资格复审人员名单及相关安排xls
- 格式:xls
- 大小:34.00 KB
- 文档页数:22
现将资格复审合格、参加面试人员名单公告如下:银川市总工会(共93人)岗位1(25人)许琮张博峰秦永瑞王磊李明轩杨海云王秋实张成朱继彤阎虹宇郭晨旭姚佳文马元昊钱永鑫赵涛王亮王伟张宝明徐嘉伟李永良纪永吉张鹏飞晁海杰苏园宾马彦江岗位2(22人)王鹏辉郭彦龙陈光辉赫万云李祺郭宏旺朱礼瑄马宁张呈新孙栎马富强王茂强王一飞解永博任明张恒蔺晨金胜利杨汝浩董宏德郝文龙毛立桥岗位3(25人)杨莉魏敏芝夏巍马晶铁芮杨锦涛赵紫娟徐丹琪陆梅何君贾润梅杨莹张烨马风艳刘冬尹丹娜马嘉欣熊静茹于欣然陈阳何宇李彦王建建李岩张瑞岗位4(21人)薛艺陈杨苏翃睿郭倩茹王丹岳婷婷李文倩韦冉谢彤王天娇王红璇马晓茹李超韩宁阳张欢李嘉蓉孙嘉雯王培楠芦小娟王静怡马莉莎石嘴山市总工会(共43人)岗位1(22人)李浩张保成陈雨杨凯康丽涛马欧文于亮王泽杨常芳万乾马路路王霄钺田岳周伟朱东沛李亚龙杨全贾超亮王春刚马圆侯泽宇马楠岗位2(21人)李彦华周梦楠徐静王静梁荧孙文静汤瑞冯智芝刘心怡张欢孙芮艾静任凌雪金玉珍王惠马钰陈秀文吴孟楠丁晓敏朱晓魁高烨吴忠市总工会(共15人)岗位1(9人)丁超王佳乐杨磊杨洋杨凯刘一凡陈禄杨虹马琛岗位2(6人)马晓风田嘉星孙颖于钦蒋韶晖袁刚固原市总工会(共42人)岗位1(23人)马维新马虎雷鸣祁磊赵小鹏王涛兰永辉杨刚方业昌何韶武刘亚龙柳爱平王琦王志强刘正乾单志强何文强李安吉赵亮邓晓冁张维尧李剑楠牛渊臻岗位2(19人)海洋陆佳佳刘燕岳怡敏虎妮娜马雪马虹张月亮王万利汪萌于慧英杨上蔚余钧健王岩辉栾博马海燕苏捷玉司苗霞苟志君中卫市总工会(共52人)岗位1(25人)张梦宇杨欢郭豆谈婷贺丽佳汪海丽杨晓花任博田媛媛张文玲何佳孙莹何旭东祁文珍倪芳王亚楠张帆吕鸿倩姬成露刘佳辉马思敏贺维波谢婷田芳刘小婷岗位2(27人)张彦萍田花万鑫陈瑶马少煜孟庆楠余小成陆立群黄雨霖杨悦贾泽玉宋菲罗佳严彩玲郭润玲王璟杨晨莺韩瑞芳陆静颖田也武文斌龚小飞马全秀张喜亮马天福何瑛张宏娟。
宝鸡市行政系统职位进入面试资格复审人员情况表陕西省2013年考试录用公务员和参照公务员法管理单位人员宝鸡市行政系统职位进入面试资格复审人员情况表(各职位的人员按照准考证号由小到大依次排列)姓名准考证号职位代码报考职位本职位进入面试资格复审人员笔试总成绩最低分数文云龙 3.02131E+123020759 市金融办科员金融工作177.5白星星 3.02131E+123020759 市金融办科员金融工作177.5曹梦佳 3.02131E+123020759 市金融办科员金融工作177.5陈栋 3.02131E+12 3020760 市高新区财政局(参照管理)科员预算工作171谢焱 3.02131E+12 3020760 市高新区财政局(参照管理)科员预算工作171冯溪 3.02131E+12 3020760 市高新区财政局(参照管理)科员预算工作171沈姝珏 3.02131E+12 3020760 市高新区财政局(参照管理)科员预算工作171张媛 3.02131E+12 3020760 市高新区财政局(参照管理)科员预算工作171吕博洋 3.02131E+12 3020760 市高新区财政局(参照管理)科员预算工作171王瑞 3.02131E+12 3020761 市人社局太白县医保中心(参照管理)科员财务工作162.5赵丽莎 3.02131E+12 3020761 市人社局太白县医保中心(参照管理)科员财务工作162.5李哲 3.02131E+12 3020761 市人社局太白县医保中心(参照管理)科员财务工作162.5韦金元 3.02131E+12 3020762 市环保局凤县分局科员环境保护174王宏超 3.02131E+12 3020762 市环保局凤县分局科员环境保护174杨鹏 3.02131E+12 3020762 市环保局凤县分局科员环境保护174付小英 3.02131E+12 3020763 市环保局陇县环境监察大队(参照管理)科员环境保护183.5李洋 3.02131E+12 3020763 市环保局陇县环境监察大队(参照管理)科员环境保护183.5张甘 3.02131E+12 3020763 市环保局陇县环境监察大队(参照管理)科员环境保护183.5杨浩鑫 3.02131E+13020764 市环保局麟游县环境监察大1752 队(参照管理)科员环境保护胡智伟 3.02131E+12 3020764 市环保局麟游县环境监察大队(参照管理)科员环境保护175王凡 3.02131E+12 3020764 市环保局麟游县环境监察大队(参照管理)科员环境保护175王瑞 3.02131E+12 3020765 市工商局金台分局经济检查大队(参照管理)科员执法办案174武奕澄 3.02131E+12 3020765 市工商局金台分局经济检查大队(参照管理)科员执法办案174李敏 3.02131E+12 3020765 市工商局金台分局经济检查大队(参照管理)科员执法办案174陈宏超 3.02131E+12 3020766 市工商局金台分局12315中心(参照管理)科员投诉处理(食品质量与安全、食品科学与工程)162.5黄珊珊 3.02131E+12 3020766 市工商局金台分局12315中心(参照管理)科员投诉处理(食品质量与安全、食品科学与工程)162.5王欣 3.02131E+12 3020766 市工商局金台分局12315中心(参照管理)科员投诉处理(食品质量与安全、食品科学与工程)162.5任月乔 3.02131E+12 3020767 市工商局金台分局12315中心(参照管理)科员投诉处理181唐超龙 3.02131E+12 3020767 市工商局金台分局12315中心(参照管理)科员投诉处理181雒炯倩 3.02131E+12 3020767 市工商局金台分局12315中心(参照管理)科员投诉处理181杜专 3.02131E+12 3020767 市工商局金台分局12315中心(参照管理)科员投诉处理181赵静 3.02131E+12 3020767 市工商局金台分局12315中心(参照管理)科员投诉处理181李晓静 3.02131E+12 3020767 市工商局金台分局12315中心(参照管理)科员投诉处理181强红娟 3.02131E+12 3020768 市工商局渭滨分局经济检查大队(参照管理)科员执法办案167黄丹妮 3.02131E+12 3020768 市工商局渭滨分局经济检查大队(参照管理)科员执法办167案王妮 3.02131E+12 3020768 市工商局渭滨分局经济检查大队(参照管理)科员执法办案167李维涛 3.02131E+12 3020769 市工商局渭滨分局注册分局(参照管理)科员登记监管180.5裴晓云 3.02131E+12 3020769 市工商局渭滨分局注册分局(参照管理)科员登记监管180.5尚文 3.02131E+12 3020769 市工商局渭滨分局注册分局(参照管理)科员登记监管180.5毛政 3.02131E+12 3020769 市工商局渭滨分局注册分局(参照管理)科员登记监管180.5刘伟 3.02131E+12 3020769 市工商局渭滨分局注册分局(参照管理)科员登记监管180.5李歌 3.02131E+12 3020769 市工商局渭滨分局注册分局(参照管理)科员登记监管180.5梁艳 3.02131E+12 3020769 市工商局渭滨分局注册分局(参照管理)科员登记监管180.5王鑫 3.02131E+12 3020769 市工商局渭滨分局注册分局(参照管理)科员登记监管180.5陈悠 3.02131E+12 3020769 市工商局渭滨分局注册分局(参照管理)科员登记监管180.5王文浩 3.02131E+12 3020770 市工商局渭滨分局12315中心(参照管理)科员投诉处理168.5李明 3.02131E+12 3020770 市工商局渭滨分局12315中心(参照管理)科员投诉处理168.5谭芳 3.02131E+12 3020770 市工商局渭滨分局12315中心(参照管理)科员投诉处理168.5强永康 3.02131E+12 3020771 市工商局陈仓分局经济检查大队(参照管理)科员执法办案161刘军 3.02131E+12 3020771 市工商局陈仓分局经济检查大队(参照管理)科员执法办案161田园 3.02131E+12 3020771 市工商局陈仓分局经济检查大队(参照管理)科员执法办案161贾琪 3.02131E+12 3020772 市工商局陈仓分局注册分局(参照管理)科员登记监管177.5李倩 3.02131E+12 3020772 市工商局陈仓分局注册分局(参照管理)科员登记监管177.5李大兴 3.02131E+12 3020772 市工商局陈仓分局注册分局(参照管理)科员登记监管177.5赵海亮 3.02131E+12 3020772 市工商局陈仓分局注册分局(参照管理)科员登记监管177.5李文涛 3.02131E+12 3020772 市工商局陈仓分局注册分局(参照管理)科员登记监管177.5刘婷婷 3.02131E+12 3020773 市工商局陈仓分局12315中心(参照管理)科员投诉处理(食品质量与安全、食品科学与工程)166曹淑一 3.02131E+12 3020773 市工商局陈仓分局12315中心(参照管理)科员投诉处理(食品质量与安全、食品科学与工程)166谭婉静 3.02131E+12 3020773 市工商局陈仓分局12315中心(参照管理)科员投诉处理(食品质量与安全、食品科学与工程)166王宵 3.02131E+12 3020773 市工商局陈仓分局12315中心(参照管理)科员投诉处理(食品质量与安全、食品科学与工程)166种龙 3.02131E+12 3020774 市工商局陈仓分局12315中心(参照管理)科员投诉处理(专业不限)180.5王蓓 3.02131E+12 3020774 市工商局陈仓分局12315中心(参照管理)科员投诉处理(专业不限)180.5苏博雅 3.02131E+12 3020774 市工商局陈仓分局12315中心(参照管理)科员投诉处理(专业不限)180.5马丽 3.02131E+12 3020775 市兽医局(参照管理)科员动物检疫监督管理174.5杨文欢 3.02131E+12 3020775 市兽医局(参照管理)科员动物检疫监督管理174.5黄桂姣 3.02131E+12 3020775 市兽医局(参照管理)科员动物检疫监督管理174.5张亚伟 3.02131E+12 3020776 市兽医局(参照管理)科员动物疫病监测检验157谷建锋 3.02131E+12 3020776 市兽医局(参照管理)科员动物疫病监测检验157王利勤 3.02131E+12 3020776 市兽医局(参照管理)科员动物疫病监测检验157李武林 3.02131E+12 3020777 市兽医局(参照管理)科员畜牧技术应用及推广158.5宋敏艳 3.02131E+12 3020777 市兽医局(参照管理)科员畜牧技术应用及推广158.5辛鹏程 3.02131E+12 3020777 市兽医局(参照管理)科员畜牧技术应用及推广158.5杨少华 3.02131E+12 3020778 市兽医局(参照管理)科员饮料加工、检测技术推广164朱冠虹 3.02131E+12 3020778 市兽医局(参照管理)科员饮料加工、检测技术推广164杨慧茹 3.02131E+12 3020778 市兽医局(参照管理)科员饮料加工、检测技术推广164李宏浩 3.02131E+12 3020779 法门寺文化景区管委会(参照管理)科员工程建设管理163.5王华 3.02131E+12 3020779 法门寺文化景区管委会(参照管理)科员工程建设管理163.5杨沛弘 3.02131E+12 3020779 法门寺文化景区管委会(参照管理)科员工程建设管理163.5谢晶晶 3.02131E+12 3020780 法门寺文化景区管委会(参照管理)科员宗教文物管理176李俊 3.02131E+12 3020780 法门寺文化景区管委会(参照管理)科员宗教文物管理176曹丹 3.02131E+12 3020780 法门寺文化景区管委会(参照管理)科员宗教文物管理176景丽丽 3.02131E+12 3020781 法门寺文化景区管委会(参照管理)科员财务管理163苏新悦 3.02131E+12 3020781 法门寺文化景区管委会(参照管理)科员财务管理163程婷婷 3.02131E+12 3020781 法门寺文化景区管委会(参照管理)科员财务管理163李淑娟 3.02131E+12 3020782 法门寺文化景区管委会(参照管理)科员综合管理166.5边荔昕 3.02131E+12 3020782 法门寺文化景区管委会(参照管理)科员综合管理166.5张雅娟 3.02131E+12 3020782 法门寺文化景区管委会(参照管理)科员综合管理166.5樊彬 3.02131E+12 3020783 金台区金河镇政府科员环保工作(特设职位)159罗鑫 3.02131E+12 3020783 金台区金河镇政府科员环保工作(特设职位)159王璐 3.02131E+12 3020783 金台区金河镇政府科员环保工作(特设职位)159孙元元 3.02131E+12 3020784 金台区蟠龙镇政府科员工商管理(特设职位)162刘莹莹 3.02131E+13020784 金台区蟠龙镇政府科员工商1622 管理(特设职位)李建华 3.02131E+12 3020784 金台区蟠龙镇政府科员工商管理(特设职位)162杨萍 3.02131E+12 3020785 陈仓区慕仪司法所科员司法工作161田亚婷 3.02131E+12 3020785 陈仓区慕仪司法所科员司法工作161甘甜 3.02131E+12 3020785 陈仓区慕仪司法所科员司法工作161张燕 3.02131E+12 3020786 陈仓区新街司法所科员司法工作156.5王丽媛 3.02131E+12 3020786 陈仓区新街司法所科员司法工作156.5许瀚 3.02131E+12 3020786 陈仓区新街司法所科员司法工作156.5吉晨辉 3.02131E+12 3020786 陈仓区新街司法所科员司法工作156.5林雪梅 3.02131E+12 3020786 陈仓区新街司法所科员司法工作156.5马莉娜 3.02131E+12 3020787 陈仓区坪头司法所科员司法工作161.5何伟 3.02131E+12 3020787 陈仓区坪头司法所科员司法工作161.5杨尧 3.02131E+12 3020787 陈仓区坪头司法所科员司法工作161.5李盼 3.02131E+12 3020788 陈仓区周原镇政府科员综合管理163刘少兰 3.02131E+12 3020788 陈仓区周原镇政府科员综合管理163李伟 3.02131E+12 3020788 陈仓区周原镇政府科员综合管理163邵丹 3.02131E+12 3020789 陈仓区慕仪镇政府科员综合管理171方明院 3.02131E+12 3020789 陈仓区慕仪镇政府科员综合管理171许妍 3.02131E+12 3020789 陈仓区慕仪镇政府科员综合管理171王兵兵 3.02131E+12 3020789 陈仓区慕仪镇政府科员综合管理171麻文婷 3.02131E+12 3020789 陈仓区慕仪镇政府科员综合管理171倪迪 3.02131E+12 3020790 陈仓区贾村镇政府科员综合管理178.5王璐 3.02131E+12 3020790 陈仓区贾村镇政府科员综合管理178.5车欢英 3.02131E+12 3020790 陈仓区贾村镇政府科员综合管理178.5马金虎 3.02131E+12 3020791 陈仓区县功镇政府科员综合管理176李一凤 3.02131E+12 3020791 陈仓区县功镇政府科员综合管理176李熙 3.02131E+12 3020791 陈仓区县功镇政府科员综合管理176马琪 3.02131E+12 3020792 陈仓区坪头镇政府科员综合管理(特设职位)150.5高永亮 3.02131E+12 3020792 陈仓区坪头镇政府科员综合管理(特设职位)150.5李民辉 3.02131E+12 3020792 陈仓区坪头镇政府科员综合管理(特设职位)150.5刘鹏飞 3.02131E+12 3020793 扶风县城关镇政府科员农林工作154.5陈超 3.02131E+12 3020793 扶风县城关镇政府科员农林工作154.5胡治秘 3.02131E+12 3020793 扶风县城关镇政府科员农林工作154.5李荣 3.02131E+12 3020793 扶风县城关镇政府科员农林工作154.5常珍珍 3.02131E+12 3020793 扶风县城关镇政府科员农林工作154.5李佳杏 3.02131E+12 3020793 扶风县城关镇政府科员农林工作154.5杨怡坤 3.02131E+12 3020794 扶风县城关镇政府科员综合治理工作167.5王玉云 3.02131E+12 3020794 扶风县城关镇政府科员综合治理工作167.5张洁 3.02131E+12 3020794 扶风县城关镇政府科员综合治理工作167.5郭静 3.02131E+12 3020794 扶风县城关镇政府科员综合治理工作167.5耿煜 3.02131E+12 3020794 扶风县城关镇政府科员综合治理工作167.5姬鹏 3.02131E+12 3020794 扶风县城关镇政府科员综合治理工作167.5王敬选 3.02131E+12 3020795 扶风县法门镇政府科员综合治理工作167宫璞 3.02131E+13020795 扶风县法门镇政府科员综合1672 治理工作张婧 3.02131E+12 3020795 扶风县法门镇政府科员综合治理工作167史良康 3.02131E+12 3020796 扶风县法门镇政府科员文字综合工作150.5何婷 3.02131E+12 3020796 扶风县法门镇政府科员文字综合工作150.5赵悦 3.02131E+12 3020796 扶风县法门镇政府科员文字综合工作150.5张梅 3.02131E+12 3020797 扶风县绛帐镇政府科员财务工作160.5贾咪 3.02131E+12 3020797 扶风县绛帐镇政府科员财务工作160.5任娟 3.02131E+12 3020797 扶风县绛帐镇政府科员财务工作160.5邓婷 3.02131E+12 3020797 扶风县绛帐镇政府科员财务工作160.5韩引弟 3.02131E+12 3020797 扶风县绛帐镇政府科员财务工作160.5杨雅婷 3.02131E+12 3020797 扶风县绛帐镇政府科员财务工作160.5段思敏 3.02131E+12 3020797 扶风县绛帐镇政府科员财务工作160.5陈荣 3.02131E+12 3020797 扶风县绛帐镇政府科员财务工作160.5王文利 3.02131E+12 3020797 扶风县绛帐镇政府科员财务工作160.5李甄 3.02131E+12 3020797 扶风县绛帐镇政府科员财务工作160.5高晴晴 3.02131E+12 3020798 扶风县绛帐镇政府科员文秘工作164.5李云 3.02131E+12 3020798 扶风县绛帐镇政府科员文秘工作164.5彭莹莹 3.02131E+12 3020798 扶风县绛帐镇政府科员文秘工作164.5段文静 3.02131E+12 3020798 扶风县绛帐镇政府科员文秘工作164.5杜婷婷 3.02131E+12 3020798 扶风县绛帐镇政府科员文秘工作164.5汶瑞娟 3.02131E+12 3020798 扶风县绛帐镇政府科员文秘工作164.5王龙飞 3.02131E+12 3020798 扶风县绛帐镇政府科员文秘工作164.5赵星 3.02131E+12 3020798 扶风县绛帐镇政府科员文秘工作164.5刘丽娜 3.02131E+12 3020798 扶风县绛帐镇政府科员文秘工作164.5吕利莎 3.02131E+12 3020799 扶风县绛帐镇政府科员综合管理167.5赵新科 3.02131E+12 3020799 扶风县绛帐镇政府科员综合管理167.5王红 3.02131E+12 3020799 扶风县绛帐镇政府科员综合管理167.5王武军 3.02131E+12 3020800 扶风县绛帐镇政府科员城乡管理(特设职位)161马建航 3.02131E+12 3020800 扶风县绛帐镇政府科员城乡管理(特设职位)161王小宇 3.02131E+12 3020800 扶风县绛帐镇政府科员城乡管理(特设职位)161朱文娟 3.02131E+12 3020800 扶风县绛帐镇政府科员城乡管理(特设职位)161郭宁 3.02131E+12 3020800 扶风县绛帐镇政府科员城乡管理(特设职位)161张瑞艳 3.02131E+12 3020800 扶风县绛帐镇政府科员城乡管理(特设职位)161韩苗 3.02131E+12 3020801 扶风县段家镇政府科员文字综合工作(特设职位)168彭玮 3.02131E+12 3020801 扶风县段家镇政府科员文字综合工作(特设职位)168任丹妮 3.02131E+12 3020801 扶风县段家镇政府科员文字综合工作(特设职位)168王博 3.02131E+12 3020802 扶风县段家镇政府科员农林工作171.5王海鸽 3.02131E+12 3020802 扶风县段家镇政府科员农林工作171.5吴荣飞 3.02131E+12 3020802 扶风县段家镇政府科员农林工作171.5石璐 3.02131E+12 3020803 扶风县午井镇政府科员计生管理工作170汪锋 3.02131E+12 3020803 扶风县午井镇政府科员计生管理工作170赵斌江 3.02131E+12 3020803 扶风县午井镇政府科员计生管理工作170王宁 3.02131E+12 3020803 扶风县午井镇政府科员计生管理工作170聂欣 3.02131E+13020803 扶风县午井镇政府科员计生1702 管理工作王菲 3.02131E+12 3020803 扶风县午井镇政府科员计生管理工作170刘淑媛 3.02131E+12 3020804 扶风县召公镇政府科员司法工作168.5王黎阳 3.02131E+12 3020804 扶风县召公镇政府科员司法工作168.5杨红霞 3.02131E+12 3020804 扶风县召公镇政府科员司法工作168.5王玲 3.02131E+12 3020804 扶风县召公镇政府科员司法工作168.5王小桐 3.02131E+12 3020804 扶风县召公镇政府科员司法工作168.5刘楠 3.02131E+12 3020804 扶风县召公镇政府科员司法工作168.5石伟 3.02131E+12 3020804 扶风县召公镇政府科员司法工作168.5贾丽 3.02131E+12 3020805 扶风县召公镇政府科员农林工作162惠国栋 3.02131E+12 3020805 扶风县召公镇政府科员农林工作162孙莹 3.02131E+12 3020805 扶风县召公镇政府科员农林工作162李怡侠 3.02131E+12 3020805 扶风县召公镇政府科员农林工作162张晓刚 3.02131E+12 3020805 扶风县召公镇政府科员农林工作162常华 3.02131E+12 3020805 扶风县召公镇政府科员农林工作162张莉 3.02131E+12 3020806 扶风县天度镇政府科员城乡建设工作(特设职位)144冉斯敏 3.02131E+12 3020806 扶风县天度镇政府科员城乡建设工作(特设职位)144马萍 3.02131E+12 3020806 扶风县天度镇政府科员城乡建设工作(特设职位)144杨晓亮 3.02131E+12 3020806 扶风县天度镇政府科员城乡建设工作(特设职位)144孙芳欢 3.02131E+12 3020806 扶风县天度镇政府科员城乡建设工作(特设职位)144蔺继红 3.02131E+12 3020806 扶风县天度镇政府科员城乡建设工作(特设职位)144李鹏涛 3.02131E+12 3020807 扶风县天度镇政府科员综合管理165.5江云梅 3.02131E+12 3020807 扶风县天度镇政府科员综合管理165.5罗彬 3.02131E+12 3020807 扶风县天度镇政府科员综合管理165.5白晓芳 3.02131E+12 3020808 扶风县天度镇政府科员司法工作162.5尉立扬 3.02131E+12 3020808 扶风县天度镇政府科员司法工作162.5张雯 3.02131E+12 3020808 扶风县天度镇政府科员司法工作162.5翟文华 3.02131E+12 3020808 扶风县天度镇政府科员司法工作162.5王凤 3.02131E+12 3020808 扶风县天度镇政府科员司法工作162.5王丹 3.02131E+12 3020808 扶风县天度镇政府科员司法工作162.5高巧爱 3.02131E+12 3020808 扶风县天度镇政府科员司法工作162.5张斌 3.02131E+12 3020808 扶风县天度镇政府科员司法工作162.5马伶俐 3.02131E+12 3020808 扶风县天度镇政府科员司法工作162.5谢丹凤 3.02131E+12 3020808 扶风县天度镇政府科员司法工作162.5郭美英 3.02131E+12 3020808 扶风县天度镇政府科员司法工作162.5常晓婷 3.02131E+12 3020808 扶风县天度镇政府科员司法工作162.5崔进 3.02131E+12 3020809 扶风县杏林镇政府科员农业工作162樊恒毅 3.02131E+12 3020809 扶风县杏林镇政府科员农业工作162刘涛 3.02131E+12 3020809 扶风县杏林镇政府科员农业工作162杨高升 3.02131E+12 3020809 扶风县杏林镇政府科员农业工作162白怀玉 3.02131E+12 3020809 扶风县杏林镇政府科员农业工作162韩钰 3.02131E+12 3020809 扶风县杏林镇政府科员农业工作162杜登峰 3.02131E+12 3020809 扶风县杏林镇政府科员农业工作162刘刚 3.02131E+13020809 扶风县杏林镇政府科员农业1622 工作郭宁 3.02131E+12 3020809 扶风县杏林镇政府科员农业工作162高银雪 3.02131E+12 3020810 扶风县杏林镇政府科员统计工作169.5王晓静 3.02131E+12 3020810 扶风县杏林镇政府科员统计工作169.5张鑫 3.02131E+12 3020810 扶风县杏林镇政府科员统计工作169.5汤利芹 3.02131E+12 3020810 扶风县杏林镇政府科员统计工作169.5李治宏 3.02131E+12 3020810 扶风县杏林镇政府科员统计工作169.5冉正浩 3.02131E+12 3020810 扶风县杏林镇政府科员统计工作169.5梁小妮 3.02131E+12 3020811 扶风县工商局基层工商所科员文字综合工作164.5荆莹 3.02131E+12 3020811 扶风县工商局基层工商所科员文字综合工作164.5张璠 3.02131E+12 3020811 扶风县工商局基层工商所科员文字综合工作164.5袁红琴 3.02131E+12 3020811 扶风县工商局基层工商所科员文字综合工作164.5苏超超 3.02131E+12 3020811 扶风县工商局基层工商所科员文字综合工作164.5梁萌 3.02131E+12 3020811 扶风县工商局基层工商所科员文字综合工作164.5李文娟 3.02131E+12 3020812 扶风县工商局基层工商所科员行政执法工作170赵敏 3.02131E+12 3020812 扶风县工商局基层工商所科员行政执法工作170赵晓龙 3.02131E+12 3020812 扶风县工商局基层工商所科员行政执法工作170赵新勉 3.02131E+12 3020812 扶风县工商局基层工商所科员行政执法工作170杨毛丽 3.02131E+12 3020812 扶风县工商局基层工商所科员行政执法工作170胡银侠 3.02131E+12 3020812 扶风县工商局基层工商所科员行政执法工作170庞少辉 3.02131E+12 3020813 扶风县工商局基层工商所科员信息网络工作161.5于洋 3.02131E+12 3020813 扶风县工商局基层工商所科员信息网络工作161.5王兆云 3.02131E+12 3020813 扶风县工商局基层工商所科员信息网络工作161.5秦云飞 3.02131E+12 3020813 扶风县工商局基层工商所科员信息网络工作161.5马丹 3.02131E+12 3020813 扶风县工商局基层工商所科员信息网络工作161.5田志恒 3.02131E+12 3020813 扶风县工商局基层工商所科员信息网络工作161.5王莉 3.02131E+12 3020814 扶风县工商局基层工商所科员食品监管工作159.5官小娟 3.02131E+12 3020814 扶风县工商局基层工商所科员食品监管工作159.5郭姣 3.02131E+12 3020814 扶风县工商局基层工商所科员食品监管工作159.5李银刚 3.02131E+12 3020814 扶风县工商局基层工商所科员食品监管工作159.5赵文 3.02131E+12 3020814 扶风县工商局基层工商所科员食品监管工作159.5张玥 3.02131E+12 3020814 扶风县工商局基层工商所科员食品监管工作159.5王倩 3.02131E+12 3020815 扶风县工商局基层工商所科员法制综合工作167赵依然 3.02131E+12 3020815 扶风县工商局基层工商所科员法制综合工作167容源萍 3.02131E+12 3020815 扶风县工商局基层工商所科员法制综合工作167周君晗 3.02131E+12 3020815 扶风县工商局基层工商所科员法制综合工作167答嫣 3.02131E+12 3020815 扶风县工商局基层工商所科员法制综合工作167丁婧 3.02131E+12 3020815 扶风县工商局基层工商所科员法制综合工作167孔永宁 3.02131E+12 3020816 眉县汤峪镇政府科员农业管理(特设职位)155李文瑞 3.02131E+12 3020816 眉县汤峪镇政府科员农业管理(特设职位)155汪亚会 3.02131E+12 3020816 眉县汤峪镇政府科员农业管理(特设职位)155孙宏门 3.02131E+12 3020817 眉县槐芽镇政府科员城建规划管理(特设职位)158冯苗苗 3.02131E+12 3020817 眉县槐芽镇政府科员城建规划管理(特设职位)158葛浩 3.02131E+13020817 眉县槐芽镇政府科员城建规1582 划管理(特设职位)闫珊 3.02131E+12 3020818 眉县金渠镇政府科员产业发展规划(特设职位)146何军虎 3.02131E+12 3020818 眉县金渠镇政府科员产业发展规划(特设职位)146张伟 3.02131E+12 3020818 眉县金渠镇政府科员产业发展规划(特设职位)146房芳 3.02131E+12 3020820 岐山县人口和计划生育局科员文秘工作169袁丽媛 3.02131E+12 3020820 岐山县人口和计划生育局科员文秘工作169吴敏娟 3.02131E+12 3020820 岐山县人口和计划生育局科员文秘工作169苏高博 3.02131E+12 3020821 岐山县水利局科员水利建设工作148.5刘亮 3.02131E+12 3020821 岐山县水利局科员水利建设工作148.5达玫 3.02131E+12 3020821 岐山县水利局科员水利建设工作148.5李浩 3.02131E+12 3020821 岐山县水利局科员水利建设工作148.5刘小媛 3.02131E+123020822 岐山县农业局科员生产管理168.5刘倩 3.02131E+123020822 岐山县农业局科员生产管理168.5张婕 3.02131E+123020822 岐山县农业局科员生产管理168.5宋文珊 3.02131E+12 3020823 岐山县雍川镇政府科员综合管理170李扬 3.02131E+12 3020823 岐山县雍川镇政府科员综合管理170马岩 3.02131E+12 3020823 岐山县雍川镇政府科员综合管理170王凯迪 3.02131E+12 3020824 岐山县益店镇政府科员综合管理163杨渊 3.02131E+12 3020824 岐山县益店镇政府科员综合管理163翟薇露 3.02131E+12 3020824 岐山县益店镇政府科员综合管理163魏晓林 3.02131E+12 3020825 岐山县枣林镇政府科员综合管理164.5任耀博 3.02131E+12 3020825 岐山县枣林镇政府科员综合管理164.5尚静 3.02131E+12 3020825 岐山县枣林镇政府科员综合管理164.5罗文林 3.02131E+12 3020826 岐山县青化镇政府科员综合管理180张娜 3.02131E+12 3020826 岐山县青化镇政府科员综合管理180陈伟 3.02131E+12 3020826 岐山县青化镇政府科员综合管理180魏蓓 3.02131E+12 3020827 岐山县蒲村镇政府科员综合管理168.5黄大伟 3.02131E+12 3020827 岐山县蒲村镇政府科员综合管理168.5李颖 3.02131E+12 3020827 岐山县蒲村镇政府科员综合管理168.5崔祎青 3.02131E+12 3020828 岐山县祝家庄镇政府科员综合管理174.5闫华 3.02131E+12 3020828 岐山县祝家庄镇政府科员综合管理174.5范钊 3.02131E+12 3020828 岐山县祝家庄镇政府科员综合管理174.5郭少群 3.02131E+12 3020829 岐山县故郡镇政府科员综合管理(特设职位)155.5付娟妮 3.02131E+12 3020829 岐山县故郡镇政府科员综合管理(特设职位)155.5程皎 3.02131E+12 3020829 岐山县故郡镇政府科员综合管理(特设职位)155.5陈媛 3.02131E+12 3020830 岐山县京当镇政府科员综合管理166.5孙宇 3.02131E+12 3020830 岐山县京当镇政府科员综合管理166.5马宁 3.02131E+12 3020830 岐山县京当镇政府科员综合管理166.5范博锋 3.02131E+12 3020830 岐山县京当镇政府科员综合管理166.5张真真 3.02131E+12 3020831 岐山县工商局祝家庄工商所科员工商管理172.5李燕妮 3.02131E+12 3020831 岐山县工商局祝家庄工商所科员工商管理172.5罗晶 3.02131E+12 3020831 岐山县工商局祝家庄工商所科员工商管理172.5闫晚芬 3.02131E+12 3020832 岐山县工商局益店工商所科员工商管理170贾晓梅 3.02131E+13020832 岐山县工商局益店工商所科1702 员工商管理曹攀 3.02131E+12 3020832 岐山县工商局益店工商所科员工商管理170张枫婕 3.02131E+123020836 麟游县审计局科员审计工作148.5赵冠君 3.02131E+123020836 麟游县审计局科员审计工作148.5王彩荣 3.02131E+123020836 麟游县审计局科员审计工作148.5张曼 3.02131E+12 3020837 麟游县人才交流服务中心(参照管理)科员人事档案管理165高文 3.02131E+12 3020837 麟游县人才交流服务中心(参照管理)科员人事档案管理165黄强 3.02131E+12 3020837 麟游县人才交流服务中心(参照管理)科员人事档案管理165窦战 3.02131E+12 3020838 麟游县人才交流服务中心(参照管理)科员人才信息管理164杨雅 3.02131E+12 3020838 麟游县人才交流服务中心(参照管理)科员人才信息管理164符一婷 3.02131E+12 3020838 麟游县人才交流服务中心(参照管理)科员人才信息管理164刘华 3.02131E+12 3020838 麟游县人才交流服务中心(参照管理)科员人才信息管理164王万军 3.02131E+12 3020839 麟游县九成宫镇政府科员文秘工作(特设职位)140王成阳 3.02131E+12 3020839 麟游县九成宫镇政府科员文秘工作(特设职位)140杨晨 3.02131E+12 3020839 麟游县九成宫镇政府科员文秘工作(特设职位)140闫继刚 3.02131E+12 3020839 麟游县九成宫镇政府科员文秘工作(特设职位)140王刚 3.02131E+12 3020840 麟游县九成宫镇政府科员矿产资源管理143冯雨涛 3.02131E+12 3020840 麟游县九成宫镇政府科员矿产资源管理143李文思 3.02131E+12 3020840 麟游县九成宫镇政府科员矿产资源管理143屈凯 3.02131E+12 3020841 麟游县九成宫镇政府科员能源环保工作165.5康阳飞 3.02131E+12 3020841 麟游县九成宫镇政府科员能源环保工作165.5张宗龙 3.02131E+12 3020841 麟游县九成宫镇政府科员能源环保工作165.5张瑜 3.02131E+12 3020842 麟游县九成宫镇政府科员计划生育工作163.5周丹萍 3.02131E+12 3020842 麟游县九成宫镇政府科员计划生育工作163.5赵辉 3.02131E+12 3020842 麟游县九成宫镇政府科员计划生育工作163.5崔海洋 3.02131E+12 3020843 麟游县常丰镇政府科员文秘工作(特设职位)141付党军 3.02131E+12 3020843 麟游县常丰镇政府科员文秘工作(特设职位)141田江平 3.02131E+12 3020843 麟游县常丰镇政府科员文秘工作(特设职位)141李晓怡 3.02131E+12 3020844 麟游县常丰镇政府科员农业工作(特设职位)150.5樊静 3.02131E+12 3020844 麟游县常丰镇政府科员农业工作(特设职位)150.5王俊平 3.02131E+12 3020844 麟游县常丰镇政府科员农业工作(特设职位)150.5郑玲 3.02131E+12 3020845 麟游县酒房镇政府科员计划生育工作159王静 3.02131E+12 3020845 麟游县酒房镇政府科员计划生育工作159张建祥 3.02131E+12 3020845 麟游县酒房镇政府科员计划生育工作159吕亚娟 3.02131E+12 3020846 麟游县两亭镇政府科员文秘工作168.5刘剑锋 3.02131E+12 3020846 麟游县两亭镇政府科员文秘工作168.5李秋娟 3.02131E+12 3020846 麟游县两亭镇政府科员文秘工作168.5杜娟 3.02131E+12 3020848 麟游县两亭镇政府科员计划生育工作(特设职位)134.5杨涛 3.02131E+12 3020848 麟游县两亭镇政府科员计划生育工作(特设职位)134.5李富强 3.02131E+13020848 麟游县两亭镇政府科员计划134.5。
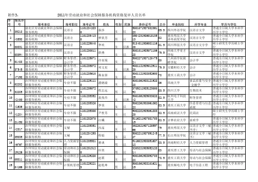
武威市2011年考试录用公务员资格复审人员名单
武威市2011年考试录用公务员资格复审人员名单
武威市2011年考试录用公务员资格复审人员名单
武威市2011年考试录用公务员资格复审人员名单
武威市2011年考试录用公务员资格复审人员名单
武威市2011年考试录用公务员资格复审人员名单
武威市2011年考试录用公务员资格复审人员名单
武威市2011年考试录用公务员资格复审人员名单
武威市2011年考试录用公务员资格复审人员名单
武威市2011年考试录用公务员资格复审人员名单
武威市2011年考试录用公务员资格复审人员名单
武威市2011年考试录用公务员资格复审人员名单
武威市2011年考试录用公务员资格复审人员名单
武威市2011年考试录用公务员资格复审人员名单
武威市2011年考试录用公务员资格复审人员名单
武威市2011年考试录用公务员资格复审人员名单
武威市2011年考试录用公务员资格复审人员名单
武威市2011年考试录用公务员资格复审人员名单
武威市2011年考试录用公务员资格复审人员名单
武威市2011年考试录用公务员资格复审人员名单
武威市2011年考试录用公务员资格复审人员名单
武威市2011年考试录用公务员资格复审人员名单
武威市2011年考试录用公务员资格复审人员名单
武威市2011年考试录用公务员资格复审人员名单
武威市2011年考试录用公务员资格复审人员名单。