车辆管理流程图
- 格式:docx
- 大小:18.95 KB
- 文档页数:3
停车管理系统流程图
管理模式为:物业委托专业车辆管理公司管理
医院月租车位(50个)分配方式:
1、医院公车专用车位3个(两部急救车因超高停地面专用车位)
2、院办专用车位8个。
3、剩余车位由院办按照10人/每个车位的比例分配到各个科室
(科室人员不满10人的与其他科室共同合用分配比例,共用车
位)
4、车位按比例分配到科室后(停车位不够的科室或科室与科室之
间按分配比例合并分配的车位由科室或科室与科室之间自行协调停车位使用顺序),将所停车辆号码报到院办。
5、由院办和车库管理公司划分、确定地下停车场内本院职工停车
区域,并分配各科室停车位置及对应停车位的所停车辆号码。
6、由于地下车库为立体式机械停车场,对所停车辆的长、宽、高
有一定的限制,超长、超高、超宽的车辆将限制进入车库,停车时请听从停车管理人员的指挥。
7、本院职工内没有进入职工停车区域内停车的按北京市停车管理
规定6元/小时计算停车费用。
校园车辆管理系统业务流程图
车辆管理
车辆的车
rF.rrt 牌号类型
型号
发载荷加购
昭
八
品主当动重载油入片牌要
.、
八
刖机量人类日责状
号数型期任态
和驾
油驶
号人
统计部门
数据统计分析
车辆日常管理驾
驶员日常管理车
辆网上预约管理
车辆信息
驾驶员信息
年、季、月统计报表
管理部门
部门考核
出车情况记录加油情况记
录违章情况记录事故情况
记录维修保养情况记录年
检情况记录保险情况记录车辆租凭结算
用车部门车辆调度及预约回复。
车辆管理流程
(三)车辆管理
1、费用、里程控制
根据各项目部的任务和辖区,按以下公式计算:
每月油费(元)Y=(A+B+C+3)×当月天数×每公里耗油量(不同车可以定一个标准)×油的单价(根据市场变化)。
○1:A---驻地到公司送货地点的距离(往返)
○2:B---公司送货地点到另外一个公司送货地点处的距离(往返)
○3:C---另外一个公司送货地点到再一个送货公司的距离(往返)
○4:3为浮动公里数
○5:油价若上涨则按调整后价格执行
每月节余油费备用,超支油费自负,人力资源部不予补给,不在控制里程数,司机组根据油费情况灵活掌控。
因油料超支对工作造成的影响,人力资源部不予负责。
2、保养
除日常维护之外,按正常能耗计算,每5000公里保养一次,每次保养费200元。
每月行驶路程(公里)L=(A+B+C+3)×30,司机组根据其具体计算所需保养费,经人力资源部审核后确定应预付司机组的车辆保养费用。
若车辆爱惜良好,保养费有节余,则备用,年底按50%给予司机组奖励;超支自负。
3、维修
按一般情况算,每月预付司机组维修费用200元。
若车辆爱惜使用,维修费有结余,年底按50%奖励司机组。
若由于人为原因(如故意绕道行驶,乱冲乱撞,酒后驾驶等产生事故)导致过度浪费而增加维修费用,则除自付超额部分以外,另视情节惩罚司机组,超额≤1000元罚款500元以内,超额>1000元罚款500元以上。
4、本制度由公布之日起实施。
公司人力资源部
年月日。
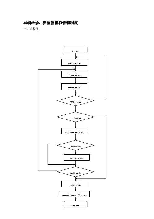
车辆维修、质检流程和管理制度一、流程图二、流程说明质量管理的基本原则是:“不接受缺陷、不制造缺陷、不传递缺陷”。
领用配件维修技师根据服务顾问签字确认了的维修施工单、报件单或索赔检查报告单到配件库领取配件。
维修技师领取配件时,认真检查配件的一致性和合格性。
维修技师有权拒绝接受存在质量问题的配件。
车辆维修维修技师根据服务顾问签字确认了的维修委托单、报件单和索赔检查报告单对车辆进行维修作业。
车辆维修过程中,维修技师应严格执行厂家工艺流程标准进行维修作业。
班组完工自检车辆维修完成后,维修技师应认真核对委托单据,检查是否有漏项,自行检查维修项目是否达到厂家工艺标准。
维修技师自行检查确认没有问题了,在维修委托单上签时间和工号确认。
同时,请求班组长对维修委托项目和车辆维修项目进行检查验收,验收合格后,班组长在维修委托单上签字确认。
班组工种交接确认班组车辆验收合格后,班组长确认车辆是否还需要其他工种维修。
如果车辆需要由其它工种班组继续进行维修的,班组长将车辆交给下一工种班组的班组长,并请求下一工种班组的负责维修技师在维修委托单上签时间和工号确认。
送交方班组长同时通知调度员车辆已经进入下一工种维修,调度员立即更新车辆维修进程状态表。
质量检验或路试车辆1)班组自检合格后,班组长将车辆停放到待检区,维修单据和车辆钥匙交给质检员。
并请求检验员在维修委托单上注明时间并签字确认。
班组长同时通知调度员车辆已经进入检验环节,调度员更新车辆维修进程表。
2)质检员根据质量工艺标准对车辆维修项目进行检验,检验时要求检查维修工艺流程对维修项目的所有注意事项进行详细的检查,必要时进行测试检查。
并对车辆检验结果进行记录。
3)需要路试车辆,质检员进行车辆路试检查。
车辆路试时,质检人员要遵守道路交通规则,并按照指定的路试路线对车辆进行路试检查。
确认维修项目是否合格1)质检检验合格后,质检员在维修委托单上签字确认。
质检员将车辆停放到待洗区,维修单据和车辆钥匙交给洗车组长安排车辆清洁,并通知调度员车辆已经进入洗车环节,调度员更新车辆维修进程表。
车辆档案管理流程图
车辆档案管理流程相关部门及岗位车辆档案管理要求
各部门办公室
车辆档案收集及时向办公室移交车指派车辆档案管理员对档案每周周五完成
辆相关档案及文件进行收集工作车辆档案统一收集
办公室
车辆档案整理指派档案管理专员对收集到的对各车辆档案进行分类
各类车辆档案进行分类、排列、组卷、编目对不全的车辆档案做好记录
并重新进行收集工作
办公室
将以收集整理好的办公室主任对主任审阅后,车辆档案员保证归档档案的车辆档案存档完整的车辆档案交收集档案进行审阅对车辆档案进行归档保存种数、份数、页数均齐全完整
办公室主任
车辆档案的销毁车辆档案的外借利用各部门办公室
向办公室提出办公室主任对申请部门外借档案时间
档案外借申请进行审批进行档案外借不得超过1天
且档案不得转借
办公室
办公室车辆档案员办公室主任办公室工作人员对销毁目录和主任
提出车辆档案销毁申请进行审批对档案进行销毁签字进行归档保存。
车辆管理制度及流程公务车辆管理制度为加强车辆使用和管理,提高车辆使用效率,确保业务工作正常运转,节省车辆使用开支,结合我办(公司)实际,特制定以下制度:一、车辆调派使用、用油管理、维修管理、车辆管护,统一由秘书科(综合协调部)具体负责实施。
二、调派车辆的原则是先急后缓,先重要后一般,确保工作顺利开展和行车安全。
三、关于车辆使用管理(一)每天上班时间,本办(公司)的车辆统一集中在单位门前停车场,由秘书科(综合协调部)根据用车计划进行调派并做好用车登记工作。
(二)因工作需要用车的,必须做好用车登记手续,由秘书科(综合协调部)调派车辆;离开市辖区用车的由单位领导审批,未经批准调派的车辆不得擅自出车。
(三)单位车辆原则上不外借,特殊情况需外借时,必须经单位领导批准;外借期间,车辆的用油和司机的补助,由借车方承担。
(四)车辆调派使用时,原则上由专职司机驾驶,专职司机不够安排时,可安排具有合法驾照的人员驾驶,其他人擅自驾车发生事故的,一切责任由其承担。
专职司机和有合法驾照人员因违反交通规则由其承担责任发生事故的,视情节轻重给予行政处分和经济赔偿。
(五)司机行车必须严格遵守交通规则,确保行车安全。
如发生意外事故,司机要积极采取措施,协助处理,并及时向单位领导和秘书科(综合协调部)报告。
四、关于车辆用油管理(一)市内行车加油,原则上持卡到加油站加油,特殊情况经单位领导同意才可现金加油。
市外行车需加油时,须凭盖有税务、加油站单位印章的正式发票报销。
(二)润滑油更换按规定里程报秘书科(综合协调部)核准后进行更换,登记工作由秘书科(综合协调部)负责。
五、关于车辆维修管理(一)车辆需维修、更换零配件的,先由司机提出申请,小故障由司机检查确诊,大的故障由二名以上司机会诊,能自己处理的故障尽量自己处理,不能处理的,填写《车辆维修申请表》,按程序经领导审批后,到定点的维修站(厂)进行处理维修。
(二)在市辖区外车辆发生故障需要维修的,要及时向秘书科(综合协调部)报告,根据实际情况就地维修,但事后必须补填《车辆维修申请表》,按程序呈报审批。
车辆管理流程
(三)车辆管理
1、费用、里程控制
根据各项目部的任务和辖区,按以下公式计算:
每月油费(元)Y=(A+B+C+3)×当月天数×每公里耗油量(不同车可以定一个标准)×油的单价(根据市场变化)。
○1:A---驻地到公司送货地点的距离(往返)
○2:B---公司送货地点到另外一个公司送货地点处的距离(往返)
○3:C---另外一个公司送货地点到再一个送货公司的距离(往返)
○4:3为浮动公里数
○5:油价若上涨则按调整后价格执行
每月节余油费备用,超支油费自负,人力资源部不予补给,不在控制里程数,司机组根据油费情况灵活掌控。
因油料超支对工作造成的影响,人力资源部不予负责。
2、保养
除日常维护之外,按正常能耗计算,每5000公里保养一次,每次保养费200元。
每月行驶路程(公里)L=(A+B+C+3)×30,司机组根据其具体计算所需保养费,经人力资源部审核后确定应预付司机组的车辆保养费用。
若车辆爱惜良好,保养费有节余,则备用,年底按50%给予司机组奖励;超支自负。
3、维修
按一般情况算,每月预付司机组维修费用200元。
若车辆爱惜使用,维修费有结余,年底按50%奖励司机组。
若由于人为原因(如故意绕道行驶,乱冲乱撞,酒后驾驶等产生事故)导致过度浪费而增加维修费用,则除自付超额部分以外,另视情节惩罚司机组,超额≤1000元罚款500元以内,超额>1000元罚款500元以上。
4、本制度由公布之日起实施。
公司人力资源部
年月日。