ⅲ)解:由(Ⅱ),当1q =时,显然3a 不是6a 与9a 的等差中项,故1q ≠. 由3693a a a a -=-可得5228q q q q -=-,由0q ≠得3611q q -=-, ① 整理得323()20q q +-=,解得32q =-或31q =(舍去).于是q =另一方面,21133(1)11n n n n n q q q a a q q q +--+--==---,15166(1)11n n n n n q q q a a q q q-+-+--==---.由①可得36n n n n a a a a ++-=-,*n N ∈.所以对任意的*n N ∈,n a 是3n a +与6n a +的等差中项.7.在数列||n a ,||n b 中,a 1=2,b 1=4,且1n n n a b a +,,成等差数列,11n n n b a b ++,,成等比数列(n ∈*N )(Ⅰ)求a 2,a 3,a 4及b 2,b 3,b 4,由此猜测||n a ,||n b 的通项公式,并证明你的结论; (Ⅱ)证明:1122111512n n a b a b a b +++<+++…. 〖解析〗(Ⅰ)由条件得21112n n n n n n b a a a b b +++=+=,由此可得2233446912162025a b a b a b ======,,,,,.猜测2(1)(1)n n a n n b n =+=+,. 用数学归纳法证明:①当n =1时,由上可得结论成立. ②假设当n =k 时,结论成立,即2(1)(1)k k a k k b k =+=+,,那么当n =k +1时,22221122(1)(1)(1)(2)(2)kk k k k ka ab a k k k k k b k b +++=-=+-+=++==+,.所以当n =k +1时,结论也成立.由①②,可知2(1)(1)n n a n n b n =++,对一切正整数都成立. 8、数列{}n a 的前n 项和为n S ,已知()211,1,1,2,2n n a S n a n n n ==--=⋅⋅⋅ (Ⅰ)写出n S 与1n S -的递推关系式()2n ≥,并求n S 关于n 的表达式; (Ⅱ)设()()()1/,n n n n n S f x x b f p p R n+==∈,求数列{}n b 的前n 项和n T 。
小学三年级数列练习题
练习题1:
小明正在学习数列,他想知道从1开始,每个数都比前一个数多2的数列的前10项是多少?请你帮助小明解答。
练习题2:
小红和小绿玩一个游戏,他们从1开始报数,每次数的数比前一个数多3。
请问,他们报出的前8个数字是多少?
练习题3:
小明喜欢玩数字迷宫游戏,他从任意一个正整数开始,每次都将上一个数加上5,然后再将所得数减去3,得出下一个数。
请你帮助小明计算出这个数列的前6个数字。
练习题4:
小亮从1开始,他每次都将上一个数字扩大两倍,并且将5加到所得数字上,得出下一个数。
请你计算出小亮的数列的前7个数字。
练习题5:
小明研究了一种特殊的数列,他从1开始,每次都将上一个数的平方加1得出下一个数。
请你帮助小明计算出这个数列的前5个数字。
练习题6:
小红喜欢进行数学游戏,她从1开始,将上一个数字的立方加上2,得出下一个数。
请你计算出小红的数列的前6个数字。
练习题7:
小亮又创建了一个新的数列,他从1开始,每次都将上一个数字乘
以3,然后再加上2,得出下一个数。
请你计算出小亮的数列的前5个
数字。
练习题8:
小明正在学习负数的数列,他从-1开始,每次都将上一个数字减去2,得出下一个数。
请你计算出小明的数列的前6个数字。
练习题9:
小红喜欢玩数学游戏,她从0开始,每次都将上一个数字的平方加7,得出下一个数。
请你计算出小红的数列的前7个数字。
练习题10:
小绿正在学习数列,他想知道从3开始,每个数都比前一个数少1
的数列的前12项是多少?请你帮助小绿解答。
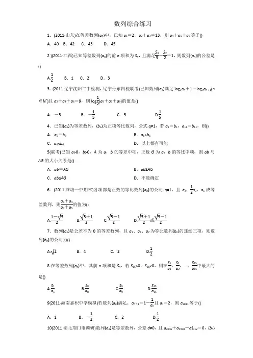
数列综合练习题一.选择题(共23小题)1.已知函数f(x)=,若数列{a n}满足a n=f(n)(n∈N*),且{a n}是递增数列,则实数a的取值范围是()A.[,4)B.(,4)C.(2,4) D.(1,4)2.已知{a n}是递增数列,且对任意n∈N*都有a n=n2+λn恒成立,则实数λ的取值范围是()A.(﹣,+∞)B.(0,+∞)C.[﹣2,+∞)D.(﹣3,+∞)3.已知函数f(x)是R上的单调增函数且为奇函数,数列{a n}是等差数列,a11>0,则f(a9)+f(a11)+f(a13)的值()A.恒为正数B.恒为负数C.恒为0 D.可正可负4.等比数列{a n}中,a4=2,a7=5,则数列{lga n}的前10项和等于()A.2 B.lg50 C.10 D.55.右边所示的三角形数组是我国古代数学家杨辉发现的,称为杨辉三角形,根据图中的数构成的规律,a所表示的数是()A.2 B.4 C.6 D.86.已知正项等比数列{a n}满足:a7=a6+2a5,若存在两项a m,a n,使得=4a1,则+的最小值为()A.B.C.D.7.已知,把数列{a n}的各项排列成如图的三角形状,记A(m,n)表示第m行的第n个数,则A(10,12)=()A.B.C.D.8.设等差数列{a n}满足=1,公差d∈(﹣1,0),若当且仅当n=9时,数列{a n}的前n项和S n取得最大值,则首项a1的取值范围是()A.(π,)B.[π,]C.[,]D.(,)9.定义在(﹣∞,0)∪(0,+∞)上的函数f(x),如果对于任意给定的等比数列{a n},{f (a n)},仍是等比数列,则称f(x)为“等比函数”.现有定义在(﹣∞),0)∪(0,+∞)上的如下函数:①f(x)=3x,②f(x)=,③f(x)=x3,④f(x)=log2|x|,则其中是“等比函数”的f(x)的序号为()A.①②③④B.①④C.①②④D.②③10.已知数列{a n}(n∈N*)是各项均为正数且公比不等于1的等比数列,对于函数y=f(x),若数列{lnf(a n)}为等差数列,则称函数f(x)为“保比差数列函数”.现有定义在(0,+∞)上的三个函数:①f(x)=;②f(x)=e x;③f(x)=;④f(x)=2x,则为“保比差数列函数”的是()A.③④B.①②④C.①③④D.①③11.已知数列{a n}满足a1=1,a n+1=,则a n=()A.B.3n﹣2 C.D.n﹣212.已知数列{a n}满足a1=2,a n+1﹣a n=a n+1a n,那么a31等于()A.﹣B.﹣C.﹣D.﹣13.如果数列{a n}是等比数列,那么()A.数列{}是等比数列B.数列{2an}是等比数列C.数列{lga n}是等比数列D.数列{na n}是等比数列14.在数列{a n}中,a n+1=a n+2,且a1=1,则=()A.B.C.D.15.等差数列的前n项,前2n项,前3n项的和分别为A,B,C,则()A.A+C=2B B.B2=AC C.3(B﹣A)=C D.A2+B2=A(B+C)16.已知数列{a n}的通项为a n=(﹣1)n(4n﹣3),则数列{a n}的前50项和T50=()A.98 B.99 C.100 D.10117.数列1,,,…,的前n项和为()A.B. C. D.18.数列{a n}的通项公式为,其前n项和为s n,则s2017等于()A.1006 B.1008 C.﹣1006 D.﹣100819.数列{a n}中,,则数列{a n}前16项和等于()A.130 B.132 C.134 D.13620.《庄子•天下篇》中记述了一个著名命题:“一尺之锤,日取其半,万世不竭”.反映这个命题本质的式子是()A.1+++…+=2﹣B.1+++…++…<2C.++…+=1 D.++…+<121.在数列{a n}中,若=+,a1=8,则数列{a n}的通项公式为()A.a n=2(n+1)2B.a n=4(n+1)C.a n=8n2D.a n=4n(n+1)22.已知函数f(x)=,把函数g(x)=f(x)﹣x的零点按从小到大的顺序排列成一个数列,则该数列的前n项的和为S n,则S10=()A.210﹣1 B.29﹣1 C.45 D.5523.设等差数列{a n}满足,公差d∈(﹣1,0),当且仅当n=9时,数列{a n}的前n项和S n取得最大值,求该数列首项a1的取值范围()A.B.[,]C.(,)D.[,]二.解答题(共4小题)24.已知{a n}是等差数列,{b n}是等比数列,且b2=3,b3=9,a1=b1,a14=b4.(1)求{a n}的通项公式;(2)设c n=a n+b n,求数列{c n}的前n项和.25.已知等差数列{a n}的前n项和为S n,等比数列{b n}的前n项和为T n,a1=﹣1,b1=1,a2+b2=2.(1)若a3+b3=5,求{b n}的通项公式;(2)若T3=21,求S3.26.设数列{a n}满足a1+3a2+…+(2n﹣1)a n=2n.(1)求{a n}的通项公式;(2)求数列{}的前n项和.27.已知等差数列{a n}和等比数列{b n}满足a1=b1=1,a2+a4=10,b2b4=a5.(Ⅰ)求{a n}的通项公式;(Ⅱ)求和:b1+b3+b5+…+b2n﹣1.数列综合练习题答案与解析一.选择题(共23小题)1.已知函数f(x)=,若数列{a n}满足a n=f(n)(n∈N*),且{a n}是递增数列,则实数a的取值范围是()A.[,4)B.(,4)C.(2,4) D.(1,4)【解答】解:函数f(x)=,数列{a n}满足a n=f(n)(n∈N*),且{a n}是递增数列,∴,解得2<a<4.故选:C.2.已知{a n}是递增数列,且对任意n∈N*都有a n=n2+λn恒成立,则实数λ的取值范围是()A.(﹣,+∞)B.(0,+∞)C.[﹣2,+∞)D.(﹣3,+∞)【解答】解:∵{a n}是递增数列,∴a n>a n,+1∵a n=n2+λn恒成立即(n+1)2+λ(n+1)>n2+λn,∴λ>﹣2n﹣1对于n∈N*恒成立.而﹣2n﹣1在n=1时取得最大值﹣3,∴λ>﹣3,故选D.3.已知函数f(x)是R上的单调增函数且为奇函数,数列{a n}是等差数列,a11>0,则f(a9)+f(a11)+f(a13)的值()A.恒为正数B.恒为负数C.恒为0 D.可正可负【解答】解:∵f(a11)>f(0)=0,a9+a13=2a11>0,a9>﹣a13,∴f(a9)>f(﹣a13)=﹣f(a13),f(a9)+f(a13)>0,∴f(a9)+f(a11)+f(a13)>0,故选:A.4.等比数列{a n}中,a4=2,a7=5,则数列{lga n}的前10项和等于()A.2 B.lg50 C.10 D.5【解答】解:∵等比数列{a n}中,a4=2,a7=5,∴a1a10=a2a9=…=a4a7=10,∴数列{lga n}的前10项和S=lga1+lga2+…+lga10=lga1a2…a10=lg105=5故选:D5.右边所示的三角形数组是我国古代数学家杨辉发现的,称为杨辉三角形,根据图中的数构成的规律,a所表示的数是()A.2 B.4 C.6 D.8【解答】解:杨辉三角形中,每一行的第一个数和最后一个数都是1,首尾之间的数总是上一行对应的两个数的和,∴a=3+3=6;故选C.6.已知正项等比数列{a n}满足:a7=a6+2a5,若存在两项a m,a n,使得=4a1,则+的最小值为()A.B.C.D.【解答】解:设正项等比数列{a n}的公比为q,且q>0,由a7=a6+2a5得:a6q=a6+,化简得,q2﹣q﹣2=0,解得q=2或q=﹣1(舍去),因为a m a n=16a12,所(a1q m﹣1)(a1q n﹣1)=16a12,则q m+n﹣2=16,解得m+n=6,+=×(m+n)×(+)=×(17++)≥×(17+2)=,当且仅当=,解得:m=,n=,因为m n取整数,所以均值不等式等号条件取不到,+>,验证可得,当m=1、n=5时,取最小值为.故答案选:B.7.已知,把数列{a n}的各项排列成如图的三角形状,记A(m,n)表示第m行的第n个数,则A(10,12)=()A.B.C.D.【解答】解:由A(m,n)表示第m行的第n个数可知,A(10,12)表示第10行的第12个数,根据图形可知:①每一行的最后一个项的项数为行数的平方,所以第10行的最后一个项的项数为102=100,即为a100;②每一行都有2n﹣1个项,所以第10行有2×10﹣1=19项,得到第10行第一个项为100﹣19+1=82,所以第12项的项数为82+12﹣1=93;所以A(10,12)=a93=故选A.8.设等差数列{a n}满足=1,公差d∈(﹣1,0),若当且仅当n=9时,数列{a n}的前n项和S n取得最大值,则首项a1的取值范围是()A.(π,)B.[π,]C.[,]D.(,)【解答】解:∵======﹣=﹣sin(4d),∴sin(4d)=﹣1,∵d∈(﹣1,0),∴4d∈(﹣4,0),∴4d=﹣,d=﹣,∵S n=na1+==﹣+,∴其对称轴方程为:n=,有题意可知当且仅当n=9时,数列{a n}的前n项和S n取得最大值,∴<<,解得π<a1<,故选:A.9.定义在(﹣∞,0)∪(0,+∞)上的函数f(x),如果对于任意给定的等比数列{a n},{f (a n)},仍是等比数列,则称f(x)为“等比函数”.现有定义在(﹣∞),0)∪(0,+∞)上的如下函数:①f(x)=3x,②f(x)=,③f(x)=x3,④f(x)=log2|x|,则其中是“等比函数”的f(x)的序号为()A.①②③④B.①④C.①②④D.②③【解答】解:不妨设等比数列{a n}中,a n=a1•q n﹣1,①∵f(x)=3x,∴====常数,故当q≠1时,{f(a n)}不是等比数列,故f(x)=3x不是等比函数;②∵f(x)=,∴===,故{f(a n)}是等比数列,故f(x)=是等比函数;③∵f(x)=x3,∴=═q3,故{f(a n)}是等比数列,故f(x)=x3是等比函数;④f(x)=log2|x|,∴==,故{f(a n)}不是等比数列,故f(x)=log2|x|不是等比函数.故其中是“等比函数”的f(x)的序号②③,故选:D.10.已知数列{a n}(n∈N*)是各项均为正数且公比不等于1的等比数列,对于函数y=f(x),若数列{lnf(a n)}为等差数列,则称函数f(x)为“保比差数列函数”.现有定义在(0,+∞)上的三个函数:①f(x)=;②f(x)=e x;③f(x)=;④f(x)=2x,则为“保比差数列函数”的是()A.③④B.①②④C.①③④D.①③【解答】解:设数列{a n}的公比为q(q≠1)①由题意,lnf(a n)=ln,∴lnf(a n+1)﹣lnf(a n)=ln﹣ln=ln=﹣lnq是常数,∴数列{lnf(a n)}为等差数列,满足题意;②由题意,lnf(a n)=ln,∴lnf(a n+1)﹣lnf(a n)=ln﹣ln=a n+1﹣a n不是常数,∴数列{lnf(a n)}不为等差数列,不满足题意;③由题意,lnf(a n)=ln,∴lnf(a n+1)﹣lnf(a n)=ln﹣ln=lnq是常数,∴数列{lnf(a n)}为等差数列,满足题意;④由题意,lnf(a n)=ln(2a n),∴lnf(a n+1)﹣lnf(a n)=ln(2a n+1)﹣ln(2a n)=lnq是常数,∴数列{lnf(a n)}为等差数列,满足题意;综上,为“保比差数列函数”的所有序号为①③④故选:C.11.已知数列{a n}满足a1=1,a n+1=,则a n=()A.B.3n﹣2 C.D.n﹣2【解答】解:∵a1=1,a n+1=,∴=+3,即﹣=3,∴数列{}是以1为首项,3为公差的等差数列,∴=1+(n﹣1)×3=3n﹣2,∴a n=,故选:A.12.已知数列{a n}满足a1=2,a n+1﹣a n=a n+1a n,那么a31等于()A.﹣B.﹣C.﹣D.﹣【解答】解:由已知可得﹣=﹣1,设b n=,则数列{b n}是以为首项,公差为﹣1的等差数列.∴b31=+(31﹣1)×(﹣1)=﹣,∴a31=﹣.故选:B.13.如果数列{a n}是等比数列,那么()A.数列{}是等比数列B.数列{2an}是等比数列C.数列{lga n}是等比数列D.数列{na n}是等比数列【解答】解:对于A:设b n=,则==()2=q2,∴{b n}成等比数列;正确;对于B:数列{2},=2≠常数;不正确;对于C:当a n<0时lga n无意义;不正确;对于D:设c n=na n,则==≠常数.不正确.故选A.14.在数列{a n}中,a n+1=a n+2,且a1=1,则=()A.B.C.D.【解答】解:在数列{a n}中,a n+1=a n+2,且a1=1,可得a n=a1+(n﹣1)d=1+2(n﹣1)=2n﹣1,由==(﹣),可得=(1﹣+﹣+﹣+…+﹣)=(1﹣)=.故选:A.15.等差数列的前n项,前2n项,前3n项的和分别为A,B,C,则()A.A+C=2B B.B2=AC C.3(B﹣A)=C D.A2+B2=A(B+C)【解答】解:由等差数列的前n项和公式的性质可得:A,B﹣A,C﹣B也成等差数列.∴2(B﹣A)=A+C﹣B,解得3(B﹣A)=C.故选:C.16.已知数列{a n}的通项为a n=(﹣1)n(4n﹣3),则数列{a n}的前50项和T50=()A.98 B.99 C.100 D.101【解答】解:数列{a n}的通项为a n=(﹣1)n(4n﹣3),前50项和T50=﹣1+5﹣9+13﹣17+…+197=(﹣1+5)+(﹣9+13)+(﹣17+21)+…+(﹣193+197)=4+4+4+…+4=4×25=100.故选:C.17.数列1,,,…,的前n项和为()A.B. C. D.【解答】解:===2().数列1,,,…,的前n项和:数列1+++…+=2(1++…)=2(1﹣)=.故选:B.18.数列{a n}的通项公式为,其前n项和为s n,则s2017等于()A.1006 B.1008 C.﹣1006 D.﹣1008【解答】解:∵,n=2k﹣1(k∈N*)时,a n=a2k﹣1=(2k﹣1)=0.n=2k时,a n=a2k=2kcoskπ=2k•(﹣1)k.∴s2017=(a1+a3+…+a2017)+(a2+a4+…+a2016)=0+(﹣2+4﹣…﹣2014+2016)=1008.故选:B.19.数列{a n}中,,则数列{a n}前16项和等于()A.130 B.132 C.134 D.136+(﹣1)n a n=2n﹣1,【解答】解:∵a n+1∴a2﹣a1=1,a3+a2=3,a4﹣a3=5,a5+a4=7,a6﹣a5=9,a7+a6=11,…a16﹣a15=29.从而可得a3+a1=2,a4+a2=8,a7+a5=2,a8+a6=24,a9+a11=2,a12+a10=40,a13+a15=2,a16+a14=56,从第一项开始,依次取2个相邻奇数项的和都等于2,从第二项开始,依次取2个相邻偶数项的和构成以8为首项,以16为公差的等差数列.∴{a n}的前16项和为4×2+8×4+=136.故选:D.20.《庄子•天下篇》中记述了一个著名命题:“一尺之锤,日取其半,万世不竭”.反映这个命题本质的式子是()A.1+++…+=2﹣B.1+++…++…<2C.++…+=1 D.++…+<1【解答】解:根据已知可得每次截取的长度构造一个以为首项,以为公比的等比数列,∵++…+=1﹣<1,故反映这个命题本质的式子是++…+<1,故选:D21.在数列{a n}中,若=+,a1=8,则数列{a n}的通项公式为()A.a n=2(n+1)2B.a n=4(n+1)C.a n=8n2D.a n=4n(n+1)【解答】解:∵=+,a1=8,则数列{}为等差数列.∴=+(n﹣1)=(n+1).∴a n=2(n+1)2.故选:A.22.已知函数f(x)=,把函数g(x)=f(x)﹣x的零点按从小到大的顺序排列成一个数列,则该数列的前n项的和为S n,则S10=()A.210﹣1 B.29﹣1 C.45 D.55【解答】解:当0<x≤1时,有﹣1<x﹣1<0,则f(x)=f(x﹣1)+1=2x﹣1,当1<x≤2时,有0<x﹣1≤1,则f(x)=f(x﹣1)+1=2x﹣2+1,当2<x≤3时,有1<x﹣1≤2,则f(x)=f(x﹣1)+1=2x﹣3+2,当3<x≤4时,有2<x﹣1≤3,则f(x)=f(x﹣1)+1=2x﹣4+3,以此类推,当n<x≤n+1(其中n∈N)时,则f(x)=f(x﹣1)+1=2x﹣n﹣1+n,所以,函数f(x)=2x的图象与直线y=x+1的交点为:(0,1)和(1,2),由于指数函数f(x)=2x为增函数且图象下凸,故它们只有这两个交点.然后:①将函数f(x)=2x和y=x+1的图象同时向下平移一个单位,即得到函数f(x)=2x﹣1和y=x 的图象,取x≤0的部分,可见它们有且仅有一个交点(0,0).即当x≤0时,方程f(x)﹣x=0有且仅有一个根x=0.②取①中函数f(x)=2x﹣1和y=x图象﹣1<x≤0的部分,再同时向上和向右各平移一个单位,即得f(x)=2x﹣1和y=x在0<x≤1上的图象,此时它们仍然只有一个交点(1,1).即当0<x≤1时,方程f(x)﹣x=0有且仅有一个根x=1.③取②中函数f(x)=2x﹣1和y=x在0<x≤1上的图象,继续按照上述步骤进行,即得到f(x)=2x﹣2+1和y=x在1<x≤2上的图象,此时它们仍然只有一个交点(2,2).即当1<x≤2时,方程f(x)﹣x=0有且仅有一个根x=2.④以此类推,函数y=f(x)与y=x在(2,3],(3,4],…,(n,n+1]上的交点依次为(3,3),(4,4),…(n+1,n+1).即方程f(x)﹣x=0在(2,3],(3,4],…(n,n+1]上的根依次为3,4,…,n+1.综上所述方程f(x)﹣x=0的根按从小到大的顺序排列所得数列为:0,1,2,3,4,…,其通项公式为:a n=n﹣1,前n项的和为S n=,∴S10=45,故选C.23.设等差数列{a n}满足,公差d∈(﹣1,0),当且仅当n=9时,数列{a n}的前n项和S n取得最大值,求该数列首项a1的取值范围()A.B.[,]C.(,)D.[,]【解答】解:∵等差数列{a n}满足,∴(sina4cosa7﹣sina7cosa4)(sina4cosa7+sina7cosa4)=sin(a5+a6)=sin(a4+a7)=sina4cosa7+sina7cosa4,∴sina4cosa7﹣sina7cosa4=1,或sina4cosa7+sina7cosa4=0即sin(a4﹣a7)=1,或sin(a4+a7)=0(舍)当sin(a4﹣a7)=1时,∵a4﹣a7=﹣3d∈(0,3),a4﹣a7=2kπ+,k∈Z,∴﹣3d=2kπ+,d=﹣﹣π.∴d=﹣∵S n=na1+=n2+(a1﹣)n,且仅当n=9时,数列{a n}的前n项和S n取得最大值,∴8.5<﹣<9.5,∴π<a1<故选:C二.解答题(共4小题)24.已知{a n}是等差数列,{b n}是等比数列,且b2=3,b3=9,a1=b1,a14=b4.(1)求{a n}的通项公式;(2)设c n=a n+b n,求数列{c n}的前n项和.【解答】解:(1)设{a n}是公差为d的等差数列,{b n}是公比为q的等比数列,由b2=3,b3=9,可得q==3,b n=b2q n﹣2=3•3n﹣2=3n﹣1;即有a1=b1=1,a14=b4=27,则d==2,则a n=a1+(n﹣1)d=1+2(n﹣1)=2n﹣1;(2)c n=a n+b n=2n﹣1+3n﹣1,则数列{c n}的前n项和为(1+3+…+(2n﹣1))+(1+3+9+…+3n﹣1)=n•2n+=n2+.25.已知等差数列{a n}的前n项和为S n,等比数列{b n}的前n项和为T n,a1=﹣1,b1=1,a2+b2=2.(1)若a3+b3=5,求{b n}的通项公式;(2)若T3=21,求S3.【解答】解:(1)设等差数列{a n}的公差为d,等比数列{b n}的公比为q,a1=﹣1,b1=1,a2+b2=2,a3+b3=5,可得﹣1+d+q=2,﹣1+2d+q2=5,解得d=1,q=2或d=3,q=0(舍去),则{b n}的通项公式为b n=2n﹣1,n∈N*;(2)b1=1,T3=21,可得1+q+q2=21,解得q=4或﹣5,当q=4时,b2=4,a2=2﹣4=﹣2,d=﹣2﹣(﹣1)=﹣1,S3=﹣1﹣2﹣3=﹣6;当q=﹣5时,b2=﹣5,a2=2﹣(﹣5)=7,d=7﹣(﹣1)=8,S3=﹣1+7+15=21.26.设数列{a n}满足a1+3a2+…+(2n﹣1)a n=2n.(1)求{a n}的通项公式;(2)求数列{}的前n项和.【解答】解:(1)数列{a n}满足a1+3a2+…+(2n﹣1)a n=2n.n≥2时,a1+3a2+…+(2n﹣3)a n﹣1=2(n﹣1).∴(2n﹣1)a n=2.∴a n=.当n=1时,a1=2,上式也成立.∴a n=.(2)==﹣.∴数列{}的前n项和=++…+=1﹣=.27.已知等差数列{a n}和等比数列{b n}满足a1=b1=1,a2+a4=10,b2b4=a5.(Ⅰ)求{a n}的通项公式;(Ⅱ)求和:b1+b3+b5+…+b2n﹣1.【解答】解:(Ⅰ)等差数列{a n},a1=1,a2+a4=10,可得:1+d+1+3d=10,解得d=2,所以{a n}的通项公式:a n=1+(n﹣1)×2=2n﹣1.(Ⅱ)由(Ⅰ)可得a5=a1+4d=9,等比数列{b n}满足b1=1,b2b4=9.可得b3=3,或﹣3(舍去)(等比数列奇数项符号相同).∴q2=3,{b2n}是等比数列,公比为3,首项为1.﹣1b1+b3+b5+…+b2n﹣1==.。
一、选择题1.已知数列{}n a 中,12a =,111(2)n n a n a -=-≥,则2021a 等于( ) A .1-B .12-C .12D .22.已知数列{}n a ,{}n b 中满足()1231n n a a n ++=≥,110a =,1n n b a =-,若{}n b 前n 项之和为n S ,则满足不等式16170n S -<的最小整数n 是( ). A .8B .9C .11D .103.已知数列{}n a 满足00a =,()11i i a a i +=+∈N ,则201kk a=∑的值不可能是( )A .2B .4C .10D .144.数列{}:1,1,2,3,5,8,13,21,34,...,n F 成为斐波那契数列,是由十三世纪意大利数学家列昂纳多·斐波那契以兔子繁殖为例子而引入,故又称为“兔子数列”,该数列从第三项开始,每项等于其前两相邻两项之和,记该数{}n F 的前n 项和为n S ,则下列结论正确的是( ) A .201920212S F =+ B .201920211S F =- C .201920202S F =+D .201920201S F =-5.已知无穷等比数列{}n a 的各项的和为3,且12a =,则2a =( ) A .13B .25C .23D .326.若一个数列的第m 项等于这个数列的前m 项的乘积,则称该数列为“m 积列”.若各项均为正数的等比数列{a n }是一个“2022积数列”,且a 1>1,则当其前n 项的乘积取最大值时,n 的最大值为( ) A .1009B .1010C .1011D .20207.两等差数列{}n a 和{}n b ,前n 项和分别为n S ,n T ,且723n n S n T n +=+,则220715a ab b ++的值为( ) A .14924B .7914C .165D .51108.删去正整数1,2,3,4,5,…中的所有完全平方数与立方数(如4,8),得到一个新数列,则这个数列的第2020项是( ) A .2072B .2073C .2074D .20759.等比数列{} n a 的前n 项和为n S ,若63:3:1S S =,则93:S S =( ) A .4:1B .6:1C .7:1D .9:110.已知等差数列{}n a 中,50a >,470a a +<则{}n a 的前n 项和n S 的最大值为( )A .4SB .5SC .6SD .7S11.已知等比数列{}141,1,8n a a a ==,且12231n n a a a a a a k ++++<,则k 的取值范围是( ) A .12,23⎡⎤⎢⎥⎣⎦B .1,2⎡⎫+∞⎪⎢⎣⎭C .12,23⎡⎫⎪⎢⎣⎭D .2,3⎡⎫+∞⎪⎢⎣⎭12.已知数列{}n a 的前n 项和为n S ,且满足1221,1n n a a S a +===-,则下列命题错误的是A .21n n n a a a ++=+B .13599100a a a a a ++++=C .2499a a a a +++=D .12398100100S S S S S ++++=-二、填空题13.数列{}n a 的前n 项和2n S n n =-+,则它的通项公式是n a =__________.14.已知正项数列{}n a 中,21129n n a a +=+,若对于一切的*n N ∈都有1n n a a +>成立,则1a 的取值范围是________.15.天干地支纪看法源于中国,中国自古便有十天干与十二地支.十天干:甲、乙、丙、丁、戊、已、庚、辛、壬、癸.十二地支:子、丑、寅、卯、辰、巳、午、未、申、酉、戌、亥.天干地支纪年法是按顺序以一个天干和一个地支相配,排列起来,天干在前,地支在后,天干由“甲”起,地支由“子”起,比如第一年为“甲子”,第二年为“乙丑”,第三年为“丙寅”,…,以此类推,排列到“癸酉”后,天干回到“甲”重新开始,即“甲戌”,“乙亥”,之后地支回到“子”重新开始,即“丙子”,…,以此类推,已知2020年为庚子年,那么到建国100年时,即2049年以天干地支纪年法为__________. 16.已知正项数列{}n a ,满足()*12nn n a a n N +⋅=∈,且()20201232020321a a a a ++++<-,则首项1a 的取值范围是______.17.已知:等比数列{}n a 的前n 项和23nn S a =⋅-,则5a =______.18.已知数列{}n a 的前n 项和22n S n =,*n N ∈.求数列{}n a 的通项公式为______.设2(1)n n n n b a a =+-,求数列{}n b 的前2n 项和n T =______.19.设数列{}n a 满足11a =,且()*11n n a a n n N +-=+∈,则数列1n a ⎧⎫⎨⎬⎩⎭前2020项的和为________.20.设数列{}n a 的前n 项和为n S ,若24S =,121n n a S +=+,*n N ∈,则{}n a 的通项公式为________.三、解答题21.设各项均为正数的数列{}n a 的前n 项和为n S ,满足对任意*n ∈N ,都有333212n n a a a S +++=.(1)求证:数列{}n a 为等差数列;(2)若()2(1)2n n n b a =-,求数列{}n b 的前n 项和n T .22.已知等比数列{n a }的各项均为正数,1a +3a ==5,且其前n 项和n S 满足72S =33S . (1)求数列的通项公式; (2)若()()111nn n n a b a a +=++求数列{n a }的前n项和n T23.在①4516a a +=;②39S =;③2n S n r =+(r 为常数)这3个条件中选择1个条件,补全下列试题后完成解答.设等差数列{}n a 的前n 项和为n S ,若数列{}n a 的各项均为正整数,且满足公差1d >,______.(1)求数列{}n a 的通项公式; (2)令12n n n b a a +=,前n 项和是n T .若2221n T m m <--恒成立,求实数m 的取值范围.24.已知等差数列{}n a 的前n 项和为n S ,162a a +=,40a =. (1)求数列{}n a 的通项公式; (2)求n S 的最大值及相应的n 的值.25.已知数列{}{},n n a b 满足1231112,1,2,,n n n n na a ab b b a n N a ++++===-=∈ (1)求数列{}n b 的通项公式;(2)求证:1211111,6n n N b b b ++++<∈. 26.已知数列{}n a 的前n 项和n S 满足11(0n n a a a S a--=>且1)a ≠.数列{}n b 满足lg n n n b a a =.(1)当10a =时,求数列{}n b 的前n 项和n T ; (2)若对一切n *∈N 都有1n n b b +<,求a 的取值范围.【参考答案】***试卷处理标记,请不要删除一、选择题1.C 解析:C 【分析】先计算出{}n a 的前几项,然后分析{}n a 的周期性,根据周期可将2021a 转化为2a ,结合12a =求解出结果.【详解】因为12a =,所以23412311111,11,12,......2a a a a a a =-==-=-=-= 所以3211111111111111111111n n nn n n n na a a a a a a a +++-=-=-=-=-=-=------, 所以{}n a 是周期为3的周期数列,所以20213673+2212a a a ⨯===, 故选:C. 【点睛】思路点睛:根据递推公式证明数列{}n a 为周期数列的步骤:(1)先根据已知条件写出数列{}n a 的前几项,直至出现数列中项循环,判断循环的项包含的项数A ;(2)证明()*n A n a a A N+=∈,则可说明数列{}na 是周期为A 的数列.2.D解析:D 【分析】由123n n a a ++=可求得数列{}n a 的通项公式,进而求得数列{}n b ,表示出n S , 令16170n S -<,即可得到满足不等式16170n S -<的最小整数n . 【详解】解:由题意可知:123n n a a ++=, 即11322n n a a +=-+, 即()11112n n a a +-=--, 又110a =,119a ∴-=,即数列{}1n a -是以首项为9,公比为12-的等比数列,11192n n a -⎛⎫∴-=⨯- ⎪⎝⎭,即11192n n a -⎛⎫=+⨯- ⎪⎝⎭,11192n n n b a -⎛⎫∴=-=⨯- ⎪⎝⎭,12111219661212n nn n S b b b ⎡⎤⎛⎫⨯--⎢⎥ ⎪⎝⎭⎢⎥⎛⎫⎣⎦∴=++⋅⋅⋅+=⨯=-⨯- ⎪⎛⎫⎝⎭-- ⎪⎝⎭, 则111632170n n S --=⨯<, 即1112510n -⎛⎫<⎪⎝⎭, 又9112512⎛⎫= ⎪⎝⎭,∴满足不等式16170n S -<的最小整数19n -=, 即10n =. 故选:D. 【点睛】关键点点睛:本题解题的关键是利用构造法求出数列{}n a 的通项公式.3.B解析:B 【分析】先由题中条件,得到21221i i i a a a +-=+,由累加法得到202211221k k a a ==-∑,根据00a =,()11i i a a i +=+∈N ,逐步计算出221a 所有可能取的值,即可得出结果.【详解】由11i i a a +=+得()2221121i i i i a a a a +=+=++,则21221i i i a a a +-=+, 所以2221121a a a -=+, 2232221a a a -=+,……,2202022121a a a -=+,以上各式相加可得:()2112022102212 (20202)kk a a a a a a=-=+++++=∑,所以20221211220k k a a a ==--∑,又00a =,所以2120211a a a =++=,则202211221k k a a ==-∑,因为()11i i a a i +=+∈N ,00a =,则0111a a =+=,所以11a =±,则2110a a =+=或2,所以20a =或2±;则3211a a =+=或3,所以31a =±或3±;则4310a a =+=或2或4,所以42a =±或4±或0;则5411a a =+=或3或5,所以51a =±或3±或5±;……,以此类推,可得:211a =±或3±或5±或7±或9±或11±或13±或15±或17±或19±或21±,因此221a 所有可能取的值为222222222221,3,5,7,9,11,13,15,17,19,21,所以221122a -所有可能取的值为10-,6-,2,14,30,50,74,102,134,170,210;则201kk a=∑所有可能取的值为10,6,2,14,30,50,74,102,134,170,210,即ACD 都有可能,B 不可能. 故选:B. 【点睛】 关键点点睛:求解本题的关键在于将题中条件平方后,利用累加法,得到20221211220k k a a a ==--∑,将问题转化为求221a 的取值问题,再由条件,结合各项取值的规律,即可求解.4.B解析:B 【分析】利用迭代法可得21123211n n n n n n n F F F F F F F F F ++---=+=+++++++,可得21n n F S +=+,代入2019n =即可求解.【详解】由题意可得该数列从第三项开始,每项等于其前两相邻两项之和, 则211112n n n n n n n n n n F F F F F F F F F F ++----=+=++=+++1211232n n n n n n n n n F F F F F F F F F -------=+++=++++=123211n n n n F F F F F F ---=+++++++,所以21n n F S +=+,令2019n =,可得201920211S F =-, 故选:B 【点睛】关键点点睛:本题的关键点是理解数列新定义的含义得出21n n n F F F ++=+,利用迭代法得出21123211n n n n n n n F F F F F F F F F ++---=+=+++++++,进而得出21n n F S +=+.5.C解析:C 【分析】设等比数列的公比为q ,进而根据题意得()21lim lim31n n n n q S q→+∞→+∞-==-,且()0,1q ∈,从而解得13q =,故223a =【详解】解:设等比数列的公比为q ,显然1q ≠, 由于等比数列{}n a 中,12a = 所以等比数列{}n a 的前n 项和为:()()112111n n n a q q S qq--==--,因为无穷等比数列{}n a 的各项的和为3, 所以()21lim lim31n n n n q S q→+∞→+∞-==-,且()0,1q ∈,所以231q =-,解得13q =, 所以2123a a q ==. 故选:C. 【点睛】本题解题的关键在于根据题意将问题转化为()21lim lim31n n n n q S q→+∞→+∞-==-,且()0,1q ∈,进而根据极限得13q =,考查运算求解能力,是中档题. 6.C解析:C 【分析】根据数列的新定义,得到122021...1a a a =,再由等比数列的性质得到210111a =,再利用11,01a q ><<求解即可.【详解】根据题意:2022122022...a a a a =, 所以122021...1a a a =,因为{a n }等比数列,设公比为q ,则0q >, 所以212021220201011...1a a a a a ====, 因为11a >,所以01q <<, 所以1010101110121,1,01a a a >=<<,所以前n 项的乘积取最大值时n 的最大值为1011. 故选:C. 【点睛】关键点睛:本题主要考查数列的新定义以及等比数列的性质,数列的最值问题,解题的关键是根据定义和等比数列性质得出210111a =以及11,01a q ><<进行判断.7.A解析:A 【分析】在{}n a 为等差数列中,当(m n p q m +=+,n ,p ,)q N +∈时,m n p q a a a a +=+.所以结合此性质可得:2202171521a a Sb b T +=+,再根据题意得到答案.【详解】解:在{}n a 为等差数列中,当(m n p q m +=+,n ,p ,)q N +∈时,m n p q a a a a +=+.所以1212202171521121121()2121()2a a a a Sb b T b b ⨯+⨯+==+⨯+⨯, 又因为723n n S n T n +=+, 所以22071514924a ab b +=+. 故选:A . 【点睛】本题主要考查等差数列的下标和性质,属于中档题.8.C解析:C 【分析】由于数列22221,2,3,2,5,6,7,8,3,45⋯共有2025项,其中有45个平方数,12个立方数,有3个既是平方数,又是立方数的数,所以还剩余20254512+31971--=项,所以去掉平方数和立方数后,第2020项是在2025后的第()20201971=49-个数,从而求得结果. 【详解】∵2452025=,2462116=,20202025<,所以从数列22221,2,3,2,5,6,7,8,3,45⋯中去掉45个平方数,因为331217282025132197=<<=,所以从数列22221,2,3,2,5,6,7,8,3,45⋯中去掉12个立方数,又66320254<<,所以在从数列22221,2,3,2,5,6,7,8,3,45⋯中有3个数即是平方数, 又是立方数的数,重复去掉了3个即是平方数,又是立方数的数, 所以从数列22221,2,3,2,5,6,7,8,3,45⋯中去掉平方数和立方数后还有20254512+31971--=项,此时距2020项还差2020197149-=项, 所以这个数列的第2020项是2025492074+=, 故选:C. 【点睛】本题考查学生的实践创新能力,解决该题的关键是找出第2020项的大概位置,所以只要弄明白在数列22221,2,3,2,5,6,7,8,3,45⋯去掉哪些项,去掉多少项,问题便迎刃而解,属于中档题.9.C解析:C 【分析】利用等比数列前n 项和的性质k S ,2k k S S -,32k k S S -,43k k S S -,成等比数列求解.【详解】因为数列{} n a 为等比数列,则3S ,63S S -,96S S -成等比数列, 设3S m =,则63S m =,则632S S m -=, 故633S S S -=96632S S S S -=-,所以964S S m -=,得到97S m =,所以937SS =. 故选:C. 【点睛】本题考查等比数列前n 项和性质的运用,难度一般,利用性质结论计算即可.10.B解析:B 【分析】根据50a >和470a a +<判断出数列的单调性,根据数列的单调性确定出n S 的最大值. 【详解】因为470a a +<,所以560a a +<,又因为50a >,所以60a <, 因为{}n a 为等差数列,所以650d a a =-<,所以{}n a 为单调递减数列,所以n S 的最大值为5S , 故选:B. 【点睛】本题考查根据等差数列的单调性求解前n 项和的最大值,难度一般.求解等差数列前n 项和的最值,关键是分析等差数列的单调性,借助单调性可说明n S 有最大值还是最小值并且求解出对应结果.11.D解析:D 【分析】设等比数列{}n a 的公比为q ,由11a =,418a =,可得318q =,解得q .可得n a .可得1124n n na a +=⨯.利用等比数列的求和公式及其数列的单调性即可得出. 【详解】解:设等比数列{}n a 的公比为q ,11a =,418a =, 318q ∴=,解得12q =. 11111()()22n n n a --=⨯=.12111111()()()22224n n n n n n a a --+∴===⨯.12231211(1)111212442()2(1)144434314n n n n na a a a a a +-∴++⋯+=++⋯⋯+=⨯=-<-. 12231n n a a a a a a k +++⋯+<,23k. k ∴的取值范围是:2,3⎡⎫+∞⎪⎢⎣⎭.故选:D . 【点睛】本题考查了数列递推关系、等比数列的通项公式与求和公式、数列的单调性,考查了推理能力与计算能力,属于中档题.12.C解析:C 【分析】21n n S a +=-,则111n n S a -+=-,两式相减得到A 正确;由A 选项得到13599a a a a +++⋯+=1123459798a a a a a a a a ++++++⋯++=981001S a +=进而得到B正确;同理可得到C 错误;由21n n S a +=-得到12398S S S S +++⋯+=123451002111......1a a a a a a +-+-+-+-++-=100100.S -进而D 正确. 【详解】已知21n n S a +=-,则111n n S a -+=-,两式相减得到2121n n n n n n a a a a a a ++++=-⇒=+,故A 正确;根据A 选项得到13599a a a a +++⋯+=1123459798a a a a a a a a ++++++⋯++=981001S a +=,故B 正确;24698a a a a +++⋯+=2234569697a a a a a a a a ++++++⋯++=1234569697a a a a a a a a ++++++⋯++=97991S a =-,故C 不正确;根据2123981n n S a S S S S +=-+++⋯+=,123451002111......1a a a a a a +-+-+-+-++-= 100100.S -故D 正确. 故答案为C. 【点睛】这个题目考查了数列的应用,根据题干中所给的条件进行推广,属于中档题,这类题目不是常规的等差或者等比数列,要善于发现题干中所给的条件,应用选项中正确的结论进行其它条件的推广.二、填空题13.【分析】依据与的关系由计算即得结果【详解】时;且时易见也适合该式故故答案为:【点睛】数列的前n 项和当已知求时按照两者关系由计算当也适合通项公式时合并作答否则写出分段形式 解析:()22n a n n N +=-+∈【分析】依据n a 与n S 的关系,由()()11,1,2n nn S n a S S n -⎧=⎪=⎨-≥⎪⎩计算即得结果.【详解】1n =时,11110a S ==-+=;2n ≥且n ∈+N 时,()()()221112n n n a S S n n n n n -⎡⎤==-+---+-=⎣⎦-,易见,1n =也适合该式.故()22n a n n N +=-+∈. 故答案为:()22n a n n N +=-+∈. 【点睛】数列{}n a 的前n 项和n S ,当已知n S 求n a 时,按照两者关系,由()()11,1,2n n n S n a S S n -⎧=⎪=⎨-≥⎪⎩计算,当1n =也适合通项公式时,合并作答,否则写出分段形式.14.【分析】根据列出关于的不等式求解出的取值范围从而的取值范围可确定出【详解】因为所以解得满足所以即故答案为:【点睛】关键点点睛:解答本题的关键是通过之间的不等关系求解出的取值范围由此可确定出的取值范围 解析:()3,6【分析】根据1n n a a +>列出关于n a 的不等式,求解出n a 的取值范围,从而1a 的取值范围可确定出. 【详解】 因为21129n n n a a a +=+<,所以29180n n a a -+<,解得36n a <<,满足0n a >, 所以136a <<,即()13,6a ∈, 故答案为:()3,6. 【点睛】关键点点睛:解答本题的关键是通过1,n n a a +之间的不等关系求解出n a 的取值范围,由此可确定出1a 的取值范围.15.已巳【分析】本题由题意可得数列天干是10个为一个循环的循环数列地支是以12个一个循环的循环数列以2020年的天干和地支分别为首项即可求解【详解】由题意可知数列天干是10个为一个循环的循环数列地支是以解析:已巳 【分析】本题由题意可得数列天干是10个为一个循环的循环数列,地支是以12个一个循环的循环数列,以2020年的天干和地支分别为首项,即可求解. 【详解】由题意可知数列天干是10个为一个循环的循环数列,地支是以12个一个循环的循环数列,从2020年到2049年一共有30年,且2020年为庚子年, 则30103÷=,2049年的天干为已,30122÷=余6,2049年的地支为巳, 故2049年为已巳年, 故答案为:已巳. 【点睛】关键点点睛:本题主要考查了循环数列的实际应用,能否根据题意得出天干是10个为一个循环的循环数列以及地支是以12个一个循环的循环数列是解决本题的关键,着重考查了分析问题和解答问题的能力,是中档题.16.【分析】根据利用递推得到则数列的奇数项和偶数项分别为公比为2的等比数列然后利用等比数列前n 项和公式分别求和再根据条件得到求解【详解】因为所以所以所以数列的奇数项和偶数项分别为公比为2的等比数列所以所 解析:(1,2)【分析】 根据()*12nn n a a n N +⋅=∈,利用递推得到22n na a +=,则数列{}n a 的奇数项和偶数项分别为公比为2的等比数列,然后利用等比数列前n 项和公式分别求和,再根据条件得到123a a +<求解.【详解】 因为()*12nn n a a n N +⋅=∈, 所以()1*212n n n a a n N +++⋅=∈,所以22n na a += 所以数列{}n a 的奇数项和偶数项分别为公比为2的等比数列, 所以()()1010101012132019242020,12121122a a a a a a a a =--+++++=--+所以()()()2020202012320212021321a a a a a a =+++++-<-,所以123a a +<, 因为()*12nn n a a n N +⋅=∈,所以212a a ⋅=,即212a a =, 所以1123a a +<,即211320a a -+<, 解得112a <<, 故答案为:(1,2) 【点睛】方法点睛:证明数列{a n }是等比数列常用的方法:一是定义法,证明()*12,nn a q n n a -=≥∈N ;二是等比中项法,证明211n n n a a a -+=⋅.若判断一个数列不是等比数列,则只需举出反例即可.17.48【分析】由求出结合等比数列求得值从而可得【详解】由题意时又是等比数列所以解得所以故答案为:48【点睛】易错点睛:由前项和求时要注意中有不包括而解题时要注意否则易出错解析:48 【分析】由n S 求出n a ,结合等比数列求得a 值,从而可得5a . 【详解】由题意2n ≥时,11123(23)2n n n n n n a S S a a a ---=-=⋅--⋅-=⋅,又1123a S a ==-,{}n a 是等比数列,所以32222223a a aa a a ===-.解得3a =. 所以453248a =⨯=. 故答案为:48. 【点睛】易错点睛:由前n 项和n S 求n a 时,要注意1n n n a S S -=-中有2n ≥,不包括1a ,而11a S =,解题时要注意,否则易出错.18.【分析】根据写式子两式子相减整理得再验证时是否成立即可写出通项公式由已知可得运用分组求和即可得到答案【详解】∵①∴②由②﹣①可得:即又当时有满足∴;由已知可得:∴所以故答案为:;【点睛】本题考查已知 解析:42n a n =-2164n +n【分析】 根据()2*2n S nn N =∈写式子()2121n Sn++=,两式子相减整理得42n a n =-,再验证1n =时是否成立,即可写出通项公式.由已知可得()()422)24(1nn b n n =-+-⨯-,运用分组求和即可得到答案. 【详解】 ∵()2*2n S nn N =∈①,∴()2121n Sn++=②,由②﹣①可得:14+2n a n +=,即42n a n =-,又当1n =时,有2112111S a ==⨯⇒=满足42n a n =-,∴42n a n =-;由已知可得:()()422)24(1nn b n n =-+-⨯-,∴12322342112333n n n n b b b b ++++a T a a a a +a -==+++⋅+⋅⋅+()()32122143n n a a a a +++a +++a -=+()()28484316242n n n n+n +n -=+⨯=, 所以2641n T n +n =,故答案为:42n a n =-;2641n T n +n =.【点睛】本题考查已知数列前n 项和为n S 与n a 的关系求通项,注意验证1n =是否满足,考查分组求和,属于中档题.19.【分析】由得到用累加法求得从而得到然后利用裂项相消法求解【详解】因为所以左右分别相加得所以所以所以故答案为:【点睛】本题主要考查累加法求通项裂项相消法求和还考查了运算求解的能力属于中档题 解析:40402021【分析】由()*11n n a a n n N+-=+∈得到1122321,1,2,...,2------=-=--=--=n n n n n n a a n a a n a a n a a ,用累加法求得22n n na +=,从而得到2121121n a n nnn ,然后利用裂项相消法求解.【详解】因为()*11n n a a n n N+-=+∈,所以1122321,1,2,...,2------=-=--=--=n n n n n n a a n a a n a a n a a , 左右分别相加得()()112234 (2)-+=++++=-n n n n a a ,所以22n n na +=,所以2121121na n nnn ,所以20201111111140402 (2122320202021120212021)⎛⎫⎛⎫=-+-++-=-=⎪ ⎪⎝⎭⎝⎭S , 故答案为:40402021【点睛】本题主要考查累加法求通项,裂项相消法求和,还考查了运算求解的能力,属于中档题.20.【分析】令得出代入可求出和的值然后令由得出两式相减可判断出数列为等比数列确定该数列的首项和公比由等比数列的通项公式可求出数列的通项公式【详解】当时解得当时由①得②①②得又所以数列是以为首项以为公比的 解析:13-=n n a【分析】令1n =得出2121a a =+,代入24S =可求出1a 和2a 的值,然后令2n ≥,由121n n a S +=+得出121n n a S -=+,两式相减,可判断出数列{}n a 为等比数列,确定该数列的首项和公比,由等比数列的通项公式可求出数列{}n a 的通项公式.【详解】当1n =时,2112121a S a =+=+,2121314S a a a ∴=+=+=,解得11a =,23a =, 当2n ≥时,由121n n a S +=+①,得121n n a S -=+②, ①-②得,12n n n a a a +=-,13n n a a +∴=,又213aa =, 所以,数列{}n a 是以1为首项,以3为公比的等比数列,因此11133n n n a --=⨯=.故答案为:13-=n n a . 【点睛】本题考查了数列递推关系、等比数列通项公式,考查了推理能力与计算能力,属于中档题.三、解答题21.(1)证明见解析;(2)()()21,21,n n n n T n n n ⎧+⎪=⎨-+⎪⎩为偶数为奇数【分析】(1)令1n =求出首项,令2n =求出2a ,将n 换为1n -,两式相减得出21+n n n a S S -=,再将n 换为1n -,两式相减得11n n a a +-=,即得证;(2)求出n b ,分别讨论n 为奇数和偶数,并项求和结合等差数列的求和公式可求出. 【详解】 (1)333212n n a a a S +++=当1n =时,322111a S a ==,11a ∴=,当2n ≥时,33321211n n a a a S --+++=,两式相减得()()()3221111++n n n n n n n n n n a S S S S S S a S S ----=-=-=,21+n n n a S S -∴=,则2+1+1+n n n a S S =,两式相减得2211+n n n n a a a a ++-=,即()()111++n n n n n n a a a a a a +++-=,因为各项为正,11n n a a +∴-=,当2n =时,则()2331212++a a a a =,即()23221+1+a a =,解得22a =,满足211a a -=, 所以数列{}n a 是首项为1,公差为1的等差数列; (2)由(1)可得()1+11n a n n =-⨯=,()()212n n b n ∴=-⨯,当n 为偶数时,()()2222222+46+822+2n T n n =-----()()()()()()424+2+868+6++2222+22n n n n =-----⎡⎤⎡⎤⎣⎦⎣⎦()()()2+222+4+6+8+22212n n n n n ==⨯=+, 当n 为奇数时,()()21+21421n n n T T b n n n n n -==--=-+, 综上,()()21,21,n n n n T n n n ⎧+⎪=⎨-+⎪⎩为偶数为奇数.【点睛】方法点睛:证明或判断等差数列的方法,(1)定义法:对于数列{}n a ,若1n n a a d --=,则数列{}n a 为等差数列; (2)等比中项法:对于数列{}n a ,若21+2n n n a a a ++=,则数列{}n a 为等差数列; (3)通项公式法:若n a pn q =+,则数列{}n a 为等差数列; (4)特殊值法:若是选择题、填空题可以用特殊值法判断. 22.(1)1*2(n n a n N -=∈);(2)212(21)n n -+.【分析】(1)设等比数列{n a }的公比为q ,由已知条件得()2115a q +=,3()241qq =+,从而求出1,a q ,进而可得数列的通项公式;(2)由(1)得()()1111211(1)12121(21)21n n n n n n n n n a a a a ---+===-++++++,利用裂项相消法可求得n T 【详解】解(1)设等比数列{n a }的公比为q ,由于13a a =5,()2115a q ∴+=①由72S =33S ,得7(12)a a +=3(123)a a a ++ ∴3()3124a a a =+∴3()21141a q a q =+∴3()241q q =+②,q ∴=2或23-(舍去), 由①得,1a =1.∴1*2(n n a n N -=∈)⑵∵()()1111211(1)12121(21)21n n n n n n n n n a b a a ---+===-++++++ ∴n T =12n b b b ++⋅⋅⋅+ =(01112121-++)+(12112121-++)+…+(1112121n n --++)=011112121212212(21)n n n n --=-=++++ 【点睛】关键点点睛:此题等比数列的基本量计算,考查裂项相消求和法,解题的关键是把n b 化为()()1111211(1)12121(21)21n n n n n n n n n a b a a ---+===-++++++,再利用裂项相消法求解即可,考查计算能力,属于中档题23.(1)答案见解析;(2)3m ≥或1m ≤-. 【分析】(1)若选①,利用等差数列的通项公式以及2d ≥,d *∈N 可解得结果;若选②,根据等差数列的求和公式以及2d ≥,d *∈N 可解得结果;若选③,根据1(2)n n n a S S n -=-≥可求得结果;(2)利用()()21121212121n b n n n n ==--+-+裂项求和得到11121n T n =-<+,将不等式恒成立化为2212m m --≥,解得结果即可. 【详解】(1)由等差数列{}n a 各项均为正整数,且公差1d >,知2d ≥,d *∈N , 若选①,由4516a a +=得12716a d +=,由2d ≥,d *∈N ,得11a =,2d =,∴21n a n =-. 若选②,由39S =得1339a d +=,13a d +=, 由2d ≥,d *∈N ,得11a =,2d =,∴21n a n =-.若选③,由2n S n r =+得()()2112n S n r n -=-+≥,∴()()2211212n n n a S S n r n r n n -=-=+---=-≥,∴23a =,35a =,又因为{}n a 是等差数列,∴2d =,11a =,∴21n a n =-. (2)由(1)知21n a n =-,()()21121212121n b n n n n ==--+-+, 所以11111111335572121n T n n =-+-+-++--+1121n =-+,∴11121n T n =-<+, 因为2221n T m m <--恒成立,∴2212m m --≥,解得3m ≥或1m ≤-.【点睛】结论点睛:本题考查不等式的恒成立与有解问题,可按如下规则转化:①若()k f x ≥在[,]a b 上恒成立,则max ()k f x ≥; ②若()k f x ≤在[,]a b 上恒成立,则min ()k f x ≤; ③若()k f x ≥在[,]a b 上有解,则min ()k f x ≥; ④若()k f x ≤在[,]a b 上有解,则max ()k f x ≤;24.(1)28n a n =-+;(2)当3n =或4时,n S 最大,最大值为12. 【分析】(1)本题首先可设公差为d ,然后根据162a a +=得出1252a d +=,根据40a =得出130a d +=,最后通过计算即可求出d 、1a 的值以及数列{}n a 的通项公式;(2)本题首先可根据0d <得出数列{}n a 是递减数列,然后根据当4n >时0n a <以及当04n <<时0n a >即可求出n S 的最大值.【详解】(1)设等差数列{}n a 的公差为d , 因为162a a +=,所以1252a d +=, 因为40a =,所以130a d +=,联立1125230a d a d +=⎧⎨+=⎩,解得2d =-,16a =,故62128na n n .(2)因为数列{}n a 是等差数列,20d =-<, 所以数列{}n a 是递减数列,因为40a =,当4n >时,0n a <;当04n <<时,0n a >, 所以当3n =或4时,n S 取最大值,()()34441462122S S ⨯-==⨯+⨯-=.【点睛】方法点睛:求数列通项公式的常见方法有:公式法、n S 与n a 关系法、累加法、累乘法、构造法,考查计算能力,是中档题.25.(1)21nn b =-;(2)证明见解析.【分析】(1)由题可知数列{}n a 为等比数列,公比2q,进一步求出n a 的通项公式,所以112n n n b b ---=,利用累加法求出数列{}n b 的通项公式;(2)利用111212n n -<-对数列进行放缩 ,化简求出答案. 【详解】(1)12n na a +=,所以数列{}n a 为等比数列,公比2112,12q a q a q =+=,所以12a =,2n n a ∴=所以11211211222,22222n n n n n n b b b b b b ----=⋯-==-=+++=-21n n b ∴=-(2)证明:222112111111114111112121322322n n n n b b b --⎛⎫⎛⎫+++=+++<++++=+- ⎪ ⎪ ⎪--⎝⎭⎝⎭111111626n -⎛⎫=-<⎪⎝⎭【点睛】放缩法的注意事项: (1)放缩的方向要一致。
数列综合测试题含标准答案A. 24B. 25数列综合测试题第I 卷(选择题共60分)一、选择题(本大题共12个小题,每小题5分,共60分,在每小题给出的四个选项中,只有一项是符号题目要求的。
)S 3 O P1. 已知等差数列{a n }的前n 项和为S,且满足---=1,则数列{a n }的公差是()B. 1C. 2D. 32. 设等比数列{a n }的前n 项和为S,若8a 2 + a s = 0,则下列式子中数值不能确定的是()3.(理)已知数列{a n }满足 log3a n +1 = log 3a n + 1(n € N )且a ?+ ◎+ a 6=9,则+ a 9)的值是()1A. — 5B. — ~5C. 5A 7n + 45a n4.已知两个等差数列{ a n }和{b n }的前n 项和分别为 A 和B,且B= n + 3,则使得为正偶数时,n 的值可以是()A. 1B. 2C. 5D. 3 或 115.已知a >0, b >0, A 为a , b 的等差中项,正数 G 为a , b 的等比中项,贝U ab 与AG 的大小关系是()A. ab = AGB. ab > AGC. ab w AGD.不能确定1a 3 + a 46.各项都是正数的等比数列{a n }的公比q z 1,且a p , &, a 成等差数列,则的2a 4 + a 5值为()1log 3( a s +/5 -127.数列{a n}的通项公式为a n= 2n—49,当该数列的前n项和S达到最小时,n等于()A. 24B. 25C. 26D. 27& 数列{a n}是等差数列,公差d M 0,且a2046 + a1978 —a2012= 0, { b n}是等比数列,且b2012 =a2012, 贝U b2010 ? b2014 =( )A. 0B. 1C. 4D. 89. 已知各项均为正数的等比数列{a n}的首项a1= 3,前二项的和为则a3 + a4+ a5 =21,( )A. 33B. 72C. 84D. 18910 .已知等差数列{a n}的前n项和为S,若a1 =1, S3= a5, a m= 2011 , 则m=( )A. 1004B. 1005C. 1006D. 100711 .设{a n}是由正数组成的等差数列,{b n}是由正数组成的等比数列,a1 = b, a2003 且=b2003 , 则()A. a1002> b1002B. a1002 = bl002C. a1002》b1002D. a1002 bl00212.已知数列{a n}的通项公式为a n= 6n—4,数列{t n}的通项公式为b n= 2n,则在数列{a n}的前100项中与数列{b n}中相同的项有()A. 50 项B. 34 项C. 6项D. 5项第n卷(非选择题共90分)二、填空题(本大题共4个小题,每小题4分,共16分,把正确答案填在题中横线上)113.已知数列{a n}满足:a n+1= 1 ——,a1= 2,记数列{a n}的前n项之积为P n,贝U F2ou =a n14.秋末冬初,流感盛行,荆门市某医院近30天每天入院治疗流感的人数依次构成数列{a n},已知a1= 1, a2= 2,且a n+ 2—a n= 1 + (—1)" (n€ N),则该医院30天入院治疗流感的人数共有 ______ 人.15._____________________________________________________________ _____ 已知等比数列{a n}中,各项都是正数,且a1,妇3,2a2成等差数列,则牛空= ___________________ .2 a1 + a816.在如图的表格中,每格填上一个数字后,使每一横行成等差数列,每一纵列成等比数列,且从上到下所有公比相等,则a+ b+ c的值为__________ .三、解答题(本大题共6个小题,共74分,解答应写出文字说明,证明过程或演算步骤)17.设数列{a n }的前n 项和为S n =2n1 2 3, {5}为等比数列,且 a i =b i , b 2(a 2 — a i ) = b i 。
高三数列专题训练二一、解答题1.在公差不为零的等差数列{}n a 中,已知23a =,且137a a a 、、成等比数列. (1)求数列{}n a 的通项公式;(2)设数列{}n a 的前n 项和为n S ,记292n nb S =,求数列{}n b 的前n 项和n T . 2.已知等差数列{}n a 的前n 项和为n S ,公差,50,053=+≠S S d 且1341,,a a a 成等比数列.(Ⅰ)求数列{}n a 的通项公式;(Ⅱ)设⎭⎬⎫⎩⎨⎧n n a b 是首项为1,公比为3的等比数列,求数列{}n b 的前n 项和n T .3.设等比数列{}n a 的前n 项和为n S ,218a =,且1116S +,2S ,3S 成等差数列,数列{}n b 满足2n b n =. (1)求数列{}n a 的通项公式;(2)设n n n c a b =⋅,若对任意*n N ∈,不等式121212n n c c c S λ+++≥+-…恒成立,求λ的取值范围.4.已知等差数列{n a }的公差2d =,其前n 项和为n S ,且等比数列{n b }满足11b a =,24b a =,313b a =.(Ⅰ)求数列{n a }的通项公式和数列{n b }的前n 项和n B ; (Ⅱ)记数列{1nS }的前n 项和为n T ,求n T . 5.设数列{}n a 的前n 项和为n S ,且满足()21,2,3,n n S a n =-=.(1)求数列{}n a 的通项公式;(2)若数列{}n b 满足11b =,且1n n n b b a +=+,求数列{}n b 的通项公式; (3)设()3n n c n b =-,求数列{}n c 的前n 项和n T .6.已知差数列等{}n a 的前n 项和n S ,且对于任意的正整数n满足1n a =+.(1)求数列{}n a 的通项公式;(2)设11n n n b a a +=, 求数列{}n b 的前n 项和n B .7.对于数列}{n a 、}{n b ,n S 为数列}{n a 的前n 项和,且n a S n S n n n ++=+-+)1(1,111==b a ,231+=+n n b b ,*∈N n .(1)求数列}{n a 、}{n b 的通项公式; (2)令)1()(2++=n n n b n n a c ,求数列}{n c 的前n 项和n T .8.已知{}n a 是各项均为正数的等比数列,且1212112()a a a a +=+, 34534511164()a a a a a a ++=++. (1)求{}n a 的通项公式; (2)设21()n n nb a a =+,求数列{}n b 的前n 项和n T . 9.已知数列{}n a 的首项11a =,前n 项和为nS ,且1210n n S S n +---=(*n ∈N ).(Ⅰ) 求证:数列{1}n a +为等比数列; (Ⅱ) 令n n b na =,求数列{}n b 的前n 项和n T . 10.已知各项都为正数的等比数列{}n a 满足312a 是13a 与22a 的等差中项,且123a a a =. (Ⅰ)求数列{}n a 的通项公式;(Ⅱ)设3log n n b a =,且n S 为数列{}n b 的前n 项和,求数列12{}nnS S +的前n 项和n T . 11.已知数列{}n a 的前n 项和为n S ,2121,2n n n a S a a ==+.(1)求数列{}n a 的通项公式;(2)若2n an b =,求13521...n b b b b +++++.12.设公差不为0的等差数列{}n a 的首项为1,且2514,,a a a 构成等比数列.(1)求数列{}n a 的通项公式; (2)若数列{}n b 满足*121211,2n n n b b b n N a a a +++=-∈,求{}n b 的前n 项和n T . 13.已知数列{}n a 是等比数列,满足143,24a a ==,数列{}n b 满足144,22b b ==,且{}n n b a -是等差数列.(I )求数列{}n a 和{}n b 的通项公式; (II )求数列{}n b 的前n 项和。
数列大题综合练习(含答案)1、在数列{an}中,a1=1,an+1=2an+2n。
1)设bn=an,证明数列{bn}为等差数列;2)求数列{an}的前n项和Sn。
2、已知数列{an}中,a1=11,且an-an+1=22an+1。
1)求数列{an}的通项公式;2)数列{bn}满足:b1=2,bn+1-2bn=22n+1,且{bn}是等差数列,求数列{bn}的通项公式及前n项和Sn。
3、已知数列{an}的前n项和为Sn,an=2,{bn}为首项是3的等差数列,且b3Sn/5=434。
1)求{bn}的通项公式;2)设{bn}的前n项和为Tn,求XXX的值。
4、设Sn是数列{an}的前n项和,点P(an,Sn)在直线y=2x-2上,(n∈N)1)求数列{an}的通项公式;2)记bn=2(1-1/n),求数列{bn}的前n项和XXX。
5、已知数列{an}满足a1=1,a2=2,an+2=an+an+1/2,n∈N1)令bn=an+1-an,证明{bn}是等比数列;2)求数列{an}的通项公式。
6、数列{an}的前n项和Sn满足:Sn=2an-3n,(n∈N)1)求数列{an}的通项公式an;2)令bn=31/n,数列{bn}的前n项和为Tn,求证:Tn<Sn+3n+92.7、正项数列{an}满足f(an)=an2,(1)求证{an}是等差数列;(2)若bn=an,求数列{bn}的前n项和为Tn。
8、已知数列{an}的前n项和为Sn,a1=1,数列各项均不为0,点Pn(an,Sn)在函数f(x)=x2+x上的图象上。
1)求数列{an}的通项an及前n项和Sn;2)求证:Pn+1≤Pn。
n1 an 1anan 1数列 an是等差数列。
2)bn3n an3n(n 121232 n 21 2 n 3n S n1 2 n 21 2 n 32n12n23n2)12n12n1)(n2) 12n12n232n 11.当$n=1$时,$a_1=S_1=1$,所以数列$\{a_n\}$是首项为1,公差为2的等差数列。
数列综合练习题在数学中,数列是指按照一定规律排列的一系列数字。
数列综合则是指求解数列中所有数值的和。
本文将为大家提供一些数列综合的练习题,通过解题来提升对数列综合的理解和应用能力。
1. 求解等差数列的综合等差数列是指数列中的每一项与其前一项的差都相等。
例如,1, 3, 5, 7, 9就是一个公差为2的等差数列。
题目一:求解等差数列1, 3, 5, 7, 9的前10项的和。
解析:该等差数列的首项a为1,公差d为2,前10项的和可以通过等差数列求和公式进行计算:S = (2a + (n - 1)d) * n / 2代入a = 1, d = 2, n = 10得到:S = (2 * 1 + (10 - 1) * 2) * 10 / 2 = 100所以,等差数列1, 3, 5, 7, 9的前10项的和为100。
题目二:已知等差数列的首项为-3,公差为4,求该等差数列的前15项的和。
解析:根据题目中的条件,可以使用等差数列求和公式来解题:S = (2a + (n - 1)d) * n / 2代入a = -3, d = 4, n = 15得到:S = (2 * (-3) + (15 - 1) * 4) * 15 / 2 = 195所以,该等差数列的前15项的和为195。
2. 求解等比数列的综合等比数列是指数列中的每一项与其前一项的比值都相等。
例如,1, 2, 4, 8, 16就是一个公比为2的等比数列。
题目三:求解等比数列1, 2, 4, 8, 16的前5项的和。
解析:等比数列的首项a为1,公比r为2,前5项的和可以通过等比数列求和公式进行计算:S = a * (1 - r^n) / (1 - r)代入a = 1, r = 2, n = 5得到:S = 1 * (1 - 2^5) / (1 - 2) = 31所以,等比数列1, 2, 4, 8, 16的前5项的和为31。
题目四:已知等比数列的首项为3,公比为0.5,求该等比数列的前8项的和。
数列复习题一、选择题1、若数列{a n }的通项公式是an =2(n+1)+3,则此数列 ( )(A )是公差为2的等差数列 (B )是公差为3的等差数列 (C ) 是公差为5的等差数列 (D )不是等差数列2、等差数列{a n }中,a1=3,a100=36,则a 3+a98等于 ( )(A)36 (B )38 (C)39 (D)423、含2n+1个项的等差数列,其奇数项的和与偶数项的和之比为 ( )(A )n n 12+ (B)n n 1+ (C)n n 1- (D)nn 21+4、设等差数列的首项为a ,公差为d ,则它含负数项且只有有限个负数项的条件是 ( )(A )a 〉0,d>0 (B )a >0,d <0 (C)a 〈0,d 〉0 (D)a 〈0,d 〈05、在等差数列{an }中,公差为d,已知S10=4S5,则da 1是 ( ) (A)21 (B )2 (C )41 (D )46、设{an }是公差为—2的等差数列,如果a 1+ a 4+ a 7+……+ a 97=50,则a3+ a 6+ a 9……+ a99= ( )(A)182 (B )-80 (C )-82 (D)—847、等差数列{a n } 中,S 15=90,则a 8= ( )(A)3 (B )4 (C)6 (D )128、等差数列{a n }中,前三项依次为xx x 1,65,11+,则a101= ( )(A)3150 (B )3213 (C )24(D )3289、数列{an }的通项公式nn a n ++=11,已知它的前n项和为S n=9,则项数n= ( )(A )9 (B)10 (C)99 (D)10010、等差数列{a n}中,a 3+ a 4+ a 5+ a 6+ a7=450,求a 2+a 8= ( )(A)45 (B )75 (C)180 (D)30011、已知{a n }是等差数列,且a2+ a3+ a 8+ a 11=48,则a 6+ a 7= ( )(A)12 (B )16 (C)20 (D )2412、在项数为2n +1的等差数列中,若所有奇数项的和为165,所有偶数项的和为150,则n等于 ( )(A)9 (B )10 (C)11 (D )1213、等差数列{a n } 的前m 项和为30,前2m 项和为100,则它的前3m 项和为( )(A )130 (B)170 (C )210 (D )16014、等差数列{a n }的公差为21,且S 100=145,则奇数项的和a1+a 3+a 5+……+ a99=( )(A )60 (B)80 (C )72.5 (D)其它的值15、等差数列{an }中,a 1+a 2+……a 10=15,a 11+a 12+……a 20=20,则a21+a 22+……a 30=( )(A)15 (B )25 (C)35 (D )4516、等差数列{a n }中,a 1=3,a 100=36,则a3+a 98= ( )(A)36 (B)39 (C)42 (D)4517、{a n }是公差为2的等差数列,a 1+a 4+a 7+……+a97=50,则a 3+a 6+……+ a 99= ( )(A)—50 (B )50 (C)16 (D)1.8218、若等差数列{a n }中,S17=102,则a 9= ( )(A )3 (B )4 (C )5 (D)6 19、夏季高山上温度从山脚起每升高100米,降低0。
7℃,已知山顶的温度是14。
1℃,山脚的温度是26℃,则山的相对高度是 ( )(A)1500 (B )1600 (C)1700 (D)180020、若x ≠y ,且两个数列:x,a1,a2,y ﻩ和x,b1,b 2,b3,y 各成等差数列,那么=--31b y xa ( )(A )43 (B)34 (C )32(D)值不确定21、一个等差数列共有2n项,奇数项的和与偶数项的和分别为24和30,且末项比首项大10。
5,则该数列的项数是 ( )(A )4 (B )8 (C)12 (D )2022、等差数列{a n}中如果a 6=6,a 9=9,那么a3= ( )(A )3 (B )32 (C)916(D)423、设{a n }是等比数列,且a1=32,S 3=916,则它的通项公式为a n =( )(A)1216-⎪⎭⎫ ⎝⎛•n (B)n ⎪⎭⎫ ⎝⎛-•216 (C )1216-⎪⎭⎫⎝⎛-•n (D)1216-⎪⎭⎫⎝⎛-•n 或23 24、已知a 、b 、c 、d是公比为2的等比数列,则dc ba ++22=( )(A)1 (B)21 (C)41(D)8125、已知等比数列{a n } 的公比为q,若21+n a =m (n 为奇数),则213+n a =( )(A)m qn -1 (B) mq n (C ) m q (D)8126、已知等比数列前10项的和为10,前20项的和为30,那么前30项的和为( )(A)60 (B )70 (C)90 (D )12627、若{a n}是等比数列,已知a4 a 7=-512,a2+a9=254,且公比为整数,则数列的a 12是 ( )(A )-2048 (B)1024 (C )512 (D)-51228、数列{a n }、{b n }都是等差数列,它们的前n 项的和为1213-+=n n T S n n ,则这两个数列的第5项的比为 ( )(A)2949 (B )1934 (C)1728 (D )以上结论都不对29、已知cbb a ac lglg 4lg 2•=,则a ,b , c ( )(A )成等差数列 (B)成等比数列 (C )既成等差数列又成等比数列 (D )既不成等差数列又不成等比数列30、若a+b+c,b+c -a ,c +a—b ,a+b-c 成等比数列,且公比为q ,则q 3+q 2+q的值为 ( )(A )1 (B)-1 (C )0 (D )231、若一等差数列前四项的和为124,后四项的和为156,又各项的和为350,则此数列共有 ( )(A )10项 (B)11项 (C )12项 (D)13项 32、在3和9之间插入两个正数,使前三个数成等比数列,后三个数成等差数列,则二数之和为 ( )(A )2113 (B )04111或 (C)2110(D )219 33、数列1,211+,3211++,……,n +⋅⋅⋅++211的前n 项和为 ( )(A) n n 12+ (B )122+n n (C )12++n n (D )12+n n34、设数列{a n }各项均为正值,且前n 项和S n =21(a n+n a 1),则此数列的通项an应为( )(A ) a n=n n -+1 (B) a n =1--n n(C ) a n =12+-+n n (D) a n=12-n35、数列{an }为等比数列,若a 1+ a 8=387,a 4 a 5=1152,则此数列的通项an 的表达式为 ( )(A ) a n =3×2n -1(B ) a n =384×(21)n —1(C ) an =3×2n -1或a n =384×(21)n —1 (D ) an =3×(21)n -136、已知等差数{a n }中,a3+ a 4+ a 5+ a6+ a 7=450,则a 1+ a 9= ( )(A)45 (B)75 (C )180 (D)30037、已知等比数列{a n }中,an >0,公比q ≠1,则 ( )(A )26242723a a a a +〉+ (B)26242723a a a a +〈+(C )26242723a a a a +=+ (D )的大小不确定与26242723a a a a ++ 38、在等比数列中,首项89,末项31,公比32,求项数 ( )(A )3 (B)4 (C)5 (D)6 39、等比数列{an }中,公比为2,前四项和等于1,则前8项和等于 ( )(A)15 (B)17 (C)19 (D)2140、某厂产量第二年增长率为p ,第三年增长率为q ,第四年增长率为r,设这三年增长率为x,则有 ( )(A )3r q p x ++= (B)3rq p x ++<(C)3r q p x ++≤ (D)3rq p x ++≥二、填空题1、已知等差数列公差d 〉0,a3a7=-12,a 4+a 6=-4,则S 20=_______2、数列{a n}中,若a 1,a 2,a3成等差数列,a 2,a 3,a4成等比数列,a3,a 4,a 5的倒数又成等差数列,则a 1,a 3,a 5成_______数列3、已知{a n}为等差数列,a1=1,S10=100,a n =_______.令a n =l og 2b n ,则的前五项之和 S 5′=_______4、已知数列 )2)(1(1,,201,121,61++n n 则其前n 项和S n =________. 5、数列前n 项和为S n =n2+3n ,则其通项an 等于____________.6、等差数列{a n }中, 前4项和为26, 后4项之和为110, 且n 项和为187, 则n 的值为____________。
7、已知等差数列{a n }的公差d ≠0, 且a 1,a 3,a 9成等比数列,1042931a a a a a a ++++的值是________.8、等差数列{an }中, S 6=28, S 10=36(S n为前n 项和), 则S 15等于________.9、等比数列{a n }中, 公比为2, 前99项之和为56, 则a3+a 6+a 9+…a 99等于________。
10、等差数列{a n}中, a 1=1,a10=100,若存在数列{b n }, 且a n=log 2b n ,则b1+b2+b 3+b 4+b 5等于____________.11、已知数列1, ,3,2,1nn n n n n --- , 前n 项的和为____________.12、已知{an }是等差数列,且有a 2+a 3+a 10+a 11=48, 则a 6+a 7=____________.13、等比数列{a n }中, a 1+a 2+a 3+a 4=80, a 5+a6a 7+a 8=6480, 则a 1必为________.14、三个数a 1、1、c 1成等差数列,而三个数a 2、1、c 2成等比数列, 则22c a ca ++等于____________。
15、已知12, lgy 成等比数列, 且x >1,y>1, 则x 、y 的最小值为________. 16、在数列{a n }中, 5221-=+n nn a a a , 已知{a n}既是等差数列, 又是等比数列,则{a n }的前20项的和为________. 17、若数列{a n }, )1)(2(1,3211+++==+n n a a a n n 且 (n ∈N ), 则通项a n =________.18、已知数列{a n }中, n n a a a )12(,22314-=-=+(n ≥1), 则这个数列的通项公式a n=________。