等比数列及其前n项和 练习题
- 格式:doc
- 大小:101.00 KB
- 文档页数:7
等比数列的前n 项和公式一、单选题 1.(2021·内蒙古宁城·高三月考(文))已知{}n a 是等比数列,若12a =,528a a =,数列{}n a 的前n 项和为n S ,则n S 为( ) A .22n - B .121n +- C .122n +- D .21n -【答案】C 【分析】设公比为q ,根据528a a =求得公比,再利用等比数列前n 项和的公式即可得出答案. 【详解】 解:设公比为q ,因为528a a =,所以3528a q a ==,所以2q ,所以()12122212nn n S +⨯-==--.故选:C.2.(2021·河北·高三月考)已知正项等比数列{}n a 的前n 项和为n S ,42S =,810S =,则{}n a 的公比为( ) A.1 B C .2 D .4【答案】B 【分析】利用等比数列的性质求解即可. 【详解】因为42S =,810S =,{}n a 为正项等比数列,所以4845678412344S S a a a a q S a a a a -+++===+++,解得q 故选:B .3.(2021·西藏·拉萨那曲第二高级中学高三月考(文))记等比数列{}n a 的前n 项和为n S ,若214a =,378S =,则公比q = ( ) A .12-B .12C .2D .12或2【答案】D 【分析】根据等比数列的性质可得2132116a a a ==,再由378S =,可得1358a a +=,分别求出13,a a ,即可得出答案. 【详解】解:在等比数列{}n a 中,若214a =,则2132116a a a ==,312378S a a a =++=,所以1358a a +=, 由13116a a =,1358a a +=,解得131218a a ⎧=⎪⎪⎨⎪=⎪⎩,或131812a a ⎧=⎪⎪⎨⎪=⎪⎩,当131218a a ⎧=⎪⎪⎨⎪=⎪⎩时,2112a a q ==, 当131812a a ⎧=⎪⎪⎨⎪=⎪⎩时,212a q a ==, 所以q =12或2.故选:D.4.(2021·全国·高二单元测试)设n S 为数列{}n a 的前n 项和,()112322n n n a a n ---=⋅≥,且1232a a =.记n T 为数列1nn a S ⎧⎫⎨⎬+⎩⎭的前n 项和,若对任意*n ∈N ,n T m <,则m 的最小值为( ) A .3 B .13C .2D .12【答案】B 【分析】 由已知得()111112242n n n n a a n --⎛⎫-=-≥ ⎪⎝⎭.再求得13a =,从而有数列12n n a ⎧⎫-⎨⎬⎩⎭是以12为首项,14为公比的等比数列,由等比数列的通项公式求得n a ,再利用分组求和的方法,以及等比数列求和公式求得n S ,从而求得n T 得答案. 【详解】解:由()112322n n n a a n ---=⋅≥,得()111322424n n n n a a n --=⋅+≥,∴()111112242n n n n a a n --⎛⎫-=-≥ ⎪⎝⎭. 又由()112322n n n a a n ---=⋅≥,得2126a a -=,又1232a a =,∴13a =.所以111122a -=,∴数列12n n a ⎧⎫-⎨⎬⎩⎭是以12为首项,14为公比的等比数列,则12111112242n n n na --⎛⎫⎛⎫-=⋅= ⎪ ⎪⎝⎭⎝⎭,∴()12122122n n n nn a --=+=+,∴()()231111212112122222221221212nn n n n n n S --⎛⎫- ⎪-⎛⎫⎝⎭=++⋅⋅⋅+++++⋅⋅⋅+=+=⋅- ⎪-⎝⎭-,∴111112222232n n n n nn n a S --==+++⋅-⋅.∴+12111111111122113222332312n n n n T ⎛⎫- ⎪⎛⎫⎛⎫⎝⎭=++⋅⋅⋅+=⨯=-< ⎪ ⎪⎝⎭⎝⎭-. ∵对任意*n ∈N ,n T m <,∴m 的最小值为13.故选:B.5.(2021·江苏省苏州第十中学校高二月考)已知等比数列{a n }的首项为1,公比为2,则a 12+a 22+⋯+a n 2=( ) A .(2n ﹣1)2 B .()1213n- C .4n ﹣1 D .()1413n- 【答案】D 【分析】根据等比数列定义,求出214n n n b a -==,可证明{}n b 是以1为首项,4为公比的等比数列,利用等比数列的求和公式,可得解 【详解】由等比数列的定义,11122n n n a --=⋅=故222124n n n n b a --=== 由于112144,104n n n n b b b ---===≠ 故{}n b 是以1为首项,4为公比的等比数列 a 12+a 22+⋯+a n 2=1(14)41143n n ⋅--=- 故选:D6.(2021·河南郑州·高二期中(理))设n A ,n B 分别为等比数列{}n a ,{}n b 的前n 项和.若23n n n n A aB b+=+(a ,b 为常数),则74a b =( )A .12881B .12780C .3227D .2726【答案】C 【分析】设(2),(3)n nn n A a m B b m =+=+,项和转换776a A A =-,443b B B =-求解即可【详解】由题意,23n n n n A a B b+=+ 设(2),(3)n nn n A a m B b m =+=+则76776[(2)(2)]64a A A a a m m =-=+-+=()()434433354b B B b b m m ⎡⎤=-=+-+=⎣⎦7464325427a mb m ∴== 故选:C7.(2021·河南郑州·高二期中(理))设{}n a 是公差为d 的等差数列,{}n b 是公比为q 的等比数列.已知数列{}n n a b +的前n 项和()2*51N n n S n n =+-∈,则d q -=( )A .3-B .1-C .2D .4【答案】A 【分析】设数列{}n a 和{}n b 的前n 项和分别为,n n A B ,然后利用分求出,n n A B ,再利用n n n S A B =+列方程,由对应项的系数相等可求出结果 【详解】设数列{}n a 和{}n b 的前n 项和分别为,n n A B ,则 ()()1211111,222111n n n n b q n n db d d q A a n a n n B q q q --⎛⎫=+=-+==-⎪---⎝⎭(1q ≠), 若1q =,则1n B nb =,则2211()5122n nn n d d S A n B a n n nb =+==+++--,显然没有出现5n ,所以1q ≠,所以21121221511n n b n b q d d a n n q q ⎛⎫-++-+= ⎪--⎝-⎭, 由两边的对应项相等可得110,1,5,1221b d da q q-====--, 解得111,2,5,4a d q b ====, 所以3d q -=-.8.(2021·福建·泉州科技中学高三月考)我国南宋数学家杨辉1261年所著的《详解九章算法》一书里出现了如图所示的表,即杨辉三角,这是数学史上的一个伟大成就.在“杨辉三角”中,第n 行的所有数字之和为12n -,若去除所有为1的项,依次构成数列233464510105,,,,,,,,,,,则此数列的前35项和为( )A .994B .995C .1003D .1004【答案】B 【分析】没有去掉“1”之前,可得每一行数字和为首项为1,公比为2的等比数列,可求出其前n 项和为21n n S =-,每一行的个数构成一个首项为1,公差为1的等差数列,从而可求出前n 项总个数为(1)2n n n T +=,由此可计算出第10行去掉“1”后的最后一个数为第36个数,从而可求出前35项和。
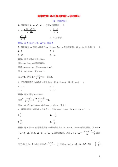
[A 基础达标]1.等比数列1,a ,a 2,a 3,…的前n 项和为( )A .1+a (1-a n -1)1-11aB .1-a n 1-aC.a n +1-1a -1 D .以上皆错 解析:选D.当a =1时,S n =n ,故选D.2.等比数列{a n }的前n 项和为S n ,且4a 1,2a 2,a 3成等差数列.若a 1=1,则S 4等于( )A .7B .8C .15D .16解析:选C.设{a n }的公比为q ,因为4a 1,2a 2,a 3成等差数列,所以4a 2=4a 1+a 3,即4a 1q =4a 1+a 1q 2,即q 2-4q +4=0,所以q =2,又a 1=1,所以S 4=1-241-2=15,故选C. 3.已知等比数列{a n }的前n 项和为S n ,若S 3+3S 2=0,则公比q =( )A .-2B .2C .3D .-3 解析:选A.因为S 3+3S 2=0,所以a 1(1-q 3)1-q +3a 1(1-q 2)1-q=0, 即(1-q )(q 2+4q +4)=0.解得q =-2或q =1(舍去).4.设等比数列{a n }的前n 项和为S n ,已知S 3=8,S 6=7,则a 7+a 8+a 9=( ) A.18B .-18 C.578 D .558 解析:选A.法一:由等比数列前n 项和的性质知S 3,S 6-S 3,S 9-S 6成等比数列,又a 7+a 8+a 9=S 9-S 6,则S 3,S 6-S 3,a 7+a 8+a 9成等比数列,从而a 7+a 8+a 9=(S 6-S 3)2S 3=18.故选A.法二:因为S 6=S 3+S 3q 3,所以q 3=S 6-S 3S 3=-18,所以a 7+a 8+a 9=S 9-S 6=S 3q 6=8× ⎝⎛⎭⎫-182=18.故选A.5.在等比数列{a n }中,已知S 30=13S 10,S 10+S 30=140,则S 20等于( )A .90B .70C .40D .30解析:选C.因为S 30≠3S 10,所以q ≠1.由⎩⎪⎨⎪⎧S 30=13S 10,S 10+S 30=140得⎩⎪⎨⎪⎧S 10=10,S 30=130, 所以⎩⎪⎨⎪⎧a 1(1-q 10)1-q =10,a 1(1-q 30)1-q =130,所以q 20+q 10-12=0.所以q 10=3,所以S 20=a 1(1-q 20)1-q=S 10(1+q 10) =10×(1+3)=40.6.在等比数列{a n }中,若公比q =4,且前3项之和等于21,则该数列的通项公式a n =________.解析:因为在等比数列{a n }中,前3项之和等于21,所以a 1(1-43)1-4=21,所以a 1=1. 所以a n =4n -1. 答案:4n -1 7.对于数列{a n },定义数列{a n +1-a n }为数列{a n }的“差数列”,若a 1=1,a n +1-a n =2n ,则数列{a n }的前n 项和S n =________.解析:因为a n +1-a n =2n ,应用累加法可得a n =2n -1.所以S n =a 1+a 2+...+a n =2+22+ (2)-n =2(1-2n )1-2-n =2n +1-n -2. 答案:2n +1-n -2 8.在等比数列{a n }中,已知a 1+a 2+a 3=1,a 4+a 5+a 6=-2,则该数列的前15项和S 15=________.解析:设数列{a n }的公比为q ,则由已知,得q 3=-2.又a 1+a 2+a 3=a 11-q(1-q 3)=1, 所以a 11-q =13,所以S 15=a 11-q (1-q 15)=a 11-q[1-(q 3)5]=13×[1-(-2)5]=11. 答案:119.记S n 为等比数列{a n }的前n 项和,已知S 2=2,S 3=-6.(1)求{a n }的通项公式;(2)求S n ,并判断S n +1,S n ,S n +2是否成等差数列.解:(1)设{a n }的公比为q .由题设可得⎩⎪⎨⎪⎧a 1(1+q )=2,a 1(1+q +q 2)=-6. 解得q =-2,a 1=-2.故{a n }的通项公式为a n =(-2)n .(2)由(1)可得S n =a 1(1-q n )1-q =-23+(-1)n 2n +13. 由于S n +2+S n +1=-43+(-1)n ·2n +3-2n +23=2[-23+(-1)n 2n +13]=2S n ,故S n +1,S n ,S n +2成等差数列.10.数列{a n }是首项为1的等差数列,且公差不为零,而等比数列{b n }的前三项分别是a 1,a 2,a 6.(1)求数列{a n }的通项公式;(2)若b 1+b 2+…+b k =85,求正整数k 的值.解:(1)设数列{a n }的公差为d ,因为a 1,a 2,a 6成等比数列,所以a 22=a 1·a 6,所以(1+d )2=1×(1+5d ),所以d 2=3d ,因为d ≠0,所以d =3,所以a n =1+(n -1)×3=3n -2.(2)数列{b n }的首项为1,公比为q =a 2a 1=4, 故b 1+b 2+…+b k =1-4k 1-4=4k -13. 令4k -13=85,即4k =256, 解得k =4.故正整数k 的值为4.[B 能力提升]11.一个等比数列前三项的积为2,最后三项的积为4,且所有项的积为64,则该数列有( )A .13项B .12项C .11项D .10项解析:选B.设该数列的前三项分别为a 1,a 1q ,a 1q 2,后三项分别为a 1q n -3,a 1q n -2,a 1q n -1.所以前三项之积a 31q 3=2,后三项之积a 31q 3n -6=4.所以两式相乘,得a 61q 3(n -1)=8,即a 21q n -1=2,又a 1·a 1q ·a 1q 2·…·a 1qn -1=64,所以a n 1·q n (n -1)2=64,即(a 21q n -1)n =642,即2n =642,所以n =12. 12.已知等比数列{a n }的前10项中,所有奇数项之和S 奇为8514,所有偶数项之和S 偶为17012,则S =a 3+a 6+a 9+a 12的值为________.解析:设公比为q ,由⎩⎪⎨⎪⎧S 偶S 奇=q =2,S 奇=a 1[1-(q 2)5]1-q 2=8514,得⎩⎪⎨⎪⎧a 1=14,q =2. 所以S =a 3+a 6+a 9+a 12=a 3(1+q 3+q 6+q 9)=a 1q 2·1-q 121-q 3=585. 答案:58513.设数列{a n }的前n 项和为S n ,a 1=1,且数列{S n }是以c (c >0)为公比的等比数列.(1)求数列{a n }的通项公式;(2)求a 2+a 4+…+a 2n .解:由条件知S 1=a 1=1.(1)①当c =1时,a n =⎩⎪⎨⎪⎧1,n =1,S n -S n -1,n ≥2⇒a n =⎩⎪⎨⎪⎧1,n =1,0,n ≥2.②当c ≠1时,a n =⎩⎪⎨⎪⎧1,n =1,(c -1)c n -2,n ≥2. (2)①当c =1时,a 2+a 4+…+a 2n =0;②当c ≠1时,数列是以a 2为首项,c 2为公比的等比数列,所以a 2+a 4+…+a 2n =(c -1)(1-c 2n )1-c 2=c 2n -11+c. 14.(选做题)某企业在第1年初购买一台价值为120万元的设备M ,M 的价值在使用过程中逐年减少,从第2年到第6年,每年初M 的价值比上年初减少10万元;从第7年开始,每年初M 的价值为上年初的75%.(1)求第n 年初M 的价值a n 的表达式;(2)设A n =a 1+a 2+…+a n n,若A n 大于80万元,则M 继续使用,否则须在第n 年初对M 更新,证明:须在第9年初对M 更新.解:(1)当n ≤6时,数列{a n }是首项为120,公差为-10的等差数列.a n =120-10(n -1)=130-10n ;当n ≥7时,数列{a n }是以a 6为首项,公比为34的等比数列,又a 6=70,所以a n =70×⎝⎛⎭⎫34n -6; 因此,第n 年初,M 的价值a n 的表达式为a n =⎩⎪⎨⎪⎧130-10n ,n ≤6,70×⎝⎛⎭⎫34n -6,n ≥7.(2)证明:设S n 表示数列{a n }的前n 项和,由等差及等比数列的求和公式得 当1≤n ≤6时,S n =120n -5n (n -1),A n =120-5(n -1)=125-5n ;当n ≥7时,S n =S 6+(a 7+a 8+…+a n )=570+70×34×4×⎣⎡⎦⎤1-⎝⎛⎭⎫34n -6=780-210×⎝⎛⎭⎫34n -6,A n =780-210×⎝⎛⎭⎫34n -6n ,因为{a n }是递减数列,所以{A n }是递减数列,又A 8=780-210×(34)8-68=824764>80, A 9=780-210×(34)9-69=767996<80, 所以须在第9年初对M 更新.。
等比数列前n 项和同步检测训练题一、选择题1.(2010·浙江卷)设S n 为等比数列{a n }的前n 项和,8a 2+a 5=0,则S 5S 2=( )A .11B .-8C .5D .-11分析:本题主要考查等比数列求和公式的运用能力. 解析:由8a 2+a 5=0,则公比q =-2,∴S 5S 2=1-q 51-q 2=1+251-22=331-4=-11.故选D. 答案:D2.{a n }为等比数列,若a 8a 4=2,S 4=4,则S 8的值等于( )A .12B .24C .16D .32解析:∵a 8a 4=a 1q 7a 1q 3=2,∴q 4=2.又S 4=a 11-q 41-q =-a 11-q=4.∴a 11-q=-4. ∴S 8=a 11-q 81-q =-4×(1-22)=12,故选A.答案:A3.等比数列{a n }的前3项和等于首项的3倍,则该等比数列的公比为( ) A .-2 B .1C .-2或1D .2或-1解析:由题意可得a 1+a 1q +a 1q 2=3a 1,∴q 2+q -2=0,∴q =1或q =-2.故选C. 答案:C4.等比数列{a n }的首项为1,公比为q (q ≠1),前n 项之和为S n ,则1a 1+1a 2+1a 3+…+1a n等于( )A.1S n B.S n q n -1 C .S nD.1q n -1S n解析:由于等比数列{a n }的首项为1,公比为q ,且q ≠1,则前n 项之和为S n =q n -1q -1;等比数列{1a n }的首项为1,公比为1q ,则数列{1a n }的前n 项之和为1×[1-1q n]1-1q =S nqn -1.故选B.答案:B5.等比数列{a n }共有2n +1项,奇数项之积为100,偶数项之积为120,则a n +1为( ) A.65B.56 C .20D .110解析:由题知:S 奇=a 1·a 3·…·a 2n +1=100, S 偶=a 2·a 4·…·a 2n =120, ∴S 奇S 偶=a 3·a 5·a 7·…·a 2n +1a 2·a 4·a 6·…·a 2n·a 1=100120=56,∴a 1q n =56,即a n +1=56,故选B.答案:B6.在等比数列{a n }中,a 2-a 1=7,a n =112,S n =217,则( ) A .q =2,n =5 B .q =1516,n =2C .q =2,n =5或q =1615,n =2D .q =2,n =5或q =4,n =2解析:由⎩⎪⎨⎪⎧a 2-a 1=7,S n =217⇒⎩⎪⎨⎪⎧a 1q -a 1=7,a 1-112q1-q=217⇒⎩⎪⎨⎪⎧ a 1q -a 1=7,a 1=217-105q ⇒⎩⎪⎨⎪⎧a 1=7,q =2或⎩⎪⎨⎪⎧a 1=105,q =1615.若a 1=7,q =2,a n =7×2n -1=112,n =5;若a 1=105,q =1615,a n =105×(1615)n -1=112,n =2,故选C.答案:C7.等比数列{a n }的前n 项和S n =ab n +c ,其中a 、b 、c 为常数,且a ≠0,b ≠0,c ≠0,则a 、b 、c 必须满足( )A .a +b =0B .b +c =0C .a +c =0D .a +b +c =0解析:a n =S n -S n -1=ab n +c -(ab n -1+c )=a (b -1)b n -1,且a 1=S 1得a (b -1)=ab +c .解得a +c =0.故选C.答案:C8.1,1+2,1+2+22,1+2+22+23,…,1+2+22+…+2n -1的前n 项和S n 等于( )A .2nB .2n -nC .2n +1-n -2D .n -2n解析:此数列的通项公式a n =1+2+22+…+2n -1=1×1-2n 1-2=2n -1,∴S n =2-1+22-1+23-1+…+2n -1 =(2+22+23+…+2n )-n =21-2n 1-2-n =2n +1-n -2,故选C.答案:C9.已知等比数列{a n }的前n 项和为S n ,S 10=2,S 20=6,则a 41+a 42+…+a 49+a 50=( ) A .8 B .12 C .16D .32解析:∵S 10=2,S 20=6,∴S 20-S 10=a 11+a 12+…+a 19+a 20=4.又a 1+a 2+…+a 10,a 11+a 12+…+a 20,a 21+a 22+…+a 30,…成等比数列,公比为2,∴a 41+a 42+…+a 50=2×24=32.故选D.答案:D10.已知等比数列{a n }的公比q <0,前n 项和为S n ,则S 4a 5与S 5a 4的大小关系是( ) A .S 4a 5=S 5a 4 B .S 4a 5>S 5a 4 C .S 4a 5<S 5a 4D .不确定解析:S 4a 5-S 5a 4=S 4a 4q -(a 1+qS 4)a 4=-a 1a 4.∵q <0,∴a 1与a 4异号,∴S 4a 5-S 5a 4>0,故选B.答案:B 二、填空题11.1×12+2×14+3×18+…+n ×12n =________.解析:S =(12+14+18+…+12n )+(14+18+…+12n )+(18+116+…+12n )+…+(12n -1+12n )+12n=1-(12)n +12-(12)n +…+12n -1-(12)n=(1+12+…+12n -1)-n 2n=2-22n -n2n =2-n +22n .答案:2-n +22n12.等比数列a ,-6,m ,-54,…的前n 项和S n =________. 解析:由m 2=-6×(-54), ∴m =±18.当m =18时,由(-6)2=18a ,a =2,∴q =-3. ∴S n =2[1--3n]1--3=1--3n2.当m =-18时,由(-6)2=-18a ,a =-2,q =3. ∴S n =-21-3n 1-3=1-3n .∴S n =1-3n或1--3n2.答案:1-3n或1--3n213.在等比数列{a n }中,已知a 1+a 2+a 3=1,a 4+a 5+a 6=-2,则该数列的前15项和S 15=________.解析:设等比数列{a n }的公比为q ,则由已知,得q 3=-2.又a 1+a 2+a 3=a 11-q (1-q 3)=1,∴a 11-q =13,∴S 15=a 11-q (1-q 15)=a 11-q[1-(q 3)5]=13×[1-(-2)5]=11.答案:1114.设等比数列{a n }的公比为q ,前n 项为S n ,且S n +1、S n 、S n +2成等差数列,则q 的值为________.解析:①当q =1时,设首项为a 1. 则S n +1=(n +1)a 1,S n +2=(n +2)a 1, 显然2S n =2na 1≠S n +1+S n +2=(2n +3)a 1. ②当q ≠1时,由题意得:2S n =S n +1+S n +2, 2·a 11-q n 1-q=a 11-q n +11-q +a 11-q n +21-q.即q 2+q -2=0,求得q =-2,q =1(舍去). 综合①②得:q =-2. 答案:-2三、解答题 15.求和:(1)S n =(a -1b )+(a 2-1b 2)+(a 3-1b 3)+…+(a n -1b n );(2)求数列2,22,222,…的前n 项和S n .解析:(1)S n =(a +a 2+a 3+…+a n )-(1b +1b 2+…+1b n ).a 分三种情况:①a =0;②a =1;③a ≠0,且a ≠1.b 分两种情况:①b =1;②b ≠1.所以S n=⎩⎪⎪⎪⎨⎪⎪⎪⎧0, a =1,b =1,-n , a =0,b =1.a 1-a n 1-a -n , a ≠0,a ≠1,b =1,n -1-1b nb -1,a =1,b ≠1,-1-1b n b -1,a =0,b ≠1,a 1-a n1-a -1-1b nb -1,a ≠0,a ≠1,b ≠1.(2)设2,22,222,…为{a n },则a n =29×10n -29.所以S n =29(10+102+…+10n )-29n=29·101-10n1-10-29n =281·10n +1-29n -2081. 16.(2010·山东卷)已知等差数列{a n }满足:a 3=7,a 5+a 7=26.{a n }的前n 项和为S n . (Ⅰ)求a n 及S n ; (Ⅱ)令b n =1a 2n -1(n ∈N*),求数列{b n }的前n 项和T n .解析:(Ⅰ)设等差数列{a n }的首项为a 1,公差为d , 由于a 3=7,a 5+a 7=26, 所以a 1+2d =7,2a 1+10d =26. 解得a 1=3,d =2.由于a n =a 1+(n -1)d ,S n =n a 1+a n 2, 所以a n =2n +1,S n =n (n +2).(Ⅱ)因为a n =2n +1,所以a 2n -1=4n (n +1),因此b n =14n n +1=14(1n -1n +1). 故T n =b 1+b 2+…+b n=14(1-12+12-13+…+1n -1n +1) =14(1-1n +1) =n4n +1. 所以数列{b n }的前n 项和T n =n4n +1. 17.数列{a n }的前n 项和为S n ,a 1=1,a n +1=2S n (n ∈N *). (1)求数列{a n }的通项a n ; (2)求数列{na n }的前n 项和T n .解析:(1)解法1:∵⎩⎪⎨⎪⎧a n +1=2S n ①a n =2S n -1n ≥2,n ∈N *②①-②得:⎩⎪⎨⎪⎧a n +1=3a n n ≥2,n ∈N *a 2=2S 1=2,∴a n =a 2q n -2=2·3n -2(n ≥2,n ≥N *),∴a n =⎩⎪⎨⎪⎧1 n =12·3n -2n ≥2,n ∈N *.解法2:∵a n +1=2S n ,∴S n +1-S n =2S n , ∴S n +1S n=3. 又∵S 1=a 1=1,∴数列{S n }是首项为1,公比为3的等比数列,S n =3n -1(n ∈N *). 当n ≥2时,a n =2S n -1=2·3n -2(n ≥2),∴a n =⎩⎪⎨⎪⎧1, n =1,2·3n -2,n ≥2. (2)T n =a 1+2a 2+3a 3+…+na n . 当n =1时,T 1=1;当n ≥2时,T n =1+4·30+6·31+…+2n ·3n -2,①3T n =3+4·31+6·32+…+2n ·3n -1,②①-②得-2T n =-2+4+2(31+32+…+3n -2)-2n ·3n -1=2+2·31-3n -21-3-2n ·3n -1=-1+(1-2n )·3n -1, ∴T n =12+(n -12)3n -1(n ≥2).又∵T 1=a 1=1也满足上式. ∴T n =12+(n -12)3n -1(n ∈N *).18.设数列{a n }的前n 项和为S n ,若{S n }是首项为S 1,各项均为正数且公比为q 的等比数列.(1)求数列{a n }的通项公式a n (用S 1和q 表示); (2)试比较a n +a n +2与2a n +1的大小.解析:(1)∵{S n }是各项均为正数的等比数列, ∴S n =S 1q n -1(q >0).当n =1时,a 1=S 1;当n ≥2时,a n =S n -S n -1=S 1(q -1)q n -2.∴a n =⎩⎪⎨⎪⎧S 1 n =1,S 1q -1q n -2 n ≥2.(2)当n =1时,∵a 1+a 3-2a 2=S 1+S 1(q -1)q -2S 1(q -1) =S 1[(q -32)2+34]>0,∴a 1+a 3>2a 2;当n ≥2时,a n +a n +2-2a n +1=S 1(q -1)q n -2+S 1(q -1)q n -2S 1(q -1)q n -1=S 1(q -1)3q n -2.∵S 1>0,q n -2>0,①当q =1时,(q -1)3=0,∴a n +a n +2=2a n +1; ②当0<q <1时,(q -1)3<0,∴a n +a n +2<2a n +1; ③当q >1时,(q -1)3>0,∴a n +a n +2>2a n +1. 综上,当n =1时,a 1+a 3>2a 2;当n ≥2时,若q =1,则a n +a n +2=2a n +1; 若0<q <1,则a n +a n +2<2a n +1; 若q >1,则a n +a n +2>2a n +1.。
考点30 等比数列及其前n项和1.已知数列的前项和为,满足,则的通项公式()A. B. C. D.【答案】B【解析】当时,,当时,,因此,选B.2.已知数列为正数项的等比数列,是它的前项和,若,且,则()A. 34 B. 32 C. 30 D. 28【答案】C3.已知各项均不相等的等比数列成等差数列,设为数列的前n项和,则等于A. B. C. 3 D. 1【答案】A【解析】设等比数列{a n}的公比为q,∵3a2,2a3,a4成等差数列,∴2×2a3=3a2+a4,∴4a2q=3,化为q2﹣4q+3=0,解得q=1或3.q=1时,,q=2时,.故选:A.4.已知数列的前项和,则数列的前项和为()A. B. C. D.【答案】C5.已知等比数列的前项和,且,,则A. B. C. D.【答案】C【解析】由题得.故答案为:C6.已知等比数列中,,,为方程的两根,则()A. 32 B. 64 C. 256 D.【答案】B7.等比数列中,公比,记(即表示数列的前项之积),中值为正数的个数是A. B. C. D.【答案】B【解析】等比数列{a n}中a1>0,公比q<0,故奇数项为正数,偶数项为负数.∴Π11<0,Π10<0,Π9>0,Π8>0.故答案为:B8.已知等比数列的前n项和为,若,且,,成等差数列,则A. 10 B. 12 C. 18 D. 30【答案】A【解析】在等比数列中,由,得,即,又,,成等差数列,,即,联立得:舍或..则.故选:A.9.已知为正项等比数列,是它的前项和,若,且与的等差中项为,则的值是( )A. 29 B. 30 C. 31 D. 32【答案】C10.已知各项均为正数的等比数列的前项和为,且满足成等差数列,则 ( ) A. 3 B. 9 C. 10 D. 13【答案】C【解析】设各项均为正数的等比数列的公比为,满足成等差数列,,,解得,则,故选C.11.已知数列的前n项和为,.(Ⅰ)求数列的通项公式;(Ⅱ)设数列的前n项和为,,点在直线上,若存在,使不等式成立,求实数m的最大值.【答案】(Ⅰ)(Ⅱ)4③-④得,∴.∵.∴为递增数列,且,∴.∴,实数m的最大值为4.12.数列{a n}的前n项和为S n,且S n=n(n+1)(n∈N*).(1)求数列{a n}的通项公式;(2)若数列{b n}满足:,求数列{b n}的通项公式;(3)令(n∈N*),求数列{c n}的前n项和T n.【答案】(1);(2);(3) .(3)c n===n•3n+n,令数列{n•3n}的前n项和为A n,则A n=3+2×32+3×33+…+n•3n,∴3A n=32+2×33+…+(n﹣1)•3n+n•3n+1,∴﹣2A n=3+32+…+3n﹣n•3n+1=﹣n•3n+1,可得A n=.∴数列{c n}的前n项和T n=+.13.已知数列中,且.(Ⅰ)求,,并证明是等比数列;(Ⅱ)设,求数列的前项和.【答案】(1)见解析;(2),②①-②得所以,.14.已知α为锐角,且,函数,数列的首项,.(1)求函数的表达式;(2)求证:数列为等比数列;(3)求数列的前n项和.【答案】(1);(2) 见解析;(3).∴15.已知数列的前项和,.(1)求;(2)若,且数列的前项和为,求.【答案】(1);(2).16.在等差数列{a n}中,,其前n项和为,等比数列{b n}的各项均为正数,b1=1,公比为q,且b2+S2=12,.(Ⅰ)求a n与b n;(Ⅱ)求的取值范围.【答案】(Ⅰ);(Ⅱ)。
高中数学-等比数列的前n 项和练习[A 基础达标]1.等比数列1,a ,a 2,a 3,…的前n 项和为( )A .1+a (1-a n -1)1-11aB .1-a n1-aC.a n +1-1a -1D .以上皆错解析:选D.当a =1时,S n =n ,故选D.2.等比数列{a n }的前n 项和为S n ,且4a 1,2a 2,a 3成等差数列.若a 1=1,则S 4等于( ) A .7 B .8 C .15D .16解析:选C.设{a n }的公比为q , 因为4a 1,2a 2,a 3成等差数列, 所以4a 2=4a 1+a 3,即4a 1q =4a 1+a 1q 2, 即q 2-4q +4=0,所以q =2, 又a 1=1,所以S 4=1-241-2=15,故选C.3.已知等比数列{a n }的前n 项和为S n ,若S 3+3S 2=0,则公比q =( ) A .-2 B .2 C .3D .-3解析:选A.因为S 3+3S 2=0,所以a 1(1-q 3)1-q +3a 1(1-q 2)1-q=0,即(1-q )(q 2+4q +4)=0.解得q =-2或q =1(舍去).4.设等比数列{a n }的前n 项和为S n ,已知S 3=8,S 6=7,则a 7+a 8+a 9=( ) A.18 B .-18C.578D .558解析:选A.法一:由等比数列前n 项和的性质知S 3,S 6-S 3,S 9-S 6成等比数列,又a 7+a 8+a 9=S 9-S 6,则S 3,S 6-S 3,a 7+a 8+a 9成等比数列,从而a 7+a 8+a 9=(S 6-S 3)2S 3=18.故选A.法二:因为S 6=S 3+S 3q 3,所以q 3=S 6-S 3S 3=-18,所以a 7+a 8+a 9=S 9-S 6=S 3q 6=8× ⎝ ⎛⎭⎪⎫-182=18.故选A. 5.在等比数列{a n }中,已知S 30=13S 10,S 10+S 30=140,则S 20等于( ) A .90 B .70 C .40D .30解析:选C.因为S 30≠3S 10,所以q ≠1.由⎩⎪⎨⎪⎧S 30=13S 10,S 10+S 30=140得⎩⎪⎨⎪⎧S 10=10,S 30=130,所以⎩⎪⎨⎪⎧a 1(1-q 10)1-q=10,a 1(1-q30)1-q=130,所以q 20+q 10-12=0.所以q 10=3,所以S 20=a 1(1-q 20)1-q=S 10(1+q 10)=10×(1+3)=40.6.在等比数列{a n }中,若公比q =4,且前3项之和等于21,则该数列的通项公式a n =________.解析:因为在等比数列{a n }中,前3项之和等于21, 所以a 1(1-43)1-4=21,所以a 1=1.所以a n =4n -1.答案:4n -17.对于数列{a n },定义数列{a n +1-a n }为数列{a n }的“差数列”,若a 1=1,a n +1-a n =2n,则数列{a n }的前n 项和S n =________.解析:因为a n +1-a n =2n ,应用累加法可得a n =2n-1.所以S n =a 1+a 2+…+a n =2+22+ (2)-n =2(1-2n)1-2-n =2n +1-n -2.答案:2n +1-n -28.在等比数列{a n }中,已知a 1+a 2+a 3=1,a 4+a 5+a 6=-2,则该数列的前15项和S 15=________.解析:设数列{a n }的公比为q ,则由已知,得q 3=-2. 又a 1+a 2+a 3=a 11-q(1-q 3)=1,所以a 11-q =13,所以S 15=a 11-q (1-q 15)=a 11-q [1-(q 3)5]=13×[1-(-2)5]=11.答案:119.记S n 为等比数列{a n }的前n 项和,已知S 2=2,S 3=-6. (1)求{a n }的通项公式;(2)求S n ,并判断S n +1,S n ,S n +2是否成等差数列. 解:(1)设{a n }的公比为q .由题设可得⎩⎪⎨⎪⎧a 1(1+q )=2,a 1(1+q +q 2)=-6. 解得q =-2,a 1=-2.故{a n }的通项公式为a n =(-2)n.(2)由(1)可得S n =a 1(1-q n )1-q =-23+(-1)n 2n +13.由于S n +2+S n +1=-43+(-1)n·2n +3-2n +23=2[-23+(-1)n 2n +13]=2S n ,故S n +1,S n ,S n +2成等差数列.10.数列{a n }是首项为1的等差数列,且公差不为零,而等比数列{b n }的前三项分别是a 1,a 2,a 6.(1)求数列{a n }的通项公式;(2)若b 1+b 2+…+b k =85,求正整数k 的值. 解:(1)设数列{a n }的公差为d , 因为a 1,a 2,a 6成等比数列, 所以a 22=a 1·a 6,所以(1+d )2=1×(1+5d ), 所以d 2=3d , 因为d ≠0, 所以d =3,所以a n =1+(n -1)×3=3n -2.(2)数列{b n }的首项为1,公比为q =a 2a 1=4, 故b 1+b 2+…+b k =1-4k1-4=4k-13.令4k-13=85,即4k=256,解得k =4.故正整数k 的值为4.[B 能力提升]11.一个等比数列前三项的积为2,最后三项的积为4,且所有项的积为64,则该数列有( )A .13项B .12项C .11项D .10项解析:选B.设该数列的前三项分别为a 1,a 1q ,a 1q 2,后三项分别为a 1q n -3,a 1qn -2,a 1qn -1.所以前三项之积a 31q 3=2,后三项之积a 31q3n -6=4.所以两式相乘,得a 61q3(n -1)=8,即a 21qn -1=2,又a 1·a 1q ·a 1q 2·…·a 1q n -1=64,所以a n1·q n (n -1)2=64,即(a 21q n -1)n =642,即2n =642,所以n =12.12.已知等比数列{a n }的前10项中,所有奇数项之和S 奇为8514,所有偶数项之和S 偶为17012,则S =a 3+a 6+a 9+a 12的值为________. 解析:设公比为q ,由⎩⎪⎨⎪⎧S 偶S 奇=q =2,S奇=a 1[1-(q 2)5]1-q2=8514,得⎩⎪⎨⎪⎧a 1=14,q =2. 所以S =a 3+a 6+a 9+a 12=a 3(1+q 3+q 6+q 9) =a 1q 2·1-q121-q3=585.答案:58513.设数列{a n }的前n 项和为S n ,a 1=1,且数列{S n }是以c (c >0)为公比的等比数列. (1)求数列{a n }的通项公式; (2)求a 2+a 4+…+a 2n . 解:由条件知S 1=a 1=1.(1)①当c =1时,a n =⎩⎪⎨⎪⎧1,n =1,S n -S n -1,n ≥2⇒a n =⎩⎪⎨⎪⎧1,n =1,0,n ≥2.②当c ≠1时,a n =⎩⎪⎨⎪⎧1,n =1,(c -1)c n -2,n ≥2. (2)①当c =1时,a 2+a 4+…+a 2n =0;②当c ≠1时,数列是以a 2为首项,c 2为公比的等比数列,所以a 2+a 4+…+a 2n =(c -1)(1-c 2n)1-c 2=c 2n-11+c. 14.(选做题)某企业在第1年初购买一台价值为120万元的设备M ,M 的价值在使用过程中逐年减少,从第2年到第6年,每年初M 的价值比上年初减少10万元;从第7年开始,每年初M 的价值为上年初的75%. (1)求第n 年初M 的价值a n 的表达式;(2)设A n =a 1+a 2+…+a nn,若A n 大于80万元,则M 继续使用,否则须在第n 年初对M 更新,证明:须在第9年初对M 更新.解:(1)当n ≤6时,数列{a n }是首项为120,公差为-10的等差数列.a n =120-10(n -1)=130-10n ;当n ≥7时,数列{a n }是以a 6为首项,公比为34的等比数列,又a 6=70,所以a n =70×⎝ ⎛⎭⎪⎫34n -6;因此,第n 年初,M 的价值a n 的表达式为a n =⎩⎪⎨⎪⎧130-10n ,n ≤6,70×⎝ ⎛⎭⎪⎫34n -6,n ≥7. (2)证明:设S n 表示数列{a n }的前n 项和,由等差及等比数列的求和公式得 当1≤n ≤6时,S n =120n -5n (n -1),A n =120-5(n -1)=125-5n ;当n ≥7时,S n =S 6+(a 7+a 8+…+a n ) =570+70×34×4×⎣⎢⎡⎦⎥⎤1-⎝ ⎛⎭⎪⎫34n -6=780-210×⎝ ⎛⎭⎪⎫34n -6,A n =780-210×⎝ ⎛⎭⎪⎫34n -6n,因为{a n }是递减数列,所以{A n }是递减数列,又 A 8=780-210×(34)8-68=824764>80,A 9=780-210×(34)9-69=767996<80,所以须在第9年初对M 更新.。
第03讲等比数列及其前n 项和(练)-2023年高考数学一轮复习讲练测(新教材新高考)第03讲等比数列及其前n 项和(精练)A 夯实基础一、单选题(2022·全国·高二课时练习)1.通过测量知道,温度每降低6℃,某电子元件的电子数目就减少一半.已知在零下34℃时,该电子元件的电子数目为3个,则在室温26℃时,该元件的电子数目接近()A .860个B .1730个C .3072个D .3900个(2022·辽宁·抚顺县高级中学校高二阶段练习)2.方程2540x x -+=的两根的等比中项是()A .2-和2B .1和4C .2和4D .2和1(2022·辽宁·大连市一0三中学高二期中)3.正项等比数列{}n a 中,5a ,34a ,42a -成等差数列,若212a =,则17a a =()A .4B .8C .32D .64(2022·全国·高三专题练习(理))4.在适宜的环境中,一种细菌的一部分不断分裂产生新的细菌,另一部分则死亡.为研究这种细菌的分裂情况,在培养皿中放入m 个细菌,在1小时内,有34的细菌分裂为原来的2倍,14的细菌死亡,此时记为第一小时的记录数据.若每隔一小时记录一次细菌个数,则细菌数超过原来的10倍的记录时间为第()A .6小时末B .7小时末C .8小时末D .9小时末(2022·全国·高二课时练习)5.在各项均为正数的等比数列中{}n a ,32a =,51a =,则1526372a a a a a a ++=()A .1B .9C .7D .9(2022·全国·高三专题练习)6.已知等比数列{}n a 的公比为q ,前n 项和为n S ,则“1q >”是“112n n n S S S -++>”的()A .充分不必要条件B .必要不充分条件C .充要条件D .既不充分也不必要条件(2022·福建龙岩·模拟预测)7.如图所示的“数字塔”有以下规律:每一层最左与最右的数字均为2,除此之外每个数字均为其两肩的数字之积,则该“数字塔”前10层的所有数字之积约为()(lg 20.3010)≈A .30010B .30110C .30810D .31010(2022·安徽·合肥市第十一中学高二期末)8.设等比数列{}n a 的前n 项和为n S ,若63:1:2S S =,则93:S S =()A .1:2B .2:3C .3:4D .1:3二、多选题(2022·全国·高二单元测试)9.已知数列{}n a 是等比数列,则下列结论中正确的是()A .数列{}2n a 是等比数列B .若32a =,732a =,则58a =±C .若数列{}n a 的前n 项和13n n S r -=+,则1r =-D .若123a a a <<,则数列{}n a 是递增数列(2022·吉林·长春十一高高二期末)10.已知n S 是等比数列{}n a 的前n 项和,下列结论一定成立的是()A .若30a >,则20210a >B .若40a >,则20210a <C .若30a >,则20210S >D .若40a >,则20210S >(2022·全国·高三专题练习)11.设{}n a 是各项为正数的等比数列,q 是其公比,n T 是其前n 项的积,且67T T <,789T T T =>,则下列结论正确的是()A .1q >B .81a=C .106T T >D .7T 与8T 均为nT的最大值三、填空题(2022·湖北十堰·高二阶段练习)12.已知正项等比数列{}n a 的前n 项和为n S ,若34S =,919S =,则6S ,9S 的等差中项为__________.四、解答题(2022·辽宁·沈阳市第八十三中学高二开学考试)13.已知等差数列{}n a 的公差2d =,且252a a +=,{}n a 的前n 项和为n S .(1)求{}n a 的通项公式;(2)若m S ,9a ,15a 成等比数列,求m 的值.(2022·江苏·高二课时练习)14.如图,正三角形ABC 的边长为20cm ,取BC 边的中点E ,作正三角形BDE ;取DE 边的中点G ,作正三角形DFG ……如此继续下去,可得到一列三角形ABC ,BDE △,DFG …,求前20个正三角形的面积和.B 能力提升(2022·河南·模拟预测(文))15.设等比数列{}n a 的公比为q ,其前n 项和为n S ,前n 项积为n T ,并满足条件11a >,202120220a a >,()()20212022110a a --<,下列结论正确的是()A .202320211a a >B .202220211S S ->C .数列{}n S 存在最大值D .2021T 是数列{}n T 中的最大值(2022·上海·华师大二附中高二阶段练习)16.以下有四个命题:①一个等差数列{}n a 中,若存在()*10k k a a k N +>>∈,则对于任意自然数n k >,都有0n a >;②一个等比数列{}n a 中,若存在0k a <,()10k a k N *+<∈,则对于任意n N *∈,都有0n a <;③一个等差数列{}n a 中,若存在0k a <,()10k a k N *+<∈,则对于任意n N *∈,都有0n a <;④一个等比数列{}n a 中,若存在自然数k ,使10k k a a +⋅<则对于任意n N *∈,都有10n n a a +⋅<.其中正确命题的个数是()A .0个B .1个C .2个D .3个(2022·全国·高三专题练习)17.等比数列{}n a 的前n 项和为213n n S r -=+,则r 的值为A .13B .13-C .19D .19-(2022·广东·佛山市顺德区郑裕彤中学高二期中)18.已知数列{}n a 的前n 项和为n S ,()0n n S a n λλ=≠-.若数列{}1n a +为摆动数列(从第2项起,有些项大于它的前一项,有些项小于它的前一项),则实数λ的取值范围为_________.(2022·江苏省苏州实验中学高二阶段练习)19.十九世纪下半叶集合论的创立,奠定了现代数学的基础.著名的“康托三分集”是数学理性思维的构造产物,具有典型的分形特征,其操作过程如下:将闭区间[0,1]均分为三段,去掉中间的区间段12(,),33记为第一次操作;再将剩下的两个区间120,,,133⎡⎤⎡⎤⎢⎥⎢⎥⎣⎦⎣⎦分别均分为三段,并各自去掉中间的区间段,记为第二次操作;…,如此这样,每次在上一次操作的基础上,将剩下的各个区间分别均分为三段,同样各自去掉中间的区间段.操作过程不断地进行下去,以至无穷,剩下的区间集合即是“康托三分集”.若使去掉的各区间长度之和不小于9,10则需要操作的次数n 的最小值为____.(参考数据:lg 2=0.3010,lg 3=0.4771)(2022·浙江·高二阶段练习)20.已知数列{}n a 的前n 项和为n S ,()12,2(1)N n n a n a n S n *=⋅=+⋅∈.(1)求数列{}n a 的通项公式;(2)判断数列231⎧⎫-⎨⎬+⎩⎭n n a n 中是否存在成等差数列的三项,并证明你的结论.C 综合素养(2022·江苏省赣榆高级中学模拟预测)21.1883年,德国数学家康托提出了三分康托集,亦称康托尔集.下图是其构造过程的图示,其详细构造过程可用文字描述为:第一步,把闭区间[0,1]平均分成三段,去掉中间的一段,剩下两个闭区间1[0,3和2[,1]3;第二步,将剩下的两个闭区间分别平均分为三段,各自去掉中间的一段,剩下四段闭区间:1[0,]9,21[,]93,27[,]39,8[,1]9;如此不断的构造下去,最后剩下的各个区间段就构成了三分康托集.若经历n 步构造后,20212022不属于剩下的闭区间,则n 的最小值是().A .7B .8C .9D .10(2022·全国·高三阶段练习)22.十二平均律是我国明代音乐理论家和数学家朱载堉发明的.明万历十二年(公元1584年).他写成《律学新说》,提出了十二平均律的理论.十二平均律的数学意义是:在1和2之间插入11个数,使包含1和2的这13个数依次成递增的等比数列,记插入的11个数之和为M ,插入11个数后这13个数之和为N ,则依此规则,下列说法正确的是().A .插入的第8B .插入的第5个数是插入的第1倍C .3M >D .7N <(2022·全国·高三专题练习)23.我国明代音乐理论家和数学家朱载堉在所著的《律学新说》一书中提出了“十二平均率”的音乐理论,该理论后被意大利传教士利玛窦带到西方,对西方的音乐产生了深远的影响.以钢琴为首的众多键盘乐器就是基于“十二平均率”的理论指导设计的.图中钢琴上的每12个琴键(7个白键5个黑键)构成一个“八度”,每个“八度”各音阶的音高都是前一个“八度”对应音阶的两倍,如图中所示的琴键的音高524C C =⋅(4C 称为“中央C ”).将每个“八度”(如4C 与5C 之间的音高变化)按等比数列十二等份,得到钢琴上88个琴键的音阶.当钢琴的4A 键调为标准音440Hz 时,下列选项中的哪些频率(单位:Hz )的音可以是此时的钢琴发出的音()(参考数据:122 1.414=,132 1.260=,142 1.189=,152 1.148=,162 1.122=,1122 1.059=)A .110B .233C .505D .1244(2022·全国·高二单元测试)24.取一条长度为1的线段,将它三等分,去掉中间一段,留剩下的两段;再将剩下的两段分别三等分,各去掉中间一段,留剩下的更短的四段;……;将这样的操作一直继续下去,直至无穷,由于在不断分割舍弃过程中,所形成的线段数目越来越多,长度越来越小,在极限的情况下,得到一个离散的点集,称为康托尔三分集.若在第n 次操作中去掉的线段长度之和不小于160,则n 的最大值为___________.(参考数据:lg 20.3010≈,lg30.4771≈)(2022·全国·高三专题练习)25.九连环是中国的一种古老智力游戏,它用九个圆环相连成串,环环相扣,以解开为胜,趣味无穷.中国的末代皇帝溥仪()19061967-也曾有一个精美的由九个翡翠缳相连的银制的九连环(如图).现假设有n 个圆环,用n a 表示按照某种规则解下n 个圆环所需的银和翠玉制九连环最少移动次数,且数列{}n a 满足11a =,22a =,()1223,n n n n a a n *--≥=+∈N ,则10a =_______.参考答案:1.C【分析】根据题意和等比数列的概念可知该电子元件在不同温度下的电子数目为等比数列,进而得出首项和公比,即可求出11a .【详解】由题设知,该电子元件在不同温度下的电子数目为等比数列,且13a =,公比2q =.由()263460--=,60106=,得1011323072a =⨯=.故选:C .2.A【分析】先根据韦达定理求出两根之积,再结合等比中项公式计算即可.【详解】由一元二次方程根与系数的关系可知方程2540x x -+=的两根之积为4,又因为()242=±,故方程2540x x -+=的两根的等比中项是2±.故选:A 3.D【分析】依题意5a ,34a ,42a -成等差数列,可求出公比q ,进而由212a =求出4a ,根据等比中项求出17a a 的值.【详解】由题意可知,5a ,34a ,42a -成等差数列,所以45328a a a -=,即233328a q a q a -=,所以2280q q --=,4q =或2q =-(舍),所以2428a a q ==,421764a a a ==,故选:D.4.A【分析】由题意可知每小时末的细菌数构成了等比数列,求出其通项公式,列出相应的不等式,求得答案.【详解】设n a 表示第n 小时末的细菌数,依题意有()11332242n n n a a a n --=⨯=≥,133242a m m =⨯=,则{}n a 是等比数列,首项为32m ,公比32q =,所以32nn a m ⎛⎫= ⎪⎝⎭.依题意,10n a m >,即3102nm m ⎛⎫> ⎪⎝⎭,所以3102n⎛⎫> ⎪⎝⎭,由于563310,24372932102642⎛⎫⎛⎫> ⎪ ⎪⎝⎭⎝=⎭=<,又*N n ∈,所以6n ≥,所以第6小时末记录的细菌数超过原来的10倍,故选:A.5.B【解析】利用等比数列的性质:若m n p q r r +=+=+,则m n p q r r a a a a a a == 可解.【详解】因为{}n a 为各项为正的等比数列,32a =-51a =,所以1526373552222335()(2)2219a a a a a a a a a a a a ++=++===+故选:B【点睛】等差(比)数列问题解决的基本方法:基本量代换和灵活运用性质.6.D【分析】由112n n n S S S -++>可得出1n n a a +>,取10a <,由101n n q a a +<⇔,进而判断可得出结论.【详解】若112n n n S S S -++>,则11n n n n S S S S +-->-,即1n n a a +>,所以,数列{}n a 为递增数列,若10a <,101n n q a a +<<⇔>,所以,“1q >”是“112n n n S S S -++>”的既不充分也不必要条件.故选:D.7.C【分析】根据题意可知第n 行第i 个数2n i k -的指数为二项式系数,第n 行数字的指数之和为二项式系数之和等于12n -,利用等比数列求和得该“数字塔”前10层的所有数字之积10212T -=,利用对数运算进行计算估计.【详解】根据题意可得,“数字塔”中第n 行第i 个数均为2n i k -的形式,该“数字塔”前10层的所有数字之积()()()()11212210110210101011021010112122......222....22..22kk k k k k k k k k k k------------+++++++⨯⨯⨯⨯⨯⨯⨯=根据指数运算可知,则n i k -按原位置排列即构成杨辉三角,可得n i k -为二项式系数,则第n 行数字的和为二项式系数之和等于12n -∴前10层的所有数字之和0191022..221+++=-该“数字塔”前10层的所有数字之积10212T -=()102110lg lg 221lg 2308T -==-≈,则30810T ≈故选:C.8.C【分析】利用等比数列前n 项和的性质k S ,2k k S S -,32k k S S -,43k k S S -,L 成等比数列求解.【详解】解:因为数列{} n a 为等比数列,则3S ,63S S -,96S S -成等比数列,设3S m =,则62mS =,则632m S S -=-,故633S S S -=966312S S S S -=--,所以964m S S -=,得到934S m =,所以9334S S =.故选:C.9.AD【分析】利用等比数列的定义可判断A ;利用等比数列的通项公式可判断B ;利用等比数列的前n 项和公式可判断C ;由123a a a <<,求出1q >可判断D.【详解】由数列{}n a 是等比数列,设公比为q ,则222112n n n n a a q a a ++⎛⎫== ⎪⎝⎭是常数,故A 正确;由32a =,732a =,则47316a q a ==,即22q =,所以253248a a q ==⨯=,故B 错误;若数列{}n a 的前n 项和13n n S r -=+,则111a S r ==+,()()221312a S S r r =-=+-+=,()()332936a S S r r =-=+-+=,123,,a a a 成等比数列,2213a a a ∴=,即()461r =+,解得13r =-,故C 错误;若1230a a a <<<,则1q >,数列{}n a 是递增数列;若1230a a a <<<,则01q <<,数列{}n a 是递增数列,故D 正确.故选:AD 10.AC【分析】利用等比数列的通项公式及其前n 项和公式即可判断出正误即可.【详解】解:A 、若2310a a q =>,则10a >,所以2020202110a a q=>,故本选项正确;B 、3410a a q =>,则无法判定1a 的正负,所以202020211a a q=的正负也无法判定,故本选项错误;C 、2310a a q =>,则10a >,若1q =时,2021120210S a =>;若1q ≠,202112021(1)01a q S q -=>-,故本选项正确;D 、若3410a a q =>,若10a >,1q =时,2021120210S a =>;若1q ≠,202112021(1)1a q S q -=-,当1q <-时,则10a <,所以20210S <,故本选项错误.故选:AC.11.BD【分析】结合等比数列的性质依次分析选项即可.【详解】由题意知,A :由67T T <得71a >,由78=T T 得887=1T a T =,所以87=1a q a <,又0q >,所以01q <<,故A 错误;B :由78=T T 得887=1T a T =,故B 正确;C :因为{}n a 是各项为正数的等比数列,(01)q ∈,,有12789101a a a a a a >>>>=>>> ,所以2210789108996=()1T a a a a a a a T ==<,所以106T T <,故C 错误;D :1278910T T T T T T <<<<>>> ,则7T 与8T 均为n T 的最大值,故D 正确.故选:BD 12.292##14.5【分析】利用等比数列部分和的性质求出6S ,然后利用等差中项求解答案.【详解】设6S x =,因为{}n a 为等比数列,所以3S ,63S S -,96S S -成等比数列.因为34S =,919S =,所以()()24194x x -=-,解得10x =或6x =-(舍去).所以6S ,9S 的等差中项为292.故答案为:292.13.(1)26n a n =-(2)6m =【分析】(1)由11252102a d a +=+=,求得14a =-,进而得到数列{}n a 的通项公式;(2)由(1)知26n a n =-,求得25n S n n =-,912a =,1524a =,根据m S ,9a ,15a 成等比数列,列出方程,即可求解.(1)解:因为252a a +=且2d =,可得11252102a d a +=+=,解得14a =-,所以数列{}n a 的通项公式为4(1)226n a n n =-+-⨯=-.(2)解:由(1)知26n a n =-,可得2(4265)2n S n n n n -+-=-=,912a =,1524a =,因为m S ,9a ,15a 成等比数列,所以2915m a S a =,整理得2560m m --=,解得6m =或1m =-,又因为m N *∈,所以6m =.142201)cm 4-.【分析】由题意可知面积成等比数列,则可求总面积.【详解】设第n 个三角形边长为a ,则第n +1个三角形边长为2a,设第n 个三角形面积为n a ,则24n a =,2214216n a a +⎛⎫== ⎪⎝⎭,∵114n n a a +=,2120ABC a S === ,所以这些三角形面积成等比数列,且公比14q =,首项1a =所以前20个正三角形的面积和为:20220201)14)cm 1414S -==--.15.D【分析】根据题意可得20211a >,202201a <<,所以在等比数列{}n a 中,从1a 到2021a 的每一项都大于1,从2022a 开始后面所有的项的值都小于1且大于0.再分析每一个选项即可求解.【详解】因为{}n a 是公比为q 的等比数列,且11a >,202120220a a >,()()20212022110a a --<,所以20211a >,202201a <<,所以01q <<,所以在等比数列{}n a 中,从1a 到2021a 的每一项都大于1,从2022a 开始后面所有的项的值都小于1且大于0.对于A :因为22023202120221a a a =<,所以202320211a a <,故A 不正确;对于B :()2022202120220,1S S a -=∈,故B 不正确;对于C :根据上面的分析,等比数列{}n a 中每一项都为正值,所以n S 无最大值,所以数列{}n S 无最大值,故C 不正确;对于D :因为在等比数列{}n a 中,从1a 到2021a 的每一项都大于1,从2022a 开始后面所有的项的值都小于1且大于0,所以2021T 是数列{}n T 中的最大值,故D 正确.故选:D.16.D【分析】在等差数列中,由10k k d a a +=->可知数列为递增数列,知①正确;等比数列中,由公比1k ka q a +=知数列各项符号相同或为摆动数列,从而得到②④正误;利用反例可知③错误.【详解】对于①,由10k k a a +>>知:公差10k k d a a +=->,∴自第k 项起,数列{}n a 为递增数列,又0k a >,∴对于任意自然数n k >,都有0n a >,①正确;对于②,由0k a <,10k a +<知:公比10k ka q a +=>,∴数列{}n a 各项符号相同,即对于任意n N *∈,都有0n a <,②正确;对于③,若等差数列{}n a 中,21a =-,33a =-,则公差2d =-,110a ∴=>,③错误;对于④,由10k k a a +⋅<知:公比10k ka q a +=<,∴等比数列{}n a 为摆动数列,奇数项的符号相同,偶数项的符号相同,且奇数项与偶数项异号,∴对于任意n N *∈,都有10n n a a +⋅<,④正确;综上所述:正确的命题的个数为3个.故选:D.【点睛】关键点点睛:本题考查等差和等比数列的单调性和各项的符号特征;解题关键是能够根据相邻两项之间的关系确定等差或等比数列的公差或公比的正负,进而得到等差数列的单调性和等比数列各项的符号特征.17.B【详解】当1n =时,113a S r ==+,当2n ≥时,212323223221118333(31)8383393n n n n n n n n n a S S --------=-=-=-=⋅=⋅⋅=⋅所以81333r r +=∴=-,故选B.18.()0,1【分析】由退位相减法求得1()1n n n a a a λ-=--,化简整理后得1111n n a a λλ-+=+-,数列{}1n a +是公比为1λλ-的等比数列,要是摆动数列,则有公比小于0,求解即可.【详解】由n n S a n λ=-①,得111(2)n n S a n n λ--=+≥-②,①-②得1()1n n n a a a λ-=--,即()111n n a a λλ--=+,整理得()()()1111n n a a λλ--+=+,当1λ=时,不合题意,当1λ≠且0λ≠时,1111n n a a λλ-+=+-,且1n =时,111S a λ=-,111a λ=-,数列{}1n a +是公比为1λλ-的等比数列,若数列{}1n a +为摆动数列,则有01λλ<-,解得01λ<<.故答案为:()0,1.19.6【分析】根据给定条件,分别计算前面每次操作去掉的区间长度和,进而求出第n 次操作去掉的区间长度和n a ,再求数列{}n a 前n 项和,列不等式求解作答.【详解】设n a 为第n 次操作去掉的区间长度和,113a =,第1次操作后剩下两个长度为13的闭区间,则第2次操作去掉的区间长度和222122()33a =⋅=,第2次操作后剩下4个长度为213的闭区间,则第3次操作去掉的区间长度和3231144333a =⋅⋅=,如此下去,第1(2,N )n n n *-≥∈次操作后剩下12n -个长度为113n -的闭区间,则第n 次操作去掉的区间长度和1111122333n n n n n a ---=⋅⋅=,显然,数列{}n a 是等比数列,首项113a =,公式23q =,其前n 项和12[1()]2331()2313n nn S -==--,由910n S ≥得:21()310n ≤,11 5.6786lg 3lg 20.47710.3010n ≥≈≈--,而N n *∈,则min 6n =,所以需要操作的次数n 的最小值为6.故答案为:620.(1)1(1)2n n a n -=+⋅;(2)不存在,证明见解析.【分析】(1)利用给定的递推公式,结合“当2n ≥时,1n n n a S S -=-”变形,构造数列{}nS n即可求解作答.(2)假定存在符合条件的三项,列出等式,结合3()212⎡⎤⎛⎫=-⎢⎥ ⎪⎝⎭⎢⎥⎣⎦n nf n 的单调性推理作答.【详解】(1)N n *∈,2(1)n n n a n S ⋅=+⋅,则当2n ≥时,()12(1)-⋅-=+⋅n n n n S S n S ,即121-=⋅-n n S Sn n ,而121S =,因此,数列{}n S n 是公比为2的等比数列,则11221n nn S S n -=⋅=,即2n n S n =⋅,所以1(1)(1)22-+⋅==+⋅n nn n S a n n.(2)记231=-+nn n b a n ,由(1)知,123(1)2321-=-⋅+=-+n n n n n b n n ,不妨假设存在,,()<<m n p b b b m n p 三项成等差数列,则()2323232-=-+-n n m m p p,因为(),,N m n p m n p *<<∈,所以1+≤n p ,令()()32N nnf n n *=-∈,则3()212⎡⎤⎛⎫=-⎢⎥ ⎪⎝⎭⎢⎥⎣⎦n nf n ,于是有()f n 对N n *∈是递增的,则()(1)≥+f p f n ,即113232++-≥-p p n n ,因此()1123232323232++-=-+-≥-+-n n m m p p m m n n ,即332n m m -≥-,其左边为负数,右边为正数,矛盾,所以数列231⎧⎫-⎨⎬+⎩⎭n n a n 中不存在成等差数列的三项.21.A【分析】根据三分康托集的构造过程可知:经历第n 步,每个去掉的开区间以及留下的闭区间的区间长度都是13n ⎛⎫ ⎪⎝⎭,根据规律即可求出20212022属于1112,133n n ⎛⎫⎛⎫⎛⎫-⨯- ⎪ ⎪ ⎪ ⎪⎝⎭⎝⎭⎝⎭,进而根据不等式可求解.【详解】20212022不属于剩下的闭区间,20212022属于去掉的开区间经历第1步,剩下的最后一个区间为2[,1]3,经历第2步,剩下的最后一个区间为8,19⎡⎤⎢⎥⎣⎦,……,经历第n 步,剩下的最后一个区间为1113n ⎡⎤⎛⎫-⎢⎥ ⎪⎝⎭⎢⎥⎣⎦,,去掉的最后开区间为1112,133n n⎛⎫⎛⎫⎛⎫-⨯- ⎪ ⎪ ⎪ ⎪⎝⎭⎝⎭⎝⎭由120111121320223n n⎛⎫⎛⎫-⨯<<- ⎪ ⎪⎝⎭⎝⎭化简得4044320223n n ⎧>⎨<⎩,解得7n =故选:A 22.BC【分析】设该等比数列为{}n a ,公比为q ,根据题意11a =,132a =,即可求出122q =,再根据等比数列的性质和等比数列前n 项和公式,逐项判断,即可得到结果.【详解】设该等比数列为{}n a ,公比为q ,则11a =,132a =,故121312a q a ==,所以8128912a a q ===A 错误;因为462a q a ==B 正确;()112111212112112111111212a q M q----====-----,要证3M >,即证11211312-->-,即证1121421>-,即证112524>,即证12524⎛⎫> ⎪⎝⎭,而()1265 1.524⎛⎫>> ⎪⎝⎭,故C 正确;而3N M =+,因()()12636 1.4 1.925⎛⎫>>> ⎪⎝⎭,所以112625>,1121521>-,所以11211412-->-即4M >,所以7N >,D 错误.故选:BC .23.ABD 【分析】A.由244042110==可得答案;对于BCD ,通过524C C =⋅求出相邻音阶的公比,逐一检验选项即可.【详解】∵A 4=440,244042110==,故110Hz 是A 4往左两个“八度”A 2键的音,A 正确.设相邻音阶的公比为q ,则12524C q C ==,∴1122q =.而A 3=220,A 4=440,A 5=880,112233 1.0592220q ===,B 正确;155051.1482440n q ==≠(n ∈N *),C 不正确;16212441.4142880q ===,D 正确.故选:ABD.24.8【分析】根据题设可得第n 次操作去掉的线段长度之和为12133n -⎛⎫⋅ ⎪⎝⎭,则有12113360n -⎛⎫⋅≥ ⎪⎝⎭,再根据指对数关系及对数运算性质求n 的最大值.【详解】第一次操作去掉的线段长度为13,第二次操作去掉的线段长度之和为2133⨯,第三次操作去掉的线段长度之和为221333⨯⨯,…,第n 次操作去掉的线段长度之和为12133n -⎛⎫⋅ ⎪⎝⎭,由题意知,12113360n -⎛⎫⋅≥ ⎪⎝⎭,则21330n⎛⎫≥ ⎪⎝⎭,则2lg lg 301lg 33n -=--≥,∴()lg 2lg 31lg 3n -≥--,即1lg 3lg 3lg 2n +-≤,又lg 20.3010≈,lg30.4771≈,可得8n ≤,故最大值为8.故答案为:8.25.682【分析】利用累加法可求得10a 的值.【详解】当3n ≥且n N *∈时,122n n n a a ---=,所以,()()()()()535791024264861082142222268214a a a a a a a a a a -=+-+-+-+-=++++==-.故答案为:682.。
数学 等比数列及其前n 项和一、选择题1.在等比数列{a n }中,a 1=12,q =12,a n =132,则项数n 为( )A .3B .4C .5D .62.在等比数列{a n }中,若a 1<0,a 2=18,a 4=8,则公比q 等于( ) A .32B .23C .-23D .23或-233.我国古代数学名著《算法统宗》中有如下问题:“远望巍巍塔七层,红光点点倍加增,共灯三百八十一,请问尖头几盏灯?”意思是:一座7层塔共挂了381盏灯,且相邻两层中的下一层灯数是上一层灯塔的2倍,则塔的顶层共有灯( )A .1盏B .3盏C .5盏D .9盏4.已知各项均为正数的等比数列{a n }的前n 项和为S n ,且S 3=14,a 3=8,则a 6=( ) A .16 B .32 C .64D .1285.已知等比数列{a n }的前n 项和为S n =a ·2n -1+16,则实数a 的值为( )A .-13B .13C .-12D .126.设等比数列{a n }的公比为q >0,且q ≠1,S n 为数列{a n }前n 项和,记T n =a nS n ,则( )A .T 3≤T 6B .T 3<T 6C .T 3≥T 6D .T 3>T 67.已知{a n }是首项为1的等比数列,若S n 是数列{a n }的前n 项和,且28S 3=S 6,则数列{1a n}的前4项和为( ) A .158或4B .4027或4C .4027D .1588.已知数列{a n }是递减的等比数列,S n 是{a n }的前n 项和,若a 2+a 5=18,a 3a 4=32,则S 5的值是( )A .62B .48C .36D .31二、填空题9.数列{a n }满足:log 2a n +1=1+log 2a n ,若a 3=10,则a 8=_____.10.已知数列{a n }是等比数列,a 2=2,a 5=14,则a 1a 2a 3+a 2a 3a 4+…+a n a n +1a n +2= .11.等比数列{a n }的各项均为实数,其前n 项和为S n .已知S 3=74,S 6=634,则a 8=_____.12. 已知等比数列{a n }中,a 2=1,则其前3项的和S 3的取值范围是_____. 三、解答题13.等比数列{a n }中,a 1=1,a 5=4a 3. (1)求{a n }的通项公式;(2)记S n 为{a n }的前n 项和.若S m =63,求m .14. (2018·安徽联考)已知S n 是数列{a n }的前n 项和,且满足S n -2a n =n -4. (1)证明:{S n -n +2}为等比数列. (2)求数列{S n }的前n 项和T n .1.已知1,a 1,a 2,4成等差数列,1,b 1,b 2,b 3,4成等比数列,则a 1+a 2b 2的值是( )A .52或-52B .-52C .52D .122.等比数列{a n }共有奇数项,所有奇数项的和S 奇=255,所有偶数项的和S 偶=-126,末项是192,则首项a 1等于( )A .1B .2C .3D .43.各项均为正数的等比数列{a n }的前n 项和为S n ,若S n =2,S 3n =14,则S 4n =( ) A .80 B .30 C .26D .164.在等比数列{a n }中,a 1+a n =82,a 3·a n -2=81,且前n 项和S n =121,则此数列的项数n 等于( )A .4B .5C .6D .75. 已知等比数列{a n }满足条件a 2+a 4=3(a 1+a 3),a 2n =3a 2n ,n ∈N *,数列{b n }满足b 1=1,b n -b n -1=2n -1(n ≥2,n ∈N *).(1)求数列{a n },{b n }的通项公式;(2)若数列{c n }满足c 1a 1+c 2a 2+c 3a 3+…+c na n=b n ,n ∈N *,求{c n }的前n 项和T n .【参考答案】一、选择题1.在等比数列{a n }中,a 1=12,q =12,a n =132,则项数n 为( C )A .3B .4C .5D .62.在等比数列{a n }中,若a 1<0,a 2=18,a 4=8,则公比q 等于( C ) A .32B .23C .-23D .23或-23[解析] 由⎩⎪⎨⎪⎧a 1q =18,a 1q 3=8解得⎩⎪⎨⎪⎧a 1=27,q =23或⎩⎪⎨⎪⎧a 1=-27,q =-23,又a 1<0,因此q =-23.故选C .3.我国古代数学名著《算法统宗》中有如下问题:“远望巍巍塔七层,红光点点倍加增,共灯三百八十一,请问尖头几盏灯?”意思是:一座7层塔共挂了381盏灯,且相邻两层中的下一层灯数是上一层灯塔的2倍,则塔的顶层共有灯( B )A .1盏B .3盏C .5盏D .9盏[解析] 设塔的顶层共有灯x 盏,则各层的灯数构成一个公比为2的等比数列,由x (1-27)1-2=381可得x =3.4.已知各项均为正数的等比数列{a n }的前n 项和为S n ,且S 3=14,a 3=8,则a 6=( C ) A .16 B .32 C .64D .128[解析] 由题意得,等比数列的公比为q ,由S 3=14,a 3=8,则⎩⎪⎨⎪⎧a 1(1+q +q 2)=14,a 3=a 1q 2=8,,解得a 1=2,q =2,所以a 6=a 1q 5=2×25=64,故选C .5.已知等比数列{a n }的前n 项和为S n =a ·2n -1+16,则实数a 的值为( A )A .-13B .13C .-12D .12[解析] 当n ≥2时,a n =S n -S n -1=a ·2n -1-a ·2n -2=a ·2n -2,当n =1时,a 1=S 1=a +16,又因为{a n }是等比数列,所以a +16=a 2,所以a =-13.6.设等比数列{a n }的公比为q >0,且q ≠1,S n 为数列{a n }前n 项和,记T n =a nS n ,则( D )A .T 3≤T 6B .T 3<T 6C .T 3≥T 6D .T 3>T 6[解析] T 6-T 3=a 6(1-q )a 1(1-q 6)-a 3(1-q )a 1(1-q 3)=q 5(1-q )1-q 6-q 2(1-q )1-q 3=-q 2(1-q )1-q 6,由于q >0且q ≠1,所以1-q 与1-q 6同号,所以T 6-T 3<0,∴T 6<T 3,故选D .7.已知{a n }是首项为1的等比数列,若S n 是数列{a n }的前n 项和,且28S 3=S 6,则数列{1a n}的前4项和为( C ) A .158或4B .4027或4C .4027D .158[解析] 设数列{a n }的公比为q .当q =1时,由a 1=1,得28S 3=28×3=84.S 6=6,两者不相等,因此不合题意. 当q ≠1时,由28S 3=S 6及首项为1,得28(1-q 3)1-q =1-q 61-q ,解得q =3.所以数列{a n }的通项公式为a n =3n -1.所以数列{1a n }的前4项和为1+13+19+127=4027.8.已知数列{a n }是递减的等比数列,S n 是{a n }的前n 项和,若a 2+a 5=18,a 3a 4=32,则S 5的值是( A )A .62B .48C .36D .31[解析] 由a 2+a 5=18,a 3a 4=32,得a 2=16,a 5=2或a 2=2,a 5=16(不符合题意,舍去),设数列{a n }的公比为q ,则a 1=32,q =12,所以S 5=32[1-(12)5]1-12=62,选A .二、填空题9.数列{a n }满足:log 2a n +1=1+log 2a n ,若a 3=10,则a 8=__320___.[解析] 由题意知log 2a n +1=log 22a n ,∴a n +1=2a n ,∴{a n }是公比为2的等比数列,又a 3=10,∴a 8=a 3·25=320.10.已知数列{a n }是等比数列,a 2=2,a 5=14,则a 1a 2a 3+a 2a 3a 4+…+a n a n +1a n +2=647(1-2-3n) .[解析] 设数列{a n }的公比为q ,则q 3=a 5a 2=18,解得q =12,a 1=a 2q=4.易知数列{a n a n +1a n+2}是首项为a 1a 2a 3=4×2×1=8,公比为q 3=18的等比数列,所以a 1a 2a 3+a 2a 3a 4+…+a n a n+1a n +2=8(1-18n )1-18=647(1-2-3n ). 11.等比数列{a n }的各项均为实数,其前n 项和为S n .已知S 3=74,S 6=634,则a 8=__32___.[解析] 由题意知S 3=a 1+a 2+a 3=74,a 4+a 5+a 6=S 6-S 3=634-74=14=74·q 3,∴q =2.又a 1+2a 1+4a 1=74,∴a 1=14,∴a 8=14×27=32.12. 已知等比数列{a n }中,a 2=1,则其前3项的和S 3的取值范围是__(-∞,-1]∪[3,+∞)___.[解析] 设等比数列的公比为q ,则S 3=1q +q +1∵|1q +q |=1|q |+|q |≥2(当且仅当|q |=1时取等号) ∴1q +q ≥2或1q+q ≤-2∴S 3≥3或S 3≤-1,∴S 3的取值范围是(-∞,-1]∪[3,+∞). 三、解答题13.等比数列{a n }中,a 1=1,a 5=4a 3. (1)求{a n }的通项公式;(2)记S n 为{a n }的前n 项和.若S m =63,求m .[分析] 本题考查等比数列的通项公式、前n 项和公式. (1)根据已知,建立含有q 的方程→求得q 并加以检验→代入等比数列的通项公式(2)利用等比数列前n 项和公式与已知建立等量关系即可求解. [解析] (1)设{a n }的公比为q ,由题设得a n =q n -1.由已知得q 4=4q 2,解得q =0(舍去)或q =-2或q =2.故a n =(-2)n -1或a n =2n -1. (2)若a n =(-2)n -1,则S n =1-(-2)n 3.由S m =63得(-2)m =-188,此方程没有正整数解.若a n =2n -1,则S n =2n -1.由S m =63得2m =64,解得m =6.综上,m =6. [解后反思] 等比数列基本量运算问题的常见类型及解题策略: (1)求通项.求出等比数列的两个基本量a 1和q 后,通项便可求出. (2)求特定项.利用通项公式或者等比数列的性质求解. (3)求公比.利用等比数列的定义和性质建立方程(组)求解.(4)求前n 项和.直接将基本量代入等比数列的前n 项和公式求解或利用等比数列的性质求解.[易错警示] 解方程时,注意对根的检验.求解等比数列的公比时,要结合题意进行讨论、取值,避免错解.14. (2018·安徽联考)已知S n 是数列{a n }的前n 项和,且满足S n -2a n =n -4. (1)证明:{S n -n +2}为等比数列. (2)求数列{S n }的前n 项和T n .[解析] (1)证明:由题意知S n -2(S n -S n -1)=n -4(n ≥2), 即S n =2S n -1-n +4,所以S n -n +2=2[S n -1-(n -1)+2], 又易知a 1=3,所以S 1-1+2=4,所以{S n -n +2}是首项为4,公比为2的等比数列. (2)由(1)知S n -n +2=2n +1, 所以S n =2n +1+n -2,于是T n =(22+23+…+2n +1)+(1+2+…+n )-2n =4(1-2n )1-2+n (n +1)2-2n =2n +3+n 2-3n -82.1.已知1,a 1,a 2,4成等差数列,1,b 1,b 2,b 3,4成等比数列,则a 1+a 2b 2的值是( C )A .52或-52B .-52C .52D .12[解析] 由题意得a 1+a 2=5,b 22=4,又b 2与第一项的符号相同,所以b 2=2.所以a 1+a 2b 2=52.故选C . [技巧点拨] (1)在等差(比)数列的基本运算中要注意数列性质的运用,利用性质解题可简化运算,提高运算的速度.(2)根据等比中项的定义可得,在等比数列中,下标为奇数的项的符号相同,下标为偶数的项的符号相同,在求等比数列的项时要注意这一性质的运用,避免出现符号上的错误.2.等比数列{a n }共有奇数项,所有奇数项的和S 奇=255,所有偶数项的和S 偶=-126,末项是192,则首项a 1等于( C )A .1B .2C .3D .4[解析] ∵a n =192, ∴q =S 偶S 奇-a n =-12663=-2.又S n =a 1-a n q1-q=S 奇+S 偶,∴a 1-192×(-2)1-(-2)=255+(-126),解得a 1=3,故选C .3.各项均为正数的等比数列{a n }的前n 项和为S n ,若S n =2,S 3n =14,则S 4n =( B ) A .80 B .30 C .26D .16[解析] 由等比数列的性质知S n 、S 2n -S n 、S 3n -S 2n 成等比数列,∴(S 2n -2)2=2(14-S 2n ),∴S 2n =6或-4(舍去),又S 2n -S n 、S 3n -S 2n 、S 4n -S 3n 成等比数列,∴82=4(S 4n -14),∴S 4n =30.故选B .另解:(特殊化)不妨令n =1,则a 1=S 1=2,S 3=2(1-q 3)1-q =14,∴q 2+q -6=0,∴q =2或-3(舍去)∴S 4=2(1-q 4)1-q=30.故选B .4.在等比数列{a n }中,a 1+a n =82,a 3·a n -2=81,且前n 项和S n =121,则此数列的项数n 等于( B )A .4B .5C .6D .7[解析] 在等比数列{a n }中,a 3·a n -2=a 1·a n =81,又a 1+a n =82,所以⎩⎪⎨⎪⎧a 1=1,a n =81或⎩⎪⎨⎪⎧a 1=81,a n =1.当a 1=1,a n =81时,S n =1-81q1-q =121,解得q =3.由a n =a 1q n -1得81=3n -1,解得n =5. 同理可得当a 1=81,a n =1时,n =5.故选B .5. 已知等比数列{a n }满足条件a 2+a 4=3(a 1+a 3),a 2n =3a 2n ,n ∈N *,数列{b n }满足b 1=1,b n -b n -1=2n -1(n ≥2,n ∈N *).(1)求数列{a n },{b n }的通项公式;(2)若数列{c n }满足c 1a 1+c 2a 2+c 3a 3+…+c na n =b n ,n ∈N *,求{c n }的前n 项和T n .[解析] (1)设{a n }的通项公式为a n =a 1q n -1,n ∈N *,由已知a 2+a 4=3(a 1+a 3),a 1q +a 1q 3=3(a 1+a 1q 2),得q =3,由已知a 2n =3a 2n ,即a 1q 2n -1=3a 21q 2n -2, 解得q =3a 1,a 1=1,所以{a n }的通项公式为a n =3n -1.因为b 1=1,b n -b n -1=2n -1(n ≥2,n ∈N *), 可得b 2-b 1=3,b 3-b 2=5,…,b n -b n -1=2n -1, 累加可得b n =n 2.(2)当n =1时,c 1a 1=1,c 1=1,当n ≥2时,c 1a 1+c 2a 2+c 3a 3+…+c na n =n 2①c 1a 1+c 2a 2+c 3a 3+…+c n -1a n -1=(n -1)2② 由①-②得到c na n =2n -1,c n =(2n -1)·3n -1,n ≥2,综上,c n =(2n -1)·3n -1,n ∈N *.T n =1×30+3×31+…+(2n -3)×3n -2+(2n -1)×3n -1③ 3T n =1×31+3×32+…+(2n -3)×3n -1+(2n -1)×3n ④ 由③-④得到-2T n =1×30+2×(31+32+…+3n -1)-(2n -1)×3n =1×30+2×3(3n -1-1)3-1-(2n -1)×3n .所以T n =1+(n -1)×3n .。
等比数列的前n项和练习1、设Sn 是数列{an}(n∈N*)的前n项和,已知a1=4,an+1=Sn+3n,设bn=Sn﹣3n.(Ⅰ)证明:数列{bn }是等比数列,并求数列{bn}的通项公式;(Ⅱ)令cn =2log2bn﹣+2,求数列{cn}的前n项和Tn.2、已知数列{an }的前n项和Sn=,且a1=1.(1)求数列{an}的通项公式;(2)令bn =lnan,是否存在k(k≥2,k∈N*),使得bk、bk+1、bk+2成等比数列.若存在,求出所有符合条件的k值;若不存在,请说明理由.3、数列{an }满足a1=1,a2=r(r>0),令bn=an•an+1,{bn}是公比为q(q≠0,q≠﹣1)的等比数列,设cn =a2n﹣1+a2n.(1)求证:cn=(1+r)•q n﹣1;(2)设{cn }的前n项和为Sn,求的值;(3)设{cn }前n项积为Tn,当q=﹣时,Tn的最大值在n=8和n=9的时候取到,求n为何值时,Tn取到最小值.4、已知等比数列{an }的公比为q,a1=,其前n项和为Sn(n∈N*),且S2,S 4,S3成等差数列.(I)求数列{an}的通项公式;(Ⅱ)设bn=Sn﹣(n∈N*),求bn的最大值与最小值.5、等比数列{}的前n 项和为,已知,,成等差数列(1)求{}的公比q;(2)若-=3,求。
6、对于一组向量(),令,如果存在(),使得,那么称是该向量组的“向量”.(1)设(),若是向量组的“向量”,数的取值围;(2)若(),向量组是否存在“向量”?给出你的结论并说明理由;(3)已知均是向量组的“向量”,其中,.设在平面直角坐标系中有一点列满足:为坐标原点,为的位置向量的终点,且与关于点对称,与()关于点对称,求的最小值.7、已知数列为等比数列,其前项和为,已知,且对于任意的有,,成等差数列.求数列的通项公式;已知(),记,若对于恒成立,数的围.8、已知各项都为正数的等比数列的前n项和,数列的通项公式,若是与的等比中项。
等比数列及前n 项和练习题1一、选择题1、32+和32-的等比中项是() A.1B.1- C.1± D.22、在等比数列{}n a 中,已知30,341515=-=+a a a a ,则3a =() A.8B.-8C.8± D.163、等比数列{}n a 中,72=S ,916=S ,则4S 等于()A.28B.28或21-C.21-D.495、在等比数列{}n a 中,55,551==S a ,则公比q 等于() A.4B.2C.2- D.2-或46、已知等比数列}{n a 的公比为正数,且3a ·9a =225a ,2a =1,则1a = A. 21B.22C.2D.27、已知数列{n a }为等比数列,n S 是它的前n 项和,若2·a a 31=2a ,且4a 与72a 的等差中项为54,则S 5=A .35B .33C .31D .298、已知等差数列{a n }的公差为2,若a 1,a 3,a 4成等比数列,则a 2等于()(A )-4(B )-6(C )-8(D )-10 9、等比数列{}n a 中,===+q a a a a 则,8,63232( ) A .2 B .21 C .2或21 D .-2或21-10、在等比数列{a n }中,S 4=1,S 8=3,则a 17+a 18+a 19+a 20的值是()A 、14B 、16C 、18D 、20二、填空题:11、已知在等比数列{}n a 中,各项均为正数,且,7,13211=++=a a a a 则数列{}n a 的通项公式是_________=n a12、在等比数列{}n a 中,已知,2,1654321-=++=++a a a a a a 则该数列前15项的和S 15=.13、等比数列{}n a 前n 项的和为21n -,则数列{}2n a 前n 项的和为______________。
第28讲 等比数列及其前n 项和【练基础】1.已知各项均为正数的等比数列{a n }满足a 1a 5=16,a 2=2,则公比q =( ) A .4 B.52 C .2 D.12【答案】C【解析】由题意,得⎩⎪⎨⎪⎧ a 1·a 1q 4=16,a 1q =2,解得⎩⎪⎨⎪⎧ a 1=1,q =2或⎩⎪⎨⎪⎧a 1=-1,q =-2(舍去),故选C.2.已知各项均不为0的等差数列{a n }满足a 3-a 272+a 11=0,数列{b n }为等比数列,且b 7=a 7,则b 1·b 13=( )A .25B .16C .8D .4【答案】B【解析】由a 3-a 272+a 11=0,得2a 7-a 272=0,a 7=4,所以b 7=4,b 1·b 13=b 27=16. 3.公比不为1的等比数列{a n }满足a 5a 6+a 4a 7=18,若a 1a m =9,则m 的值为( ) A .8 B .9 C .10 D .11【答案】C【解析】由题意得,2a 5a 6=18,∴a 5a 6=9,∵a 1a m =a 5a 6=9,∴m =10.4.设{a n }是首项大于零的等比数列,则“a 21<a 22”是“数列{a n}为递增数列”的( ) A .充分而不必要条件 B .必要而不充分条件 C .充分必要条件D .既不充分也不必要条件 【答案】B【解析】设公比为q ,若a 21<a 22,则a 21<a 21q 2,即q 2>1,则q >1或q <-1,当q <-1时,数列为摆动数列,则“数列{a n }为递增数列”不成立,即充分性不成立,若“数列{a n }为递增数列”,则a 1<a 2,∵a 1>0,∴a 2>0,则“a 21<a 22”成立,即必要性成立,则“a 21<a 22”是“数列{a n }为递增数列”的必要而不充分条件.5.已知公比q ≠1的等比数列{a n }的前n 项和为S n ,a 1=1,S 3=3a 3,则S 5=( ) A .1 B .5 C.3148 D.1116【答案】D【解析】由题意得a 1(1-q 3)1-q =3a 1q 2,解得q =-12或q =1(舍),所以S 5=a 1(1-q 5)1-q=1-⎝⎛⎭⎫-1251-⎝⎛⎭⎫-12=1116.6.已知{a n }是等比数列,若a 1=1,a 6=8a 3,数列⎩⎨⎧⎭⎬⎫1a n 的前n 项和为T n ,则T 5=( )A.3116 B .31 C.158 D .7【答案】A【解析】设等比数列{a n }的公比为q ,则q 3=a 6a 3=8a 3a 3=8,故q =2.易证数列⎩⎨⎧⎭⎬⎫1a n 是首项为1a 1=1,公比为12的等比数列,所以T 5=1×⎣⎡⎦⎤1-⎝⎛⎭⎫1251-12=3116. 7.已知{a n }是公差为3的等差数列,若a 1,a 2,a 4成等比数列,则{a n }的前10项和S 10=( ) A .165 B .138 C .60 D .30【答案】A【解析】由a 1,a 2,a 4成等比数列得a 22=a 1a 4,即(a 1+3)2=a 1·(a 1+9),解得a 1=3,则S 10=10a 1+10×92d =10×3+45×3=165.故选A.8.设公比为q (q >0)的等比数列{a n }的前n 项和为S n .若S 2=3a 2+2,S 4=3a 4+2,则a 1等于( ) A .-2 B .-1 C.12 D.23 【答案】B【解析】将已知两式作差得S 4-S 2=3a 4-3a 2,所以a 3+a 4=3a 4-3a 2,即3a 2+a 2q -2a 2q 2=0.所以2q 2-q -3=0,解得q =32或q =-1(舍去).将q =32代入S 2=3a 2+2,即a 1+a 1q =3a 1q +2,解得a 1=-1.9.已知等比数列{a n }满足a 1=14,a 3a 5=4(a 4-1),则q =________.【答案】2【解析】由等比数列的性质得a 24=a 3a 5,又因为a 3a 5=4(a 4-1),所以a 24=4(a 4-1),解得a 4=2.又a 1=14,所以q 3=a 4a 1=8,解得q =2. 10.已知{a n }是等比数列,a 2=2,a 5=14,则a 1a 2+a 2a 3+…+a n a n +1等于________.【答案】323⎝⎛⎭⎫1-14n 【解析】因为{a n }是等比数列,a 2=2,a 5=14,所以q 3=a 5a 2=18,则q =12,所以a n a n +1a n -1a n=q 2=14(n ≥2).所以数列{a n a n +1}是以8为首项,14为公比的等比数列.所以a 1a 2+a 2a 3+…+a n a n +1=8⎣⎡⎦⎤1-⎝⎛⎭⎫14n 1-14=323⎝⎛⎭⎫1-14n . 【练提升】1.已知等比数列{a n }的各项均为正数,S n 为其前n 项和,且满足:a 1+3a 3=72,S 3=72,则a 4=( )A.14 B.18 C .4 D .8【答案】A【解析】设等比数列{a n }的公比为q ,则q >0.∵a 1+3a 3=72,S 3=72,∴a 1+3a 1q 2=72,a 1(1+q +q 2)=72,联立解得a 1=2,q =12.则a 4=2×⎝⎛⎭⎫123=14.故选A.2.等比数列{a n }的前n 项和为S n ,若S 2n =4(a 1+a 3+…+a 2n -1),a 1a 2a 3=-27,则a 5=( ) A .81 B .24 C .-81 D .-24 【答案】C【解析】解法一:易知等比数列{a n }的公比q ≠1,由S 2n =4(a 1+a 3+…+a 2n -1),可得a 1(1-q 2n )1-q =4×a 1(1-q 2n )1-q2,解得q =3.由a 1a 2a 3=a 32=-27,得a 2=-3,所以a 5=a 2q 3=-3×33=-81.故选C.解法二:当n =1时,S 2=a 1+a 2=4a 1,即a 2=3a 1,所以q =3.又a 1a 2a 3=a 32=-27,所以a 2=-3,所以a 5=a 2q 3=-3×33=-81.故选C.3.(多选)在公比为q 的等比数列{a n }中,S n 是数列{a n }的前n 项和,若a 1=1,a 5=27a 2,则下列说法正确的是( )A .q =3B .数列{S n +2}是等比数列C .S 5=121D .2lg a n =lg a n -2+lg a n +2(n ≥3)【答案】ACD【解析】因为a 1=1,a 5=27a 2,所以有a 1·q 4=27a 1·q ⇒q 3=27⇒q =3,因此选项A 正确; 因为S n =1-3n 1-3=12(3n -1),所以S n +2=12(3n +3),因为S n +1+2S n +2=12(3n +1+3)12(3n +3)=1+21+31-n≠常数,所以数列{S n +2}不是等比数列,故选项B 不正确; 因为S 5=12(35-1)=121,所以选项C 正确;a n =a 1·q n -1=3n -1>0,因为当n ≥3时,lg a n -2+lg a n +2=lg(a n -2·a n +2) =lg a 2n =2lg a n ,所以选项D 正确.4.在等比数列{a n }中,a 1+a n =66,a 2a n -1+a 3a n -2=256,且前n 项和S n =126,则n = ( ) A .2 B .4 C .6 D .8【答案】C【解析】因为数列{a n }是等比数列,所以a 2a n -1=a 3a n -2=a 1a n ,又因为a 2a n -1+a 3a n -2=256,所以a 1a n=128,又因为a 1+a n =66.所以a 1=2,a n =64或a 1=64,a n =2.因为S n =a 1-a n q 1-q ,且S n =126,所以若a 1=2,a n =64,则2-64q 1-q =126,得q =2.此时a n =2×2n -1=2n =64,n =6;若a 1=64,a n =2,则64-2q 1-q =126,得q =12,此时a n =64×⎝⎛⎭⎫12n -1=2,得n =6.综上知,n =6. 5.已知等比数列{a n }的前n 项积为T n ,若a 1=-24,a 4=-89,则当T n 取得最大值时,n 的值为( )A .2B .3C .4D .6【答案】C【解析】设等比数列{a n }的公比为q ,则a 4=-24q 3=-89,所以q 3=127,q =13,易知此等比数列各项均为负数,则当n 为奇数时,T n 为负数,当n 为偶数时,T n 为正数,所以T n 取得最大值时,n 为偶数,排除B ;而T 2=(-24)2×⎝⎛⎭⎫13=24×8=192,T 4=(-24)4× ⎝⎛⎭⎫136=84×19=849>192,T 6=(-24)6×⎝⎛⎭⎫1315=86×⎝⎛⎭⎫139=8639=849×8237<849,所以T 4最大.故选C. 6.若数列{a n +1-a n }是等比数列,且a 1=1,a 2=2,a 3=5,则a n =________. 【答案】3n -1+12【解析】因为a 1=1,a 2=2,a 3=5, 所以a 2-a 1=1,a 3-a 2=3.所以等比数列{a n +1-a n }的首项为1,公比为3, 所以a n +1-a n =1×3n -1. 所以a 2-a 1=1, a 3-a 2=3, …a n -a n -1=3n -2,以上各式相加得a n -a 1=1+3+…+3n -2=1-3n -11-3=3n -1-12,又a 1=1,所以a n =3n -1+12(n ≥2).当n =1时,a 1=1,也满足上式,所以a n =3n -1+12.7.已知等比数列{a n }的公比为正数,且a 3a 9=2a 25,a 2=1,则a 1=________.【解析】∵a 3a 9=a 26,∴a 26=2a 25,设等比数列{a n }的公比为q ,∴q 2=2,由于q >0,解得q =2,∴a 1=a 2q =22. 【答案】228.在数列{a n }中,a 2n +1+2a n +1=a n a n +2+a n +a n +2,且a 1=2,a 2=5.(1)证明:数列{a n +1}是等比数列; (2)求数列{a n }的前n 项和S n .【解析】(1)证明:∵a 2n +1+2a n +1=a n a n +2+a n +a n +2, ∴(a n +1+1)2=(a n +1)(a n +2+1), 即a n +1+1a n +1=a n +2+1a n +1+1.∵a 1=2,a 2=5,∴a 1+1=3,a 2+1=6,∴a 2+1a 1+1=2,∴数列{a n +1}是以3为首项,2为公比的等比数列. (2)由(1)知,a n +1=3·2n -1, ∴a n =3·2n -1-1,∴S n =3(1-2n )1-2-n =3·2n -n -3.。
专题7.3 等比数列及其前n 项和1.(2021·全国高考真题(文))记n S 为等比数列{}n a 的前n 项和.若24S =,46S =,则6S =( ) A .7B .8C .9D .102.(2021·山东济南市·)已知S n 是递增的等比数列{a n }的前n 项和,其中S 3=72,a 32=a 4,则a 5=( ) A .116B .18C .8D .163.(2021·重庆高三其他模拟)设等比数列{}n a 的前n 项和为271,8,4n S a a =-=,则6S =( ) A .212-B .152C .212D .6324.(2021·合肥市第六中学高三其他模拟(理))若等比数列{}n a 满足12451,8a a a a +=+=,则7a =( ) A .643B .643-C .323D .323-5.(2020·河北省曲阳县第一高级中学高一期末)中国古代数学著作《算法统宗》中记载了这样一个问题:“三百七十八里关,初行健步不为难,次日脚痛减一半,六朝才得到其关,要见次日行里数,请公仔细算相还.”其大意为:有一个人走了378里路,第一天健步行走,从第二天起因脚痛每天走的路程为前一天的一半,走了6天后到达目的地,问此人第二天走了( ) A .6里B .24里C .48里D .96里6.(2021·江苏南通市·高三其他模拟)已知等比数列{}n a 的公比为q ,前n 项和为n S ,则“1q >”是“112n n n S S S -++>”的( ) A .充分不必要条件 B .必要不充分条件 C .充要条件D .既不充分也不必要条件7.(2021·黑龙江大庆市·大庆实验中学高三其他模拟(文))在数列{}n a 中,44a =,且22n n a a +=,则21nni a==∑___________.8.(2021·浙江杭州市·杭州高级中学高三其他模拟)已知数列{}n a 满足21n n S a =-,则1a =_____,n S =_______.练基础9.(2021·浙江杭州市·杭州高级中学高三其他模拟)已知数列{}n a 满足21n n S a =-,则3a =________,n S =________.10.(2018·全国高考真题(文))等比数列{a n }中,a 1=1 , a 5=4a 3. (1)求{a n }的通项公式;(2)记S n 为{a n }的前n 项和.若S m =63,求m .1.(辽宁省凌源二中2018届三校联考)已知数列{}n a 为等比数列,且2234764a a a a =-=-,则46tan 3a a π⎛⎫⋅= ⎪⎝⎭( )A.B. C. 3-D. 2.(2021·全国高三其他模拟(文))如图,“数塔”的第i 行第j 个数为12j -(其中i ,*j N ∈,且i j ≥).将这些数依次排成一列1,1,2,1,2,4,1,2,4,8,1,2,4,8,16,…,记作数列{}n a ,设{}n a 的前n 项和为n S .若1020n S =,则n =( )A .46B .47C .48D .493.【多选题】(2021·江苏高三其他模拟)已知数列{}n a 满足11a =,()1lg 1091n a n a +=++,其前n 项和为n S ,则下列结论中正确的有( )A .{}n a 是递增数列B .{}10n a +是等比数列C .122n n n a a a ++>+D .(3)2n n n S +<练提升4. (2019·浙江高三期末)数列{}n a 的前n 项和为n S ,且满足11a =,()11.n n a S n N ++=+∈(Ⅰ)求通项公式n a ; (Ⅱ)记12111n n T S S S =++⋯+,求证:31222n n T -≤<. 5.(2021·河北衡水中学高三三模)已知数列{}n a 的前n 项和为n S ,且满足13a =,()122n n a xa n n -=+-≥,其中x ∈R .(1)若1x =,求出n a ;(2)是否存在实数x ,y 使{}n a yn +为等比数列?若存在,求出n S ,若不存在,说明理由. 6.(2021·辽宁本溪市·高二月考)已知数列{}n a ,满足11a =,121n n a a n +=+-,设n n b a n =+,n n c a n λ=+(λ为实数).(1)求证:{}n b 是等比数列; (2)求数列{}n a 的通项公式;(3)若{}n c 是递增数列,求实数λ的取值范围.7.(2021·河南商丘市·高二月考(理))在如图所示的数阵中,从任意一个数开始依次从左下方选出来的数可组成等差数列,如:2,4,6,8,…;依次选出来的数可组成等比数列,如:2,4,8,16,….122344468858121616记第n 行第m 个数为(),f n m .(Ⅰ)若3n ≥,写出(),1f n ,(),2f n ,(),3f n 的表达式,并归纳出(),f n m 的表达式; (Ⅱ)求第10行所有数的和10S .8.(2021·山东烟台市·高三其他模拟)已知数列{}n a 的前n 项和为n S ,且满足11a =,12n n S na +=,*n ∈N . (1)求{}n a 的通项公式;(2)设数列{}n b 满足11b =,12n n n b b +=,*n ∈N ,按照如下规律构造新数列{}n c :123456,,,,,,a b a b a b ,求{}n c 的前2n 项和.9.(2019·浙江高考模拟)已知数列{}n a 中,()110,2*n n a a a n n N +==+∈, (1)令+11n n n b a a =-+,求证:数列{}n b 是等比数列; (2)令3nn na c =,当n c 取得最大值时,求n 的值. 10.(2021·浙江高三其他模拟)已知数列{}n a 满足112a =,123n n a a ++=,数列{}n b 满足11b =,()211n n nb n b n n +-+=+.(1)数列{}n a ,{}n b 的通项公式;(2)若()1n n n n c b b a +=-,求使[][][][]1222021n c c c c +++⋅⋅⋅+≤成立([]n c 表示不超过n c 的最大整数)的最大整数n 的值.1.(2021·全国高考真题(理))等比数列{}n a 的公比为q ,前n 项和为n S ,设甲:0q >,乙:{}n S 是递增数列,则( )A .甲是乙的充分条件但不是必要条件B .甲是乙的必要条件但不是充分条件C .甲是乙的充要条件D .甲既不是乙的充分条件也不是乙的必要条件2.(2020·全国高考真题(文))记S n 为等比数列{a n }的前n 项和.若a 5–a 3=12,a 6–a 4=24,则nnS a =( ) A .2n –1B .2–21–nC .2–2n –1D .21–n –13.(2019·全国高考真题(文))已知各项均为正数的等比数列{}n a 的前4项和为15,且53134a a a =+,则3a =( ) A .16B .8C .4D .24.(2019·全国高考真题(文))记S n 为等比数列{a n }的前n 项和.若13314a S ==,,则S 4=___________. 练真题5.(2020·海南省高考真题)已知公比大于1的等比数列{}n a 满足24320,8a a a +==. (1)求{}n a 的通项公式;(2)求112231(1)n n n a a a a a a -+-+⋯+-.6.(2021·浙江高考真题)已知数列{}n a 的前n 项和为n S ,194a =-,且1439n n S S +=-. (1)求数列{}n a 的通项;(2)设数列{}n b 满足*3(4)0()n n b n a n N +-=∈,记{}n b 的前n 项和为n T ,若n n T b λ≤对任意N n *∈恒成立,求实数λ的取值范围.。
等比数列的前n项和公式习题1一、单选题(1-7每题 3分, 第8小题 4分, 共 25分)1. 已知等比数列{a n}的首项a1=1,公比q=-2,则它的前5项之和为[ ][ ]3. 等比数列{a n }中,公比q>1,a1a2a3=27,S3=13,则S5=[ ]A.13 B.121 C.40 D.30[ ]A. 310 B.-310 C.39 D.-395. 已知1+a+a2+a3+…+a n=(1+a)(1+a2)(1+a4)(1+a8) (a≠-1),则n=[ ]A.14 B.15 C.16 D.17[ ]7. 已知无穷数列a1,a2,…,a n…各项的和为3,无穷等比数列a12,a22,…a n2,…各项的和为6,则数列{a n}的公比为[ ]8. 等比数列{a n},它的前四项之和是前两项之和的3倍,则这个等比数列的公比是[ ]二、填空题(1-5每题 3分, 6-7每题 4分, 共 23分)1. 在等比数列{a n }中,a2=-2,a8=-128,则公比q=_____.3. 如果数列{a n }的前n项和为S n=3n-1,则此数列是__________数列.5. 在等比数列中,如果a4·a7+a5·a6=20,则此数列前10项的积是________.6. 数列{a n}的前n项和S n=3n+1(n ∈N),则a n的表示式是________.7. 若等比数列的a2=27,a5=8,则S5=________.三、解答题( 6分 )有四个数,其中前三个数成等差数列,后三个数成等比数列,并且前三个数的和是12,第二个数与第四个数的和是5,求这四个数.等比数列的前n项和公式习题1答案一、单选题1. B2. C3. B4. D5. B6. B7. C8. C二、填空题1. ±22. 10n-1-9n-103. 等比5. 105三、解答题四个数依次是6,4,2,1 或 10,4,-2,1.。
高考数学复习知识点讲解与练习高考数学复习知识点讲解与练习 专题3131 等比数列及其前n 项和项和[基础强化]一、选择题1.等比数列{a n }的前n 项和为S n ,公比为q ,若S 6=9S 3,S 5=62,则a 1=( ) A. 2 B.2 C. 5 D.3 【解析】D设等差数列{a n }的公差为d .∵S 5=2S 4,a 2+a 4=8, ∴5a 1+5×42d =2 4a 1+4×32d ,a 1+d +a 1+3d =8,整理得 3a 1+2d =0,a 1+2d =4,解得 a 1=-2,d =3.∴a 5=a 1+4d =-2+12=10.故选D.2.已知等比数列{a n }满足a 1=18,4a 2a 4=4a 3-1,则a 2=( )A.±14 B.14 C.±116 D.116【解析】A设等差数列{a n }的首项为a 1,则由等差数列{a n }的前n 项和为S n 及S 10=15,得10(a 1+a 10)2=15,所以a 1+a 10=3.由等差数列的性质,得a 1+a 10=a 4+a 7,所以a 4+a 7=3.又因为a 4=52,所以a 7=12.故选A.3.等比数列{a n }中,若a n >0,a 2a 4=1,a 1+a 2+a 3=7,则公比q =( ) A.14 B.12 C.2 D.4 【解析】B设等差数列{a n }的公差为d ,则33a 1+3×22d =2a 1+d +4a 1+4×32d , 得d =-32a 1,又a 1=2,∴d =-3,∴a 5=a 1+4d =-10.4.等比数列{a n }的前n 项和为S n ,且4a 1,2a 2,a 3成等差数列.若a 1=1,则S 4=( )A.7 B.8 C.15 D.16 【解析】C∵S 6=(a 1+a 6)×62=48,∴a 1+a 6=16,又a 4+a 5=24,∴(a 4+a 5)-(a 1+a 6)=8, ∴3d -d =8,d =4.5.设{a n }是公比为q >1的等比数列,若a 2 010和a 2 011是方程4x 2-8x +3=0的两根,则a 2 012+a 2 013=( )A.18 B.10 C.25 D.9 【解析】B设等差数列{a n }的公差为d .因为a 3+a 7=22,所以2a 5=22,即a 5=11. 又因为S 11=(a 1+a 11)×112=2a 6×112=143,解得11a 6=143,即a 6=13.所以公差d =a 6-a 5=2,所以a n =a 5+(n -5)d =11+(n -5)×2=2n +1, 所以S n =(a 1+a n )n2=(n +2)n . 令(n +2)n >195,则n 2+2n -195>0,解得n >13或n <-15(舍).故选B.6.已知等比数列{a n }的前n 项积为T n ,若a 1=-24,a 4=-89,则当T n 取得最大值时,n的值为( )A.2 B.3 C.4 D.6【解析】D∵{an}为等差数列,∴S5=5a3=-15,∴a3=-3,∴d=a3-a2=-3-1=-4.7.[2024·全国乙卷(理),8]已知等比数列{an}的前3项和为168,a2-a5=42,则a6=( )A.14 B.12 C.6 D. 3【解析】B∵Sn=an2+bn,∴{a n}为等差数列,∴S7=(a1+a7)×72=(a2+a6)×72=(3+11)×72=49.8.[2023·新课标Ⅱ卷]记Sn为等比数列{a n}的前n项和,若S4=-5,S6=21S2,则S8=( )A.120 B.85 C.-85 D.-120【解析】C由题意可设每层有n个环,则三层共有3n个环,∴每一环扇面形石板的块数构成以a1=9为首项、9为公差的等差数列{a n},且项数为3n.不妨设上层扇面形石板总数为S1,中层总数为S2,下层总数为S3,∴S3-S2=[9(2n+1)·n+n(n-1)2×9]-[9(n+1)·n+n(n-1)2×9]=9n2=729,解得n=9(负值舍去).则三层共有扇面形石板(不含天心石)27×9+27×262×9=27×9+27×13×9=27×14×9=3 402(块).故选C.9.(多选)已知等比数列{an}的公比为q,前n项和为S n,且满足a6=8a3,则下列说法正确的是( )A.{a n }为单调递增数列 B.S 6S 3=9C.S 3,S 6,S 9成等比数列 D.S n =2a n -a 1 【解析】A方法一:设等差数列{a n }的公差为d ,∵ S 4=0,a 5=5,∴ 4a 1+4×32d =0,a 1+4d =5,解得a 1=-3,d =2,∴a n =a 1+(n -1)d =-3+2(n -1)=2n -5,S n =na 1+n (n -1)2d =n 2-4n .故选A.方法二:设等差数列{a n }的公差为d ,∵ S 4=0,a 5=5,∴ 4a 1+4×32d =0,a 1+4d =5,解得a 1=-3,d =2.选项A,a 1=2×1-5=-3;选项B,a 1=3×1-10=-7,排除B;选项C,S 1=2-8=-6,排除C;选项D,S 1=12-2=-32,排除D.故选A.二、填空题10.等比数列{a n }的各项均为实数,其前n 项和为S n .已知S 3=74,S 6=634,则a 8=________.【解析】4解析:设等差数列{a n }的公差为d ,由a 2=3a 1,即a 1+d =3a 1,得d =2a 1, 所以S 10S 5=10a 1+10×92d 5a 1+5×42d =10a 1+10×92×2a 15a 1+5×42×2a 1=10025=4.11.[2023·全国乙卷(理)]已知{}a n 为等比数列,a 2a 4a 5=a 3a 6,a 9a 10=-8,则a 7=________.【解析】2解析:由等差数列的前n 项和S n =na 1+n (n -1)2d 得S n n =a 1+n -12d =a 1+(n -1)d 2,所以{S n n }仍是等差数列,其公差是原等差数列公差的一半,所以S 2 0242 024-S 2 0232 023的值为2.12.设等比数列{a n }满足a 1+a 2=-1,a 1-a 3=-3,则a 4=________. 【解析】2解析:方法一 设等差数列{a n }的首项为a 1,公差为d .因为2S 3=3S 2+6,所以2(a 1+a 1+d +a 1+2d )=3(a 1+a 1+d )+6,所以6a 1+6d =6a 1+3d +6,解得d =2.方法二 设等差数列{a n }的首项为a 1,公差为d .由2S 3=3S 2+6,可得2×3a 2=3(a 1+a 2)+6.整理,得a 2-a 1=2,所以d =2.[能力提升]13.[2023·全国甲卷(理)]设等比数列{a n }的各项均为正数,前n 项和为S n ,若a 1=1,S 5=5S 3-4,则S 4=( )A.158 B.658C.15 D.40 【解析】1.5解析:设此等差数列{a n }的公差为d ,前n 项和为S n ,由题意得,S 12=84,a 1+a 5+a 9=16.5,即 12a 1+12×112d =84,3a 5=3(a 1+4d )=16.5,解得 a 1=1.5,d =1,所以夏至的日影子长为1.5尺.14.设首项为1,公比为23的等比数列{an}的前n项和为S n,则( )A.Sn=2a n-1 B.S n=3a n-2C.Sn=4-3a n D.S n=3-2a n【解析】AC对于A,易知3d=a5-a2=12-18=-6,即d=-2,选项A正确;对于B,a1=a2-d=18-(-2)=20,所以选项B错误;对于C,a3+a4=a2+a5=18+12=30,所以选项C正确;对于D,因为an=a1+(n-1)d=20+(n-1)(-2)=-2n+22,a10=2>0,a11=0,a12=-2<0,所以当n=10或n=11时,S n最大,所以选项D错误.故选AC.15.记Sn为等比数列{a n}的前n项和.若a1=13,a24=a6,则S5=________.【解析】B方法一 由题意得an=a1+2π3(n-1),cos an+3=cos [a1+2π3(n+2)]=cos(a1+2π3n+4π3)=cos (a1+2π3n+2π-2π3)=cos (a1+2π3n-2π3)=cos an,所以数列{cos an}是以3为周期的周期数列,又cos a2=cos (a1+2π3)=-12cosa1-32sin a1,cos a3=cos (a1+4π3)=-12cos a1+32sin a1,因为集合S中只有两个元素,所以有三种情况:cos a1=cos a2≠cos a3,cos a1=cos a3≠cos a2,cos a2=cos a3≠cos a1.下面逐一讨论:①当cos a1=cos a2≠cos a3时,有cos a1=-12cos a1-32sin a1,得tana1=-3,所以ab=cos a1(-12cos a1+32sin a1)=-12cos2a1+32sin a1cos a1=-12cos2a1+32sin a1cos a1sin2a1+cos2a1=-12+32tan a1tan2a1+1=-12-323+1=-12.②当cos a 1=cos a 3≠cos a 2时,有cos a 1=-12cos a 1+32sin a 1,得tan a 1=3,所以ab =cos a 1(-12cos a 1-32sin a 1)=-12cos 2a 1-32sin a 1cos a 1=-12cos 2a 1-32sin a 1cos a 1sin 2a 1+cos 2a 1=-12-32tan a 1tan 2a 1+1=-12-323+1=-12.③当cos a 2=cos a 3≠cos a 1时,有-12cos a 1-32sin a 1=-12cos a 1+32sina 1,得sin a 1=0,所以ab =cos a 1(-12cos a 1-32sin a 1)=-12cos 2a 1=-12(1-sin 2a 1)=-12.综上,ab =-12,故选B.方法二 取a 1=-π3,则cos a 1=12,cos a 2=cos (a 1+2π3)=12,cos a 3=cos (a 1+4π3)=-1,所以S =12,-1,ab =-12,故选B.16.设等比数列{a n }满足a 1+a 3=10,a 2+a 4=5,则a 1a 2…a n 的最大值为________.【解析】-1,-78解析:方法一 由于S n =7n +n (n -1)2d =d 2n 2+7-d 2n ,设f (x )=d 2x 2+ 7-d 2x ,则其图象的对称轴为直线x =12-7d .当且仅当n =8时,S n 取得最大值,故7.5<12-7d <8.5,解得-1<d <-78.方法二 由题意,得a 8>0,a 9<0,所以7+7d >0,且7+8d <0,即-1<d <-78.。
等比数列及其前n 项和[A 级 基础题——基稳才能楼高]1.(2019·榆林名校联考)在等比数列{a n }中,a 1=1,a 3=2,则a 7=( ) A .-8 B .8 C .8或-8D .16或-16解析:选B 设等比数列{a n }的公比为q ,∵a 1=1,a 3=2,∴q 2=2,∴a 7=a 3q 4=2×22=8.故选B.2.(2019·六安一中调研)已知1,a 1,a 2,4成等差数列,1,b 1,b 2,b 3,4成等比数列,则a 1+a 2b 2的值是( ) A.52或-52 B .-52C.52D .12解析:选C 由题意得a 1+a 2=5,b 22=4,又b 2与第一项的符号相同,所以b 2=2.所以a 1+a 2b 2=52.故选C. 3.(2019·湖北稳派教育联考)在各项均为正数的等比数列{a n }中,若a 5a 11=4,a 6a 12=8,则a 8a 9=( )A .12B .4 2C .6 2D .32解析:选B 由等比数列的性质得a 28=a 5a 11=4,a 29=a 6a 12=8,∵a n >0,∴a 8=2,a 9=22,∴a 8a 9=4 2.故选B.4.(2019·成都模拟)设{a n }是公比为负数的等比数列,a 1=2,a 3-4=a 2,则a 3=( )A .2B .-2C .8D .-8解析:选A 法一:设等比数列{a n }的公比为q ,因为a 1=2,a 3-a 2=a 1(q 2-q )=4,所以q 2-q =2,解得q =2(舍去)或q =-1,所以a 3=a 1q 2=2,故选A.法二:若a 3=2,则a 2=2-4=-2,此时q =-1,符合题意,故选A. 5.(2019·益阳、湘潭高三调研)已知等比数列{a n }中,a 5=3,a 4a 7=45,则a 7-a 9a 5-a 7的值为( )A .3B .5C .9D .25解析:选D 设等比数列{a n }的公比为q ,则a 4a 7=a 5q·a 5q 2=9q =45,所以q =5,所以a 7-a 9a 5-a 7=a 5q 2-a 7q 2a 5-a 7=q 2=25.故选D.[B 级 保分题——准做快做达标]1.(2019·长沙一模)设首项为1,公比为23的等比数列{a n }的前n 项和为S n ,则( )A .S n =2a n -1B .S n =3a n -2C .S n =4-3a nD .S n =3-2a n解析:选D 由等比数列前n 项和公式S n =a 1-a n q1-q,代入数据可得S n =3-2a n . 2.(2019·山东五校联考)已知{a n }是等比数列,S n 是数列{a n }的前n 项和,且S 2=2,S 4=8,则S 8=( )A .16B .128C .54D .80解析:选D 由等比数列的性质可得S 2,S 4-S 2,S 6-S 4,S 8-S 6也成等比数列,∴(S 4-S 2)2=S 2(S 6-S 4),∵S 2=2,S 4=8,∴36=2(S 6-8),即S 6=26.又(S 4-S 2)(S 8-S 6)=(S 6-S 4)2,∴S 8=54+S 6=80.故选D.3.(2019·湖北华师一附中联考)在等比数列{a n }中,a 2a 3a 4=8,a 7=8,则a 1=( ) A .1 B .±1 C .2D .±2解析:选A 因为数列{a n }是等比数列,所以a 2a 3a 4=a 33=8,所以a 3=2,所以a 7=a 3q 4=2q 4=8,所以q 2=2,a 1=a 3q2=1,故选A.4.(2018·南宁测试)等差数列{a n }的公差是2,若a 2,a 4,a 8成等比数列,则{a n }的前n 项和S n =( )A .n (n +1)B .n (n -1) C.n n +12D .n n -12解析:选A 由已知得,a 24=a 2·a 8,因为{a n }是公差为2的等差数列,故(a 2+2d )2=a 2·(a 2+6d ),(a 2+4)2=a 2·(a 2+12),解得a 2=4,所以a n =a 2+(n -2)d =2n ,故S n =n a 1+a n2=n (n +1).5.(2019·吉林部分学校高三仿真考试)《张丘建算经》中“今有马行转迟,次日减半,疾七日,行七百里.问日行几何?”意思是:“现有一匹马行走的速度逐渐变慢,每天走的里数是前一天的一半,连续行走7天,共走了700里路,问每天走的里数为多少?”,则该匹马第一天走的里数为( )A.128127 B .44 800127 C.700127D .17532解析:选B 由题意知该匹马每日所走的路程成等比数列{a n },且公比q =12,S 7=700,由等比数列的求和公式得S n =a 1⎝ ⎛⎭⎪⎫1-1271-12=700,解得a 1=44 800127,故选B. 6.(2019·衡水中学调研)设正项等比数列{a n }的前n 项和为S n ,且a n +1a n<1,若a 3+a 5=20,a 3a 5=64,则S 4=( )A .63或120B .256C .120D .63解析:选C 由题意得⎩⎨⎧ a 3+a 5=20,a 3a 5=64,解得⎩⎨⎧a 3=16,a 5=4或⎩⎨⎧a 3=4,a 5=16.又a n +1a n<1,所以数列{a n }为递减数列,故⎩⎨⎧a 3=16,a 5=4.设等比数列{a n }的公比为q ,则q 2=a 5a 3=14,因为数列为正项等比数列,所以q =12,从而a 1=64,所以S 4=64×⎣⎢⎡⎦⎥⎤1-⎝ ⎛⎭⎪⎫1241-12=120.选C.7.(2019·衡水模拟)各项均为正数的等比数列{a n }的前n 项和为S n ,若S n =2,S 3n=14,则S 4n 等于( )A .80B .30C .26D .16解析:选B 由题意知公比大于0,由等比数列性质知S n ,S 2n -S n ,S 3n -S 2n ,S 4n -S 3n ,…仍为等比数列.设S 2n =x ,则2,x -2,14-x 成等比数列. 由(x -2)2=2×(14-x ), 解得x =6或x =-4(舍去).∴S n ,S 2n -S n ,S 3n -S 2n ,S 4n -S 3n ,…是首项为2,公比为2的等比数列. 又∵S 3n =14,∴S 4n =14+2×23=30.8.(2019·湖北黄石三中检测)已知数列{a n }是递增的等比数列,且a 4a 6-2a 24+a 2a 4=144,则a 5-a 3=( )A .6B .8C .10D .12解析:选D ∵{a n }是递增的等比数列,∴由a 4a 6-2a 24+a 2a 4=144,a 5-a 3>0可得a 25-2a 3a 5+a 23=144,(a 5-a 3)2=144,∴a 5-a 3=12,故选D.9.已知等比数列{a n }的前n 项积为T n ,若a 1=-24,a 4=-89,则当T n 取得最大值时,n 的值为( )A .2B .3C .4D .6解析:选C 设等比数列{a n }的公比为q ,则a 4=-24q 3=-89,所以q 3=127,q =13,易知此等比数列各项均为负数,则当n 为奇数时,T n 为负数,当n 为偶数时,T n 为正数,所以T n 取得最大值时,n 为偶数,排除B ,而T 2=(-24)2×⎝ ⎛⎭⎪⎫13=24×8=192,T 4=(-24)4×⎝ ⎛⎭⎪⎫136=84×19=849>192,T 6=(-24)6×⎝ ⎛⎭⎪⎫1315=86×⎝ ⎛⎭⎪⎫139=8639=19×8637<849,所以T 4最大.故选C.10.(2019·南昌模拟)在等比数列{a n }中,a 1+a n =66,a 2a n -1+a 3a n -2=256,且前n 项和S n =126,则n =( )A .2B .4C .6D .8解析:选 C ∵a 2a n -1+a 3a n -2=2a 1a n =256,∴a 1a n =128,由⎩⎨⎧a 1a n =128,a 1+a n =66,解得⎩⎨⎧a 1=2,a n =64或⎩⎨⎧a 1=64,a n =2.设等比数列{a n }的公比为q ,①当⎩⎨⎧a 1=2,a n =64时,S n =a 11-q n 1-q =a 1-a n q 1-q =2-64q1-q=126,解得q =2,∴n =6.②当⎩⎨⎧a 1=64,a n =2时,S n =a 11-q n 1-q =a 1-a n q 1-q =64-2q 1-q =126,解得q =12,∴n =6.综上n =6.故选C.11.(2019·惠州一调)已知等比数列{a n }的公比为正数,且a 3a 9=2a 25,a 2=1,则a 1=________.解析:∵a 3a 9=a 26,∴a 26=2a 25,设等比数列{a n }的公比为q ,∴q 2=2,由于q >0,解得q =2,∴a 1=a 2q =22. 答案:2212.(2019·江西师范大学附属中学期中)若等比数列{a n }满足a 2a 4=a 5,a 4=8,则数列{a n }的前n 项和S n =________.解析:设等比数列{a n }的公比为q ,∵a 2a 4=a 5,a 4=8,∴⎩⎨⎧a 1q ·a 1q 3=a 1q 4,a 1q 3=8,解得⎩⎨⎧a 1=1,q =2,∴S n =1×1-2n1-2=2n -1.答案:2n -113.(2019·仙桃测试)各项均为正数的等比数列{a n }中,若a 1≥1,a 2≤2,a 3≥3,则a 4的取值范围是________.解析:设{a n }的公比为q ,则根据题意得q =a 2a 1=a 3a 2,∴32≤q ≤2,a 4=a 3q ≥92,a 4=a 2q 2≤8,∴a 4∈⎣⎢⎡⎦⎥⎤92,8.答案:⎣⎢⎡⎦⎥⎤92,814.(2019·武汉模拟)已知等差数列{a n }的公差为d ,等比数列{b n }的公比为q ,设{a n },{b n }的前n 项和分别为S n ,T n ,若n 2(T n +1)=2n S n ,n ∈N *,则d =________,q =________.解析:由题意得,T n +1S n =2nn 2⇒b 1q n q -1-b 1q -1+1d 2n 2+⎝⎛⎭⎪⎫a 1-d 2n=2n n 2,∴q =2,b 1q -1=1,a 1=d 2,d2=1,此时d =2,q =2.答案:2 215.在数列{a n }中,a 2n +1+2a n +1=a n a n +2+a n +a n +2,且a 1=2,a 2=5. (1)证明:数列{a n +1}是等比数列; (2)求数列{a n }的前n 项和S n .解:(1)证明:∵a 2n +1+2a n +1=a n a n +2+a n +a n +2, ∴(a n +1+1)2=(a n +1)(a n +2+1), 即a n +1+1a n +1=a n +2+1a n +1+1. ∵a 1=2,a 2=5,∴a 1+1=3,a 2+1=6,∴a 2+1a 1+1=2, ∴数列{a n +1}是以3为首项,2为公比的等比数列. (2)由(1)知,a n +1=3·2n -1, ∴a n =3·2n -1-1,∴S n =31-2n 1-2-n =3·2n-n -3.16.设数列{a n }的各项均为正数,且a 2=4a 1,a n +1=a 2n +2a n (n ∈N *).(1)证明:数列{log 3(1+a n )}为等比数列;(2)设数列{log 3(a n +1)}的前n 项和为T n ,求使T n >520成立时n 的最小值. 解:(1)证明:由已知,得a 2=a 21+2a 1=4a 1, 则a 1(a 1-2)=0,因为数列{a n }的各项均为正数,所以a 1=2. 因为a n +1+1=(a n +1)2>0, 所以log 3(a n +1+1)=2log 3(a n +1). 又log 3(a 1+1)=log 33=1,所以数列{log 3(1+a n )}是首项为1,公比为2的等比数列. (2)由(1)可知,log 3(1+a n )=2n -1, 所以T n =1+2+22+…+2n -1=2n -1. 由T n >520,得2n >521(n ∈N *),得n ≥10. 则使T n >520成立时n 的最小值为10.。