经济数学基础作业答案
- 格式:doc
- 大小:1.03 MB
- 文档页数:16
作业(一)(一)填空题3.曲线x y =在)1,1(的切线方程是 .答案:2121+=x y4.设函数52)1(2++=+x x x f ,则____________)(='x f .答案:x 21. 函数212-+-=x x x y 的连续区间是( )答案:D ,可能是cA .),1()1,(+∞⋃-∞B .),2()2,(+∞-⋃--∞C .),1()1,2()2,(+∞⋃-⋃--∞D .),2()2,(+∞-⋃--∞或),1()1,(+∞⋃-∞ 2. 下列极限计算正确的是( )答案:B A.1lim=→xx x B.1l i m=+→xxxC.11sinlim 0=→xx x D.1si n l i m=∞→xx x3. 设y x =lg 2,则d y =( ).答案:B A .12d xx B .1d x x ln 10C .ln 10xx d D .1d xx4. 若函数f (x )在点x 0处可导,则( )是错误的.答案:BA .函数f (x )在点x 0处有定义B .A x f x x =→)(lim 0,但)(0x f A ≠C .函数f (x )在点x 0处连续D .函数f (x )在点x 0处可微 5.当0→x 时,下列变量是无穷小量的是( ). 答案:C A .x 2 B .xx sinC .)1ln(x +D .x cos(三)解答题问:(1)当b a ,为何值时,)(x f 在0=x 处有极限存在? (2)当b a ,为何值时,)(x f 在0=x 处连续.答案:(1)当1=b ,a 任意时,)(x f 在0=x 处有极限存在;1lim ()lim (sin)x x f x x b b x--→→=+=,0sin lim ()lim 1x x x f x x++→→==,有极限存在,lim ()lim ()1x x f x f x b +-→→===(2)当1==b a 时,)(x f 在0=x 处连续。
经济数学基础形成性考核册参考答案经济数学基础作业1一、填空题:1.02.13.012=+-y x4.x 25.2π二、单项选择:1.D2.B3.B4.B5.C 三、计算题: 1、计算极限 (1)2112lim)1)(1()2)(1(lim11-=+-=+---=→→x x x x x x x x 原式 (2). 原式=4)-2)(x -(x 3)-2)(x -(x lim 2x →2143lim2=--=→x x x(3). 原式=)11()11)(11(lim 0+-+---→x x x x x=111lim 0+--→x x=21- (4).原式=22433531x x x x +++-=31(5).原式=xxx x x 55sin 33sin lim530→=53(6). 原式=2)2sin(2lim2+++→x x x x=2)2sin(lim )2(lim 22--+→→x x x x x= 42.(1)1)(lim ,)(lim 00==+-→→x f b x f x x当 1f(0)f(x)lim 1x ====→有时,b a(2). 1f(0)f(x)lim 1b a 0x ====→有时,当函数f(x)在x=0处连续.3. 计算下列函数的导数或微分(1). 2ln 12ln 22x x y x++=' (2). 22)()()()(d cx bcad d cx b ax c d cx a y +-=++-+=' (3). 23)53(23---='x y(4). )(21x x xe e x y +-='=x x xe e x--21(5). ∵)cos (sin cos sin )(sin (sin )(bx b bx e bx be bx ae bx e bx e y ax ax ax ax ax +=+='+'='∴dx bx b bx a e dy ax)cos sin (+= (6). ∵x e x y x 23112+-=' ∴dx e xx dy x )123(12-= (7).∵)()(sin 22'-⋅-'⋅-='-x e x x y x=222sin x xe x x-+-∴dx xe x xdy x )22sin (2-+-= (8) nx n x x n y n cos cos sin1+⋅='-(9) )1(1122'++⋅++='x x x x y =)11(1122x xxx ++⋅++=2221111xx x x x +++⋅++=211x+(10) 531cos 261211cos 61211sin 2ln 21)2()1(cos 2ln 2x x x x x x xy x x+-⋅⋅-='-++'⋅⋅='- 2. 下列各方程中y 是x 的隐函数,试求dy y 或'(1) 方程两边对x 求导:0322=+'--'⋅+y x y y y x 32)2(--='-x y y x y所以 dx xy x y dy ---=232(2) 方程两边对x 求导:4)()1)(cos(='+⋅+'++y x y e y y x xyxyxy ye y x y xe y x -+-='++)cos(4])[cos(所以 xyxyxey x ye y x y ++-+-=')cos()cos(4 3.求下列函数的二阶导数:(1) 212xxy +=' 222222)1(22)1(22)1(2x x x x x x y +-=+⋅-+='' (2) 212321212121)(-----='-='x x x x y23254143--+=''x x y14143)1(=+='y经济数学基础作业2一、填空题: 1.22ln 2+x2. c x +sin3. c x F +--)1(2124. 05. 211x+-二、单项选择:1.D2.C3.C4.D5.B 三、计算题: 1、计算极限(1) 原式=⎰dx e x)3( =c e c ee x x x+-=+)13(ln 33ln )3( (2) 原式=⎰++-dx x x x)2(2321=c x x x +++25232152342(3) 原式=⎰+-=-c x x dx x 221)2(2(4) 原式=c x x x d +--=---⎰21ln 2121)21(21 (5) 原式=⎰++)2(22122x d x=c x ++232)2(31(6) 原式=⎰+-=c x x d x cos 2sin 2(7) ∵(+) x 2sinx (-) 1 2cos 2x -(+) 0 2sin 4x-∴原式=c xx x ++-2sin 42cos 2(8) ∵ (+) )1ln(+x 1(-) 11+-x x∴ 原式=⎰+-+dx x xx x 1)1ln(=⎰+--+dx x x x )111()1ln( =c x x x x +++-+)1ln()1ln(2.计算下列定积分:(1) 原式=⎰⎰-+--2111)1()1(dx x dx x =29252)21(2212=+=-+x x (2) 原式=⎰-212211)(xd x xe x=21211e e e x -=-(3) 原式=⎰++31)ln 1(ln 1e x d x x x=21ln 123=+e x (4) ∵ (+)xx 2x 2∴ 原式=20)2cos 412sin 21(πx x x +=214141-=--(5) ∵ (+) x22x∴ 原式=⎰-e exdx x x 11221ln 21=)1(414122122+=-e x e e (6) ∵原式=⎰-+44dx xe x又∵ (+)x xe- (-)1 -x e - (+)0 xe-∴⎰-----=440)(x x x e xe dx xe=154+--e故:原式=455--e经济数学基础作业3一、填空题1. 3.2.72-.3. 可交换B A ,.4. A B I 1)(--.5. ⎥⎥⎥⎥⎥⎥⎦⎤⎢⎢⎢⎢⎢⎢⎣⎡-31000210001. 二、单项选择题1. C .2. A .3. C .4. A .5. B . 三、解答题 1.(1) 解:原式=⎥⎦⎤⎢⎣⎡-5321 (2)解:原式=⎥⎦⎤⎢⎣⎡0000(3)解:原式=[]02.解:原式=⎥⎥⎥⎦⎤⎢⎢⎢⎣⎡--⎥⎥⎥⎦⎤⎢⎢⎢⎣⎡--72301654274001277197=⎥⎥⎥⎦⎤⎢⎢⎢⎣⎡---142301112155 3.解:AB =0010420650014426651016421165=-=-=-- 4.解:⎥⎥⎥⎦⎤⎢⎢⎢⎣⎡----−−−→−⎥⎥⎥⎦⎤⎢⎢⎢⎣⎡----−−−→−⎥⎥⎥⎦⎤⎢⎢⎢⎣⎡=-⨯+-⨯+74041042141074042101112421)1()2(λλλ),(③②①③①②A⎥⎥⎥⎦⎤⎢⎢⎢⎣⎡---−−−−→−-⨯+λλ4900410421)4(②③ 所以当49=λ时,秩)(A r 最小为2。
1.判断()3f x x x =+奇偶性2.判断函数221y x =+的单调性3.例如,sin cos ,x y x y x =+=4.下列函数是由哪些简单函数复合而成?(1)2lg(1)y x =- (2)cos 3x y =(3)arctan(1y = (4)2cos 3y x =5.某商品的需求函数为105Q P =-。
试将收益R 表示为需求量Q 的函数6.某厂生产Q 单位某产品的成本为C 元,其中固定成本为200元,每生产1单位产品,成本增加10元。
假设该产品的需求函数为1502QP -=,且产品均可售出。
试将改产品的利润L 元表示为产量Q 单位的函数7.考察数列1(1)n n ⎧⎫⎪⎪+⎨⎬⎪⎪⎩⎭-8. 考察数列11n ⎧⎫⎨⎬+⎩⎭9.函数1()2x y =,讨论极限,,111()()()lim lim lim 222x x xx x x →-∞→+∞→∞是否存在10.考察函数2225()1x f x x +=+当x →∞时的变化情况。
11.求 01sinlim x x x →。
12.计算极限211lim 1x x →-13.求31(432).lim x x x →-+14.求22367lim 49x x x x →-++15.求 sin3tan50lim x x x →。
16.求201cos lim x x x →-17.求1lim(1)x x x →∞-18求52lim(1)x x x →∞+19.讨论函数224()x f x x x +⎧=⎨+⎩ 00x x ≥<在0x =处的连续性。
20.例:设函数 3().y f x x ==,用导数定义求(2)f '求导函数()f x ',并求(3)f '。
21.例:设 22log cos 42x y x x π=++,求 y '22.求y x =的导数23.求sin 2ln y x x =•的导数24例:设sin 3,y x =求y '25求210(27)y x =+ 的导数26例:设2,x y e =求 0.,x y y =''''解:27.求函数cos x y e x -=的二阶及三阶导数解:28.例:确定函数2()ln(1)f x x x =-+的单调增减区间。
《经济数学基础》形成性考核册(一)一、填空题 1.___________________sin lim=-→xxx x .答案:1 2.设 ⎝⎛=≠+=0,0,1)(2x k x x x f ,在0=x 处连续,则________=k .答案1 3.曲线x y =+1在)1,1(的切线方程是 . 答案:y=1/2X+3/24.设函数52)1(2++=+x x x f ,则____________)(='x f .答案x 2 5.设x x x f sin )(=,则__________)2π(=''f .答案: 2π-二、单项选择题1. 当+∞→x 时,下列变量为无穷小量的是( D )A .)1ln(x +B . 12+x xC .21x e - D . xxsin2. 下列极限计算正确的是( B ) A.1lim=→xx x B.1lim 0=+→xx x C.11sinlim 0=→x x x D.1sin lim =∞→xx x3. 设y x =lg2,则d y =( B ). A .12d x x B .1d x x ln10 C .ln10x x d D .1d xx 4. 若函数f (x )在点x 0处可导,则( B )是错误的.A .函数f (x )在点x 0处有定义B .A x f x x =→)(lim 0,但)(0x f A ≠C .函数f (x )在点x 0处连续D .函数f (x )在点x 0处可微 5.若x xf =)1(,则=')(x f ( B ). A .21x B .21x- C .x 1 D .x 1-三、解答题 1.计算极限本类题考核的知识点是求简单极限的常用方法。
它包括: ⑴利用极限的四则运算法则; ⑵利用两个重要极限;⑶利用无穷小量的性质(有界变量乘以无穷小量还是无穷小量) ⑷利用连续函数的定义。
(1)123lim 221-+-→x x x x分析:这道题考核的知识点是极限的四则运算法则。
电大天堂【经济数学基础】形成性考核册答案电大天堂【经济数学基础】形考作业一答案:(一)填空题 1.___________________sin lim=-→xxx x .0 2.设 , 在 处连续, 则 .答案: 13.曲线 在 的切线方程是 .答案:4.设函数 , 则 .答案:5.设 , 则 (二)单项选择题1.函数 , 下列变量为无穷小量是.... . A. B. C. D.2.下列极限计算正确的是....) A.1lim=→xx x B.1lim 0=+→xx xC.11sinlim 0=→x x x D.1sin lim =∞→xx x3.设 , 则 (..).......A. B. C. D.4.若函数.(x)在点x0处可导,则. . )是错误的.. A .函数f (x)在点x0处有定义 B . , 但C. 函数f (x)在点x0处连续D. 函数f (x)在点x0处可微 5.若 , 则 B )A. 1/B. -1/C.D. (三)解答题 1. 计算极限(1)21123lim 221-=-+-→x x x x (2)218665lim 222=+-+-→x x x x x (3)2111lim0-=--→x x x (4)3142353lim 22=+++-∞→x x x x x(5)535sin 3sin lim 0=→x x x (6)4)2sin(4lim22=--→x x x 2. 设函数 ,问: (1)当 为何值时, 在 处有极限存在? (2)当 为何值时, 在 处连续.答案: (1)当 , 任意时, 在 处有极限存在; (2)当 时, 在 处连续。
3. 计算下列函数的导数或微分: (1) , 求 答案:2ln 12ln 22x x y x ++=' (2) , 求 答案:2)(d cx cbad y +-='(3) , 求 答案:3)53(23--='x y(4) , 求 答案:x x xy e )1(21+-='(5) , 求答案:dx bx b bx a dy ax )cos sin (e += (6) , 求 答案: (7) , 求 答案: (8) , 求答案:)cos cos (sin 1nx x x n y n +='- (9) , 求 答案:211xy +='(10) , 求答案:652321cot 61211sin2ln 2--+-='x x xx y x4.下列各方程中 是 的隐函数, 试求 或 (1) , 求 答案:x xy xy y d 223d ---=(2) , 求答案:)cos(e )cos(e 4y x x y x y y xy xy +++--='5. 求下列函数的二阶导数: (1) , 求答案:222)1(22x x y +-='' (2) , 求 及答案: ,电大天堂【经济数学基础】形考作业二答案:(一)填空题1.若 , 则 .答案:2. .答案:3.若 ,则........答案:4.设函数 .答案: 05.若 ,则 .答案: (二)单项选择题1.下列函数中, ....)是xsinx2的原函数...A. cosx2B. 2cosx2C. -2cosx2D. - cosx2 2.下列等式成立的是...)...... A. B.C. D.3.下列不定积分中,常用分部积分法计算的是( . )........A. ,B.C.D. 4.下列定积分计算正确的是. .. )... A. B. C. D.5.下列无穷积分中收敛的是...).. A. B. C. D.(三)解答题 1.计算下列不定积分(1)⎰x x xd e3答案: (2)⎰+x xx d )1(2答案:c x x x +++252352342(3)⎰+-x x x d 242 答案:c x x +-2212(4)⎰-x x d 211答案:c x +--21ln 21(5)⎰+x x x d 22答案:c x ++232)2(31(6)⎰x xx d sin答案:c x +-cos 2(7)⎰x xx d 2sin答案:c xx x ++-2sin 42cos 2(8)⎰+x x 1)d ln(答案:c x x x +-++)1ln()1( 2.计算下列定积分 (1)x x d 121⎰--答案:25(2)x xxd e2121⎰答案:e e - (3)x xx d ln 113e 1⎰+答案:2(4)x x x d 2cos 20⎰π答案:21-(5)x x x d ln e 1⎰答案:)1e (412+(6)x x x d )e 1(4⎰-+答案:4e 55-+电大天堂【经济数学基础】形考作业三答案:(一)填空题1.设矩阵 , 则 的元素 .答案: 32.设 均为3阶矩阵, 且 , 则 = .答案:3.设 均为 阶矩阵, 则等式 成立的充分必要条件........答案:4.设 均为 阶矩阵, 可逆,则矩阵 的解 .答案:A B I 1)(--5.设矩阵 , 则 .答案: (二)单项选择题1.以下结论或等式正确的是..).. A. 若 均为零矩阵, 则有 B .若 , 且 , 则 C. 对角矩阵是对称矩阵 D. 若 , 则2.设 为 矩阵, 为 矩阵,且乘积矩阵 有意义,则 为.. )矩阵...... A. B.C. D.3.设 均为 阶可逆矩阵,则下列等式成立的是( . )........ ` A . , B .C. D. 4.下列矩阵可逆的是. .. )... A. B. C. D.5.矩阵 的秩是. ...).. A. 0 B. 1 C. 2 D. 3三、解答题 1.计算(1)⎥⎦⎤⎢⎣⎡⎥⎦⎤⎢⎣⎡-01103512=⎥⎦⎤⎢⎣⎡-5321 (2)⎥⎦⎤⎢⎣⎡⎥⎦⎤⎢⎣⎡-00113020⎥⎦⎤⎢⎣⎡=0000 (3)[]⎥⎥⎥⎥⎦⎤⎢⎢⎢⎢⎣⎡--21034521=[]02. 计算解 ⎥⎥⎥⎦⎤⎢⎢⎢⎣⎡--⎥⎥⎥⎦⎤⎢⎢⎢⎣⎡--=⎥⎥⎥⎦⎤⎢⎢⎢⎣⎡--⎥⎥⎥⎦⎤⎢⎢⎢⎣⎡--⎥⎥⎥⎦⎤⎢⎢⎢⎣⎡--72301654274001277197723016542132341421231221321=⎥⎥⎥⎦⎤⎢⎢⎢⎣⎡---142301112155 3. 设矩阵 , 求 。
经济数学基础12一、单项选择题1.函数的定义域为().A.B.C.D.正确答案:A2.下列函数在指定区间上单调增加的是().A.B.C.D.正确答案:C3.设,则().A.B.D.正确答案:B4.当时,下列变量为无穷小量的是().A.B.C.D.正确答案:A5.下列极限计算正确的是().A.B.C.D.正确答案:B6.().A.-1B.0D.2正确答案:B7.().A.B.C.5D.-5正确答案:A8.().A.B.C.D.正确答案:A9.().A.1B.0D.2正确答案:C10.设在处连续,则().A.-1B.0C.D.1正确答案:D11.当(),()时,函数在处连续.A.B.C.D.正确答案:D12.曲线在点的切线方程是().A.B.C.D.正确答案:A13.若函数在点处可导,则()是错误的.A.函数在点处有定义B.函数在点处连续C.,但D.函数在点处可微正确答案:C14.若,则().A.B.C.D.正确答案:D15.设,则().A.B.C.D.正确答案:B16.设函数,则().A.B.C.D.正确答案:C17.设,则().A.B.C.D.正确答案:D18.设,则().A.B.C.D.正确答案:A19.设,则().A.B.C.D.正确答案:B20.设,则().A.B.C.D.正确答案:C21.设,则().A.B.C.D.正确答案:A22.设,方程两边对求导,可得().A.B.C.D.正确答案:C23.设,则().A.1B.C.D.-1正确答案:B24.函数的驻点是().A.B.C.D.正确答案:C25.设某商品的需求函数为,则需求弹性().A.B.C.D.正确答案:A26.下列函数中,()是的一个原函数.A.B.C.D.正确答案:B27.若,则().A.B.C.D.正确答案:B28.().A.B.C.D.正确答案:A29.().A.B.C.D.正确答案:A30.下列等式成立的是().A.B.C.D.正确答案:B31.若,则().A.B.C.D.正确答案:B32.用第一换元法求不定积分,则下列步骤中正确的是().A.B.C.D.正确答案:D33.下列不定积分中,常用分部积分法计算的是().A.B.C.D.正确答案:D34.用分部积分法求不定积分,则下列步骤中正确的是().A.B.C.D.正确答案:C35.().A.B.C.1D.0正确答案:D36.设,则().A.B.C.D.正确答案:C37.下列定积分计算正确的是().A.B.C.D.正确答案:A38.下列定积分计算正确的是().A.B.C.D.正确答案:B39.计算定积分,则下列步骤中正确的是().A.B.C.D.正确答案:C40.用第一换元法求定积分,则下列步骤中正确的是().A.B.C.D.正确答案:A41.用分部积分法求定积分,则下列步骤正确的是().A.B.C.D.正确答案:D42.下列无穷积分中收敛的是().A.B.C.D.正确答案:C43.求解可分离变量的微分方程,分离变量后可得().A.B.C.D.正确答案:A44.根据一阶线性微分方程的通解公式求解,则下列选项正确的是().A.B.C.D.正确答案:D45.微分方程满足的特解为().A.B.C.D.正确答案:C46.设矩阵,则的元素().A.1B.2C.3D.-2正确答案:C47.设,,则().A.B.C.D.正确答案:A48.设A为矩阵,B为矩阵,且乘积矩阵有意义,则为()矩阵.A.B.C.D.正确答案:A49.设,为单位矩阵,则A T–I=().A.B.C.D.正确答案:D50.设均为阶矩阵,则等式成立的充分必要条件是().A.B.C.D.正确答案:D51.下列关于矩阵的结论正确的是().A.若均为零矩阵,则有B.若,且,则C.对角矩阵是对称矩阵D.若,,则正确答案:C52.设,,则().A.2B.0C.-2D.4正确答案:B53.设均为阶可逆矩阵,则下列等式成立的是().A.B.C.D.正确答案:A54.下列矩阵可逆的是().A.B.C.D.正确答案:A55.设矩阵,则().A.B.C.D.正确答案:C56.设均为阶矩阵,可逆,则矩阵方程的解().A.B.C.D.正确答案:B57.矩阵的秩是().A.0B.1C.2D.3正确答案:D58.设矩阵,则当()时,最小.A.12B.8C.4D.-12正确答案:D59.对线性方程组的增广矩阵做初等行变换可得则该方程组的一般解为(),其中是自由未知量.A.B.C.D.正确答案:B60.设线性方程组有非0解,则().A.-1B.0C.1D.2正确答案:A61.设线性方程组,且,则当()时,方程组有无穷多解.A.t=2B.C.t=0D.正确答案:B62.线性方程组无解,则().A.B.C.D.正确答案:C63.设线性方程组,则方程组有解的充分必要条件是().A.B.C.D.正确答案:C64.对线性方程组的增广矩阵做初等行变换可得则当()时,该方程组无解.A.且B.且C.且D.且正确答案:B65.若线性方程组有唯一解,则线性方程组().A.只有零解B.有无穷多解C.无解D.解不能确定正确答案:A二、计算题1.设,求.解:=−x2'·e−x2−2sin2x=−2xe−x2−2sin2x综上所述,2.已知,求.解:方程两边关于求导:,3.计算不定积分.解:原式=。
习题解答第一章 经济活动中的函数关系分析实训一(A )1.填空题:(1)(,2][2,)-∞-+∞ ; (2)()3,5; (3)1x; (4)2x e ;2x e ; (5)473x -,提示:由()()47433433g f x x x =+=+-⎡⎤⎣⎦,所以()473x g x -=.2.(1)tan(2)y x =;(2)(3)y=;(4)y=lg(sin 2)x .3.(1)cos y u =,1xu e =-; (2)ln y u =,222u x x =-+;(3)y =1u x =+;(4)y lg u v =,v =实训一(B )1.由已知可知2110x -<-<,得到201x <<,即定义域为()()1,00,1- .2.由()21f x x -=,可得()()2111f x x -=-+,所以()()21f x x =+.也可令1x t -=.3.(1)u y e =,sin u v =,2v x =;(2)log uv ay =,21u x =+,sin v w =,2w x =. 4. ()()()log log log a a a f x f y x y xy f xy +=+==;()()log log log a a axx f x f y x y f y y ⎛⎫-=-== ⎪⎝⎭. 实训二 (A )1.填空题:(1)y =(2)[]1,3-; (3)2π-,4π; (4)12,π. 2.(1)⨯;(2)⨯;(3)⨯;(4)√.3.(1)由()cos 21y x =+,解得21arccos x y +=,()1arccos 12x y =-, 所以,()()11arccos 12fx x -=-.定义域:[]1,1x ∈-;值域:11,22y π-⎡⎤∈-⎢⎥⎣⎦(2)由()1ln 2y x =++,解得12y x e -+=,12y x e -=-,所以,()112x fx e --=-定义域:(),x ∈-∞+∞;值域:()2,y ∈-+∞ 4.【水面波纹的面积】设面积为S (2cm ),时间为t (s ),则()22502500S t t ππ==【仪器初值】()0.04200.800208986.58Q Q e Q e -⨯-===解得0.808986.582000Q e =≈.实训二(B )1.由()x a f x x b +=+,解得反函数为()11a bx f x x --=-. 由已知()1x a f x x b -+=+,可得1a bx x a x x b-+=-+,相比较,可得a 为任意实数,1b =-.2.由()ln x x ϕ=,()21ln 3g x x ϕ=++⎡⎤⎣⎦,可得()221ln 3ln 3x x g x e e e ϕ+=⋅⋅=⎡⎤⎣⎦所以,()213x g x e+=.实训三【商品进货费用】 设批次为x ,由题意: 库存费:11250030000242C x x=⋅⋅=; 订货费:2100C x =. 【原料采购费用】设批量为x ,库存费用为1C ,进货费用为2C ,进货总费用为12C C C =+.1122C x x=⋅⋅= 23200640000200C xx=⋅=所以进货总费用为:12640000C C C x x=+=+. 【商品销售问题】设需求函数关系式为:d Q ap b =+,其中p 为定价. 由已知可得:1000070700073a ba b=+⎧⎨=+⎩,解得1000a =-,80000b =,所以100080000d Q p =-+; 供给函数为:1003000s Q p =+平衡状态下:价格70p =;需求量10000d Q =. 【商品盈亏问题】设()()()()2015200052000L x R x C x x x x =-=-+=-.()6001000L =; 无盈亏产量:()0L x =,解得400x =. 【供给函数】答案:1052PQ =+⋅. 【总成本与平均成本】总成本()1306C Q Q =+,[]0,100Q ∈. 平均成本()13061306Q C Q Q Q+==+,[]0,100Q ∈.第一章自测题一、填空题1、[2,1)(1,1)(1,)---+∞2、(,)-∞+∞3、(,1)a a --4、23x x -5、2ln(1)x -6、arcsin 2x7、cos(ln )x8、2142R Q Q =-+9、22()2505;()6248100R x x x L x x x =-=-+- 10、6P = 二、选择题1、C2、B3、B4、D5、C三、计算解答题1、(1)22log , 1y u u x ==+(2)1x y u e ==+ 2、1()1 , ()1f x x f x x -=+=- 四、应用题1、(1) 6 , 8P Q == (2) 3.5 , 3P Q == (3) 6.5 , 7P Q ==2、(1)()10200C x x =+,()200()10C x C x x x==+ (2)()15R x x =(3)()()()5200L x R x C x x =-=-,无盈亏点:40x =五、证明题(略)第二章 极限与变化趋势分析实训一(A )1.(1)×;(2)√;(3)×;(4)×;(5)√. 2.(1)收敛,且lim 0n n x →∞=;(2)发散,lim n n x →∞=∞;(3)收敛,且lim 2n n x →∞=;(4)发散.3.(1)收敛,且lim 2x y →∞=;(2)收敛,且0lim 1x y →=;(3)收敛,且lim 1x y →+∞=;(4)发散.【产品需求量的变化趋势】lim lim 0t t t Q e -→+∞→+∞==.实训一(B )(1)无穷大;(2)无穷大;(3)无穷大;(4)无穷大. 【人影长度】越靠近路灯,影子长度越短,越趋向于0.实训二 (A )1.填空题(1)5;(2)2;(3)1;(4)13;(5)∞;(6)∞;(7)2. 2.(1)()()()()2211111112lim lim lim 21121213x x x x x x x x x x x x →→→-+-+===---++; (2)(222211lim2x x x x x x →→→===--;(3)()()2322000222lim lim lim 211x x x x x x x x x x x x x →→→---===---; (4)()()211121111lim lim lim 111112x x x x x x x x x →→→--⎛⎫-===-⎪---++⎝⎭. 3.(1)222112lim lim 2111x x x x x x x →+∞→+∞-⎛⎫-==- ⎪+--⎝⎭; (2)()()()1121lim lim lim 22222222n n n n n n n n n n n n →∞→∞→∞⎛⎫++++-⎛⎫-=-==- ⎪⎪ ⎪+++⎝⎭⎝⎭. 【污染治理问题】由题意可知,该问题为等比级数问题,首项为a ,公比为45,则设n 周后所剩污染物为n a ,则45nn a a ⎛⎫= ⎪⎝⎭,因为4lim 05nn a →∞⎛⎫= ⎪⎝⎭,所以,可以确定随着时间的推移能将污染物排除干净.【谣言传播】 (1)1lim (t)lim11ktt t P ae -→∞→∞==+;(2)121(t)0.8110t P e-==+,可解得2ln 407.38t =≈.实训二(B )1.填空题(1)32π-; (2)0;0.(无穷小与有界函数的乘积为无穷小)(3)0a =,2b =-.2.(1)()3320lim3h x h x x h→+-=;(2)442x x x →→→===.3.由()3lim 30x x →-=,且232lim 43x x x kx →-+=-,可得()23lim 20x x x k →-+=,解得3k =-.4.由题意可知()()21116lim lim 511x x x x x ax bx x→→--++==--,可得7a =-,6b =.实训三 (A )1.填空题(1)1e -;(2)3e -;(3)e ;(4)e ;(5)3k =;(6)5050.1230⨯⨯=万元,()55010.125038.1⨯+-=万元,50.125041.1e ⨯=万元. 2.(1)6e -;(2)1e -;(3)2e -;(4)01e =. 3.(1)0.042003 6.68rtPe e ⨯==万元; 2.25o P =万元.(2)24.38t p =万元;24.43t p =万元.实训三(B )1.(1)(()0111lim 1lim 1lim 11x x x x x x e x x x --→∞→∞→∞⎡⎤⎛⎛⎫⎛⎫-=-=-==⎢⎥⎪⎪ ⎪⎝⎭⎝⎭⎝⎭⎢⎥⎣⎦;(2)()15lim 15xx x x e →→∞=+=;(3)()1111111lim lim 11xxx x xx e ---→→=+-=;(4)()()()1000ln 121limlim ln 12limln 12x x x x x x x xx →→→+=+=+ ()()112limln 12lnlim 12ln 2x xx x x x e →→=+=+==.2.322lim lim 122x xc x x x c c e e x c x c →∞→∞+⎛⎫⎛⎫=+== ⎪ ⎪--⎝⎭⎝⎭,所以3c =. 实训四 (A )1.填空题 (1)(]0,3;(2)()243,110,1x x x f x x ⎧-+≤-=⎨>⎩;(3)()0lim 1x f x -→=-,()0lim 0x f x +→=,()0lim x f x →不存在; (4)()(),22,-∞--+∞ ; (5)1x =,2x =;(6)1k =.2.图略,()0lim 1x f x -→=,()0lim 0x f x +→=,()0lim x f x →不存在. 3.()()1lim 11x f x f -→==,()1lim 2x f x +→=,因为()()11lim lim x x f x f x -+→→≠,所以()f x 在1x =处不连续.【个人所得税计算】个人所得税的起征点为月收入3500元.850035005000-=,50000.2555455⨯-=;1200035008500-=,85000.25551145⨯-=.【出租车费用】图略,()8, 322, 3836, 8x f x x x x x ≤⎧⎪=+<≤⎨⎪->⎩.实训四 (B )1.图略,()()0lim 10x f x f -→=-=,()0lim 0x f x +→=,因为()()11lim lim x x f x f x -+→→≠,所以()f x 在0x =处不连续.2.由连续的定义可知:()()220lim 1xx k f x e →==+=.3.因为()01f =,()01lim sin00x x f x→=≠(无穷小与有界函数的乘积), 所以0x =为第一类的可去间断点.第二章自测题一、填空题 1、1- 2、1 3、12- 4、345、221,02,0x x x x ⎧+=⎪⎨≠⎪⎩6、1-7、100 ; 0 8、0.035; 5.15e(万)(万)二、选择题1、C2、A3、C4、A5、B 三、计算解答题1、(1)原式=211(1)1 lim lim0(1)(1)1x xx xx x x→→--==+-+(2)原式=lim lim x x=1lim2x==-(3)设1xe t-=,则ln(1)x t=+,0x→时,0t→,原式=10011lim lim1ln(1)ln(1)limln(1)t ttttt ttt→→→==+⋅++1111lnln[lim(1)]ttet→===+(4)原式=sin[lim sin[limx x→+∞=s i n[l]s i n00x===2、(0)2f=00l i m()l) x x xf x---→→→==00lim lim(12x x--→→==+=00lim()lim(2)2x xf x x++→→=+=lim()2(0)xf x f→∴==()f x∴在0x=点连续,从而()f x在(,)-∞+∞内连续.四、应用题第三章经济最优化问题分析实训一(A )1.填空题(1)45x ; (2)2313x -; (3)23x ; (4)5232x --;(5)2ln 2x ; (6)1ln10x ; (7)0; (8)0.2.2log y x =,1ln 2y x '=.212ln 2x y ='=,122ln 2x y ='=.3.(1)()141y x -=-,即43y x =-; (2)()222y x +=--,即22y x =-+; (3)cos y x '=,312x k y π='==,切线方程为123y x π⎛⎫=- ⎪⎝⎭,即126y x π=-. 实训一(B )1.()()()20001sin010limlim lim sin 00x x x x f x f x f x x x x→→→-'====-.2.()()()()000002lim h f x h f x f x h f x h →+-+--()()()()0000022lim2h f x h f x hh f x h f x h →+-=+--()()()()00000022limlim 12h h f x h f x hh f x h f x h →→+-=⋅=+--. 其中()()()00002lim2h f x h f x f x h→+-'=,()()()()()00000021limh h f x f x h f x f x h f x →='+----⎡⎤⎡⎤⎣⎦⎣⎦. 3.因为3,02⎛⎫⎪⎝⎭不在21y x =上,不是切点.设过点3,02⎛⎫⎪⎝⎭与21y x =相切的切线的切点坐标为21,a a ⎛⎫ ⎪⎝⎭,则切点为21,a a ⎛⎫ ⎪⎝⎭的切线方程为:()2312Y X a a a -=--,有已知3,02⎛⎫ ⎪⎝⎭在切线上,带入可得1a =,所以切线方程为:()121y x -=--,即23y x =-+.实训二 (A )1.(1)223146y x x x '=+-; (2)11'ln n n y nx x x --=+; (3)21'41y x x =++; (4)2cosx cosx sinx'(x 1)x y +-=+. 2.(1)22'1xy x =+; (2)22'2sin3x 3cos3x x x y e e =+; (3)'y = (4)22sec cos122'csc sinx 2tan 2cos sin222x x y x x x x ====.3.(1)''2y =; (2)''2x x y e xe --=-+(3)222222(1x )2(2x)''224(1x )x y x x --+-==-+--; (4)2322222(1x)2''2arctanx 1(1x )x x x y x +-=++++. 4.(1)2212dy x xdx y y --+==;(2)x y x y dy y e y xy dx e x xy x++--==--. 【水箱注水】由24r h =,12r h =,22311133212h v r h h h πππ⎛⎫=== ⎪⎝⎭,两边求导得214v h h π''=,由已知2v '=,3h =,带入可得: 1294h π'=,89h π'=所以水位上升的速度为89π米/分.【梯子的滑动速度】由题意可得22100x y +=,两边求导可得:220dx dy xy dt dt +=,即dx y dy dt x dt=-, 将8y =,6x =,0.5dy dt =带入可得:820.563dy dt =-⨯=-.所以梯子的另一端华东的速度为23米/秒.负号表示运动方向. 实训二 (B )1.(1)11(1ln )e x e x y x x x e -=+++; (2)()()1112121y x x x ⎫'=--⎪⎪-+⎭. 2.()()cos sin x x y e x f e x ''=++. 3.将1y y xe -=两边对x 求导可得:0y y dy dy e xe dx dx --=,即1y ydy e dx xe =-.…………(1) 将0,1x y ==带入(1)可得:y e '=. 对(1)继续求导,()()()22121y y y y y y y e xe e e xy e y e xe ''----''==-.4.(1)22x z z xy x ∂'==∂, 22y zz yx y ∂'==∂; (2)2xy x z z ye xy x ∂'==+∂,2xy y z z xe x y∂'==+∂. 实训三 (A )1.填空题(1)单调递增区间,(),0-∞;单调递减区间()0,+∞. (2)6a =-.(3)驻点. (4)()00f x ''<.2.()()3444110y x x x x x '=-=-+=,得驻点1230,1,1x x x ==-=,单调递增区间:()()1.0 1.-+∞ ,单调递减区间:()().10.1-∞- .3.()()23693310y x x x x '=--=-+=,得驻点121,3x x =-=.又由于:66y x ''=-,()1120y ''-=-<,所以11x =-为极大点,极大值为0; ()360y ''=>,所以23x =为极小点,极小值为32-.【定价问题】21200080R PQ P P ==-,25000502500050(1200080)6250004000C Q P P =+=+-=-, 224000160T Q P ==-,21200080625000400024000160L R C T P P P P =--=--+-+28016160649000P P =-+-160161600L P '=-+=,解得:101P =, 167080L =.【售价与最大利润】1100200Q p =-,21100200R PQ P P ==-;220019004400L R C P P =-=+-,40019000L P '=-+=,解得 4.75P =此时:150Q =,112.5L =. 【最小平均成本】210000501000050x x c x x x ++==++;21000010c x '=-+=,解得100x =.【最大收入】315x R px xe -==,33155x x R exe--'=-3(155)0x x e-=-=,解得:3x =,此时115p e -=,145R e -=.实训三 (B )1.(1)设()1xf x e x =--,()10xf x e '=->(0x >),说明()f x 在0x >时单调递增,又()00f =,所以,当0x >时,()()00f x f >=,所以不等式成立. (2)设()()ln 1f x x x =-+,()1101f x x'=->+(0x >),说明()f x 在0x >时单调递增,又()00f =,所以,当0x >时,()()00f x f >=,所以不等式成立. 2.()cos cos3f x a x x '=+,没有不可导点,所以cos cos 033f a πππ⎛⎫'=+=⎪⎝⎭,得2a =.又()2sin 3sin3f x x x ''=--,03f π⎛⎫''=<⎪⎝⎭,所以3x π=为极大值点,极大值为3f π⎛⎫= ⎪⎝⎭【采购计划】 设批量为x ,采购费:132********200C x x =⨯=; 库存费:222xC x =⨯=;总费用:12640000C C C x x=+=+; 264000010C x'=-+=,解得800x =唯一驻点, 所以采购分4次,每次800吨,总费用最小.第三章自测题一、填空题 1. 2 2. 12-3. 21x -4. 1-5. 212c o s x xx+ 6. 17. 2l n3x + 8. 2 ; 09. 11ln ; ln y x y x yxy y x x xy --+⋅⋅+10. 12x =二、选择题1、C2、A3、A4、D5、A 三、计算解答题1、(1)([1]y x '''=+=+[12]()1x =⋅⋅⋅==(2)222()()2x x x x y e x e x xe e --'''=⋅+⋅-=- 2、方程221x y xy +-=两边对x 求导,得22()0x y y y x y ''+⋅-+= 解得:22y xy y x-'=-,将0,1x y ==代入,得切线斜率12k =,所以,切线方程为:11(0)2y x -=-,即:220x y -+=. 3、定义域(,)-∞+∞2363(2)y x x x x '=-=- 令0y '=,得驻点120,2x x ==递增区间:(,0)-∞、(2,)+∞ 递减区间:(0,2)极大值:(0)7f = 极小值:(2)3f = 四、应用题1、50S t ==(50)50dSt dt'== 所以,两船间的距离增加的速度为50千米/小时. 2、第四章 边际与弹性分析实训一(A )1.填空题(1)0.2x ∆=, 2.448y ∆=, 2.2dy =. (2)1x dy edx ==. (3)12dy x dx x ⎛⎫=+⎪⎝⎭. (4)cos(21)x +,2cos(21)x +. (5)[]()f g x ',[]()()f g x g x ''.2.(1)(12)dy x dx =+; (2)221dy dx x =+; (3)222(22)x x dy xe x e dx --=-; (4)322(1)dy x x dx -=-+; (5)23(1)1dy dx x =-+; (6)1dx dy x nx=. 3.()ln 11x y x x '=+++,11ln 22x y ='=+,所以11ln 22x dy dx =⎛⎫=+ ⎪⎝⎭. 【金属圆管截面积】2s r π=,2200.05ds r r πππ=∆=⨯=.实训一(B )1.(1)2sec x ;(2)1sin 5x 5;(3)2x ;(4)232x ;(5)21x +;(6)arctan x . 2.将x yxy e+=两边对x 求导,()1x yy xy ey +''+=+,解得:x y x ye yy x e ++-'=-,所以x y x ye ydy dx x e++-=-.3.(1110.001 1.00052≈+⨯=;(20.02221 2.001783⎛⎫==≈+= ⎪⨯⎝⎭; (3)()ln 1.01ln(10.01)0.01=+≈; (4)0.0510.05 1.05e ≈+=. 【圆盘面积的相对误差】2s r π=,0.2r ∆≤()'2s ds s r r r r π∆≈=∆=∆(1)()()22482240.29.65s ds cm cm πππ∆≈=⨯⨯==; (2)2220.22 1.67%24r r r s ds s s r r ππ∆∆∆≈===⨯≈. 实训二 (A )1.(1)()2'2x f x xe =;(2)[]1'()(1)a bf x x e a x ac --=++.2.(1)()21900110090017751200C =+⨯=;17757190036C ==. (2)()39002C '=,表示第901件产品的成本为32个单位;()51000 1.673C '=≈,表示第1001件产品的成本为53个单位. 3.(1)(50)9975R =;9975199.550R ==. (2)()502000.0250199R '=-⨯=,表示第51件产品的收入为199个单位. 4.22()()100.01520050.01200L R x C x x x x x x =-=---=--,50.020L x '=-=,解得唯一驻点250x =,所以当每批生产250个单位产品时,利润达到最大.实训二(B )1.()()()()()242,04282, 4x x x x L x R x C x x x ⎧--+≤≤⎪=-=⎨⎪-+>⎩, 即()232,0426, 4x x x L x x x ⎧-+-≤≤⎪=⎨⎪->⎩,求导()3,041, 4x x L x x -+≤<⎧'=⎨->⎩,令()0L x '=解得3x =百台(唯一驻点) 所以每年生产300台时,利润达到最大.()()430.5L L -=-万元,在最大利润的基础上再生产1百台,利润将减少0.5万元.2.()0.50.25C a a =+(万元)()2152R a aa =- ()22150.50.25 4.750.522a L a a a a a =---=-+-令() 4.750L a a '=-+=,解得 4.75a =(百台)又()10L a ''=-<,有极值的第二充分条件,可知当 4.75a =为最大值(唯一驻点) 所以该产品每年生产475台时,利润最大.实训三 (A )1.填空题 (1)1axy=;(2)21x Ey Ex ==;(3)1ln()4p η=-;(4)()334η=,()41η=,()554η=. 2.(1)15x η=; (2)3(3)5η=,价格为3时,价格上涨1%,需求下降0.6%,缺乏弹性;(5)1η=,价格为5时,价格上涨1%,需求下降1%,单位灵敏性; 6(6)5η=,价格为6时,价格上涨1%,需求下降1.2%. 3.(1)500P =元时,100000Q =张. (2)18002ppη=-.(3)1η=时,18002600p p p =-⇒=所以:当0600p ≤<时,1η<;当600900p <≤时,1η>.实训三 (B )1.(1)224202EQ x x Q Ex Q x '==--,243x EQ Ex ==-,所以价格增长5%,需求量减少6.7%;(2)()()3220R x xQ x x x ==--,x =403Q =.2.(1)2Q P '=-,48P Q ='=-,经济意义:在价格4P =的基础上,增加一个单位,需求量减少8个单位.(2)22275P P Q Q P η'=-=-,4320.542359P η===,经济意义,在4P =的基础上涨1%,需求减少0.54%.(3)375R PQ p p ==-,3375375p p p pη-=-,(4)0.46η=,经济意义,在4P =的基础上,若价格上涨1%,收入上涨0.46%.(4)198(6)0.46234η-=≈-,经济意义,在6P =的基础上,若价格上涨1%,收入减少0.46%. (5)375R p p =-,275305R p p '=-=⇒=,又6R p ''=-,()5300R ''=-<,所以由极值的第二充分条件,可知5P =时,总收入最大.第四章自测题一、填空题 1. 22 ; 2xxe e2.212x 3. arctan x4. 0.1 ; 0.63 ; 0.6 5. 45 ; 11 ; 456.10 ; 10% ; 变动富有弹性 7. 15%20% 8. 10% 二、选择题1、C2、B3、D4、A5、C 三、计算解答题1、(1)2222222()()2(2)x x x x y x e x e xe x e x ''''=⋅+⋅=+⋅2222222(1)x x x x e x e x e x =+=+ 22(1)xd y y d x xe x d x'∴==+ (2)222sin(12)[sin(12)]y x x ''=+⋅+2222s i n (12)c o s (12)(12)x x x '=+⋅+⋅+ 24s i n (24)x x =+ 24s i n (24)d y y d x x x d x'∴==+ 2、方程242ln y y x -=两边对x 求导,得31224dy dyy x dx y dx⋅-⋅⋅= 解得,3221dy x y dx y =-,3221x y dy dx y ∴=-3、四、应用题1、(1)()60.04C Q Q '=+ ()300()60.02C Q C Q Q Q Q==++(2)2300()0.02C Q Q'=-+令()0C Q '=,得Q = (3)2()()(204)204R Q P Q Q Q Q Q Q =⋅=-⋅=-2()()() 4.0214300L Q R Q C Q Q Q =-=-+- ()8.0414L Q Q '=-+ 令()0L Q =,得Q =2、 4Q P '=-(1)(6)24Q '=-,6P =时,价格上升1个单位,需求量减少24个单位.(2)22224(1502)15021502P P P Q P Q P P η''=-⋅=-⋅-=-- 24(6)13η=6P =时,价格变动1%,需求量变动2413% (3)23()()(1502)1502R P Q P P P P P P =⋅=-⋅=-33(1502)1502E R P PR P P E P R P P''=⋅=⋅--2215061502P P -=-61113P EREP==-6P =时,若价格下降2%,总收入将增加2213%第五章 经济总量问题分析实训一(A )1.填空题(1)3x ,3x C +; (2)3x ,3x C +; (3)cos x -,cos x C -+;(4C ; (5)arctan x ,arctan x C +.2.(1)B ; (2)C ; (3)D ; (4)A .3.(1)5322225x x C -+;(2)31cos 3xx e x C --+;(3)21x x C x-++; (4)(2)ln 2xe C e+. 4.(1)1arctan x C x--+;(2)sin cos x x C ++. 【曲线方程】由题意()21f x x '=+,所以()()()23113f x f x dx x dx x x C '==+=++⎰⎰,又过点()0,1带入,得到1C =,所以曲线方程为:()3113f x x x =++. 【总成本函数】由题意可得()220.01C x x x a =++,又固定成本为2000元,所以 ()220.012000C x x x =++. 【总收入函数】()()278 1.2780.6R x x dx x x C =-=-+⎰,由()000R C =⇒=,所以总收入函数为()2780.6R x x x =-.实训一(B )1.填空题(1)sin 2ln x x x +;(2)223cos3x e x +;(3)ln x x C +. 2.(1)D ; (2)B .3.(1)322233331u u u I du u du u u u -+-⎛⎫==-+- ⎪⎝⎭⎰⎰ 2133ln 2u u u C u=-+++; (2))32332333I dx x x C ===-+⎰;(3)()222222121212arctan 11x x I dx dx x C x x x x x ++⎛⎫==+=-++ ⎪++⎝⎭⎰⎰; (4)()()()1111tttt te e I dt edt e t C e +-==-=-++⎰⎰.实训二 (A )1.填空题 (1)212x ; (2)x e --; (3)ln x ; (4)arctan x ; (5)23x x +; (6)arcsin x . 2.(1)B ; (2)B .3.(1)()()()11cos 2121sin 2122I x d x x C =++=++⎰; (2)()()3212313139I x x C =+=++;(3)()()231ln ln ln 3I x d x x C ==+⎰;(4)111xx I e d e C x ⎛⎫=-=-+ ⎪⎝⎭⎰.4.(1)sin sin sin x xI e d x eC ==+⎰; (2)()()11ln 11x xx I d e e C e =+=+++⎰;(3)()()2222ln 22d x x I x x C x x -+==-++-+⎰;(4)22221111111x x x I dx dx x x x ++-⎛⎫==+- ⎪+++⎝⎭⎰⎰ 21l n (1)a r c t a n 2x x x C=++-+. 5.(1)()x x x x x I xd e xe e dx xe e C -----=-=-+=--+⎰⎰;(2)()()()ln 1ln 1ln 1I x dx x x xd x =+=+-+⎰⎰()()11ln 1ln 111x x x x dx x x dx x x +-=+-=+-++⎰⎰()()l n 1l n 1x x x x C =+-+++. 【需求函数】由已知,()111000ln3100033p pQ p dp C ⎛⎫⎛⎫=-⨯=+ ⎪ ⎪⎝⎭⎝⎭⎰ 又因为0p =时,1000Q =,代入上式,得到0C =.所以,()110003pQ p ⎛⎫= ⎪⎝⎭.【资本存量】由已知,32()2(1)y I t dt t C ===++⎰⎰因为0t =时,2500498y C C =+=⇒= 所以,322(1)498y t =++.实训二 (B )1.填空题(1)ln ()f x C +;(2)arctan(())f x C +;(3)'()()xf x f x C -+. 2.(1)()()2arctan 1x x x d e I e C e ==++⎰;(2)()()11131431dx I dx x x x x ⎛⎫==-⎪-+-+⎝⎭⎰⎰113l n 3l n 1l n 441x I x x C C x -=⎡--+⎤+=+⎣⎦+;(3)()()2arctan 111dxI x C x ==++++⎰;(4)()22222x x x x x I x d e x e e dx x e xe dx -----=-=-+=--⎰⎰⎰()22222x x x x x x I x e xe e C x e xe e C ------=----+=-+++. 【物体冷却模型】设()T t 为t 时刻物体的温度,由冷却定律可得:0()dTk T T dt=-, 分离变量0dT kdt T T =-,两边积分0dTkdt T T =-⎰⎰,可得:()0ln ln T T kt c -=+,0()kt T t T ce =+.由已知()0100T =,()160T =,020T =,带入得到:80c =,ln 2k =-, 所以ln2()2080t T t e -⋅=+, 当ln 23020803te t -⋅=+⇒=.实训三 (A )1.填空题 (1)122lim(1)nn i i n n→∞=+∑;(2)2)x dx -;(3)2π;(4)0. 2.(1)12010(3)3S x dx =+=⎰; (2)12218(2)3S x x dx -=--=⎰;(3)1303(1)4S x dx =-=⎰或034S ==⎰.实训三 (B )1.(1)分割:将[]0,4n 等分,每份长度为4n ;(2)近似代替:2412823i i n iA n n n⎡⎤+⎛⎫∆=⋅+= ⎪⎢⎥⎝⎭⎣⎦;(3)求和:()2212221111281281282nnni ii i n n n in n iA A n nn===++++≈∆===∑∑∑; (4)取极限:()2211282lim16n n n n A n→∞++==. 2.1sin xdx π⎰.3.22211113ln ln 222x dx x x x ⎛⎫⎛⎫-=-=- ⎪ ⎪⎝⎭⎝⎭⎰.实训四 (A )1.填空题(1)64;(2)1;(3)2π;(4)3;(5)1. 2.(1)()()()44341118111144I x d x x =--=-=⎰; (2)()()44223328I x dx xx =+=+=⎰;(几何上为直角三角形的面积)(3)22242200111222x x e I e dx e -===⎰; (4)2112111xx I e d e e x =-=-=⎰(5)01cos sin 222x x x I dx πππ++===⎰; (6)0;(利用当积分区间为对称区间,被积函数为奇函数时定积分的性质) (7)121211122222235I xdx xdx xdx xdx -=+=+=+=⎰⎰⎰⎰;(8)02sin 4I xdx π==⎰.(利用定积分的周期性)【资本存量问题】 (1)434211214I t ===⎰(万元);(4)33224422820 6.87x xtx x ⎛⎫==-=⇒=≈ ⎪⎝⎭⎰.【投资问题】01000P =,200A = 0.05()200T t tdP e dt-= 0.05()0.05020040004000TT t T t P edt e -==-+⎰ 10t =,0.5400040002595t P e=-+= 因为0.515741600T P e-≈<,所以,此项投资不恰当.实训四 (B )1.因为()1229214x dx --+=-⎰,()1129214x dx -+=⎰,()20216x dx +=⎰,()21214x dx +=⎰, ()3222213x dx +=⎰, 所以应该分两种情况: (1)因为()3403kf x dx =⎰,()()332240221816333k f x dx x dx -+=-==⎰⎰ 所以,0k =; (2)因为()()102112f x dx f x dx ---=⎰⎰,由对称性可知1k =-.2.对()21f x dx -⎰作代换令1x t -=(切记:定积分的换元要换限,积分值不变),则有:()()21011f x dx f t dt --=⎰⎰,所以,()()21101101112tte f x dx f t dt dt dt e t ---==+++⎰⎰⎰⎰ ()()()()001101011132ln 1ln 2ln 121t t td e ed te t e t e --+=++=+++=+++⎰⎰. 3.()()()()11111111I xf x dx xdf x x f x f x dx ----'===-⎰⎰⎰()()()()21111110x f f e f f --=+--=+-=.因为()()222x x f x e xe --'==-,()f x 为奇函数,所以()()110f f +-=.【储存费用问题】第五章自测题一、填空题 1.sin x x e c ++2.5314453x x x c -++ 3.ln xdx4.21ln 2x c +5.196.327.94π8.21200 ;200Q Q - 9.二、选择题1、D2、B3、A4、B5、C 三、计算解答题 1、(1)原式=1111()(3)(2)532dx dx x x x x =--+-+⎰⎰ 113[l n 3l n 2]l n 552x x x c cx -=--++=++ (2)原式=22111112sin ()cos cos cos1d x x x πππ-==-⎰2、(1)222222212(1)()()(1)(1)x x x F x G x dx dx x x x x ++++==++⎰⎰22111()arctan 1dx x c x x x=+=-+++⎰(2)222222212(1)3()()(1)(1)x x x F x G x dx dx x x x x -+--==++⎰⎰ 22131()3arctan 1dx x c x x x=-=--++⎰3、原式=31222(1)(1)1)33x x =+=+=⎰⎰四、应用题 1、(1)32412)2(24S x x dx x x =-=-=(2)1100()()1x x S e e dx ex e =-=-=⎰2、(1)2()()(100020)C Q C Q dQ Q Q dQ '==-+⎰⎰2311000103Q Q Q c =-++(0)9000C = ,9000c ∴=, 321()10100090003C Q Q Q Q ∴=-++ ()3400R Q Q = 321()()()10240090003L Q R Q C Q Q Q Q =-=-++- (2)令()()R Q C Q ''=,得60Q = 最大利润(60)99000L =(元) 3、.期末考试(90分钟)一、选择题(每题3分,共9分)1、设()0, 0x f x k x ≠=⎪=⎩在0x =处连续,问k =( )。
经济数学基础形成性考核册及参考答案作业(一)(一)填空题 1. .答案: 02.设 , 在 处连续, 则 .答案:13.曲线 在 的切线方程是 .答案:4.设函数 , 则 .答案:5.设 , 则 .答案: (二)单项选择题1.函数 的连续区间是....)答案: D A. B. C. D. 或2.下列极限计算正确的是... )答案:B A.1lim=→xx x B.1lim 0=+→xx xC.11sinlim 0=→x x x D.1sin lim =∞→xx x3.设 , 则 (. ). 答案: ........A. B. C. D.4.若函数.(x)在点x0处可导,则.. )是错误的. 答案: .. A .函数f (x)在点x0处有定义 B . , 但C. 函数f (x)在点x0处连续D. 函数f (x)在点x0处可微 5.当 时,下列变量是无穷小量的是...).答案: C A. B. C. D. (三)解答题 1. 计算极限(1)=-+-→123lim 221x x x x )1)(1()1)(2(lim 1+---→x x x x x = )1(2lim 1+-→x x x = 21- (2)8665lim 222+-+-→x x x x x =)4)(2()3)(2(lim 2----→x x x x x = )4(3lim 2--→x x x = 21(3)x x x 11lim 0--→=)11()11)(11(lim 0+-+---→x x x x x=)11(lim+--→x x x x =21)11(1lim 0-=+--→x x(4)=+++-∞→42353lim22x x x x x 31423531lim 22=+++-∞→xx x x x(5)=→x x x 5sin 3sin lim0535sin 33sin 5lim 0x x x x x →=53(6)=--→)2sin(4lim 22x x x 4)2sin()2)(2(lim 2=-+-→x x x x2. 设函数 ,问: (1)当 为何值时, 在 处有极限存在? (2)当 为何值时, 在 处连续.答案: (1)当 , 任意时, 在 处有极限存在; (2)当 时, 在 处连续。
第17题: 下面哪一个可以用泊松分布来衡量( B)。
A一个班学生们的身高B一段道路上碰到坑的次数C投掷硬币时遇到正面朝上的概率D某稀有金属的半衰期长短第18题: 线性回归方法是做出这样一条直线,使得它与坐标系中具有一定线性关系的各点的( C)为最小。
A水平距离的平方和B垂直距离的和C垂直距离的平方和D垂直距离的平方第19题: 当两变量的相关系数接近相关系数的最小取值-1时,表示这两个随机变量之间( B)。
A几乎没有什么相关性B近乎完全负相关C近乎完全正相关D可以直接用一个变量代替另一个第20题: 关于概率,下列说法正确的是( ABC)。
A是度量某一事件发生的可能性的方法B概率分布是不确定事件发生的可能性的一种数学模型C值介于0和1之间D所有未发生的事件的概率值一定比1小第21题: 下列哪些方面需要用到概率知识分析其不确定性( ABC )。
A外汇走势B不良贷款率预测C证卷走势D税收确认第22题: 什么样的情况下,可以应用古典概率或先验概率方法( BD )。
A不确定有什么样的结果空间B不确定结果的范围是已知的C不确定结果发生的概率不一样D不确定结果具有等可能性第23题: 关于协方差,下列说法正确的有( ABD )。
A协方差体现的两个随机变量随机变动时的相关程度B如果P=1,则I 和n有完全的正线性相关关系C方差越大,协方差越大D Cov(x,η)=E(X-EX)( η-Eη)第24题: 关于中位数,下列理解错误的有( BC )。
A当所获得的数据资料呈偏态分布时,中位数的代表性优于算术平均数B当观测值个数为偶数时,(n+1)/2位置的观测值,即X(n+1)/2为中位数C当观测值个数为偶数时,(n+1)/2位置的观测值,X(n+1)/2为中位数D将资料内所有观测值从小到大一次排列,位于中间的那个观测值,称为中位数第25题: 线性回归时,在各点的坐标为已知的前提下,要获得回归直线的方程就是要确定该直线的( BD )。
经济数学基础形成性考核册参考答案经济数学基础作业1一、填空题: 1、0; 2、1;3、x -2y +1=0;4、2x ;5、-2π;二、单项选择题: 1、D ; 2、B ; 3、B ; 4、B ; 5、B ; 三、解答题 1、计算极限(1)解:原式=1lim→x )1)(1()2)(1(+---x x x x=1lim→x 12+-x x=21(2)解:原式=2lim→x )4)(2()3)(2(----x x x x=2lim→x 43--x x=-21(3)解:原式=0lim→s xx x )11(11+---=lim →s 111+--x=-21(4)解:原式=∞→s lim 22423531xx x x +++-=21(5)解:∵x 0→时,xx sm x x sm 5~53~3∴0lim→x xsm xsm 53=0lim→x xx53=53(6)解:2lim→x )2sin(42--x x =2lim →x 242--x x=2lim→x (x+2)=4 2、设函数: 解:0lim →x f(x)=0lim →x (sin x1+b)=b+→0lim x f(x)=+→0lim x xxsin 1≤(1)要使f(x)在x=0处有极限,只要b=1, (2)要使f(x)在x=0处连续,则-→0lim x f(x)=+→0lim x =f(0)=a即a=b=1时,f(x)在x=0处连续 3、计算函数的导数或微分: (1)解:y '=2x +2xlog 2+2log1x(2)解:y '=2)()()(d cx cb ax d cx a ++-+=2)(d cx bc ad +-(3)解:y '=[)53(21--x ]'=-21)53(23--x ·(3x-5)' =-23)53(23--x(4)解:y '=x21-(e x+xe x)=x21-e x -xe x(5)解:∵y '=ae ax sinbx+be ax cosbx =e ax (asmbx+bcosbx) ∴dy=e ax (asmbx+bcosbx)dx(6)解: ∵y '=-21xe x1+23x 21∴dy=(-21xex1+23x)dx(7)解:∵y '=-x21+sin x +xex22-∴dy=(xex22--x21 sin x )dx(8)解:∵y '=nsin n -1x+ncosnx∴dy=n(nsin n -1+ cosnx)dx(9)解:∵y '=)1221(1122xx xx ++++=211x+∴dxxdy 211+=(10)解:xxxxxotxxxxy y 652321cot226121116121ln 1csc1222--+-⋅='-++=4、(1)解:方程两边对x 求导得 2x+2yy '-y-xy '+3=0 (2y-x)y '=y -2x -3 y '=xy x y ---232∴dy=dxxy x y ---232(2)解:方程两边对x 求导得:Cos(x+y )·(1+y ')+e xy (y+xy ')=4 [cos(x+y)+xe xy ]y '=4-cos(x+y)-ye xy y '=xyxey x yexy y x ++-+-)cos()cos(45.(1)解:∵y '=22212)1(11Xx x x+='+∙+2222)1(22)1(1)12(X XX X XX Y +∙-+='+=''=222)1()1(2X X +-(2)解:)()1(2121'-='-='-xxxx xy=x x21212123----)(212122'-=''---xx yx x41432325--+14143)1(=+=''y经济数学基础作业2一、填空题:1、2x ln 2+2 2、sinx+C3、-C x F +-)1(2124、ln(1+x 2)5、-211x+二、单项选择题: 1、D 2、C 3、C 4、D 5、B三、解答题:1、计算下列不定积分: (1)解:原式=⎰dx e x )3(= Cee x +3ln )3(=Cx e +-13ln )3((2)解:原式=dxXXXX X)21(2⎰++=Cxxx +++523422221(3)解:原式=⎰++-dxx x x 2)2)(2(=⎰-dx x )2( =Cx x+-222(4)解:原式=-⎰--)21(21121x d x=-x 21ln 21-+C (5)解原式=⎰+2212)2(21dxx=⎰++)2()2(212212x d x=C x ++232)2(31(6)解:原式=Z ⎰xd x sin=-2cos C x + (7)解:原式=-2⎰2cos x xd=-2xcos ⎰+dxx x 2cos 22 =-2xcos Cx smx ++242(8)解:原式=⎰++)1()1ln(x d x=(x+1)ln(x+1)-⎰++)1ln()1(x d x =(x+1)ln(x+1)-x+c2、计算下列积分 (1)解:原式=⎰⎰-+--dx x dx x )1(12)1(11=(x-12)2(11)222x xx-+-=2+21=25(2)解:原式=⎰-xde x 1121=121xe -=e e -(3)解:原式=⎰+x d xeln ln 1113=⎰++-)1(ln )ln 1(1213x d x e=1)ln 1(2321ex +=4-2 =2(4)解:原式=xxdsm 22102⎰π=⎰-xdxsm xxsm 2021022122ππ=02cos 412πx=21-(5)解:原式=⎰xx xde2ln 1=dxxx e e xx⎰--12211ln 22=⎰-dx xe e 2122=14222exe-=)414(222--ee=412+e(6)解:原式=⎰⎰-+dxxedx x404=4+⎰--x xde 04=⎰-----)(0444x d exexx=04444xee----=14444+----e e =455--e经济数学基础作业3一、填空题: 1. 3 2. -723. A 与B 可交换4. (I-B )-1A5. 3100210001-二、单项选择题:1.C2.A3.C4.A5.B三、解答题 1、解:原式=⎥⎦⎤⎢⎣⎡⨯+⨯⨯+⨯⨯+⨯-⨯+⨯-0315130501121102 =⎥⎦⎤⎢⎣⎡53212、解:原式=⎥⎦⎤⎢⎣⎡⨯-⨯⨯-⨯⨯+⨯⨯+⨯0310031002100210 =⎥⎦⎤⎢⎣⎡00003、解:原式=[]24)1(50231⨯+-⨯+⨯+⨯- =[]02、计算:解:原式=⎥⎥⎥⎦⎤⎢⎢⎢⎣⎡----⎥⎥⎥⎦⎤⎢⎢⎢⎣⎡--142301215427401277197=⎥⎥⎥⎦⎤⎢⎢⎢⎣⎡--+-------7724300012675741927 =⎥⎥⎥⎦⎤⎢⎢⎢⎣⎡---1423012121553、设矩阵:解:222321013211023210132)2(21)1(110111132=--=--+---=A011211321==B0=∙=∴B A AB4、设矩阵:解:A=⎥⎥⎥⎦⎤⎢⎢⎢⎣⎡-⇒⎥⎥⎥⎦⎤⎢⎢⎢⎣⎡0110214742101112421λλ要使r (A )最小。
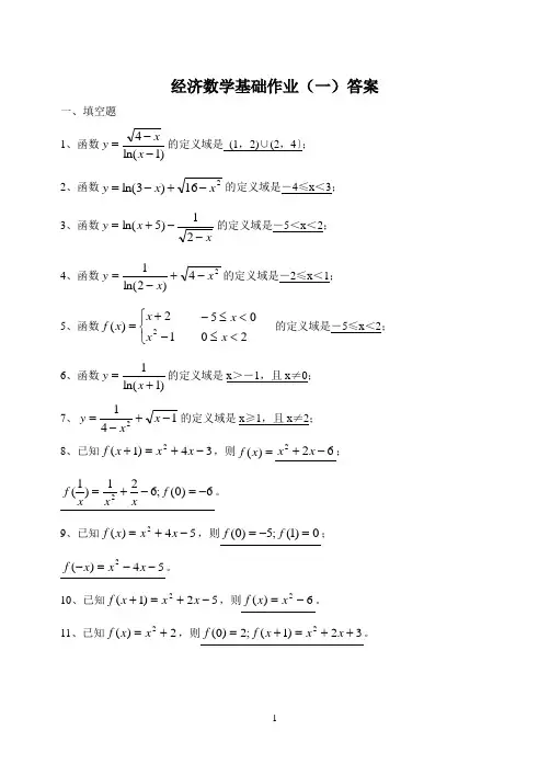
经济数学基础作业(一)答案一、填空题1、函数)1ln(4--=x xy 的定义域是 (1,2)∪(2,4〕;2、函数216)3ln(x x y -+-=的定义域是-4≤x <3;3、函数xx y --+=21)5ln(的定义域是-5<x <2; 4、函数24)2ln(1x x y -+-=的定义域是-2≤x <1; 5、函数⎩⎨⎧-+=12)(2x x x f 2005<≤<≤-x x 的定义域是-5≤x <2; 6、函数)1ln(1+=x y 的定义域是x >-1,且x ≠0; 7、1412-+-=x x y 的定义域是x ≥1,且x ≠2;8、已知34)1(2-+=+x x x f ,则=)(x f 622-+x x ;6)0(;621)1(2-=-+=f x x x f 。
9、已知54)(2-+=x x x f ,则0)1(;5)0(=-=f f ;54)(2--=-x x x f 。
10、已知52)1(2-+=+x x x f ,则6)(2-=x x f 。
11、已知2)(2+=x x f ,则32)1(;2)0(2++=+=x x x f f 。
12、已知函数1)(-=x xx f ,则x x x f 1)1(+=+。
13、已知x x x f +=+2)1(,则23)1(;)(2422+-=--=x x x f x x x f 。
14、生产某种产品的固定成本为2000元,每生产一个单位产品,成本增加4元,则生产x 个单位产品的总成本函数为x y 42000+=,此时的平均成本函数为42000+=x y 。
15、某商品的需求规律是P=25-2X (P 为商品价格,x 为需求量)供应规律是P=3X+5(P 为价格,x 为供应量),则均衡价格是 17,均衡数量是 4 。
16、已知某产品当产量为x 时的成本为48643.0)(2++=x x x f ,且平均需求规律为 x = 200 – 5P (x 为销售量,P 为价格),则利润函数为4865.036)(2--=x x x f 。
《经济数学基础》作业参考答案作业一参考答案一、填空题 1、0;2、1;3、x-2y+1=0;4、2x ;5、-π/2 二、单项选择题 DBBBB 三、解答题 1. 计算极限(1) 解:原式=lim1→x )1+)(1-()2-)(1-(x x x x =-21(2) 解:原式=lim2→x )4-)(2-()3-)(2-(x x x x =21(3) 解:原式=lim→x 1+-11-x =-21(4) 解:原式=lim∞→x 22x4+x2+3x 5+x 3-1=31(5) 解:原式=lim→x 5xsin5x *53xsin3x*3=53 (6) 解:原式=lim2→x )2-sin()2+)(2-(x x x =42、解:(1)∵lim -0→x f(x)=lim-0→x (xsinx1+b)=blim+0→x f(x)=lim+0→x xx sin =1∴要使f(x)在x=0处极限存在,必须b=1,a 可取任何实数。
(2)要使f(x)在x=0处连续,必须lim 0→x f(x)=f(0)=a∴a=b=1.3、计算下列各函数的导数或微分(1) y =x 2+2x +log 2x -22 求y ' 解:()()()()222''2'log '2'x y x x =++-122ln 2ln 2xx x =++(2) y =(ax+b)/(cx+d), 求y ' 解:()()()()()2'''ax b cx d ax b cx d y cx d ++-++=+ ()()()2a cx d axb ccx d +-+=+()2ad bccx d -=+(3)1y =,求y '解:()()()'111221'353535'2y x x x ---⎡⎤=-=--⋅-⎢⎥⎣⎦()323352x -=--。
(4),xy xe =-求y '解:()()()11221'''''2xxxy x xe xx ex e-⎛⎫=-=-+ ⎪⎝⎭()1212xxxexe-=-+()12112xxex -=-+(5)y=e ax sinbx ,求dy 。
【经济数学基础】形考作业一答案:(一)填空题 1、___________________sin lim=-→xxx x 答案:0 2、设 ⎝⎛=≠+=0,0,1)(2x k x x x f ,在0=x 处连续,则________=k 、答案:1 3、曲线x y =在)1,1(的切线方程就是 、答案:2121+=x y 4、设函数52)1(2++=+x x x f ,则____________)(='x f 、答案:x 25、设x x x f sin )(=,则__________)2π(=''f 2π-(二)单项选择题1、 函数+∞→x ,下列变量为无穷小量就是( D ) A.)1(x In + B.1/2+x xC.21x e - D.xxsin2、 下列极限计算正确的就是( B ) A 、1lim=→xx x B 、1lim 0=+→xx xC 、11sinlim 0=→x x x D 、1sin lim =∞→xx x3、 设y x =lg2,则d y =( B ). A.12d x x B.1d x x ln10 C.ln10x x d D.1d xx 4、 若函数f (x )在点x 0处可导,则( B )就是错误的.A.函数f (x )在点x 0处有定义B.A x f x x =→)(lim 0,但)(0x f A ≠C.函数f (x )在点x 0处连续D.函数f (x )在点x 0处可微5、若x xf =)1(,则()('=x f B )A.1/ 2xB.-1/2xC.x 1D.x1-(三)解答题 1.计算极限(1)21123lim221-=-+-→x x x x (2)218665lim 222=+-+-→x x x x x(3)2111lim0-=--→x x x (4)3142353lim 22=+++-∞→x x x x x (5)535sin 3sin lim 0=→x x x (6)4)2sin(4lim22=--→x x x 2.设函数⎪⎪⎩⎪⎪⎨⎧>=<+=0sin 0,0,1sin )(x x xx a x b x x x f ,问:(1)当b a ,为何值时,)(x f 在0=x 处有极限存在? (2)当b a ,为何值时,)(x f 在0=x 处连续、答案:(1)当1=b ,a 任意时,)(x f 在0=x 处有极限存在; (2)当1==b a 时,)(x f 在0=x 处连续。
经济数学基础作业1及解答(一)填空题 1.___________________sin lim=-→xxx x .答案:0 2.设 ⎝⎛=≠+=0,0,1)(2x k x x x f ,在0=x 处连续,则________=k .答案:13.曲线x y =在)2,1(的切线方程是 .答案:2321+=x y4.设函数52)1(2++=+x x x f ,则____________)(='x f .答案:x 25.设x x x f sin )(=,则__________)2π(=''f .答案:2π-(二)单项选择题1. 当+∞→x 时,下列变量是无穷小量的是( ).答案:DA .()x +1lnB .12+x xC .21x e- D .xxsin 2. 下列极限计算正确的是( )答案:B A.1lim=→xx x B.1lim 0=+→xx xC.11sinlim 0=→x x x D.1sin lim =∞→xx x3. 设y x =lg2,则d y =( ).答案:B A .12d x x B .1d x x ln10 C .ln10x x d D .1d xx 4. 若函数f (x )在点x 0处可导,则( )是错误的.答案:BA .函数f (x )在点x 0处有定义B .A x f x x =→)(lim 0,但)(0x f A ≠C .函数f (x )在点x 0处连续D .函数f (x )在点x 0处可微 5.若x x f =⎪⎭⎫ ⎝⎛1,则()()='x f .A.21x B.21x- C.x 1 D.x 1- 答案:B(三)解答题 1.计算极限(1)123lim 221-+-→x x x x 解:2112lim )1()1()2()1(lim 123lim 11221-=+-=+⋅--⋅-=-+-→→→x x x x x x x x x x x x (2)8665lim 222+-+-→x x x x x解:2143lim )4()2()3()2(lim 8665lim 22222=--=-⋅--⋅-=+-+-→→→x x x x x x x x x x x x x(3)xx x 11lim--→ 解:)11(11lim)11()11)(11(lim 11lim000+---=+-+---=--→→→x x x x x x x x x x x x 21111l i m-=+--=→x x(4)423532lim 22+++-∞→x x x x x解:32423532lim 423532lim 2222=+++-=+++-∞→∞→xx x x x x x x x x(5)xxx 5sin 3sin lim 0→解: 535355sin 33sin lim 5sin 3sin lim00=⋅=→→xx x xx x x x (6))2sin(4lim 22--→x x x解:41222)2sin(2lim )2sin()2()2(lim )2sin(4lim2222=+=--+=-+⋅---→→→x x x x x x x x x x x2.设函数⎪⎪⎩⎪⎪⎨⎧>=<+=0sin 0,0,1sin )(x x xx a x b x x x f ,问:(1)当b a ,为何值时,)(x f 在0=x 处有极限存在? (2)当b a ,为何值时,)(x f 在0=x 处连续. 解: b b xx x f x x =+⋅=--→→)1sin (lim )(lim 01sin lim )(lim 0==++→→xxx f x x ∴(1)当1=b 时,1)(lim )(lim 00==+-→→x f x f x x )(x f 在0=x 处有极限存在,此时a 可取任何值。
经济数学基础课后习题答案刘振兴1、二次函数y=3x2-4x+5的二次项系数是()。
[单选题] *3(正确答案)4512、1.如果点M(a+3,a+1)在直角坐标系的x轴上,那么点M的坐标为()[单选题] *A.(0,-2)B.(2,0)(正确答案)C.(4,0)D.(0,-4)3、45.下列运算正确的是()[单选题] *A.(5﹣m)(5+m)=m2﹣25B.(1﹣3m)(1+3m)=1﹣3m2C.(﹣4﹣3n)(﹣4+3n)=﹣9n2+16(正确答案)D.(2ab﹣n)(2ab+n)=4ab2﹣n24、下列各式计算正确的是( ) [单选题] *A. (x3)3=x?B. a?·a?=a2?C. [(-x)3]3=(-x)?(正确答案)D. -(a2)?=a1?5、23.若A、B是火车行驶的两个站点,两站之间有5个车站,在这段线路上往返行车,需印制()种车票.[单选题] *A.49B.42(正确答案)C.21D.206、若tan(π-α)>0且cosα>0,则角α的终边在()[单选题] *A.第一象限B.第二象限C.第三象限D.第四象限(正确答案)7、函数y= 的最小正周期是()[单选题] *A、B、(正确答案)C、2D、48、要使多项式不含的一次项,则与的关系是()[单选题] *A. 相等(正确答案)B. 互为相反数C. 互为倒数D. 乘积为19、14.数﹣在数轴上的位置可以是()[单选题] *A.点A与点B之间(正确答案)B.点B与点O之间C.点O与点D之间D.点D与点E之间10、(正确答案)函数y=4x+3的定义域是()。
[单选题] *(-∞,+∞)(正确答案)(+∞,-∞)(1,+∞)(0,+∞)11、函数y=ax2+bx+c(a、b、c是常数,a≠0)是()。
[单选题] *正比例函数一次函数反比例函数二次函数12、24.下列各数中,绝对值最大的数是()[单选题] *A.0B.2C.﹣3(正确答案)D.113、若2? =3,2?=4,则23??2?等于( ) [单选题] *A. 7B. 12C. 432(正确答案)D. 10814、16.若过多边形的每一个顶点只有6条对角线,则这个多边形是()[单选题] * A.六边形B.八边形C.九边形(正确答案)D.十边形15、43.已知a+b=﹣3,a﹣b=1,则a2﹣b2的值是()[单选题] *A.8B.3C.﹣3(正确答案)D.1016、下列计算正确的是()[单选题] *A. a2+a2=2a?B. 4x﹣9x+6x=1C. (﹣2x2y)3=﹣8x?y3(正确答案)D. a6÷a3=a217、23、在直角坐标平面内有点A,B,C,D,那么四边形ABCD的面积等于()[单选题]A. 1B. 2C. 4(正确答案)D. 2.518、45、下列说法错误的是()[单选题] *A.三角形的高、中线、角平分线都是线段B.三角形的三条中线都在三角形内部C.锐角三角形的三条高一定交于同一点D.三角形的三条高、三条中线、三条角平分线都交于同一点(正确答案)19、?方程x2?+2X-3=0的根是(? ? ? ??)[单选题] *A、X1=-3, X2=1(正确答案)B、X1=3 ,X2=-1C、X1=3, X2=1D. X1=-3, X2=-120、7人小组选出2名同学作正副组长,共有选法()种。
宁波电大07秋《经济数学基础(综合)》作业1 参考答案第一篇 微分学一、单项选择题1. 下列等式中成立的是(D).A . e x x x =+∞→2)11(lim B .e xx x =+∞→)21(limC .e x x x =+∞→)211(lim D . e xx x =++∞→2)11(lim2. 下列各函数对中,( B )中的两个函数相等.A .2)(,)(x x g x x f == B .x x g x x f ln 5)(,ln )(5==C .x x g x x f ln )(,)(==D .2)(,24)(2-=+-=x x g x x x f 3. 下列各式中,( D )的极限值为1 .A .x x x 1sinlim 0→ B .x x x sin lim ∞→ C .x x x sin lim 2π→D . x x x 1sin lim ∞→4. 函数的定义域是5arcsin 9x 1y 2x+-=( B ).A .[]5,5-B .[)(]5,33,5U --C .()()+∞-∞-,33,UD .[]5,3-5. ()==⎪⎩⎪⎨⎧=≠=a ,0x 0xa 0 x 3x tan )(则处连续在点x x f ( B ). A .31B . 3C . 1D . 0 6. 设某产品的需求量Q 与价格P 的函数关系为则边际收益函数为,2p -3e Q =( C ).A .2p -e 23- B .23p Pe - C .2)233(p e P -- D .2)33(pe P -+7. 函数24)(2--=x x x f 在x = 2点( B ).A. 有定义B. 有极限C. 没有极限D. 既无定义又无极限8. 若x x f 2cos )(=,则='')2(πf ( C ).A .0B .1C . 4D .-4 9. 曲线x x y -=3在点(1,0)处的切线是( A ).A . 22-=x yB . 22+-=x yC . 22+=x yD . 22--=x y10. 设某产品的需求量q 与价格p 的函数关系为bp -a q =)为常数0b (a, >,则需求量Q 对价格的弹性是( D ). A. b - B.b -a b - C. %b-a b- D.bp -a bp 11. 已知函数⎩⎨⎧>≤=0x e x x -1x f x -0)(,则f(x)在点0x =处( C ).A . 间断B . 导数不存在C . 导数()1-=0f 'D . 导数()1=0f '12. 若函数)1()1(-=-x x x f ,则=)(x f ( B ).A . )1(-x xB . x (x+1)C . )1)(1(+-x xD . 2)1(-x 13. 设函数()()=--+→hh x f h x f x f 22lim,x )(000h 0则可导在( D ).A .()0x f 41 B .()0'x f 21C .()0'x fD .()0'x 4f 14. 设函数,xlnxy =则下列结论正确的是( A ). A .在(0,e)内单调增加 B .在(0,e)内单调减少 C .在(1,+∞)内单调增加 D .在(e,+∞)内单调增加 15. 设方程=-==112x '3y, x y y xy 则的函数是确定 ( D )A . 0B . 2C . 1D . -1二、填空题1. 函数xx x f --+=21)5ln()(的定义域是)2,5(-.2. 已知某产品的成本函数为C (q ) = 80 + 2q ,则当产量q = 50时,该产品的平均成本为3.6 .3. 函数⎪⎩⎪⎨⎧+=2)1ln(xax f(x) 00=≠x x 在0=x 处连续,则常数a 的值为2a =. 4. 抛物线)0(22>=p px y ,在点M ),2(p p 的切线方程是2p x y +=.5. 设函数)sin(ln 3x y =,则=dx dy )cos(ln 33x x. 6. 已知某商品的需求函数为q = 180 – 4p ,其中p 为该商品的价格,则该商品的收入函数 R (q ) = 45q – 0.25q 2.7. 设)1ln()(x x x f +-=有极值,则其极值是极小值0.8. 设)0(1)1(2>++=x x x xf ,则f (x )= x x 112++.9. 设x xy ln =,则==122x dx y d -3 .10. =-→1x 1)-sin(x lim1x 2.三、解答题1. 求下列极限:⑴ )4421(lim 22---→x x x ⑵ 1)211(lim +∞→-x x x ⑶ 625)32)(1()13()21(lim--++-∞→x x x x x x 解:⑴ 原极限=)44)2)(2(2(lim 22--+-+→x x x x x =)2)(2(2lim 2-+-→x x x x =41)2(1lim2=+→x x ⑵ 原极限=)211(lim )211(lim xx x x x --∞→∞→=1e 21⨯-=21e -⑶ 原极限=23)32)(11()113()21(lim625-=--++-∞→xx x x x x2. 求下列函数的导数y ':⑴ y xx x--=1cos 2 ⑵ y =32ln 1x + ⑶ )cos (sin e x x y x-= 解:⑴ y '(x ) =2)1(cos )1(sin )1(2ln 2x x x x x------=2)1(sin )1(cos 2ln 2x x x x x----⑵ )ln 1()ln 1(312322'++='-x x y =x x x ln 2)ln 1(31322-+=x x xln )ln 1(32322-+ ⑶ )cos (sin )cos (sin )(])cos (sin e ['-+-'='-='x x e x x e x x y xx xx e x x e x x e x x x sin 2)sin (cos )cos (sin =++-=3. 设⎪⎪⎩⎪⎪⎨⎧>+=<-=0 x ,x bx)ln(10 x , a 0 x , cos 1)(2x xx f 问当a 、b 为何值时,)(x f 在0=x 处连续?解:a f =)0(. 当0<x 时,xx x x x x x x x x f cos 11sin )cos 1()cos 1)(cos 1(cos 1)(2222+⋅=++-=-= 211111cos 11lim )sin (lim )(lim 2020=+⨯=+⋅=∴---→→→x x x x f x x x而 b e b bx b bx bxb x bx x f bx x x x x ==+=+⋅=+=++++→→→→ln )1ln(lim )1ln(1lim )1ln(lim )(lim 10000 由于)(x f 在0=x 处连续的条件是极限)(lim 0x f x →存在,且极限值等于)0(f ,即)0()(lim )(lim 00f x f x f x x ==+-→→据此即得 21==b a 4. 设 y = f (x ) 由方程 x y x y=++e )cos(确定,求y '解:两边取对求导)()e (])[cos('='+'+x y x y1e ]1)[sin(='+'++-y y y x y)sin(e )sin(1y x y x y y+-++=' 5. 下列各方程中y 是x 的隐函数,试求y d : ⑴ 4e)sin(=++xyy x ⑵ 1ln ln =+x y y x ⑶ 222e xy e y =-解:(1)方程两边对x 求导,得0)(e )1()cos(='+⋅+'+⋅+y x y y y x xy解出y ',得xy xy xe y x ye y x y ++++-=')cos()cos( ∴ dx xey x ye y x dy xyxy++++-=)cos()cos( (2)方程两边对x 求导,得01ln 1ln =⋅+'+'⋅⋅+xy x y y y x y 解出y ',得22ln ln x x xy y y xy y ++-=' ∴dx xx xy y y xy dy 22ln ln ++-= ⑶ 方程222e xy ey=-两边对x 求导,得0)2(222='⋅⋅+-'⋅⋅y y x y y e y解出y ',得xy e y y y 2222-=' ∴dx xy e y dy y)(222-= 6. 确定下列函数的单调区间。
⑴ 1--=x e y x⑵ x x y -=3223⑶ )1ln(x x y +-=解: ⑴ 0,01>⇒>-='x e y x,函数单增区间为),0[∞,单减区间为]0,(-∞。
⑵ 10,0131><⇒>-='-x x y ,函数单增区间为]1,0[,单减区间为),1[]0,(∞-∞U 。
⑶ 10,01-<>⇒>+='x x xxy 或,函数单增区间为),0[∞,单减区间为]0,1(-。
7. 求下列函数在指定区间的最大值与最小值。
⑴233)(x x x f -=,[-1,4] ⑵x x x f -+=1)(,[-5,1] ⑶)1ln()(2+=x x f ,[-1,2]解: ⑴ )2(3-='x x f ,0)0(=f ,4)2(-=f ,4)1(-=-f ,16)4(=f ,最大值为16)4(=f ,最小值为4)1()2(-=-=f f 。
⑵ xf --='1211,45)43(=f ,65)5(+-=-f ,1)1(=f , 最大值为45)43(=f ,最小值为65)5(+-=-f 。
⑶ 122+='x xf ,0)0(=f ,2ln )1(=-f ,5ln )2(=f , 最大值为5ln )2(=f ,最小值为0)0(=f 。
8. 设某工厂生产某产品的固定成本为50000元,每生产一个单位产品,成本增加100元。
又已知需求函数p q 42000-=,其中p 为价格,q 为产量,这种产品在市场上是畅销的,问价格为多少时利润最大?并求最大利润.解:C (p ) = 50000+100q = 50000+100(2000-4p )=250000-400pR (p ) =pq = p (2000-4p )= 2000p -4p 2利润函数L (p ) = R (p ) - C (p ) =2400p -4p 2 -250000,且令)(p L '=2400 – 8p = 0 得p =300,该问题确实存在最大值. 所以,当价格为p =300元时,利润最大. 最大利润 1100025000030043002400)300(2=-⨯-⨯=L (元). 9. 试证:可微偶函数的导数为奇函数.证:设f (x )为可微偶函数,即f (x ) = f (-x ),则f ' (x ) = (f (x ))'= (f (-x ))'=f ' (-x ) (-x )'= -f ' (-x )即 f ' (-x ) = -f ' (x )所以 f ' (x ) 为奇函数.10. 试证:当0>x 时,)1ln(x x +>.证:设F (x ) = x – ln(1+x )因为 xx F +-='111)( 当x >0时,)(x F '>0,即F (x )单调增加. 有 F (x ) > F (0) = 0 x – ln(1+x ) > 0所以,当x >0时,x > ln(1+x )宁波电大06秋《经济数学基础(综合)》作业2参考答案第二篇 积分学一、单项选择题1. 若)(x F 为)(x f 的一个原函数,则⎰=+dx x f )23(( C ). A .C x F ++)23( B .C x F +)(31 C .C x F ++)23(31D .C x F +)( 2. 若=⎰dx x f e x)f '-2x )(,(则的一个原函数是( B ). A .-2xeB .C +-2x2e- C .2x -e 21- D .C +2x -e 21-3. 设R '(q )=100-4q ,若销售量由10单位减少到5单位,则收入R 的改变量是( B ).A .-550B .-350C .350D .以上都不对 4. 若f (x )的一个原函数为x ln ,则=)('x f ( D ). A. x ln B. x x ln C.x 1 D. 21x- 5. 某产品边际成本为'C q (),固定成本为c 0,边际收入为'R q (),则利润函数L q ()=( D ). A . [()()]'-'⎰R x C x x qd 0B .[()()]'-'-⎰C x R x x c qd 0C .[()()]'-'+⎰R x C x x c qd 00 D .[()()]'-'-⎰R x C x x c qd 06. 下列等式成立的是( D ).A .x d dx x=1B .)1(12x d dx x -=C . sinxdx=d(cosx)D . x xda adx a ln 1= 7. 设=⎰dx f )x -1f(,x )(1则为连续函数为( A ) .A .⎰10 x f(x )dx 2 B .⎰10 x f(x )dx 2- C .⎰10f(x)dx 21 D .⎰1f(x)dx 21-8. =⎰dx x ln ( C ) A .c x+1B .c x x +lnC .c x x x +-lnD .c x x x ++ln 9. 若⎰+=C x F dx x f )()(,则=--⎰dx e f ex x)()(( C ).A. C e F x +)(B. C e F x+-)( C. C e F x +--)( D.C xe F x+-)( 10. 下列定积分中, 其值为0的是( A ). A .⎰-112sin xdx xB .xdx x cos 112⎰- C .xdx ex sin 12⎰- D .dx x )1(112⎰-+11. 某产品的边际成本为)('q C , 固定成本为0c , 则总成本函数=)(q C ( C ). A. ⎰qdx x C 0)(' B. ⎰-qdx c x C 00])('[C.00)('c dx x C q+⎰ D.00)('c dx x C q-⎰12. 当k =( D )时,抛物线2kx y =与直线1=x 及x 轴所围成的图形面积等于1.A . 1B . 2C . 3D . 3或-3 13.=⎰-dx x x 11( B )A . 4B . 0C . 32D . 32- 14. 微分方程xy y 2='的通解是=y ( A ) A . 2x Ce B . C ex +2C . C x +2D . 2x e15. 若f (x )是可积函数,则下列等式中不正确的是( D ).A . )())(('x f dx x f =⎰B .c x f dx x f +=⎰)()('C . ⎰=dx x f dx x f d )())((D .⎰=)()(x f x df二、填空题1. 若2x e 是)(x f 的一个原函数,则=⎰dx x f e 2-x )(c x +2.2.dx e x x 232⎰= c e x +3261.3.=+⎰-1122d )1(x x x0.4. 若c x x x x f +-+=⎰11d )(,则=)(x f 2)1(2--x .5. 若c x F x x f +=⎰)(d )(,则x f x x )d e (e --⎰=C e F x+--)(.6. 设曲线在任一点)0(>x x 处的切线斜率为xx 1-,且过(1,3)点,则该曲线的方程是2ln +-=x x y .7. 某商品的边际收入为q 210-,则收入函数R q ()=210q q -. 8. 设)(x f 为连续函数,积分⎰1)(dt t f 经代换)0(≠=a at u 换元后变为积分du aa u f a ⎰⋅01)(.9.=-⎰dx x x 21c x +--21.10.⎰+∞123d 1x x=2.三、解答题1. 求下列不定积分:(1) dx x x ⎰-235; (2)dx xx ⎰-1 ; (3) dx x x⎰1sin 12. 解:(1)原式=Cx C x x d x +--=+-+⨯-=---⎰2322322212)35(91)35(121161)35()35(61(2) 原式c x x c t t dt t t t t x +-+--=++-=--=-⎰2332)1(3212322)2(11 (3) 原式=⎰+=-C xx d x 1cos 11sin 2. 求下列定积分:(1)dx xe x ⎰12; (2) dx e xx ⎰-4131; (3) ⎰-+12|1|dx x .解:(1) 原式=414142412212121222122102102102+=+-=-=-=⎰⎰e e e e e dx e xe xde x x x x(2) 原式=36413413323232)3(32----+-=-=--⎰e e e x d ex x(3) 原式⎰⎰⎰⎰------+++++-=+++-=11121112)1()1()1()1()1()1(x d x x d x dx x dx x2522104211021)1(21)1(21112122=+=-+--=+++-=--)()(x x3. 设由曲线2x y =,直线0,2,=+==y k x k x 所围成的面积最小,求k 的值. 解:)1(4)(),8126(3131x (k) S '2232k k2+=++===++⎰k k S k k x dx k k得驻点1-=k ∴当1-=k 时,其图形面积S 有最小值.4. 求曲线322+-=x x y 和曲线322++-=x x y 所围平面图形的面积. 解: 平面图形的面积[]38232)32()32(2023=⎥⎦⎤⎢⎣⎡+-=+--++=⎰x x dx x x x -x S 20225. 求下列广义积分:(1)dx x⎰+∞11(2) dx x x e ⎰+∞2)(ln 1 (3)dx x e x⎰∞+121. 解:(1)∞∞+=⎰121121x dx x,发散。