2019年全国中考数学真题化简求值题集锦
- 格式:doc
- 大小:546.50 KB
- 文档页数:5
专题提升(二) 代数式的化简与求值类型之一 整式的化简与求值【经典母题】已知x +y =3,xy =1,你能求出x 2+y 2的值吗?(x -y)2呢?解:x 2+y 2=(x +y)2-2xy =32-2×1=7;(x -y)2=(x +y)2-4xy =32-4×1=5.【思想方法】 利用完全平方公式求两数平方和或两数积等问题,在化简求值、一元二次方程根与系数的关系中有广泛应用,体现了整体思想、对称思想,是中考热点考题.完全平方公式的一些主要变形有:(a +b)2+(a -b)2=2(a 2+b 2),(a +b)2-(a -b)2=4ab ,a 2+b 2=(a +b)2-2ab =(a -b)2+2ab ,在四个量a +b ,a -b ,ab 和a 2+b 2中,知道其中任意的两个量,能求出(整体代换)其余的两个量.【中考变形】1.已知(m -n)2=8,(m +n)2=2,则m 2+n 2的值为( C ) A .10 B .6 C .5 D .32.已知实数a 满足a -1a =3,则a 2+1a 2的值为__11__. 【解析】 将a -1a =3两边平方,可得a 2-2+1a 2=9,即a 2+1a 2=11. 3.[2019·重庆B 卷]计算:(x +y)2-x(2y -x).解:原式=x 2+2xy +y 2-2xy +x 2=2x 2+y 2.4.[2019·漳州]先化简(a +1)(a -1)+a(1-a)-a ,再根据化简结果,你发现该代数式的值与a 的取值有什么关系(不必说明理由)?解:原式=a 2-1+a -a 2-a =-1.故该代数式的值与a 的取值没有关系.【中考预测】先化简,再求值:(a -b)2+a(2b -a),其中a =-12, b =3.解:原式=a 2-2ab +b 2+2ab -a 2=b 2.当a =-12,b =3时,原式=32=9. 类型之二 分式的化简与求值【经典母题】计算:(1)a b -b a -a 2+b 2ab ;(2)⎝ ⎛⎭⎪⎫3x x -2-x x +2·x 2-4x . 解:(1)原式=a 2-b 2ab -a 2+b 2ab =-2b 2ab =-2b a; (2)原式=3x (x +2)-x (x -2)(x -2)(x +2)·x 2-4x =2x 2+8x x 2-4·x 2-4x=2x +8. 【思想方法】 (1)进行分式混合运算时,一定要注意运算顺序,并结合题目的具体情况及时化简,以简化运算过程;(2)注意适当地利用运算律,寻求更合理的运算途径;(3)分子分母能因式分解的应进行分解,并注意符号的处理,以便寻求组建公分母而约分化简;(4)要注意分式的通分与解分式方程去分母的区别.【中考变形】 1.[2019·重庆A 卷]计算:⎝ ⎛⎭⎪⎫3a +2+a -2÷a 2-2a +1a +2. 解:原式=⎝ ⎛⎭⎪⎫3a +2+a 2-4a +2÷(a -1)2a +2 =(a +1)(a -1)a +2·a +2(a -1)2=a +1a -12.[2019·攀枝花]先化简,再求值:⎝ ⎛⎭⎪⎫1-2x +1÷x 2-1x 2+x,其中x =2. 解:原式=x +1-2x +1·x (x +1)(x +1)(x -1)=x -1x +1·x (x +1)(x +1)(x -1)=x x +1. 当x =2时,原式=22+1=23. 【中考预测】先化简,再求值:⎝ ⎛⎭⎪⎫x 2-4x +3x -3-13-x ⎝ ⎛⎭⎪⎫x2-2x +1x 2-3x +2-2x -2,其中x =4. 解:原式=⎝ ⎛⎭⎪⎫x 2-4x +3x -3+1x -3⎣⎢⎡⎦⎥⎤(x -1)2(x -1)(x -2)-2x -2 =(x -2)2x -3·⎝ ⎛⎭⎪⎫x -1x -2-2x -2=(x -2)2x -3·x -3x -2 =x -2.当x =4时,原式=x -2=2.类型之三 二次根式的化简与求值【经典母题】已知a =3+2,b =3-2,求a 2-ab +b 2的值. 解:∵a=3+2,b =3-2,∴a +b =23,ab =1,∴a 2-ab +b 2=(a +b)2-3ab =(23)2-3=9.【思想方法】 在进行二次根式化简求值时,常常用整体思想,把a +b ,a -b ,ab 当作整体进行代入.整体思想是很重要的数学思想,利用其解题能够使复杂问题变简单.整体思想在化简、解方程、解不等式中都有广泛的应用,是中考重点考查的数学思想方法之一.【中考变形】1.已知m =1+2,n =1-2,则代数式m 2+n 2-3mn 的值为( C )A .9B .±3C .3D .5 2.[2019·仁寿二模]先化简,再求值:a 2-2ab +b 2a 2-b 2÷⎝ ⎛⎭⎪⎫1a -1b ,其中a =2+1,b =2-1. 解:原式=(a -b )2(a +b )(a -b )÷b -a ab =a -b a +b ·ab b -a =-ab a +b, 当a =2+1,b =2-1时,原式=-122=-24. 3.[2019·绵阳]先化简,再求值:⎝ ⎛⎭⎪⎫x -yx 2-2xy +y 2-x x 2-2xy ÷y x -2y,其中x =22,y = 2. 解:原式=⎣⎢⎡⎦⎥⎤x -y (x -y )2-x x (x -2y )÷y x -2y=⎝ ⎛⎭⎪⎫1x -y -1x -2y ÷y x -2y=⎣⎢⎡⎦⎥⎤(x -2y )-(x -y )(x -y )(x -2y )÷y x -2y=-y (x -y )(x -2y )·x -2y y =-1x -y . 当x =22,y =2时,原式=-1x -y =-12=-22. 【中考预测】先化简,再求值:1a +b +1b +b a (a +b ),其中a =5+12,b =5-12. 解:原式=ab +a (a +b )+b 2ab (a +b )=(a +b )2ab (a +b )=a +b ab, ∵a +b =5+12+5-12=5,ab =5-12×5+12=1, ∴原式= 5.2019-2020学年数学中考模拟试卷一、选择题1.如图,以两条直线l 1,l 2的交点坐标为解的方程组是( )A .121x y x y -=⎧⎨-=⎩B .121x y x y -=-⎧⎨-=-⎩C .121x y x y -=-⎧⎨-=⎩D .121x y x y -=⎧⎨-=-⎩2.某公司2018年获利润1000万元,计划到2020年年利润达到1210万元设该公司的年利润平均增长率为x ,下列方程正确的是( )A .1000(1+x )2=1210B .1210(1+x )2=1000C .1000(1+2x )=1210D .1000+10001+x )+1000(1+x )2=12103.某游客为爬上3千米高的山顶看日出,先用1小时爬了1千米,休息0.5小时后,再用1.5小时爬上山顶.游客爬山所用时间l 与山高h 间的函数关系用图形表示是( )A. B.C. D.4.如图,在平行四边形ABCD 中,按以下步骤作图:①以A 为圆心,AB 长为半径画弧,交边AD 于点F ;②再分别以B ,F 为圆心画弧,两弧交于平行四边形ABCD 内部的点G 处;③连接AG 并延长交BC 于点E ,连接BF ,若3BF =, 2.5AB =,则AE 的长为( )A.2B.4C.8D.552的值在( )A .3和4之间B .4和5之间C .5和6之间D .6和7之间 6.如图,已知抛物线y =x 2﹣2x ﹣3与x 轴相交于点A ,B ,若在抛物线上有且只有三个不同的点C 1,C 2,C 3,使得△ABC 1,△ABC 2,△ABC 3的面积都等于a ,则a 的值是( )A .6B .8C .12D .167.如图,△ABC 中,AD ⊥BC 于点D ,AD=ABC S ∆=tanC 的值为( )A .13B .12C .3D .2 8.如图,圆O 的直径AB 垂直于弦CD ,垂足是E ,22.5A ∠=,4OC =,则CD 的长为( )A .B .4C .D .89.水是地球上极宝贵的资源.某城市为了节约用水,实行了价格调控,限定每月每户用水量不超过6吨时,每吨价格为 2.25元;当用水量超过6吨时,超过部分每吨价格为3.25元.则按此调控价格的每户每月水费y (元)与用水量x (吨)的函数图像大致为( )A .B .C .D .10.已知:将直线y=x ﹣1向上平移2个单位长度后得到直线y=kx+b ,则下列关于直线y=kx+b 的说法正确的是( )A .经过第一、二、四象限B .与x 轴交于(1,0)C .与y 轴交于(0,1)D .y 随x 的增大而减小11.如图,在△ABC 中,AC =BC =25,AB =30,D 是AB 上的一点(不与A 、B 重合),DE ⊥BC ,垂足是点E ,设BD =x ,四边形ACED 的周长为y ,则下列图象能大致反映y 与x 之间的函数关系的是( )A. B.C. D.12.某人购买甲种树苗12棵,乙种树苗15棵,共付款450元,已知甲种树苗比乙种树苗每棵便宜3元,设甲种树苗每棵x 元,乙种树苗每棵y 元.由题意可列方程组( )A .12154503x y x y +=⎧⎨-=⎩B .12154503x y y x +=⎧⎨-=⎩ C .12154503x y y x +=⎧⎨=-⎩D .12154503x y x y +=⎧⎨=-⎩ 二、填空题13.已知13a c b d ==,则a c b d++的值是_____.14.计算:13--=_____.15.将一副三角板如图放置,使点A 在DE 上,BC ∥DE ,则∠ACE 的度数为_____.16.若a﹣2b=﹣3,则代数式1﹣a+2b的值为为_____.17.计算:(2﹣sin45°)0=_____.18.分式方程的解是_____.三、解答题19.如图,在△ACD中,DA=DC,点B是AC边上一点,以AB为直径的⊙O经过点D,点F是直径AB上一点(不与A、B重合),延长DF交圆于点E,连结EB.(1)求证:∠C=∠E;(2)若弧AE=弧BE,∠C=30°,DF,求AD的长.20.2018年,广州国际龙舟邀请赛于6月23日在中山大学北门广场至广州大桥之间的珠江河段举行.上午8时,参赛龙舟同时出发,甲、乙两队在比赛中,路程y(千米)与时间x(小时)的函数关系如图所示,甲队在上午11时30分到达终点.(1)在比赛过程中,乙队何时追上甲队?(2)在比赛过程中,甲、乙两队何时相距最远?21.五星红旗作为中华民族五千年历史上第一面代表全体人民意志的民族之旗、团结之旗、胜利之旗、希望之旗、吉祥之旗,是中华人民共和国的标志和象征,某校九年级综合实践小组开展了测量学校五星红旗旗杆AB高度的活动.如图,他们在地面D处竖直放置标杆CD,并在地面上水平放置一个平面镜E使得B,E,D在同一水平线上.该小组在标杆的F处通过平面镜E恰好观测到旗杆顶A(此时∠AEB=∠FED).在F处分别测得旗杆顶点A的仰角为40°、平面镜E的俯角为45°,FD=1.5米,问旗杆AB的高度约为多少米?(结果保留整数)(参考数据:tan40°≈0.84,tan50°≈1.19,tan85°≈11.4)22.如图,直线l 1 在平面直角坐标系中,直线l 1与y 轴交于点A,点B(-3,3)也在直线1上,将点B 先向右平移1个单位长度、再向下平移2个单位长度得到点C ,点C 恰好也在直线l 1上。
(分类)第1讲实数及其运算第2课时实数的运算知识点1 平方根、算术平方根、立方根知识点2 无理数的估算知识点3 实数的大小比较知识点4 实数的运算(除解答题)知识点1 平方根、算术平方根、立方根(2019 滨州)(2019 通辽)(2019大庆)答案:A(2019 桂林)(2019 常州)(2019 锦阳)1.(3分)若=2,则a的值为()A.﹣4B.4C.﹣2D.【分析】根据算术平方根的概念可得.【解答】解:若=2,则a=4,故选:B.【点评】本题主要考查算术平方根,解题的关键是掌握算术平方根的定义.(2019 济宁)(2019 台州)答案:(2019 武汉)答案:411.计算16的结果是___________(2019 连云港)答案:49.64的立方根是.(2019 无锡)答案:2 311.49的平方根为.(2019 宿迁)答案:29. 实数4的算术平方根为▲知识点2 无理数的估算(2019 重庆B卷)(2019 常州)答案:(2019 锦阳)6.(3分)已知x是整数,当|x﹣|取最小值时,x的值是()A.5B.6C.7D.8【分析】根据绝对值的意义,由与最接近的整数是5,可得结论.【解答】解:∵,∴5<,且与最接近的整数是5,∴当|x﹣|取最小值时,x的值是5,故选:A.【点评】本题考查了算术平方根的估算和绝对值的意义,熟练掌握平方数是关键.(2019 常德)答案:(2019 资阳)答案:B(2019 重庆A卷)6.(4分)估计(2+6)×的值应在()A.4和5之间B.5和6之间C.6和7之间D.7和8之间【分析】先根据二次根式的乘法进行计算,再进行估算.【解答】解:(2+6)×,=2+6,=2+,=2+,∵4<5,∴6<2+<7,故选:C.【点评】本题考查了二次根式的乘法和无理数的估算,熟练掌握二次根式的计算法则是关键.(2019 成都)答案:6(2019 天津)答案:D(2019 潍坊)答案:(2019 南京)答案:C(2019 陇南)答案:A知识点3 实数的大小比较(2019重庆A卷)1.(4分)下列各数中,比﹣1小的数是()A.2B.1C.0D.﹣2【分析】根据两个负数比较大小,绝对值大的负数反而小,可得答案.【解答】解:∵﹣2<﹣1<0<2,∴比﹣1小的数是﹣2,故选:D.【点评】本题考查了有理数的大小比较,注意:正数都大于0,负数都小于0,两个负数比较大小,其绝对值大的反而小.(2019 淄博)答案:A(2019吉林)(2019 长沙)1.(3分)下列各数中,比﹣3小的数是()A.﹣5B.﹣1C.0D.1【分析】有理数大小比较的法则:①正数都大于0;②负数都小于0;③正数大于一切负数;④两个负数,绝对值大的其值反而小,据此判断即可. 【解答】解:﹣5<﹣3<﹣1<0<1, 所以比﹣3小的数是﹣5, 故选:A .【点评】此题主要考查了有理数大小比较的方法,要熟练掌握,解答此题的关键是要明确:①正数都大于0;②负数都小于0;③正数大于一切负数;④两个负数,绝对值大的其值反而小. (2019 荆州)答案:D 1.下列实数中最大的是 A.23 B.πC.15D.|-4|(2019 荆州)答案:(2019 菏泽)答案:B(2019 济宁)(2019 泰安)(2019 安徽)答案:A(2019 成都)答案:C1.比-3大5的数是( )A.-15B.-8C.2D.8【解析】此题考查有理数的加减,-3+5=2,故选C(2019 嘉兴)答案:13.数轴上有两个实数a ,b ,且a >0,b <0,a +b <0,则四个数a ,b ,a -,b -的大小关系为 (用“<”号连接).(2019 扬州)2.下列个数中,小于-2的数是(A)【考点】:数的比较大小,无理数【解析】:根据二次根式的定义确定四个选项与-2的大小关系,可得【答案】:A.(2019 长沙)答案:A知识点4 实数的运算(除解答题)(2019 重庆B卷)(2019 金华)(2019 滨州)(2019重庆A卷)13.(4分)计算:(π﹣3)0+()﹣1=3.【分析】根据零指数幂和负整数指数幂计算可得.【解答】解:原式=1+2=3,故答案为:3.【点评】本题主要考查零指数幂和负整数指数幂,解题的关键是掌握a﹣p=(a≠0,p为正整数)及a0=1(a≠0).(2019 天津)答案:A(2019 青岛)答案:9.计算:=.(2019 临沂)答案:14.计算:16tan452⨯-=.(2019 威海)(2019 嘉兴)答案:D5.右图是一个2×2的方阵,其中每行、每列的两数和相等,则a可以是().A tan60.B1-.C0.D20191(2019 温州)答案:A(2019 淄博)答案:(2019 聊城)答案:(2019 杭州)答案:A1.计算下列各式,值最小的是( )A.9102-+⨯B.2+0×1-9C.2+0-1+9D.2+0+1-9 (2019 泰州)答案:7.计算:(π-1)0= . 【答案】 1. 【解析】试题分析:∵(a)0=1,(a ≠0) ∴(π-1)0=1. 故答案为:1【点睛】本题主要考查的是零次幂的定义,掌握公式的意义是解决本题的关键.(2019 攀枝花)答案:B 1.(﹣1)2=A .﹣1B .1C .﹣2D .2 (2019 株洲)答案:(2019 福建)答案:A 1.计算22+(-1)°的结果是( ).A.5B.4C.3D.2 (2019 安顺)答案:112. 若实数a 、b 满足|a +1|+2-b =0,则a+b =___________.(2019 黔东南州)答案:D5.下列四个运算中,只有一个是正确的.这个正确运算的序号是①30+3-3=-3 ②√5−√2=√3 ③(2a 2)3=8a 5 ④−a 8÷a 4=−a 4 A. ① B.② C. ③ D.④ (2019 黄石)答案:D5.化简1(93)2(1)3x x --+的结果是A. 21x -B. 1x +C. 53x +D. 3x -(2019 荆门)答案:B(2019 荆门)答案:(2019 随州)(2019 咸宁)答案:09.计算:=-1)2(0.(2019 孝感)答案:C 1.计算2019+-等于A. -39B. -1C. 1D. 39 (2019 烟台)(2019 广东)答案:4(2019 贵港)答案:A(2019 河池)答案:A(2019 玉林)(2019包头)(2019 巴彦淖尔)答案:D(2019 贵阳)答案:C。
本文部分内容来自网络,本人不为其真实性负责,如有异议请及时联系,本人将予以删除数学中考化简求值专项练习题注意:此类要求的题目,如果没有化简,直接代入求值一分不得! 考点:①分式的加减乘除运算 ②因式分解 ③二次根式的简单计算1.化简,求值:111(11222+---÷-+-m m m m m m ), 其中m =3.2.先化简,再求代数式2221111x x x x -+---的值,其中x=tan600-tan4503.化简:xx x x x x x x x 416)44122(2222+-÷+----+, 其中22+=x4.计算:332141222+-+÷⎪⎭⎫ ⎝⎛---+a a a a a a a .5.6、先化简,再求值:13x -·32269122x x x xx x x-+----,其中x =-6.7.先化简:再求值:⎝⎛⎭⎫1-1a -1÷a 2-4a +4a 2-a ,其中a =2+ 2 .8.先化简,再求值:a -1a +2·a 2+2a a 2-2a +1÷1a 2-1,其中a 为整数且-3<a <2.9.先化简,再求值:222211y xy x xy x y x ++÷⎪⎪⎭⎫ ⎝⎛++-,其中1=x ,2-=y .10.先化简,再求值:2222(2)42x x x x x x -÷++-+,其中12x =.11.先化简,再求值:222112()2442x x x x x x-÷--+-,其中2x =(tan45°-cos30°)12.22221(1)121a a a a a a +-÷+---+.13.先化简再求值:1112421222-÷+--•+-a a a a a a ,其中a 满足20a a -=.14.先化简:144)113(2++-÷+-+a a a a a ,并从0,1-,2中选一个合适的数作为a 的值代入求值。
先化简后求值计算题训练一、计算题(共23题;共125分)1.化简求值:;其中2.先化简,再求值:,其中a为不等式组的整数解.3.先化简,再求值:(m+ )÷(m﹣2+ ),其中m=3tan30°+(π﹣3)0.4.先化简,再求值:(﹣1),其中a=(π﹣)0+()﹣1.5. 先化简,再求值:÷(1- ),其中m=2.6.先化简,再求值:,其中,.7.先化简,再求值:,其中.8.先化简,再求代数式的值:,其中x=3cos60°.9.先化简,再求值:,其中.10.先化简,再求值:(﹣)÷ ,其中x=3+ .11.化简求值:,其中.12. 先化简,再求值:,其中.13.先化简(1- )÷ ,再将x=-1代入求值。
14.先化简,再求值:,其中.15.先化简,再求值:,其中.16.先化简,再求值,其中满足17.先化简:,再从1,2,3中选取一个适当的数代入求值.18.先化简,然后从中选出一个合适的整数作为的值代入求值.19.化简式子(1),并在﹣2,﹣1,0,1,2中选取一个合适的数作为a的值代入求值.20.先化简,再求值:,其中.21.先化简,再求值:,其中.22.先化简,再求值:,其中.23.先化简,再从中选一个适合的整数代入求值.答案解析部分一、计算题1.【答案】解:原式,当时,原式【考点】利用分式运算化简求值【解析】【分析】先将括号里的分式加减通分计算,再将分式的除法转化为乘法运算,约分化简,然后代入求值。
2.【答案】解:原式,解不等式得,∴不等式组的整数解为,当时,原式【考点】利用分式运算化简求值,一元一次不等式组的特殊解【解析】【分析】把整式看成分母为1的式子,通分计算括号内异分母分式的加法,然后将各个分式的分子、分母能分解因式的分别分解因式,将除式的分子、分母交换位置,将除法转变为乘法,然后约分化为最简形式;解出不等式组中每一个不等式的解集,根据大小小大取中间得出该不等式组的解集,求出其整数解得出a的值,将a的值代入分式化简的结果按有理数的混合运算法则即可算出答案.3.【答案】解:原式=÷=,m=3tan30°+(π﹣3)0=3× +1=,原式===【考点】实数的运算,利用分式运算化简求值,特殊角的三角函数值【解析】【分析】把整式看成分母为1的式子,通分计算异分母分式的加减法,然后将各个分式的分子、分母能分解因式的分别分解因式,同时将除式的分子、分母交换位置将除法转变为乘法,然后约分化为最简形式;根据特殊锐角三角函数值、0指数的意义分别化简,再根据实数的混合运算法则算出m的值,进而将m的值代入分式化简的结果,按实数的混合运算法则算出答案.4.【答案】解:,当时,原式【考点】实数的运算,利用分式运算化简求值【解析】【分析】先通分计算括号内异分母分式的减法,然后将各个分式的分子、分母能分解因式的分别分解因式,将除式的分子与分母交换位置,将除法转变为乘法,然后约分化为最简形式;接着利用0指数的意义、负指数的意义分别化简,再根据有理数加法法则算出a的值,最后将a的值代入分式运算化简的结果按有理数的加减法法则就可算出答案.5.【答案】解:原式= ÷( - )= •= ,当m=2时,原式= =【考点】实数的运算,利用分式运算化简求值,特殊角的三角函数值【解析】把整式看成分母为1的式子,通分计算括号内异分母分式的减法,然后将各个分式的分子、分母能分解因式的分别分解因式,同时将除式的分子、分母交换位置,将除法转变为乘法,约分化为最简形式,最后代入m的值按有理数的混合运算法则算出答案.6.【答案】解:原式,当,时,原式【考点】利用分式运算化简求值【解析】【分析】把整式看成分母为1的式子,然后通分计算括号内异分母分式的减法,然后将各个分式的分子、分母能分解因式的分别分解因式,同时将除式的分子、分母交换位置,将除法转变为乘法,约分化为最简形式,最后代入a,b的值,按实数的混合运算顺序算出答案.7.【答案】解:原式当时,原式【考点】利用分式运算化简求值【解析】【分析】先计算分式的除法,将各个分式的分子、分母能分解因式的分别分解因式,将除式的分子、分母交换位置,将除法转变为乘法,然后约分化为最简形式,然后将整式看成分母为1的式子,通分计算异分母分式的减法,最后代入x的值按实数的混合运算法则算出答案.8.【答案】解:原式===,当x=3cos60°=3× =时,原式==【考点】利用分式运算化简求值,特殊角的三角函数值【解析】【分析】将各个分式的分子、分母能分解因式的分别分解因式,同时将除式的分子、分母交换位置,将除法转变为乘法,然后先计算乘法,接着按同分母分式的减法法则算出结果;根据特殊锐角三角函数值化简x的值,再将x的值代入分式化简的结果,按有理数的混合运算法则即可算出答案.9.【答案】解:原式,当时,原式【考点】实数的运算,利用分式运算化简求值【解析】【分析】将各个分式的分子、分母能分解因式的分别分解因式,同时将除式的分子、分母交换位置,将除法转变为乘法,然后先计算乘法,接着按同分母分式的减法法则算出结果;根据绝对值及负指数的意义将a的值进行化简,再将a的值代入分式化简的结果,按有理数的混合运算法则即可算出答案. 10.【答案】解:原式=当x=3+ 时,原式=【考点】利用分式运算化简求值【解析】【分析】将各个分式的分子分母能分解因式的分别分解因式,然后通分计算括号内异分母分式的减法,同时将除式的分子、分母交换位置,将除法转变为乘法,约分化为最简形式,最后代入x的值按实数的混合运算顺序算出答案.11.【答案】解:原式,当时,原式.【考点】利用分式运算化简求值【解析】【分析】将括号内通分,进行同分母相减,然后将除法化为乘法进行约分,即化为最简,将x值代入计算即可.12.【答案】解:,当时,原式.【考点】实数的运算,利用分式运算化简求值,特殊角的三角函数值先将括号内第一个分式约分,接着进行同分母分式相减,然后将除法化为乘法,进行约分即化为最简,最后将a值代入计算即可.13.【答案】解:原式==x+2当x=-1时原式=-1+2=1【考点】利用分式运算化简求值【解析】【分析】将括号里通分,进行同分母加减,然后将除法化为乘法进行约分化为最简,最后将x值代入计算即可.14.【答案】解:原式== ,当时,原式【考点】利用分式运算化简求值【解析】【分析】先通分计算括号内异分母分式的加法,然后计算括号外分式的除法,将各个分子、分母能分解因式的分别分解因式,将除式的分子、分母交换位置,将除法转变为乘法,然后约分化为最简形式;再代入x的值按实数的运算方法即可算出答案。
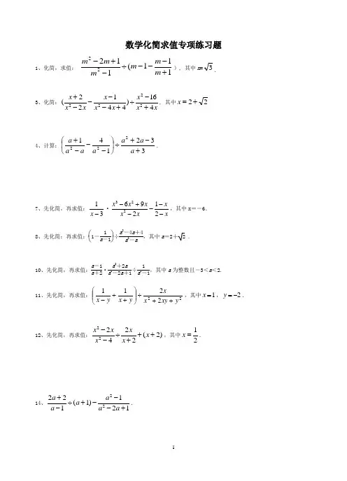
数学化简求值专项练习题1、化简,求值: 111(11222+---÷-+-m m m m m m ), 其中m =3.3、化简:xx x x x x x x x 416)44122(2222+-÷+----+, 其中22+=x4、计算:332141222+-+÷⎪⎭⎫ ⎝⎛---+a a a a a a a .7、先化简,再求值:13x -·32269122x x x x x x x-+----,其中x =-6.8、先化简:再求值:⎝⎛⎭⎫1-1a -1÷a 2-4a +4a 2-a ,其中a =2+ 2 .10、先化简,再求值:a -1a +2·a 2+2a a 2-2a +1÷1a 2-1,其中a 为整数且-3<a <2. 11、先化简,再求值:222211yxy x x y x y x ++÷⎪⎪⎭⎫⎝⎛++-,其中1=x ,2-=y . 12、先化简,再求值:2222(2)42x x x x x x -÷++-+,其中12x =.14、22221(1)121a a a a a a +-÷+---+.15、先化简再求值:1112421222-÷+--∙+-a a a a a a ,其中a 满足20a a -=.16、先化简:144)113(2++-÷+-+a a a a a ,并从0,1-,2中选一个合适的数作为a 的值代入求值。
17、先化简,再求值:)11(x -÷11222-+-x x x ,其中x =218、化简:22222369x y x y y x y x xy y x y--÷-++++.19、先化简,再求值:2224441x x x x x x x --+÷-+-,其中32x =.1.(2011年安徽15题,8分) 先化简,再求值:12112---x x ,其中x =-2.2、先化简,再求值:,其中a=﹣1.3、(2011•綦江县)先化简,再求值:错误!未找到引用源。
化简求值--中考数学抢分秘籍(全国通用)概率预测☆☆☆☆☆题型预测解答题☆☆☆☆☆考向预测①分式的化简求值②整式的化简求值化简求值题是全国中考的热点内容,更是全国中考的必考内容。
每年都有一些考生因为知识残缺、基础不牢、技能不熟、答欠规范等原因导致失分。
1.从考点频率看,加减乘除运算是数学的基础,也是高频考点、必考点,所以必须提高运算能力。
2.从题型角度看,以解答题的第一题或第二题为主,分值8分左右,着实不少!一、分式1.分式的加减乘除运算,注意去括号,添括号时判断是否需要变号,分子计算时要看作整体。
2.分式有意义、无意义的条件:因为0不能做除数,所以在分式AB中,若B≠0,则分式AB有意义;若B=0,那么分式AB没有意义.3.分式的加减法同分母的分式相加减,分母不变,把分子相加减,即ac±bc=a±bc.异分母的分式相加减,先通分,变为同分母的分式,然后相加减,即ab±cd=ad±bcbd.4.分式的乘除法分式乘以分式,用分子的积做积的分子,分母的积做积的分母,即ab·cd=acbd.分式除以分式,把除式的分子、分母颠倒位置后,与被除式相乘,即ab÷cd=ab·dc=adbc.5.分式的混合运算在分式的加减乘除混合运算中,应先算乘除,进行约分化简后,再进行加减运算,遇到有括号的,先算括号里面的.运算结果必须是最简分式或整式.二、因式分解因式分解的方法:(1)提公因式法公因式的确定:第一,确定系数(取各项整数系数的最大公约数);第二,确定字母或因式底数(取各项的相同字母);第三,确定字母或因式的指数(取各相同字母的最低次幂).(2)运用公式法①运用平方差公式:a 2-b 2=(a +b )(a -b ).②运用完全平方公式:a 2±2ab +b 2=(a ±b )2.化简求值的解法第一种是直接代入求值,已知给出了字母的值或通过已知能求出字母的值。
先化简后求值计算题训练一、计算题(共23题;共125分)1.化简求值:;其中2.先化简,再求值:,其中a为不等式组的整数解.3.先化简,再求值:(m+ )÷(m﹣2+ ),其中m=3tan30°+(π﹣3)0.4.先化简,再求值:(﹣1),其中a=(π﹣)0+()﹣1.5. 先化简,再求值:÷(1- ),其中m=2.6.先化简,再求值:,其中,.7.先化简,再求值:,其中.8.先化简,再求代数式的值:,其中x=3cos60°.9.先化简,再求值:,其中.10.先化简,再求值:(﹣)÷ ,其中x=3+ .11.化简求值:,其中.12. 先化简,再求值:,其中.13.先化简(1- )÷ ,再将x=-1代入求值。
14.先化简,再求值:,其中.15.先化简,再求值:,其中.16.先化简,再求值,其中满足17.先化简:,再从1,2,3中选取一个适当的数代入求值.18.先化简,然后从中选出一个合适的整数作为的值代入求值.19.化简式子(1),并在﹣2,﹣1,0,1,2中选取一个合适的数作为a的值代入求值.20.先化简,再求值:,其中.21.先化简,再求值:,其中.22.先化简,再求值:,其中.23.先化简,再从中选一个适合的整数代入求值.答案解析部分一、计算题1.【答案】解:原式,当时,原式【考点】利用分式运算化简求值【解析】【分析】先将括号里的分式加减通分计算,再将分式的除法转化为乘法运算,约分化简,然后代入求值。
2.【答案】解:原式,解不等式得,∴不等式组的整数解为,当时,原式【考点】利用分式运算化简求值,一元一次不等式组的特殊解【解析】【分析】把整式看成分母为1的式子,通分计算括号内异分母分式的加法,然后将各个分式的分子、分母能分解因式的分别分解因式,将除式的分子、分母交换位置,将除法转变为乘法,然后约分化为最简形式;解出不等式组中每一个不等式的解集,根据大小小大取中间得出该不等式组的解集,求出其整数解得出a的值,将a的值代入分式化简的结果按有理数的混合运算法则即可算出答案.3.【答案】解:原式=÷=,m=3tan30°+(π﹣3)0=3× +1=,原式===【考点】实数的运算,利用分式运算化简求值,特殊角的三角函数值【解析】【分析】把整式看成分母为1的式子,通分计算异分母分式的加减法,然后将各个分式的分子、分母能分解因式的分别分解因式,同时将除式的分子、分母交换位置将除法转变为乘法,然后约分化为最简形式;根据特殊锐角三角函数值、0指数的意义分别化简,再根据实数的混合运算法则算出m的值,进而将m的值代入分式化简的结果,按实数的混合运算法则算出答案.4.【答案】解:,当时,原式【考点】实数的运算,利用分式运算化简求值【解析】【分析】先通分计算括号内异分母分式的减法,然后将各个分式的分子、分母能分解因式的分别分解因式,将除式的分子与分母交换位置,将除法转变为乘法,然后约分化为最简形式;接着利用0指数的意义、负指数的意义分别化简,再根据有理数加法法则算出a的值,最后将a的值代入分式运算化简的结果按有理数的加减法法则就可算出答案.5.【答案】解:原式= ÷( - )= •= ,当m=2时,原式= =【考点】实数的运算,利用分式运算化简求值,特殊角的三角函数值【解析】把整式看成分母为1的式子,通分计算括号内异分母分式的减法,然后将各个分式的分子、分母能分解因式的分别分解因式,同时将除式的分子、分母交换位置,将除法转变为乘法,约分化为最简形式,最后代入m的值按有理数的混合运算法则算出答案.6.【答案】解:原式,当,时,原式【考点】利用分式运算化简求值【解析】【分析】把整式看成分母为1的式子,然后通分计算括号内异分母分式的减法,然后将各个分式的分子、分母能分解因式的分别分解因式,同时将除式的分子、分母交换位置,将除法转变为乘法,约分化为最简形式,最后代入a,b的值,按实数的混合运算顺序算出答案.7.【答案】解:原式当时,原式【考点】利用分式运算化简求值【解析】【分析】先计算分式的除法,将各个分式的分子、分母能分解因式的分别分解因式,将除式的分子、分母交换位置,将除法转变为乘法,然后约分化为最简形式,然后将整式看成分母为1的式子,通分计算异分母分式的减法,最后代入x的值按实数的混合运算法则算出答案.8.【答案】解:原式===,当x=3cos60°=3× =时,原式==【考点】利用分式运算化简求值,特殊角的三角函数值【解析】【分析】将各个分式的分子、分母能分解因式的分别分解因式,同时将除式的分子、分母交换位置,将除法转变为乘法,然后先计算乘法,接着按同分母分式的减法法则算出结果;根据特殊锐角三角函数值化简x的值,再将x的值代入分式化简的结果,按有理数的混合运算法则即可算出答案.9.【答案】解:原式,当时,原式【考点】实数的运算,利用分式运算化简求值【解析】【分析】将各个分式的分子、分母能分解因式的分别分解因式,同时将除式的分子、分母交换位置,将除法转变为乘法,然后先计算乘法,接着按同分母分式的减法法则算出结果;根据绝对值及负指数的意义将a的值进行化简,再将a的值代入分式化简的结果,按有理数的混合运算法则即可算出答案. 10.【答案】解:原式=当x=3+ 时,原式=【考点】利用分式运算化简求值【解析】【分析】将各个分式的分子分母能分解因式的分别分解因式,然后通分计算括号内异分母分式的减法,同时将除式的分子、分母交换位置,将除法转变为乘法,约分化为最简形式,最后代入x的值按实数的混合运算顺序算出答案.11.【答案】解:原式,当时,原式.【考点】利用分式运算化简求值【解析】【分析】将括号内通分,进行同分母相减,然后将除法化为乘法进行约分,即化为最简,将x值代入计算即可.12.【答案】解:,当时,原式.【考点】实数的运算,利用分式运算化简求值,特殊角的三角函数值先将括号内第一个分式约分,接着进行同分母分式相减,然后将除法化为乘法,进行约分即化为最简,最后将a值代入计算即可.13.【答案】解:原式==x+2当x=-1时原式=-1+2=1【考点】利用分式运算化简求值【解析】【分析】将括号里通分,进行同分母加减,然后将除法化为乘法进行约分化为最简,最后将x值代入计算即可.14.【答案】解:原式== ,当时,原式【考点】利用分式运算化简求值【解析】【分析】先通分计算括号内异分母分式的加法,然后计算括号外分式的除法,将各个分子、分母能分解因式的分别分解因式,将除式的分子、分母交换位置,将除法转变为乘法,然后约分化为最简形式;再代入x的值按实数的运算方法即可算出答案。
初三数学中考专项化简求值练习题初三数学中考化简求值专项练习题注意:此类要求的题⽬,如果没有化简,直接代⼊求值⼀分不得!考点:①分式的加减乘除运算②因式分解③⼆次根式的简单计算1、化简,求值:111(11222+---÷-+-m m m m m m ), 其中m =3.2、先化简,再求代数式2221111x x x x -+---的值,其中x=tan600-tan4503、化简:xx x x x x x x x 416)44122(2222+-÷+----+, 其中22+=x4、计算:332141222+-+÷---+a a a a a a a .5,7、先化简,再求值:13x -·32269122x x x xx x x-+----,其中x =-6.8、先化简:再求值:1-1a -1÷a 2-4a +4a 2-a ,其中a =2+ 2 .10、先化简,再求值:a -1a +2·a 2+2a a 2-2a +1÷1a 2-1,其中a 为整数且-3<a <2.11、先化简,再求值:222211y xy x x y x y x ++÷++-,其中1=x ,2-=y .12、先化简,再求值:2222(2)42x x x x x x -÷++-+,其中1213、先化简,再求值:222112()2442x x x x x x-÷--+-,其中2x =(tan45°-cos30°)14、22221(1)121a a a a a a +-÷+---+.15、先化简再求值:1112421222-÷+--?+-a a a a a a ,其中a 满⾜20a a -=.16、先化简:144)113(2++-÷+-+a a a a a ,并从0,1-,2中选⼀个合适的数作为a 的值代⼊求值。
【母题来源一】【2019•长春】先化简,再求值:(2a +1)2-4a (a -1),其中a 18=. 【解析】 原式=4a 2+4a +1-4a 2+4a =8a +1, 当a 18=时,原式=8a +1=2. 【名师点睛】此题主要考查了整式的混合运算,正确掌握相关运算法则是解题关键. 【母题来源二】【2019•吉林】先化简,再求值:(a -1)2+a (a +2),其中a =【解析】 原式=a 2-2a +1+a 2+2a =2a 2+1,当a ==5.【名师点睛】此题考查了整式的混合运算–化简求值,熟练掌握运算法则是解本题的关键. 【母题来源三】【2019•宁波】先化简,再求值:(x -2)(x +2)-x (x -1),其中x =3. 【解析】(x -2)(x +2)-x (x -1) =x 2-4-x 2+x =x -4,当x =3时,原式=x -4=-1.【名师点睛】本题考查的是整式的化简求值,掌握整式的混合运算法则是解题的关键.【母题来源四】【2019•凉山州】先化简,再求值:(a +3)2-(a +1)(a -1)-2(2a +4),其中a 12=-. 【解析】原式=a 2+6a +9-(a 2-1)-4a -8 =2a +2,专题01 中考中与“化简求值型”相关的探索性问题将a 12=-代入,原式=2×(12-)+2=1. 【名师点睛】本题主要考查整式的混合运算,灵活运用两条乘法公式:完全平方公式和平方差公式是解题的关键,同时,在去括号的过程中要注意括号前的符号,若为负号,去括号后,括号里面的符号要改变.【母题来源五】【2019•河南】先化简,再求值:(12x x +--1)22244x xx x -÷-+,其中x = 【解析】 原式=(1222x x x x +----)()22(2)x x x -÷- 32x =-·2x x - 3x=,当x ===. 【名师点睛】本题主要考查分式的化简求值,解题的关键是熟练掌握分式的混合运算顺序和运算法则. 【母题来源六】【2019•黄冈】先化简,再求值.(2222538a b b a b b a ++--)221a b ab÷+,其中a =b =1. 【解析】原式()225381a b b a b ab a b +-=÷-+()()()5a b a b a b -=+-·ab (a +b )=5ab ,当a =b =1时,原式【名师点睛】本题考查分式的运算法则,解题的关键是熟练运用分式的运算法则,本题属于基础题型.【母题来源七】【2019•福建】先化简,再求值:(x -1)÷(x 21x x--),其中x =1. 【解析】原式=(x -1)221x x x-+÷=(x -1)·2(1)xx -1x x =-,当x =1,原式=【名师点睛】本题考查了分式的化简求值,熟练掌握分式混合运算法则是解题的关键.【母题来源八】【2019•广东】先化简,再求值:(122x x x ---)224x xx -÷-,其中x = 【解析】原式()()()22121x x x x x x +--=⋅--2x x+=,当x =原式1==. 【名师点睛】本题考查了分式的化简求值,熟练掌握分式混合运算法则是解题的关键.【母题来源九】【2019•成都】先化简,再求值:(143x -+)22126x x x -+÷+,其中x =1.【解析】原式()22334()33(1)x x x x x ++=-⨯++- ()22313(1)x x x x +-=⨯+- 21x =-.将x =1代入,原式==【名师点睛】此题主要考查了方程解的定义和分式的运算,把所求的代数式化简后整理出所找到的相等关系的形式,再把此相等关系整体代入所求代数式,即可求出代数式的值.【母题来源十】【2019•辽阳】先化简,再求值:(222211x x x x x-+-+-)221x x -÷-,其中x =3tan30°-(13)-1.【解析】(222211x x x x x-+-+-)221x x -÷- =[()212(1)1x x x x ----]()()112x x x +-⋅-=(211x x x ---)()()112x x x +-⋅- ()()11212x x x x x +--=⋅-- =x +1,当x =3tan30°-(13)-1=3-==3时,原式3+1=2. 【名师点睛】本题考查分式的化简求值、特殊角的三角函数值、负整数指数幂,解答本题的关键是明确分式化简求值的方法.【母题来源十一】【2019•湘潭】阅读材料:运用公式法分解因式,除了常用的平方差公式和完全平方公式以外,还可以应用其他公式,如立方和与立方差公式,其公式如下: 立方和公式:x 3+y 3=(x +y )(x 2-xy +y 2) 立方差公式:x 3-y 3=(x -y )(x 2+xy +y 2)根据材料和已学知识,先化简,再求值:22332428x x x x x x ++---,其中x =3. 【解析】22332428x x x x x x ++--- ()()()223242224x x x x x x x x ++=---++ 3122x x =--- 22x =-, 当x =3时,原式232==-2. 【名师点睛】本题考查分式的化简求值,解答本题的关键是明确分式化简求值的方法.【命题意图】这类试题主要考查整式、分式、二次根式的化简求值,经常与特殊角的三角函数值、实数的运算、一元一次不等式组、一元二次方程等结合考查.【方法总结】化简求值是指我们不直接把字母的值代人代数式中计算,而是先化简(即去括号,合并同类项),然后再代人求值.1.整式的化简求值(1)一般情况下,字母取值不同,代数式的值也不同;(2)当字母的取值是分数或负数时,代入时要注意将分数或负数添上括号;(3)把数值代入时,原代数式中的系数、指数及运算符号都不改变.2.分式的化简求值分式化简求值是代数式化简求值的常见题型之一、也是中考中的固定题型,其基本步骤是先化简,再把字母的值或条件中所含关系代人计算分式求值中所含知识覆盖面广,解法灵活,可根据所给条件和求值式的特征进行适当的变形、转化.3.二次根式的化简求值解二次根式的化简求值问题的一般方法是直接代人法变形代人法技巧性较强,也常采用整体代入的方法.1.【2019年河南省开封市中考数学二模试卷】先化简,再求值:(x+y)2+(x-y)(x+y)-2x(x-y),其中x,y1.【解析】原式=x2+2xy+y2+x2-y2-2x2+2xy=4xy,当x,y1时,原式=4×)×1)=16.【名师点睛】此题考查了整式的混合运算-化简求值,熟练掌握运算法则是解本题的关键.2.【山东省菏泽市郓城县2019届中考数学模拟试卷(6月份)】已知x2+x-5=0,求代数式(x-1)2-x(x-3)+(x+2)(x-2)的值.【解析】(x -1)2-x (x -3)+(x +2)(x -2) =x 2-2x +1-x 2+3x +x 2-4 =x 2+x -3, ∵x 2+x -5=0, ∴x 2+x =5, ∴原式=5-3=2.【名师点睛】本题考查了整式的混合运算和求值的应用,能正确运用整式的运算法则进行化简是解此题的关键.3.【2019年江苏省盐城市建湖县中考数学二模试卷】先化简,再求值:(x -3)2+2(x -2)(x +7)-(x +2)(x -2),其中x 2+2x -3=0.【解析】原式=x 2-6x +9+2x 2+10x -28-x 2+4=4x -15, 由x 2+2x -3=0,即(x -1)(x +3)=0,得到x =1或x =-3, 当x =1时,原式=4-15=-11; 当x =-3时,原式=-12-15=-27.【名师点睛】此题考查了整式的混合运算-化简求值,熟练掌握运算法则是解本题的关键. 4.【2019年河南省南阳市宛城区中考数学一模试卷】先化简,再求值:23()111x x xx x x -÷-+-,其中x 的值从不等式组111223x x ⎧-≥⎪⎨⎪-<⎩ 的整数解中选取.【解析】23()111x x x x x x -÷-+- =3(1)(1)(1)(1)(1)(1)x x x x x x x x x+--+-⋅+-=3(x +1)-(x -1) =3x +3-x +1 =2x +4,由不等式组111223x x ⎧-≥⎪⎨⎪-<⎩得,-3<x ≤1,当x =-2时,原式=2×(-2)+4=0.【名师点睛】本题考查分式的化简求值、一元一次不等式组的整数解,解答本题的关键是明确分式化简求值的方法.5.【广东省肇庆市怀集县2019届九年级中考一模数学试题】先化简,后求值:22211(1)(1)x x x--÷-,其中,x 从0、-1、-2三个数值中适当选取.【解析】原式=2222211x x x x x-+-÷ =222(1)(1)(1)x x x x x -⋅+- =11x x -+, 因为x 取数值0、-1时,代入原式无意义, 所以:取x =-2,得:原式=3.【名师点睛】本题主要考查分式的化简求值,解题的关键是熟练掌握分式混合运算顺序和运算法则.6.【湖南省株洲市石峰区2019届九年级中考数学模拟试题(二)】先化简,再求值:(x -1+221x x -+)÷21x xx -+,其中x 的值从不等式-1≤x <2.5的整数解中选取. 【解析】原式=221(1)1(1)x x x x x x -+-+⋅+- =12(1)1(1)(1)1(1)x x x x x x x x x +--+-⋅⋅⋅-+-=12x x x+-+=1x x-, -1≤x <2.5的整数解为-1,0,1,2, ∵分母x ≠0,x +1≠0,x -1≠0, ∴x ≠0且x ≠1,且x ≠-1, ∴x =2, 当x =2时,原式=21122-=. 【名师点睛】本题考查了分式的化简求值,熟练掌握分式混合运算法则是解题的关键. 7.【山东省德州市齐河县2019年中考数学二模试卷】先化简,再求值:235(2)22m m m m m -÷+---,其中m 是方程x 2+3x +1=0的根.【解析】原式=222234539()22222m m m m m m m m m m m ----÷-=÷-----, =()()()23212333m m m m m m m m--⨯=-+-+.∵m 是方程x 2+3x +1=0的根, ∴m 2+3m +1=0, ∴m 2+3m =-1, 当m 2+3m =-1时,原式=111=--. 【名师点睛】本题考查的是分式的化简求值,掌握分式的混合运算法则是解题的关键.8.【黑龙江省哈尔滨市2019中考模拟测试三数学试题】先化简,再求代数式22693111x x x x x x x -+-+÷--+的值,其中2sin30tan60x ︒=-︒.【解析】原式2(3)13·1(1)(1)31x x x x x x x x-+=+=-+---.∵2sin 30tan 601x ︒︒=-==【名师点睛】本题考查了分式的化简求值,其中正确的化简是解答本题的关键.9.【福建省厦门市集美区2019年初中毕业班总复习练习(二模)数学试题】化简求值:22121124a a a a a +++-÷+-,其中31a.【解析】原式=1-12a a ++ ·2(2)(2)(1)a a a +-+ =1-12a a ++=31a +,当a 1时,原式【名师点睛】本题主要考查了分式的化简求值,此类题,一般要先进行因式分解,再应用分式的基本性质进行约分和通分.熟练掌握因式分解、分式的约分和通分是解题的关键.10.【湖北省谷城县2018–2019学年九年级中考适应性考试数学试题】先化简,再求值:22()a b b a ba b a b a b---÷+-+,其中a =b =【解析】(2a b a b -+–ba b -)÷2a b a b-+ =()()()()()22a b a b b a b a ba b a b a b ---++⋅+--=2222312a ab b ab b a b a b-+--⋅-- =()2212a a b a b a b-⋅-- =2a a b-,当a b 时,原式33.【名师点睛】本题考查分式的化简求值、分母有理化,解答本题的关键是明确分式化简求值的计算方法.11.【2019年江苏省苏州市高新区中考数学模拟试卷(4月份)】先化简,再求值:2169(1)224a a a a -+-÷--,其中3a =.【解析】原式=232(2)2(3)a a a a --⋅--=23a -,当a 时,原式【名师点睛】本题考查分式的运算,解题的关键是熟练运用分式的运算法则,本题属于基础题型.。
初中数学分式的化简求值专项训练题(精选历年60道中考题 附答案详解)1.化简求值 :22244(4)2x x x x x+--÷+,其中2x = 2.先化简、再求值:352242a a a a -⎛⎫÷-- ⎪--⎝⎭,其中a3. 3.()1化简:21111x x x ⎛⎫÷+ ⎪--⎝⎭然后选择你喜欢且符合题意的一个x 的值代入求值. ()2分解因式:22344xy x y y --4.先化简再求值:211122x x x -⎛⎫÷- ⎪++⎝⎭,其中x =135.先化简(2341x x +-﹣21x -)÷2221x x x +-+,再从﹣2,﹣1,0,1,2中选一个你认为合适的数作为x 的值代入求值.6.2316133962x x x x x x --⎛⎫÷-- ⎪+--+⎝⎭7.先化简再求值:(2221244x x x x x x ---+++)÷42x x -+,其中x =(﹣1)0. 8.先化简,再求值:22214244a a a a a a a a +--⎛⎫-÷⎪--+⎝⎭,其中3a =. 9.先化简,再求值: 2295(2)242y y y y y -÷----,其中y =. 10.先化简,再求值:(2241x x x -+-+2-x)÷2441x x x++-,其中x-2. 11.化简求值:22111m m m m +-⎛⎫-÷ ⎪⎝⎭,其中m12.(1)计算:22214()244x x x x x x x x+---÷--+; (2)解分式方程:1121x x x -=+-. 13.(1)化简2422x x x+-- (2)先化简,再求值221111x x x ⎛⎫÷+ ⎪--⎝⎭,其中x 为整数且满足不等式组11622x x --⎧⎨+≥⎩>.14.先化简,再求值:(11x +﹣1)÷21x x -,其中x =2 15.(1)化简:2112x x x x x ⎛⎫++÷- ⎪⎝⎭; (2)化简分式:2221121x x x x x x x x -⎛⎫-÷ ⎪---+⎝⎭,并从13x -≤≤中选一个你认为适合的整数x 代人求值.16.先化简,再求值:211()1211x x x x x x ++÷--+-,其中x=3. 17.先化简,再求值:(522a a -++a ﹣2)÷22a a a -+,其中a =2+1. 18.如图,作业本上有这样一道填空题,其中有一部分被墨水污染了,若该题化简的结果为1x 3+.(1)求被墨水污染的部分;(2)原分式的值能等于17吗?为什么? 19.先化简,再求值:2211()3369x x x x x x --÷---+,其中x 满足240x +=. 20.先化简再求值2221111a a a a a --⎛⎫÷-- ⎪-+⎝⎭,其中a 是方程x 2-x =2017的解. 21.化简求值:22a 2ab b 2a 2b-+÷-(11b a -),其中a 2=1,b 2=1. 22.(1)解方程 :21124x x x -=-- (2)先化简,再求值:22112()2a a b a b a ab b+÷+--+,其中269a a -+与|1|b -互为相反数. 23.先化简,再求值:(1﹣11a -)÷2244a a a a-+-,其中2.24.先化简,再求值:2221111a a a a a ⎛⎫++-÷ ⎪--⎝⎭,其中a =﹣3. 25.(1)计算:23(3)3x x x x--- (2)计算:22111121x x x x x x x ++⎛⎫+÷ ⎪---+⎝⎭ (3)先化简,再求值: 已知a b =3,求222443a ab b b a b a b a b ⎛⎫++÷-- ⎪--⎝⎭的值. 26.计算:(1)2111a a a a -++-; (2)2222421121a a a a a a a ---÷+--+; (3)先化简再求值:(132x -+)212x x x -÷+-,其中x 是﹣2,1,2中的一个数值. 27.先化简,再求值:2221()211a a a a a a+÷--+-,其中a 是方程2230x x +-=的解. 28.先化简,再求代数式214(1)33x x x -+÷--的值,其中3tan 3022cos 45x =- 29.()1解方程:28124x x x -=-- ()2先化简后求值2221412211a a a a a a --⋅÷+-+-,其中a 满足20a a -= 30.若13x x +=,求: (1)221x x+的值; (2)1x x-的值; (3)221x x -的值. 31.先化简再求值:221111x x x x ⎛⎫-÷ ⎪-+-⎝⎭,其中3x =-.32.先化简,再求值:233()111a a a a a -+÷--+,其中. 33.先化简,再求值22111211a a a a -⎛⎫÷+ ⎪-+-⎝⎭,其中a =2.34.先化简再求值:22221111x x x x x x --⎛⎫÷-- ⎪-+⎝⎭,其中x 是不等式组30223x x x +>⎧⎪-⎨<+⎪⎩的最大整数解.35.(1)先化简22121211x x x x x ÷---++,然后从-1,0,2中选一个合适的x 的值,代入求值. (2)解不等式组3(2)2513212x x x x +>+⎧⎪⎨+-<⎪⎩36.先化简,再取一个你喜欢的x 的值带入并求值21211()()111x x x x x x +⨯--+-+ 37.先化简,再求值:2282442x x x x x ⎛⎫÷-- ⎪-+-⎝⎭,其中2x ≠. 38.已知,求的值.39.化简:222524(1)244x x x x x x -+-+÷+++,并求当=-123x 40.先化简,再求值:265222x x x x -⎛⎫÷-- ⎪--⎝⎭,其中x =﹣1. 41.先化简,再求值:2112111x x x x +⎛⎫-÷⎪-+-⎝⎭,其中x 满足240x -=. 42.先化简(22444a a a -+-﹣2a a +)÷12a a -+,再从a ≤2的非负整数解中选一个适合的整数代入求值.43.先化简,再求值:2222444x x x x x x x--+-÷-,其中1x =. 44.化简求值:2121(1)m m m m--+÷,从-1,0, 1,2中选一个你认为合适的m 值代入求值.45.(1)计算:()()322423523a a a a ⎡⎤⋅+-÷⎢⎥⎣⎦; (2)先化简,再求值:524223x x x x-⎛⎫++⋅ ⎪--⎝⎭,其中5x =.46.(1)先化简,再求值:24512111a a a a a a -⎛⎫⎛⎫+-÷- ⎪ ⎪---⎝⎭⎝⎭,其中4a = (2)解分式方程:28142y y y +=-- 47.先化简,再求值.(1﹣32x +)÷212x x -+的值,其中x=2.48.化简求值:244()33x x x x x ---÷--,其中-249.先化简,再求值:222a b 2ab b a a a ⎛⎫--÷- ⎪⎝⎭,其中,a 1b 1=+=. 50.先化简,再求值:223232442x x x x x x -⎛⎫-÷ ⎪--+-⎝⎭,其中3x =. 51.先化简,再求值22214244a a a a a a a a +--⎛⎫+÷⎪--+⎝⎭并从04a ≤≤中选取合适的整数代入求值. 52.先化简,再求值:23(1)11x x x x -÷----,其中1x =- 53.化简并求值:2x+221x 111x x x --÷+--,其中x=﹣3. 54.先化简,再求值:(1)()223(2)(2)844a b a b a b ab ab +---÷其中2,1a b ==(2)22224242x x x x x x --⎛⎫÷-- ⎪-+⎝⎭其中3x =. 55.先化简,再求值231(1)22x x x --÷++的值,其中2sin 45x ︒=︒.56.先化简,再求值:22(1)x y x y x y -÷--,其中x 2,y =11()2-. 57.先化简再求值2324()422x x x x x --÷---,其中x=3tan30°-4cos60°. 58.先化简,再求值:2443111a a a a a -+⎛⎫÷-+ ⎪++⎝⎭,其中3a =. 59.化简分式222x x x x x 1x 1x 2x+1-⎛⎫-÷ ⎪---⎝⎭,并从﹣1≤x≤3中选一个你认为合适的整数x 代入求值.60.(1)解方程:2236111x x x +=+-- (2)计算:3a(2a 2-9a+3)-4a(2a-1)(3)计算:(×(-1|+(5-2π)0(4)先化简,再求值:(xy 2+x 2y )222222x x y x xy y x y ⋅÷++-,其中,y=2.参考答案 1.2x -;2.【解析】 【分析】 原式括号中两项通分并利用同分母分式的减法法则计算,现时利用除法法则变形,约分得到最简结果,再把x 的值代入计算即可.【详解】22244(4)2x x x x x+--÷+ =244(2)(2)(2)x x x x x x x +-+-÷+ =2(2)(2)(2)(2)x x x x x x -+⨯+- =2x -; 当22x =+时,原式=2222+-=.【点睛】此题考查了分式的化简求值,熟练掌握运算法则是解本题的关键.2.1-2(3+a),【解析】【详解】解:原式=35(2)(2)2(2)22a a a a a a ⎡⎤--+⎛⎫÷- ⎪⎢⎥---⎝⎭⎣⎦322(2)(3)(3)12(3)a a a a a a --=-⋅--+=-+ 当33时,原式=3-3.(1)11x+,取x=2,得原分式的值为13(答案不唯一);(2)-y(2x-y)2.【解析】【分析】(1)先根据分式的运算法则进行化简,再选一个使原分式有意义的x的值代入求值即可;(2)先提取公因式,再利用完全平方公式进行二次分解即可.【详解】解:(1)原式=1111 (1)(1)1(1)(1)1x x x xx x x x x x x-+-÷=⨯= +--+-+,取x=2代入上式得,原式11213==+.(答案不唯一)(2)原式=y(4xy-4x2-y2)=-y(2x-y)2.【点睛】本题考查分式的化简求值以及因式分解,掌握基本运算法则和乘法公式是解题的关键.4.化简的结果是1x-;2 3 -.【解析】【分析】先计算括号里的减法,将21x-进行因式分解,再将除法运算化为乘法运算,约分得到最简结果,将x的值代入计算即可求出值.【详解】解:211122xx x-⎛⎫÷-⎪++⎝⎭=(1)(1)122x x xx x-++÷++=(1)(1)221x x xx x-++⋅++=1x-,当x=13时,原式=113-=23-【点睛】此题考查了分式的化简求值,以及解分式方程,分式的加减运算关键是通分,通分的关键是找最简公分母;分式的乘除运算关键是约分,约分的关键是找公因式.5.原式=11xx-+,当x=0时,原式=﹣1.【解析】【分析】括号内先通分进行分式的加减法运算,然后再进行分式的除法运算,最后选择使分式的意义的x 的值代入进行计算即可得.【详解】原式=()()()()()23422211111x x x x x x x x ⎡⎤+++-÷⎢⎥+-+--⎢⎥⎣⎦ =()()()212·112x x x x x -++-+ =11x x -+, ∵x≠±1且x≠﹣2,∴x 只能取0或2,当x=0时,原式=﹣1.【点睛】本题考查了分式的化简求值,熟练掌握分式混合运算的运算顺序以及运算法则是解题的关键.6.2-【解析】【分析】先算括号内分式的减法,得()()269233x x x x -+-+-,根据完全平方公式化简得()()()23233x x x --+-,再根据分式的除法法则计算即可.【详解】 2316133962x x x x x x --⎛⎫÷-- ⎪+--+⎝⎭ ()()232612433233x x x x x x x -+--+-=÷++- ()()23693233x x x x x x --+-=÷++-()()()2333233x x x x x ---=÷++- ()()()2233333x x x x x +--=⨯+-- 2=-.【点睛】本题考查了分式的化简运算,掌握分式的运算法则以及完全平方公式是解题的关键. 7.212x x +,13【解析】【分析】直接将括号里面通分运算,再计算除法,化简后,再代入x 的值得出答案.【详解】 解:原式=2214[](2)(2)2x x x x x x x ----÷+++ =22(2)(2)(1)4[](2)(2)2x x x x x x x x x x -+---÷+++ =222244[](2)(2)2x x x x x x x x x ----÷+++ =242(2)4x x x x x -++- =1(2)x x + =212x x+ 当x =(﹣1)0=1时,原式=2111213=+⨯ 【点睛】本题主要考查分式的化简求值,掌握分式加减乘除混合运算顺序和法则是解题的关键.8.21(2)a -,1 【解析】【分析】根据分式的混合运算法则化简,再将a 的值代入化简后的式子计算即可.【详解】 解:22214244a a a a a a a a +--⎛⎫-÷ ⎪--+⎝⎭ 221(2)(2)4a a a a a a a ⎡⎤+-=-⋅⎢⎥---⎣⎦ 22(2)(2)(1)(2)(2)4a a a a a a a a a a ⎡⎤+--=-⋅⎢⎥---⎣⎦ 2224(2)4a a a a a a a --+=⋅-- 24(2)4a a a a a -=⋅-- 21(2)a =- 当3a =时,22111(2)(32)a ==--. 【点睛】 本题考查了分式的化简求值问题,解题的关键是掌握分式混合运算的法则,正确化简.9.12y 【解析】【分析】先把原式化简,化为最简后再代数求值即可.【详解】解:原式=()()3y)3y 22y y +-÷-([52y --()()222y y y +--] =()()()()3y)3y 522222y y y y y +--+-÷--(=()()()3y)3y 2223y)3y y y y +--⨯-+-(( =12y当y =时,原式=4. 【点睛】本题考查了化简求值问题,正确化简是解题的关键.10.-12x +【解析】【分析】先用乘法的分配律去括号,利用分式的加减进行化简后代入数值即可.【详解】 原式=2241x x x -+-2(1)(2)x x --+-(x -2) 2(1)(2)x x --+ =-2224(2)x x x -+++2(1)(2)(2)x x x --+ =()()2222432(2)x x x x x --++-++ =2(2)(2)x x -++ =-12x + 当x-2=-6【点睛】 本题考查的是分式的化简求值,掌握分式的运算法则和二次根式的化简是关键.11.11m --【解析】【分析】原式括号中两项通分并利用同分母分式的减法法则计算,同时利用除法法则变形,约分得到最简结果,把m 的值代入计算即可求出值.【详解】22111m m m m +-⎛⎫-÷ ⎪⎝⎭ ()()2111m m m mm m --=+- ()()111m m mm m +=-+- 11m =--当1m =时,原式===. 【点睛】本题主要考查了分式的化简求值,解题的关键是掌握分式混合运算顺序和运算法则及分式有意义的条件.12.(1)21(2)x -;(2)x =0. 【解析】【分析】 (1)原式括号中两项通分并利用同分母分式的减法法则计算,利用除法法则变形,约分即可得到结果;(2)分式方程去分母转化为整式方程,求出整式方程的解得到x 的值,经检验即可得到分式方程的解.【详解】(1)原式=[221](2)(2)4x x x x x x x +-----=2224(2)x x x x x --+-•4x x - =21(2)x -; (2)方程两边乘(x +2)(x ﹣1),得x (x ﹣1)﹣(x +2)(x ﹣1)=x +2,整理得:x 2﹣x ﹣(x 2+x ﹣2)=x +2解得,x =0,检验:当x =0时,(x +2)(x ﹣1)≠0,所以,原分式方程的解为x =0.【点睛】此题考查了解分式方程,以及分式的混合运算,熟练掌握运算法则是解本题的关键. 13.(1)x +2;(2)1x x +,当x =﹣2时,原式=2. 【解析】【分析】(1)根据分式的混合运算顺序和运算法则计算可得;(2)先根据分式的混合运算顺序和运算法则化简原式,解不等式组求出不等式组的整数解,从中找到符合分式的整数,代入计算可得.【详解】 (1)原式2422x x x =--- 242x x -=- ()()222x x x +-=- =x +2;(2)原式()()2111x x x x x =÷+-- ()()211x x x =+-•1x x-1x x =+, 解不等式组11622x x --⎧⎨+≥⎩>①②解不等式①得x <2;解不等式②得x≥-2;∴不等式组的解集是﹣2≤x <2,所以该不等式组的整数解为﹣2、﹣1、0、1,因为x ≠±1且x ≠0,所以x =﹣2, 则原式221-==-+2. 【点睛】本题主要考查分式的化简求值与解不等式组,解题的关键是熟练掌握分式的混合运算顺序和运算法则及解不等式组的能力.14.-1【解析】【分析】先对括号内的式子进行通分,再将除法转化为乘法,并对分子、分母因式分解,最后约分即可得到最简形式1-x ;接下来将x=2代入化简后的式子中进行计算即可求得答案.【详解】 解:原式=x x+x-x+1x -(1)(1) =﹣x+1当x =2时原式=﹣2+1=﹣1.【点睛】本题考查分式的混合运算,求代数式的值.在对分式进行化简时,先观察分式的特点,运用合适的运算法则进行化简. 15.(1)21x -;(2)1x x +,x=3时,34【解析】【分析】(1)根据分式的减法和除法法则即可化简题目中的式子;(2)根据分式的减法和除法可以化简题目中的式子,再从13x -≤≤中选取一个使得原分式有意义的整数代入即可解答本题.【详解】解:(1)原式221212x x x x x=+--÷ ()()122111x x x x x x +⨯=+--=; (2)原式()()()()()()()22111111111x x x x x x x x x x x x x x x +---⨯=⨯=+--+-+, 当3x =时,原式33314==+. 【点睛】本题考查了分式的化简求值,熟练掌握运算法则是解本题的关键.16.3,12x x - 【解析】【分析】根据分式的乘法和减法可以化简,然后将x 的值代入即可.【详解】2111211x x x x x x +⎛⎫+÷ ⎪--+-⎝⎭ =()()()()22111111x x x x x x ⎛⎫+-- ⎪+⨯ ⎪--⎝⎭ =()2211x x xx -⨯- =1x x -; 当x=3时,原式=33312=-. 【点睛】考查分式的化简求值,解答本题的关键是明确分式化简求值的计算方法.17.1a a-,2. 【解析】【分析】先根据分式的混合运算顺序和运算法则化简原式,再将a 的值代入计算可得.【详解】 解:原式=252422(1)a a a a a a -+-+⨯+- =2(1)22(1)a a a a a -+⨯+-=1a a -,当a +1时,=2. 【点睛】本题主要考查分式的化简求值,解题的关键是掌握分式的混合运算顺序和运算法则. 18.(1)x-4;(2)不能,见解析.【解析】试题分析:(1)设被墨水污染的部分是A ,计算即可得到结论;(2)令1137x =+,解得x =4,而当x =4时,原分式无意义,所以不能. 试题解析:解:(1)设被墨水污染的部分是A ,则2443193(3)(3)3x A x x x x x x A x ---÷=⋅=--+-+,解得:A = x -4; (2)不能,若1137x =+,则x =4,由原题可知,当x =4时,原分式无意义,所以不能. 19.31x x -+,5. 【解析】【分析】原式括号中利用同分母分式的减法法则计算,同时利用除法法则变形,约分得到最简结果,求出已知方程的解得到x 的值,代入计算即可求出值.【详解】原式=21(3)3(1)(1)x x x x x --⨯-+-=31x x -+, 由2x+4=0,得到x=﹣2,则原式=5.20.1(1)a a -,12017. 【解析】【分析】先计算括号内的分式减法,再计算分式的除法即可化简,然后根据方程的解定义得出一个关于a 的等式,最后代入求解即可.【详解】2221111a a a a a --⎛⎫÷-- ⎪-+⎝⎭ 22(1)(1)21111a a a a a a a --+-⎡⎤=÷-⎢⎥-++⎣⎦ 222121()111a a a a a a ---=÷--++ 222211a a a a a --=÷-+ 21(1)(1)(2)a a a a a a -+=⋅+-- 1(1)a a =- 因a 是方程22017x x -=的解,则22017a a -= 将其代入得,原式211(1)20171a a a a -===-. 【点睛】本题考查了分式的化简求值、一元二次方程的解定义,熟记分式的运算法则是解题关键. 21.ab 2,12 【解析】【分析】根据分式的混合运算,先化简,再代入求值,即可得到答案.【详解】原式()2(a b)a b 2a b ab--=÷- a b 2-=•ab a b- ab 2=, 当a =1,b =1时,原式)112=212-=12=. 【点睛】本题主要考查分式的化简求值,掌握分式的约分和通分,是解题的关键.22.(1)x=32-;(2)a b a b -+;12. 【解析】【分析】(1)把方程两边同时乘以最简公分母x 2-4,去分母得整式方程,解整式方程可求出x 的值,把x 的值代入最简公分母检验即可得答案;(2)先把括号内的分式通分,除式的分母因式分解,再根据分式除法法则化简得出最简结果,根据平方和绝对值的非负数性质可求出a 、b 的值,代入化简后的式子计算即可得答案.【详解】(1)21124x x x -=-- 方程两边同时乘以最简公分母x 2-4得:x(x+2)-(x 2-4)=1,整理得:2x=-3,解得:x=32-,检验:当x=32-时,x 2-4≠0, ∴x=32-是原分式方程的解. (2)22112()2a a b a b a ab b+÷+--+ =22()()()a b a b a a b a b a b -++÷+-- =22()()()2a a b a b a b a-⋅+- =a b a b-+, ∵269a a -+与|1|b -互为相反数,∴2(3)a - +|1|b -=0,∴a-3=0,b-1=0,解得:a=3,b=1,当a=3,b=1时,原式=a b a b -+=3131-+=12. 【点睛】本题考查分式的混合运算——化简求值及解分式方程,解分式方程的基本思想是转化思想,把分式方程转化成整式方程再解方程,注意最后要检验是否有增根;熟练掌握分式的混合运算法则及非负数的性质是解题关键23.原式=2a a -+1. 【解析】分析:先根据分式混合运算顺序和运算法则化简原式,再将a 的值代入计算可得. 详解:原式=211(2)(11(1)a a a a a a ---÷---) =22(1)•1(2)a a a a a ---- =2a a -当原式1=. 点睛:本题主要考查分式的混合运算,解题的关键是熟练掌握分式混合运算顺序和运算法则.24.11a +;12【解析】【分析】原式括号中两项通分并利用同分母分式的减法法则计算,同时利用除法法则变形,约分得到最简结果,把a 的值代入计算即可求出值.【详解】 解:原式=21(1)(1)11(1)1a a a a a a a -++-⋅=-++, 当a =﹣3时,原式=﹣12. 【点睛】本题主要考查了分式的混合运算,灵活的利用通分、约分进行分式的化简是解题的关键. 25.(1)22(3)x x -;(2)x ﹣1;(3)22a b b a+-,﹣5. 【解析】【分析】(1)直接通分运算进而利用分式的混合运算法则计算得出答案;(2)直接将括号里面通分进而利用分式的混合运算法则计算得出答案;(3)直接将括号里面通分进而利用分式的混合运算法则计算得出答案.【详解】解:(1)原式2223(3)(3)(3)x x x x x x +-==--; (2)原式2221(1)(1)(1)(1)1(1)(1)1(1)(1)1x x x x x x x x x x x x x +++-+-=⋅=⋅=--++-++; (3)原式222(+2)3()()(+2)2(2)(2)2a b b a a b b a b a b a b a b a b a b a b b a b a b a-----+=÷=⋅=---+--∵3a b=, ∴a =3b ,所以原式=32523b b b b +=--. 【点睛】本题考查的知识点是分式的化简求值,掌握分式化简的一般步骤以及分式的混合运算法则是解此题的关键,注意化简过程中各项的符号变化.26.(1)1;(2)21a +;(3)x ﹣1,x =2时,原式=1. 【解析】【分析】(1)先约分,再相加即可求解;(2)先因式分解,将除法变为乘法约分,再通分,相减即可求解;(3)先计算括号里面的减法,再因式分解,将除法变为乘法约分化简,再把x =2代入计算即可求解.【详解】 (1)2111a a a a -++-, =111a a a +++, =11a a ++, =1;(2)2222421121a a a a a a a ---÷+--+, =222(2)(1)1(1)(1)2a a a a a a a ---⋅++--, =22(1)11a a a a --++, =22(1)1a a a --+, =21a +; (3)(132x -+)212x x x -÷+-, =23(1)(2)21x x x x x +--+⋅+-, =x ﹣1,∵x +2≠0,x ﹣1≠0,∴x ≠﹣2,x ≠1,当x =2时,原式=2﹣1=1.【点睛】此题考查分式的混合运算及化简求值,正确将分式的分子与分母因式分解是解题的关键.27.2a a 1-,910-. 【解析】【分析】先把分式化简后,再解方程确定a 的值,最后代入求值即可.【详解】解:原式=2(1)2(1)(1)(1)a a a a a a a +--÷-- =2(1)(1)(1)1a a a a a a +-⋅-+ =2a a 1- 由2230x x +-=,得11x =,232x =-又10a -≠∴32a =-. ∴原式=23()9231012-=---. 【点睛】本题考查分式的化简求值;一元二次方程的解法,掌握计算法则正确计算是解题关键. 28.12x +,3【解析】【分析】 先去括号,再算乘法约去公约数,即可完成化简,化简3tan 3022cos 45x =-,先算三角函数值,再算乘法,再算减法,再将化简后x 的值代入原式求解即可.【详解】 原式313()33(2)(2)x x x x x x --=+•--+- 233(2)(2)x x x x x --=•-+- 12x =+当33tan 3022cos 453232x =-=⨯-=时原式3=== 【点睛】本题考查了整式的混合运算,掌握整式混合运算的法则是解题的关键.29.(1)无解;(2)22a a --,-2【解析】【分析】(1)根据解分式方程的步骤计算即可;(2)先根据分式的混合运算顺序和运算法则化简原式,再整体代入计算可得.【详解】(1)两边都乘以(x +2)(x ﹣2),得:x (x +2)﹣(x +2)(x ﹣2)=8,解得:x =2,当x =2时,(x +2)(x ﹣2)=0,∴x =2是增根,∴原分式方程无解;(2)原式12a a -=+•()()222(1)a a a +--•(a +1)(a ﹣1) =(a ﹣2)(a +1)=a 2﹣a ﹣2.当a 2﹣a =0时,原式=﹣2.【点睛】本题考查了分式的化简求值,解答本题的关键是掌握分式的混合运算顺序和运算法则及解分式方程的步骤.30.(1)2217x x +=;(2)1x x -=(3)221x x -=±. 【解析】【分析】(1)利用完全平方公式对已知等式变形,即可求得答案;(2)利用(1)的结论运用配方法即可求得;(3)利用(2)的结论结合已知等式,运用平方差公式即可求解.【详解】(1)∵13x x+=, ∴219x x ⎛⎫+= ⎪⎝⎭, 整理,得,22129x x ++=, ∴2217x x +=; (2)由(1)知2217x x+=, ∴22125x x +-=,即215x x ⎛⎫-= ⎪⎝⎭,∴1x x-=(3)∵1x x -=13x x +=,∴11x x x x ⎛⎫⎛⎫-⋅+=± ⎪ ⎪⎝⎭⎝⎭即221x x-=±; 【点睛】本题考查了分式的化简求值,熟练掌握并灵活运用完全平方公式、平方差公式进行变形是解本题的关键.31.3x x+;0. 【解析】【分析】原式括号中两项通分并利用同分母分式的减法法则计算,同时利用除法法则变形,约分得到最简结果,将x 的值代入计算即可求出值.【详解】221111x x x x ⎛⎫-÷ ⎪-+-⎝⎭ ()()()()()()()()211111111x x x x x x x x x ⎡⎤+-+-=-⋅⎢⎥+-+-⎣⎦()()()()()()2111111x x x x x x x +--+-=⋅+- 221x x x+-+= 3x x+=; 当3x =-时, 原式3303-+==-. 【点睛】本题考查了分式的化简求值,熟练掌握运算法则是解本题的关键.32.【解析】【分析】根据分式的运算法则即可求出答案.【详解】当时,原式=()()333111a a a a a a++-+⨯-+ =()()4111a a a a a+⨯-+ =41a -.【点睛】本题考查分式的运算,解题的关键的是熟练运用分式的运算法则.33.1a a +;32. 【解析】【分析】原式括号中的两项通分并利用同分母分式的加法法则计算,同时利用除法法则变形,约分得到最简结果,把a 的值代入计算即可求出值.【详解】解:原式=2(1)(1)(1)a a a +--÷1a a - =2(1)(1)(1)a a a +--•1a a - =1a a+, 当a =2时,原式=32. 【点睛】本题考查的是分式的化简求值,熟知分式混合运算的法则是解答此题的关键.34.13-【解析】【分析】先将分式化简,再求出不等式组,利用分式有意义时分母不等于0,求出x 的值代入即可解题.【详解】 解:原式2(2)121(1)1(1)x x x x x x x ⎛⎫---+=÷ ⎪+⎝-⎭+(1)(1)(2)x x x x =•+-- =11x - ∵x 2﹣1≠0,x ﹣2≠0,x≠0∴x≠±1且x≠2,且x≠0解不等式组,得﹣3<x≤2,则x 整数解为x =﹣2,﹣1,0,1,2,∴x =﹣2 原式=13-.【点睛】本题考查了分式方程的化简求值,不等式组的求解,中等难度,正确化简并利用分式有意义的条件求出x 的值代入是解题关键.35.(1)1x-,12-;(2)13x 【解析】【分析】(1)根据分式的各个运算法则化简,然后选择一个使原分式有意义的x 的值代入即可;(2)根据不等式的基本性质解不等式组即可.【详解】 (1)原式=21(1)2(1)(1)1x x x x x -⋅-+-+ 12(1)(1)x x x x x x -=-++ (1)(1)x x x -+=+ 1x=- 根据原分式有意义的条件:1,0x ≠±当2x =时,原式=12-(2)13212x x ⎪⎨+-<⎪⎩② 解①得,1x >解②得,3x <∴该不等式组的解集为13x【点睛】此题考查的是分式的化简求值题和解不等式组,掌握分式的各个运算法则和不等式的基本性质是解决此题的关键. 36.224421x x x ---,x=2时值为2. 【解析】【分析】先对分式进行化简,要是分式有意义,则需要使在整个运算过程中的分母不为0,取值时避开这些使分母为0的数即可.【详解】 解:原式2221211=+111x x x x x x x x ++-⎛⎫⎛⎫⨯-- ⎪ ⎪--⎝⎭⎝⎭ ()()()()()()()()()()()()22222122=+1111421114211141211114421x x x x x x x x x x x x x x x x x x x x x x x x x +⎛⎫⨯- ⎪+-⎝⎭+=⨯-+-+=-++--=-+-+---=- 要使分式有意义,则x ≠0,1,-1则当=2x 时,代入得2244244422=2141x x x --⨯-⨯-=--【点睛】 本题主要考查的是分式的化简求值以及使分式有意义的条件,掌握这两个知识点并正确的运用是解题的关键. 37.22x -,12- 【解析】 【分析】先化简括号内的式子,再根据分式的除法进行计算即可化简原式,然后将2x =-代入化简后的式子即可解答本题. 【详解】 解:原式228(2)(2)(2)22x x x x x x ⎡⎤+-=÷-⎢⎥---⎣⎦22284(2)2x x x x -+=÷-- 282(2)4x x -=⋅- =22x -. ∵2x =,∴2x =±,2x =舍,当2x =-时,原式21222==---. 【点睛】本题考查了分式的化简求值,解题的关键是明确分式化简求值的方法.38.,当x=+1时,原式= 【解析】试题分析:先将括号里面的通分后,将除法转换成乘法,约分化简,然后代x 的值,进行二次根式化简.试题解析:, 当时,原式.考点:1.分式的化简;2.二次根式化简.39.2x -【解析】【分析】根据分式的混合运算法则,先化简,再代入求值,即可求解.【详解】原式=22522(2)2(2)(2)x x x x x x x -++++⨯++- =22(2)(2)2(2)(2)x x x x x -+⨯++- =2x -,当=1x -2= 【点睛】本题主要考查分式的混合运算法则,掌握分式的通分与约分进行化简,是解题的关键. 40.﹣23x +,﹣1 【解析】【分析】原式括号中两项通分并利用同分母分式的减法法则计算,同时利用除法法则变形,约分得到最简结果,把x 的值代入计算即可求出值.【详解】 解:原式=2(3)2x x --÷5(2)(2)2x x x -+-- =2(3)22(3)(3)x x x x x --⋅--+- =﹣23x +, 当x =﹣1时,原式=﹣1.【点睛】此题考查了分式的化简求值,熟练掌握运算法则是解本题的关键.41.22x ,12. 【解析】【分析】根据分式混合运算的法则把原式进行化简,再求出x 的值代入进行计算即可. 【详解】 原式11(1)(1)()112x x x x x +-=-⨯-++ 1122x x x x +-=-++ 22x =+ 因为:240x -=2x =当2x =时,原式12=. 【点睛】本题考查分式的化简求值,熟练掌握计算法则是解题关键.42.21a --,2 【解析】【分析】先将分式的分子和分母分解因式,再根据分式的化简求值的过程计算即可求解. 【详解】 解:原式=2(2)2(2)(2)21a a a a a a a ⎡⎤-+-⋅⎢⎥-++-⎣⎦, 22()221a a a a a a -+=-⋅++-, 2221a a a +=-⋅+-, 21a =--. ∵a ≤2的非负整数解有0,1,2,又∵a ≠1,2,∴当a =0时,原式=2.【点睛】此题考察分式的化简求值,化简时需先分解因式约去公因式得到最简分式,求值时选的数需满足分母不为0的数才可代入求值.43.12x +;13【解析】【分析】先根据分式混合运算的法则把原式进行化简,再把x 的值代入进行计算即可.【详解】 解:原式222(2)(2)(2)x x x x x x x -=-⋅+-- 22(2)(2)(2)(2)x x x x x x +=-+-+- ()()222x x x -=+- 12x =+ 当1x =时,原式11123==+. 【点睛】 本题考查的是分式的化简求值,熟知分式混合运算的法则是解答此题的关键.44.11m +,13【解析】【分析】根据分式的混合运算法则运算即可,注意m 的值只能取2.【详解】解:原式=2121()m m m m m-+-÷=1(1)(1)m m m m m -⎛⎫⋅ ⎪-+⎝⎭ =11m+ 把m=2代入得,原式=13. 【点睛】本题考查了分式的化简求值问题,解题的关键是掌握分式的运算法则.45.(1)13-;(2)62x --;16-【解析】【分析】(1)根据单项式乘单项式法则、合并同类项法则和单项式除以单项式法则计算即可;(2)根据分式的各个运算法则化简,然后代入求值即可.【详解】解:(1)()()322423523a a a a ⎡⎤⋅+-÷⎢⎥⎣⎦ =()()666589a a a ⎡⎤+-÷⎣⎦ =()()6639aa -÷ =13- (2)524223x x x x-⎛⎫++⋅ ⎪--⎝⎭ =24524223x x x x x ⎛⎫--+⋅ ⎪---⎝⎭=()222923x x x x--⋅-- =()()()332223x x x x x+--⋅-- =()23x -+将5x =代入,得原式=62516--⨯=-【点睛】此题考查的是整式的混合运算和分式的混合运算,掌握整式的各个运算法则和分式的各个运算法则是解决此题的关键.46.(1)22a a -,8;(2)原方程无解【解析】【分析】(1)现根据分式的运算法则化简分式,再将a 的值代入即可;(2)先变形,再把分式方程转化成整式方程,求出方程的解,再进行检验即可.【详解】解:(1)原式=2145211(1)a a a a a a a ⎛⎫⎡⎤----÷ ⎪⎢⎥---⎣⎦⎝⎭=244(1)12a a a a a a -+-⨯--=2(2)(1)12a a a a a --⨯--=(2)a a -=22a a -,当a =4时,原式=24248-⨯=;(2)解:解:原方程化为:81,(2)(2)2y y y y +=+-- 方程两边都乘以(y+2)(y-2)得:284(2),y y y +-=+化简得,2y=4,解得:y=2,经检验:y=2不是原方程的解.原方程无解.【点睛】本题考查了分式的化简求值以及解分式方程,分式的化简求值注意运用运算法则先化简再代入计算;解分式方程的关键能把分式方程转化成整式方程并注意要检验.47.13.试题分析:先按分式的相关运算法则将原式化简,再代值计算即可.试题解析:原式=()()232211x x x x x +-+⋅++- =11x + 当x=2时,原式=13.48.22x x -+,33- 【解析】【分析】根据分式的各个运算法则化简,然后代入求值即可.【详解】 解:244()33x x x x x ---÷-- =()()22234333x x x x x x x x +-⎛⎫---÷ ⎪---⎝⎭=()()2443322x x x x x x -+-•-+- =()()()223322x x x x x --•-+- =22x x -+将-2代入,得原式=33- 【点睛】此题考查的是分式的化简求值题,掌握分式的各个运算法则是解决此题的关键.49.-【解析】【分析】根据分式混合运算的法则把原式进行化简,再把a 、b 的值代入进行二次根式化简即可.【详解】解:原式=()()()()()222a b a b a b a b 2ab b a a a b a a a a ba b +-+---+÷=⋅=----.当a 1b 1=+=-=2==-. 50.33x x-;0. 【解析】【分析】先把括号内的分式的分母因式分解,再根据分式除法法则,利用乘法分配律化简得出最简结果,最后把x=3代入求值即可.【详解】原式=()()2322232x x x x x ⎡⎤---⋅⎢⎥--⎢⎥⎣⎦()312=223x x x x ⎛⎫--⋅ ⎪ ⎪--⎝⎭()3212=2323x x x x x --⋅-⋅-- 11=3x - =33x x-. 当3x =时,原式=33033-=⨯. 【点睛】本题考查分式的运算——化简求值,熟练掌握分式的混合运算法则是解题关键.51.21(2)a -,1. 【解析】【分析】将原式化简成()212a -,由已知条件a 为04a ≤≤中的整数,原式有意义可知0,2,4a a a ≠≠≠,从而得出1a =或3a =,将其代入()212a -中即可求出结论.【详解】 22214244a a a a a a a a +--⎛⎫+÷ ⎪--+⎝⎭ 221(2)(2)4a a a a a a a ⎡⎤+-=-⨯⎢⎥---⎣⎦ 22224(2)(2)4a a a a a a a a a ⎡⎤--=-⨯⎢⎥---⎣⎦ 24(2)4a a a a a -=⨯-- 21(2)a =- ∵04a ≤≤且为整数,且0a ≠,2,4.∴取1a =,原式211(12)==-.或取3a =,原式211(32)==- 【点睛】分式的化简考查了分式的运算,主要涉及分式的加减法、分式的乘除法,分式的加减法关键是化异分母为同分母,分式的除法关键是将除法转化为乘以除式的倒数;求值部分,尤其是这类选取适当的数代入求值时,千万要注意未知数取值的限制,所有使分母等于零的数都不能取,使使除号后紧跟的分式的分子为零的数也不能取避免进入分式无意义的雷区,例如本题已知条件04a ≤≤中选取的合适的整数只有1和3.52.12x -+;1-【分析】 根据分式的化简,通过通分、约分化简得到的式子,把1x =-代入求值即得.【详解】原式223111x x x x --+=÷-- 211(2)(2)x x x x x --=⨯-+- 12x =-+, 把1x =-代入得原式1112=-=--+. 【点睛】考查分式的化简求值,化简中用到因式分解、约分,注意因式分解,约分符号问题,最后使得式子最简.53.2.【解析】试题分析:先将2x+221x 111x x x --÷+--进行化简,再将x 的值代入即可; 试题解析: 原式=﹣•(x ﹣1)==,当x=﹣3时,原式=﹣2.54.(1)242a ab -,12;(2)12x -,1 【解析】【分析】(1)原式第一项利用平方差公式化简,第二项利用多项式除以单项式法则计算,合并得到最简结果,将a 与b 的值代入计算即可求出值;(2)首先计算括号里面的进而利用分式乘除运算法则计算得出最简结果,将x 的值代入计算即可求出值.解:(1)()223(2)(2)844a b a b a b abab +---÷, = ()22242a b ab b---=242a ab -,当2,1a b ==时,原式=242221=164⨯-⨯⨯-=12; (2)22224242x x x x x x --⎛⎫÷-- ⎪-+⎝⎭=()()()()()222242222x x x x x x x x x --+⎡⎤-÷-⎢⎥-+++⎣⎦=2222x x x x x -÷++ =()222x x x x x +⋅+- =12x -, 当x=3时,原式=132-=1. 【点睛】本题考查分式的化简求值以及整式的混合运算,正确进行分式的混合运算是解题关键.55.11x +;2【解析】【分析】先算括号里面的,再算除法,根据特殊角的三角函数值先得出x ,再代入即可.【详解】 原式2231()2x 22x x x x +-=-÷+++ 223122x x x x +--=÷++ 21221x x x x -+=⨯+-122(1)(1)x x x x x -+=⨯++- 11x =+.当21x ==时,原式11x ===+. 【点睛】本题考查了分式的化简求值以及特殊角的三角函数值,是基础知识要熟练掌握.56.x +y .【解析】试题分析:根据分式的减法和除法可以化简题目中的式子,然后将x 、y 的值代入即可解答本题.试题解析:原式=()()x x y x y x y x y y -++-⋅- =()()y x y x y x y y+-⋅-=x +y ,当x 2,y =11()2-=2时,原式57【解析】【分析】先根据分式混合运算的法则把原式进行化简,再求出x 的值代入进行计算即可【详解】 原式32(2)2(2)(2)(2)(2)4x x x x x x x x ⎡⎤+-=-•⎢⎥+-+--⎣⎦ 3242421(2)(2)4(2)(2)42x x x x x x x x x x x x -----=•=•=+--+--+134232x =⨯-⨯=∴原式== 【点睛】此题考查分式的化简求值,掌握运算法则是解题关键58.22a a -+,15-. 【解析】【分析】先对括号里的式子进行通分化简运算,然后进一步化简,最后代入求值即可.【详解】 原式2(2)3(1)(1)11a a a a a ---+=÷++ 22(2)411a a a a --=÷++ 2(2)11(2)(2)a a a a a -+=⋅++- 22a a-=+. ∴当3a =时,原式231235-==-+. 【点睛】本题主要考查了分式的化简求值,熟练掌握相关法则是解题关键.错因分析 容易题.失分原因是:①括号内通分时,忘记变号;②将除法变为乘法时,忘记分子分母调换位置.59.x x+1;x=2时,原式=23. 【解析】【分析】先将括号内的分式通分,再按照分式的除法法则,将除法转化为乘法进行计算.最后在﹣1≤x≤3中取一个使分式分母和除式不为0的数代入求值.【详解】解:原式=()()()()()()()()()()()222x x+1x x 1x 1x x x ==x+1x 1x+1x 1x+1x 1x x 1x+1x 1⎡⎤---÷⋅⎢⎥-----⎢⎥⎣⎦. ∵﹣1≤x≤3的整数有-1,0,1,2,3,当x=﹣1或x=1时,分式的分母为0,当x=0时,除式为0,∴取x 的值时,不可取x=﹣1或x=1或x=0.不妨取x=2,此时原式=22=2+13.60.(1)分式方程无解;(2)326a 35?a 13a +﹣;(3)(4 【解析】【分析】(1)去分母化为整式方程求解即可,求出未知数的值要验根;(2)先算单项式与多项式的乘法,再合并同类项即可;(3)第一项按二次根式的乘法计算,第二项按化简绝对值的意义化简,第三项按零指数幂的意义化简,然后进一步合并化简即可;(4)先根据分式的运算法则把所给代数式化简,再把. 【详解】(1)去分母得:2x-2+3x+3=6,解得:x=1,经检验x=1是增根,分式方程无解;(2)原式322326a 27a 9a 8a 4a 6a 35?a 13a =++=+﹣﹣﹣;(3)原式=11+=(4)原式=xy (x+y )()()()22x y x y xx y x y +-⋅⋅+=x ﹣y ,代入得当,y=2时,原式22= 【点睛】 本题考查了解分式方程,实数的混合运算,整式的混合运算,分式的化简求值,熟练掌握各知识点是解答本题的关键.。
绝密★启用前 中考数学计算题专题(化简求值+有理数计算+不等式120道集训试题)注意事项:1.答题前填写好自己的姓名、班级、考号等信息; 2.请将答案正确填写在答题卡上;卷I (选择题)一、 选择题 (本题共计 0 小题 ,共计0分 , )卷II (非选择题)二、 解答题 (本题共计 16 小题 ,每题 10 分 ,共计160分 , )1. 计算:|√3−2|+3tan30∘+(12)−1−(3−π)0−(√2)2.2. 先化简:(3x+1−x +1)÷x 2−4x+4x+1,然后从−1≤x ≤2中选一个合适的整数作为x 的值代入求值.3. 先化简,再求值:(x x−1−x−1x)÷2x−1x 2+x,其中x =3.4. 解不等式组:{3(x +2)<8+x x 2≥x−13,并把解集在数轴上表示出来.5. 先化简,再求值:(a +b)2−2a(b +1)−a 2b ÷b ,其中a =12,b =√3.6. 解方程:x−2x+2+164−x 2=x+2x−27. 计算:√3−|1−√3|−(12)−1+(π−3)0−2cos45∘.8. 先化简,再求值:(3x x−1−xx+1)⋅x 2−1x,其中x =√2−2.9. 计算:(13)−1+|1−√3|−2sin60∘+(π−2016)0−√83.10. 计算:(−1)2016−√9+(cos60∘)−1+(√2016−√2015)0+83×(−0.125)3.11. 化简(1x+1+1x 2−1)÷2x1−x ,然后选一个合适的数代入求值.12. 先化简,后求值:(x 2−x 3+4x−4x+1)÷x−2x+1,再任选一个你喜欢的数x 代入求值.13. 计算:(−2)2+(13)−1−(2−√2)0−2cos60∘.14. 先化简,再求值:(1−ba+b )÷aa 2−b 2,其中a =2,b =−1.15. 解方程组:{3(x −1)=y +55(y −1)=3(x +5).16. 计算:(−1)2009+(−1+√2)0−(13)−1+√27−2tan60∘.卷II (非选择题)一、 解答题 (本题共计 40 小题 ,每题 10 分 ,共计400分 , )1. (1)计算:|−12|+(−1)2019+2sin30∘+(√3−√2)0 1.(2)先化简,再求值:(1x+1−1x−1)÷21−x ,其中x =−22. 计算:2sin60∘+|√3−2|+(−1)−1−√−833. (1)计算:|−12|+(−1)2019+2−1−(π−3)0; 3. (2)解方程:1−x−32x+2=3xx+14. 计算:(−2)−1−√9+cos60∘+(√2019−√2018)0+82019×(−0.125)2019.5. 先化简(1+2x−3)÷x 2−1x 2−6x+9,再从不等式组{−2x <43x <2x +4的整数解中选一个合适的x 的值代入求值.6. 计算:|−12|+(−1)2019+2−1−(2−√2)0+2cos45∘.7. 解方程:1−x−32x+2=3xx+1.8. (1)计算:√83−4cos60∘−(π−3.14)0−(12)−1 8. (2)先化简,再求值:(1−1x)÷x 2−2x+1x,其中x =2.9. 计算:(−13)−1−√12+3tan30∘−(π−√3)0+|1−√3|10. 先化简,再求值:(2aa 2−4−1a−2)÷aa 2+4a+4,其中a 是方程a 2+a −6=0的解.11. (1)计算:|−2|−2cos60∘+(16)−1−(2018−√3)0 11. (2)先化简(1−2x−1)⋅x 2−xx −6x+9,再在1、2、3中选取一个适当的数代入求值.12. 2−1+|1−√8|+(√3−2)0−cos60∘13. 化简分式(a 2−3a a −6a+9+23−a )÷a−2a −9,并在2,3,4,5这四个数中取一个合适的数作为a 的值代入求值.14. (1)计算:|√3−1|+(−1)2017+4sin60∘+√4. 14.(2)先化简再求值:(1x−y −1x+y )÷2yx−y ,其中x 、y 满足|x −1|+(y +2)2=0.15. (1)计算:√12+|3−√3|−2sin60∘+(2017−π)0+(12)−2 15. (2)解方程:2−xx−3+13−x =1.16. 计算:(−√33)−2+(π−√2)0−|√2−√3|+tan60∘+(−1)2017.17. 先化简,再求值:(x 2−2x+1x 2−x+x 2−4x 2+2x)÷1x,且x 为满足−3<x <2的整数.18. 计算:(−12)−2−(3.14−π)0+|1−√2|−2sin45∘.19. 先化简,再求值:x+22x 2−4x ÷(x −2+8xx−2),其中x =√2−1.20. (1)计算:(√3−2014)0+|−tan45∘|−(12)−1+√8 20. (2)解方程:2xx−1+11−x =3.21. 计算:(−2015)0+|1−√2|−2cos45∘+√8+(−13)−2.22. 先化简,再求值:(x 2+1x 2−x−2x−1)÷x+1x−1,其中x =−3.23. (1)−√4÷|−2√2×sin45∘|+(−12)−1÷(−14×12) 23.(2)先化简(2x+2+x+5x 2+4x+4)×x+2x 2+3x ,然后选择一个你喜欢的数代入求值.24. 计算:|√3−2|+3tan30∘+(12)−1−(3−π)0−(√2)2.25. 计算:(−13)−1+(2015−√3)0−4sin60∘+|−√12|26. 解不等式组{2(x +2)>3x3x−12≥−2,并将它的解集在数轴上表示出来.27. 先化简,再求值:m−33m 2−6m ÷(m +2−5m−2),其中m 是方程x 2+2x −3=0的根.28. (1)计算:(13)−2+(π−2014)0+sin60∘+|√3−2|. 28. (2)解方程:1x−2=4x 2−4.29. 先化简,再求值:(x +1−15x−1)÷x 2−8x+161−x,其中x =2.30. 计算:(√3−2)0+(13)−1+4cos30∘−|√3−√27|31. 解不等式组{23x +5>1−xx −1<34x −18,并写出它的非负整数解.32. 先化简,再求值:x 2−9x 2+8x+16÷x−3x+4−xx+4,其中x =√7−4.33. 计算:2tan30∘−|1−√3|+(2014−√2)0+√13.34. (1)√27−(13)−2+|√3−2|−2tan60∘+(2013−π)0 34. (2)先化简,再求值:(x+8x 2−4x+4−12−x )÷x+3x 2−2x ,其中x 2−4=0.35. 计算:√8+(−13)−1+|1−√2|−4sin45∘−(π−√2)036. 计算:(π−3.14)0+|1−2√2|−√8+(12)−137. 计算:−12+√18−4cos45∘−|1−√2|38. (1)计算:(13)−2+(π−2018)0+sin60∘+|√3−2| 38. (2)解方程:1x−2=4x 2−439. 化简分式:(aa−2−4a 2−2a )÷a+2a 2并从−2,0,1,2这四个数中选取一个合适的数作a 的值代入求值.40. 计算:−12018−|1−√2|+(12)−1+(3.14−π)0+√8.参考答案与试题解析中考数学计算题专题(化简求值+有理数计算+不等式120道集训试题)一、选择题(本题共计 0 小题,共计0分)二、解答题(本题共计 16 小题,每题 10 分,共计160分)1.【答案】原式=2−√3+3×√33+2−1−2=1.【考点】实数的运算零指数幂负整数指数幂特殊角的三角函数值【解析】原式第一项利用绝对值的代数意义化简,第二项利用特殊角的三角函数值计算,第三项利用负整数指数幂法则计算,第四项利用零指数幂法则计算,最后一项利用平方根定义计算即可得到结果.【解答】原式=2−√3+3×√33+2−1−2=1.【点评】此题考查了实数的运算,熟练掌握运算法则是解本题的关键.2.【答案】原式=(3x+1−x2−1x+1)÷(x−2)2x+1=3−x2+1x+1×x+1(x−2)2=x+22−x,当x=1时,原式=1+22−1=3.【考点】分式的化简求值【解析】先根据分式混合运算的法则把原式进行化简,再选取合适的x的值代入进行计算即可.【解答】原式=(3x+1−x2−1x+1)÷(x−2)2x+1=3−x2+1x+1×x+1(x−2)2=x+22−x,当x=1时,原式=1+22−1=3.【点评】本题考查的是分式的化简求值,熟知分式混合运算的法则是解答此题的关键.3.【答案】原式=x2−(x−1)2x(x−1)⋅x(x+1)2x−1=2x−1x(x−1)⋅x(x+1)2x−1=x+1x−1,当x=3时,原式=2.【考点】分式的化简求值【解析】原式括号中两项通分并利用同分母分式的减法法则计算,同时利用除法法则变形,约分得到最简结果,把x的值代入计算即可求出值.【解答】原式=x2−(x−1)2x(x−1)⋅x(x+1)2x−1=2x−1x(x−1)⋅x(x+1)2x−1=x+1x−1,当x=3时,原式=2.【点评】此题考查了分式的化简求值,熟练掌握运算法则是解本题的关键.4.【答案】{3(x+2)<8+xx2≥x−13,解不等式①得:x<1,解不等式②得:x≥−2,在数轴上表示不等式组的解集:∴不等式组的解集是−2≤x<1.【考点】解一元一次不等式组在数轴上表示不等式的解集【解析】根据一元一次不等式组的解法,求出两个不等式的解集,然后求出公共解集即可.【解答】{3(x+2)<8+xx2≥x−13,解不等式①得:x<1,解不等式②得:x≥−2,在数轴上表示不等式组的解集:∴不等式组的解集是−2≤x<1.【点评】本题主要考查了一元一次不等式组的解法,注意在数轴上表示时,有等号的用实心圆点表示,没有等号的用空心圆圈表示.5.【答案】(a+b)2−2a(b+1)−a2b÷b=a2+2ab+b2−2ab−2a−a2=b2−2a,当a=12,b=√3时,原式=(√3)2−2×12=2.【考点】整式的混合运算—化简求值【解析】先算乘法和除法,再合并同类项,最后代入求出即可.【解答】(a+b)2−2a(b+1)−a2b÷b=a2+2ab+b2−2ab−2a−a2=b2−2a,当a=12,b=√3时,原式=(√3)2−2×12=2.【点评】本题考查了整式的混合运算和求值,能正确根据整式的混合运算法则进行化简是解此题的关键.6.【答案】原方程可化为:x−2x+2−16x2−4=x+2x−2,方程的两边同乘(x−2)(x+2),得(x−2)2−16=(x+2)2解得x=−2,检验:把x=−2代入(x+2)(x−2)=0∴原方程无解.【考点】解分式方程【解析】观察可得最简公分母是(x−2)(x+2),方程两边乘最简公分母,可以把分式方程转化为整式方程求解.【解答】原方程可化为:x−2x+2−16x2−4=x+2x−2,方程的两边同乘(x−2)(x+2),得(x−2)2−16=(x+2)2解得x=−2,检验:把x=−2代入(x+2)(x−2)=0∴原方程无解.【点评】(1)解分式方程的基本思想是“转化思想”,把分式方程转化为整式方程求解.(2)解分式方程一定注意要验根.7.【答案】原式=√3−(√3−1)−2+1−2×√22=1−1−√2=−√2.【考点】实数的运算零指数幂负整数指数幂特殊角的三角函数值【解析】直接利用负指数幂的性质以及零指数幂的性质和特殊角的三角函数值分别化简求出答案.【解答】原式=√3−(√3−1)−2+1−2×√22=1−1−√2=−√2.【点评】此题主要考查了负指数幂的性质以及零指数幂的性质和特殊角的三角函数值,正确化简各数是解题关键.8.【答案】解:原式=3x×(x+1)−x(x−1)(x−1)(x+1)×(x+1)(x−1)x=3(x+1)−x+1=3x+3−x+1=2x+4.当x=√2−2时,原式=2×(√2−2)−2=2√2−4−2=2√2−6.【考点】二次根式的化简求值分式的化简求值【解析】先根据分式混合运算的法则把原式进行化简,再把x的值代入进行计算即可.【解答】解:原式=3x×(x+1)−x(x−1)(x−1)(x+1)×(x+1)(x−1)x=3(x+1)−x+1=3x+3−x+1=2x+4.当x=√2−2时,原式=2×(√2−2)−2=2√2−4−2=2√2−6.【点评】本题考查的是分式的化简求值,熟知分式混合运算的法则是解答此题的关键.9.【答案】(13)−1+|1−√3|−2sin60∘+(π−2016)0−√83=3+√3−1−2×√32+1−2=3+√3−1−√3+1−2=1.【考点】实数的运算零指数幂、负整数指数幂负整数指数幂特殊角的三角函数值【解析】本题涉及负整数指数幂、绝对值、特殊角的三角函数值、零指数幂、立方根5个考点.在计算时,需要针对每个考点分别进行计算,然后根据实数的运算法则求得计算结果.【解答】(13)−1+|1−√3|−2sin60∘+(π−2016)0−√83=3+√3−1−2×√32+1−2=3+√3−1−√3+1−2=1.【点评】本题主要考查了实数的综合运算能力,是各地中考题中常见的计算题型.解决此类题目的关键是熟练掌握负整数指数幂、绝对值、特殊角的三角函数值、零指数幂、立方根等考点的运算.10.【答案】原式=1−3+2+1−1=0.【考点】实数的运算零指数幂、负整数指数幂负整数指数幂特殊角的三角函数值【解析】根据有理数的乘方法则、零次幂的性质、特殊角的三角函数值计算即可.【解答】原式=1−3+2+1−1=0.【点评】本题考查的是实数的运算,掌握有理数的乘方法则、零次幂的性质、特殊角的三角函数值是解题的关键.11.【答案】原式=x−1+1(x+1)(x−1)⋅−(x−1)2x=−12x+2,当x=10时,原式=−12×10+2=−122.【考点】分式的化简求值【解析】先把括号内通分,再把除法运算化为乘法运算,然后约分得到原式=−12x+2,再根据分式有意义的条件把x= 10代入计算即可.【解答】原式=x−1+1(x+1)(x−1)⋅−(x−1)2x=−12x+2,当x=10时,原式=−12×10+2=−122.【点评】本题考查了分式的化简求值:先把分式化简后,再把分式中未知数对应的值代入求出分式的值.在化简的过程中要注意运算顺序和分式的化简.化简的最后结果分子、分母要进行约分,注意运算的结果要化成最简分式或整式.12.【答案】解:原式=x3+x2−x3−4x+4x+1⋅x+1x−2=(x−2)2x+1⋅x+1x−2=x−2,当x=1时,原式=−1.【考点】分式的化简求值【解析】先根据分式混合运算的法则把原式进行化简,再选取合适的x的值代入进行计算即可.【解答】解:原式=x3+x2−x3−4x+4x+1⋅x+1x−2=(x−2)2x+1⋅x+1x−2=x−2,当x=1时,原式=−1.【点评】本题考查的是分式的化简求值,熟知分式混合运算的法则是解答此题的关键.13.【答案】解:原式=4+3−1−2×12=5.【考点】实数的运算零指数幂、负整数指数幂负整数指数幂特殊角的三角函数值【解析】原式第一项利用乘方的意义化简,第二项利用负指数幂法则计算,第三项利用零指数幂法则计算,最后一项利用特殊角的三角函数值计算即可得到结果. 【解答】解:原式=4+3−1−2×12=5.【点评】此题考查了实数的运算,熟练掌握运算法则是解本题的关键. 14.【答案】 解:原式=aa+b ×(a+b)(a−b)a=a −b ,当a =2,b =−1时,原式=a −b =2+1=3. 【考点】分式的化简求值 【解析】先根据分式混合运算的法则把原式进行化简,再把a =2,b =−1代入进行计算即可. 【解答】解:原式=a a+b ×(a+b)(a−b)a=a −b ,当a =2,b =−1时,原式=a −b =2+1=3. 【点评】本题考查的是分式的化简求值,熟知分式混合运算的法则是解答此题的关键. 15.【答案】解:原方程组可化为{3x −y =83x −5y =−20,③-④得,4y =28,即y =7.把y =7代入3(x −1)=y +5得,3x −7=8, 即x =5.∴ 方程组的解为{x =5y =7.【考点】代入消元法解二元一次方程组 【解析】此题的题目比较复杂,解题时需要先化简,再用代入法或加减消元法求解即可. 【解答】解:原方程组可化为{3x −y =83x −5y =−20,③-④得,4y =28,即y =7.把y =7代入3(x −1)=y +5得,3x −7=8, 即x =5.∴ 方程组的解为{x =5y =7.【点评】此题考查了学生的计算能力,解题时要注意观察,选择适当的解题方法会达到事半功倍的效果. 16.【答案】解:原式=−1+1−3+3√3−2√3 =−3+√3. 【考点】 实数的运算零指数幂、负整数指数幂 负整数指数幂特殊角的三角函数值 【解析】原式第一项利用−1的奇次幂为−1计算,第二项利用零指数幂法则计算,第三项利用负指数幂法则计算,第四项化为最简二次根式,最后一项利用特殊角的三角函数值计算即可得到结果. 【解答】解:原式=−1+1−3+3√3−2√3 =−3+√3. 【点评】此题考查了实数的运算,熟练掌握运算法则是解本题的关键.。
初中数学分式化简与求值练习附答案(中考真题) 1. (北京中考)已知210x y +-=,求代数式222444x y x xy y +++的值. 2. (本溪中考)先化简,再求值:2211124x x x x -+⎛⎫-÷ ⎪--⎝⎭,其中3x =. 3. (大连中考)计算:21123926a a a a -⎛⎫+÷ ⎪+-+⎝⎭. 4. (鄂州中考)先化简,再求值:22111a a a ---,其中2a =.5. (福建中考)先化简,再求值:22111x x x x x +-⎛⎫-÷ ⎪-⎝⎭,其中1x =. 6. (武威中考)化简:22222244a b a b a b a b a b a ab b+---÷+--+.7. (牡丹江中考)先化简,再求值:2111x x -÷ ⎪--⎝⎭,其中sin30x =︒. 8. (龙东中考)先化简,再求值:2222111m m m m m -+⎛⎫-÷ ⎪+-⎝⎭,其中tan601m =︒-. 9. (常德中考)先化简,再求值:231242x x x x ++⎛⎫÷- ⎪-+⎝⎭,其中5x =.10. (郴州中考)先化简,再求值:22311213x x x x x x x+-⋅+-++,其中1x =+ 11. (怀化中考)先化简234111a a a -⎛⎫+÷ ⎪--⎝⎭,再从1-,0,1,2中选择一个数作为a 的值代入求值.12. (娄底中考)先化简,再求值:221111x x x x ⎛⎫-÷ ⎪+--⎝⎭,其中x 满足2340x x --=.13. (湘潭中考)先化简,再求值:2119x x +⋅ ⎪+-⎝⎭,其中6x =.14. (益阳中考)先化简,再求值:()2112111x x x ⎛⎫-÷ ⎪-+⎝⎭-,其中1x =. 15. (永州中考)先化简,再求值:211121x x x x ⎛⎫-÷ ⎪+++⎝⎭,其中2x =. 16. (张家界中考)先化简22341121x x x x x -⎛⎫--÷ ⎪+++⎝⎭,然后从1-,1,2这三个数中选一个合适的数代入求值.17. (株洲中考)先化简,再求值:211114x x x +⎛⎫+⋅ ⎪+-⎝⎭,其中3x =. 18. (黄冈中考)化简:21211x x x x +---.19. (荆州中考)先化简,再求值:222222x y x xy y x y x y x y x y ⎛⎫--+--÷ ⎪+-+⎝⎭,其中112x -⎛⎫= ⎪⎝⎭,0(2023)y =-.20. (滨州中考)先化简,再求值:22421244a a a a a a a a -+-⎛⎫÷- ⎪--+⎝⎭,其中a 满足1216cos6004a a -⎛⎫-⋅+ ⎪⎭︒=⎝.21. (东营中考)先化简,再求值:2221211x x x x x x -⎛⎫÷- ⎪+++⎝⎭,化简后,从23x -<<的范围内选择一个你喜欢的整数作为x 的值代入求值.22. (菏泽中考)先化简,再求值:223x x x x y x y x y ⎛⎫+÷ ⎪-+-⎝⎭,其中x,y 满足230x y +-=.23. (聊城中考)先化简,再求值:222224422a a a a a a a a+⎛⎫+÷ ⎪-+--⎝⎭,其中2a =. 24. (日照中考)先化简,再求值:2221244x x x x x x ⎛⎫---÷ ⎪--+⎝⎭,其中12x =-.25. (泰安中考)化简:2211025224x x x x x -++⎛⎫-÷ ⎪+-⎝⎭26. (威海中考)先化简2211a a a a a --⎛⎫-÷ ⎪⎝⎭,再从33a -<<的范围内选择一个合适的数代入求值.27. (烟台中考)先化简,再求值:2695222a a a a a -+⎛⎫÷++ ⎪--⎝⎭,其中a 是使不等式112a -≤成立的正整数.28. (枣庄中考)先化简,再求值:222211a a a a a ⎛⎫-÷ ⎪--⎝⎭,其中a 的值从不等式组1a -<<的解集中选取一个合适的整数.29. (陕西中考)化简:23121111a a a a a -⎛⎫-÷ ⎪--+⎝⎭. 30. (深圳中考)先化简,再求值:22111121x x x x -⎛⎫+÷ ⎪--+⎝⎭,其中3x =.31. (十堰中考)化简:24211326a a a a -+⎛⎫-÷ ⎪++⎝⎭. 32. (成都中考)若23320ab b --=,求代数式22221ab b a b a a b⎛⎫---÷ ⎪⎝⎭的值. 33. (达州中考)先化简,再求值.532224a a a a ⎛⎫ ⎪⎝-÷⎭+---,其中a 为满足04a <<的整数. 34. (广安中考)先化简22211121a a a a a a ⎛⎫--+÷ ⎪+++⎝⎭,再从不等式23a -<<中选择一个适当的整数,代入求值.35. (广元中考)先化简,再求值:222222322x y x x yy x x y xy ⎛⎫++÷ ⎪---⎝⎭,其中1x =+,y = 36. (泸州中考)化简:452111m m m m m ++⎛⎫+-÷ ⎪++⎝⎭.37. (遂宁中考)先化简,再求值:2221111x x x x -+⎛⎫⋅+ ⎪-⎝⎭,其中112x -⎛⎫= ⎪⎝⎭. 38. (宜宾中考)化简:211224x x x x ⎛⎫-÷ ⎪-+-⎝⎭ 39. (苏州中考)先化简,再求值:221422211a a a a a a --⋅---+-,其中12a =.40. (宿迁中考)先化简,再求值:21111m m m-⎛⎫-⋅ ⎪+⎝⎭,其中1m . 41. (绥化中考)化简:2222142442x x x x x x x x x+--⎛⎫-÷ ⎪--+-⎝⎭ 42. (随州中考)先化简,再求值:24242x x ÷--,其中1x =. 43. (通辽中考)化简分式22a b ab b a a a ⎛⎫--÷- ⎪⎝⎭44. (武汉中考)已知210x x --=,计算2221121-⎛⎫-÷ ⎪+++⎝⎭x x x x x x 的值. 45. (徐州中考)化简:2111m m m -⎛⎫+÷ ⎪⎝⎭. 46. (扬州中考)化简()a b b a a b-÷-+.47. (宜昌中考)先化简,再求值:222442342a a a a a a-+-÷+-+,其中3=a . 48. (温州中考)化简:22311a a a+-++. 49. (重庆中考)22.211x x x x x x ⎛⎫÷- ⎪+++⎝⎭50. (南通中考)计算:2211211a a a a a a ---+-初中数学分式化简与求值练习答案 1. (北京中考)22. (本溪中考)2x +;53. (大连中考)23a - 4. (鄂州中考)11a +,135. (福建中考)11x -+,2- 6. (武威中考)4b a b+ 7. (牡丹江中考)1x +,328. (龙东中考)1m m +,原式33= 9. (常德中考)12x -,1310. (郴州中考)11x -,311. (怀化中考)12a -,当1a =-时,原式为13-;当0a =时,原式为12-. 12. (娄底中考)232x x --;213. (湘潭中考)3x x -;214. (益阳中考)11x x -+,1 15. (永州中考)1;3x +16. (张家界中考)1x +,12x =时,值为 17. (株洲中考)12x -,1 18. (黄冈中考)1x -19. (荆州中考)-x x y,2 20. (滨州中考)244a a -+;121. (东营中考)21x x +,当2x =时,原式=43 22. (菏泽中考)42x y +,623. (聊城中考)22a - 24. (日照中考)()22-x ,5-25. (泰安中考)25x x -+ 26. (威海中考)11a a -+,当2a =时,原式=13(答案不唯一) 27. (烟台中考)33a a -+;12- 28. (枣庄中考)21a a a--,12 29. (陕西中考)11a - 30. (深圳中考)1x x +,3431. 32. (成都中考)2333. (达州中考)26a --,8-(答案不唯一) 34. (广安中考)11a -,选择0a =,式子的值为1-(或选择2a =,式子的值为1)35. (广元中考)2xy ;36. (泸州中考)2m +37. (遂宁中考)1x x -,1238. (宜宾中考)4x 39. (苏州中考)1a a -;1-第 11 页 共 11 页 40. (宿迁中考)1m -,原式=41. (绥化中考)12x -42. (随州中考)22x ,23 43. (通辽中考)1a b -44. (武汉中考)1 45. (徐州中考)11-m 46. (扬州中考)1a b -+47. (宜昌中考)3a +48. (温州中考)1a - 49. (重庆中考)11x +50. (南通中考)1。
2019年中考化简求值、方程组、不等式组专项训练1.解不等式组:.2.求不等式组的整数解.3.先化简,再求值:(-1)÷,其中x =2+.4.解不等式组:5.先化简,再求值:+(a -1-),其中a =2.6.解方程组:解不等式组:;并将解集在数轴上表示出来.7.先化简,再求值:(1-)÷,其中x从0,1,2,3四个数中适当选取.8.先化简,再求值:(2x+y)2+(x-y)(x+y)-5x(x-y),其中x =+1,y =-1.9.先化简,再求值:(-1)÷,其中x =2+.10.解方程组:11.先化简,再求值:,其中x=3.12.先化简,再求值:,其中a是方程a2+a-6=0的解.13.先化简,再求值:•,其中a =.14.先化简,再求值:(x -1-)÷,其中x =+1.15.解不等式组,并将它的解集在数轴上表示出来.16.解不等式组.17.先化简,再求值:,其中a满足方程a2+4a+1=0.18.解不等式>-1,并写出它的正整数解.19.已知关于x 的不等式>x-1.(1)当m=1时,求该不等式的解集;(2)m取何值时,该不等式有解,并求出解集.20.已知==,求的值.21.先化简,再求值:,其中.22.用适当的方法解方程(1)2(x+2)2-8=0;(2)(x+3)2+3(x+3)-4=0.23.先化简,再求值÷(-m-1),其中m =-224.先化简再求值:+÷,其中,a在1,2,这三个数中选取.25.先化简,再求值÷-(+1),其中x是不等式组的整数解.26.解不等式组,并求出它的整数解,再化简代数式•(-),从上述整数解中选择一个合适的数,求此代数式的值.27.化简分式:(-)÷,再从-2<x<3的范围内选取一个你最喜欢的值代入求值.28.。
2019年全国中考数学真题
化简求值题集锦
1.( 江苏连云港)化简:
22
(1)42m m m ÷+--
2. (福建)先化简,再求值:(x -1)÷(x -x
x 1
2-),其中x =2+1 3. (甘肃天水)先化简,再求值:(﹣1)÷
,其中x 的值从不等
式组
的整数解中选取.
4.( 2019·江苏镇江)化简:2
1(1)11
x
x x +
÷--. 5. (2019内蒙古赤峰,19,10分)先化简,再求值:,
其中a =|1|﹣tan60°+()﹣1.
6.(2019重庆A 卷,19,10)计算:(1))2(2
y x y y x +-+)(;(2)2
9
2492--÷--+a a a a a )(.
7. (2019浙江台州,18题,8分) 先化简,再求值:22332121x x x x x -
-+-+,其中x =12
. 8. (2019四川绵阳) 先化简,再求值:(),其中a ,b
=2
.
9. (2019吉林长春) 先化简,再求值:(2a +1)2-4a (a -1),其中81
=a
10.(2019吉林省)先化简,再求值:(a-1)2+a(a+2),其中a=2
11. (2019广西梧州)先化简,再求值:32443()2a a a
a a -g ,其中2a =-.
12. (2019重庆市B 卷)计算:(1)(a +b )2+a (a -2b ) ;
13. (2019浙江宁波6分)先化简,再求值:(x -2)(x+2)-x(x -1),其中,x =3.
14. (2019·浙江湖州)化简:(a +b )2-b (2a +b ).
15. (2019四川省凉山市)先化简,再求值:(a +3)2- (a +1)(a -l )-2(2a +4),其中a =-1
2
.
16. (2019四川南充)化简:(12)2(1)(1)a a a a -++-.
17. (2019江苏南京)计算(x +y )(x 2﹣xy +y 2) 18. (2019广东深圳)先化简:(1-
32x +)÷244
x x x -1++,再将x=-1代入求值.
19. (2019贵州遵义)化简式子a
a a a a a a +-÷++--22221
)1442(,并在-2,-1,0,1,2中选取一个合适的数作为a 的值代入求值.
20. (2019·湖南张家界)先化简,再求值:
2
1
2)1232(2-+-÷---x x x x x ,然后从0,1,2三个数中选择一个恰当的数代入求值.
21. (2019黑龙江哈尔滨)先化简再求值:2
4
)44422(2--÷
+----+x x x x x x x ,其中x=4tan45°+2cos30°.
22. (2019湖北十堰)先化简,再求值:(1
)÷(
2),其中a
1.
23. (2019湖北咸宁)(1)化简:;
24. (2019湖南郴州)先化简,再求值:
,其中a .
25. (2019黑龙江省龙东地区)先化简,再求值:2121
()11
1x x x x --÷++- ,其中x =2sin30°+1.
26. (2019辽宁本溪) 先化简,再求值:222
412
4422a a a a a a ⎛⎫--÷ ⎪-+--⎝⎭.其中a 满足a 2+3a -2=0.
27. (2019广西桂林)先化简,再求值:221121
()2x xy y y x xy y x -+-÷-
-,其中22x =+,2y =.
28. (2019湖北荆州)先化简(1),然后从﹣2≤a <2中选出一个
合适的整数作为a 的值代入求值.
29. (2019湖南邵阳)先化简,再求值:2121
(1)222m m m m ++-÷
++,其中22m =-. 30. (2019江苏镇江分)(2)化简:2
1(1)11
x
x x +÷--. 31. (2019四川泸州)化简:(m +2)•
32. (2019四川省雅安市)(2)先化简,再求值:222239
()4422
a a a a a a a ---÷-+--,
其中a=1.
33. (2019重庆市B 卷)计算:(2)m -1+
2269m m --÷223
m m ++ 34. (2019四川省乐山市)化简:1
11222
2+-÷-+-x x
x x x x . 35. (2019四川达州)先化简:
x
x
x x x x x x -÷++--+-4)441222
2(, 再选取 一个适当的x 的值代入求值.
36. (2019四川巴中)已知实数x,y 满足
3x -+y 2-4y+4=0,求代数式
222
2
2
2
1
2x y x
xy x xy y x y xy -赘-+-的值.
37. (2019山东枣庄)先化简,再求值:221111x x x ⎛⎫
÷+
⎪--⎝⎭
,其中,x 为整数且满足不等式组11
522x x ->⎧⎨
-≥-⎩
38. (2019山东泰安)先化简,再求值:25419111a a a a a -⎛⎫⎛⎫
-+
÷-- ⎪ ⎪++⎝⎭⎝⎭
,其中,a =2. 39. (2019山东聊城)计算:22
1
6313969
a a a a a +⎛⎫-+÷
⎪+--+⎝⎭ 40. (2019山东滨州)先化简,再求值:(-)÷,其中x 是
不等式组的整数解.
41. (2019广东省)先化简,再求值:(),其中x
42. (2019湖北鄂州)先化简,再从﹣1、2、3、4中选一个合适的数作为x 的值代入求值. (
)
43. (2019湖北荆门)先化简,再求值:()
2•,其中a ,
b
.
44. (2019湖北宜昌)已知:x ≠y ,y =﹣x +8,求代数式的值.
45. (2019江苏连云港)化简
22
(1)42
m m m ÷+--. 46. (2019江苏宿迁)先化简,再求值:(1),其中a =﹣2.
47. .(2019山东德州)先化简,再求值:222152()()(2)2m n n m n
m n mn m n m
+-÷-++g ,其
中21(3)0m n ++-=
48. (2019山东菏泽)先化简,再求值:
(
1)
,其中x =y +2019.
49. (2019山东青岛)(1)化简:22
(2)m n m n n m m
-+÷-;
50. (2019四川成都)先化简,再求值:(1),其中x 1.
51. (2019四川资阳)化简求值:(1),其中x =2.
52. (2019浙江嘉兴)先化简,再求值:2
12
11
x x ++-,其中31x =.
53.(2019贵州省安顺市)
先化简(1+32-x )÷961
22+--x x x ,再从不等式组⎩⎨⎧+<<-42342x x x 的整数解中选一个
合适的x 的值代入求值.。