复审人员名单
- 格式:xls
- 大小:181.00 KB
- 文档页数:57
现将资格复审合格、参加面试人员名单公告如下:银川市总工会(共93人)岗位1(25人)许琮张博峰秦永瑞王磊李明轩杨海云王秋实张成朱继彤阎虹宇郭晨旭姚佳文马元昊钱永鑫赵涛王亮王伟张宝明徐嘉伟李永良纪永吉张鹏飞晁海杰苏园宾马彦江岗位2(22人)王鹏辉郭彦龙陈光辉赫万云李祺郭宏旺朱礼瑄马宁张呈新孙栎马富强王茂强王一飞解永博任明张恒蔺晨金胜利杨汝浩董宏德郝文龙毛立桥岗位3(25人)杨莉魏敏芝夏巍马晶铁芮杨锦涛赵紫娟徐丹琪陆梅何君贾润梅杨莹张烨马风艳刘冬尹丹娜马嘉欣熊静茹于欣然陈阳何宇李彦王建建李岩张瑞岗位4(21人)薛艺陈杨苏翃睿郭倩茹王丹岳婷婷李文倩韦冉谢彤王天娇王红璇马晓茹李超韩宁阳张欢李嘉蓉孙嘉雯王培楠芦小娟王静怡马莉莎石嘴山市总工会(共43人)岗位1(22人)李浩张保成陈雨杨凯康丽涛马欧文于亮王泽杨常芳万乾马路路王霄钺田岳周伟朱东沛李亚龙杨全贾超亮王春刚马圆侯泽宇马楠岗位2(21人)李彦华周梦楠徐静王静梁荧孙文静汤瑞冯智芝刘心怡张欢孙芮艾静任凌雪金玉珍王惠马钰陈秀文吴孟楠丁晓敏朱晓魁高烨吴忠市总工会(共15人)岗位1(9人)丁超王佳乐杨磊杨洋杨凯刘一凡陈禄杨虹马琛岗位2(6人)马晓风田嘉星孙颖于钦蒋韶晖袁刚固原市总工会(共42人)岗位1(23人)马维新马虎雷鸣祁磊赵小鹏王涛兰永辉杨刚方业昌何韶武刘亚龙柳爱平王琦王志强刘正乾单志强何文强李安吉赵亮邓晓冁张维尧李剑楠牛渊臻岗位2(19人)海洋陆佳佳刘燕岳怡敏虎妮娜马雪马虹张月亮王万利汪萌于慧英杨上蔚余钧健王岩辉栾博马海燕苏捷玉司苗霞苟志君中卫市总工会(共52人)岗位1(25人)张梦宇杨欢郭豆谈婷贺丽佳汪海丽杨晓花任博田媛媛张文玲何佳孙莹何旭东祁文珍倪芳王亚楠张帆吕鸿倩姬成露刘佳辉马思敏贺维波谢婷田芳刘小婷岗位2(27人)张彦萍田花万鑫陈瑶马少煜孟庆楠余小成陆立群黄雨霖杨悦贾泽玉宋菲罗佳严彩玲郭润玲王璟杨晨莺韩瑞芳陆静颖田也武文斌龚小飞马全秀张喜亮马天福何瑛张宏娟。
硕士研究生进入资格复审人员名单引进单位专业要求姓名笔试准考证号名次市中级人民法院经济学专业谢秀秀1228902919 1 贺川1228900725 2 王海宁1228900430 3市财政局财政学或社会保障专业张坤1228902024 1 董醉心1228903529 1 何文娟1228900206 3市住房和城乡建设委员会岩土工程专业朱礼廷1228900502 1林如1228903330 2尹聪1228904406 3 结构工程专业王艳华1228901124 1张守龙1228901119 2陈巍1228900221 3市规划局测绘科学与技术类专业王飞1228900901 1王斌1228901310 2周伟1228901122 3李英1228900716 4任婷1228903921 5宋福成1228901123 6 地图制图学与地理信息工程专业牟欣帅1228900530 1张健1228904022 2孙元芳1228903611 3市商务局国际贸易学专业张晓梅1228901114 1张继行1228903411 2葛平怡1228900512 3 旅游管理(会展方向)专业赵彦飞1228904014 1郑辉1228904822 2张丽1228904606 3市文化广电新闻出版局历史文献学(兵学研究方向)张伟1228903105 1高登1228903523 2张志坚1228904628 3市政府外事与侨务办公室德语语言文学专业李苏1228901024 1吴姗姗1228904021 2 西班牙语语言文学专业孙骁1228902313 1吴秀婷1228901909 2市政府法制办公室宪法学与行政法学专业孙栋1228902120 1李维超1228902311 2李娟娟1228903102 3市蒙山旅游区管理委员会计算机应用技术专业杜海洋1228902622 1王青1228903107 1梁倩1228900528 3孔晓莉1228903705 3市行业协会管理办公室技术经济及管理专业张坤1228903424 1王梦晓1228900527 2任凤敏1228901328 3临沂高新技术产业开发区区直部门单位机械制造及其自动化专业宋夕超1228904809 1姜良斌1228900922 2姜良银1228900203 3 生物医学工程类专业徐昕1228900824 1王天晓1228900525 2周丹1228901130 3 计算机应用技术(软件设计方向)李志廷1228900903 1张如艳1228902230 2李艳涛1228900230 3临港经济开发区区直部门单位化学工程与技术类专业王玉1228903807 1张明1228902527 2刘昌志1228902508 3张正云1228902727 3 内科学专业马静静1228902420 1姜春艳1228903011 2 外科学专业许金波1228903511 1刘亚江1228904317 2 日语语言文学专业李超1228901211 1李峰1228904325 2薄惠琳1228901216 3兰山区区直部门单位医学专业赵晓田1228903514 1顾琼琼1228903017 2王晓刚1228903018 3贾倩1228902709 4张允1228900215 5牛凤琳1228902703 5 法学类专业张景丽1228903324 1苏瑞1228901612 2史运芳1228903211 3杨宝明1228903421 4杨同兰1228902504 5王瑞1228904315 6 新闻学专业王艳1228900815 1姜兆兰1228902626 1刘媛媛1228902203 3王守伟1228902305 4尹恒1228904105 5韩飞1228901224 6建筑设计及其理论专业冷慧娟1228901427 1 李宁1228900930 2 王平1228903818 3城市规划与设计专业王鹏程1228902009 1 高慧1228902811 2 薛雪1228901713 3罗庄区区直部门单位经济学专业张晓华1228902611 1郇球1228903012 2王晓云1228903216 3 产业经济学专业牛倩倩1228903922 1孙慧1228900722 2刘俊宏1228903701 3 园林植物与观赏园艺专业薛利艳1228903915 1侯帅1228904217 2褚晓晴1228901105 3罗庄区区直部门单位管理科学与工程类(工程管理或工程造价方向)郑慧1228901617 1徐聪1228903923 2闫雪平1228902308 3 水文学及水资源专业庞树森1228904418 1王宝全1228904006 2 统计学专业姜良强1228902217 1李娟成1228903213 2马兴祥1228900618 3 旅游管理(旅游规划方向)专业孙广香1228901602 1赵建春1228900212 2田宝成1228902224 3 水利工程类专业刘静1228902027 1王森林1228904229 2王乐1228902726 3 城市规划与设计专业姜元1228902908 1赵恒洽1228903721 2刘飞1228903809 3 化学工程专业王萌1228901121 1杜松1228900829 2公续刚1228902710 3王立英1228902812 3 环境工程(水体污染控制与净水技术工程方向)孟媛媛1228901509 1寇士伟1228900106 2郄燕1228901329 3河东区区直部门单位城市规划与设计专业刘阳强1228901630 1尹莉娜1228904615 2周衍涛1228904215 3企业管理专业张森1228900316 2王建金1228903029 3水利水电工程专业许传稳1228902416 1 相昆山1228904422 2 陈艳梅1228904227 3建筑学类专业倪娜1228903702 1 周波1228903301 2 王涛1228903228 3郯城县县直部门单位园艺学类专业张荷芃1228901627 1刘长海1228902915 2王燕1228901929 3 法学类专业禚雷雷1228900307 1丁翠竹1228901704 2扆晓婷1228900109 3张晓1228901601 3 林学类专业陈丽英1228901619 1吴绍平1228900120 2李晓东1228902806 3苍山县县直部门单位蔬菜学专业吴汉花1228903227 1王红英1228901610 2王东1228900705 3 企业管理专业殷自瑞1228904301 1李根1228901410 2宗文1228900204 3莒南县县直部门单位机械工程类专业庄新强1228903605 1戚兴刚1228902314 2孙运友1228902409 2化学工艺专业张会贞1228900804 1冀承帅1228900911 2高宇1228904005 3仪器科学与技术类专业刘磊1228900703 1朱波1228902606 2韩磊1228900407 3 粮食、油脂及植物蛋白工程专业王充1228903115 1食品科学专业赵红辉1228900720 1吕学娜1228900122 2沈嘉川1228901526 3 作物栽培学与耕作学专业刘美佳1228902201 1李雨1228903020 2莒南县县直部门单位植物保护类专业李金波1228900813 1亓晓莉1228904709 2民商法学专业王婧1228903120 1 薄卫东1228903616 2 李玉玉1228904408 3沂水县县直部门单位化学工程(石油化工方向)专业张亚楠1228900421 1周平1228900311 2 临床医学类专业相贵华1228900305 1李娜1228900513 2陈成艳1228903215 3李启娟1228900322 4鲍彦娜1228902209 5费县县直部门单位国际贸易学专业董静1228900314 1李振华1228900912 1管烨1228904015 3 行政管理专业王作虎1228902717 1姜永群1228902711 2张天丰1228903617 3平邑县县直部门单位园林植物与观赏园艺专业杨雪1228902013 1孟庆玲1228904207 2王海萍1228901404 3 安全技术及工程专业边梦龙1228904126 1公衍伟1228901316 2张艳辉1228900128 3 财政学专业王全超1228901801 1孙启发1228904304 2代佳原1228902030 3 环境科学专业王玲玲1228903528 1任奎晓1228902430 2王静宇1228903315 2 机械设计及理论专业李国庆1228900219 1杨丽霞1228904720 2沂南县县直部门单位内科学(心血管方向)专业李宝民1228902604 1临沭县县直部门单位管理科学与工程类专业陈建芬1228900603 1孟艳玲1228904427 2王宁1228903513 3 病理学与病理生理学专业王良瑛1228904726 1 水利工程类专业崔春梅1228902810 1环境工程(污水处理方向)专业张国臣1228904808 1石翠霞1228902801 2姜丽丽1228901220 3 热能工程或动力机械及工程专业宋进1228903401 1李华1228904026 1 杨杰1228900306 3新闻传播学类专业张艳艳1228902918 1 赵亚男1228900217 2 刘照娟1228903711 3。
**区资格复审合格人员名单(姓名+身份证号后4位)一、区属中学(一)高中数学教师1肖虹1622 张海啸2633 赵铁柱6519(二)高中数学教师2曹明1012 车婷0043 郭智利1948 黄斌2237 李佳宇002X李亚茹1520 梁颖3924 刘斐倩1227 芦馨芳0022 孙婧莹6420谭亚华052X 唐思甜0825 王青青8024 王瑞祥2826 王源0015姚婵娟0522 姚红娟1321 翟汝信6917 张蕊1622 赵梅5326郑海峰0311 周付晓7922 朱歌2525 朱军伟2512(三)高中物理教师1贺文文1546 王坚0328 延庆洲0015(四)高中物理教师2曹璐1029 陈佳丽0401 陈西2980 陈霞0346 程瑞锦064X杜文博0055 段家敏5621 郭东华1184 郭琳媛3022 韩淼486x 郝烨3321 黄山0036 焦蕊0020 李丛丛5666 李力怡3249李琳4521 李强601X 刘欣茹3924 刘璇0927 乔立芸3829尚文佳5043 王静敏3525 王蕾5121 王玲6423 王平5518王亚薇6546 文婷0123 徐峰4693 徐钰0732 许梦宁3427阎顺雅4529 张俊超1148 张罗丹0028 张瑞0330 张璋0410郑雁0080 左潘1417 皇甫宜静2129(五)高中英语教师安玲3625 安琪0622 白婷5125 蔡芯蕊4129 曹茜0828柴鹏菲062X 陈欢4141 陈娇1528 崔丹0927 崔落梅2721代晓婷4220 党丹丹3823 董犀杰0047 杜志敏0025 段萌0025段青怡0029 高超4338 高宁忆3546 高晓雪0540 郜战莹7020郭晶4529 郭苗3309 韩金姝0622 韩若雪342X 郝迪3022郝钰丹0025 何莎4763 候嘉乐1424 黄捷0022 黄跃惠1925霍佳佳0429 吉晓梅0026 贾蕾6520 俱静妮7622 李二婷0021李芳0826 李莉莉0522 李苗3328 李敏2763 李思梦752X李维珊7529 李伟1343 李小溪0021 李晓7168 刘博304x 刘贵阳6036 刘金敏3428 刘霞4969 刘子扬3841 柳静3123柳晓婷762X 马颖5621 苗丽华0620 牛洋洋0022 彭仙368X任建欣0021 任静0022 任少婷3926 时子迪0823 史馨红1463宋强0047 宋乔7782 宋怡彬0024 孙海娜8922 覃丹0227田敏瑶0323 王静0027 王琳6524 王凌玥0023 王明明5549王楠0026 王瑞琦0021 王姝匀0241 王夏文0064 王晓菲5644王祎晨3026 王怡0068 王瑜珍6866 王竹君0028 吴璐兵0024肖明芳1421 熊蕊0040 徐晨钰2026 徐丹1025 许正秋5243杨丽娟0627 杨莎莎3021 杨婷婷1066 杨雅茹0046 姚远008X尹嘉0189 尹紫玮0067 袁玉敏8349 原欣0341 臧颖0024翟佳2118 张朵5365 张二娇3049 张君芳872X 张乐0021张漫3647 张晓豆6424 张新兰1646 张峥帆1073 章荣荣5223赵晓莉0361 赵瑶3022 赵怡蕾3325 赵珍珍6020 郑珺1043郑荧洁9527 周晨0023 周凡弼3245 周阳洋3228 朱妮杰4586朱睿茜4627 徐洪道洁8448(六)高中政治教师李六军2513 夏浩军217X 徐小佳4314 杨会敏0463 张飞04 张粉7427 赵亚妮0025(七)初中数学教师陈富志2937 高峻青4224 姜宁2884 尚娟娜0043二、区属小学(一)语文教师韩夏萌0048 李晓艳2746 薛彦霞0044(二)音乐教师陈蕊0027 李耀6816 王浩勤2147 张萌0923 张笑溪0022(三)科学教师1段小丹0021(四)科学教师2白艳3402 冯岚0525 郭丹7549 郭东1634 李寒鸣0022李姣蓉0428 李倩倩4085 李望望1787 李晓谭3227 刘妮332X秦苗苗2045 孙馨0049 谈彦玲3723 田亚珍2445 汪小兰0025王凡7482 王芳艳2649 王莉7221 王莉莉6180 王宇0415王羽沙4265 闫蕊0422 杨馨0425 叶浩盈1421 於晓敏2722张圣昕2423 赵洁1224 赵莎0040 周梦茹004X(五)体育教师鲍伟娜0020 杜亚玲2429 段江倩0626 高记琴9322 韩亮6111蒋招招2428 刘桃娟0921 宁嘉乐0638 秦亚丽5422 尚龙盛0610王光安405X 王洋1525 王哲1657 韦伟2526三、区属幼儿园(一)幼儿教师1冯娅萍0627 黄鑫1045 马莹莹2787 仲凯云6529(二)幼儿教师2李瑞洁0924 刘嘉雯2829 孟莎莎6822 庞晨曦352X 宋临兴4041孙也普0029 王晋文0548 王子华076X 杨丹0025 杨楠0020杨晓瑜3327 姚骅容1528 张杨4424 赵明华4246 左颖1425柳叶青青002X四、区属职业学校(一)语文教师陈倩0025 胡青青4821 胡婷0023 黄姝茹1242 荆思洋1045李全2626 李蓉2026 乔萌惠0822 唐菡雯2320 王佳玲0069王理超0043 王琪8729 王茜1029 吴林英0044 辛儒靖4827杨亦博0020 袁海琼0523 张君茹1169 张倩0063(二)数学教师房明娟1527 李静静0704 芦婷婷5062 鲁莉0067 马崇辉1820裴艳侠2868 魏艳宏2026 杨敏4041 张露2928(三)英语教师曹彩峰2025 曹婷0928 柴宁0324 陈麟婕3123 陈明仪030X高梦瑶0103 郭园园3021 韩璐0527 胡文3524 胡月0622华瑞0424 黄琦3046 黄珍0047 计彩玲1403 解婷0649靳佳伟8602 雷静0422 雷令菊3342 李东阳0014 李佳3145李文欣1165 李珍2527 马静052X 马玖3540 年玥6522宁惠3121 牛雯0022 潘婷0041 潘雪0266 乔楠262X秦红2125 全雅丽1048 史长菊1223 孙彩霞7925 王慧君7549王美青0585 卫芊倩0342 魏臻254X 谢海静3543 徐晓蓉0248薛原3109 闫雪宁3228 姚瑶3629 臧晓敏0524 张蓓0222张欢0647 张萌142X 张咪1023 张沙沙3025 张昕1266张亚2323 张艳芳3024 张昱0541 赵洁2529 赵瑾002X周冲002X 周文静0327(四)体育教师白岩雪0226 陈杰1610 陈洁0024 陈楠0019 程俊瀚2531程雨璐0524 代飞勇3231 邓飞4712 冯冉641X 冯鑫0017高超超0144 郭凯0011 韩芯4942 韩有强4917 贺旭晶7418雷恒星0810 刘于溪1027 鹿丹2026 马文惠0048 莫娓4227孙普5136 孙兆亚7624 谭明2818 王晖1044 王建军0019王剑6432 王雅萍0422 吴成余7434 席冰5615 许芳辉3920许磊1732 薛彦玲5627 杨茂林6118 杨洲6218 张亚弟182X周健0015(五)生物教师白彩慧3706 关丹阳7148 郝婧4041 黄玉敏1381 惠鹏涛4063纪小敏0060 黎君0037 李丹阳1228 李佳悦1843 李晓兰132X李晓玉0922 刘佳雨0122 刘江苇2144 刘妍3544 罗静0561马丽红5248 钱雪婷2121 史雁飞0524 孙嘉懋0723 王蕾1626王琳娜2028 王美艳1221 王梦琳157X 王玉霞2624 王钰璐0024吴格格0020 辛国睿0028 许赛赛7020 杨欢0028 杨欣2425姚婷2522 张莉莉4721 张婷0027 张喜斌4032 赵笑艳3227赵栩玉2428 周丽娜7622(六)音乐教师曾盼0925 常远2523 杜嘉宝0320 杜泳锦0444 郭硕1025郭雪健0021 郝赫鼎4016 贺沸沸1421 康怡1381 李阿云0845李雨星1225 刘娇娃142X 罗青1021 潘乐乐0089 任婷婷0524邵莎莉5527 师曼瑶8524 宋雪0024 宋云1924 孙天慧6927田梦002X 王丰0027 魏子涵0543 武蓉1224 许婷0923于劼0126 张娇娇0024 张琳143X 张文仪0545 张玉6040张玉2746 赵钢0016。
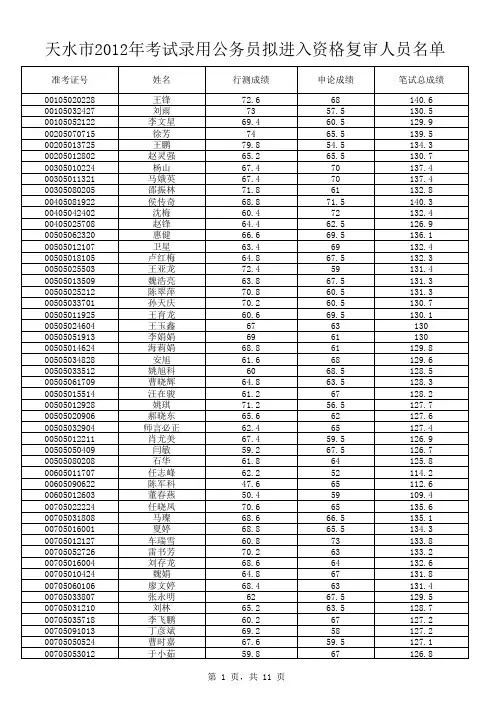
武威市2011年考试录用公务员资格复审人员名单
武威市2011年考试录用公务员资格复审人员名单
武威市2011年考试录用公务员资格复审人员名单
武威市2011年考试录用公务员资格复审人员名单
武威市2011年考试录用公务员资格复审人员名单
武威市2011年考试录用公务员资格复审人员名单
武威市2011年考试录用公务员资格复审人员名单
武威市2011年考试录用公务员资格复审人员名单
武威市2011年考试录用公务员资格复审人员名单
武威市2011年考试录用公务员资格复审人员名单
武威市2011年考试录用公务员资格复审人员名单
武威市2011年考试录用公务员资格复审人员名单
武威市2011年考试录用公务员资格复审人员名单
武威市2011年考试录用公务员资格复审人员名单
武威市2011年考试录用公务员资格复审人员名单
武威市2011年考试录用公务员资格复审人员名单
武威市2011年考试录用公务员资格复审人员名单
武威市2011年考试录用公务员资格复审人员名单
武威市2011年考试录用公务员资格复审人员名单
武威市2011年考试录用公务员资格复审人员名单
武威市2011年考试录用公务员资格复审人员名单
武威市2011年考试录用公务员资格复审人员名单
武威市2011年考试录用公务员资格复审人员名单
武威市2011年考试录用公务员资格复审人员名单
武威市2011年考试录用公务员资格复审人员名单。