初中数学中考先化简再求值.doc
- 格式:doc
- 大小:773.51 KB
- 文档页数:15
求代数式值的几种常用方法王一成求值的方法很多,中考数学中,也经常出现这类习题,假设不掌握一定的方法,一些习题确实不容易解答。
初中阶段,常见的求值方法有哪些呢?一、化简求值例:先化简,再求值:GbVab'-b'Lb-k+bXa-b),其中a ・〈,b--l o解:原式■a'-2ab-b 3-(a 2-b 2)«a 2-2ab-b 2-a 2+b 2三-2ab o原式.-2ab∙-2x7χ(-1)-1。
二、倒数法求值I, 例:X∙一∙4,求-7解: 所以T⅛77的值为专例:a>b 、C 为实数且a+b=5c 2=ab+b-9,求a+b+c 之值。
R 的值。
例: X 2 X 2 -2 ^ l-√3-√2 '-X 1 + x X)÷(^——+ X )的值。
X -1 解由,得X 2-2X 2 三、 例:所以,1—— = 1 — V3 - V2 X那么一W=一百一 √iJC二二•二I ==二一6一出I-X 2 X 3 X 2配方求值a 2+b 3 + 2a-4b÷5-0,求2a04b-3的值。
解: 由 a ' + b' + 2∂ — 4b ÷ 5 ≡ O,得G + 2a + l)÷(b a -4b + 4)«0,即(a + 】> + (b- 2)1。
,由非负数的性质得a÷l≡0,b -2-0, 解得a-1, b ・2。
薪以值⅛-2∙'*4bf jcgF+4x2∙3-7四、构造一元二次方程求值解Va+b=5c2=ab+b-9b+(a+∖)=6b(a+1)=C2+9那么b,a+1为t2-6t+c2+9=0两根Va,b为实数Λb,a+1为实数,那么t2-6t+c2+9=0有实根ΛΔ=36-4(C2+9)=-4C⅛0c=0Λa+b+c=5五、整体求值i1,a-3a⅛÷b^|J:a+b-,那么2a-2b-7ab- ----------------------- 。
2024年陕西省初中学业水平考试数 学 试 卷注意事项:1.本试卷分为第一部分(选择题)和第二部分(非选择题),全卷共8页,总分120分,考试时间120分钟2.领到试卷和答题卡后,请用0.5毫米黑色墨水签字笔,分别在试卷和答题卡上填写姓名和准考证号,同时用2B 铅笔在答题卡上填涂对应的试卷类型信息点(A 或B )3.请在答题卡上各题的指定区域内作答,否则作答无效4.作图时,先用铅笔作图,再用规定签字笔描黑5.考试结束,本试卷和答题卡一并交回第一部分(选择题 共24分)一、选择题(共8小题,每小题3分,计24分,每小题只有一个选项是符合题意的)1. 3-的倒数是( )A 3 B. 13 C. 13- D. 3-2. 如图,将半圆绕直径所在的虚线旋转一周,得到的立体图形是( )A. B. C. D.3. 如图,AB DC ∥,BC DE ∥,145B ∠=︒,则D ∠的度数为( )A. 25︒B. 35︒C. 45︒D. 55︒4. 不等式()216x -≥的解集是( )A. 2x ≤B. 2x ≥C. 4x ≤D. 4x ≥5. 如图,在ABC 中,90BAC ∠=︒,AD 是BC 边上的高,E 是DC 的中点,连接AE ,则图中的直角三角形有( ).A. 2个B. 3个C. 4个D. 5个6. 一个正比例函数图象经过点()2,A m 和点(),6B n -,若点A 与点B 关于原点对称,则这个正比例函数的表达式为 ( )A. 3y x =B. 3y x =-C. 13y x =D. 13y x =-7. 如图,正方形CEFG 的顶点G 在正方形ABCD 的边CD 上,AF 与DC 交于点H ,若6AB =,2CE =,则DH 的长为( )A. 2 B. 3 C. 52 D. 838. 已知一个二次函数2y ax bx c =++的自变量x 与函数y 的几组对应值如下表,x…4-2-035…y …24-8-03-15-…则下列关于这个二次函数的结论正确的是( )A. 图象的开口向上B. 当0x >时,y 的值随x 的值增大而增大C. 图象经过第二、三、四象限D. 图象的对称轴是直线1x =第二部分(非选择题 共96分)二、填空题(共5小题,每小题3分,计15分)9. 分解因式:2a ab -=_______________.10. 小华探究“幻方”时,提出了一个问题:如图,将0,2-,1-,1,2这五个数分别填在五个小正方形内,使横向三个数之和与纵向三个数之和相等,则填入中间位置的小正方形内的数可以是________.(写出一个符合题意的数即可)的11. 如图,BC 是O 的弦,连接OB ,OC ,A ∠是 BC所对的圆周角,则A ∠与OBC ∠的和的度数是________.12. 已知点()12,A y -和点()2,B m y 均在反比例函数5y x=-的图象上,若01m <<,则12y y +________0.13. 如图,在ABC 中,AB AC =,E 是边AB 上一点,连接CE ,在BC 右侧作BF AC ∥,且BF AE =,连接CF .若13AC =,10BC =,则四边形EBFC 的面积为________.三、解答题(共13小题,计81分。
汇总)初中数学中考计算题(最全)-含答案.doc1.解答题(共30小题)1.1 计算题:① 2+3=5;②解方程:x+5=10,解得x=5.1.2 计算:π+(π﹣2013)=2π-2013.1.3 计算:|1﹣|﹣2cos30°+(﹣)×(﹣1)2013|=|1-|-2cos30°+(-1)×(-1)2013||=|1-|-2×√3/2+1||=|1-√3+1|=|2-√3|。
1.4 计算:﹣(-2)+(-3)=1.1.5 计算:√(5+2√6)+√(5-2√6)=√2+√3.1.6 计算:(2+√3)(2-√3)=1.1.7 计算:(1+√2)²=3+2√2.1.8 计算:(1-√3)²=4-2√3.1.9 计算:(√2+1)²=3+2√2.1.10 计算:(√2-1)²=3-2√2.1.11 计算:(3+√5)(3-√5)=4.1.12 计算:(√3+1)(√3-1)=2.1.13 计算:(√2+√3)²=5+2√6.1.14 计算:﹣(π﹣3.14)+|﹣3|+(﹣1)2013+tan45°=0.1.15 计算:√3+√2-√6=√3-√2+√6.1.16 计算或化简:1)计算2﹣1﹣tan60°+(π﹣2013)+|﹣|=-tan60°-2011;2)(a﹣2)²+4(a﹣1)﹣(a+2)(a﹣2)=-3a²+10a-6.1.17 计算:1)(﹣1)2013﹣|﹣7|+(√2)﹣1=-√2-8;2)(2+√3)÷(√3-1)=1+√3.1.18 计算:(1+√2)(1-√2)=﹣1.1.19 解方程:x²+2x+1=0,解得x=-1.1.20 计算:1)tan45°+sin230°﹣cos30°•tan60°+cos245°=√2-1;2)(√2+1)²-(√2-1)²=4√2.1.211)|﹣3|+16÷(﹣2)³+(2013﹣)﹣tan60°=2010;2)解方程:(1-2x)²=3,解得x=√2﹣1.1.222)求不等式组:{x²-2x0},解得0<x<1.1.232)先化简,再求值:(√3+1)÷(√3-1)=2.1.241)计算:tan30°=√3/3;2)解方程:x²-2x+1=0,解得x=1.1.25 计算:1)√2-√3+√6=(√2-1)(√3-1);2)先化简,再求值:(√2+1)²+(√2-1)²=8.1.261)计算:(1-√2)÷(1+√2)=-1+√2;2)解方程:x²-2x+2=0,解得x=1-√3.1.27 计算:1)(√2+√3)²-(√2-√3)²=4√6;2)先化简,再求值:(x²+2x+1)÷(x²-1)=1+x。
整式化简求值:先化简再求值1.)3(2)2132()83(3232--+-+-a a a a a a ,其中4-=a2.)45(2)45(332-+---+-x x x x ,其中2-=x3.求)3123()31(22122y x y x x +-+--的值,其中2-=x 32=y 4.22221313()43223a b a b abc a c a c abc ⎡⎤------⎢⎥⎣⎦其中1-=a 3-=b 1=c 5.化简求值:若a=﹣3,b=4,c=﹣17,求{}222278[(2)]ab c ac b b c a a b ab c --+-的值6.先化简后求值:2233[22()]2x y xy xy x y xy ---+,其中x=3,y=﹣13 7. 一个多项式A 加上 2532+-x x 得 3422+-x x ,求这个多项式A ? 8.化简求代数式:22(25)2(35)a a a a ---+的值,其中a=﹣1.9.先化简,再求值:2222115()(3),,23a b ab ab a b a b --+==其中 10.求代数式的值:2212(34)3(4)3,3xy x xy x x y +-+=-=,其中. 11.先化简,再求值:2(3a ﹣1)﹣3(2﹣5a ),其中a=﹣2.12.先化简,再求值:22212()[3()2]2xy x x xy y xy ----++,其中x=2, y=﹣1.13.先化简,再求值:222(341)3(23)1x x x x x -+---,其中x=﹣5.14.先化简,再求值:32x ﹣[7x ﹣(4x ﹣3)﹣22x ];其中x=2.15.先化简,再求值:(﹣2x +5x+4)+(5x ﹣4+22x ),其中x=﹣2.16.先化简,再求值:3(x ﹣1)﹣(x ﹣5),其中x=2.17.先化简,再求值:3(2x+1)+2(3﹣x ),其中x=﹣1.18.先化简,再求值:(32a ﹣ab+7)﹣(5ab ﹣42a +7),其中a=2,b=13. 19.化简求值:2111(428)(1),422x x x x -+---=-其中 20.先化简,再求值:(1)(52a +2a+1)﹣4(3﹣8a+22a )+(32a ﹣a ),其中13a =21.先化简再求值:222232(33)(53),35x x x x -+--+=-其中 22.先化简再求值:2(2x y+x 2y )﹣2(2x y ﹣x )﹣2x 2y ﹣2y 的值,其中x=﹣2,y=2.23.先化简,再求值.4xy ﹣[2(2x +xy ﹣22y )﹣3(2x ﹣2xy+y2)],其中11,22x y =-= 24.先化简,再求值:22x +(﹣2x +3xy+22y )﹣( 2x ﹣xy+22y ),其中 x=12,y=3.25.先化简后求值:5(32x y ﹣x 2y )﹣(x 2y +32x y ),其中x=-12,y=2. 26.先化简,再求值:22223()3x x x x ++-,其中x=-1227.(52x ﹣32y )﹣3(2x ﹣2y )﹣(﹣2y ),其中x=5,y=﹣3.28.先化简再求值:(22x ﹣5xy )﹣3(2x ﹣2y )+2x ﹣32y ,其中x=﹣3,13y = 29.先化简再求值:(﹣2x +5x )﹣(x ﹣3)﹣4x ,其中x=﹣130.先化简,再求值:23)2(3)(2222==-+--y x x y y x x ,,其中,31.223(2)[322()]x xy x y xy y ---++,其中1,32x y =-=-。
【母题来源一】【2019•长春】先化简,再求值:(2a +1)2-4a (a -1),其中a 18=. 【解析】 原式=4a 2+4a +1-4a 2+4a =8a +1, 当a 18=时,原式=8a +1=2. 【名师点睛】此题主要考查了整式的混合运算,正确掌握相关运算法则是解题关键. 【母题来源二】【2019•吉林】先化简,再求值:(a -1)2+a (a +2),其中a =【解析】 原式=a 2-2a +1+a 2+2a =2a 2+1,当a ==5.【名师点睛】此题考查了整式的混合运算–化简求值,熟练掌握运算法则是解本题的关键. 【母题来源三】【2019•宁波】先化简,再求值:(x -2)(x +2)-x (x -1),其中x =3. 【解析】(x -2)(x +2)-x (x -1) =x 2-4-x 2+x =x -4,当x =3时,原式=x -4=-1.【名师点睛】本题考查的是整式的化简求值,掌握整式的混合运算法则是解题的关键.【母题来源四】【2019•凉山州】先化简,再求值:(a +3)2-(a +1)(a -1)-2(2a +4),其中a 12=-. 【解析】原式=a 2+6a +9-(a 2-1)-4a -8 =2a +2,专题01 中考中与“化简求值型”相关的探索性问题将a 12=-代入,原式=2×(12-)+2=1. 【名师点睛】本题主要考查整式的混合运算,灵活运用两条乘法公式:完全平方公式和平方差公式是解题的关键,同时,在去括号的过程中要注意括号前的符号,若为负号,去括号后,括号里面的符号要改变.【母题来源五】【2019•河南】先化简,再求值:(12x x +--1)22244x xx x -÷-+,其中x = 【解析】 原式=(1222x x x x +----)()22(2)x x x -÷- 32x =-·2x x - 3x=,当x ===. 【名师点睛】本题主要考查分式的化简求值,解题的关键是熟练掌握分式的混合运算顺序和运算法则. 【母题来源六】【2019•黄冈】先化简,再求值.(2222538a b b a b b a ++--)221a b ab÷+,其中a =b =1. 【解析】原式()225381a b b a b ab a b +-=÷-+()()()5a b a b a b -=+-·ab (a +b )=5ab ,当a =b =1时,原式【名师点睛】本题考查分式的运算法则,解题的关键是熟练运用分式的运算法则,本题属于基础题型.【母题来源七】【2019•福建】先化简,再求值:(x -1)÷(x 21x x--),其中x =1. 【解析】原式=(x -1)221x x x-+÷=(x -1)·2(1)xx -1x x =-,当x =1,原式=【名师点睛】本题考查了分式的化简求值,熟练掌握分式混合运算法则是解题的关键.【母题来源八】【2019•广东】先化简,再求值:(122x x x ---)224x xx -÷-,其中x = 【解析】原式()()()22121x x x x x x +--=⋅--2x x+=,当x =原式1==. 【名师点睛】本题考查了分式的化简求值,熟练掌握分式混合运算法则是解题的关键.【母题来源九】【2019•成都】先化简,再求值:(143x -+)22126x x x -+÷+,其中x =1.【解析】原式()22334()33(1)x x x x x ++=-⨯++- ()22313(1)x x x x +-=⨯+- 21x =-.将x =1代入,原式==【名师点睛】此题主要考查了方程解的定义和分式的运算,把所求的代数式化简后整理出所找到的相等关系的形式,再把此相等关系整体代入所求代数式,即可求出代数式的值.【母题来源十】【2019•辽阳】先化简,再求值:(222211x x x x x-+-+-)221x x -÷-,其中x =3tan30°-(13)-1.【解析】(222211x x x x x-+-+-)221x x -÷- =[()212(1)1x x x x ----]()()112x x x +-⋅-=(211x x x ---)()()112x x x +-⋅- ()()11212x x x x x +--=⋅-- =x +1,当x =3tan30°-(13)-1=3-==3时,原式3+1=2. 【名师点睛】本题考查分式的化简求值、特殊角的三角函数值、负整数指数幂,解答本题的关键是明确分式化简求值的方法.【母题来源十一】【2019•湘潭】阅读材料:运用公式法分解因式,除了常用的平方差公式和完全平方公式以外,还可以应用其他公式,如立方和与立方差公式,其公式如下: 立方和公式:x 3+y 3=(x +y )(x 2-xy +y 2) 立方差公式:x 3-y 3=(x -y )(x 2+xy +y 2)根据材料和已学知识,先化简,再求值:22332428x x x x x x ++---,其中x =3. 【解析】22332428x x x x x x ++--- ()()()223242224x x x x x x x x ++=---++ 3122x x =--- 22x =-, 当x =3时,原式232==-2. 【名师点睛】本题考查分式的化简求值,解答本题的关键是明确分式化简求值的方法.【命题意图】这类试题主要考查整式、分式、二次根式的化简求值,经常与特殊角的三角函数值、实数的运算、一元一次不等式组、一元二次方程等结合考查.【方法总结】化简求值是指我们不直接把字母的值代人代数式中计算,而是先化简(即去括号,合并同类项),然后再代人求值.1.整式的化简求值(1)一般情况下,字母取值不同,代数式的值也不同;(2)当字母的取值是分数或负数时,代入时要注意将分数或负数添上括号;(3)把数值代入时,原代数式中的系数、指数及运算符号都不改变.2.分式的化简求值分式化简求值是代数式化简求值的常见题型之一、也是中考中的固定题型,其基本步骤是先化简,再把字母的值或条件中所含关系代人计算分式求值中所含知识覆盖面广,解法灵活,可根据所给条件和求值式的特征进行适当的变形、转化.3.二次根式的化简求值解二次根式的化简求值问题的一般方法是直接代人法变形代人法技巧性较强,也常采用整体代入的方法.1.【2019年河南省开封市中考数学二模试卷】先化简,再求值:(x+y)2+(x-y)(x+y)-2x(x-y),其中x,y1.【解析】原式=x2+2xy+y2+x2-y2-2x2+2xy=4xy,当x,y1时,原式=4×)×1)=16.【名师点睛】此题考查了整式的混合运算-化简求值,熟练掌握运算法则是解本题的关键.2.【山东省菏泽市郓城县2019届中考数学模拟试卷(6月份)】已知x2+x-5=0,求代数式(x-1)2-x(x-3)+(x+2)(x-2)的值.【解析】(x -1)2-x (x -3)+(x +2)(x -2) =x 2-2x +1-x 2+3x +x 2-4 =x 2+x -3, ∵x 2+x -5=0, ∴x 2+x =5, ∴原式=5-3=2.【名师点睛】本题考查了整式的混合运算和求值的应用,能正确运用整式的运算法则进行化简是解此题的关键.3.【2019年江苏省盐城市建湖县中考数学二模试卷】先化简,再求值:(x -3)2+2(x -2)(x +7)-(x +2)(x -2),其中x 2+2x -3=0.【解析】原式=x 2-6x +9+2x 2+10x -28-x 2+4=4x -15, 由x 2+2x -3=0,即(x -1)(x +3)=0,得到x =1或x =-3, 当x =1时,原式=4-15=-11; 当x =-3时,原式=-12-15=-27.【名师点睛】此题考查了整式的混合运算-化简求值,熟练掌握运算法则是解本题的关键. 4.【2019年河南省南阳市宛城区中考数学一模试卷】先化简,再求值:23()111x x xx x x -÷-+-,其中x 的值从不等式组111223x x ⎧-≥⎪⎨⎪-<⎩ 的整数解中选取.【解析】23()111x x x x x x -÷-+- =3(1)(1)(1)(1)(1)(1)x x x x x x x x x+--+-⋅+-=3(x +1)-(x -1) =3x +3-x +1 =2x +4,由不等式组111223x x ⎧-≥⎪⎨⎪-<⎩得,-3<x ≤1,当x =-2时,原式=2×(-2)+4=0.【名师点睛】本题考查分式的化简求值、一元一次不等式组的整数解,解答本题的关键是明确分式化简求值的方法.5.【广东省肇庆市怀集县2019届九年级中考一模数学试题】先化简,后求值:22211(1)(1)x x x--÷-,其中,x 从0、-1、-2三个数值中适当选取.【解析】原式=2222211x x x x x-+-÷ =222(1)(1)(1)x x x x x -⋅+- =11x x -+, 因为x 取数值0、-1时,代入原式无意义, 所以:取x =-2,得:原式=3.【名师点睛】本题主要考查分式的化简求值,解题的关键是熟练掌握分式混合运算顺序和运算法则.6.【湖南省株洲市石峰区2019届九年级中考数学模拟试题(二)】先化简,再求值:(x -1+221x x -+)÷21x xx -+,其中x 的值从不等式-1≤x <2.5的整数解中选取. 【解析】原式=221(1)1(1)x x x x x x -+-+⋅+- =12(1)1(1)(1)1(1)x x x x x x x x x +--+-⋅⋅⋅-+-=12x x x+-+=1x x-, -1≤x <2.5的整数解为-1,0,1,2, ∵分母x ≠0,x +1≠0,x -1≠0, ∴x ≠0且x ≠1,且x ≠-1, ∴x =2, 当x =2时,原式=21122-=. 【名师点睛】本题考查了分式的化简求值,熟练掌握分式混合运算法则是解题的关键. 7.【山东省德州市齐河县2019年中考数学二模试卷】先化简,再求值:235(2)22m m m m m -÷+---,其中m 是方程x 2+3x +1=0的根.【解析】原式=222234539()22222m m m m m m m m m m m ----÷-=÷-----, =()()()23212333m m m m m m m m--⨯=-+-+.∵m 是方程x 2+3x +1=0的根, ∴m 2+3m +1=0, ∴m 2+3m =-1, 当m 2+3m =-1时,原式=111=--. 【名师点睛】本题考查的是分式的化简求值,掌握分式的混合运算法则是解题的关键.8.【黑龙江省哈尔滨市2019中考模拟测试三数学试题】先化简,再求代数式22693111x x x x x x x -+-+÷--+的值,其中2sin30tan60x ︒=-︒.【解析】原式2(3)13·1(1)(1)31x x x x x x x x-+=+=-+---.∵2sin 30tan 601x ︒︒=-==【名师点睛】本题考查了分式的化简求值,其中正确的化简是解答本题的关键.9.【福建省厦门市集美区2019年初中毕业班总复习练习(二模)数学试题】化简求值:22121124a a a a a +++-÷+-,其中31a.【解析】原式=1-12a a ++ ·2(2)(2)(1)a a a +-+ =1-12a a ++=31a +,当a 1时,原式【名师点睛】本题主要考查了分式的化简求值,此类题,一般要先进行因式分解,再应用分式的基本性质进行约分和通分.熟练掌握因式分解、分式的约分和通分是解题的关键.10.【湖北省谷城县2018–2019学年九年级中考适应性考试数学试题】先化简,再求值:22()a b b a ba b a b a b---÷+-+,其中a =b =【解析】(2a b a b -+–ba b -)÷2a b a b-+ =()()()()()22a b a b b a b a ba b a b a b ---++⋅+--=2222312a ab b ab b a b a b-+--⋅-- =()2212a a b a b a b-⋅-- =2a a b-,当a b 时,原式33.【名师点睛】本题考查分式的化简求值、分母有理化,解答本题的关键是明确分式化简求值的计算方法.11.【2019年江苏省苏州市高新区中考数学模拟试卷(4月份)】先化简,再求值:2169(1)224a a a a -+-÷--,其中3a =.【解析】原式=232(2)2(3)a a a a --⋅--=23a -,当a 时,原式【名师点睛】本题考查分式的运算,解题的关键是熟练运用分式的运算法则,本题属于基础题型.。
代数式化简求值方法一:先化简,再代入例1:1. 化简求值:()2222252342ab a b ab ab a b --+-,其中3a =-,12b =. 【答案】24ab ,3-.【解析】【分析】原式去括号合并得到最简结果,把a 与b 的值代入计算即可求出值.【详解】解:()2222252342ab a b ab ab a b --+- 2222252342ab a b ab ab a b =-+-+24ab =,当3a =-,12b =时, 原式()214332⎛⎫=⨯-⨯=- ⎪⎝⎭. 【点睛】本题考查了整式的加减-化简求值,熟练掌握运算法则是解本题的关键. 变:1-12. 先化简,再求值:()()23223232324xy y x y x y y xy y +---++-,其中2x =,3y =-.【答案】xy 2+y 3,9.【解析】【分析】原式去括号合并得到最简结果,把x 与y 的值代入计算即可求出值.【详解】解:2(xy 2+3y 3−x 2y )−(−2x 2y +y 3+xy 2)−4y 3=2xy 2+6y 3-2x 2y +2x 2y -y 3-xy 2-4y 3=xy 2+y 3,当x =2,y =-3时,原式=()()2322339⨯⨯-+-=.【点睛】本题考查了整式的加减-化简求值,熟练掌握运算法则是解本题的关键. 变式1-2 3. 先化简,再求值:()22222333a ab a ab ⎛⎫+-+- ⎪⎝⎭,其中6a =-,23b =. 【答案】232a ab ++,26【解析】【分析】先对整式去括号、合并同类项,再将6a =-,23b =代入求值即可. 【详解】解:()222222223346332323a ab a ab a ab a ab a ab ⎛⎫+-+-=+--+=++ ⎪⎝⎭, 当6a =-,23b =时, 原式()()22636236122263=-+⨯-⨯+=-+= 【点睛】本题考查整式化简求值,解题关键是熟练运用整式的运算法则. 变式1-34. 先化简,再求值:221122y x y x y x xy y ⎛⎫-÷ ⎪-+-+⎝⎭,其中x ,y =1﹣.【答案】x y x y-+ 【解析】【分析】先将括号里的通分得()()()()x y x y x y x y +---+,再将2222y x xy y -+分母用完全平方式转化,再将除法转化成乘法,进行化简,化简之后将x ,y 的值代入求解即可.【详解】解:原式=()()()()()2·2x y x y x y x y x y y+----+=()()·2x y x y x y x y y -+-++=x y x y -+ ;当x ,y =1时,原式( . 方法二:赋值求值法赋值求值法是指代数式中的字母的取值由答题者自己确定,然后求出所提供的代数式的值的一种方法.这是一种开放型题目,答案不唯一,在赋值时,要注意取值范围. 例25. 请将式子211111x x x -⎛⎫⨯+ ⎪-+⎝⎭化简后,再从0,1,2三个数中选择一个你喜欢且使原式有意义的x 的值代入求值.【答案】2x +;当0x =时,原式值为2或当2x =时,原式值为4【解析】【分析】先计算括号内的分式的加法运算,再计算乘法运算,结合分式有意义的条件确定x 的值,再代入计算即可. 【详解】解:原式(1)(1)11111x x x x x x +-+⎛⎫=⋅+ ⎪-++⎝⎭ 2(1)21x x x x +=+⋅=++. 依题意,只要1x ≠就行,当0x =时,原式=22x +=或当2x =时,原式=24x .【点睛】本题考查的是分式的化简求值,掌握分式的混合运算是解题的关键. 变式2-16. 先化简,2211(1)x x x-+÷,然后请你自选一个理想的x 值求出原式的值 【答案】x x 1-,x=2时,原式=2. 【解析】【分析】本题可先把分式化简,再将x 的值代入求解;为了使原分式有意义,x 取1,-1和0以外的任何数. 【详解】原式=()2x 1x x (x 1)x 1+⨯+- =x x 1- x=2时,原式=2.【点睛】本题需注意的是:化简后代入的数不能使分母的值为0,变式2-27. 先化简,再求值:2221169x x x x x -⎛⎫-⋅ ⎪--+⎝⎭,其中x 是从1,2,3中选取的一个合适的数. 【答案】3x x -;-2 【解析】【分析】先计算括号内的异分母分式减法,再计算乘法,最后将可选取的x 值代入计算即可. 【详解】解:原式23(1)1(3)3x x x x x x x --=⋅=---, 当x 2=时,原式2223==--. 【点睛】此题考查分式的化简求值,正确掌握分式的混合运算法则及确定字母的可取数值是解题的关键.方法三:先变形,再整体代入从整体上认识问题和思考问题是一种重要的思想方法,在数学学习中有很广泛的应用,整体思想主要是将所考察的对象作对一个整体来对待,而这个整体是各要素按一定的思路组合成的有机统一体.不求字母的值,将所求代数式变形成与已知条件有关的式子. ①变换条件后,整体代入求值例318. 已知2410x x -=+,求43228481x x x x +--+的值.【答案】 1.-【解析】【分析】由2410x x -=+可得232214,4,41,x x x x x x x =-=-+=再利用整体代入的方法把原式降到是二次多项式,再整体代入求值即可. 【详解】解: 2410x x -=+,232214,4,41,x x x x x x x ∴=-=-+=∴ 43228481x x x x +--+()()22221484481x x x x x =-+---+ 22221632832481x x x x x x =-++---+24163x x =--+()2443x x =-++43 1.=-+=-【点睛】本题考查的是利用整体思想求解代数式的值,掌握降次的思想方法是解题的关键.变式3-1-19. 已知212a a -+=,则222a a a a+--的值为________. 【答案】1【解析】 【分析】由已知可知21a a -=,则21a a -=-,代入即可求值.【详解】解:212a a -+=,21a a ∴-=,则21a a -=-,2222111a a a a ∴+-=-=-. 故答案为1.【点睛】本题考查了求代数式的值,关键是由已知条件求出21a a -=和21a a -=-,考查了整体代入的思想.变式3-1-2 10. 116a b +=,求312a ab b a ab b-+++的值. 【答案】16【解析】【分析】结合题意,根据分式加法的性质,得6a b ab +=;再根据分式性质计算,即可得到答案. 【详解】∵116a b+= ∴6a b ab+= ∴6a b ab += ∴312a ab b a ab b -+++3=12a b ab a b ab +-++63=612ab ab ab ab -+318ab ab = 16=. 【点睛】本题考查了分式、代数式的知识,解题的关键是熟练掌握分式、代数式的性质,从而完成求解.②变换结论后,整体代入求值例3.211. 如果1m n +=,那么代数式()22221m n m n m mn m +⎛⎫+⋅- ⎪-⎝⎭的值为( )A. -3B. -1C. 1D. 3【答案】D【解析】 【分析】原式化简后,约分得到最简结果,把已知等式代入计算即可求出值.【详解】解:原式=()22221m n m n m mn m +⎛⎫+⋅- ⎪-⎝⎭ 2()()()()m n m n m n m n m m n m m n ⎡⎤+-=+⋅+-⎢⎥--⎣⎦ 3()()3()()m m n m n m n m m n =⋅+-=+- 1m n +=∴原式=3,故选D.【点睛】此题考查了分式的化简求值,熟练掌握运算法则是解本题的关键. 变式3-2-112. 已知2xy =-,3x y +=,求整式(310)[5(223)]xy y x xy y x ++-+-的值.【答案】22【解析】【分析】先把整式化简,然后把xy ,x y +分别作为一个整体代入求出整式的值.【详解】(310)[5(223)]xy y x xy y x ++-+-310(5223)xy y x xy y x =++--+3105223xy y x xy y x =++--+5310232x x y y xy xy =++-+-88x y xy =++8()x y xy =++.把2xy =-,3x y +=代入得,原式83(2)24222=⨯+-=-=.【点睛】求整式的值,一般先化简后求值,但当题目中含未知数的部分可以看成一个整体时,要用整体代入法,即把“整体”当成一个新的字母,求关于这个新的字母的代数式的值,这样会使运算更简便.变式3-2-213. 已知12x x -=,则221x x +的值为( ) A. 2 B. 4 C. 6 D. 8【答案】C【解析】 【分析】根据完全平方公式得到214x x ⎛⎫-= ⎪⎝⎭,据此求解即可. 【详解】解:∵12x x -=, ∴214x x ⎛⎫-= ⎪⎝⎭,即41222=+-x x , ∴2216x x +=, 故选:C .【点睛】本题考查了完全平方公式,掌握完全平方公式的结构特征是解决此题的关键.③变换条件和结论后,整体代入求值例3.314. 若2250a ab b +-=,则b a a b-的值为______. 【答案】5【解析】 【详解】∵2250a ab b +-=,∴225b a ab -=,∴b a a b -=22b a ab -=5ab ab =5, 故答案为5.【点睛】本题考查了分式化简求值,正确地对所给的式子进行变形是解决此题的关键.变式3-3-115. 已知x 2﹣3x+1=0,求x 221x +的值. 【答案】7【解析】 【分析】先将等式两边同时除以x ,并整理可得x 1x+=3,然后利用完全平方公式的变形即可求出结论.【详解】解:∵x 2﹣3x+1=0,∴x ﹣31x +=0, ∴x 1x+=3, ∴x 221x +=(x 1x+)2﹣2=32﹣2=7. 【点睛】此题考查的是等式的变形和完全平方公式的变形,掌握完全平方公式的变形是解题关键.变式3-3-216. 先化简,再求值(1a b -,22b a b -,÷2222+a ab a ab b --,其中a,b 满足a+b,12=0, 【答案】原式=1a b+=2 【解析】【分析】原式括号中两项通分并利用同分母分式的减法法则计算,同时利用除法法则变形,约分得到最简结果,把已知等式变形后代入计算即可求出值. 【详解】,1a b -,22b a b -,÷2222+a ab a ab b-- =()()()()2•a b a b b a b a b a a b -+-+-- =1a b+ 由a+b ﹣12=0,得到a+b=12, 则原式=112=2.【点睛】此题考查了分式的化简求值,熟练掌握运算法则是解本题的关键. 方法四:隐含条件求值法先通过隐含条件求出字母值,然后化简再求值.例417. 若单项式23m a b --与12n b a +是同类项,求代数式()222332m mn n n --++的值. 【答案】0【解析】【分析】先通过3ab -与ba 是同类项这一条件,将m 、n 的值求出,然后再化简求值式后求值.【详解】∵23m a b --与12n b a +是同类项,∴2211m n -=⎧⎨+=⎩, 解得:00m n =⎧⎨=⎩∴()222332m mn n n --++ 223m mn n =+-0300=+⨯-0=.【点睛】本题考查了整式运算、代数式、二元一次方程组的知识;解题的关键是熟练掌握同类项、代数式的性质,从而完成求解.变式4-118. 已知2|2|(1)0a b -++=,求()22225242ab a b ab a b ⎡⎤---⎣⎦的值. 【答案】34【解析】【分析】先通过已知式2|2(1)0a b -++=∣, 求出a 、b 的值,因为绝对值式和平方式都具有非负性,如果两个非负数之和等于0,那么它们均为0,再去括号,合并同类项把原式化简,最后代入求值即可.【详解】解:∵2|2|(1)0a b -++=,又∵|2|0-≥a ,2(1)0b +≥,∴2010a b -=⎧⎨+=⎩,解得:21a b =⎧⎨=-⎩., ∴()22225242ab a b ab a b ⎡⎤---⎣⎦ 222544ab ab a b =+-2294ab a b =-.当2a =,1b =-时,原式2292(1)42(1)=⨯⨯--⨯⨯-1816=+34=.【点睛】本题考查的是非负数的性质,整式的加减运算,化简求值,掌握去括号,合并同类项是解题的关键.变式4-219.|83|b -互为相反数,则2127ab ⎛⎫-= ⎪⎝⎭________. 【答案】37【解析】【分析】直接利用非负数的性质进而得出1﹣3a =0,8b ﹣3=0,求出a ,b 的值,再代入所求代数式中即可求出答案.|83|0b -=,0≥,830b -≥∴130a -=,830b -=, ∴13a =,38b =, ∴222112727827371338ab ⎛⎫ ⎪⎛⎫-=-=-= ⎪ ⎪⎝⎭ ⎪⨯⎝⎭. 故答案为37.【点睛】本题考查了非负数的性质,解题时利用了绝对值和二次根式的非负性,也利用了互为相反数的两个数的和为0这个结论.方法五:利用“无关”求值或说理方法总结要说明一个代数式值与某个字母的取值无关时需先对原式进行化简,则可得出该无关字母的系数为0;若给定字母写错得出正确答案,则该代数式的值与该字母无关. 例520. 有这样一道题:计算2222213823333535x x xy y x xy y ⎛⎫⎛⎫-+-+++ ⎪ ⎪⎝⎭⎝⎭的值,其中12x =-,2y =.甲同学把“12x =-”错抄成了“12x =”,他的计算结果也是正确的,你知道这是怎么回事吗?【答案】见解析.【分析】原式去括号合并得到最简结果,即可作出判断. 【详解】解:2222213823333535x x xy y x xy y ⎛⎫⎛⎫-+-+++ ⎪ ⎪⎝⎭⎝⎭ 2222213823333535x x xy y x xy y =--++++ 2y =,结果与x 的取值无关,故甲同学把“12x =-”错抄成了“12x =”,但他计算的结果也是正确的.【点睛】本题考查了整式的加减-化简求值,熟练掌握运算法则是解本题的关键. 变式5-121. 已知2231A x xy y =++-,2B x xy =-.(1)若2A B -的值与y 的值无关,求x 的值.(2)若3A mB x --的值与x 的值无关,求y 的值.【答案】(1)x 的值为1-;(2)y 的值为1.【解析】【分析】(1)将A ,B 代入A -2B ,再去括号,再由题意可得10x +=,求解即可; (2)将A ,B 代入A −mB −3x ,再去括号,再由题意可得20m -=,30y my +-=,求解即可;【详解】解:(1)∵A 2231x xy y =++-,B =2x xy -,∴A -2B=(2231x xy y ++-)-2(2x xy -)=2223122x xy y x xy ++--+331xy y =+-()311x y =+-,∵A -2B 的值与y 的值无关,∴10x +=,∴1x =-;∴x 的值为1-;(2)∵A 2231x xy y =++-,B =2x xy -,=(2231x xy y ++-)-m (2x xy -)−3x=222313x xy y mx mxy x ++--+-()()22331m x y my x y =-++-+-∵A −mB −3x 的值与x 的值无关,∴20m -=,30y my +-=,∴2m =,1y =;∴y 的值为1.【点睛】本题考查了整式的加减,熟练掌握整式的加减的运算法则是解题的关键. 变式5-222. 已知多项式2233x mx nx x -++-+值与x 的取值无关,求()3232mn m mn m mn ⎡⎤---+⎣⎦的值.【答案】2.【解析】【分析】对多项式2233x mx nx x -++-+进行变形为(3)(1)3n x m x -+-+,根据多项式的值与x 的取值无关,则令30n -=,10m -=,求出m 、n 的值,然后代入()3232mn m mn m mn ⎡⎤---+⎣⎦进行计算即可.【详解】2233x mx nx x -++-+解:原式(3)(1)3n x m x =-+-+因为与x 的取值无关所以:30n -=3n =10m -=1m =()3232mn m mn m mn ⎡⎤---+⎣⎦32332mn m mn m mn =-+--2323mn m m =--当1m =,3n =时原式23213311=⨯⨯-⨯-6312=--=【点睛】本题主要考查了整式的加减-化简求值,熟练掌握整式加减的运算法则是解题的关键.方法六:配方法若已知条件含有完全平方式,则可通过配方,把条件转化成几个平方和的形式,再利用非负数的性质来确定字母的值,从而求得结果.例623. 已知a 2,b 2,2a ,4b ,5,0,求2a 2,4b ,3的值.【答案】7,【解析】【详解】试题分析:利用交换律凑出完全平方公式,求出a,b 的值,再代入目标整式求值.试题解析:解:因为a 2+b 2+2a -4b +5=0,,,a 2+2a +1,+,b 2-4b +4,=0,即(a +1,2+,b -2,2=0,,a +1=0且b -2=0,,a =-1且b =2,,原式=2×,-1,2+4×2-3=7,变式6-224. 已知2228170x x y y -+++=,求2()x y +的值.【答案】9【解析】【分析】利用配方法将2228170x x y y -+++=变为22(1)(4)0x y -++=,根据非负数的性质得到1,4==-x y ,最后求出答案.【详解】解:∵2228170x x y y -+++=∴22(21)(816)0x x y y -++++=,∴22(1)(4)0x y -++=∴10,40x y -=+=,∴1,4==-x y ,∴22()(14)9x y +=-=.【点睛】本题考查了配方法的应用以及代数式求值,关键在于将已知方程的左侧进行正确的配方.方法七:平方法在直接求值比较困难时,有时也可先求出其平方,再求平方值的平方根(即以退为进的策略),但要注意最后结果的符号.例725. 已知7x y +=且12xy =,则当x y <时,11x y 的值等于________. 【答案】112【解析】【分析】利用分式的加减运算法则与完全平方公式把原式化为:222()4x y xy x y +-,再整体代入求值,再利用平方根的含义可得答案.【详解】解:因为7x y +=,12xy =, 所以2222211()y x x y x y xy x y ⎛⎫⎛⎫---== ⎪ ⎪⎝⎭⎝⎭ 22222()47412112144x y xy x y +--⨯===, 又因为x y <,所以110x y->, 所以11112x y -=, 故答案为:112. 【点睛】本题考查的是由条件式求解分式的值,掌握变形的方法是解题的关键. 变式7-126. 已知13x x +=,则1x x-的值是________.【答案】【分析】把已知等式两边平方,利用完全平方公式化简,整理求出221x x +的值,再利用完全平方公式即可求出所求式子的值. 【详解】解:由13x x +=,得到219x x ⎛⎫+= ⎪⎝⎭,即2217x x +=, ∴2221125x x x x ⎛⎫-=+-= ⎪⎝⎭,∴1x x-=故答案为:【点睛】本题考查了分式的化简求值,熟练掌握完全平方公式的变形是解本题的关键.变式7-227. 若22212,60a b c a b c ++=++=,求ab ac bc ++的值【答案】42【解析】【分析】根据题意先将式子a +b +c =12进行完全平方后展开可得式子2222()144,222a b c a b b ab a c c c +++++=++=结合22260,a b c ++=求出ab +ac +bc 的值.【详解】根据题意可得:2222()144222a c b ac a b c c b b a +++++=+=+, 将22260a b c ++=代入式子可得2()60144222ab a a b c c bc +++=++=, 则42ab ac bc +=+故答案为42.【点睛】此题考查完全平方公式,解题关键在于结合实际运用完全平方公式. 方法八:特殊值法有些试题,用常规方法直接求解比较困难,若根据答案中所提供的信息,选择某些特殊情况进行分析,或选择某些特殊值进行计算,把一般形式变为特殊形式进行判断,这时常常会使题目变得十分简单.例828. 若3230123)x a a x a x a x =+++,则()()220213a a a a +-+的值为【答案】1【解析】【分析】把1x =代入已知计算得到301231)a a a a +++=;把1x =-代入已知计算得到301231)a a a a -+-=+;再利用平方差公式即可求解.【详解】解:由3230123)x a a x a x a x =+++,若令1x =,则301231)a a a a +++=;若令1x =-,则301231)a a a a -+-=+,所以()()220213a a a a +-+ ()()02130213a a a a a a a a =++++--331)1)=31)]=1=.故答案为:1.【点睛】本题考查了代数式求值,求代数式的值可以直接代入、计算.如果给出的代数式可以化简,要先化简再求值.变式8-129. 已知实数a ,b 满足1a b ⋅=,那么221111a b +++的值为( ) A. 14 B. 12C. 1D. 2 【答案】C【解析】【分析】把所求分式通分,再把已知条件代入求解.【详解】解:∵•1a b =,∴()2221a b ab ==, ∴22222222112111a b a b a b b a +++=+++++ 2222211a b b a ++=+++1=.故选:C .【点睛】本题考查了分式的化简求值, 妥题的关键是利用a•b=1,把a•b=1代入通分的式子就可得到,分子分母相等的一个分式,所以可求出答案是1. 方法九:设参法遇到比值的情况,可对比值整体设参数,把每个字母用参数表示,然后代入计算即可. 例930. 已知234x y z ==,求222xy yz zx x y z ++++的值. 【答案】2629【解析】 【分析】先根据234xy z ==设出(0)234x y z k k ===≠,得到2x k =,3y k =,4z k =,然后代入分式求值即可. 【详解】解:设(0)234x y z k k ===≠, 则2x k =,3y k =,4z k =. ∴222xy yz zx x y z ++++ 22222261284916k k k k k k++=++ 2226262929k k ==. 【点睛】本题考查的是分式的化简求值,在解答此类题目时要注意,当条件是连等式,因此可用设参数法,即设出参数k ,得出x ,y ,z 与k 的关系,然后再代入待求的分式化简是解题的关键.变式9-131. 若x y a b b z c c a==---,求x y z ++的值. 【答案】0【解析】 【分析】设===---x y z k a b b c c a,则()x k a b =-,()y k b c =-,()z k c a =-,然后计算即可得到答案. 【详解】解:∵x y a b b z c c a ==---, 设===---x y z k a b b c c a, ∴()x k a b =-,()y k b c =-,()z k c a =-,∴()()()x y z k a b k b c k c a ++=-+-+-=ka kb kb kc kc ka -+-+-=0;【点睛】本题考查了比例的性质,求代数式的值,解题的关键是熟练掌握比例的性质进行解题.变式9-232. 已知0347x y z ==≠,求3x y z y ++的值. 【答案】5【解析】【分析】设已知等式等于k ,表示出x ,y ,z ,代入原式计算即可得到结果. 【详解】解:设347x y z k ===, 则x =3k ,y =4k ,z =7k , ∴394754x y z k k k y k++++==. 【点睛】本题考查了比例的性质,利用等式的性质得出x =3k ,y =4k ,z =7k 是解题关键.方法十:利用根与系数的关系如果代数式可以看作某两个“字母”的轮换对称式,而这两个“字母”又可能看作某个一元二次方程的根,可以先用根与系数的关系求得其和、积式,再整体代入求值. 直接用根与系数的关系求值例10.133. 阅读材料:设一元二次方程20ax bx c ++=的两根为1x ,2x ,则两根与方程系数之间有如下关系12b x x a +=-,12c x x a⋅=根据该材料填空: 已知1x ,2x 是方程2630x x ++=的两实数根,则2112x x x x +的值为_____ 【答案】10【解析】 【分析】根据一元二次方程的根与系数的关系得到,两根之和与两根之积,把代数式变形成与两根之和和两根之积有关的式子,代入两根之和与两根之积,求得代数式的值.【详解】解:由题意知,12126,3b x x x x a+=-=-=, 所以()2222121221211212122(6)23103x x x x x x x x x x x x x x +-⋅+--⨯+====⋅⋅. 故答案为:10.变式10-1-134. 已知1x 、2x 是一元二次方程220x x --=的两个根,则1211+x x 的值是( ) A. 1 B. 12 C. 1- D. 12- 【答案】D【解析】 【分析】根据1x 、2x 是一元二次方程220x x --=的两个根得到12121,2x x x x +==-,再将1211+x x 变形为1212x x x x +,然后代入计算即可. 【详解】解:∵1x 、2x 是一元二次方程220x x --=的两个根,∴12121,2x x x x +==- ∵12121211x xx x x x ++=, ∴121212111122x x x x x x ++===--, 选D .【点睛】本题主要考查了一元二次方程20(a 0)++=≠ax bx c 的根与系数的关系:若方程的两根为1x 、2x ,则1212,b c x x x x a a+=-=,熟记知识点与代数式变形是解题的关键.②构造一元二次方程,利用根与系数的关系求值.例10.235. 已知21a a -=,21b b -=,求a b b a+的值.【答案】-3【解析】【分析】由已知得a ,b 是方程210x x --=的两个根,再根据一元二次方程根与系数的关系求解即可.【详解】解:∵21a a -=,21b b -=,即210a a --=,210b b --=, ∴a ,b 是方程210x x --=的两个根,∴1a b +=,1ab =-,∴2222()212(1)31a b a b a b ab b a ab ab ++--⨯-+====--. 【点睛】本题考查了一元二次方程根与系数的关系,熟练地掌握一元二次方程根与系数的关系是解题的关键.方程20ax bx c ++=(0a ≠)的两根为12x x 、,则有12b x x a +=-,12c x x a=. 变式10-2-136. 已知2430m m -+=,22310n n -+=,1mn ≠,求值221m n +. 【答案】5或13或10【解析】【分析】通过求解一元二次方程,并结合题意,得到m 和n 的值,再代入计算即可得到答案.【详解】∵2430m m -+=∴()()130m m --=∴1m =或3m =∵22310n n -+=∴()()2110n n --=∴12n =或1n = ∵1mn ≠ ∴当1m =时,12n =;当3m =时,12n =或1n = ∴2215m n +=或13或10. 【点睛】本题考查了一元二次方程、代数式的知识;解题的关键是熟练掌握一元二次方程的性质,从而完成求解.③根的含义和根与系数的关系结合使用求值例10.337. 已知1x ,2x 是方程2310x x -+=的两根,求2211222584x x x x ++++的值.【答案】34 【解析】【分析】由1x ,2x 是方程2310x x -+=的两根,可得123x x +=,21131x x =-,22231x x =-,再把原式降次为:()12111x x ++,从而可得答案.【详解】解:∵1x ,2x 是方程2310x x -+=的两根∴123x x +=,21131x x =-,22231x x =-∴221122112225846253184x x x x x x x x ++++=-++-++()1211133134x x =++=+=【点睛】本题考查的是一元二次方程的解,一元二次方程根与系数的关系,掌握降次的思想是解题的关键.变式10-3-238. 已知α、β是方程210x x --=的两个实根,求5325αβ+的值. 【答案】21 【解析】【分析】由方程的解与根与系数的关系可得:2210,10,+=11,ααββαβαβ--=--==-,再把5325αβ+降次为2255155ααββ++++,再变形,整体代入计算即可得到答案. 【详解】解: α、β是方程210x x --=的两个实根,2210,10,+=11,ααββαβαβ∴--=--==-, 22=+1,=+1,ααββ∴()()2532+5=2+1+5+1αβααββ∴32224255αααββ=++++()22214255ααααββ=+++++226455ααββ=+++ 2255155ααββ=++++()()25251αβαβαβ⎡⎤=+-+++⎣⎦()51251121.=⨯++⨯+=【点睛】本题考查的是一元二次方程的解的含义,一元二次方程根与系数的关系,掌握降次的思想是解题的关键.方法十一:利用分式的基本性质求值例1139. 已知3x y =,求222223x xy y x xy y +--+的值.【答案】127【解析】【详解】试题分析:由3x y =可得:3x y =代入式子222223x xy y x xy y +--+中化简即可. 试题解析, ,3xy=, , x =3y.∴()()()222222222232322312127733y y y y x xy y y x xy y y y y y y+⨯⨯-+-===-+-⨯+ . 例11-140. 先化简,再求值:2222m n m mn n +-+·(m,n),其中mn,2.【答案】原式=2m nm n+-=5. 【解析】【详解】【试题分析】先将分母进行因式分解,再约分化简,最后代入即可.2222m n m mn n +-+·(m,n),()22m n m n +-·(m,n),2m nm n +-. 因为m n ,2,所以m,2n. 所以原式=42n nn n+-,5. 【试题解析】2222m n m mn n +-+·(m,n),()22m n m n +-·(m,n),2m nm n +-. 因为m n ,2,所以m,2n. 所以原式=42n nn n+-,5. 【方法点睛】本题目是一道分式的化简求值,方法是:先将每个式子进行因式分解,再约分,化简.方法十二:利用消元法求值若已知条件以比值的形式出现,则可利用比例的性质设比值为一个参数,或利用一个字母来表示另一个字母. 例1241. 如果2a b =,则2222a ab b a b -++= ( ) A.45B. 1C. 35D. 2【答案】C 【解析】【详解】由题意可知,2a b =,因此222222222224233455a ab b b b b b a b b b b -+-+===++,故选C 变式12-142. 若43a b =,则a bb-的值是( ) A.13 B.23C. 1D.43【答案】A 【解析】【分析】由已知得到43a b =,再代入原式计算即可求解. 【详解】解:∵43a b =, ∴43a b =, ∴4133b ba b b b --==, 故选:A .【点睛】本题考查了比例的性质,由已知得到43a b =再代入计算是解题的关键. 变式12-243. 已知2a c b d ==,求a b a +和c d c d -+值.【答案】32,13【解析】【分析】由2a cb d==可得2a b =,2c d =,再代入求值即可. 【详解】解:∵2a cb d ==,∴2a b =,2cd =.∴2322a b b b a b ++==, 2123c d d d c d d d --==++. 【点睛】本题考查的是比例的基本性质,掌握利用含有一个字母的代数式表示另外一个字母是解题的关键.变式12-344. 若29a b c +=,25a b c -=,则22222223749a b c a b c ++=-+________. 【答案】2 【解析】【分析】结合题意,通过求解二元一次方程组,分别的a 、b 和c 的关系式;再通过分式性质运算,即可得到答案.【详解】∵2925a b ca b c+=⎧⎨-=⎩,∴7a cb c=⎧⎨=⎩∴22222223749a b ca b c++=-+2222222(7)37(7)49c c cc c c++-+22108254cc==故答案为:2.【点睛】本题考查了二元一次方程组、分式运算、代数式的知识;解题的关键是熟练掌握二元一次方程组、合并同类项、分式、代数式的性质,从而完成求解.方法十三:利用倒数法求值倒数法是指将已知条件或待求的代数式作倒数变形,从而求出代数式的值的一种方法.例1345. 已知21 13 xx=+,求241xx+的值.【答案】1 7【解析】【分析】由21 13 xx=+可得0x≠,再取倒数可得:213xx+=,即13xx+=,再求解原代数式的倒数242221112,xx xx x x+⎛⎫=+=+-⎪⎝⎭从而可得答案.【详解】解:由21 13 xx=+知0x≠,所以213xx+=,即13xx+=.所以2422221112327xx xx x x+⎛⎫=+=+-=-=⎪⎝⎭.故241xx+的值为17.【点睛】本题考查的是利用倒数法求解分式的值,掌握222112x xx x⎛⎫+=+-⎪⎝⎭是解题的关键. 变式13-146. 已知21315x x x =-+,求2421x x x ++的值. 【答案】163【解析】【分析】已知等式分子分母除以x 变形求出1x x +的值,两边平方求出221x x+的值,原式分子分母除以2x 变形后,将各自的值代入计算即可求出值. 【详解】解:由21315x x x =-+知0x ≠,∴2315x x x -+=,即135x x -+=. ∴18x x+=. ∴2164x x ⎛⎫+= ⎪⎝⎭,∴22162x x +=, ∴4222211162163x x x x x ++=++=+=.∴2421163x x x =++. 【点睛】本题考查了分式的化简求值,熟练掌握运算法则是解本题的关键.变式13-247. 若22237y y ++的值为14,则21461y y +-的值为( ).A. 1B. -1C. -17 D. 15【答案】A 【解析】【详解】解:设234x x y += ,∵22347x x ++ 的值为14, ∴2174y =+,计算得出y=1, ∴2111681121x x ==+-⨯-.所以A 选项是正确的.点睛:本题主要考查了计算分式的值,设234x x y +=是解题关键,注意整体代入思想的运用.变式13-348. 已知14x x -=,则24251x x x =-+_______.【答案】113. 【解析】【分析】计算21()16x x-=,从而得到221+18x x =,然后先求原式的倒数,从而求解. 【详解】解:∵14x x-= ∴21()16x x-=221-2+16x x = ∴221+18x x = 42222551118513x x x x x --+=-==+∴24215113x x x =-+ 故答案为:113. 【点睛】本题考查倒数,完全平方公式的运用及分式的化简求值,掌握完全平方公式的结构以及分式的化简计算是解题关键.总结:事实上,以上这些方法并不是绝对孤立不变的,有时需要多种方法一起使用才能灵活解决问题,解题时,要仔细观测,深入分析,以便选择合理的解题方法,做到简洁、快速解题.。
初中数学整式的混合运算—化简求值(含答案)1.求值:x2(x﹣1)﹣x(x2+x﹣1),其中x=.考点:整式的混合运算—化简求值。
分析:先去括号,然后合并同类项,在将x的值代入即可得出答案.解答:解:原式=x3﹣x2﹣x3﹣x2+x=﹣2x2+x,将x=代入得:原式=0.故答案为:0.点评:本题考查了整式的混合运算化简求值,是比较热点的一类题目,但难度不大,要注意细心运算.2.先化简,再求值:(1)a(a﹣1)﹣(a﹣1)(a+1),其中.(2)[(2a+b)2+(2a+b)(b﹣2a)﹣6ab]÷2b,且|a+1|+=0.考点:整式的混合运算—化简求值;非负数的性质:偶次方;非负数的性质:算术平方根。
专题:计算题。
分析:(1)先将代数式化简,然后将a的值代入计算;(2)先将代数式化简,然后将a、b的值代入计算.解答:解:(1)a(a﹣1)﹣(a﹣1)(a+1)=a2﹣a﹣a2+1=1﹣a将代入上式中计算得,原式=a+1=+1+1=+2(2)[(2a+b)2+(2a+b)(b﹣2a)﹣6ab]÷2b=(4a2+4ab+b2﹣4a2+2ab﹣2ab+b2﹣6ab)÷2b=(2b2﹣2ab)÷2b=2b(b﹣a)÷2b=b﹣a由|a+1|+=0可得,a+1=0,b﹣3=0,解得,a=﹣1,b=3,将他们代入(b﹣a)中计算得,b﹣a=3﹣(﹣1)=4点评:这两题主要题考查的是整式的混合运算,主要考查了公式法、单项式与多项式相乘以及合并同类项的知识点.3.化简求值:(a+1)2+a(a﹣2),其中.考点:整式的混合运算—化简求值。
专题:计算题。
分析:先按照完全平方公式、单项式乘以多项式的法则展开,再合并,最后把a的值代入计算即可.解答:解:原式=a2+2a+1+a2﹣2a=2a2+1,当a=时,原式=2×()2+1=6+1=7.点评:本题考查了整式的化简求值,解题的关键是公式的使用、合并同类项.4.,其中x+y=3.考点:整式的混合运算—化简求值。
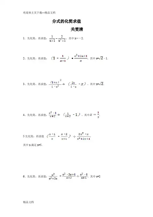
分式的化简求值关雯清1.先化简,再求值:12112---x x ,其中x =-2.2、先化简,再求值:,其中a=﹣1.3、先化简,再求值:,其中x=.4、先化简,再求值:,其中.5先化简,再求值, 其中x 满足x=5.6、先化简,再求值:,其中a=27、先化简211111x x x x -÷-+-(),再从﹣1、0、1三个数中,选择一个你认为合适的数作为x 的值代入求值.8、先化简,再求值:(+1)÷,其中x=2.9、先化简,再求值:3x –3 – 18x 2 – 9 ,其中x = 410、先化简下列式子,再从2,﹣2,1,0,﹣1中选择一个合适的数进行计算..11、先化简,再求值:12-x x (xx 1--2),其中x =2.12、先化简,再求值:,其中X=213、先化简22()5525x x x x x x -÷---,然后选取一个你认为符合题意的x 的值代入求值.14、先化简,再求值:62296422+-÷++-a a a a a ,其中5-=a .15先化简。
再求值: 2222121111a a a a a a a +-+⋅---+,其中12a =-。
18. 先化简,再求值:⎝ ⎛⎭⎪⎫1+ 1 x -2÷ x 2-2x +1 x 2-4,其中x =-5.19.先化简,再把 x 取一个你最喜欢的数代入求值:2)22444(22-÷+-++--x x x x x x x20.先化简22144(1)11x x x x -+-÷--,然后从-2≤x ≤2的范围内选取一个合适的整数作为x 的值代入求值.21、先化简,再求值:,其中x=2,y=﹣1.。
精品文档初二数学分式化简求值练习题及答案2、先化简,再求值:12?2,其中x,,2( x?1x?1,其中a=,1(3、先化简,再求值:4、先化简,再求值:5先化简,再求值6、化简:7、先化简,再求值:,其中(,其中x=(,其中x满足x,x,1=0(2a?3ba?b? a?ba?b,其中a=(先化简x11?)?2,再从,1、0、1三个数中,选择一个你认x?1x?1x?1为合适的数作为x的值代入求值(1 / 26精品文档9、先化简,再求值:先化简下列式子,再从2,,2,1,0,,1中选择一个合适的数进行计算(12、先化简,再求值:13、先化简,再求值:,其中((318+1)?,其中x=2(x?1x,其中x=2.xx?1??x?2?3xx2x?)?14、先化简?2x?1x?1x?12a?1a2?2a?111a????值:2,其中。
2a?1a2?aa?11x,2x,118(先化简,再求值:??1,x,2?x2,4x,,5(??x2?1?2x?1?22 / 26精品文档??x?19. 先化简再计算:2?,其中x是一元二次方程x?2x?2?0的正数根. x?x?x?2m2?2m?1m?120 化简,求值: )其中m=( ? aa??x?3x2?6x?91?2?,再取恰的x的值代入求值.3请你先化简分式2x?1x?2x?1x?12a?2a2?1??a?1??224、先化简再求值其中a=+1 a?1a?2a?125、化简,其结果是(x2,16x26(先化简,再求值:?,其中x3,4(x,2x,2xx2,4x,4x,22x27、先化简,再求值:,x,2.x,162x,8x,428、先化简,再求值:?2,其中x?4( x?2x?2x?42aa3 / 26精品文档?)?a,其中a?1. a?11?a30、先化简,再求值:?a,其中aa2?11?a2?1?x?1(?1???x?x?1a?1?aab2a?b)?32(?a2?b2a?bb?a2??233先化简,再求值:?a?1???a?1,其中a1( a?1????34化简:(35(先化简,再求值:11?a2a?,其中( ?221-a1?a4 / 26精品文档x2,2x,1x36、.先化简,x值代入求值.x,1x,1x22x?1?39(当x??2时,求的值( x?1x?1x2?42?xx?)?40先化简,再把x取一个你最喜欢的数代入求值:42、先化简,再求值:43、先化简:先化简,再求值(+x(其中45、先化简,再求值,?(再从1,2,3中选一个你认为2(+)?,其中x=2(1化简,再从,1,1两数中选取一个适当的数作为x的值代x?1入求值(全国初中数学竞赛辅导第四讲分式的化简与求值分式的有关概念和性质与分数相类似,例如,分式的分母的值不能是零,即分式只有在分母不等于零时才有意义;也像分数一样,分式的分子与分母都乘以同一个不等于5 / 26精品文档零的整式,分式的值不变,这一性质是分式运算中通分和约分的理论根据(在分式运算中,主要是通过约分和通分来化简分式,从而对分式进行求值(除此之外,还要根据分式的具体特征灵活变形,以使问题得到迅速准确的解答(本讲主要介绍分式的化简与求值(例1 化简分式:分析直接通分计算较繁,先把每个假分式化成整式与真分式之和的形式,再化简将简便得多(,,--+,说明本题的关键是正确地将假分式写成整式与真分式之和的形式(例求分式当a=2时的值(分析与解先化简再求值(直接通分较复杂,注意到平方差公式:a-b=,可将分式分步通分,每一步只通分左边两项(22例若abc=1,求分析本题可将分式通分后,再进行化简求值,但较复杂(下面介绍几种简单的解法(解法1 因为abc=1,所以a,b,c都不为零(解法因为abc=1,所以a?0,b?0,c?0(6 / 26精品文档例化简分式:分析与解三个分式一齐通分运算量大,可先将每个分式的分母分解因式,然后再化简(说明互消掉的一对相反数,这种化简的方法叫“拆项相消”法,它是分式化简中常用的技巧(例化简计算:似的,对于这个分式,显然分母可以分解因式为,而分子又恰好凑成+,因此有下面的解法(解说明本例也是采取“拆项相消”法,所不同的是利用例已知:x+y+z=3a,求分析本题字母多,分式复杂(若把条件写成++=0,那么题目只与x-a,y-a,z-a有关,为简化计算,可用换元法求解(解令x-a=u,y-a=v,z-a=w ,则分式变为u+v+w+2=0(由于x,y,z不全相等,所以u,v,w不全为零,所以u+v+w?0,从而有7 / 26精品文档222222说明从本例中可以看出,换元法可以减少字母个数,使运算过程简化(下例同:例化简分式:变形,化简分式后再计算求值(适当22=3,即x-8x+13,0(原式分子=+++10432322分式练习题及答案初二1、当x为何值时,分式x2 8 / 26精品文档?1x2?x?2有意义,当x为何值时,分式x2?1 x2?x?2的值为零,2、计算: a2?4x2a?2??a?2??1a?22x?x?2?x? ??1??1?x??xx?2??? x2?2x ?22?x?y??x?y?1124?3x?x?y??x?y?3x????9 / 26精品文档?x1?x?1?x?1?x2?1?x43、计算已知x2x2?2?1,求11??x的值。
一.解答题(共30小题)先化简再求值1.化简求值:,选择一个你喜欢且有意义的数代入求值.2.先化简,再求值,然后选取一个使原式有意义的x值代入求值.3.先化简再求值:选一个使原代数式有意义的数代入中求值.4.先化简,再求值:,请选择一个你喜欢的数代入求值.5.(2010?红河州)先化简再求值:.选一个使原代数式有意义的数代入求值.6.先化简,再求值:(1﹣)÷,选择一个你喜欢的数代入求值.7.先化简,再求值:(﹣1)÷,选择自己喜欢的一个x求值.8.先化简再求值:化简,然后在0,1,2,3中选一个你认为合适的值,代入求值.9.化简求值(1)先化简,再求值,选择你喜欢的一个数代入求值.(2)化简,其中m=5.10.化简求值题:(1)先化简,再求值:,其中x=3.(2)先化简,再求值:,请选一个你喜欢且使式子有意义的数字代入求值.(3)先化简,再求值:,其中x=2.(4)先化简,再求值:,其中x=﹣1.11.(2006?巴中)化简求值:,其中a=.12.(2010?临沂)先化简,再求值:()÷,其中a=2.13.先化简:,再选一个恰当的x值代入求值.14.化简求值:(﹣1)÷,其中x=2.15.(2010?綦江县)先化简,再求值,,其中x=+1.16.(2009?随州)先化简,再求值:,其中x=+1.17.先化简,再求值:÷,其中x=tan45°.18.(2002?曲靖)化简,求值:(x+2)÷(x﹣),其中x=﹣1.19.先化简,再求值:(1+)÷,其中x=﹣3.20.先化简,再求值:,其中a=2.21.先化简,再求值÷(x﹣),其中x=2.22.先化简,再求值:,其中.23.先化简,再求值:(﹣1)÷,其中x?.24.先化简代数式再求值,其中a=﹣2.25.(2011?新疆)先化简,再求值:(+1)÷,其中x=2.26.先化简,再求值:,其中x=2.27.(2011?南充)先化简,再求值:(﹣2),其中x=2.28.先化简,再求值:,其中a=﹣2.29.(2011?武汉)先化简,再求值:÷(x﹣),其中x=3.30.化简并求值:?,其中x=22013年6月朱鹏的初中数学组卷参考答案与试题解析一.解答题(共30小题)1.化简求值:,选择一个你喜欢且有意义的数代入求值.考点:分式的化简求值.专题:开放型.分析:首先对小括号内的运算进行运算,然后把除法转化为乘法后进行乘法运算,最后,把喜欢的有意义的数代入求值即可.解答:解:原式==x﹣1,当x=2时,原式=x﹣1=2﹣1=1.点评:本题主要考查分式的加减法运算、乘除法运算,因式分解,关键在于正确的对分式进行化简,认真的计算,注意x的取值不能是分式的分母为零.2.先化简,再求值,然后选取一个使原式有意义的x值代入求值.考点:分式的化简求值.专题:开放型.分析:先计算括号里的减法运算,再计算除法.最后选一个有意义的值代入,即分母不为0的值.解答:解:原式=(2分)=(3分)=(5分)=x+4(6分)当x=0时,原式=4.(8分)(注x可取不等1,4的任何数)点评:本题主要考查分式的化简求值,把分式化到最简是解答的关键,通分、因式分解和约分是基本环节.注意做此题时,选值时一定要使原式有意义,即分母不能为0.3.先化简再求值:选一个使原代数式有意义的数代入中求值.考点:分式的化简求值.专题:开放型.分析:先根据分式的运算法则把原式化简,再选一个使原代数式有意义的数代入求值即可.解答:解:,=﹣,=﹣;又为使分式有意义,则a≠﹣3、﹣2、2;令a=1,原式=﹣=﹣1.点评:本题考查了分式的四则运算,在计算时,要弄清楚运算顺序,先进行分式的乘除,加减运算.再代值计算,注意化简后,代入的数不能使分母的值为0.4.先化简,再求值:,请选择一个你喜欢的数代入求值.考点:分式的化简求值.专题:开放型.分析:将括号里通分,除法化为乘法,约分,再代值计算,注意a的取值不能使原式的分母、除式为0.解答:解:原式=?=,当a=﹣1时,原式==.点评:本题考查了分式的化简求值.解答此题的关键是把分式化到最简,然后代值计算.5.(2010?红河州)先化简再求值:.选一个使原代数式有意义的数代入求值.考点:分式的化简求值.专题:开放型.分析:先根据分式的运算法则把原式化简,再选一个使原代数式有意义的数代入求值即可.解答:解:原式==,=,=.当a=1时,(a的取值不唯一,只要a≠±2、﹣3即可)原式=.点评:此题答案不唯一,只需使分式有意义即可.6.先化简,再求值:(1﹣)÷,选择一个你喜欢的数代入求值.考点:分式的化简求值.专题:开放型.分析:把括号中通分后,利用同分母分式的减法法则计算,同时将除式的分子分解因式后,再利用除以一个数等于乘以这个数的倒数把除法运算化为乘法运算,约分后得到最简结果,然后选择一个x的值代入化简后的式子中,即可求出原式的值.解答:解:(1﹣)÷=?=?=,当x=2时,原式=1.(答案不唯一,x不能取﹣2,±1)点评:此题考查了分式的化简求值,分式的加减运算关键是通分,通分的关键是找出最简公分母;分式的乘除运算关键是约分,约分的关键是找公因式,化简求值题要将原式化为最简后再代值,本题中由分母不为0,得到x不能取﹣2,1及﹣1,故注意这几个数不要取.7.先化简,再求值:(﹣1)÷,选择自己喜欢的一个x求值.考点:分式的化简求值.专题:计算题.分析:原式被除数括号中两项通分并利用同分母分式的减法法则计算,除数分子利用平方差公式分解因式,分母利用完全平方公式分解因式,再利用除以一个数等于乘以这个数的倒数将除法运算化为乘法运算,约分得到最简结果,将x=1代入计算即可求出值.解答:解:原式=÷=﹣?=﹣,当x=1时,原式=﹣=4.点评:此题考查了分式的化简求值,分式的加减运算关键是通分,通分的关键是找最简公分母;分式的乘除运算关键是约分,约分的关键是找公因式,约分时,分式的分子分母出现多项式,应将多项式分解因式后再约分.8.先化简再求值:化简,然后在0,1,2,3中选一个你认为合适的值,代入求值.考点:分式的化简求值.专题:计算题.分析:将原式括号中两项通分并利用同分母分式的减法法则计算,整理后再利用完全平方公式分解因式,然后利用除以一个数等于乘以这个数的倒数将除法运算化为乘法运算,约分得到最简结果,最后将a=2或a=3(a不能为0和1)代入化简后的式子中计算,即可得到原式的值.解答:解:原式=÷=÷=?=,当a=2时,(a的取值不唯一,只要a≠0、1)原式==1;当a=3时,(a的取值不唯一,只要a≠0、1)原式==.点评:此题考查了分式的化简求值,分式的加减运算关键是通分,通分的关键是找最简公分母;分式的乘除运算关键是约分,约分的关键是找出公因式,约分时,分式的分子分母出现多项式,应将多项式分解因式后再约分.9.化简求值(1)先化简,再求值,选择你喜欢的一个数代入求值.(2)化简,其中m=5.考点:分式的化简求值.分析:(1)将原式的分子、分母因式分解,约分,再给x取值,代值计算,注意:x的取值要使原式的分母有意义;(2)将(m+1)与前面的括号相乘,运用分配律计算.解答:解:(1)原式=?=,取x=2,原式==1;(2)原式=m+1﹣?(m+1)=m+1﹣1=m,当m=5时,原式=5.点评:本题考查了分式的化简求值.分式的混合运算需特别注意运算顺序及符号的处理,也需要对通分、分解因式、约分等知识点熟练掌握.10.化简求值题:(1)先化简,再求值:,其中x=3.(2)先化简,再求值:,请选一个你喜欢且使式子有意义的数字代入求值.(3)先化简,再求值:,其中x=2.(4)先化简,再求值:,其中x=﹣1.考点:分式的化简求值.专题:计算题.分析:(1)先算除法,再算同分母加法,然后将x=3代入即可求得分式的值;(2)首先把括号里因式进行通分,然后把除法运算转化成乘法运算,进行约分化简,再把数代入,不能选2,±3,会使原式无意义.(3)先将括号内的部分通分,再将除法转化为乘法,然后将x=2代入即可求得分式的值;(4)先约分化简,再计算同分母加法,然后将x=﹣1代入即可求得分式的值.解答:解:(1)=?+=,把x=3代入,原式=.(2)=?=,把x=1代入,原式=.(3)=?=,把x=2代入,原式=1.(4)=+=,把x=﹣1代入,原式=﹣1.点评:考查分式的化简与求值,主要的知识点是因式分解、通分、约分等.注意(2)化简后,代入的数不能使分母的值为0.11.(2006?巴中)化简求值:,其中a=.考点:分式的化简求值;分母有理化.专题:计算题.分析:先通过分解因式、约分找到最简公分母,再通分,得最简形式,最后把a=代入求值.解答:解:原式===﹣;当a=时,原式=﹣=1﹣.点评:考查分式的化简与求值,主要的知识点是因式分解、通分、约分等.12.(2010?临沂)先化简,再求值:()÷,其中a=2.考点:分式的化简求值.专题:计算题.分析:先对通分,再对a2﹣1分解因式,进行化简.解答:解:原式===﹣=.∵a=2,∴原式=﹣1.点评:本题主要考查分式的化简求值.13.先化简:,再选一个恰当的x值代入求值.考点:分式的化简求值.专题:开放型.分析:这道求代数式值的题目,不应考虑把x的值直接代入,通常做法是先把代数式化简,然后再代入求值.需注意的是x的取值需使原分式有意义.解答:解:原式==(x+2)(x﹣1)=x2+x﹣2;当x≠﹣1,x≠1时,代入解答正确即可给分.点评:注意化简后,代入的数要使原式以及化简中的每一步都有意义.14.化简求值:(﹣1)÷,其中x=2.考点:分式的化简求值.专题:计算题.分析:先将括号内的部分通分,再将除法转化为乘法进行计算.解答:解:原式=(﹣)÷=?=﹣=,当x=2时,原式==﹣.点评:本题考查了分式的化简求值,学会因式分解是解题的关键.15.(2010?綦江县)先化简,再求值,,其中x=+1.考点:分式的化简求值.专题:计算题.分析:本题考查的化简与计算的综合运算,关键是正确进行分式的通分、约分,并准确代值计算.解答:解:原式=,把x=+1,代入得:原式=.点评:本题所考查的内容“分式的运算”是数与式的核心内容,全面考查了有理数、整式、分式运算等多个知识点,要合理寻求简单运算途径的能力及分式运算.尤其要注意的是含有无理数的时候最后结果要分母有理化.16.(2009?随州)先化简,再求值:,其中x=+1.考点:分式的化简求值;分母有理化.专题:计算题.分析:这是个分式除法与减法混合运算题,运算顺序是先做括号内的减法,先进行通分;做除法时要注意先把除法运算转化为乘法运算,而做乘法运算时要注意先把分子、分母能因式分解的先分解,然后约分.解答:解:原式===;当x=+1时,原式==.点评:此题要特别注意符号的处理.化简和取值的结果都要求达到最简为止.17.先化简,再求值:÷,其中x=tan45°.考点:分式的化简求值;特殊角的三角函数值.专题:计算题.分析:首先利用分式的混合运算法则计算化简,最后代入数值计算即可求解.解答:解:÷=x﹣2,∵x=tan45°=1,∴原式=x﹣2=﹣1.点评:此题主要考查了分式的化简求值,其中化简的关键是分式的乘法法则和约分.18.(2002?曲靖)化简,求值:(x+2)÷(x﹣),其中x=﹣1.考点:分式的化简求值.专题:计算题.分析:首先把括号里的式子进行通分,然后把除法运算转化成乘法运算,进行约分化简,最后代值计算.解答:解:原式=(x+2)×=当x=﹣1时,原式==﹣2.点评:本题主要考查分式的混合运算,注意运算顺序,并熟练掌握同分、因式分解、约分等知识点.19.先化简,再求值:(1+)÷,其中x=﹣3.考点:分式的化简求值.专题:计算题.分析:把原式括号中通分后,利用同分母分式的加法法则:分母不变,只把分子相加减,计算出结果,同时把除数中的分母利用平方差公式分解因式后,利用除以一个数等于乘以这个数的倒数把除法运算化为乘法运算,约分即可得到最简结果,然后把x的值代入即可求出原式的值.解答:解:原式=(+)?=?=,当x=﹣3时,原式==﹣1.点评:此题考查了分式的化简求值,解答此类题要先把原式化为最简,然后再代值,用到的方法有分式的加减法及乘除法,分式的加减法的关键是通分,通分的关键是找出各分母的最简公分母,分式乘除法的关键是约分,约分的关键是找出公因式,在约分时遇到多项式,应先将多项式分解因式再约分.20.先化简,再求值:,其中a=2.考点:分式的化简求值.专题:计算题.分析:先同分母化简分式,再代入a值求得.解答:解:原式=代入a=2解得原式=.点评:本题考查了分式的化简求值,先同分母化简分式,代入a值求得.21.先化简,再求值÷(x﹣),其中x=2.考点:分式的化简求值.专题:计算题.分析:先把分式化简,再将未知数的值代入求解.解答:解:原式===;当x=2时,原式=.点评:本题考查了分式的混合运算以及多项式的因式分解.22.先化简,再求值:,其中.考点:分式的化简求值.专题:计算题.分析:先化简,再把x的值代入计算即可.解答:解:原式=×=x﹣1,∵,∴原式=x﹣1=+1﹣1=.点评:本题考查了分式的化简求值,化简此分式是解题的关键.23.先化简,再求值:(﹣1)÷,其中x?.考点:分式的化简求值.专题:计算题.分析:先把括号里式子通分,再把除法转化为乘法,约分化为最简,最后代值计算.解答:解:方法一:原式=÷(1分)=?(2分)=?(3分)=.(4分)当x?时,=.(5分)方法二:原式=÷﹣1÷=?﹣(2分)=?﹣(3分)=﹣==.(4分)当x?时,=.(5分)点评:分式的混合运算需特别注意运算顺序及符号的处理,也需要对通分、分解因式、约分等知识点熟练掌握.24.先化简代数式再求值,其中a=﹣2.考点:分式的化简求值.专题:计算题.分析:先对括号里的减法运算进行通分,再把除法运算转化为乘法运算,约去分子分母中的公因式,化为最简形式,再把a的值代入求解.解:原式===1﹣a(4分)当a=﹣2时,原式=1﹣(﹣2)=3.(5分)点评:分式的混合运算需特别注意运算顺序及符号的处理,也需要对通分、分解因式、约分等知识点熟练掌握.25.(2011?新疆)先化简,再求值:(+1)÷,其中x=2.考点:分式的化简求值.专题:计算题.分析:先对括号里的分式通分,计算出来后,再把除法转化为乘法,最后把x的值代入计算即可.解答:解:原式=?=x+1.当x=2时,x+1=3.点评:本题考查了分式的化简求值.解题的关键是对分式的分子、分母要进行因式分解.26.先化简,再求值:,其中x=2.考点:分式的化简求值.专题:计算题.分析:先把括号内通分得到原式=,再把除法运算转化为乘法运算,然后把分母分解因式得到原式=?,再进行约分得原式=,然后把x=2代入计算即可.解答:解:原式==?=,当x=2时,原式==.点评:本题考查了分式的化简求值:先把各分式的分子或分母分解因式,若有括号,先把括号内通分,然后约分,得到最简分式或整式,再把满足条件的字母的值代入计算得到对应的分式的值.27.(2011?南充)先化简,再求值:(﹣2),其中x=2.考点:分式的化简求值.专题:计算题.分析:先通分,计算括号里的,再利用乘法进行约分计算,最后把x的值代入计算即可.解:原式==×=,当x=2时,原式=﹣=﹣1.点评:本题考查了分式的化简求值.解题的关键是注意对分式的分子、分母因式分解.28.先化简,再求值:,其中a=﹣2.考点:分式的化简求值.专题:计算题.分析:先通分,然后进行四则运算,最后将x=﹣2代入.解答:解:原式=×=,∵a=﹣2,∴原式===﹣.点评:本题考查了分式的化简求值,解答此题的关键是把分式化到最简,然后代值计算.29.(2011?武汉)先化简,再求值:÷(x﹣),其中x=3.考点:分式的化简求值.分析:首先将分式的分子与分母进行因式分解,再去括号,约分最后代入求值.解答:解:原式=÷(),=×,=,x=3时,原式=.点评:此题主要考查了分式的化简求值问题,正确的因式分解再约分是解决问题的关键.30.化简并求值:?,其中x=2考点:分式的化简求值.专题:计算题.分析:先把分式?化为最简分式,然后把x=2代入求值即可.解答:解:?==,把x=2代入得:原式==.点评:本题考查了分式的化简求值,属于基础题,关键是把所求分式化为最简分式再代入求值.。
初中数学化简求值经典练习题(含答案)先化简再求值: 1.(1+ 1x +1x+1)÷x (x+1)+2(x+1)−1x 2−1-1,其中:x=√2-1 ;2.1-(1x−1-1)( 1x-1),其中:x=√5+2 ;3.25x -12x−3y ·(4x 2-9y 2+4x−6y 5x),其中:x=√3+12,y= √3−13;4.2(x-2y )+3(2x-3y )-4(3x-4y ),其中:x= - 34,y= 23;5.7x 3-2x (3x-5)-(4+5x-6x 2+7x 3),其中:x=2;6.(x+1)(x-3)+3x 2- 2〔2(x-2)(x+1)+(5x+4〕),其中:x= 34 ;7.x (x-1)-(x-2)(x+3)+6[32(6+x )+ 13(5-x )],其中x= -1.2 ;8.x−9x 2−9·x 2−6x+99−x+(4x−142x 2−x−21+3),其中x=√3-3 ;9.x−2y 3x+4y ÷(x +−2xy+4y 2x−2y)·3x 2+7xy+4y 2x 2−y 2,其中:x=√5-1,y=√3-1 ;10.12(2x+4)(x-2)+x−5x 2−10x+25·(x 2-x-20),其中:x 是大于3且小于6的自然数; 11.(4x+31x−5+x+5)-x 2−9x−5·x−2x+3,其中:x 满足|x |=4 ;12.(x+3)÷ x 2+x−6x 2−6x+8-x−1x+1×2x 2−x−3x−1,其中:x=2sin60°-1 ;参考答案1.(1+ 1x +1x+1)÷x (x+1)+2(x+1)−1x 2−1-1,其中:x=√2-1 ; 解:(1+ 1x + 1x+1)÷x (x+1)+2(x+1)−1x 2−1-1=(x+1x+ 1x+1)÷x 2+x+2x+2−1(x+1)(x−1)-1=x 2+3x+1x (x+1)÷x 2+3x+1(x+1)(x−1)-1 = x 2+3x+1x (x+1) ·(x+1)(x−1)x 2+3x+1-1=x−1x-1=1 - 1x-1 = - 1x将x=√2-1代入 原式= - √2−1= -√2+1(√2−1)(√2+1)= -√2−1故当 x=√2-1时原代数式的值是:-√2−1 2. 1-(1x−1-1)( 1x-1),其中:x=√5+2 ;解:1-(1x−1 -1)( 1x-1)=1-(1x−1-x−1x−1)( 1x- xx)=1- −x+2x−1 ·1−xx=1-x−2x=1-(1- 2x) = 2x将x=√5+2代入 原式= √5+2=√5−2(√5+2)(√5−2)=2√5-4故当 x=√5+2时原代数式的值是:2√5-4 3.25x -12x−3y ·(4x 2-9y 2+4x−6y5x ),其中:x= √3+12,y= √3−13 ; 解:25x - 12x−3y (4x 2-9y 2+4x−6y 5x)= 25x -12x−3y〔(2x+3y )(2x-3y ) +2(x−3y )5x〕= 25x - 〔(2x+3y )+ 25x〕 = -(2x+3y ) = -2x-3y将x= √3+12,y= √3−13代入原式= -2·√3+12 -3·√3−13= -(√3+1)-(√3−1)=2√3故当x= √3+12,y= √3−13时原代数式的值是:2√34.2(x-2y)+3(2x-3y)-4(3x-4y),其中:x= - 34,y= 23;解:2(x-2y)+3(2x-3y)-4(3x-4y) =2x-4y+6x-9y-12x+16y= -4x+3y将x= - 34,y= 23代入原式= -4·(- 34)+3·23=3+2=5故当 x=2时原代数式的值是:55. 7x3-2x(3x-5)-(4+5x-6x2+7x3),其中:x=2;解:7x3-2x(3x-5)-(4+5x-6x2+7x3)=7x3-6x2+10x-4-5x+6x2-7x3=5x-4将x=2代入原式=5·2-4=6故当 x=2时原代数式的值是:66.(x+1)(x-3)+3x 2- 2〔2(x-2)(x+1)+(5x+4〕),其中:x= 34 ;解:(x+1)(x-3)+3x 2- 2〔2(x-2)(x+1)+(5x+4〕) = x 2-2x-3+3x 2-2〔2(x 2-x-2)+(5x+4〕) =4x 2-2x-3-2〔2x 2-2x-4+5x+4) =4x 2-2x-3-2(2x 2+3x ) =4x 2-2x-3-4x 2-6x = -8x-3 将x= 34 代入原式= -8·34-3= -9故当 x= 34 时原代数式的值是:-97.x (x-1)-(x-2)(x+3)+6[32(6+x )+ 13(5-x )],其中x= -1.2 ;解:x (x-1)-(x-2)(x+3)+6[32(6+x )+ 13(5-x )]=x 2-x-(x 2+x-6)+ [6*32(6+x )+ 6*13(5-x )]=-2x+6+[9(6+x )+ 2(5-x )] =6-2x+(54+9x+10-2x ) =6-2x+(64+7x )=70+5x 将x= -1.2代入 原式=70+5×(-1.2)=64故当x= -1.2时原代数式的值是:64 8.x−9x 2−9·x 2−6x+99−x+(4x−142x 2−x−21+3),其中x=√3-3 ; 解:x−9x 2−9·x 2−6x+99−x +(4x−142x 2−x−21 +3)=x−9(x+3)(x−3)·(x−3)2−(x−9)+〔2(2x−7)(2x−7)(x+3)+3〕= - x−3x+3+2x+3+3= 5−x x+3+3= 5−x+3x+9x+3= 2x+14x+3=(2x+6)+8x+3=2+8x+3将x=√3-3代入 原式=2+(√3−3)+3=2+8√33故当x=√3-3时原代数式的值是:2+ 8√339.x−2y 3x+4y÷(x +−2xy+4y 2x−2y)·3x 2+7xy+4y 2x 2−y 2,其中:x=√5-1,y=√3-1;解:x−2y3x+4y ÷(x + −2xy+4y2x−2y)·3x2+7xy+4y2x2−y2= x−2y3x+4y ÷x2−4xy+4y2x−2y·(3x+4y)(x+y)(x+y)(x−y)=x−2y3x+4y ÷(x−2y)2x−2y·3x+4yx−y=x−2y3x+4y ·1x−2y·3x+4yx−y= 1x−y将x=√5-1,y=√3-1代入原式=(√5−1)−(√3−1)=√5−√3= √5+√3(√5−√3)(√5+√3)= √5+√35−3= √5+√32故当x=√5-1,y=√3-1时原代数式的值是:√5+√3210.12(2x+4)(x-2)+ x−5x2−10x+25·(x2-x-20),其中:x是大于3且小于6的自然数;解:12(2x+4)(x-2)+ x−5x2−10x+25·(x2-x-20)=(x+2)(x-2)+ x−5(x−5)2·(x+4)(x-5)=x2 -4 +x+4=x2 +xx是大于3且小于6的自然数那么x 是自然数4或5,但是当x=5时,分式 x−5x 2−10x+25的分母等于0,故x 不能为5,所以x 只能是自然数4。
初中数学化简题1、先化简,再求值: 2(a-3)(a+2)-(3+a)(3-a)-3(a-1)2其中a=-2解:原式=2(a2-a-6)-(9-a2)-3(a2-2a+1)=2a2-2a-12-9+a2-3a2+6a-3=4a-24当a=-2时,原式=4×(-2)-24=-32.2、先化简,再求值:(3a²b-ab²)-2(ab²-3a²b),其中a=-2,b=3解:原式=3a²b-ab²-2ab²+6a²b=9a²b-3ab²=9x(-2)²x3-3x(-2)x3²=9x4x3-3x2x9=108-54=543、先化简,再求值:5x²+4-3x²-5x-2x²-5+6x,其中x=-3.解:原式=(5-3-2)x²+(-5+6)x+(4-5)=x-1.当x=-3时,原式=-3-1=-4.4、先化简,再求值:(3a²b-2ab²)-2(a b²-2a²b),其中a=2,b=-1.解:原式=3a²b-2a b²-2ab²+4a²b=7a²b-4ab²当a=2,b=-1时,原式=-28-8=-36.5、若a²+2b²=5,求多项式(3a²-2a b+b²)-(a²-2a b-3b²)的值.解:原式=3a²-2a b+b²-a²+2a b+3b²=2a²+4b².当a²+2b²=5时,原式=2(a²+2b²)=10.6、先化简,再求值:2(x+x²y)-2/3(3x²y+3/2x)-y²,其中x=1,y=-3.解:原式=2x+2x²y-2x²y-x-y²=x-y².当x=1,y=-3时,原式=1-9=-8.7、已知∣m+n-2∣+(m n+3)²=0,求2(m+n)-2[m n+(m+n)]-3[2(m+n)-3m n]的值.解:由已知条件知m+n=2,m n=-3,所以原式=2(m+n)-2m n-2(m+n)-6(m+n)+9m n=-6(m+n)+7m n=-12-21=-33.8、先化简,再求值:2x²y-[2x y²-2(-x²y+4x y²)],其中x=1/2,y=-2.解:原式=2x²y-2x y²-2x²y+8x y²=6x y².当x=1/2,y=-2时,原式=6×1/2×4=12.9、先化简,再求值:2(x²y+x y)-3(x²y-x y)-4x²y,其中x,y满足|x+1|+(y-1/2)²=0.解:原式=2x²y+2x y-3x²y+3x y-4x²y=-5x²y+5x y因为|x+1|+(y-1/2)²=0,所以x=-1,y=. 1/2故原式=-5/2-5/2=-5.10、先化简,再求值∶3a²b+2(a b-3/2a²b)-|2ab²-(3a b²-a b)|,其中a=2,b=-1/2解:原式=3a²b+2a b-3a²b-(2ab²-3a b²+ab)=3a²b+2ab-3a²b-2ab²+3a b²-ab=a b²+ab,当a=2,b=-1/2时,原式=2×(-1/2)²+2×(-1/2)=2×1/4-1=1/2-1=-1/211、先化简,再求值:(4a²b-3ab)+(-5a²b+2a b)-(2b a²-1),其中a=2,b=1/2.解:原式=4a²b-3a b-5a²b+2a b-2b a²+1=-3a²b-ab+1,当a=2,b=1/2时,原式=-3×2²×1/2-2×1/2+1=-6-1+1=-6.12、先化简再求值∶(2x³-2y²)-3(x³y²+x³)+2(y²+y²x³),其中x=-1,y=2.解:(2x³-2y²)-3(x³y²+x³)+2(y²+y²x³)=2x³-2y²-3x³y²-3x³+2y²+2x³y²=-x³-x³y².当x=-1,y=2时,原式=-(-1)³-(-1)³×2²=1+4=5.。
初二数学先化简再求值恒等式
化简并求值恒等式是初中数学中的基础知识,让我们以一个具
体的例子来说明这个过程。
考虑一个简单的恒等式,2(x + 3) = 2x + 6。
首先,我们要化简等式的左边和右边,然后验证它们是否相等。
首先,我们对左边进行化简,根据分配律,2(x + 3) 可以化简
为 2x + 6。
然后,我们对右边进行化简,发现右边已经是化简后的
形式,为2x + 6。
接下来,我们要验证化简后的表达式是否相等。
将化简后的左
边2x + 6与化简后的右边2x + 6进行比较,发现它们是相等的,
即2(x + 3) = 2x + 6 是一个恒等式。
在数学中,化简并求值恒等式的过程可以帮助我们验证某些数
学表达式在任何情况下都是成立的。
这种技能在解决复杂的数学问
题和证明过程中起着重要的作用。
总的来说,化简并求值恒等式是初中数学中的基础知识,通过
这个过程,我们可以加深对数学运算规律的理解,提高逻辑推理能力,为学习更高级的数学知识打下坚实的基础。
七上数学先化简再求值题格式
我们要解决的是一个数学表达式求值的问题。
首先,我们要理解题目中的数学表达式,然后进行化简,最后求出表达式的值。
假设我们有一个数学表达式,这个表达式可能包含加法、减法、乘法和除法。
为了解决这个问题,我们需要按照以下步骤进行:
1. 识别数学表达式中的每个部分,例如变量、常数和运算符。
2. 根据数学规则化简表达式。
这可能包括合并同类项、简化复杂的分数或使用分配律等。
3. 使用给定的数值替换表达式中的变量,并计算最终结果。
化简后的数学表达式为:x/2 - y2 + 2y
当 x = 3 和 y = 2 时,表达式的值为:3/2。
一.解答题(共30 小题)先化简再求值1.化简求值:,选择一个你喜欢且有意义的数代入求值.2.先化简,再求值,然后选取一个使原式有意义的x 值代入求值.3.先化简再求值:选一个使原代数式有意义的数代入中求值.4.先化简,再求值:,请选择一个你喜欢的数代入求值.5.( 2010?红河州)先化简再求值:.选一个使原代数式有意义的数代入求值.6.先化简,再求值:(1﹣)÷,选择一个你喜欢的数代入求值.7.先化简,再求值:(﹣1)÷,选择自己喜欢的一个x 求值.8.先化简再求值:化简,然后在0, 1, 2, 3 中选一个你认为合适的值,代入求值.9.化简求值( 1)先化简,再求值,选择你喜欢的一个数代入求值.( 2)化简,其中m=5.10.化简求值题:( 1)先化简,再求值:,其中x=3.( 2)先化简,再求值:,请选一个你喜欢且使式子有意义的数字代入求值.( 3)先化简,再求值:,其中x=2.( 4)先化简,再求值:,其中x=﹣1.11.( 2006?巴中)化简求值:,其中a=.12.( 2010?临沂)先化简,再求值:()÷,其中a=2.13.先化简:,再选一个恰当的x 值代入求值.14.化简求值:(﹣1)÷,其中x=2.15.( 2010?綦江县)先化简,再求值,,其中 x= +1.16.( 2009?随州)先化简,再求值:,其中 x= +1.17.先化简,再求值:÷,其中 x=tan45 °.18.( 2002?曲靖)化简,求值:(x+2)÷( x﹣),其中 x=﹣ 1.19.先化简,再求值:(1+ )÷,其中 x=﹣ 3.20.先化简,再求值:,其中 a=2.21.先化简,再求值÷( x﹣),其中 x=2.22.先化简,再求值:,其中.23.先化简,再求值:(﹣ 1)÷,其中 x?.24.先化简代数式再求值,其中 a=﹣ 2.25.( 2011?新疆)先化简,再求值:(+1)÷,其中 x=2.26.先化简,再求值:,其中 x=2.27.( 2011?南充)先化简,再求值:(﹣2),其中x=2.28.先化简,再求值:,其中a=﹣2.29.( 2011?武汉)先化简,再求值:÷(x﹣),其中x=3.30.化简并求值:?,其中x=22013 年 6 月朱鹏的初中数学组卷参考答案与试题解析一.解答题(共30 小题)1.化简求值:,选择一个你喜欢且有意义的数代入求值.考点:分式的化简求值.专题:开放型.分析:首先对小括号内的运算进行运算,然后把除法转化为乘法后进行乘法运算,最后,把喜欢的有意义的数代入求值即可.解答:解:原式 ==x ﹣ 1,当x=2 时,原式 =x﹣ 1=2﹣ 1=1.点评:本题主要考查分式的加减法运算、乘除法运算,因式分解,关键在于正确的对分式进行化简,认真的计算,注意 x 的取值不能是分式的分母为零.2.先化简,再求值,然后选取一个使原式有意义的x 值代入求值.考点:分式的化简求值.专题:开放型.分析:先计算括号里的减法运算,再计算除法.最后选一个有意义的值代入,即分母不为0 的值.解答:解:原式 = (2分)= (3 分)= (5 分)=x+4 ( 6 分)当x=0 时,原式 =4.( 8 分)(注 x 可取不等 1,4 的任何数)点评:本题主要考查分式的化简求值,把分式化到最简是解答的关键,通分、因式分解和约分是基本环节.注意做此题时,选值时一定要使原式有意义,即分母不能为0.3.先化简再求值:选一个使原代数式有意义的数代入中求值.考点:分式的化简求值.专题:开放型.分析:先根据分式的运算法则把原式化简,再选一个使原代数式有意义的数代入求值即可.解答:解:,= ﹣,=﹣;又为使分式有意义,则a≠﹣ 3、﹣ 2、 2;令 a=1,原式 =﹣=﹣ 1.点评:本题考查了分式的四则运算,在计算时,要弄清楚运算顺序,先进行分式的乘除,加减运算.再代值计算,注意化简后,代入的数不能使分母的值为0.4.先化简,再求值:,请选择一个你喜欢的数代入求值.考点:分式的化简求值.专题:开放型.分析:将括号里通分,除法化为乘法,约分,再代值计算,注意 a 的取值不能使原式的分母、除式为0.解答:解:原式= ? = ,当 a=﹣ 1 时,原式= =.点评:本题考查了分式的化简求值.解答此题的关键是把分式化到最简,然后代值计算.5.( 2010?红河州)先化简再求值:.选一个使原代数式有意义的数代入求值.考点:分式的化简求值.专题:开放型.分析:先根据分式的运算法则把原式化简,再选一个使原代数式有意义的数代入求值即可.解答:解:原式 == ,= ,= .当 a=1 时,( a 的取值不唯一,只要a≠± 2、﹣ 3 即可)原式 = .点评:此题答案不唯一,只需使分式有意义即可.6.先化简,再求值:(1﹣)÷,选择一个你喜欢的数代入求值.考点:分式的化简求值.专题:开放型.分析:把括号中通分后,利用同分母分式的减法法则计算,同时将除式的分子分解因式后,再利用除以一个数等于乘以这个数的倒数把除法运算化为乘法运算,约分后得到最简结果,然后选择一个 x 的值代入化简后的式子中,即可求出原式的值.解答:解:( 1﹣)÷= ?= ?= ,当 x=2 时,原式 =1.(答案不唯一,x 不能取﹣ 2,± 1)点评:此题考查了分式的化简求值,分式的加减运算关键是通分,通分的关键是找出最简公分母;分式的乘除运算关键是约分,约分的关键是找公因式,化简求值题要将原式化为最简后再代值,本题中由分母不为0,得到 x 不能取﹣ 2,1 及﹣ 1,故注意这几个数不要取.7.先化简,再求值:(﹣ 1)÷,选择自己喜欢的一个 x 求值.考点:分式的化简求值.专题:计算题.分析:原式被除数括号中两项通分并利用同分母分式的减法法则计算,除数分子利用平方差公式分解因式,分母利用完全平方公式分解因式,再利用除以一个数等于乘以这个数的倒数将除法运算化为乘法运算,约分得到最简结果,将x=1 代入计算即可求出值.解答:解:原式 = ÷=﹣?=﹣,当 x=1 时,原式 =﹣=4.点评:此题考查了分式的化简求值,分式的加减运算关键是通分,通分的关键是找最简公分母;分式的乘除运算关键是约分,约分的关键是找公因式,约分时,分式的分子分母出现多项式,应将多项式分解因式后再约分.8.先化简再求值:化简,然后在0, 1, 2, 3 中选一个你认为合适的值,代入求值.考点:分式的化简求值.专题:计算题.分析:将原式括号中两项通分并利用同分母分式的减法法则计算,整理后再利用完全平方公式分解因式,然后利用除以一个数等于乘以这个数的倒数将除法运算化为乘法运算,约分得到最简结果,最后将a=2 或a=3(a 不能为 0 和 1)代入化简后的式子中计算,即可得到原式的值.解答:解:原式= ÷=÷=?=,当 a=2 时,( a 的取值不唯一,只要a≠0、 1)原式 ==1;当 a=3 时,( a 的取值不唯一,只要a≠0、 1)原式==.点评:此题考查了分式的化简求值,分式的加减运算关键是通分,通分的关键是找最简公分母;分式的乘除运算关键是约分,约分的关键是找出公因式,约分时,分式的分子分母出现多项式,应将多项式分解因式后再约分.9.化简求值( 1)先化简,再求值,选择你喜欢的一个数代入求值.( 2)化简,其中m=5.考点:分式的化简求值.分析:(1)将原式的分子、分母因式分解,约分,再给x 取值,代值计算,注意:x 的取值要使原式的分母有意义;( 2)将( m+1)与前面的括号相乘,运用分配律计算.解答:解:( 1)原式 =?=,取 x=2,原式 ==1;( 2)原式 =m+1﹣?( m+1)=m+1﹣ 1=m,当m=5时,原式 =5.点评:本题考查了分式的化简求值.分式的混合运算需特别注意运算顺序及符号的处理,也需要对通分、分解因式、约分等知识点熟练掌握.10.化简求值题:( 1)先化简,再求值:,其中x=3.( 2)先化简,再求值:,请选一个你喜欢且使式子有意义的数字代入求值.( 3)先化简,再求值:,其中x=2.( 4)先化简,再求值:,其中x=﹣1.考点:分式的化简求值.专题:计算题.分析:(1)先算除法,再算同分母加法,然后将x=3 代入即可求得分式的值;( 2)首先把括号里因式进行通分,然后把除法运算转化成乘法运算,进行约分化简,再把数代入,不能选2,± 3,会使原式无意义.( 3)先将括号内的部分通分,再将除法转化为乘法,然后将x=2 代入即可求得分式的值;( 4)先约分化简,再计算同分母加法,然后将x=﹣ 1 代入即可求得分式的值.解答:解:(1)=?+=,把x=3 代入,原式 = .( 2)=?=,把 x=1 代入,原式 =.(3)=?=,把x=2 代入,原式 =1.( 4)= += ,把 x=﹣ 1 代入,原式 =﹣ 1.点评:考查分式的化简与求值,主要的知识点是因式分解、通分、约分等.注意(2)化简后,代入的数不能使分母的值为0.11.( 2006?巴中)化简求值:,其中a=.考点:分式的化简求值;分母有理化.专题:计算题.分析:先通过分解因式、约分找到最简公分母,再通分,得最简形式,最后把a= 代入求值.解答:解:原式===﹣;当 a=时,原式 =﹣=1﹣.点评:考查分式的化简与求值,主要的知识点是因式分解、通分、约分等.12.( 2010?临沂)先化简,再求值:()÷,其中 a=2.考点:分式的化简求值.专题:计算题.分析:先对通分,再对2﹣1 分解因式,进行化简.a解答:解:原式 ===﹣=.∵a=2,∴原式 =﹣ 1.点评:本题主要考查分式的化简求值.13.先化简:,再选一个恰当的x 值代入求值.考点:分式的化简求值.专题:开放型.分析:这道求代数式值的题目,不应考虑把x 的值直接代入,通常做法是先把代数式化简,然后再代入求值.需注意的是x 的取值需使原分式有意义.解答:解:原式 ==( x+2)( x﹣ 1)2=x +x﹣2;当 x≠﹣ 1,x≠1时,代入解答正确即可给分.点评:注意化简后,代入的数要使原式以及化简中的每一步都有意义.14.化简求值:(﹣1)÷,其中x=2.考点:分式的化简求值.专题:计算题.分析:先将括号内的部分通分,再将除法转化为乘法进行计算.解答:解:原式 =(﹣)÷=?=﹣=,当 x=2 时,原式 ==﹣.点评:本题考查了分式的化简求值,学会因式分解是解题的关键.15.( 2010?綦江县)先化简,再求值,,其中x=+1.考点:分式的化简求值.专题:计算题.分析:本题考查的化简与计算的综合运算,关键是正确进行分式的通分、约分,并准确代值计算.解答:解:原式 =,把 x= +1,代入得:原式 = .点评:本题所考查的内容“分式的运算”是数与式的核心内容,全面考查了有理数、整式、分式运算等多个知识点,要合理寻求简单运算途径的能力及分式运算.尤其要注意的是含有无理数的时候最后结果要分母有理化.16.( 2009?随州)先化简,再求值:,其中x= +1.考点:分式的化简求值;分母有理化.专题:计算题.分析:这是个分式除法与减法混合运算题,运算顺序是先做括号内的减法,先进行通分;做除法时要注意先把除法运算转化为乘法运算,而做乘法运算时要注意先把分子、分母能因式分解的先分解,然后约分.解答:解:原式 ===;当 x=+1 时,原式 ==.点评:此题要特别注意符号的处理.化简和取值的结果都要求达到最简为止.17.先化简,再求值:÷,其中x=tan45°.考点:分式的化简求值;特殊角的三角函数值.专题:计算题.分析:首先利用分式的混合运算法则计算化简,最后代入数值计算即可求解.解答:解:÷=x﹣ 2,∵x=tan45 °=1,∴原式 =x﹣2=﹣ 1.点评:此题主要考查了分式的化简求值,其中化简的关键是分式的乘法法则和约分.18.( 2002?曲靖)化简,求值:(x+2)÷( x﹣),其中x=﹣ 1.考点:分式的化简求值.专题:计算题.分析:首先把括号里的式子进行通分,然后把除法运算转化成乘法运算,进行约分化简,最后代值计算.解答:解:原式 =( x+2)×=当 x=﹣ 1 时,原式 ==﹣2.点评:本题主要考查分式的混合运算,注意运算顺序,并熟练掌握同分、因式分解、约分等知识点.19.先化简,再求值:(1+)÷,其中x=﹣3.考点:分式的化简求值.专题:计算题.分析:把原式括号中通分后,利用同分母分式的加法法则:分母不变,只把分子相加减,计算出结果,同时把除数中的分母利用平方差公式分解因式后,利用除以一个数等于乘以这个数的倒数把除法运算化为乘法运算,约分即可得到最简结果,然后把x 的值代入即可求出原式的值.解答:解:原式 =(+ )?=?=,当 x=﹣ 3 时,原式 ==﹣1.点评:此题考查了分式的化简求值,解答此类题要先把原式化为最简,然后再代值,用到的方法有分式的加减法及乘除法,分式的加减法的关键是通分,通分的关键是找出各分母的最简公分母,分式乘除法的关键是约分,约分的关键是找出公因式,在约分时遇到多项式,应先将多项式分解因式再约分.20.先化简,再求值:,其中a=2.考点:分式的化简求值.专题:计算题.分析:先同分母化简分式,再代入 a 值求得.解答:解:原式 =代入 a=2解得原式 = .点评:本题考查了分式的化简求值,先同分母化简分式,代入 a 值求得.21.先化简,再求值÷( x﹣),其中x=2.考点:分式的化简求值.专题:计算题.分析:先把分式化简,再将未知数的值代入求解.解答:解:原式= = = ;当 x=2 时,原式 = .点评:本题考查了分式的混合运算以及多项式的因式分解.22.先化简,再求值:,其中.考点:分式的化简求值.专题:计算题.分析:先化简,再把x 的值代入计算即可.解答:×解:原式 ==x ﹣ 1,∵,∴原式 =x﹣1= +1﹣ 1= .点评:本题考查了分式的化简求值,化简此分式是解题的关键.23.先化简,再求值:(﹣1)÷,其中x?.考点:分式的化简求值.专题:计算题.分析:先把括号里式子通分,再把除法转化为乘法,约分化为最简,最后代值计算.解答:解:方法一:原式=÷(1分)=? (2 分)=? (3分)=.(4 分)当 x?时,=.(5分)方法二:原式 == ? ÷﹣1÷﹣(2 分)=?﹣(3分)=﹣==.(4 分)当 x?时,=.(5分)点评:分式的混合运算需特别注意运算顺序及符号的处理,也需要对通分、分解因式、约分等知识点熟练掌握.24.先化简代数式再求值,其中a=﹣ 2.考点:分式的化简求值.专题:计算题.分析:先对括号里的减法运算进行通分,再把除法运算转化为乘法运算,约去分子分母中的公因式,化为最简形式,再把 a 的值代入求解.解答:解:原式 ===1﹣ a( 4 分)当a=﹣ 2 时,原式 =1﹣(﹣ 2) =3.( 5 分)点评:分式的混合运算需特别注意运算顺序及符号的处理,也需要对通分、分解因式、约分等知识点熟练掌握.25.( 2011?新疆)先化简,再求值:(+1)÷,其中x=2.考点:分式的化简求值.专题:计算题.分析:先对括号里的分式通分,计算出来后,再把除法转化为乘法,最后把x 的值代入计算即可.解答:解:原式 =? =x+1.当x=2 时, x+1=3.点评:本题考查了分式的化简求值.解题的关键是对分式的分子、分母要进行因式分解.26.先化简,再求值:,其中x=2.考点:分式的化简求值.专题:计算题.分析:先把括号内通分得到原式=,再把除法运算转化为乘法运算,然后把分母分解因式得到原式 =?,再进行约分得原式=,然后把x=2 代入计算即可.解答:解:原式 ==?=,当 x=2 时,原式 ==.点评:本题考查了分式的化简求值:先把各分式的分子或分母分解因式,若有括号,先把括号内通分,然后约分,得到最简分式或整式,再把满足条件的字母的值代入计算得到对应的分式的值.27.( 2011?南充)先化简,再求值:(﹣2),其中x=2.考点:分式的化简求值.专题:计算题.分析:先通分,计算括号里的,再利用乘法进行约分计算,最后把x 的值代入计算即可.解答:解:原式==×=,当 x=2 时,原式 =﹣=﹣1.点评:本题考查了分式的化简求值.解题的关键是注意对分式的分子、分母因式分解.28.先化简,再求值:,其中a=﹣2.考点:分式的化简求值.专题:计算题.分析:先通分,然后进行四则运算,最后将x=﹣ 2 代入.解答:解:原式 =×=,∵a=﹣ 2,∴原式===﹣.点评:本题考查了分式的化简求值,解答此题的关键是把分式化到最简,然后代值计算.29.( 2011?武汉)先化简,再求值:÷(x﹣),其中x=3.考点:分式的化简求值.分析:首先将分式的分子与分母进行因式分解,再去括号,约分最后代入求值.解答:解:原式 =÷(),=×,=,x=3 时,原式 = .点评:此题主要考查了分式的化简求值问题,正确的因式分解再约分是解决问题的关键.30.化简并求值:? ,其中 x=2考点:分式的化简求值.专题:计算题.分析:先把分式? 化为最简分式,然后把x=2 代入求值即可.解答:解:?==,把 x=2 代入得:原式==.点评:本题考查了分式的化简求值,属于基础题,关键是把所求分式化为最简分式再代入求值.。