信号与系统教程燕庆明答案
- 格式:docx
- 大小:18.49 KB
- 文档页数:18
《信号与系统》(第5版)习题解答燕庆明鲁纯熙高等教育出版社2014年8月目录第1章习题解析 (2)第2章习题解析 (6)第3章习题解析 (16)第4章习题解析 (24)第5章习题解析 (32)第6章习题解析............................................................................ 错误!未定义书签。
第7章习题解析 (50)第1章习题解析1-1 题1-1图示信号中,哪些是连续信号?哪些是离散信号?哪些是周期信号?哪些是非周期信号?哪些是有始信号?(c) (d)题1-1图解 (a)、(c)、(d)为连续信号;(b)为离散信号;(d)为周期信号;其余为非周期信号;(a)、(b)、(c)为有始(因果)信号。
1-2 给定题1-2图示信号f ( t ),试画出下列信号的波形。
[提示:f ( 2t )表示将f ( t )波形压缩,f (2t )表示将f ( t )波形展宽。
] (a) 2 f ( t - 2 )(b) f ( 2t )(c) f ( 2t ) (d) f ( -t +1 )题1-2图解 以上各函数的波形如图p1-2所示。
图p1-21-3 如图1-3图示,R 、L 、C 元件可以看成以电流为输入,电压为响应的简单线性系统S R 、S L 、S C ,试写出各系统响应电压与激励电流函数关系的表达式。
题1-3图解 各系统响应与输入的关系可分别表示为)()(t i R t u R R ⋅= t t i L t u L L d )(d )(= ⎰∞-=t C C i Ct u ττd )(1)(1-4 如题1-4图示系统由加法器、积分器和放大量为-a 的放大器三个子系统组成,系统属于何种联接形式?试写出该系统的微分方程。
S R S L S C题1-4图解 系统为反馈联接形式。
设加法器的输出为x ( t ),由于)()()()(t y a t f t x -+=且)()(,d )()(t y t x t t x t y '==⎰故有 )()()(t ay t f t y -='即)()()(t f t ay t y =+'1-5 已知某系统的输入f ( t )与输出y ( t )的关系为y ( t ) = | f ( t )|,试判定该系统是否为线性时不变系统?解 设T 为系统的运算子,则可以表示为)()]([)(t f t f T t y ==不失一般性,设f ( t ) = f 1( t ) + f 2( t ),则)()()]([111t y t f t f T ==)()()]([222t y t f t f T ==故有)()()()]([21t y t f t f t f T =+=显然)()()()(2121t f t f t f t f +≠+即不满足可加性,故为非线性时不变系统。
2020年北京电子科技学院835电路、信号与系统考研精品资料说明:本套考研资料由本机构多位高分研究生潜心整理编写,2020年考研初试首选资料。
一、重点名校考研真题汇编1.重点名校考研真题汇编①重点名校:电路2010-2018年考研真题汇编(暂无答案)②重点名校:信号与系统2016-2018年考研真题汇编(暂无答案)说明:不同院校真题相似性极高,甚至部分考题完全相同,建议考生备考过程中认真研究其他院校的考研真题。
二、2020年北京电子科技学院835电路、信号与系统考研资料2.李瀚荪《电路分析基础》考研相关资料(1)李瀚荪《电路分析基础》[笔记+课件+提纲]①北京电子科技学院835电路、信号与系统之李瀚荪《电路分析基础》考研复习笔记。
说明:本书重点复习笔记,条理清晰,重难点突出,提高复习效率,基础强化阶段首选资料。
②北京电子科技学院835电路、信号与系统之李瀚荪《电路分析基础》本科生课件。
说明:参考书配套授课PPT课件,条理清晰,内容详尽,版权归属制作教师,本项免费赠送。
③北京电子科技学院835电路、信号与系统之李瀚荪《电路分析基础》复习提纲。
说明:该科目复习重难点提纲,提炼出重难点,有的放矢,提高复习针对性。
(2)李瀚荪《电路分析基础》考研核心题库(含答案)①北京电子科技学院835电路、信号与系统考研核心题库之李瀚荪《电路分析基础》计算题精编。
说明:本题库涵盖了该考研科目常考题型及重点题型,根据历年考研大纲要求,结合考研真题进行的分类汇编并给出了详细答案,针对性强,是考研复习首选资料。
(3)李瀚荪《电路分析基础》考研模拟题[仿真+强化+冲刺]①2020年北京电子科技学院835电路、信号与系统之电路分析基础考研专业课六套仿真模拟题。
说明:严格按照本科目最新专业课真题题型和难度出题,共六套全仿真模拟试题含答案解析。
②2020年北京电子科技学院835电路、信号与系统之电路分析基础考研强化六套模拟题及详细答案解析。
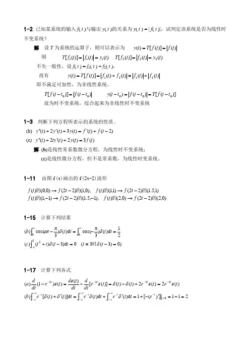
1-2 已知某系统的输入f ( t )与输出y ( t )的关系为y ( t ) = | f ( t )|,试判定该系统是否为线性时不变系统?解 设T 为系统的运算子,则可以表示为 )()]([)(t f t f T t y == 则 )()()]([111t y t f t f T == )()()]([222t y t f t f T == 不失一般性,设f ( t ) = f 1( t ) + f 2( t ),故有 )()()]([)(21t f t f t f T t y +==)()(21t f t f +≠ 即不满足可加性,为非线性系统。
)]([)()()()]([00000t t f T t t f t t y t t f t t f T -=-=--=-故为时不变系统,综合起来为非线性时不变系统1-3 判断下列方程所表示的系统的性质。
(b) )2()()(3)(2)(-+'=+'+''t f t f t y t y t y (c) )(3)(2)(2)(t f t y t y t t y =+'+''解 (b )是线性常系数微分方程,为线性时不变系统; (c)是线性微分方程,但不是常系数,为线性时变系统。
1-11 由图f(t)画出的f(2t-2)波形)0,2()22()0,2()(),1,5.1()22()1,1()()1,5.1()22()1,1()(),0,1()22()0,0()(的的的的的的的的-→--→--→-→t f t f t f t f t f t f t f t f1-15 计算下列结果)0)3(3(0d )3()()(21d )()3πcos(d )()3πcos()(21200=-≠=-+=-=-⎰⎰⎰-∞∞--t t t t t t c t t t t t b δδδδω时1-17 计算下列各式211])([1d )(d )(d )]()([)()(2)(2)()()]([)()()1()(02222=+='-+='+='+=+-=-=-=-∞+∞--∞+∞--∞+∞------⎰⎰⎰t t t t t t t tt e t t e t t e t t t e b t e t e t t t e dtd dt t d te dt d a δδδδεεδδεεε2-3 设有二阶系统方程 0)(4)(4)(=+'+''t y t y t y 在某起始状态下的0+起始值为2)0(,1)0(='=++y y ,试求零输入响应。
信号与系统第二版课后答案燕庆明信号与系统》(第二版)课后习题解析燕庆明主编高等教育出版社xaqZ 目录第 1 章习题解析 (2)第 2 章习题解析 (5)第 3 章习题解析 (15)第 4 章习题解析 (22)第 5 章习题解析 (30)第 6 章习题解析 (40)第7 章习题解析 (48)第8 章习题解析54第1章习题解析1-1 题1-1图示信号中,哪些是连续信号?哪些是离散信号?哪些是周期信号?哪些是非周期信号?哪些是有始信号?(C)题1-1图解(a)、(c)、(d)为连续信号;(b)为离散信号;(d)为周期信号;其余为非周期信号;(a)、(b)、(c)为有始(因果)信号。
1- 2 给定题1-2图示信号f( t ),试画出下列信号的波形。
[提示:f( 2t )表示将f( t )波形压缩,f?表示将f( t)波形展宽。
](a) 2 f( t 2 )(b)f( 2t ) 炸1(c)(d) f( t +1 ) 0r7I题1-2图解以上各函数的波形如图p1-2所示图p1-21-3如图1-3图示,R 、L 、C 元件可以看成以电流为输入,电压为响应的简单线性系统S R 、S L 、S c ,试写出各系统响应电压与激励电流函数关系的表达式S RS LS c题1-3图解各系统响应与输入的关系可分别表示为U R (t ) R i R (t ); U L (t ) L d ^ ; U c (t ) 1 t i c ()ddt C1-4 如题1-4图示系统由加法器、积分器和放大量为a 的放大器三个子系统组成,系统属于何种联接形式?试写出该系统的微分方程。
且 y(t) x(t)dt, x(t) y(t)y (t) f (t) ay(t) y (t) ay(t) f(t) /(-r+D故有即(b)2几-2)何题1-4图系统为反馈联接形式(a)y(t)1- 5已知某系统的输入f( t )与输出y( t )的关系为y( t ) = | f( t )|,试判定该系统是否为线性时不变系统?解设T为系统的运算子,则可以表示为:y(t) T[f(t)] f(t)不失一般性,设f( t ) = f i( t ) + f2( t ),则T[f i(t)] | f i (t) y i(t) ;T[f2(t)] |f2(t) y2(t)故有T[f(t)] | f i (t) f2(t) y(t)显然f i(t) f2(t) f i(t) f2 (t)即不满足可加性,故为非线性时不变系统。
信号与系统燕庆明第三版课后答案【篇一:信号与系统课后习题】t)?tf(t?td),tf(t?t0)?yf(t?t0)?,yf(t?t0)?(t?t0)f(t?t0)。
(3)令g(t)?f(t?t0),t[g(t)]?g(?t)?f(?t?t0),tf(t?t0)? yf(t?t0),yf(t?t0)?f(?t?t0)1.2.已知某系统输入f(t)与输出y(t)的关系为y(t)?f(t)判断该系统是否为线性时不变系统?解:设t为系统运算子,则y(t)可以表示为y(t)?t[f(t)]?f(t),不失一般性,设f(t)?f1(t)?f2(t)t[f1(t)]?f1(t)?y1(t),t[f(t)]?f1(t)?f2(t)?y(t),显然其不相等,即为非线性时不变系统。
df(t)t??f(x)dx(2):[y(t)]2?y(t)?f(t) 1.3判断下列方程所表示系统的性(1):y(t)?0dt(3):y(t)?2y(t)?3y(t)?f(t)?f(t?2)(4):y(t)?2ty(t)?2y(t)?3f(t) 线性非线性时不变线性时不变线性时变1.4。
试证明方程y(t)+ay(t)=f(t)所描述的系统为线性系统。
证明:不失一般性,设输入有两个分量,且f1(t)→y1(t),f2(t)→y2(t) 则有y1(t)+ay1(t)=f1(t),y2(t)+ay2(t)=f2(t) 相加得y1+ay1(t)+y2(t)+ay2(t)=f1(t)+f2(t) 即d[y1(t)+y2(t)]+a[y1(t)+y2(t)] dtt)+y2(t)即满足可加性,齐次性是显然的。
故系统为线性的。
1.5。
证明1.4满足时不变性。
证明将方程中的t换为t-t0,t0为常数。
即y(t-t0)+ay(t-t0)=f(t-t0) 由链导发则,有dy(t?t0)? dtd(t?t0)dy(t?t0)d(t?t0)dy(t?t0)dy(t?t0)?1从而又因t0为常数,故所以有 ??dtd(t?t0)dtdtd(t?t0)dy(t?t0)?ay(t?t0)?f(t?t0)即满足时不变性f(t-t0)→y(t-t0) dty(t)?y(t?t0)f(t)?f(t??t)?所以?t?tlimf(t)?f(t??t)limy(t)?f(t?t0)既有 f(t)?y(t) ??t?0?t?0?t?t1.7 若有线性时不变系统的方程为y(t)+ay(t)=f(t)在非零f(t)作用下其响应y(t)=1-e-t,试求方程y(t)+ay(t)=2f(t)+f(t)的响应。
《信号与系统教程》教学指导书--燕庆明教育科学“十五”国家规划课题研究成果《信号与系统教程》教学指导书燕庆明高等教育出版社书书书内容提要本书是与燕庆明主编《信号与系统教程》相配套的教学指导书。
书中明确了主教材各章的教学目标和教学重点,并对重点给予指导。
内容精炼,例题丰富。
书中除了对全书的习题进行解析外,还编写了!套模拟试题,为学生自学检测提供帮助。
本书适合于高等学校电子信息类专业的教师和学生作为“信号与系统”课程的教学参考书和学习指导书。
" 图书在版编目(!"#)数据"《信号与系统教程》教学指导书#燕庆明$ ?北京:高等教育出版社, %&&’ %" *+,-/&0 /&’&1 /." 信?" 燕?" 信号系统 /高等学校 /! " #教学参考资料" 2-3$4$" 中国版本图书馆 5*6数据核字(%&&’)第&331’号出版发行" 高等教育出版社" " " " " " " " 购书热线" && /40&101!!社" " 址" 北京市西城区德外大街0号免费咨询" !&& /!& /&13!邮政编码" &&& 网" " 址" 7889:# #::: 7;9 ; ?总" " 机" && /!%&%!!33 " " " " " 7889:# #::: 7;9 @A ?经" " 销" 新华书店北京发行所印" " 刷"开" " 本" .!. B34&" #4 版" " 次" " " 年" 月第版印" " 张" 3$1 印" " 次" " " 年" 月第次印刷字" " 数" .& &&& 定" " 价" % 1&元本书如有缺页、倒页、脱页等质量问题,请到所购图书销售部门联系调换。
信号与系统教程燕庆明答案【篇一:信号与系统课后习题】t)?tf(t?td),tf(t?t0)?yf(t?t0)?,yf(t?t0)?(t?t0)f(t?t0)。
(3)令g(t)?f(t?t0),t[g(t)]?g(?t)?f(?t?t0),tf(t?t0)? yf(t?t0),yf(t?t0)?f(?t?t0)1.2.已知某系统输入f(t)与输出y(t)的关系为y(t)?f(t)判断该系统是否为线性时不变系统?解:设t为系统运算子,则y(t)可以表示为y(t)?t[f(t)]?f(t),不失一般性,设f(t)?f1(t)?f2(t)t[f1(t)]?f1(t)?y1(t),t[f(t)]?f1(t)?f2(t)?y(t),显然其不相等,即为非线性时不变系统。
df(t)tf(x)dx(2):[y(t)]2?y(t)?f(t) 1.3判断下列方程所表示系统的性(1):y(t)?0dt(3):y(t)?2y(t)?3y(t)?f(t)?f(t?2)(4):y(t)?2ty(t)?2y(t)?3f(t) 线性非线性时不变线性时不变线性时变1.4。
试证明方程y(t)+ay(t)=f(t)所描述的系统为线性系统。
证明:不失一般性,设输入有两个分量,且f1(t)→y1(t),f2(t)→y2(t) 则有y1(t)+ay1(t)=f1(t),y2(t)+ay2(t)=f2(t) 相加得y1+ay1(t)+y2(t)+ay2(t)=f1(t)+f2(t) 即d[y1(t)+y2(t)]+a[y1(t)+y2(t)] dt=f1(t)+f2(t)可见f1(t)+f2(t)→y1(t)+y2(t)即满足可加性,齐次性是显然的。
故系统为线性的。
1.5。
证明1.4满足时不变性。
证明将方程中的t换为t-t0,t0为常数。
即y(t-t0)+ay(t-t0)=f(t-t0) 由链导发则,有dy(t?t0)dtd(t?t0)dy(t?t0)d(t?t0)dy(t?t0)dy(t?t0)1从而又因t0为常数,故所以有 ??dtd(t?t0)dtdtd(t?t0)dy(t?t0)ay(tt0)f(tt0)即满足时不变性f(t-t0)→y(t-t0) dty(t)?y(t?t0)f(t)?f(t??t)?所以ttlimf(t)?f(t??t)limy(t)?f(t?t0)既有 f(t)?y(t) ?t0t0tt1.7 若有线性时不变系统的方程为y(t)+ay(t)=f(t)在非零f(t)作用下其响应y(t)=1-e-t,试求方程y(t)+ay(t)=2f(t)+f(t)的响应。
解:因为f(t)→y(t)=1-e-t,又线性关系,则2f(t)→2y(t)=2(1-e-t) 又线性系统的微分特性,有f(t)→y(t)=e-t 故响应2f(t)+f(t)→y(t)=2(1-e-t)+e-t=2-e-t计算:2.1设有如下函数f( t ),试分别画出它们的波形。
(a) f( t ) =2?( t ?1 ) ? 2?( t ?2 ) (b) f( t ) = sin?t[?( t ) ? ?( t ?6 )]2-2 试用阶跃函数的组合表示题2-4图所示信号。
解(a) f( t )= ?( t ) ? 2?( t ?1 ) + ?( t ?2 )(b) f( t ) = ?( t ) + 2?( t ?t ) +3?( t ?2t )2-5 设有题2-6图示信号f( t ),对(a)写出f? ( t )的表达式,对(b)写出f? ( t )的表达式,并分别画出它们的波形。
解 (a)1,20?t?2f? ( t ) = ?( t ? 2 ), t = 2?2?( t ? 4 ), t = 4 (b) f? ( t ) = 2?( t ) ? 2?( t ? 1 ) ? 2?( t ? 3 ) + 2?( t ? 4 )2.6.化简下列信号:(a)f(t)?(t?3)?f(3)?(t?3);(b)?(t)?sint??(t)??(t)(c)2e?2t??t??2??t?;(d)costt?t?2-7 试计算下列结果。
(1) t?( t ? 1 ) (2) ?cos(?t?)?(t)dt (3)0?30?0?e?3t?(?t)dt (4)t?(t?1)dt (5)?t?( t ? 1 )dt (6)t22tt3dt(7) 2dtcos(?t?)?(t)dt?cos(?)?(t)dt?解 (1) t?( t ? 1 ) = ?( t ? 1 ) (2)? ?0?0?332??0?0?0?3t3t(3)?e?(?t)dt??e?(t)dt(t)dt?1 (4) ?t?(t?1)dt(t?1)dt?10?0?0?(5)t?( t ? 1 )dt=( t 1 )dt=1 (6)=0(7)=2t3-1如图2-1所示系统,试以uc( t )为输出列出其微分方程。
解由图示,有ucdu1tcc又il??(us?uc)dt故l0rdtu?1从而得 (us?uc)?c?cuclr111??(t)??(t)?ucucuc(t)?us(t)rclclcil?统方程y??(t)?4y?(t)?4y(t)?0在某起始状态下的0+起始值为y(0?)?1,y?(0?)?2试求零输入响应。
解由特征方程?2 + 4? + 4 =0得 ?1 = ?2 = ?2则零输入响应形式为yzi(t)?(a1?a2t)e由于yzi( 0+ ) = a1 = 1 ?2a1 + a2 = 2所以a2 = 4故有yzi(t)?(1?4t)e2t,t?03-4 如题2-7图一阶系统,对(a)求冲激响应i和ul,对(b)求冲激响应uc和ic,并画出它们的波形。
解由图(a)有didir1us(t)ri即?i?us(t)当us( t ) = ?( t ),则冲激响应 dtdtllrr1?ltdir?lth(t)?i(t)?e??(t)则电压冲激响应h(t)?ul(t)?l??(t)?e??(t)ldtll对于图(b)rc电路,有方程cducu11is?c即ucuc?is当is = ?( t )时,则dtrrccttduc1?rc1?rch(t)?uc(t)?e??(t)同时,电流ic?c??(t)?e??(t)dtrcc3-5 设有一阶系统方程y?(t)?3y(t)?f?(t)?f(t)试求其冲激响应h( t )和阶跃响应s( t )。
解因方程的特征根? = ?3,故有x1(t)?e?3t??(t)当h( t ) = ?( t )时,则冲激响应h(t)?x1(t)?[??(t)??(t)]??(t)?2e?3t??(t)阶跃响应t1s(t)??h(?)d??(1?2e?3t)?(t)033.6lti系统的冲激响应如图(a),若输入信号f(t)如图(b)所示三角波,求零状态响应?本题用图形扫描计算卷积即y(t)?h(t)?f(t)?0(t?0),??d?,(0?t?1),011t?22d(2)d,(2t3),d(2)d,(1t2),1112121212(2??)d?,(3?t?4),0,(t?4)?0,t,?1?2t?t,?1?2t?t,8?4t?t,0?t 222223.10算子法求下列系统的冲激响应h(t)。
(a)y??(t)?3y?(t)?2y(t)?5f?(t)?7f(t)(b)y?t??2y?t??y?t??2f?t??3f t解:(a)系统的算子方程(p2?3p?2)y(t)?(5p?7)f(t)从而h(p)?从而h(t)?(5p?723p2?3p?2p?1p?223?)?(t)?2e?t?3e?2t,t?0(b)(p2?2p?1)y(t)?(2p?3)f(t),p?1p?22p?31212h(p)?2??从而h(t)?【?】?(t)?te?t?2e?t,t?022p?2p?1(p?1)p?1(p?1)p?13-11 试求下列卷积。
(a) ?( t + 3 ) * ?( t ? 5 )(b) ?( t ) * 2(c)te?t??( t ) * ?? ( t ) 解 (a) 按定义?( t + 3 ) * ?( t ? 5 ) =( + 3 ) = 0;?(??3)?(t5)d?考虑到? ?3时,t 5时,?( t ?? ? 5 ) = 0,故?( t + 3 ) * ?( t ? 5 ) =t?53d??t?2,t?2(b) 由?( t )的特点,故?( t ) * 2 = 2 (c) te?t??( t ) * ?? ( t ) = [te?t?( t )]? = ( e?t ? te?t )?( t )3-12 对图示信号,求f1( t ) * f2( t )。
解 (a)先借用阶跃信号表示f1( t )和f2( t ),即f1( t ) = 2?( t ) ? 2?( t ? 1 ) f2( t ) = ?( t ) ? ?( t ? 2 )故f1( t ) * f2( t ) = [2?( t ) ? 2?( t ? 1 )] * [?( t ) ? ?( t ? 2 )] 因为t( t ) * ( t ) =1d?= t?( t )故有f1( t ) * f2( t ) = 2t?( t ) ? 2( t ? 1 )?( t ? 1 ) ?2( t ? 2 )?( t ? 2 ) + 2( t ? 3 )?( t ? 3 )(b)根据? ( t )的特点,则f1( t ) * f2( t ) = f1( t ) *[? ( t ) + ? ( t ? 2 ) + ? ( t + 2 )]= f1( t ) + f1( t ? 2 ) + f1( t + 2 )3-13 试求下列卷积。
(a) (1?e?2t)?(t)(t)??(t) (b) e3t(t)d?t[e?(t)]解(a)因为??(t)??(t)(t)??(t),故 dt(1?e?2t)?(t)(t)??(t)?(1?e?2t)?(t)??(t)?(1?e?2t)?(t)(b)因为e?t?(t)??(t),故e?3t?(t)?d?t[e?(t)]?e?3t?(t)(t)??(t)?3e?3t dt3-14 设有二阶系统方程y??(t)?3y?(t)?2y(t)?4??(t)试求零状态响应解因系统的特征方程为?2 + 3? + 2 =0解得特征根?1 = ?1, ?2 = ?2 故特征函数x2(t)?e1te2t(ete2t)(t)零状态响应y(t)?4??(t)?x2(t)?4??(t)?(e?t?e?2t)?(t)=(8e?2t?4e?t)?(t) 3-15 如图系统,已知h1(t)??(t?1),h2(t)??(t)试求系统的冲激响应h( t )。