数学物理方法+吴崇试+习题解答
- 格式:pdf
- 大小:3.38 MB
- 文档页数:326
数学物理方法习题解答一、复变函数部分习题解答第一章习题解答1、证明Re z 在z 平面上处处不可导。
证明:令Re z u iv =+。
Re z x =,,0u x v ∴==。
1ux∂=∂,0v y ∂=∂,u v x y ∂∂≠∂∂。
于是u 与v 在z 平面上处处不满足C -R 条件, 所以Re z 在z 平面上处处不可导。
2、试证()2f z z=仅在原点有导数。
证明:令()f z u iv =+。
()22222,0f z z x y u x y v ==+ ∴ =+=。
2,2u u x y x y ∂∂= =∂∂。
v vx y∂∂ ==0 ∂∂。
所以除原点以外,,u v 不满足C -R 条件。
而,,u u v vx y x y∂∂∂∂ , ∂∂∂∂在原点连续,且满足C -R 条件,所以()f z 在原点可微。
()0000x x y y u v v u f i i x x y y ====⎛⎫∂∂∂∂⎛⎫'=+=-= ⎪ ⎪∂∂∂∂⎝⎭⎝⎭。
或:()()()2*000lim lim lim 0z z x y z f z x i y z∆→∆→∆=∆=∆'==∆=∆-∆=∆。
22***0*00limlim lim()0z z z z z z zzz z z z z z z z z=∆→∆→∆→+∆+∆+∆∆==+−−→∆∆∆。
【当0,i z z re θ≠∆=,*2i z e z θ-∆=∆与趋向有关,则上式中**1z zz z∆∆==∆∆】3、设333322()z 0()z=00x y i x y f z x y ⎧+++≠⎪=+⎨⎪⎩,证明()z f 在原点满足C -R 条件,但不可微。
证明:令()()(),,f z u x y iv x y =+,则()33222222,=00x y x y u x y x y x y ⎧-+≠⎪=+⎨+⎪⎩, 33222222(,)=00x y x y v x y x y x y ⎧++≠⎪=+⎨+⎪⎩。
数学物理方法第四版课后答案《数学物理方法第四版课后答案》第一章:复变函数1.1 复数与复平面题目1:将以下复数写成极坐标形式:a) z = 3 + 4ib) z = -2 - 5ic) z = 5i解答:a) r = √(3^2 + 4^2) = 5, θ = arctan(4/3)∴ z = 5(cos(arctan(4/3)) + i*sin(arctan(4/3)))b) r = √((-2)^2 + (-5)^2) = √(4 + 25) = √29, θ = arctan((-5)/(-2)) = arctan(5/2)∴ z = -√29(cos(arctan(5/2)) + i*sin(arctan(5/2)))c) r = √(0^2 + 5^2) = 5, θ = arctan(0/5) = 0∴ z = 5(cos(0) + i*sin(0)) = 5i题目2:计算以下复数的共轭:a) z = 3 + 4ib) z = -2 - 5ic) z = 5i解答:a) z* = 3 - 4ib) z* = -2 + 5ic) z* = -5i...第二章:常微分方程2.1 一阶微分方程题目1:求解以下一阶线性非齐次微分方程:a) \\frac{dy}{dx} + 2y = e^xb) \\frac{dy}{dx} - y = 3x^2解答:a) 首先求齐次方程的解,即 \\frac{dy}{dx} + 2y = 0观察到该方程的解为 y = Ce^{-2x},其中 C 为任意常数然后考虑非齐次方程的解,即 \\frac{dy}{dx} + 2y = e^x令 y = A e^{-2x},其中 A 为待定常数\\frac{dy}{dx} = -2A e^{-2x},代入方程得到 -2A e^{-2x} + 2A e^{-2x} = e^x解得 A = -\\frac{1}{4}∴ 非齐次方程的解为 y = -\\frac{1}{4} e^{-2x},加上齐次方程的解得到最终解 y = Ce^{-2x} - \\frac{1}{4} e^{-2x}b) 首先求齐次方程的解,即 \\frac{dy}{dx} - y = 0观察到该方程的解为 y = Ce^x,其中 C 为任意常数然后考虑非齐次方程的解,即 \\frac{dy}{dx} - y = 3x^2令 y = A e^x + B,其中 A、B 为待定常数\\frac{dy}{dx} = A e^x,代入方程得到 A e^x - (A e^x + B) = 3x^2解得 B = -3x^2∴ 非齐次方程的解为 y = A e^x - 3x^2,加上齐次方程的解得到最终解 y = Ce^x - 3x^2...通过以上两个例题,可以看出在解一阶线性非齐次微分方程时,首先解齐次方程得到通解,然后根据非齐次项的形式确定待定系数,最后将通解与待定解相加得到最终解。
数学物理方法参考答案数学物理方法参考答案数学物理方法是一门综合性的学科,它将数学和物理相结合,通过数学方法来解决物理问题。
在物理学的研究中,数学方法起到了至关重要的作用。
本文将为读者提供一些数学物理方法的参考答案,帮助读者更好地理解和应用这些方法。
一、微积分微积分是数学物理方法中最基础也是最重要的一部分。
它包括了导数、积分和微分方程等内容。
在物理学中,微积分可以用于描述物体的运动、求解力学问题、计算电磁场等等。
下面是一些常见的微积分问题的参考答案:1. 求解函数的导数:对于一个函数f(x),求它的导数f'(x)。
可以使用导数的定义,即f'(x) =lim(h→0)[f(x+h)-f(x)]/h。
也可以使用求导法则,如常数法则、幂法则、指数函数法则、对数函数法则等。
2. 求解定积分:对于一个函数f(x),求它在区间[a, b]上的定积分∫[a, b]f(x)dx。
可以使用定积分的定义,即将区间[a, b]划分为若干小区间,然后对每个小区间求和,再取极限。
也可以使用定积分的性质,如线性性、区间可加性、换元积分法等。
3. 求解微分方程:对于一个微分方程,求它的通解或特解。
可以使用常微分方程的解法,如变量分离法、齐次方程法、一阶线性微分方程法等。
也可以使用偏微分方程的解法,如分离变量法、特征线法、变换法等。
二、线性代数线性代数在数学物理方法中也扮演着重要的角色。
它包括了矩阵、向量、线性方程组等内容。
在物理学中,线性代数可以用于描述物体的旋转、变换、矢量运算等。
下面是一些常见的线性代数问题的参考答案:1. 求解线性方程组:对于一个线性方程组Ax=b,求它的解x。
可以使用高斯消元法,将线性方程组转化为阶梯形或行最简形,然后逐步求解。
也可以使用矩阵的逆,即x=A^(-1)b。
2. 求解特征值和特征向量:对于一个矩阵A,求它的特征值和特征向量。
可以使用特征方程,即det(A-λI)=0,其中λ为特征值,I为单位矩阵。
数学物理方法第11章作业解答第346页 4. 半径为高为的圆柱体0ρL 上下底温度为零度侧面(0ρρ=u)分布为Lz z f /)(=底和侧面保持零度上底温度分布为2)(ρρ=f 求柱体内各点的稳恒温度分布解采用柱坐标系原点在下底心定解问题020000,()z z Lu u u u f ρρρρ===∆=====由柱面的其次边条知µ≥01µ>一般解()cos (,,)~())sin m m J x m x N x m e ϕρϕϕ= u z∵边条与无关ϕ∴m=0 0ρ→∵即0x→m N →∞应舍去mN 00(,)~))(n n n u z J J A B ee ρ)∴=⋅+∑其中由柱面第一类齐次边条决定µn 00)J =02(0)0n n x µρ ∴=(0)n x 是的第n 个零点0()Jx2µ=0, 考虑到m =0 00.u A B z ∴=+不不能满足第一类边条000A B ∴==综合得0(,))()n n nu z J A B eρ=⋅+∑代入底面边条(0)(0)0(0)01021)0(2)n n n nn x L x Ln n x B J eB e ρρρρρ∞=∞−=+= += ∑∑ n n (A A (1) {同P 236例}上面两式展成傅立叶贝塞尔级数再对比系数()(0)(0)000(0)200022(0)0002n n n x L x L n n n B x J d e B e J x ρρρρρρρ−+= ⋅ += ′∫n n A A ρρ ()()(0)43004022(0)002 =.n x nx J x dx J x ρρ⋅′∫见书上P334例一 ()()()()(0)232011042(0)02=.42n x nx J x xJ x x J x J x ρ ⋅−+ ′0()()()()23(0)(0)(0)(0)01142(0)02=.4n n n n nx J x x J x J x ρ ⋅−′ 解得n B =−n A ()()204(0)(0)(0)(0)1041n n n n x x L x J x shρρ−=n A 使用了01J J ′=−最后()()(0)(0)00204(0)(0)0(0)1(0)(0)01041(,)(n n x z x z n n n n n n x x u z e e J x L x J x sh ρρρρρρρ∞−=− =−∑⋅[ (0)(0)20(0)(0)(0)(0)2110142[1()()n n n n n nn x zsh x J x Lx J x x shρρρρρ∞==−∑() ]====∆====L z u u u u L z z f u L P L z z /0,0( 0./)(., 1. 000 361ρρρ柱坐标系解定解问题温度求解柱体内各点的稳恒为分布侧面上下底温度为零度高为匀质圆柱半径为()z L n L n I Ln I n z u Ln I n n L n L L n I zdz L n z L n z n L L n I z L n d z n L Ln I zdzL n L z L L n I B L z z L n L n I B z Ln L n I B z u B A zB A u m n Ln L L B L A I A I A z B z A I u K m x m m z z x K x I u n n L L L L n n n n n n n nn n n n n n n n n n n n n n n m m m πρπρππρρππππρππππρπππρππρππρππρπρµπννννρνρνγννρνρϕνρϕϕννµµνsin)()(2)1(),)1()(2)(cos 1)(2cos cos 1)(2 )(cos 1)(2 sin 2)(1/sin )(sin )(),000)2)2,1(,0sin 0sin cos )(0 0)()sin cos )((00)(sin cos sin cos )()(~010000110000000000000001010000000⋅⋅−=−⋅=⋅−⋅⋅= −−⋅⋅=⋅−⋅⋅=⋅=====+=======+⋅=⇒=+=∴→=∴=<≤∴∑∫∫∫∑∑∑∑∑++∞=∞=最后得由侧面边条综合由底面边条知时考虑到得为了得到非零解必须得定由上下底齐次边条决其中项时应有截舍去无关由于边条为时上下底面为齐次边条 ∵∵分离变数得球坐标系解本定解问题为处温度变化情况使他冷却求解球内各而把球面温度保持零度初始温度为均质球半径为)()(4.2372===∆−==rfuuuaurfrPtrrt至此即可最后得即代入边条得的边条应舍去不能满足时舍去部分没有了时得无关与无关所以由于本问题与满足()sin(),2,1sin)))~2~1,),(),(22222222222222222trannnnnntaknnntaknnntaktakltaktakerrnrrnctrunrnkrkrkrkjerkjcerkjcukrucceeruknekrjukmlrvrvvkvvetrvtruππππϕθϕθϕθ−−−−−−−∑∑∑=======∴=====≠====+∆=tranranrrnnnnerrnrdrrrnrfr rt rukrkrjdrrrrnjdrrrrnjrfcrrnjcrfc2222102221sinsin)(2),(sin)()()()()(:ππππππ−∞=∞=⋅⋅⋅====∫∑∫∫∑整理后代入由初条定满足分离变数可得解本定解问题为处温度变化情况使他冷却求解球内各而把球面温度保持零度初始温度为均质球半径为0,),(),(cos )(00cos )(5.2020372220=+∆====∆−−==v k v v e t r v t r u r f u u u a u r f r P t a k t r r tθθ至此即可个解的第是方程其中即即代入边界条件得可知对此初始条件应舍去不能满足舍去时考虑到舍去时考虑到可得无关所以由于本问题与( )(cos )(),,( 0)(cos sin cos sin )( 0)()(cos )(1,cos )()(cos ~,0)(cos )(cos ~10)2)(cos ~010),,()(222222022221110020000211111t a k n n n n n n n ta knn n ta kl l r r l l ta k l l l ta k l l l n e P r k j c t r u n x tgx x r xk kr tgkr kr kr kr kr x xx x x j r k j e P r k j c u l r f e P kr j u uP r e P r u r r k e P kr j u r r k m r v r v −∞=−−=−+−∑∑=∴==∴==−−===∴=∴==∞→∞→=∞→∞→≠==θθθθθθθθθϕ∵20023021020232022322122121011)(23)(22 )(22)(2)()()(cos )(cos )(:−⋅⋅=⋅⋅= ===∫∫∫∫∑∞=r k r k j r k j r k r k j r k rdr r k j k dr r j drr r k j drr r k j r f c r k j c r f c n n n n n n r n nr ar an n r n n n n n πππθθ因为由初条定系数[][]drr r k j r f e P r k j r k j r t r u r k j r r k j r k r r k j r k n r t a k n n n n n n n n 210120013020030202103020230)()()(cos )()(2),,()(2)(22 )(22 022∫∑−⋅=⋅=⋅⋅=⋅=θθππ最后---end---。
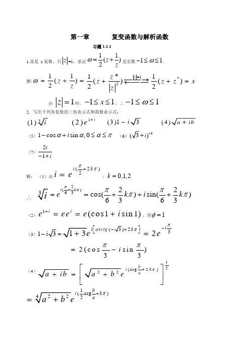
数学物理方法习题解答一、复变函数部分习题解答第一章习题解答1、证明Re z 在z 平面上处处不可导。
证明:令Re z u iv =+。
Re z x =,,0u x v ∴==。
1ux∂=∂,0v y ∂=∂,u v x y ∂∂≠∂∂。
于是u 与v 在z 平面上处处不满足C -R 条件, 所以Re z 在z 平面上处处不可导。
2、试证()2f z z=仅在原点有导数。
证明:令()f z u iv =+。
()22222,0f z z x y u x y v ==+ ∴ =+=。
2,2u u x y x y ∂∂= =∂∂。
v vx y∂∂ ==0 ∂∂。
所以除原点以外,,u v 不满足C -R 条件。
而,,u u v vx y x y∂∂∂∂ , ∂∂∂∂在原点连续,且满足C -R 条件,所以()f z 在原点可微。
()000000x x y y u v v u f i i x x y y ====⎛⎫∂∂∂∂⎛⎫'=+=-= ⎪ ⎪∂∂∂∂⎝⎭⎝⎭。
或:()()()2*000lim lim lim 0z z x y z f z x i y z∆→∆→∆=∆=∆'==∆=∆-∆=∆。
22***0*00limlim lim()0z z z z z z zzz z z z z z zz z=∆→∆→∆→+∆+∆+∆∆==+−−→∆∆∆。
【当0,i z z re θ≠∆=,*2i z e z θ-∆=∆与趋向有关,则上式中**1z zz z∆∆==∆∆】3、设333322()z 0()z=00x y i x y f z x y ⎧+++≠⎪=+⎨⎪⎩,证明()z f 在原点满足C -R 条件,但不可微。
证明:令()()(),,f z u x y iv x y =+,则()33222222,=00x y x y u x y x y x y ⎧-+≠⎪=+⎨+⎪⎩, 33222222(,)=00x y x y v x y x y x y ⎧++≠⎪=+⎨+⎪⎩。
数学物理方法课后答案【篇一:数学物理方法习题】1、求解定解问题:utt?a2uxx?0,(0?x?1),u|x?0?u|x?l?0,l?n0hx,(0?x?),?ln0?(p-223) ?u|t?0??hl(l?x),(?x?l),?ln0?l???n0u|t?0?0,(0?x?l).2、长为l的弦,两端固定,弦中张力为t,在距一端为x0的一点以力f0把弦拉开,然后撤出这力,求解弦的震动。
[提示:定解问题为 utt?a2uxx?0,(0?x?l),u(0,t)?u(l,t)?0,?f0l?x0x,(0?x?x0), ??tlu(x,0)???f0x0(l?x),(x?x?l),0??tlut|t?0?0.] (p-227)3、求解细杆导热问题,杆长l,两端保持为零度,初始温度分布u|t?0?bx(l?x)/l2。
[定解问题为k?22u?au?0,(a?)(0?x?l),xx?tc???] (p-230)u|x?0?u|x?l?0,??u|t?0?bx(l?x)/l2.???4、求解定解问题??2u?2u2??a?0,0?x?l,t?022??t?x?ux?0?0,ux?l?0. ??3?x?u?u ?asin,?0.?t?0l?tt?0?4、长为l的均匀杆,两端受压从而长度缩为l(1?2?),放手后自由振动,求解杆的这一振动。
[提示:定解问题为?utt?a2uxx?0,(0?x?l),?ux|x?0?ux|x?l?0,??](p-236) ?2u|?2?(?x),t?0?l?ut|t?0?0.??5、长为l的杆,一端固定,另一端受力f0而伸长,求解杆在放手后的振动。
[提示:定解问题为?utt?a2uxx?0,(0?x?l),?u|x?0?0,ux|x?l?0,??] (p-238)x?uxf?0?u(x,0)??0dx??0,?xys?ut|t?0?0.??6、长为l的杆,上端固定在电梯天花板,杆身竖直,下端自由、电梯下降,当速度为v0时突然停止,求解杆的振动。
第一章 复变函数1.1 复数与复数运算【1】下列式子在复数平面上各具有怎样的意义? 5,arg ,Re ,z a z b αβ<<<<(,,a αβ和b 为实常数)解:射线ϕα=与ϕβ=,直线x a =与x b =所围成的梯形。
7,111z z -≤+解:11111z z z z -≤⇒-≤++,令z x iy =+,则11z z -≤+即()()2222110x y x y x -+≤++⇒≥。
即复数平面的右半平面0x ≥。
【2】将下列复数用代数式,三角式和指数式几种形式表示出来。
3,1+解:代数式即:1z =+;2ρ=,且z 的辐角主值arg 3z π=,因此三角式:2cos2sin33z i ππ=+;指数式:232i k i z e eππϕρ⎛⎫+ ⎪⎝⎭==,k ∈ 。
7,1i 1i-+解:21i (1i)2i i 1i(1i)(1i)2---===-++-,因此,其代数式:i z =-,三角式:33cos sin22z i ππ=+;指数式:322i k i z e eππϕρ⎛⎫+ ⎪⎝⎭==,k ∈ 。
【3】计算下列数值。
(a ,b 和ϕ为实常数)2,解:将被开方的i 用指数式表示:22ei k i ππ⎛⎫+ ⎪⎝⎭=,k ∈ 。
那么2322eexp 63i k k i ππππ⎛⎫+ ⎪⎝⎭⎡⎤⎛⎫==+ ⎪⎢⎥⎝⎭⎣⎦,k ∈ 。
7,cos cos 2cos 3cos n ϕϕϕϕ++++ 解:因为,cos R e (1)ik k e k n ϕϕ=≤≤,因此()[]2323cos cos 2cos 3cos R e R e R e R e (1)R e R e 1cos cos(1)sin sin(1)R e 1cos sin 222sin sin cos 222R e 2sin sin 2i i i in i in i i i in i n e eeee e eeeee n i n i n n n i ϕϕϕϕϕϕϕϕϕϕϕϕϕϕϕϕϕϕϕϕϕϕϕϕϕϕ++++=++++⎡⎤-=++++=⎢⎥-⎣⎦⎧⎫-++-+⎪⎪=⎨⎬--⎪⎪⎩⎭++⎛⎫- ⎪⎝⎭= 222(1)2sin 2R e sin cos 2221(1)sin sin sin sin cos 22222R e sin sin2sin222n i i n i n e i e n n n n e ϕϕϕϕϕϕϕϕϕϕϕϕϕϕ++⎡⎤⎢⎥⎢⎥=⎛⎫⎢⎥- ⎪⎢⎥⎝⎭⎣⎦⎛⎫++- ⎪⎝⎭===1.2 复变函数【2】计算下列数值。
数学物理方法习题解答(完整版)数学物理方法习题解答一、复变函数部分习题解答第一章习题解答1、证明Re z 在z 平面上处处不可导。
证明:令Re z u iv =+。
Re z x =,,0u x v ∴==。
1ux=?,0v y ?=?,u v x y ??≠??。
于是u 与v 在z 平面上处处不满足C -R 条件,所以Re z 在z 平面上处处不可导。
2、试证()2f z z=仅在原点有导数。
证明:令()f z u iv =+。
()22222,0f z z x y u x y v ==+ ∴ =+=。
2,2u u x y x y ??= =??。
v vx y==0 ??。
所以除原点以外,,u v 不满足C -R 条件。
而,,u u v vx y x y, 在原点连续,且满足C -R 条件,所以()f z 在原点可微。
()0000x x y y u v v u f i i x x y y ===='=+=-= ? ?????????。
或:()()()2*000lim lim lim 0z z x y z f z x i y z→?→?=?=?'==?=?-?=?。
22***0*00limlim lim()0z z z z z z zzz z z z z z z z z=?→?→?→+?+?+??==+??→。
【当0,i z z re θ≠?=,*2i z e z θ-?=?与趋向有关,则上式中**1z zz z==??】3、设333322()z 0()z=00x y i x y f z x y ?+++≠?=+,证明()z f 在原点满足C -R 条件,但不可微。
证明:令()()(),,f z u x y iv x y =+,则()33222222,=00x y x y u x y x y x y ?-+≠?=+?+??, 33222222(,)=00x y x y v x y x y x y ?++≠?=+?+??。
第四章习题及答案1.(10分)确定使下列系统状态完全能控的待定参数的a ,b ,c 取值范围(1)u c 10x 0000b a 010x ⎥⎥⎥⎦⎤⎢⎢⎢⎣⎡+⎥⎥⎥⎦⎤⎢⎢⎢⎣⎡--=& (2)u c b a ⎥⎥⎥⎦⎤⎢⎢⎢⎣⎡+⎥⎥⎥⎦⎤⎢⎢⎢⎣⎡--=x 1861201640120x & 解:(1)0ac ≠ b 任意 (5分) (2)a,b,c 为任何值都不能控(此题用PBH 秩判据较容易,特征值为18)(5分)2.(10分)判断下列系统的能观性 07A(1)[]x 001y u 321x 501101200x =⎥⎥⎥⎦⎤⎢⎢⎢⎣⎡+⎥⎥⎥⎦⎤⎢⎢⎢⎣⎡-=& (2) x 042021y x 300020001x ⎥⎦⎤⎢⎣⎡=⎥⎥⎥⎦⎤⎢⎢⎢⎣⎡-=& 解: (1)不能观 (5分)(2)不能观 3.(8分)判断下列系统中,a b 的取值对可控性、可观测性的影响。
1)(4分)2()6s aG s s s b+=++ 该系统状态完全可控且完全可观测,确定,a b 的关系。
解:化成可控标准型为:[]010611x x u b y a x⎡⎤⎡⎤=+⎢⎥⎢⎥--⎣⎦⎣⎦=& (2分)可观测性判别阵为:16c aV cA b a ⎡⎤⎡⎤==⎢⎥⎢⎥--⎣⎦⎣⎦ (2分)2det 60V a a b ∴=-+≠,即(6)b a a ≠-时系统完全可控且完全可观测。
2)(4分)1102101000020x x a u b -⎛⎫⎛⎫⎪ ⎪⎪ ⎪=-+ ⎪ ⎪ ⎪ ⎪-⎝⎭⎝⎭& 设该系统完全可控,试确定,a b 。
解:因系统矩阵为约当标准型,由约当标准型判据知:0,0a b ≠≠ (4分) 4.(6分)判断系统的可控性1)u x x ⎥⎥⎥⎦⎤⎢⎢⎢⎣⎡+⎥⎥⎥⎦⎤⎢⎢⎢⎣⎡-=100100121100010.2) u x x ⎥⎥⎥⎦⎤⎢⎢⎢⎣⎡+⎥⎥⎥⎦⎤⎢⎢⎢⎣⎡---=201002200020001.解:1)系统可控性判别阵为[]0001001130121rankS rank B AB rank ⎡⎤⎢⎥===⎢⎥⎢⎥-⎣⎦系统完全可控。