对称平板波导
- 格式:docx
- 大小:637.43 KB
- 文档页数:18
课程设计任务书学生姓名:xxx 专业班级:电子0903指导教师:娄平工作单位:信息工程学院题目: 对称平板波导模式的计算初始条件:计算机、beamprop软件(或Fullwave软件)要求完成的主要任务:(包括课程设计工作量及其技术要求,以及说明书撰写等具体要求)1、课程设计工作量:2周2、技术要求:(1)学习beamprop软件(或Fullwave软件)。
(2)设计平板波导的模式计算(3)对对称堆成平板波导进行beamprop软件仿真工作。
3、查阅至少5篇参考文献。
按《武汉理工大学课程设计工作规范》要求撰写设计报告书。
全文用A4纸打印,图纸应符合绘图规范。
时间安排:2012.6.25做课设具体实施安排和课设报告格式要求说明。
2012.6.25-6.28学习beamprop软件(或Fullwave软件),查阅相关资料,复习所设计内容的基本理论知识。
2012.6.29-7.5对平板波导进行设计仿真工作,完成课设报告的撰写。
2012.7.6提交课程设计报告,进行答辩。
指导教师签名:年月日系主任(或责任教师)签名:年月日目录摘要 (3)Abstract (4)1 绪论 (5)2平板波导.............................................................................. 错误!未定义书签。
2.1平板波导简介................................................................. 错误!未定义书签。
3 Beamprop介绍 (8)4仿真 (9)4.1 BeamProp参数设置步骤 (9)4.2光谱仿真......................................................................... 错误!未定义书签。
4心得体会................................................................................... 错误!未定义书签。
论述脊型光波导的分析方法及其模场分布的计算摘要:本文主要介绍了如何通过有效折射率法计算脊型光波导的模场分布以及如何通过有限元法来数值求解脊波导的模场分布其次我们介绍了脊波导的工作特性和制作方法,最后我们列举了脊波导在激光器,调制器等信息光电子器件中的应用。
关键词:脊波导有效折射率模场分布有限元法1引言:脊波导与相同尺寸的矩形波导比较主要优点是:主模H10波的截止波长较长,对于相同的工作波长,波导尺寸可以缩小;H10模和其它高次模截止波长相隔较远,因此单模工作频带较宽,可以达到数个倍频程;等效阻抗较低,因此易与低阻抗的同轴线及微带线匹配。
但脊波导承受功率比同尺寸的矩形波导低。
脊形波导在集成光学中有广泛的应用,它是薄膜激光器、藕合器、调制器、开关等许多光电器件的基础。
由于脊形波导边界复杂,精确地分析其光学特性十分困难,若考虑介质的吸收作用,则难度就更大。
其次要能够设计出性能优良的光波导,那么必须首先能够在理论上对光波导进行计算。
对于脊型光波导而言由于其结构复杂没有严格的解析解,应采用数值方法或近似法进行分析。
光波导分析方法常用的有:转移矩阵法、模耦合理论、有效折射率法、有限元法、时域有限差分法和束传播法等。
在本文中采用的计算方法是有效折射率法对脊型光波导进行分析计算,还介绍了一种利用有限元差分算法对脊波导的模式进行数值计算。
最后介绍了脊型光波导在信息光电子学中的应用。
2脊型光波导的理论模型分析2.1脊波导的有效折射率法脊波导的横截面如图一所示,图中,分别为芯区,下包层和上包层的折射率,a为脊宽,h为脊高,b为脊下的芯厚度,则b-h为脊两边的芯厚度,此时光功率主要限制在脊下波导的芯中传播。
有效折射率法是把这种波导等效为x方向厚度为a的对称三层平板波导,如图二所示。
在脊波导中主要存在两种形式的模,模和模,前者以为主,同时为0,后者以为主,同时为0。
我们以导模为例来说明这一等效平板波导的折射率分布是如何确定的。
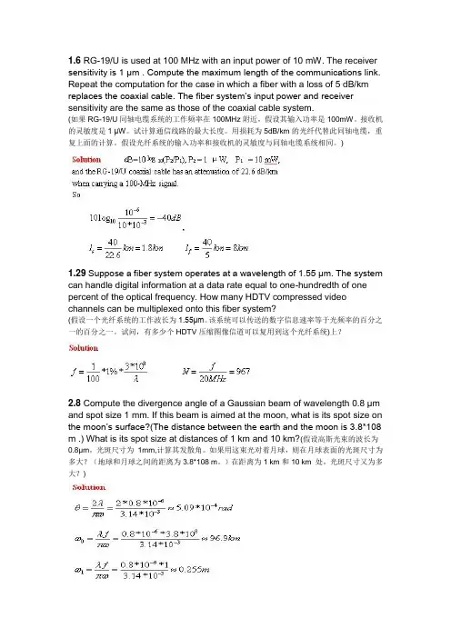
1.6 RG-19/U is used at 100 MHz with an input power of 10 mW. The receiver sensitivity is 1 μm . Compute the maximum length of the communications link. Repeat the computation for the case in which a fiber with a loss of 5 dB/km replaces the coaxial cable. The fiber system’s input power and receiver sensitivity are the same as those of the coaxial cable system.(如果RG-19/U同轴电缆系统的工作频率在100MHz附近,假设其输入功率是100mW。
接收机的灵敏度是1 μW。
试计算通信线路的最大长度。
用损耗为5dB/km的光纤代替此同轴电缆,重复上面的计算。
假设光纤系统的输入功率和接收机的灵敏度与同轴电缆系统相同。
)1.29Suppose a fiber system operates at a wavelength of 1.55 μm. The system can handle digital information at a data rate equal to one-hundredth of one percent of the optical frequency. How many HDTV compressed video channels can be multiplexed onto this fiber system?(假设一个光纤系统的工作波长为1.55μm。
该系统可以传送的数字信息速率等于光频率的百分之一的百分之一。
试问,有多少个HDTV压缩图像信道可以复用到这个光纤系统)上?2.8 Compute the divergence angle of a Gaussian beam of wavelength 0.8 µm and spot size 1 mm. If this beam is aimed at the moon, what is its spot size on the moon’s surface?(The distance between the earth and the moon is3.8*108 m .) What is its spot size at distances of 1 km and 10 km?(假设高斯光束的波长为0.8µm,光斑尺寸为1mm,计算其发散角。
课程设计任务书学生姓名:许文军专业班级:电子0901班指导教师:葛华工作单位:信息工程学院题目:初始条件:计算机、beamprop软件要求完成的主要任务:1、课程设计工作量:2周2、技术要求:(1)学习beamprop软件。
(2)设计对称平板波导的模式计算。
(3)对对称平板波导的模式计算进行beamprop软件仿真工作。
3、查阅至少5篇参考文献。
按《武汉理工大学课程设计工作规范》要求撰写设计报告书。
全文用A4纸打印,图纸应符合绘图规范。
时间安排:2012.6.25做课设具体实施安排和课设报告格式要求说明。
2012.6.25-6.28学习beamprop软件,查阅相关资料,复习所设计内容的基本理论知识。
2012.6.29-7.5对对称平板波导的模式计算进行设计仿真工作,完成课设报告的撰写。
2012.7.6 提交课程设计报告,进行答辩。
指导教师签名:年月日系主任(或责任教师)签名:年月日目录摘要 (I)Abstract (II)1 绪论 (1)2原理分析 (2)2.1 均匀介质薄膜波导 (2)2.2 平面光波导 (3)2.3 平板波导的波动理论 (5)3 BeamPROP软件 (7)3.1软件简介 (7)3.2 对称平面波导的BeamPROP仿真设置 (7)4 平面波导仿真图 (13)4.1 波导结构观察 (13)4.2 波导传输仿真 (13)4.3 不同模式仿真图 (14)5 总结 (17)参考文献 (18)摘要平面光波导,英文缩写PLC是英文Planar Lightwave Circuit的缩写,翻译成中文为:平面光波导(技术)。
所谓平面光波导,也就是说光波导位于一个平面内。
正如大家所熟悉的单层电路板,所有电路都位于基板的一个平面内一样。
本文从理论上推导了对称平板波导的模式计算,利用BeamPROP软件仿真,探究了对称平板波导的模式分类及各自特点,得到了其仿真特性和一些仿真图,验证了相关理论,并且加深了对对称平板波导的模式的理解。
论述脊型光波导的分析方法及其模场分布的计算摘要:本文主要介绍了如何通过有效折射率法计算脊型光波导的模场分布以及如何通过有限元法来数值求解脊波导的模场分布其次我们介绍了脊波导的工作特性和制作方法,最后我们列举了脊波导在激光器,调制器等信息光电子器件中的应用。
关键词:脊波导有效折射率模场分布有限元法1引言:脊波导与相同尺寸的矩形波导比较主要优点是:主模H10波的截止波长较长,对于相同的工作波长,波导尺寸可以缩小;H10模和其它高次模截止波长相隔较远,因此单模工作频带较宽,可以达到数个倍频程;等效阻抗较低,因此易与低阻抗的同轴线及微带线匹配。
但脊波导承受功率比同尺寸的矩形波导低。
脊形波导在集成光学中有广泛的应用,它是薄膜激光器、藕合器、调制器、开关等许多光电器件的基础。
由于脊形波导边界复杂,精确地分析其光学特性十分困难,若考虑介质的吸收作用,则难度就更大。
其次要能够设计出性能优良的光波导,那么必须首先能够在理论上对光波导进行计算。
对于脊型光波导而言由于其结构复杂没有严格的解析解,应采用数值方法或近似法进行分析。
光波导分析方法常用的有:转移矩阵法、模耦合理论、有效折射率法、有限元法、时域有限差分法和束传播法等。
在本文中采用的计算方法是有效折射率法对脊型光波导进行分析计算,还介绍了一种利用有限元差分算法对脊波导的模式进行数值计算。
最后介绍了脊型光波导在信息光电子学中的应用。
2脊型光波导的理论模型分析2.1脊波导的有效折射率法脊波导的横截面如图一所示,图中,n1,n2,n3分别为芯区,下包层和上包层的折射率,a为脊宽,h为脊高,b为脊下的芯厚度,则b-h为脊两边的芯厚度,此时光功率主要限制在脊下波导的芯中传播。
有效折射率法是把这种波导等效为x方向厚度为a的对称三层平板波导,如图二所示。
在脊波导中主要存在两种形式的模,y模,前者以E x和H y为主,同时H x为0,后者以E y和H x为主,同时H y为模和E mn0。
一维对称平面波导导模色散-回复一维对称平面波导是一种常见的波导结构,它是由一个中心导体、一个外部导体和一个中间绝缘层组成的。
在这种波导中,电磁波可以沿着导体表面传输。
而导模色散是描述电磁波在波导中传播时频率与波矢之间的关系。
一维对称平面波导结构首先需要具备两个导体层。
中心导体是一块平行于波导轴的金属板,它提供了电流的路径。
而外部导体则是嵌入在绝缘层中的另一层金属,它能够包裹住中心导体并提供边界条件。
绝缘层则用于隔离两个导体层,防止电流直接通过中心导体和外部导体之间的空气间隙流过。
在一维对称平面波导中,电磁波可以在这两个导体之间的空间传播。
这些波称为导模,因为它们在模式上是被限制在波导中的。
导模色散是指在波导中传播的导模频率与波矢之间的关系。
波矢是一个矢量,它描述了电磁波的传播方向和传播速度。
为了了解一维对称平面波导导模色散的特性,我们需要解决麦克斯韦方程组。
麦克斯韦方程组是描述电磁场行为的方程组,它们包括高斯定律、法拉第电磁感应定律、安培环路定律和法拉第恒定电流定律。
通过求解这些方程,可以得到电场和磁场的分布形式,并进一步推导得到导模色散的方程。
在具体求解过程中,常使用分段函数法或波导内外场的分量表示法。
分段函数法适用于较简单的波导结构,通过将波导分为不同区域,设定适当的边界条件,并利用分段函数的性质求解麦克斯韦方程组。
而波导内外场的分量表示法适用于更复杂的波导结构,通过将电场和磁场分解为波导内部和外部的分量,并利用它们的边界条件求解麦克斯韦方程组。
在得到导模色散的方程后,我们可以通过数值方法或近似解法求解。
数值方法包括有限差分法和有限元法等,它们可以通过离散化空间和时间来求解微分方程。
近似解法则是通过简化导模色散方程,得到近似解析解。
这些方法都可以得到导模频率与波矢之间的关系,从而揭示导模色散的特性。
导模色散的特性对于波导的应用具有重要的意义。
根据导模色散关系,我们可以确定电磁波在波导中的传播速度和特定频率下的模式分布。
课程设计任务书学生姓名:xxx 专业班级:电子0903指导教师:娄平工作单位:信息工程学院题目: 对称平板波导模式的计算初始条件:计算机、beamprop软件(或Fullwave软件)要求完成的主要任务:(包括课程设计工作量及其技术要求,以及说明书撰写等具体要求)1、课程设计工作量:2周2、技术要求:(1)学习beamprop软件(或Fullwave软件)。
(2)设计平板波导的模式计算(3)对对称堆成平板波导进行beamprop软件仿真工作。
3、查阅至少5篇参考文献。
按《武汉理工大学课程设计工作规范》要求撰写设计报告书。
全文用A4纸打印,图纸应符合绘图规范。
时间安排:2012.6.25做课设具体实施安排和课设报告格式要求说明。
2012.6.25-6.28学习beamprop软件(或Fullwave软件),查阅相关资料,复习所设计内容的基本理论知识。
2012.6.29-7.5对平板波导进行设计仿真工作,完成课设报告的撰写。
2012.7.6提交课程设计报告,进行答辩。
指导教师签名:年月日系主任(或责任教师)签名:年月日目录摘要 (3)Abstract (4)1 绪论 (5)2平板波导.............................................................................. 错误!未定义书签。
2.1平板波导简介................................................................. 错误!未定义书签。
3 Beamprop介绍 (8)4仿真 (9)4.1 BeamProp参数设置步骤 (9)4.2光谱仿真......................................................................... 错误!未定义书签。
4心得体会................................................................................... 错误!未定义书签。
参考文献. (17)摘要光纤是一种很常见的介质光波导,其截面为圆形,但在集成光学中,人们更感兴趣的是在芯片上集成平面光波导。
分析平板波导有两种基本理论:1.几何光学理论,2.电磁场理论。
平板波导由三层介质组成,中间层介质折射率最大,称为导波层。
上下两层折射率较低,分别称为覆盖层和衬底层。
当衬底层和覆盖层材料折射率相等时,称其为对称平板波导。
覆盖层折射率n2 导波层折射率n1 衬底层折射率n0 导波层厚度为H,光线在上下界面上均发生全反射,假设y方向均匀,则光线的波矢在x z方向上有相应的分量(平板波导可不考虑y方向)。
本文介绍的是通过Beamprop软件进行平板波导光谱仿真,Beamprop是一款实用性非常强的光学应用软件,本文包含了Beamprop软件的介绍、平板波导的原理以及进行光谱分析及仿真。
关键词:对称平板波导;Beamprop;光谱仿真AbstractOptical fiber is one of the most common medium optical waveguide, the cross section is round, but in integrated optics, people are more interested in the chip integrated planar waveguide. Analysis planar wave-guide there are two basic theory: 1. The geometric optical theory, 2. Electromagnetic field theory. Planar wave-guide by three media composition, refractive index layer medium is the largest, called wave guide layer. The upper and lower levels refractive index is low, respectively called coating and substrate layer. When substrate layer and cover material refractive index equal, called the symmetric plate waveguide.Refractive index layer of n2 guided wave layer refractive index n1 substrate layer refractive index n0 guided wave layer thickness for HThe light in the interface of the up and down all happened total reflection, suppose y direction even, light is the wave in x z direction arrow on the corresponding component (planar wave-guide don't consider y direction). This paper introduce is through the Beamprop software planar wave-guide spectrum simulation, Beamprop is a practical very strong optical applications software, this article contains Beamprop software is introduced, the principle of planar wave-guide and spectral analysis and simulation.Keywords: symmetrical planar wave-guide; Beamprop; Spectrum simulation1绪论光束在介质中传输时,由于介质的吸收和散射而引起损耗,由于绕射而引起发散,这些情况都会导致光束中心部分的强度不断地衰减。
因此,有必要设计制作某种器件,它能够引导光束的传播,从而使光束的能量在横的方向上受到限制,并使损耗和噪声降到最小,这种器件通常称为光波导,简称波导。
结构最简单的波导是由三层均匀介质组成的,中间的介质层称为波导层或芯层,芯两侧的介质层称为包层。
芯层的介电常数比芯两侧包层的介电常数稍高,使得光束能够集中在芯层中传输,因而起到导波的作用。
这种波导的介电常数分布是陡变的,也称为阶梯变化的,常称这种波导为平板波导。
最简单的平板型光波导是由沉积在衬底上的一层均匀薄膜构成,因而又叫做薄膜波导。
对光波导特性的分析,应用两种理论,即射线光学理论和波动光学理论。
射线光学理论的优点是对平板波导的分析过程简单直观,对某些物理概念能给出直观的物理意义,容易理解。
缺点是对于结构复杂的多层波导射线光学理论不便于应用,或只能得出粗糙的结果。
一般而言,若想全面、正确地分析各种结构的光波导的模式特性,还必须采用波动理论。
2平板波导2.1平板波导简介光纤是一种很常见的介质光波导,其截面为圆形,但在集成光学中,人们更感兴趣的是在芯片上集成平面光波导图2.1 平板波导结构示意图(由覆盖层,导波层,衬底组成)图2.2 条形波导结构示意图平板波导由三层介质组成,中间层介质折射率最大,称为导波层。
上下两层折射率较低,分别称为覆盖层和衬底层。
当衬底层和覆盖层材料折射率相等时,称其为对称平板波导。
几何光学理论当满足全反射条件时,光线会在导波层上下介质界面处发生全反射,并沿Z轴传输。
覆盖层折射率n2 导波层折射率n1 衬底层折射率n0 导波层厚度为H光线在上下界面上均发生全反射,假设y方向均匀,则光线的波矢在x z方向上有相应的分量(平板波导可不考虑y方向)。
波矢量之间的关系当只考虑x 方向上光线传播时,可见光线总是在上下两表面反射现假设一光线入射到下界面,发生全反射,然后又与上表面发生全反射,再次回到下表面发生全反射。
此时,此光线会与原先从下表面出发的光波叠加在一起,发生干涉。
并且两束相干光波的位相差为: 如果相干相长,即满足谐振条件,则此入射角对应的光线(模式)可以被导波所接受 对于特征方程中的是上下界面处全反射所引起的相移,那么具体可根据菲涅尔公式求出。
TE 模表示电矢量的偏振方向垂直于入射面,磁矢量的偏振方向在入射面内TM 模表示电矢量的偏振方向在入射面内,磁矢量的偏振方向垂直于入射面以上相移公式是在n1 n2介质界面上推倒得到,如果是在n0 n1介质界面,只需将n2换成n0。
101222h 2φφκϕ--=∆πφφκm 222h 21012=--12φ10φ2112211222112211cos cos cos cos cos cos cos cos r θθθθθθθθn n n n r r n n n n r TM p TE s +-==+-==⎥⎥⎦⎤⎢⎢⎣⎡--⎪⎪⎭⎫ ⎝⎛=--=1221212212212221122121221221TE sin sin arctan )sin sin tan(arc θθφθθφn n n n n n n n n n TM3Beamprop介绍BeamPROP 是一个高度集成了计算机辅助设计和模拟仿真的专业软件,专用于设计集成光学波导元件和光路。
此软件由美国RSOFT公司出品,1994年投入市场,被学院及产业公司的开发设计人员广泛使用。
此软件使用先进的有限差分光束传播法 (finite-difference beam propagation method)来模拟分析光学器件。
用户界面友好,分析和设计光学器件轻松方便。
其主程序为一套完善的用于设计光波导元件和光路CAD设计系统,且可控制相关的模拟参数,如:数值参数、输入场以及各种显示、分析功能选项。
另一功能为模拟程序,它可以在主程序内或独立执行模拟分析工作,以图形方式显示域的特性以及用户感兴趣的各种数值特性。
4光谱仿真4.1 BeamProp参数设置步骤打开BeamProp软件所在文件夹,打开CAD Layout程序,开始这次的光谱仿真。
首先在菜单中选择“New Circuit”,然后修改其中的“Free Space Wavelength”、“Background Index”、“Index Difference”和“Waveguide Width”参数,参数设置如图3.1所示。