经济数学基础12练习题(含答案)
- 格式:doc
- 大小:479.00 KB
- 文档页数:5
《经济数学基础12》综合练习及参考答案第一部分 微分学一、单项选择题1.函数()1lg +=x xy 的定义域是( ).A .1->xB .0≠xC .0>xD .1->x 且0≠x2.若函数)(x f 的定义域是[0,1],则函数)2(x f 的定义域是( ).A .1],0[B .)1,(-∞C .]0,(-∞D )0,(-∞ 3.下列各函数对中,()中的两个函数相等.A .2)()(x x f =,x x g =)( B .11)(2--=x x x f ,x x g =)(+ 1C .2ln x y =,x x g ln 2)(=D .x x x f 22cos sin )(+=,1)(=x g4.设11)(+=xx f ,则))((x f f =( ).A .11++x xB .x x +1C .111++xD .x+11 5.下列函数中为奇函数的是( ).A .x x y -=2B .x x y -+=e eC .11ln+-=x x y D .x x y sin = 6.下列函数中,()不是基本初等函数.A .102=y B .xy )21(= C .)1ln(-=x y D .31xy = 7.下列结论中,( )是正确的. A .基本初等函数都是单调函数 B .偶函数的图形关于坐标原点对称 C .奇函数的图形关于坐标原点对称 D .周期函数都是有界函数8. 当x →0时,下列变量中( )是无穷大量.A .001.0x B . x x 21+ C . x D . x-29. 已知1tan )(-=xxx f ,当( )时,)(x f 为无穷小量. A . x →0 B . 1→x C . -∞→x D . +∞→x10.函数sin ,0(),0xx f x x k x ⎧≠⎪=⎨⎪=⎩ 在x = 0处连续,则k = ( ).A .-2B .-1C .1D .211. 函数⎩⎨⎧<-≥=0,10,1)(x x x f 在x = 0处( ).A . 左连续B . 右连续C . 连续D . 左右皆不连续 12.曲线11+=x y 在点(0, 1)处的切线斜率为( ).A .21-B .21C .3)1(21+x D .3)1(21+-x13. 曲线y = sin x 在点(0, 0)处的切线方程为( ). A . y = x B . y = 2x C . y = 21x D . y = -x 14.若函数x xf =)1(,则)(x f '=( ).A .21x B .-21x C .x 1 D .-x 115.若x x x f cos )(=,则='')(x f ( ).A .x x x sin cos +B .x x x sin cos -C .x x x cos sin 2+D .x x x cos sin 2-- 16.下列函数在指定区间(,)-∞+∞上单调增加的是( ).A .sin xB .e xC .x 2D .3 - x 17.下列结论正确的有( ).A .x 0是f (x )的极值点,且f '(x 0)存在,则必有f '(x 0) = 0B .x 0是f (x )的极值点,则x 0必是f (x )的驻点C .若f '(x 0) = 0,则x 0必是f (x )的极值点D .使)(x f '不存在的点x 0,一定是f (x )的极值点18. 设需求量q 对价格p 的函数为p p q 23)(-=,则需求弹性为E p =( ).A .p p32- B .--pp32 C .32-ppD .--32pp二、填空题1.函数⎩⎨⎧<≤-<≤-+=20,105,2)(2x x x x x f 的定义域是. 2.函数x x x f --+=21)5ln()(的定义域是.3.若函数52)1(2-+=+x x x f ,则=)(x f. 4.设函数1)(2-=u u f ,xx u 1)(=,则=))2((u f.5.设21010)(xx x f -+=,则函数的图形关于对称.6.已知生产某种产品的成本函数为C (q ) = 80 + 2q ,则当产量q = 50时,该产品的平均成本为 .7.已知某商品的需求函数为q = 180 – 4p ,其中p 为该商品的价格,则该商品的收入函数R (q ) = .8. =+∞→xxx x sin lim.9.已知xxx f sin 1)(-=,当 时,)(x f 为无穷小量.10. 已知⎪⎩⎪⎨⎧=≠--=1111)(2x a x x x x f ,若f x ()在),(∞+-∞内连续,则=a .11. 函数1()1exf x =-的间断点是 . 12.函数)2)(1(1)(-+=x x x f 的连续区间是 .13.曲线y 在点)1,1(处的切线斜率是.14.函数y = x 2 + 1的单调增加区间为.15.已知x x f 2ln )(=,则])2(['f = . 16.函数y x =-312()的驻点是 . 17.需求量q 对价格p 的函数为2e 100)(p p q -⨯=,则需求弹性为E p =.18.已知需求函数为p q 32320-=,其中p 为价格,则需求弹性E p = .三、计算题1.423lim 222-+-→x x x x 2.231lim 21+--→x x x x 3.0x → 4.2343lim sin(3)x x x x →-+-5.113lim21-+--→x xx x 6.2)1tan(lim 21-+-→x x x x ; 7. ))32)(1()23()21(lim 625--++-∞→x x x x x x 8.20sin e lim()1x x x x x →++ 9.已知y xx x--=1cos 2,求)(x y ' .10.已知)(x f xx x x+-+=11ln sin 2,求)(x f ' .11.已知2cos ln x y =,求)4(πy ';12.已知y =32ln 1x +,求d y . 13.设 y x x x x ln +=,求d y .14.设x x y 22e 2cos -+=,求y d . 15.由方程2e e )1ln(=++xy x y 确定y 是x 的隐函数,求)(x y '.16.由方程0e sin =+yx y 确定y 是x 的隐函数,求)(x y '.17.设函数)(x y y =由方程y x y e 1+=确定,求0d d =x x y.18.由方程x y x y=++e )cos(确定y 是x 的隐函数,求y d .四、应用题1.设生产某种产品x 个单位时的成本函数为:x x x C 625.0100)(2++=(万元), 求:(1)当10=x 时的总成本、平均成本和边际成本; (2)当产量x 为多少时,平均成本最小?2.某厂生产一批产品,其固定成本为2000元,每生产一吨产品的成本为60元,对这种产品的市场需求规律为q p =-100010(q 为需求量,p 为价格).试求:(1)成本函数,收入函数; (2)产量为多少吨时利润最大?3.设某工厂生产某产品的固定成本为50000元,每生产一个单位产品,成本增加100元.又已知需求函数p q 42000-=,其中p 为价格,q 为产量,这种产品在市场上是畅销的,问价格为多少时利润最大?并求最大利润.4.某厂生产某种产品q 件时的总成本函数为C (q ) = 20+4q +0.01q 2(元),单位销售价格为p = 14-0.01q (元/件),问产量为多少时可使利润达到最大?最大利润是多少.5.某厂每天生产某种产品q 件的成本函数为9800365.0)(2++=q q q C (元).为使平均成本最低,每天产量应为多少?此时,每件产品平均成本为多少?6.已知某厂生产q 件产品的成本为C q q q ()=++25020102(万元).问:要使平均成本最少,应生产多少件产品?试题答案一、 单项选择题1.D 2.C 3.D 4.A 5.C 6.C 7.C 8. B 9. A 10. C 11. B 12.A 13. A 14. B 15. D 16. B 17. A 18. B 二、填空题1.[-5,2]2. (-5, 2 )3. 62-x 4.43-5. y 轴6.3.67. 45q – 0.25q 28. 19. 0→x 10. 2 11.0x = 12.)1,(--∞,)2,1(-,),2(∞+ 13.(1)0.5y '= 14.(0, +∞) 15. 0 16.x =1 17.2p - 18. 10-p p三、极限与微分计算题1.解 423lim 222-+-→x x x x =)2)(2()1)(2(lim 2+---→x x x x x = )2(1lim 2+-→x x x = 412.解:231lim21+--→x x x x =)1)(2)(1(1lim1+---→x x x x x =21)1)(2(1lim1-=+-→x x x3.解0l i x →=x →=xxx x x 2sin lim )11(lim 00→→++=2⨯2 = 44.解 2343lim sin(3)x x x x →-+-=3(3)(1)lim sin(3)x x x x →---= 333lim lim(1)sin(3)x x x x x →→-⨯--= 25.解 )13)(1()13)(13(lim 113lim2121x x x x x x x x x x x x ++--++-+--=-+--→→ )13)(1()1(2lim )13)(1())1(3(lim 2121x x x x x x x x x x x ++----=++--+--=→→ )13)(1(2lim 1x x x x ++-+-=→221-=6.解 )1)(2()1tan(lim 2)1tan(lim 121-+-=-+-→→x x x x x x x x1)1tan(lim 21lim 11--⋅+=→→x x x x x 31131=⨯=7.解:))32)(1()23()21(lim 625--++-∞→x x x x x x =))32)(11()213()21(lim 625xx x x x x --++-∞→ =2323)2(65-=⨯-8.解 20s i n e l i m ()1x x x x x →++=000sin e lim limsin lim 1xx x x x x x x →→→++ =0+ 1 = 19.解 y '(x )=)1cos 2('--x x x=2)1(cos )1(sin )1(2ln 2x x x x x ------ =2)1(sin )1(cos 2ln 2x xx x x----10.解 因为)1ln()1ln(sin 2)(x x x x f x +--+= 所以 x x x x x f xx+---+⋅='1111cos 2sin 2ln 2)( 212]cos sin 2[ln 2xx x x --+⋅= 11.解 因为 2222tan 22)sin (cos 1)cos (ln x x x x xx y -=-='=' 所以 )4(πy '=ππππ-=⨯-=-1)4tan(42212.解 因为 )ln 1()ln 1(312322'++='-x x y=x x x ln 2)ln 1(31322-+ =x x x ln )ln 1(32322-+所以 x x x xy d ln )ln 1(32d 322-+=13.解 因为 y x x ln 47+=xx y 14743-='所以 d y = (xx 14743-)d x14.解:因为 xx x y 222e 2)2(2s i n --'-='x x x 22e 22s i n ---=所以 y d x x x xd )e 22s i n (22---=15.解 在方程等号两边对x 求导,得 )e ()e (])1ln([2'='+'+xyx y 0)(e 1)1ln(='+++++'y x y xyx y xy xy xyy xyy x x e 1]e )1[ln(-+-='++ 故 ]e )1)[ln(1(e )1(xy xyx x x y x y y +++++-='16.解 对方程两边同时求导,得 0e e cos ='++'y x y y yyyyy x y e )e (cos -='+)(x y '=yyx y ecos e +-. 17.解:方程两边对x 求导,得 y x y y y '+='e e yy x y e 1e -='当0=x 时,1=y所以,d d =x xye e01e 11=⨯-=18.解 在方程等号两边对x 求导,得 )()e (])[cos('='+'+x y x y1e ]1)[sin(='+'++-y y y x y )sin(1)]sin(e [y x y y x y ++='+- )sin(e )sin(1y x y x y y +-++='故 x y x y x y yd )sin(e )sin(1d +-++=四、应用题1.解(1)因为总成本、平均成本和边际成本分别为:x x x C 625.0100)(2++=625.0100)(++=x xx C ,65.0)(+='x x C所以,1851061025.0100)10(2=⨯+⨯+=C5.1861025.010100)10(=+⨯+=C , 116105.0)10(=+⨯='C(2)令 025.0100)(2=+-='xx C ,得20=x (20-=x 舍去)因为20=x 是其在定义域内唯一驻点,且该问题确实存在最小值,所以当=x 20时,平均成本最小.2.解 (1)成本函数C q ()= 60q +2000.因为 q p =-100010,即p q =-100110, 所以 收入函数R q ()=p ⨯q =(100110-q )q =1001102q q -. (2)因为利润函数L q ()=R q ()-C q () =1001102q q --(60q +2000) = 40q -1102q -2000 且 'L q ()=(40q -1102q -2000')=40- 0.2q 令'L q ()= 0,即40- 0.2q = 0,得q = 200,它是L q ()在其定义域内的唯一驻点. 所以,q = 200是利润函数L q ()的最大值点,即当产量为200吨时利润最大.3.解 C (p ) = 50000+100q = 50000+100(2000-4p ) =250000-400pR (p ) =pq = p (2000-4p )= 2000p -4p 2 利润函数L (p ) = R (p ) - C (p ) =2400p -4p 2 -250000,且令 )(p L '=2400 – 8p = 0得p =300,该问题确实存在最大值. 所以,当价格为p =300元时,利润最大. 最大利润 1100025000030043002400)300(2=-⨯-⨯=L (元). 4.解 由已知201.014)01.014(q q q q qp R -=-==利润函数22202.0201001.042001.014q q q q q q C R L --=----=-=则q L 04.010-=',令004.010=-='q L ,解出唯一驻点250=q . 因为利润函数存在着最大值,所以当产量为250件时可使利润达到最大, 且最大利润为1230125020250025002.02025010)250(2=--=⨯--⨯=L (元) 5. 解 因为 C q ()=C q q ()=05369800.q q++ (q >0) q ()=(.)05369800q q ++'=0598002.-q令'C q ()=0,即0598002.-q =0,得q 1=140,q 2= -140(舍去). q 1=140是C q ()在其定义域内的唯一驻点,且该问题确实存在最小值.所以q 1=140是平均成本函数C q ()的最小值点,即为使平均成本最低,每天产量应为140件. 此时的平均成本为C ()140=0514*******140.⨯++=176 (元/件)6.解 (1) 因为 C q ()=C q q ()=2502010q q++'C q ()=()2502010q q ++'=-+2501102q 令'C q ()=0,即-+=25011002q ,得q 1=50,q 2=-50(舍去),q 1=50是C q ()在其定义域内的唯一驻点.所以,q 1=50是C q ()的最小值点,即要使平均成本最少,应生产50件产品.。
经济数学基础形成性考核册及参考答案作业 (一)(一)填空题 1.___________________sin lim=-→xxx x .答案:0 2.设 ⎝⎛=≠+=0,0,1)(2x k x x x f ,在0=x 处连续,则________=k .答案:1 3.曲线x y =在)1,1(的切线方程是 .答案:2121+=x y 4.设函数52)1(2++=+x x x f ,则____________)(='x f .答案:x 2 5.设x x x f sin )(=,则__________)2π(=''f .答案:2π- (二)单项选择题 1. 函数212-+-=x x x y 的连续区间是( )答案:D A .),1()1,(+∞⋃-∞ B .),2()2,(+∞-⋃--∞C .),1()1,2()2,(+∞⋃-⋃--∞D .),2()2,(+∞-⋃--∞或),1()1,(+∞⋃-∞ 2. 下列极限计算正确的是( )答案:B A.1lim=→xx x B.1lim 0=+→xx xC.11sinlim 0=→x x x D.1sin lim =∞→xx x3. 设,则( ).答案:BA .B .C .D .4. 若函数f (x )在点x 0处可导,则( )是错误的.答案:BA .函数f (x )在点x 0处有定义B .A x f x x =→)(lim 0,但)(0x f A ≠C .函数f (x )在点x 0处连续D .函数f (x )在点x 0处可微5.当0→x 时,下列变量是无穷小量的是( ). 答案:C A .x2 B .xxsin C .)1ln(x + D .x cos (三)解答题 1.计算极限(1)21123lim221-=-+-→x x x x (2)218665lim 222=+-+-→x x x x x(3)2111lim0-=--→x x x (4)3142353lim 22=+++-∞→x x x x x (5)535sin 3sin lim 0=→x x x (6)4)2sin(4lim22=--→x x x 2.设函数⎪⎪⎩⎪⎪⎨⎧>=<+=0sin 0,0,1sin )(x x xx a x b x x x f ,问:(1)当b a ,为何值时,)(x f 在0=x 处有极限存在? (2)当b a ,为何值时,)(x f 在0=x 处连续.答案:(1)当1=b ,a 任意时,)(x f 在0=x 处有极限存在; (2)当1==b a 时,)(x f 在0=x 处连续。
经济数学基础12期末考试答案
一、选择题(共10题,每题2分,共20分)
答案:
1. B
2. A
3. C
4. D
5. B
6. D
7. A
8. C
9. A
10. B
二、简答题(共4题,每题10分,共40分)
答案:
1. 简单回归分析是一种用来研究两个变量之间关系的方法。
它通过最小二乘法估计回归系数,从而确定变量之间的函数关系。
简
单回归分析的基本假设是线性关系,即变量之间的关系可以用一条
直线来表示。
2. 边际效应是指某一变量的小幅变化对其他变量的影响程度。
边际效应可以用来衡量某一变量对结果的贡献程度或变动趋势。
在
经济数学中,边际效应通常指的是单位变化量对结果的影响。
3. 理性选择模型是一种经济学理论模型,用来解释个体行为和
社会结果。
该模型基于假设个体具有理性,能够最大化自身的效用。
理性选择模型通过考虑个体的选择和激励,来解析经济中的决策问
题和结果。
4. 弹性是指某一变量对另一变量的影响程度。
弹性可以分为价
格弹性和收入弹性。
价格弹性是指价格变化对需求量的影响程度,
收入弹性是指收入变化对需求量的影响程度。
弹性可以帮助我们预
测市场变化和调整政策。
三、计算题(共2题,每题20分,共40分)
答案:
1. 计算过程略。
2. 计算过程略。
四、分析题(共2题,每题10分,共20分)答案:
1. 分析过程略。
2. 分析过程略。
《经济数学基础12》形成性考核册及参考答案作业(一)(一)填空题 1.___________________sin lim=-→xxx x .答案:0 2.设 ⎝⎛=≠+=0,0,1)(2x k x x x f ,在0=x 处连续,则________=k .答案:1 3.曲线x y =在)1,1(的切线方程是 .答案:2121+=x y 4.设函数52)1(2++=+x x x f ,则____________)(='x f .答案:x 2 5.设x x x f sin )(=,则__________)2π(=''f .答案:2π- (二)单项选择题 1. 函数212-+-=x x x y 的连续区间是( )答案:D A .),1()1,(+∞⋃-∞ B .),2()2,(+∞-⋃--∞C .),1()1,2()2,(+∞⋃-⋃--∞D .),2()2,(+∞-⋃--∞或),1()1,(+∞⋃-∞ 2. 下列极限计算正确的是( )答案:B A.1lim=→xx x B.1lim 0=+→xx xC.11sinlim 0=→x x x D.1sin lim =∞→xx x3. 设y x =lg2,则d y =( ).答案:B A .12d x x B .1d x x ln10 C .ln10x x d D .1d xx 4. 若函数f (x )在点x 0处可导,则( )是错误的.答案:BA .函数f (x )在点x 0处有定义B .A x f x x =→)(lim 0,但)(0x f A ≠C .函数f (x )在点x 0处连续D .函数f (x )在点x 0处可微 5.当0→x 时,下列变量是无穷小量的是( ). 答案:C A .x2 B .xxsin C .)1ln(x + D .x cos (三)解答题 1.计算极限(1)21123lim221-=-+-→x x x x (2)218665lim 222=+-+-→x x x x x(3)2111lim0-=--→x x x (4)3142353lim 22=+++-∞→x x x x x (5)535sin 3sin lim 0=→x x x (6)4)2sin(4lim22=--→x x x 2.设函数⎪⎪⎩⎪⎪⎨⎧>=<+=0sin 0,0,1sin )(x x xx a x b x x x f ,问:(1)当b a ,为何值时,)(x f 在0=x 处有极限存在? (2)当b a ,为何值时,)(x f 在0=x 处连续.答案:(1)当1=b ,a 任意时,)(x f 在0=x 处有极限存在; (2)当1==b a 时,)(x f 在0=x 处连续。
电大经济数学基础12全套试题及答案一、填空题(每题3分,共15分)6.函数()f x =的定义域是 (,2](2,)-∞-+∞U .7.函数1()1xf x e=-的间断点是 0x = .8.若()()f x dx F x C =+⎰,则()xx ef e dx --=⎰()x F e c --+.9.设10203231A a ⎡⎤⎢⎥=⎢⎥⎢⎥-⎣⎦,当a = 0 时,A 是对称矩阵。
10.若线性方程组12120x x x x λ-=⎧⎨+=⎩有非零解,则λ= -1 。
6.函数()2x xe ef x --=的图形关于 原点 对称.7.已知sin ()1xf x x=-,当x → 0时,()f x 为无穷小量。
8.若()()f x dx F x C =+⎰,则(23)f x dx -=⎰1(23)2F x c -+ .9.设矩阵A 可逆,B 是A 的逆矩阵,则当1()T A -= TB 。
10.若n 元线性方程组0AX =满足()r A n <,则该线性方程组 有非零解 。
6.函数1()ln(5)2f x x x =++-的定义域是 (5,2)(2,)-+∞U . 7.函数1()1xf x e=-的间断点是 0x = 。
8.若2()22x f x dx x c =++⎰,则()f x =2ln 24x x +.9.设111222333A ⎡⎤⎢⎥=---⎢⎥⎢⎥⎣⎦,则()r A = 1 。
10.设齐次线性方程组35A X O ⨯=满,且()2r A =,则方程组一般解中自由未知量的个数为 3 。
6.设2(1)25f x x x -=-+,则()f x =x2+4 .7.若函数1sin 2,0(),0x x f x xk x ⎧+≠⎪=⎨⎪=⎩在0x =处连续,则k= 2 。
8.若()()f x dx F x c =+⎰,则(23)f x dx -=⎰1/2F(2x-3)+c.9.若A 为n 阶可逆矩阵,则()r A = n 。
经济数学基础12 试题 A 卷及答案一、单项选择题(共20题,每题2分,共40分)1.下列函数中为偶函数的是( ).(A) sin y x x = (B) 2y x x =+(C) 22x x y -=- (D) cos y x x =2.下列函数中为奇函数的是( ).(A) sin y x x = (B) 1ln 1x y x -=+ (C) e e x x y -=+ (D) 2y x x =-3.下列各函数对中,( )中的两个函数相等.A.2(),()f x g x x ==B. 21(),()11x f x g x x x -==+- C. 2()ln ,()2ln f x x g x x ==D. 22()sin cos ,()1f x x x g x =+=4.下列结论中正确的是( ).(A) 周期函数都是有界函数(B) 基本初等函数都是单调函数(C) 奇函数的图形关于坐标原点对称(D) 偶函数的图形关于坐标原点对称5.下列极限存在的是( ).A .22lim 1x x x →∞- B .01lim 21x x →- C .limsin x x →∞ D .10lime xx →6.已知()1sin x f x x=-,当( )时,)(x f 为无穷小量.A. 0x →B. 1x →C. x →-∞D. x →+∞正确答案:A7.当x →+∞时,下列变量为无穷小量的是( )A .ln(1)x +B .21x x + C .21e x - D .x xsin8.函数10(),0x f x xk x ⎧≠⎪=⎨⎪=⎩ 在x = 0处连续,则k = ().A .-2B .-1C .1D .29.曲线sin y x =在点)0,π(处的切线斜率是( ).(A) 1 (B) 2 (C) 21(D) 1-10.曲线y 0, 1)处的切线斜率为( )。
A .21B .12- C.-11.若()cos 2f x x =,则()2f π''=( ).A .0B .1C . 4D .-412.下列函数在区间(,)-∞+∞上单调减少的是( ).(A) x cos (B) 2x - (C) x 2 (D) 2x13.下列结论正确的是( ).(A) 若0()0f x '=,则0x 必是)(x f 的极值点(B) 使()f x '不存在的点0x ,一定是)(x f 的极值点(C) 0x 是)(x f 的极值点,且0()f x '存在,则必有0()0f x '=(D) 0x 是)(x f 的极值点,则0x 必是)(x f 的驻点14.设某商品的需求函数为2()10e pq p -=,则当6p =时,需求弹性为( ).A .35e --B .-3C .3D .12-15.若函数1()xf x x -=,()1,g x x =+则[(2)]f g -=( ).A .-2B .-1C .-1.5D .1.516.函数1ln(1)y x =-的连续区间是( ).A .122⋃+∞(,)(,)B .[122⋃+∞,)(,)C .1+∞(,)D .[1+∞,)17.设ln ()d xf x x c x =+⎰,则)(x f =( ).A .x ln lnB .x x lnC .21lnxx - D .x 2ln18.下列积分值为0的是( ).A .-sin d x x x ππ⎰B .1-1e e d 2x xx -+⎰C .1-1e e d 2x xx --⎰ D .(cos )d x x x ππ-+⎰19.若)(x F 是)(x f 的一个原函数,则下列等式成立的是( ). A .()d ()xa f x x F x =⎰B .()d ()()xa f x x F x F a =-⎰C .()d ()()ba F x x fb f a =-⎰D .()d ()()ba f x x Fb F a '=-⎰20.设(12)A =,(13)B =-,I 是单位矩阵,则T A B I -=( ).A .2325-⎡⎤⎢⎥-⎣⎦B .1236--⎡⎤⎢⎥⎣⎦C .1326-⎡⎤⎢⎥-⎣⎦D .2235--⎡⎤⎢⎥⎣⎦二、填空题(共20题,每题1.5分,共30分)1.函数ln(1)y x =+的定义域是 .2.函数11y x +的定义域是 .3.若函数2(1)26f x x x -=-+,则()f x = . 4.设1010()2x xf x -+=,则函数的图形关于 对称.5.已知需求函数为20233q p =-,则收入函数)(q R = .6.sin limx x x x→∞+= . 7.已知210()10x x f x x a x ⎧-≠⎪=-⎨⎪=⎩,若)(x f 在(,)-∞+∞内连续,则a = .8.曲线2()1f x x =+在)2,1(处的切线斜率是 .9.过曲线2e x y -=上的一点(0,1)的切线方程为 .10.函数3(2)y x =-的驻点是 .11.设12325130A a -⎡⎤⎢⎥=-⎢⎥⎢⎥⎣⎦,当a = 时,A 是对称矩阵.12.已知tan ()1x f x x =-,当 时,)(x f 为无穷小量.13.齐次线性方程组0AX =(A 是n m ⨯)只有零解的充分必要条件是 .14.若()d ()f x x F x c =+⎰,则e (e )d x xf x --⎰= .15.03e d x x -∞⎰= . 正确答案:3116.设线性方程组AX b =,且 111601320010A t ⎡⎤⎢⎥→-⎢⎥⎢⎥+⎣⎦,则___t 时,方程组有唯一解.17.设齐次线性方程组11m n n m A X O ⨯⨯⨯=,且)(A r = r < n ,则其一般解中的自由未知量的个数等于 .18.线性方程组AX b =的增广矩阵A 化成阶梯形矩阵后为120100421100001A d ⎡⎤⎢⎥→-⎢⎥⎢⎥+⎣⎦则当d = 时,方程组AX b =有无穷多解.19. 已知齐次线性方程组AX O =中A 为53⨯矩阵,则()r A ≤ .20.函数()11x f x e=-的间断点是 .三、计算题(共2题,每题10分,共20分)1.已知22sin x x =,求y '.2.设2cos 2sin x y x =-,求y '.四、应用题(共10分)1. 设生产某产品的总成本函数为 ()3C x x =+ (万元),其中x 为产量,单位:百吨.销售x 百吨时的边际收入为()152R x x '=-(万元/百吨),求:(1) 利润最大时的产量;(2) 在利润最大时的产量的基础上再生产1百吨,利润会发生什么变化?经济数学基础12 A 答案一、单项选择题(共20题,每题2分,共40分)1. A2. B3. D4. C5. A6. A7. D8. B 9. D 10. B11. C 12. B13. C14. B15. A16. A17. C18. C19. B20. A二、填空题(共20题,每题1.5分,共30分)1. (1,2]- 2. :[2,1)(1,2]--- 3. :25x + 4. :y 轴 5. :23102q q - 6.:17. :2 8. :21 9. :21y x =-+ 10. :2x = 11. 1 12. :0x → 13. :()r A n = 14. (e )x F c --+ 15. :31 16. :1≠- 17. :n – r 18. :-1 19. :3 20. :0x =三、微积分计算题(共2题,每题10分,共20分)1.已知22sin x x =,求y '.解:由导数运算法则和复合函数求导法则得 222(2sin )(2)sin 2(sin )x x x y x x x ''''==+2222ln 2sin 2cos ()x x x x x '=+ 222ln 2sin 22cos x x x x x =+2.设2cos 2sin x y x =-,求y '. 解;2sin 22ln 22cos x x y x x '=--四、应用题(共10分)1.设生产某产品的总成本函数为 ()3C x x =+ (万元),其中x 为产量,单位:百吨.销售x 百吨时的边际收入为()152R x x '=-(万元/百吨),求:(1) 利润最大时的产量;(2) 在利润最大时的产量的基础上再生产1百吨,利润会发生什么变化?解:(1) 因为边际成本为()1C x '=,边际利润()()()142L x R x C x x '''=-=-令()0L x '=,得7x =由该题实际意义可知,7x =为利润函数()L x 的极大值点,也是最大值点. 因此,当产量为7百吨时利润最大.(2) 当产量由7百吨增加至8百吨时,利润改变量为88277(142)d (14)1126498491L x x x x ∆=-=-=--+=-⎰(万元)即当产量由7百吨增加至8百吨时,利润将减少1万元。
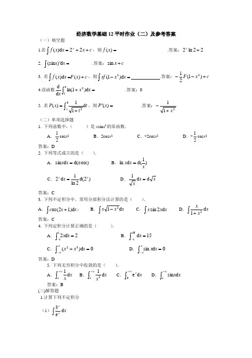
经济数学基础12平时作业(二)及参考答案(一)填空题 1.若c x x x f x ++=⎰22d )(,则___________________)(=x f .答案:22ln 2+x2.⎰='x x d )sin (________.答案:c x +sin 3. 若c x F x x f +=⎰)(d )(,则⎰=-x x xf d )1(2 .答案:c x F +--)1(212 4.设函数___________d )1ln(d d e 12=+⎰x x x.答案:0 5. 若t tx P xd 11)(02⎰+=,则__________)(='x P .答案:211x+-(二)单项选择题1. 下列函数中,( )是x sin x 2的原函数. A .21cos x 2 B .2cos x 2 C .-2cos x 2 D .-21cos x 2 答案:D2. 下列等式成立的是( ).A .)d(cos d sin x x x =B .)1d(d ln xx x =C .)d(22ln 1d 2x xx =D .x x xd d 1=答案:C3. 下列不定积分中,常用分部积分法计算的是( ).A .⎰+x x c 1)d os(2,B .⎰-x x x d 12C .⎰x x x d 2sin D .⎰+x x xd 12答案:C4. 下列定积分计算正确的是( ). A .2d 211=⎰-x x B .15d 161=⎰-xC .0)d (32=+⎰-x x xππ D .0d sin =⎰-x x ππ答案:D5. 下列无穷积分中收敛的是( ).A .⎰∞+1d 1x x B .⎰∞+12d 1x xC .⎰∞+0d e x xD .⎰∞+1d sin x x 答案:B(三)解答题1.计算下列不定积分(1)⎰x x xd e3答案:c xx +e3ln e 3(2)⎰+x xx d )1(2答案:c x x x +++252352342(3)⎰+-x x x d 242 答案:c x x +-2212(4)⎰-x x d 211答案:c x +--21ln 21(5)⎰+x x x d 22答案:c x ++232)2(31(6)⎰x xx d sin答案:c x +-cos 2(7)⎰x x x d 2sin答案:c xx x ++-2sin 42cos 2(8)⎰+x x 1)d ln(答案:c x x x +-++)1ln()1( 2.计算下列定积分 (1)x x d 121⎰--答案:25(2)x xxd e 2121⎰答案:e e - (3)x xx d ln 113e 1⎰+答案:2(4)x x x d 2cos 20⎰π答案:21- (5)x x x d ln e1⎰答案:)1e (412+ (6)x x xd )e1(4⎰-+答案:4e 55-+。
2024年电大《经济数学基础12》考试题及答案2024年电大《经济数学基础12》考试题及答案一、单选题1、以下哪个选项是正确的经济数学基础12的考试题目? A. “求导数的方法是什么?” B. “如何用Excel进行回归分析?” C. “什么是市场均衡价格?” D. “如何计算股票的收益率?”正确答案是A. “求导数的方法是什么?”。
该问题涉及到经济数学基础12的基本概念,是有关微积分的求导数的方法,是经济数学基础12的考试题目。
而其他三个问题则涉及到不同的学科领域,不是经济数学基础12的考试题目。
二、多选题 2. 下列哪些是经济数学基础12的多选题? A. “求导数的步骤有哪些?” B. “什么是市场均衡价格?” C. “如何用Excel进行回归分析?” D. “如何计算股票的收益率?”正确答案是A. “求导数的步骤有哪些?”。
该问题涉及到经济数学基础12的基本概念,是有关微积分的求导数的步骤,是经济数学基础12的多选题。
而其他三个问题则不是经济数学基础12的多选题。
三、判断题 3. 下列命题是否正确:“在市场均衡点,供给量等于需求量。
”正确答案是正确。
这是一个经济学的基本原理,即在市场均衡点,供给量等于需求量,这是经济数学基础12的基本概念之一。
四、填空题 4. 如果一个函数f(x)在x=3处可导,那么该函数的导数f'(3)等于______。
正确答案是0。
根据导数的定义,函数在某一点处的导数就是函数在该点的切线的斜率。
因此,当x=3时,该函数的导数f'(3)就是函数在x=3处的切线的斜率,而该斜率显然等于0。
五、简答题 5. 请简述什么是泰勒级数,并说明它在经济学中的应用。
正确答案如下:泰勒级数是一个无穷级数,它可以用一个函数在某一点处的幂级数展开来表示该函数。
在经济学中,泰勒级数被广泛应用于近似计算、误差分析和数值模拟等领域。
例如,可以用泰勒级数来近似计算非线性函数的局部线性行为,或者用它来建立经济学模型并进行数值模拟。
经济数学基础12【填空题】若,则=1/3&三分之一。
【知识点】凑微分【填空题】若,则=1/2&二分之一。
【知识点】凑微分【填空题】若,则=-1。
【知识点】凑微分【填空题】若,则=-1/2&负二分之一。
【知识点】凑微分【单选题】若,则f(x)=。
A.B.C.D.【答案】C【单选题】下列给出了四个等式中,正确的是。
A.B.C.D.【答案】A【单选题】若=。
A.4sin2xB.-4sin2xC.2cos2xD.-2cos2x【答案】B【单选题】若f(x)是可导函数,则下列等式中不正确的是。
A.B.C.D.【答案】D【单选题】微分=。
A.B.C.D.【答案】B【单选题】若f(x)可微,则=。
A.f(x)B.C.D.f(x)+c【答案】B【单选题】若,则f(x)=。
A.B.C.D.【答案】C【单选题】以下结论正确的是。
A.方程的个数小于未知量的个数的线性方程组一定有无穷多解B.方程的个数等于未知量的个数的线性方程组一定有唯一解C.方程的个数大于未知量的个数的线性方程组一定有无解D.A,B,C都不对【答案】D【单选题】若线性方程组AX=O只有零解,则线性方程组AX=b。
A.有唯一解B.有无穷多解C.无解D.解不能确定【答案】D【单选题】齐次线性方程组。
A.有非零解B.只有零解C.无解D.可能有解也可能无解【答案】A【单选题】线性方程组一定。
A.有无穷多解B.有唯一解C.只有零解D.无解【答案】B【单选题】线性方程组一定。
A.有唯一解B.有无穷多解C.无解D.有是一个解【答案】C【单选题】线性方程组的解的情况是。
A.无解B.只有零解C.有唯一解D.有无穷多解【答案】A【单选题】线性方程组解的情况是。
A.有无穷多解B.只有零解C.有唯一解D.无解【答案】D【单选题】线性方程组解的情况是。
A.有唯一解B.只有零解C.有无穷多解D.无解【答案】C【单选题】设线性方程组AX=b有唯一解,则相应的齐次方程组AX=O解的情况是。
经济数学基础12考试A及答————————————————————————————————作者:————————————————————————————————日期:经济数学基础12 试题 A 卷及答案一、单项选择题(共20题,每题2分,共40分)1.下列函数中为偶函数的是( ).(A) sin y x x = (B) 2y x x =+(C) 22x x y -=- (D) cos y x x =2.下列函数中为奇函数的是( ).(A) sin y x x = (B) 1ln 1x y x -=+ (C) e e x x y -=+ (D) 2y x x =-3.下列各函数对中,( )中的两个函数相等. A.2()(),()f x x g x x == B. 21(),()11x f x g x x x -==+- C. 2()ln ,()2ln f x x g x x ==D. 22()sin cos ,()1f x x x g x =+=4.下列结论中正确的是( ).(A) 周期函数都是有界函数(B) 基本初等函数都是单调函数(C) 奇函数的图形关于坐标原点对称(D) 偶函数的图形关于坐标原点对称5.下列极限存在的是( ).A .22lim 1x x x →∞- B .01lim 21x x →- C .limsin x x →∞ D .10lime xx →6.已知()1sin x f x x=-,当( )时,)(x f 为无穷小量.A. 0x →B. 1x →C. x →-∞D. x →+∞正确答案:A7.当x →+∞时,下列变量为无穷小量的是( )A .ln(1)x +B .21x x +C .21e x - D .x x sin8.函数112,0(),0x x f x x k x ⎧-+≠⎪=⎨⎪=⎩在x = 0处连续,则k = ( ).A .-2B .-1C .1D .2 9.曲线sin y x =在点)0,π(处的切线斜率是( ).(A) 1 (B) 2 (C)21 (D) 1-10.曲线11y x =+在点(0, 1)处的切线斜率为( )。
《经济数学基础12》形成性考核册及参考答案作业(一)(一)填空题 1.___________________sin lim=-→xxx x .答案:0 2.设⎝⎛=≠+=0,0,1)(2x k x x x f ,在0=x 处连续,则________=k .答案:1 3.曲线xy =在)1,1(的切线方程是 .答案:2121+=x y 4.设函数52)1(2++=+x x x f ,则____________)(='x f .答案:x 25.设x x x f sin )(=,则__________)2π(=''f .答案:2π-(二)单项选择题 1. 函数212-+-=x x x y 的连续区间是( )答案:D A .),1()1,(+∞⋃-∞ B .),2()2,(+∞-⋃--∞ C .),1()1,2()2,(+∞⋃-⋃--∞ D .),2()2,(+∞-⋃--∞或),1()1,(+∞⋃-∞2. 下列极限计算正确的是( )答案:BA.1lim=→xx x B.1lim 0=+→xx xC.11sinlim=→x x x D.1sin lim =∞→xx x3. 设y x =l g 2,则d y =( ).答案:B A .12d x x B .1d x x ln10 C .ln10x x d D .1d xx 4. 若函数f (x )在点x 0处可导,则( )是错误的.答案:B A .函数f (x )在点x 0处有定义 B .A x f x x =→)(lim,但)(0x f A ≠C .函数f (x )在点x 0处连续D .函数f (x )在点x 0处可微 5.当0→x 时,下列变量是无穷小量的是( ). 答案:C A .x2 B .xxsin C .)1ln(x + D .x cos (三)解答题 1.计算极限(1)21123lim 221-=-+-→x x x x (2)218665lim 222=+-+-→x x x x x (3)2111lim0-=--→x x x (4)3142353lim 22=+++-∞→x x x x x (5)535sin 3sin lim0=→x x x (6)4)2sin(4lim 22=--→x x x2.设函数⎪⎪⎩⎪⎪⎨⎧>=<+=0sin 0,0,1sin )(x x xx a x b x x x f ,问:(1)当b a ,为何值时,)(x f 在0=x 处有极限存在?(2)当b a ,为何值时,)(x f 在0=x 处连续.答案:(1)当1=b ,a 任意时,)(x f 在0=x 处有极限存在;(2)当1==b a时,)(x f 在0=x 处连续。
《经济数学基础12》综合练习及参考答案第一部分 微分学一、单项选择题1.函数()1lg +=x xy 的定义域是( ).A .1->xB .0≠xC .0>xD .1->x 且0≠x2.若函数)(x f 的定义域是[0,1],则函数)2(x f 的定义域是( ). A .1],0[ B .)1,(-∞ C .]0,(-∞ D )0,(-∞3.下列各函数对中,()中的两个函数相等.A .2)()(x x f =,x x g =)( B .11)(2--=x x x f ,x x g =)(+ 1C .2ln x y =,x x g ln 2)(= D .x x x f 22cos sin )(+=,1)(=x g4.设11)(+=xx f ,则))((x f f =( ).A .11++x xB .x x +1C .111++xD .x+115.下列函数中为奇函数的是( ).A .x x y -=2B .xxy -+=ee C .11ln+-=x x y D .x x y sin = 6.下列函数中,()不是基本初等函数.A .102=y B .xy )21(= C .)1ln(-=x y D .31xy = 7.下列结论中,( )是正确的. A .基本初等函数都是单调函数 B .偶函数的图形关于坐标原点对称 C .奇函数的图形关于坐标原点对称 D .周期函数都是有界函数8. 当x →0时,下列变量中( )是无穷大量.A .001.0x B . x x 21+ C . x D . x-29. 已知1tan )(-=xxx f ,当( )时,)(x f 为无穷小量.A . x →0B . 1→xC . -∞→xD . +∞→x10.函数sin ,0(),0xx f x x k x ⎧≠⎪=⎨⎪=⎩ 在x = 0处连续,则k = ( ).A .-2B .-1C .1D .211. 函数⎩⎨⎧<-≥=0,10,1)(x x x f 在x = 0处( ).A . 左连续B . 右连续C . 连续D . 左右皆不连续 12.曲线11+=x y 在点(0, 1)处的切线斜率为( ).A .21-B .21C .3)1(21+x D .3)1(21+-x13. 曲线y = sin x 在点(0, 0)处的切线方程为( ). A . y = x B . y = 2x C . y = 21x D . y = -x 14.若函数x xf =)1(,则)(x f '=( ).A .21x B .-21x C .x 1 D .-x 115.若x x x f cos )(=,则='')(x f ( ).A .x x x sin cos +B .x x x sin cos -C .x x x cos sin 2+D .x x x cos sin 2-- 16.下列函数在指定区间(,)-∞+∞上单调增加的是( ).A .sin xB .e xC .x 2D .3 - x 17.下列结论正确的有( ).A .x 0是f (x )的极值点,且f '(x 0)存在,则必有f '(x 0) = 0B .x 0是f (x )的极值点,则x 0必是f (x )的驻点C .若f '(x 0) = 0,则x 0必是f (x )的极值点D .使)(x f '不存在的点x 0,一定是f (x )的极值点18. 设需求量q 对价格p 的函数为p p q 23)(-=,则需求弹性为E p =( ).A .p p32- B .--pp32 C .32-ppD .--32pp二、填空题1.函数⎩⎨⎧<≤-<≤-+=20,105,2)(2x x x x x f 的定义域是. 2.函数x x x f --+=21)5ln()(的定义域是.3.若函数52)1(2-+=+x x x f ,则=)(x f. 4.设函数1)(2-=u u f ,xx u 1)(=,则=))2((u f.5.设21010)(xx x f -+=,则函数的图形关于对称.6.已知生产某种产品的成本函数为C (q ) = 80 + 2q ,则当产量q = 50时,该产品的平均成本为 .7.已知某商品的需求函数为q = 180 – 4p ,其中p 为该商品的价格,则该商品的收入函数R (q ) = .8. =+∞→xxx x sin lim.9.已知xxx f sin 1)(-=,当 时,)(x f 为无穷小量.10. 已知⎪⎩⎪⎨⎧=≠--=1111)(2x a x x x x f ,若f x ()在),(∞+-∞内连续,则=a .11. 函数1()1exf x =-的间断点是 . 12.函数)2)(1(1)(-+=x x x f 的连续区间是 .13.曲线y =)1,1(处的切线斜率是.14.函数y = x 2 + 1的单调增加区间为.15.已知x x f 2ln )(=,则])2(['f = . 16.函数y x =-312()的驻点是 . 17.需求量q 对价格p 的函数为2e 100)(p p q -⨯=,则需求弹性为E p =.18.已知需求函数为p q 32320-=,其中p 为价格,则需求弹性E p= .三、计算题1.423lim 222-+-→x x x x 2.231lim 21+--→x x x x 3.0x → 4.2343lim sin(3)x x x x →-+-5.113lim21-+--→x x x x 6.2)1tan(lim21-+-→x x x x ; 7. ))32)(1()23()21(lim 625--++-∞→x x x x x x 8.20sin e lim()1x x x x x →++ 9.已知y xx x--=1cos 2,求)(x y ' .10.已知)(x f xx x x+-+=11ln sin 2,求)(x f ' .11.已知2cos ln x y =,求)4(πy ';12.已知y =32ln 1x +,求d y . 13.设 y x x x x ln +=,求d y .14.设x x y 22e 2cos -+=,求y d . 15.由方程2e e )1ln(=++xy x y 确定y 是x 的隐函数,求)(x y '.16.由方程0e sin =+yx y 确定y 是x 的隐函数,求)(x y '.17.设函数)(x y y =由方程y x y e 1+=确定,求0d d =x x y.18.由方程x y x y=++e )cos(确定y 是x 的隐函数,求y d .四、应用题1.设生产某种产品x 个单位时的成本函数为:x x x C 625.0100)(2++=(万元), 求:(1)当10=x 时的总成本、平均成本和边际成本; (2)当产量x 为多少时,平均成本最小?2.某厂生产一批产品,其固定成本为2000元,每生产一吨产品的成本为60元,对这种产品的市场需求规律为q p =-100010(q 为需求量,p 为价格).试求:(1)成本函数,收入函数; (2)产量为多少吨时利润最大?3.设某工厂生产某产品的固定成本为50000元,每生产一个单位产品,成本增加100元.又已知需求函数p q 42000-=,其中p 为价格,q 为产量,这种产品在市场上是畅销的,问价格为多少时利润最大?并求最大利润.4.某厂生产某种产品q 件时的总成本函数为C (q ) = 20+4q +0.01q 2(元),单位销售价格为p = 14-0.01q (元/件),问产量为多少时可使利润达到最大?最大利润是多少.5.某厂每天生产某种产品q 件的成本函数为9800365.0)(2++=q q q C (元).为使平均成本最低,每天产量应为多少?此时,每件产品平均成本为多少?6.已知某厂生产q 件产品的成本为C q q q ()=++25020102(万元).问:要使平均成本最少,应生产多少件产品?试题答案一、 单项选择题1.D 2.C 3.D 4.A 5.C 6.C 7.C 8. B 9. A 10. C 11. B 12.A 13. A 14. B 15. D 16. B 17. A 18. B 二、填空题1.[-5,2]2. (-5, 2 )3. 62-x 4.43-5. y 轴6.3.67. 45q – 0.25q 28. 19. 0→x 10. 2 11.0x = 12.)1,(--∞,)2,1(-,),2(∞+ 13.(1)0.5y '= 14.(0, +∞) 15. 0 16.x =1 17.2p- 18.10-p p三、极限与微分计算题1.解 423lim 222-+-→x x x x =)2)(2()1)(2(lim 2+---→x x x x x = )2(1lim 2+-→x x x = 412.解:231lim21+--→x x x x =)1)(2)(1(1lim 1+---→x x x x x =21)1)(2(1lim1-=+-→x x x3.解0x →x →=xxx x x 2sin lim )11(lim 00→→++=2⨯2 = 44.解 2343lim sin(3)x x x x →-+-=3(3)(1)lim sin(3)x x x x →---= 333limlim(1)sin(3)x x x x x →→-⨯--= 2 5.解 )13)(1()13)(13(lim113lim2121x x x x x x x x x x x x ++--++-+--=-+--→→ )13)(1()1(2lim )13)(1())1(3(lim 2121x x x x x x x x x x x ++----=++--+--=→→)13)(1(2lim 1x x x x ++-+-=→221-=6.解 )1)(2()1tan(lim 2)1tan(lim 121-+-=-+-→→x x x x x x x x1)1tan(lim 21lim 11--⋅+=→→x x x x x 31131=⨯=7.解:))32)(1()23()21(lim 625--++-∞→x x x x x x =))32)(11()213()21(lim 625xx x x x x --++-∞→ =2323)2(65-=⨯-8.解 20sin e lim()1x x x x x →++=000sin e lim limsin lim 1xx x x x x x x →→→++ =0+ 1 = 19.解 y '(x )=)1cos 2('--xx x=2)1(cos )1(sin )1(2ln 2x x x x x ------=2)1(sin )1(cos 2ln 2x x x x x----10.解 因为)1ln()1ln(sin 2)(x x x x f x+--+= 所以 x x x x x f xx+---+⋅='1111cos 2sin 2ln 2)( 212]cos sin 2[ln 2xx x x --+⋅= 11.解 因为 2222tan 22)sin (cos 1)cos (ln x x x x xx y -=-='=' 所以 )4(πy '=ππππ-=⨯-=-1)4tan(42212.解 因为 )ln 1()ln 1(312322'++='-x x y=x x x ln 2)ln 1(31322-+ =x x x ln )ln 1(32322-+ 所以 x x x xy d ln )ln 1(32d 322-+= 13.解 因为 y x x ln 47+=xx y 14743-='所以 d y = (xx 14743-)d x14.解:因为 xx x y 222e 2)2(2sin--'-='x x x 22e 22sin ---= 所以 y d x x x x d )e 22sin (22---= 15.解 在方程等号两边对x 求导,得 )e ()e (])1ln([2'='+'+xyx y 0)(e 1)1ln(='+++++'y x y xyx y xy xy xyy xyy x x e 1]e )1[ln(-+-='++ 故 ]e )1)[ln(1(e )1(xy xyx x x y x y y +++++-='16.解 对方程两边同时求导,得 0e e cos ='++'y x y y yyyyy x y e )e (cos -='+)(x y '=yyx y ecos e +-. 17.解:方程两边对x 求导,得 y x y y y '+='e e yy x y e 1e -='当0=x 时,1=y所以,d d =x xye e01e 11=⨯-=18.解 在方程等号两边对x 求导,得 )()e (])[cos('='+'+x y x y1e ]1)[sin(='+'++-y y y x y)sin(1)]sin(e [y x y y x y++='+- )sin(e )sin(1y x y x y y +-++='故 x y x y x y yd )sin(e )sin(1d +-++=四、应用题1.解(1)因为总成本、平均成本和边际成本分别为:x x x C 625.0100)(2++=625.0100)(++=x xx C ,65.0)(+='x x C所以,1851061025.0100)10(2=⨯+⨯+=C5.1861025.010100)10(=+⨯+=C ,116105.0)10(=+⨯='C(2)令 025.0100)(2=+-='xx C ,得20=x (20-=x 舍去)因为20=x 是其在定义域内唯一驻点,且该问题确实存在最小值,所以当=x 20时,平均成本最小.2.解 (1)成本函数C q ()= 60q +2000.因为 q p =-100010,即p q =-100110, 所以 收入函数R q ()=p ⨯q =(100110-q )q =1001102q q -.(2)因为利润函数L q ()=R q ()-C q () =1001102q q --(60q +2000)= 40q -1102q -2000 且 'L q ()=(40q -1102q -2000')=40- 0.2q 令'L q ()= 0,即40- 0.2q = 0,得q = 200,它是L q ()在其定义域内的唯一驻点. 所以,q = 200是利润函数L q ()的最大值点,即当产量为200吨时利润最大.3.解 C (p ) = 50000+100q = 50000+100(2000-4p ) =250000-400pR (p ) =pq = p (2000-4p )= 2000p -4p 2 利润函数L (p ) = R (p ) - C (p ) =2400p -4p 2 -250000,且令 )(p L '=2400 – 8p = 0得p =300,该问题确实存在最大值. 所以,当价格为p =300元时,利润最大. 最大利润 1100025000030043002400)300(2=-⨯-⨯=L (元). 4.解 由已知201.014)01.014(q q q q qp R -=-==利润函数22202.0201001.042001.014q q q q q q C R L --=----=-=则q L 04.010-=',令004.010=-='q L ,解出唯一驻点250=q . 因为利润函数存在着最大值,所以当产量为250件时可使利润达到最大, 且最大利润为1230125020250025002.02025010)250(2=--=⨯--⨯=L (元) 5. 解 因为 C q ()=C q q ()=05369800.q q++ (q >0) 'C q ()=(.)05369800q q ++'=0598002.-q令'C q ()=0,即0598002.-q =0,得q 1=140,q 2= -140(舍去). q 1=140是C q ()在其定义域内的唯一驻点,且该问题确实存在最小值.所以q 1=140是平均成本函数C q ()的最小值点,即为使平均成本最低,每天产量应为140件. 此时的平均成本为C ()140=0514*******140.⨯++=176 (元/件) 6.解 (1) 因为 C q ()=C q q ()=2502010q q++ 'C q ()=()2502010q q ++'=-+2501102q 令'C q ()=0,即-+=25011002q ,得q 1=50,q 2=-50(舍去),q 1=50是C q ()在其定义域内的唯一驻点.所以,q 1=50是C q ()的最小值点,即要使平均成本最少,应生产50件产品.。
电大经济数学基础12全套试题及答案一、填空题(每题3分,共15分)6.函数()2f x x =-的定义域是 (,2](2,)-∞-+∞ .7.函数1()1xf x e=-的间断点是 0x =.8.若()()f x dx F x C =+⎰,则()x x e f e dx --=⎰()x F e c --+.9.设10203231A a ⎡⎤⎢⎥=⎢⎥⎢⎥-⎣⎦,当a = 0 时,A 是对称矩阵。
10.若线性方程组12120x x x x λ-=⎧⎨+=⎩有非零解,则λ= -1 。
6.函数()2x xe ef x --=的图形关于 原点 对称.7.已知sin ()1xf x x=-,当x → 0时,()f x 为无穷小量。
8.若()()f x dx F x C =+⎰,则(23)f x dx -=⎰1(23)2F x c -+ .9.设矩阵A 可逆,B 是A 的逆矩阵,则当1()T A -= TB 。
10.若n 元线性方程组0AX =满足()r A n <,则该线性方程组 有非零解 。
6.函数1()ln(5)2f x x x =++-的定义域是 (5,2)(2,)-+∞ . 7.函数1()1xf x e =-的间断点是 0x = 。
8.若2()22x f x dx x c =++⎰,则()f x =2ln 24x x +.9.设111222333A ⎡⎤⎢⎥=---⎢⎥⎢⎥⎣⎦,则()r A = 1 。
10.设齐次线性方程组35A X O ⨯=满,且()2r A =,则方程组一般解中自由未知量的个数为 3 。
6.设2(1)25f x x x -=-+,则()f x =x2+4 .7.若函数1sin 2,0(),0x x f x xk x ⎧+≠⎪=⎨⎪=⎩在0x =处连续,则k= 2 。
8.若()()f x dx F x c =+⎰,则(23)f x dx -=⎰1/2F(2x-3)+c.9.若A 为n 阶可逆矩阵,则()r A = n 。