4 2016年红河州级事业单位考试:开远资格复审人员名单(102人)
- 格式:xls
- 大小:66.50 KB
- 文档页数:4
2016年宁夏自治区公务员考试资格复审结果的公告(第一批)2016年06月04日13:40:41 来源:宁夏中公教育根据《宁夏回族自治区2016年考试录用公务员(参照公务员法管理单位工作人员)公告》规定,自治区公务员主管部门会同自治区纪委、教育厅、民政厅和各招录机关对第一批拟进入面试的考生进行了资格复审。
复审中发现,部分考生不符合报考条件,也有部分考生放弃面试,个别职位达不到面试开考比例。
经自治区公务员招考工作领导小组研究决定,取消部分考生面试资格,取消个别招考职位,降低个别职位面试开考比例。
现将有关情况公告如下:一、不符合报考条件取消面试资格的考生18名序号准考证号职位代码招考单位报考职位审核结果1110232200423022099石嘴山市惠农区司法局司法助理员成人教育毕业生,未能在资格复审前取得毕业证书,取消资格2110231300614021026银川市银川市文联科员非应届毕业生,取消资格3110232801320024025固原市原州区司法局司法助理员函授教育,未能在资格复审前取得毕业证书,取消资格4110232401928022189石嘴山市平罗县纪委党风廉政宣传教育中心科员资格复审前不能提供自考学位证书,取消资格5110230601912015006自治区地税局地税系统税务所户籍不符合资格条件稽查科员二要求,取消资格6110231405105021053银川市兴庆区就业局科员户籍不符合资格条件要求,取消资格7110231808320022055石嘴山市石嘴山市场监督管理局惠农区分局文秘户籍不符合资格条件要求,取消资格8110232502618024005固原市农业畜牧局办公室文秘户籍不符合资格条件要求,取消资格9110050201404025012中卫市畜禽定点屠宰办公室科员二户籍不符合资格条件要求,取消资格10112230802302005001自治区公安厅维吾尔语翻译户籍不符合资格条件要求,取消资格11110230201609012016自治区高级人民法院石嘴山市惠农区人民法院执行人员伪造毕业证书,取消资格12110230601919015006自治区地税局地税系统税务所稽查科员二性别不合资格条件要求,取消资格13110232801226024025固原市原州区司法局司法助理员学历不符合有关要求,取消资格14114230400604021016银川市银川市公安局警员二学位不符合资格条件要求,取消资格15110231300303021024银川市银川市审计局科员二专业不符合资格条件要求,取消资格16110232300920022112石嘴山市惠农区卫生和计划生育局医政中医管理专业不符合资格条件要求,取消资格17110233002105024068固原市彭阳县审计局科员专业不符合资格条件要求,取消资格18110050600805025066中卫市海原县扶贫办科员一专业不符合资格条件要求,取消资格二、自愿放弃面试资格的考生71名序号准考证号职位代码招考单位报考职位审核结果1110230100103001001自治区纪委自治区廉政警示教育和案件信息管理中心讲解员一放弃2110230100202004001自治区政府办公厅自治区规划办规划协调处科员放弃3110230101517010001自治区人力资源和社会保障厅自治区社会保险事业管理局科员放弃4110230102008012002自治区高级人民法院银川市中级人民法院法官助理放弃5110230102426012006自治区高级人民法院银川市兴庆区人民法院法官助理(执行岗位)放弃6110230200711012009自治区高级人民法院贺兰县人民法院法官助理(执行岗位)放弃7110230202406012027自治区高级人民法院固原市中级人民法院法官助理放弃8110230202830012036自治区高级人民法院法院系统法官助理一放弃9110230203007012037自治区高级人民法院法院系统法官助理二放弃10110230203017012038自治区高级人民法院法院系统法官助理(执行岗位)放弃11110230203015012038自治区高级人民法院法院系统法官助理(执行岗位)放弃12110230203111012039自治区高级人民法院法院系统执行人员一放弃13110230203228012039自治区高级人民法院法院系统执行人员一放弃14110230300422012041自治区高级人民法院法院系统文秘放弃15110230302213013010自治区检察院灵武市检察院自侦部门检察官助理放弃16110230302209013010自治区检察院灵武市检察院自侦部门检察官助理放弃17110230302211013010自治区检察院灵武市检察院自侦部门检察官助理放弃18110230302208013010自治区检察院灵武市检察院自侦部门检察官助理放弃19110230302310013013自治区检察院石嘴山市检察院检察官助理放弃20110230302424013015自治区检察院石嘴山市检察院文秘放弃21110230302804013022自治区检察院红果子地区检察院侦查人员放弃22110230303023013028自治区检察院吴忠市检察院检察官助理放弃23110230303026013029自治区检察院利通区检察院检察官助理放弃24110230400105013030自治区检察院利通区检察院侦查人员放弃25110230500514013042自治区检察院隆德县检察院司法会计放弃26110230500512013042自治区检察院隆德县检察院司法会计放弃27110230501125014001自治区党校教务处科员放弃28110230501512014003自治区党校研究生部科员放弃29110230501411014003自治区党校研究生部科员放弃30110230600329015003自治区地税局地税系统税务所科员一放弃31110230601727015005自治区地税局地税系统税务所稽查科员一放弃32110230601517015005自治区地税局地税系统税务所稽查科员一放弃33110230901830021004银川市银川市市场监督管理局科员四放弃34110231102627021009银川市银川市市场监督管理局科员九放弃35110231300310021025银川市银川市环保局科员放弃36110231400728021039银川市银川市妇联科员放弃37110231500126021054银川市兴庆区劳动监察大队科员放弃38110231500230021055银川市兴庆区劳动争议仲裁院科员放弃39110231500215021055银川市兴庆区劳动争议仲裁院科员放弃40110231500918021057银川市西夏区司法局司法助理员放弃41110231700521021076银川市永宁县人民政府办公室科员放弃42110231705712021125银川市灵武市市场监督管理局科员二放弃43110231706126021127银川市灵武市农牧局科员放弃44114230402324022019石嘴山市石嘴山市公安局惠农区分局基层法制员一放弃45110231807127022045石嘴山市石嘴山市场监督管理局质量技术监督执法放弃46110231808311022055石嘴山市石嘴山市场监督管理局惠农区分局文秘放弃47110231901124022059石嘴山市石嘴山市档案局科员放弃48110231902929022071石嘴山市大武口区政府办公室科员放弃49110232000913022075石嘴山市大武口区司法局社区矫正放弃50110232002221022082石嘴山市大武口区城市管理局科员放弃51110232301330022113石嘴山市惠农区卫生和计划生育局综合管理放弃52110232301709022115石嘴山市惠农区火车站街道办事处科员放弃53110210101020023007吴忠市吴忠市司法局科员一放弃54110210101403023015吴忠市吴忠市财政局科员放弃55110210103221023022吴忠市吴忠市水务局科员一放弃56110210203206023044吴忠市利通区司法局基层司法助理员放弃57110210302229023049吴忠市利通区就业创业和人才服务局文秘放弃58110210304514023088吴忠市红寺堡区林业局综合管理一放弃59110233000813024058固原市彭阳县司法局司法助理员二放弃60110233000717024058固原市彭阳县司法局司法助理员二放弃61110233001327024062固原市彭阳县安监局安全管理放弃62110233001626024064固原市彭阳县交通运输局文秘放弃63110233001723024065固原市彭阳县事业单位登记管理局放弃64110233002104024068固原市彭阳县审计局科员放弃65110233002102024068固原市彭阳县审计局科员放弃66110233002120024069固原市彭阳县国土资源局科员放弃67110050200925025009中卫市市场监督管理局质量技术监督执法放弃68110050600825025066中卫市海原县扶贫办科员一放弃69110210403726027002同心县纪律检查委员会案件检查二放弃70110210404803027012同心县司法局司法助理员放弃71110210404907027013同心县司法局档案管理员放弃三、取消招考职位1个自治区公安厅维吾尔语翻译职位(005001)。
《2016年红河州事业单位招聘考试公告(1540⼈)》于2016年5⽉14⽇发布,经中共红河州委组织部、红河州⼈⼒资源和社会保障局研究,报红河州⼈民政府同意,决定⾯向社会公开招聘事业单位⼯作⼈员1540名,具体岗位详见2016年红河州事业单位招聘考试职位表。
招聘的基本条件 (⼀)报考⼈员应具备的条件 1.具有中华⼈民共和国国籍; 2.拥护中华⼈民共和国宪法和法律; 3.具有良好的品⾏; 4.具备招聘岗位所需的专业或任职资格、职业(执业)资格及技能要求; 5.具备适应岗位要求的⾝体条件; 6.具备岗位所需的其它条件; 7.年龄18周岁以上35周岁以下(1981年5⽉24⽇⾄1998年5⽉24⽇出⽣);具有中级以上职称或技师以上等级,以及定向招聘到农村基层服务项⽬服务期满⾼校毕业⽣岗位、定向招聘驻红河州部队未就业随军家属岗位中团级以上军官未就业随军家属报考者年龄可放宽到40周岁以下(1976年5⽉24⽇⾄1998年5⽉24⽇出⽣);具有副⾼以上职称的年龄可放宽到45周岁以下(1971年5⽉24⽇⾄1998年5⽉24⽇出⽣)。
岗位有具体年龄要求的以岗位表为准。
(⼆)不符合报名条件的情形 1.参加公务员考试或事业单位招聘考试中因严重违纪被取消考试资格并在禁考期限内的⼈员; 2.受到党纪、政纪处分期限未满或者正在接受纪律审查的⼈员; 3.受到刑事处罚期限未满或者正在接受司法调查尚未作出结论的⼈员; 4.曾被开除公职的⼈员; 5.在读的⾮2016届毕业⽣; 6.参加公开招聘⼈员不得报考聘⽤后即构成回避关系的岗位; 7.2016年5⽉13⽇(此公告发布之⽇)以前参加全国范围内2016年公务员考试、事业单位招聘被确定为拟聘⽤⼈员的(含机关事业单位已签订就业协议的); 8.其他按法律法规规定不符合报名条件的。
点击下载:。
面试资格复审人员名单招录单位(盖章):省纪委
备注:
1、从村(社区)干部中定向考录乡镇(街道)机关公务员的职位,笔试折算分=综合知识测试成绩×0.5
2、公安机关执法勤务职位,笔试折算分=(行政职业能力测验试卷成绩×0.40+申论试卷成绩×0.30+公安专业科目考试×0.3)×0.5
3、其他组织专业科目考试的职位,笔试折算分=(行政职业能力测验试卷成绩×0.55+申论试卷成绩×0.45)×0.4
4、遴选选调生的职位,笔试折算分=(行政职业能力测验试卷成绩×0.55+申论试卷成绩×0.45)×0.3(组织专业科目考试的,按上述组织专业科考试的计算公式折算出笔试折算分)
5、其他职位,笔试折算分=综合成绩=(行政职业能力测验试卷成绩×0.55+申论试卷成绩×0.45)×0.5。
2016年11月云南红河州事业单位招聘计划2016年11月云南红河州乡镇预计招聘10人,有意向的考生可以准备报考,具体的招聘计划如下:一、考核招聘原则(一)坚持按需设岗、按岗招聘的原则;(二)坚持德才兼备、任人唯贤的原则;(三)坚持公开、平等、竞争、择优的原则。
二、考核招聘基本条件(一)考核招聘对象应具备的条件1.2010年全省统一选聘且在我州任职满两个聘期的大学生村官;2.曾担任过村(社区)党总支书记、副书记(含不占职数的),村(居)委会主任、副主任或村务监督委员会主任;3.年度考核均为称职及以上等次。
4.具有良好的道德品行、政治素养,工作能力强、勤奋敬业、实绩突出。
5.具有正常履行职责的身体条件。
(二)不符合参加考核招聘的情形1.任职未满2个聘期或考核招聘当年前已满2个聘期解聘的大学生村官;2.年度考核、聘期考核中,考核为基本称职或不称职等次的;3.任职期间,因重大过失,被县级及以上部门点名通报批评的;4.受过党纪、政纪处分尚未解除处分的,曾因犯罪受过刑事处罚的,有违法违纪嫌疑正在接受审查的;5.在各级公务员或事业单位招考中被认定有舞弊等严重违纪行为尚在禁考期限内的;6.具有法律规定不得聘用的其他情形的。
三、考核招聘计划和岗位全州招聘10人,具体岗位信息详见岗位信息表。
四、考核招聘程序及办法(一)报名及资格审查1.报名时间:2016年11月10日。
2.报名地点:各县市人社局3.报名方式:现场报名。
报考人员须填写《大学生村官参加考核招聘乡镇(街道)事业单位工作人员申请表》(见附件1)。
4.岗位申报。
考核招聘在本县(市)乡镇(街道)事业单位范围内申报,不得跨县(市)申报。
考生不申报具体岗位,以县市为单位,考生按最终得分高低挑选岗位。
本次考核招聘不受开考比例限制。
(二)资格审查由各县(市)委组织部和县(市)人力资源和社会保障局组成工作组,对提交申请的大学生村官进行资格审核。
(三)考核招聘程序办法由各县(市)纪检监察、组织、人事部门组成考核组,深入大学生村官所在乡镇(街道)、村(社区)进行考核。
序 号姓名准考证区域报考单位报考岗位岗位代码招聘人数特殊岗位倾向测验成绩用能力成绩笔试总成绩排名备注1赵孟清州级中共红河州委党校教师00011否2李兰州级中共红河州委党校教师00011否3汪兴州级中共红河州委党校教师00011否4李丽娇州级中共红河州委党校教师00011否5马金磊州级中共红河州委党校教师00011否6陈宇霞州级中共红河州委党校教师00011否7朱加虎州级中共红河州委党校教师00011否8付佳鑫州级中共红河州委党校教师00011否9杨林刚州级中共红河州委党校教师00011否10杜娟州级中共红河州委党校教师00011否11韩春霞州级中共红河州委党校教师00011否12张维伦州级中共红河州委党校教师00011否13金美玲州级中共红河州委党校教师00011否14李翠芝州级中共红河州委党校教师00011否15涂龙波州级中共红河州委党校教师00021否16陶长虹州级中共红河州委党校教师00021否17张强州级中共红河州委党校教师00021否18周喆州级中共红河州委党校教师00021否19赵丽泉州级中共红河州委党校教师00021否20李东景州级中共红河州委党校教师00021否21毛靖森州级中共红河州委党校教师00021否22李沛宇州级中共红河州委党校教师00021否23叶伟111250300101州级红河日报社报纸美编00031否83.582165.5124宣玲丽111250300108州级红河州电子政务管理中心计算机系统管理员00041否127.575.5203125李军111250300127州级红河州林业科学研究所森林培育00052否10982.5191.5126马雨亭111250300122州级红河州林业科学研究所森林培育00052否109.573182.5227程曦111250300129州级红河州旅游发展委员会执法监察支队财务00061否129.598.5228128李旭111250300211州级红河州农业科学研究所土壤肥料研究00081否106.577183.5129张云111250300216州级红河州农业科学研究所土壤肥料研究00091否114.593.5208130高正杰111250300220州级红河州农业科学研究所作物栽培和遗传育种00101否12485.5209.5131陈晓云111250300227州级红河州农业科学研究所蔬菜00111否122.588210.51免笔试,需面试免笔试,需面试免笔试,需面试免笔试,需面试免笔试,需面试免笔试,需面试免笔试,需面试免笔试,需面试免笔试,需面试免笔试,需面试免笔试,需面试免笔试,需面试免笔试,需面试免笔试,需面试免笔试,需面试免笔试,需面试免笔试,需面试免笔试,需面试免笔试,需面试免笔试,需面试免笔试,需面试免笔试,需面试序 号姓名准考证区域报考单位报考岗位岗位代码招聘人数特殊岗位倾向测验成绩用能力成绩笔试总成绩排名备注序 号姓名准考证区域报考单位报考岗位岗位代码招聘人数特殊岗位倾向测验成绩用能力成绩笔试总成绩排名备注序 号姓名准考证区域报考单位报考岗位岗位代码招聘人数特殊岗位倾向测验成绩用能力成绩笔试总成绩排名备注序 号姓名准考证区域报考单位报考岗位岗位代码招聘人数特殊岗位倾向测验成绩用能力成绩笔试总成绩排名备注序 号姓名准考证区域报考单位报考岗位岗位代码招聘人数特殊岗位倾向测验成绩用能力成绩笔试总成绩排名备注。
序号姓名准考证区域报考单位报考岗位岗位代码招聘人数是否特殊岗位职业能力倾向测验成绩综合应用能力成绩笔试总成绩排名备注1张婷552250101801个旧个旧市人民医院临床医师02053否123.5104.52281 2廖雄姿552250101807个旧个旧市人民医院临床医师02053否113.586.52002 3胡增蕊552250101808个旧个旧市人民医院临床医师02053否93.591.51853 4邹锡555250102301个旧个旧市人民医院影像医师02061否89791681 5金灿551250101612个旧个旧市中医医院临床医师02085否116.588204.51 6玄晓慧551250101603个旧个旧市中医医院临床医师02085否100.596196.52 7徐婷婷551250101613个旧个旧市中医医院临床医师02085否103.590193.53 8杨敏551250101605个旧个旧市中医医院临床医师02085否111791904 9金晨旭551250101601个旧个旧市中医医院临床医师02085否105.584.51905 10吴跃碧551250101621个旧个旧市中医医院临床医师02091否108911991 11孙一方555250102307个旧个旧市中医医院检验师02101否9593.5188.51 12刘晶晶111250100101个旧个旧市中医医院综合管理02111否9676.5172.51 13顾典敏553250102022个旧个旧市传染病医院药剂师02131否11194.5205.51 14李莎552250101813个旧个旧市妇幼保健计划生育服务中心儿科医师02151否1011022031 15马燕552250101816个旧个旧市妇幼保健计划生育服务中心检验师02161否108.575.51841 16时佳556250102401个旧个旧市疾病预防控制中心公共医师02181否107881951 17冉志智552250101818个旧个旧市大屯卫生院临床医师02192否121792001 18卢美英552250101828个旧个旧市大屯卫生院临床医师02192否105.585.51912 19刘海燕552250101904个旧个旧市鸡街地区医院临床医师02201否87.5102.51901 20陈媛553250102217个旧个旧市鸡街地区医院药剂师02221否113.577.51911 21马雪霞556250102409个旧个旧市贾沙卫生院公卫医师02231否106.584190.51 22蒋涛552250101913个旧个旧市贾沙卫生院临床医师02241否10786.5193.51 23李卫551250101629个旧个旧市保和乡卫生院临床医师02251否9369.5162.51 24彭涛552250101915个旧个旧市蔓耗卫生院临床医师02271否9571.5166.51红河州2016年事业单位公开招聘工作人员进入资格复审人员名单(个旧)。
2016年度事业单位绩效考核结果公告根据《河口区事业单位绩效考核办法》(东河委〔2014〕1号)、《河口区2016年度事业单位绩效考核实施方案》(东河事考委〔2016〕2号)要求,区事考办组织实施了2016年度事业单位绩效考核工作,现将考核结果予以公告。
监督电话:3885067意见信箱:hksjj2014@2016年度事业单位绩效考核结果一、A级单位(21个)河口区社会保险管理服务中心河口区人民政府教育督导室河口电视台河口区服务业办公室河口区廉政舆情信息中心山东河口经济开发区社会事务中心河口区公共就业和人才服务中心河口区文化馆河口区妇幼保健计划生育服务中心河口区外商投资服务中心办公室河口区新户镇便民服务中心河口区河口街道社区服务中心河口区六合街道社区服务中心河口区六合街道卫生院河口区新户中心卫生院河口区河安社区卫生服务中心河口区河安小学河口区六合街道中心小学河口区实验幼儿园河口区仙河镇中心幼儿园河口区新户镇太平幼儿园二、B级单位(102个)河口区妇女儿童工作委员会办公室河口区政府投资审计办公室河口区文化市场综合执法大队河口人民广播电台河口区卫生监督执法局河口区地震局河口区交通运输局农村公路管理所河口区城乡集中供水管理中心河口区道路运输管理处河口区交通运输监察大队河口区农业机械管理中心河口区行政管理科学研究所河口区农业技术推广站河口区老年活动中心河口区社会福利中心河口区重点项目管理办公室河口区交通运输局违章处理办公室河口区港航管理所河口区人民政府防汛抗旱指挥部办公室河口区动物疫病防治监控中心河口区招生委员会办公室河口区图书馆河口区水政监察大队河口区规划建筑设计院河口区知识产权局河口区水土保持办公室河口区农业行政执法大队河口区农村产权交易中心河口区业余体育运动学校河口区农村社会经济调查队河口区企业调查队河口区植物保护站河口区环卫绿化处河口区城市管理监督指挥中心河口区教学工作研究室河口区海洋与水产研究所河口区拥军优属拥政爱民工作领导小组办公室河口区城乡规划技术服务中心河口区油区工作委员会仙河管理中心河口区建设工程交易中心河口区建设工程管理中心河口区渔业技术推广站河口区爱国卫生运动委员会办公室河口区水利灌溉管理站河口区安全生产执法监察大队河口区油区工作委员会孤岛管理中心河口区房产管理中心河口区住房和城乡规划建设局孤岛管理中心河口区住房和城乡规划建设局仙河管理中心河口区中心渔港管理站中国海监河口区大队河口区计量检定测试所河口区法律援助中心东营市河口公证处河口区建设工程质量检测站河口区价格认证中心河口区城市管理行政执法大队河口区油田物资稽查大队河口区财政集中支付中心河口区广场管理中心东营市第二殡仪馆河口区质量技术监督局稽查队河口区基层财政管理局河口区非税收入管理局河口区政府采购监督管理办公室河口区学生资助管理中心河口区农业综合开发办公室河口区财政局经济建设办公室河口区人大机关服务中心河口区六合街道油区工作办公室河口区河口街道便民服务中心河口区孤岛镇便民服务中心河口区河口街道油区工作办公室河口区新户镇油区工作办公室河口区新户镇农业农村综合服务中心河口区河口街道农业农村综合服务中心河口区六合街道便民服务中心河口区六合街道农业农村综合服务中心河口区仙河镇便民服务中心河口区孤岛镇农业农村综合服务中心河口区义和镇便民服务中心河口区仙河镇农业农村综合服务中心河口区义和镇妇幼保健计划生育服务站河口区义和镇油区工作办公室河口区河口街道卫生院河口区中医院河口区区直机关卫生所河口区新户中心卫生院太平分院河口区新户镇太平小学河口区仙河镇中心小学河口区六合街道中学河口区河口街道中心小学河口区新户镇中学河口区新户镇中心小学河口区新户镇太平中学河口区义和镇中心学校河口区河安幼儿园河口区义和镇中心幼儿园河口区河口街道中心幼儿园河口区新户镇中心幼儿园河口区六合街道中心幼儿园河口区孤岛镇中心幼儿园。
/yunnan/ 云南事业单位招聘:2016红河开远事业单位招聘公告温馨提示:2016红河开远事业单位考试公告暂未发布,中公云南事业单位考试网建议您参考去年考试公告,了解考试安排,提前备考。
以下为2015红河开远事业单位招聘139人公告:为加强开远市事业单位人才队伍建设,进一步做好我市高校毕业生就业工作,根据国务院令第652号《事业单位人事管理条例》、原人事部令第六号《事业单位公开招聘人员暂行规定》和《红河州事业单位公开招聘工作人员实施意见》,报经开远市人民政府同意,决定面向社会公开招聘事业单位工作人员139名,现就招聘有关事宜公告如下:一、基本条件1.具有中华人民共和国国籍;2.拥护中华人民共和国宪法;3.具有良好的品行;4.具有正常履行职责的身体条件;5.具有符合岗位要求的文化程度和工作能力;6.具备拟报考岗位所需的其它条件。
最新招考信息及备考资料请关注:云南省事业单位招聘网(公告信息/备考资料),实时更新。
二、报名本次考试报名采取网络报名的方式进行,红河人才网网上报名时间:2015年4月27日9:00至4月29日17:00网上交费截止时间:2015年5月3日准考证打印时间:2015年5月25日至2015年5月30日期间三、考试>>>推荐阅读:云南省事业单位考试大纲<<<1、考试内容综合素质考试内容为《政治与法律》和《综合基础知识》两个科目,每科100分,总分为200分。
学历要求研究生及以上的岗位,考生可免综合素质考试,但学历仅要求本科及以上的岗位,具有硕士研究生及以上学历的考生仍须参加综合素质考试。
若岗位条件已经明确要具备助理执业医师或执业医师资格的,取得岗位要求的助理执业医师、执业医师资格的考生分别报考乡镇卫生院、县(市)级医院岗位的可免综合素质考试。
此次综合素质考试两科均为客观题,不进行查分。
/yunnan/ 考试资讯由云南省事业单位招聘网提供。
2、笔试时间、地点《政治与法律》考试时间:2015年5月30日上午9:00—11:00《综合基础知识》考试时间:2015年5月30日下午2:30—4:30考试地点以准考证为准。
官网: 点击查看内蒙教师考试真题2016年内蒙古事业单位资格复审内蒙古事业单位资格复审(一)从笔试成绩达到最低合格分数线上的应聘人员中,按照每个岗位应聘人员笔试成绩由高到低的顺序和3∶1的比例确定进入资格复审和面试范围的人员(末位出现并列的,并列人员全部进入资格复审范围)。
对于用人单位急需的高层次、紧缺专业人才,资格复审及递补后达不到3∶1面试比例的,经招聘单位申请,主管机关批准,可适当降低面试比例。
(二)资格复审工作由招聘单位负责。
资格复审时间、地点及有关要求在报名网站上另行公告。
资格复审重点审核应聘人员所填报的信息是否真实准确,是否符合应聘岗位要求的资格条件。
凡不符合应聘条件、个人错填民族信息导致加分、所填报个人信息与所持证件不符以及隐瞒重要信息或提供虚假证明材料,情节严重的,一律取消面试资格。
(三)进入资格复审范围的应聘人员,须登陆报名网站自行下载打印《报名登记表》、《资格复审通知书》,按照规定时间和地点参加资格复审。
未在规定时间结束前参加资格复审的,取消面试资格。
(四)应聘人员参加资格复审时,须携带《报名登记表》、《资格复审通知书》(各一式二份)、身份证(或护照)、户口簿(或户口所在公安派出所出具的户籍证明原件及复印件)、毕业证和学位证书原件及复印件(2016年应届毕业生未取得毕业证之前持加盖院<系>和学校教务处<研究生院、处>公章的证明原件及复印件)、教育部学历证书电子注册备案表或中国高等教育学历认证报告(从中国高等教育学生信息网下载打印)以及应聘岗位要求的其他有关证件和证明原件及复印件。
户口在区外的内蒙古生源全日制普通高校毕业生,还须提供本人原内蒙古户籍注销页(或复印件)或原内蒙古户籍所在地公安派出所出具的户籍证明原件及复印件。
应聘“项目人员”岗位的人员,属于高校毕业生服务基层项目人员的,须提供服务项目证书原件和复印件以及服务项目县级以上主管部门出具的服务期满、考核合格的证明原件及复印件;属于大学生退役士兵的,须提供士兵退役证原件和复印件。
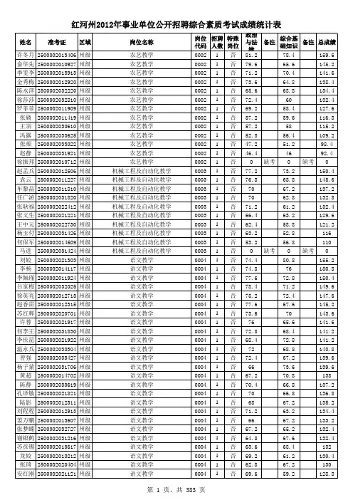
序号姓名准考证区域报考单位报考岗位
岗位
代码
招聘
人数
是否
特殊
岗位
职业能力
倾向测验
成绩
综合应
用能力
成绩
笔试总
成绩
排名备注
1梁伟111250200116开远开远市环境科研监测所野外监测员02501否128.591.52201 2李林佳111250200127开远开远市会计核算中心会计员02511否128992271 3全蕊111250200316开远开远市统计局地方统计调查队城镇居民收入调查02521否127812081 4谢锋111250200408开远开远市公路路政管理大队公路工程建设技术员02531否111.589.52011 5江文111250200509开远开远市国土资源局土地整理中心国土管理02541否128.5108236.51 6李孟直111250200530开远开远市审计局政府投资审计中心审计员02551否116982141
7王巧凤331250202527开远开远市植检植保站农作物病虫害预测预
报及防治
02561否127912181
8涂艳芳331250202628开远开远市农业技术推广中心蔬菜种植02571否121.583.52051
9赵晓珩331250202711开远开远市畜牧技术推广站畜牧技术推广02581否12294.5216.51
10蒋杭111250200607开远开远市林业局白土墙国营林场森林扑火员02591否115.579.51951
11马运福111250200620开远开远市水利水电勘测设计队工作人员02602否133.592.52261
12冯家豪111250200617开远开远市水利水电勘测设计队工作人员02602否12683.5209.52
13王力111250200703开远开远市灌区管理处工程技术管理02611否115571721
14罗航薇111250200707开远开远市灌区管理处工程管理02621否9978.5177.51
15王楠111250200717开远开远市广播电视台播音主持02631是115.571186.51需进行面试岗位16王震宇111250200720开远开远市广播电视台播音主持02631是90831732需进行面试岗位17李昱璇111250200721开远开远市广播电视台播音主持02631是10566.5171.53需进行面试岗位18马俊涛111250200927开远开远市广播电视台技术维护02641否134902241
19李德111250201006开远开远市安全生产技术中心危险化学品安全监管02651否13287.5219.51
20纳晓东111250201113开远开远市建设工程安全监督站土木工程02662否104.587.51921
21赵宇凡111250201127开远开远市建设工程安全监督站土木工程02662否11774.5191.52
22杨海杰111250201203开远开远市市政路灯管理处市政工程02671否91.555.51471
23王秋蒙111250201207开远开远市园林局建筑工程02681否128.577205.51
红河州2016年事业单位公开招聘工作人员进入资格复审人员名单(开远)。