初中数学-化简求值-练习-有答案
- 格式:doc
- 大小:108.00 KB
- 文档页数:5
整式化简求值:先化简再求值1.)3(2)2132()83(3232--+-+-a a a a a a ,其中4-=a 2.)45(2)45(332-+---+-x x x x ,其中2-=x 3.求)3123()31(22122y x y x x +-+--的值,其中2-=x 32=y4.22221313()43223a b a b abc a c a c abc ⎡⎤------⎢⎥⎣⎦其中1-=a 3-=b 1=c 5.化简求值:若a=﹣3,b=4,c=﹣17,求{}222278[(2)]a bc a cb bca ab a bc --+-的值6.先化简后求值:2233[22()]2x y xy xy x y xy ---+,其中x=3,y=﹣137.8.化简求代数式:22(25)2(35)a a a a ---+的值,其中a=﹣1.9.先化简,再求值:2222115()(3),,23a b ab ab a b a b --+==其中 10.求代数式的值:2212(34)3(4)3,3xy x xy x x y +-+=-=,其中11.12.先化简,再求值:2(3a ﹣1)﹣3(2﹣5a ),其中a=﹣2. 13.先化简,再求值:22212()[3()2]2xy x x xy y xy ----++,其中x=2,y=﹣1. 14.先化简,再求值:222(341)3(23)1x x x x x -+---,其中x=﹣5. 15.先化简,再求值:32x ﹣[7x ﹣(4x ﹣3)﹣22x ];其中x=2. 16.先化简,再求值:(﹣2x +5x+4)+(5x ﹣4+22x ),其中x=﹣2. 17.先化简,再求值:3(x ﹣1)﹣(x ﹣5),其中x=2. 18.先化简,再求值:3(2x+1)+2(3﹣x ),其中x=﹣1.19.先化简,再求值:(32a ﹣ab+7)﹣(5ab ﹣42a +7),其中a=2,b=13. 20.化简求值:2111(428)(1),422x x x x -+---=-其中 21.先化简,再求值:(1)(52a +2a+1)﹣4(3﹣8a+22a )+(32a ﹣a ),其中13a = 22.先化简再求值:222232(33)(53),35x x x x -+--+=-其中 23.先化简再求值:2(2x y+x 2y )﹣2(2x y ﹣x )﹣2x 2y ﹣2y 的值,其中x=﹣2,y=2.24.先化简,再求值.4xy ﹣[2(2x +xy ﹣22y )﹣3(2x ﹣2xy+y2)],其中11,22x y =-=25.先化简,再求值:22x +(﹣2x +3xy+22y )﹣( 2x ﹣xy+22y ),其中 x=12,y=3.26.先化简后求值:5(32x y ﹣x 2y )﹣(x 2y +32x y ),其中x=-12,y=2.27.先化简,再求值:22223()3x x x x ++-,其中x=-1228.(52x ﹣32y )﹣3(2x ﹣2y )﹣(﹣2y ),其中x=5,y=﹣3.29.先化简再求值:(22x ﹣5xy )﹣3(2x ﹣2y )+2x ﹣32y ,其中x=﹣3,13y = 30.先化简再求值:(﹣2x +5x )﹣(x ﹣3)﹣4x ,其中x=﹣131.先化简,再求值:23)2(3)(2222==-+--y x x y y x x ,,其中, 32.223(2)[322()]x xy x y xy y ---++,其中1,32x y =-=-。
初中数学代数式化简求值练习题(含答案)1、已知x=1,求代数式x²+x(x-2)+(x+1)(x-1)的值。
2、已知x= -2,求代数式3(x-1)²+4x(x+2)-10的值。
3、先化简,再求值:2(x-3)(x+2)-(3+x)(3-x)-3(x-1)2,其中x=-2。
4、先化简再求值∶(2x³-2y²)-3(x³y²+x³)+2(y²+y²x³),其中x=-1,y=2。
5、先化简,再求值:(3x²y-2xy²)-2(xy²-2x²y),其中x=2,y=-1。
6、先化简,再求值:5y(2x²y+3xy²)-3x(4xy²+3x²y),其中x=1,y=-1。
7、先化简,再求值:(3x²y-xy²)-2(xy²-3x²y),其中x=-2,y=3。
8、先化简,再求值:(3x²y-2xy²)-2(xy²-2x²y),其中x=2,y=-1。
9、若x²+2y²=5,求多项式(3x²-2xy+y²)-(x²-2xy-3y²)的值。
10、先化简,再求值:5x²+4-3x²-5x-2x²-5+6x,其中x=-3。
11、先化简,再求值:2(x+x²y)-2/3(3x²y+3/2x)-y²,其中x=1,y=-3。
12、先化简,再求值:(4x²y-3xy)+(-5x²y+2xy)-(2yx²-1),其中x=2,y=1/2。
13、先化简,再求值:2x²y-[2xy²-2(-x²y+4xy²)],其中x=1/2,y=-2。
精心整理分式的化简内容基本要求略高要求较高要求分式的概念了解分式的概念,能确定分式有意义的条件能确定使分式的值为零的条件分式的性质理解分式的基本性质,并能进行简单的变型能用分式的性质进行通分和约分分式的运算理解分式的加、减、乘、除运算法则会进行简单的分式加、减、乘、除运算,会运用适当的方法解决与分式有关的问题一、比例的性质:⑴比例的基本性质:a c adbc bd,比例的两外项之积等于两内项之积.⑵更比性(交换比例的内项或外项):( ) ( )( )ab c d a c d c bdb a d bc a 交换内项交换外项同时交换内外项⑶反比性(把比例的前项、后项交换):a c b d b d a c ⑷合比性:a c abcd bd b d ,推广:acakb ckd b d b d(k 为任意实数)⑸等比性:如果....a c mb d n,那么......a c m a bdnb(...0bdn)二、基本运算分式的乘法:a ca cb d b d 分式的除法:ac ad a d bd bcb c 乘方:()n n n nn a a a a a a a a bb bb b bbb个个n 个=(n 为正整数)整数指数幂运算性质:⑴m n m na a a (m 、n 为整数)⑵()m n mna a (m 、n 为整数)⑶()n n nab a b (n 为整数) ⑷m n m n a a a (0a ,m 、n 为整数)知识点睛中考要求负整指数幂:一般地,当n 是正整数时,1nnaa(0a ),即na(0a )是na的倒数分式的加减法法则:同分母分式相加减,分母不变,把分子相加减,a b a bccc 异分母分式相加减,先通分,变为同分母的分式再加减,a c ad bc ad bcbdbdbdbd 分式的混合运算的运算顺序:先算乘方,再算乘除,后算加减,如有括号,括号内先算.结果以最简形式存在.一、分式的化简求值【例1】先化简再求值:2111x xx,其中2x 【考点】分式的化简求值【难度】2星【题型】解答【关键词】2010年,湖南郴州【解析】原式111x x x x x 111x x x x当2x时,原式112x【答案】12【例2】已知:2221()111a aa a aa a ,其中3a 【考点】分式的化简求值【难度】2星【题型】解答【关键词】【解析】222221(1)()4111(1)a aa a a aaa a 【答案】4【例3】先化简,再求值:22144(1)1aa aaa,其中1a 例题精讲【考点】分式的化简求值【难度】2星【题型】解答【关键词】2010年,安徽省中考【解析】2221144211122a a aa aa a aaa a a当1a时,原式112123a a【答案】13【例4】先化简,再求值:2291333x xxxx其中13x.【考点】分式的化简求值【难度】2星【题型】解答【关键词】2010年,湖南省长沙市中考试题【解析】原式33133xx xx x当13x时,原式3【答案】3【例5】先化简,再求值:211(1)(2)11xxx,其中6x.【考点】分式的化简求值【难度】2星【题型】解答【关键词】2010年,湖北省十堰市中考试题【解析】原式111121x xx x x 当6x时,原式2624.【答案】4【例6】先化简,后求值:22121(1)24xx xx,其中5x.【考点】分式的化简求值【难度】2星【题型】解答【关键词】2010年,广东省肇庆市中考试题【解析】22121(1)24xx x x=221(1)2(2)(2)x x xxx =21(2)(2)2(1)x x x x x =21xx 当5x时,原式21x x521512.【答案】12【例7】先化简,再求值:532224x x xx,其中23x .【考点】分式的化简求值【难度】2星【题型】解答【关键词】2010年,湖北省武汉市中考试题【解析】原式2453(3)(3)2(2)22(2)22(3)3xx x x x xxxx x,当23x时,原式22。
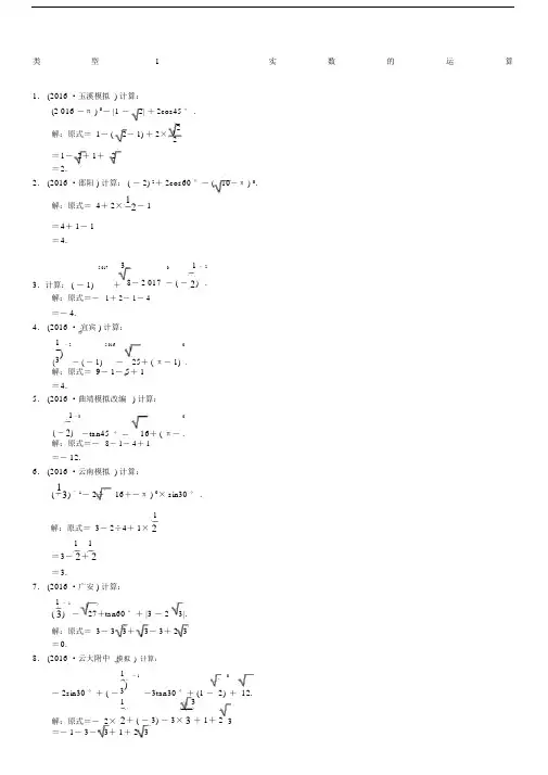
类型1实数的运算1. (2016 ·玉溪模拟 ) 计算:(2 016 -π ) 0- |1 -2| + 2cos45 ° .解:原式= 1- (2- 1) + 2×=1- 2+ 1+ 2=2.2 22. (2016 ·邵阳 ) 计算: ( - 2) 2+ 2cos60 °- (10-π ) 0.解:原式= 4+ 2×12- 1=4+ 1- 1=4.2 017 31 - 23.计算: ( - 1) +8- 2 017 - ( -2) .解:原式=-1+ 2- 1- 4=- 4.4. (2016 ·宜宾 ) 计算:1 - 22 016 0( 3)- ( - 1) -25+ ( π- 1) .解:原式= 9- 1- 5+ 1=4.5. (2016 ·曲靖模拟改编) 计算:1 - 30 ( -2) -tan45 °-16+ ( π- .解:原式=-8- 1- 4+ 1=- 12.6. (2016 ·云南模拟 ) 计算:( 13) -1- 2÷16+-π ) 0× sin30 ° .1解:原式= 3- 2÷4+ 1×21 1=3-2+2=3.7. (2016 ·广安 ) 计算:1 - 1( 3)-27+tan60 °+ |3 - 23|.解:原式= 3- 3 3+3- 3+ 2 3=0.8. (2016 ·云大附中模拟)计算:1 - 1 0- 2sin30 °+ ( -3)-3tan30 °+ (1 - 2) + 12.1 3解:原式=- 2×2+ ( - 3) - 3×3+ 1+ 2 3 =- 1- 3-3+ 1+ 2 3= 3- 3.类型 2分式的化简求值x -3 x 2- 99. (2016 ·云南模拟 ) 先化简,再求值:2x - 4÷ x - 2 ,其中 x =- 5.解:原式= x - 3 · x - 22( x - 2) ( x + 3)( x - 3)1=2( x + 3).1将 x =- 5 代入,得原式=- 4.32a - 210 . (2016 ·泸州改编 ) 先化简,再求值: (a + 1- a - 1) · a + 2 ,其中 a =2.解:原式= ( a + 1)( a - 1)- 3 2( a - 1)a - 1 ·a + 2a 2 - 4 2( a -1)= a - 1 · a + 2= (a + 2)( a - 2) 2( a - 1) a - 1 ·a + 2= 2a - 4.当 a = 2 时,原式= 2× 2- 4= 0.x + 2 1 x11 . (2016 ·红河模拟 ) 化简求值: [ x ( x - 1) - x - 1] · x - 1,其中 x =2+ 1.x + 2 x x解:原式= [ x ( x - 1) - x ( x - 1) ] ·x - 1 2 x= x ( x - 1) ·x - 12= (x - 1)2.将 x = 2+ 1 代入,得22 2 原式= ( 2+ 1- 1) 2=( 2) 2= 2=1.ab12 . (2015 ·昆明二模 ) 先化简,再求值: ( a - b - 1) ÷ a 2- b 2,其中 a = 3+ 1, b = 3- 1.解:原式= a -( a - b ) ( a + b )( a -b )a -b · bb( a + b )( a - b )= a - b · b = a + b.当 a = 3+ 1, b = 3- 1 时, 原式=3+ 1+ 3- 1= 2 3.x 2- 1x 2+ 113 . (2016 ·昆明盘龙区一模 ) 先化简,再求值: x 2- x ÷ (2 + x ) ,其中 x = 2sin45 °- 1.( x + 1)( x - 1) 2x + x 2+ 1解:原式=÷x ( x - 1)x( x + 1)( x - 1)=x ( x - 1)1=x + 1.x·( x + 1) 22当 x = 2sin45 °- 1= 2×2 - 1= 2- 1 时,1 2 原式= 2- 1+ 1 = 2 .2x + y14 . ( 2016 ·云南考试说明 ) 已知 x - 3y = 0,求 x 2 - 2xy + y 2· (x - y) 的值.2x + y解:原式=( x - y ) 2 ·(x - y)2x + y=x - y.由题有: x = 3y , 6y + y7所 以原式== .2x2x + 4x + 215 . (2016 ·西宁 ) 化简: x + 1- x 2 - 1÷ x 2-2x + 1,然后在不等式 x ≤ 2 的非负整数解中选择一个适当的数代入求值. 2x 2( x + 2) ( x - 1) 2解:原式= x + 1- ( x + 1 )( x - 1) ·x + 22x 2x - 2=x + 1-x + 12x - 2x + 2 =x + 1= x +21.∵不等式 x ≤ 2 的非负整数解是 0, 1, 2,2∴答案不唯一,如:把 x = 0 代入 x + 1= 2.( 注意 x = 1 时会使得原分式中分母为零,所以x 不能取 1)16 . (2016 ·昆明盘龙 区二模 ) 先化简,再求值:a 2-b 2ab 2(a 2- 2ab + b 2 + b - a ) ÷ a 2- ab ,其中 a , b 满足 a + 1+ |b - 3| = 0.( a +b )( a - b ) aa ( a - b )解:原式= [ ( a - b ) 2- a - b ] · b 2a +b a a ( a - b ) = ( a - b - a - b ) · b 2b a ( a - b ) = a - b · b 2a = b.又∵a + 1+ |b -3| = 0,∴ a =- 1, b =3. ∴原式= -1=- 33.3类型 3方程 ( 组 ) 的解法17 . (2016 ·武汉 ) 解方程: 5x + 2= 3(x + 2) .解:去括号,得 5x + 2= 3x + 6. 移项、合并同类项,得 2x = 4.系数化为 1,得 x = 2.18 . (2015 ·中山 ) 解方程: x 2- 3x + 2= 0.解: (x - 1)(x - 2) = 0.∴ x 1 = 1, x 2= 2.2 119 . (2015 ·宁德 ) 解方程: 1-x-3=x-3.解:去分母,得x - 3- 2= 1.解得 x = 6.检验,当x = 6 时, x- 3≠ 0.∴原方程的解为x = 6.2x 120 . (2015 ·黔西南 ) 解方程:x-1+1-x= 3.解:去分母,得2x - 1= 3(x - 1) .去括号、移项、合并同类项,得-x =- 2.系数化为检验,当1,得 x = 2.x = 2 时, x- 1≠ 0.∴ x= 2 是原分式方程的解.x - 2y= 1,①21 . (2015 ·重庆 ) 解二元一次方程组:x + 3y= 6. ②解:②-①,得5y = 5, y= 1.将 y = 1 代入①,得x- 2= 1, x = 3.x= 3,∴原方程组的解为y= 1.3x- 2y =- 1,①22 . (2015 ·荆州 ) 解方程组:x + 3y= 7. ②解:②× 3,得 3x+ 9y = 21. ③③-①,得11y = 22, y= 2.把 y = 2 代入②,得x+ 6= 7, x = 1.x= 1,∴方程组的解为y= 2.23 . (2016 ·山西 ) 解方程: 2(x -3) 2= x2-9.解:原方程可化为2(x - 3) 2= (x + 3)(x - 3) .2(x - 3) 2- (x + 3)(x - 3) = 0.(x - 3)[2(x-3)-(x+3)]=0.(x - 3)(x - 9) = 0.∴x- 3= 0 或 x- 9= 0.∴x1= 3, x 2= 9.类型 4不等式(组)的解法24 . (2016 ·丽水 ) 解不等式:3x- 5<2(2 + 3 x) .解:去括号,得3x - 5<4+ 6x.移项、合并同类项,得-3x<9.系数化为1,得 x >- 3.2x + 1<x+ 5,①25 . (2016 ·淮安 ) 解不等式组:4x>3x + 2. ②解:解不等式①,得x<4.解不等式②,得x>2.∴不等式组的解集为2< x< 4.3x - 126 . (2016 ·苏州 ) 解不等式2x - 1>,并把它的解集在数轴上表示出来.2解: 4x - 2>3x- 1.x>1.这个不等式的解集在数轴上表示如图:2x<5 ,①27 . (2016 ·广州 ) 解不等式组:并在数轴上表示解集.3( x+ 2)≥ x+ 4,②5解:解不等式①,得x<2.解不等式②,得x ≥- 1.解集在数轴上表示为:3x + 1≤ 2( x+ 1),①28 . (2016 ·南京 ) 解不等式组:并写出它的整数解.-x<5x + 12 ,②解:解不等式①,得x≤ 1.解不等式②,得x> - 2.所以不等式组的解集是-2<x≤ 1.该不等式组的整数解是-1, 0, 1.。
精心整理精心整理分式的化简乘方:()n n n nn a a aa a aa ab b bb b bb b ⋅=⋅=⋅个个n 个=(n 为正整数)整数指数幂运算性质: ⑴m n m n a a a +⋅=(m 、n 为整数) ⑵()m n mn a a =(m 、n 为整数) ⑶()n n n ab a b =(n 为整数)⑷m n m n a a a -÷=(0a ≠,m 、n 为整数)中考要求精心整理精心整理负整指数幂:一般地,当n 是正整数时,1n na a -=(0a ≠),即n a -(0a ≠)是n a 的倒数分式的加减法法则:同分母分式相加减,分母不变,把分子相加减,a b a b ccc+±=异分母分式相加减,先通分,变为同分母的分式再加减,a c ad bc ad bc bdbdbdbd±±=±=分式的混合运算的运算顺序:先算乘方,再算乘除,后算加减,如有括号,括号内先算.【例1【例2【题型】解答 【关键词】【解析】222221(1)()4111(1)a a a a a a a a a ---+÷⋅=-=--++-【答案】4-【例3】 先化简,再求值:22144(1)1a a a a a-+-÷--,其中1a =-..【考点】分式的化简求值 【难度】2星 【题型】解答【关键词】2010年,安徽省中考【解析】()()2221144211122a a a a a a a a a a a a --+-⎛⎫-÷=⋅= ⎪----⎝⎭-当1a =-时,原式112123a a -===---【答案】13【例4】 先化简,再求值:2291333x x x x x⎛⎫-⋅ ⎪--+⎝⎭其中13x =.【考点】分式的化简求值 【难度】2星 【题型】解答【关键词】2010年,湖南省长沙市中考试题 【解析】原式()()()33133x x x x x +-=⋅-+ 当13x =时,原式3=【答案】3【例5】 先化简,再求值:211(1)(2)11x x x -÷+-+-,其中x =. 【考点】分式的化简求值 【难度】2星 【题型】解答【关键词】2010年,湖北省十堰市中考试题 【解析】原式()()()111121x x x x x +-=⋅+-+-+当x时,原式224=-=.【答案】4精心整理精心整理【例6】 先化简,后求值:22121(1)24x x x x -++÷--,其中5x =-. 【考点】分式的化简求值 【难度】2星 【题型】解答【关键词】2010年,广东省肇庆市中考试题【解析】22121(1)24x x x x -++÷--=221(1)2(2)(2)x x x x x -+-÷-+-【例7。
初中数学整式的混合运算—化简求值(含答案)1.求值:x2(x﹣1)﹣x(x2+x﹣1),其中x=.考点:整式的混合运算—化简求值。
分析:先去括号,然后合并同类项,在将x的值代入即可得出答案.解答:解:原式=x3﹣x2﹣x3﹣x2+x=﹣2x2+x,将x=代入得:原式=0.故答案为:0.点评:本题考查了整式的混合运算化简求值,是比较热点的一类题目,但难度不大,要注意细心运算.2.先化简,再求值:(1)a(a﹣1)﹣(a﹣1)(a+1),其中.(2)[(2a+b)2+(2a+b)(b﹣2a)﹣6ab]÷2b,且|a+1|+=0.考点:整式的混合运算—化简求值;非负数的性质:偶次方;非负数的性质:算术平方根。
专题:计算题。
分析:(1)先将代数式化简,然后将a的值代入计算;(2)先将代数式化简,然后将a、b的值代入计算.解答:解:(1)a(a﹣1)﹣(a﹣1)(a+1)=a2﹣a﹣a2+1=1﹣a将代入上式中计算得,原式=a+1=+1+1=+2(2)[(2a+b)2+(2a+b)(b﹣2a)﹣6ab]÷2b=(4a2+4ab+b2﹣4a2+2ab﹣2ab+b2﹣6ab)÷2b=(2b2﹣2ab)÷2b=2b(b﹣a)÷2b=b﹣a由|a+1|+=0可得,a+1=0,b﹣3=0,解得,a=﹣1,b=3,将他们代入(b﹣a)中计算得,b﹣a=3﹣(﹣1)=4点评:这两题主要题考查的是整式的混合运算,主要考查了公式法、单项式与多项式相乘以及合并同类项的知识点.3.化简求值:(a+1)2+a(a﹣2),其中.考点:整式的混合运算—化简求值。
专题:计算题。
分析:先按照完全平方公式、单项式乘以多项式的法则展开,再合并,最后把a的值代入计算即可.解答:解:原式=a2+2a+1+a2﹣2a=2a2+1,当a=时,原式=2×()2+1=6+1=7.点评:本题考查了整式的化简求值,解题的关键是公式的使用、合并同类项.4.,其中x+y=3.考点:整式的混合运算—化简求值。
初中数学整式化简专项练习篇一1. 合并下列各式的同类项(1)2223452x x x x x -++- (2)2251xy xy -(3)22222323xy xy y x y x -++- (4)222244234b a ab b a --++(5)m n n m mn n m 22222537++- (6)3222332213a ab b a ab a +-+-(7)22222256528xy y x y x xy y x xy +-+-+-2. 化简求值(1);3,657622-=--+a a a a a 其中(2);2,1,5125122222-==+--y x x y xy y x x y 其中(3);1,4,325.02213322332233=-=--+++-+-y x y y x y y x y x y y x y x 其中(4);,其中32,2)3123()322(2122=-=+-+--y x y x y x x(5);,其中1)3(2)]25([52222-=---++x x x x x x x参考答案 篇一1. 合并下列各式的同类项 (1)x - (2)254xy (3)22xy y x +- (4)ab b 22+- (5)2212mn n m -(6)b a ab a 2227353+-(7)22226313xy y x y x xy ++-- 2. 化简求值 (1)6 (2)30 (3)-3(4)946(5)5篇二一、选择题1. 合并同类项32323232)45(45b a b a b a b a -=+-=+-时,依据的运算律是( ) A. 加法交换律 B.乘法结合律 C.乘法分配律 D.乘法交换律2.若222212223y x y x y x n m =--+,则( )A.2,1==n mB.2,2==n mC.1,2==n mD.1,1==n m3.将多项式2223452x x x x x -++-合并同类项后所得的结果是( ) A.二次二项式 B.二次三项式 C.一次二项式 D.单项式4.如果多项式1722-++-kab b ab x 不含ab 项,那么k 的值为( ) A.0 B.7 C.1 D.不确定5. 若31b a m +与p b a n 2)1(+合并后的结果是0,则( ) A.3,2,2-===p n m B.3,2,1===p n m C.3,0,2-===p n m D.3,0,1===p n m6.如果多项式876232-+-Mxy y x xy 合并同类项后是四次二项式,那么M 为( ) A.7 B.8 C.6 D.-67.如果A 是四次多项式,B 也是四次多项式,那么A+B 一定是( ) A.十六次多项式或单项式 B.八次多项式或单项式 C.四次多项式或单项式 D.不高于四次的多项式或单项式 8.下列各式中去括号正确的是( )A.d c b a d c b a -+-=+-+)(B.d c b a d c b a +--=+--)(C.d c b a d c b a -+-=+--)(D.d c b a d c b a ++-=+--)(9.已知一个多项式与x x 932+的和等于1432-+x x ,则这个多项式是( ) A.15--x B.15+x C.113--x D.113+x10.若长方形的周长为m 4,一边长为n m -,则另一边长为( ) A.m 2 B.n 2 C.n m + D.n m -5 二、化简下列各式1.)2(2)4(222b ab a b ab -+--2.]2)34(7[322x x x x ----3.)212()41(4--+a a 4.)2(3)35(2n m n m m -+--5.]4)32(24[3----x x x6.)2(3)(222ab a ab a ---7.)]3(23[4----x x x x 8.)32(3)32(2a b b a ---参考答案一、选择题二、化简下列各式 1. 222b a +- 2. 3352--x x 3. 232+a 4. m 3 5. 23-x 6. ab a +-24 7. 34-x 8. b a 1213-。
初中数学分式的化简求值专项训练题(精选历年60道中考题 附答案详解)1.化简求值 :22244(4)2x x x x x+--÷+,其中2x = 2.先化简、再求值:352242a a a a -⎛⎫÷-- ⎪--⎝⎭,其中a3. 3.()1化简:21111x x x ⎛⎫÷+ ⎪--⎝⎭然后选择你喜欢且符合题意的一个x 的值代入求值. ()2分解因式:22344xy x y y --4.先化简再求值:211122x x x -⎛⎫÷- ⎪++⎝⎭,其中x =135.先化简(2341x x +-﹣21x -)÷2221x x x +-+,再从﹣2,﹣1,0,1,2中选一个你认为合适的数作为x 的值代入求值.6.2316133962x x x x x x --⎛⎫÷-- ⎪+--+⎝⎭7.先化简再求值:(2221244x x x x x x ---+++)÷42x x -+,其中x =(﹣1)0. 8.先化简,再求值:22214244a a a a a a a a +--⎛⎫-÷⎪--+⎝⎭,其中3a =. 9.先化简,再求值: 2295(2)242y y y y y -÷----,其中y =. 10.先化简,再求值:(2241x x x -+-+2-x)÷2441x x x++-,其中x-2. 11.化简求值:22111m m m m +-⎛⎫-÷ ⎪⎝⎭,其中m12.(1)计算:22214()244x x x x x x x x+---÷--+; (2)解分式方程:1121x x x -=+-. 13.(1)化简2422x x x+-- (2)先化简,再求值221111x x x ⎛⎫÷+ ⎪--⎝⎭,其中x 为整数且满足不等式组11622x x --⎧⎨+≥⎩>.14.先化简,再求值:(11x +﹣1)÷21x x -,其中x =2 15.(1)化简:2112x x x x x ⎛⎫++÷- ⎪⎝⎭; (2)化简分式:2221121x x x x x x x x -⎛⎫-÷ ⎪---+⎝⎭,并从13x -≤≤中选一个你认为适合的整数x 代人求值.16.先化简,再求值:211()1211x x x x x x ++÷--+-,其中x=3. 17.先化简,再求值:(522a a -++a ﹣2)÷22a a a -+,其中a =2+1. 18.如图,作业本上有这样一道填空题,其中有一部分被墨水污染了,若该题化简的结果为1x 3+.(1)求被墨水污染的部分;(2)原分式的值能等于17吗?为什么? 19.先化简,再求值:2211()3369x x x x x x --÷---+,其中x 满足240x +=. 20.先化简再求值2221111a a a a a --⎛⎫÷-- ⎪-+⎝⎭,其中a 是方程x 2-x =2017的解. 21.化简求值:22a 2ab b 2a 2b-+÷-(11b a -),其中a 2=1,b 2=1. 22.(1)解方程 :21124x x x -=-- (2)先化简,再求值:22112()2a a b a b a ab b+÷+--+,其中269a a -+与|1|b -互为相反数. 23.先化简,再求值:(1﹣11a -)÷2244a a a a-+-,其中2.24.先化简,再求值:2221111a a a a a ⎛⎫++-÷ ⎪--⎝⎭,其中a =﹣3. 25.(1)计算:23(3)3x x x x--- (2)计算:22111121x x x x x x x ++⎛⎫+÷ ⎪---+⎝⎭ (3)先化简,再求值: 已知a b =3,求222443a ab b b a b a b a b ⎛⎫++÷-- ⎪--⎝⎭的值. 26.计算:(1)2111a a a a -++-; (2)2222421121a a a a a a a ---÷+--+; (3)先化简再求值:(132x -+)212x x x -÷+-,其中x 是﹣2,1,2中的一个数值. 27.先化简,再求值:2221()211a a a a a a+÷--+-,其中a 是方程2230x x +-=的解. 28.先化简,再求代数式214(1)33x x x -+÷--的值,其中3tan 3022cos 45x =- 29.()1解方程:28124x x x -=-- ()2先化简后求值2221412211a a a a a a --⋅÷+-+-,其中a 满足20a a -= 30.若13x x +=,求: (1)221x x+的值; (2)1x x-的值; (3)221x x -的值. 31.先化简再求值:221111x x x x ⎛⎫-÷ ⎪-+-⎝⎭,其中3x =-.32.先化简,再求值:233()111a a a a a -+÷--+,其中. 33.先化简,再求值22111211a a a a -⎛⎫÷+ ⎪-+-⎝⎭,其中a =2.34.先化简再求值:22221111x x x x x x --⎛⎫÷-- ⎪-+⎝⎭,其中x 是不等式组30223x x x +>⎧⎪-⎨<+⎪⎩的最大整数解.35.(1)先化简22121211x x x x x ÷---++,然后从-1,0,2中选一个合适的x 的值,代入求值. (2)解不等式组3(2)2513212x x x x +>+⎧⎪⎨+-<⎪⎩36.先化简,再取一个你喜欢的x 的值带入并求值21211()()111x x x x x x +⨯--+-+ 37.先化简,再求值:2282442x x x x x ⎛⎫÷-- ⎪-+-⎝⎭,其中2x ≠. 38.已知,求的值.39.化简:222524(1)244x x x x x x -+-+÷+++,并求当=-123x 40.先化简,再求值:265222x x x x -⎛⎫÷-- ⎪--⎝⎭,其中x =﹣1. 41.先化简,再求值:2112111x x x x +⎛⎫-÷⎪-+-⎝⎭,其中x 满足240x -=. 42.先化简(22444a a a -+-﹣2a a +)÷12a a -+,再从a ≤2的非负整数解中选一个适合的整数代入求值.43.先化简,再求值:2222444x x x x x x x--+-÷-,其中1x =. 44.化简求值:2121(1)m m m m--+÷,从-1,0, 1,2中选一个你认为合适的m 值代入求值.45.(1)计算:()()322423523a a a a ⎡⎤⋅+-÷⎢⎥⎣⎦; (2)先化简,再求值:524223x x x x-⎛⎫++⋅ ⎪--⎝⎭,其中5x =.46.(1)先化简,再求值:24512111a a a a a a -⎛⎫⎛⎫+-÷- ⎪ ⎪---⎝⎭⎝⎭,其中4a = (2)解分式方程:28142y y y +=-- 47.先化简,再求值.(1﹣32x +)÷212x x -+的值,其中x=2.48.化简求值:244()33x x x x x ---÷--,其中-249.先化简,再求值:222a b 2ab b a a a ⎛⎫--÷- ⎪⎝⎭,其中,a 1b 1=+=. 50.先化简,再求值:223232442x x x x x x -⎛⎫-÷ ⎪--+-⎝⎭,其中3x =. 51.先化简,再求值22214244a a a a a a a a +--⎛⎫+÷⎪--+⎝⎭并从04a ≤≤中选取合适的整数代入求值. 52.先化简,再求值:23(1)11x x x x -÷----,其中1x =- 53.化简并求值:2x+221x 111x x x --÷+--,其中x=﹣3. 54.先化简,再求值:(1)()223(2)(2)844a b a b a b ab ab +---÷其中2,1a b ==(2)22224242x x x x x x --⎛⎫÷-- ⎪-+⎝⎭其中3x =. 55.先化简,再求值231(1)22x x x --÷++的值,其中2sin 45x ︒=︒.56.先化简,再求值:22(1)x y x y x y -÷--,其中x 2,y =11()2-. 57.先化简再求值2324()422x x x x x --÷---,其中x=3tan30°-4cos60°. 58.先化简,再求值:2443111a a a a a -+⎛⎫÷-+ ⎪++⎝⎭,其中3a =. 59.化简分式222x x x x x 1x 1x 2x+1-⎛⎫-÷ ⎪---⎝⎭,并从﹣1≤x≤3中选一个你认为合适的整数x 代入求值.60.(1)解方程:2236111x x x +=+-- (2)计算:3a(2a 2-9a+3)-4a(2a-1)(3)计算:(×(-1|+(5-2π)0(4)先化简,再求值:(xy 2+x 2y )222222x x y x xy y x y ⋅÷++-,其中,y=2.参考答案 1.2x -;2.【解析】 【分析】 原式括号中两项通分并利用同分母分式的减法法则计算,现时利用除法法则变形,约分得到最简结果,再把x 的值代入计算即可.【详解】22244(4)2x x x x x+--÷+ =244(2)(2)(2)x x x x x x x +-+-÷+ =2(2)(2)(2)(2)x x x x x x -+⨯+- =2x -; 当22x =+时,原式=2222+-=.【点睛】此题考查了分式的化简求值,熟练掌握运算法则是解本题的关键.2.1-2(3+a),【解析】【详解】解:原式=35(2)(2)2(2)22a a a a a a ⎡⎤--+⎛⎫÷- ⎪⎢⎥---⎝⎭⎣⎦322(2)(3)(3)12(3)a a a a a a --=-⋅--+=-+ 当33时,原式=3-3.(1)11x+,取x=2,得原分式的值为13(答案不唯一);(2)-y(2x-y)2.【解析】【分析】(1)先根据分式的运算法则进行化简,再选一个使原分式有意义的x的值代入求值即可;(2)先提取公因式,再利用完全平方公式进行二次分解即可.【详解】解:(1)原式=1111 (1)(1)1(1)(1)1x x x xx x x x x x x-+-÷=⨯= +--+-+,取x=2代入上式得,原式11213==+.(答案不唯一)(2)原式=y(4xy-4x2-y2)=-y(2x-y)2.【点睛】本题考查分式的化简求值以及因式分解,掌握基本运算法则和乘法公式是解题的关键.4.化简的结果是1x-;2 3 -.【解析】【分析】先计算括号里的减法,将21x-进行因式分解,再将除法运算化为乘法运算,约分得到最简结果,将x的值代入计算即可求出值.【详解】解:211122xx x-⎛⎫÷-⎪++⎝⎭=(1)(1)122x x xx x-++÷++=(1)(1)221x x xx x-++⋅++=1x-,当x=13时,原式=113-=23-【点睛】此题考查了分式的化简求值,以及解分式方程,分式的加减运算关键是通分,通分的关键是找最简公分母;分式的乘除运算关键是约分,约分的关键是找公因式.5.原式=11xx-+,当x=0时,原式=﹣1.【解析】【分析】括号内先通分进行分式的加减法运算,然后再进行分式的除法运算,最后选择使分式的意义的x 的值代入进行计算即可得.【详解】原式=()()()()()23422211111x x x x x x x x ⎡⎤+++-÷⎢⎥+-+--⎢⎥⎣⎦ =()()()212·112x x x x x -++-+ =11x x -+, ∵x≠±1且x≠﹣2,∴x 只能取0或2,当x=0时,原式=﹣1.【点睛】本题考查了分式的化简求值,熟练掌握分式混合运算的运算顺序以及运算法则是解题的关键.6.2-【解析】【分析】先算括号内分式的减法,得()()269233x x x x -+-+-,根据完全平方公式化简得()()()23233x x x --+-,再根据分式的除法法则计算即可.【详解】 2316133962x x x x x x --⎛⎫÷-- ⎪+--+⎝⎭ ()()232612433233x x x x x x x -+--+-=÷++- ()()23693233x x x x x x --+-=÷++-()()()2333233x x x x x ---=÷++- ()()()2233333x x x x x +--=⨯+-- 2=-.【点睛】本题考查了分式的化简运算,掌握分式的运算法则以及完全平方公式是解题的关键. 7.212x x +,13【解析】【分析】直接将括号里面通分运算,再计算除法,化简后,再代入x 的值得出答案.【详解】 解:原式=2214[](2)(2)2x x x x x x x ----÷+++ =22(2)(2)(1)4[](2)(2)2x x x x x x x x x x -+---÷+++ =222244[](2)(2)2x x x x x x x x x ----÷+++ =242(2)4x x x x x -++- =1(2)x x + =212x x+ 当x =(﹣1)0=1时,原式=2111213=+⨯ 【点睛】本题主要考查分式的化简求值,掌握分式加减乘除混合运算顺序和法则是解题的关键.8.21(2)a -,1 【解析】【分析】根据分式的混合运算法则化简,再将a 的值代入化简后的式子计算即可.【详解】 解:22214244a a a a a a a a +--⎛⎫-÷ ⎪--+⎝⎭ 221(2)(2)4a a a a a a a ⎡⎤+-=-⋅⎢⎥---⎣⎦ 22(2)(2)(1)(2)(2)4a a a a a a a a a a ⎡⎤+--=-⋅⎢⎥---⎣⎦ 2224(2)4a a a a a a a --+=⋅-- 24(2)4a a a a a -=⋅-- 21(2)a =- 当3a =时,22111(2)(32)a ==--. 【点睛】 本题考查了分式的化简求值问题,解题的关键是掌握分式混合运算的法则,正确化简.9.12y 【解析】【分析】先把原式化简,化为最简后再代数求值即可.【详解】解:原式=()()3y)3y 22y y +-÷-([52y --()()222y y y +--] =()()()()3y)3y 522222y y y y y +--+-÷--(=()()()3y)3y 2223y)3y y y y +--⨯-+-(( =12y当y =时,原式=4. 【点睛】本题考查了化简求值问题,正确化简是解题的关键.10.-12x +【解析】【分析】先用乘法的分配律去括号,利用分式的加减进行化简后代入数值即可.【详解】 原式=2241x x x -+-2(1)(2)x x --+-(x -2) 2(1)(2)x x --+ =-2224(2)x x x -+++2(1)(2)(2)x x x --+ =()()2222432(2)x x x x x --++-++ =2(2)(2)x x -++ =-12x + 当x-2=-6【点睛】 本题考查的是分式的化简求值,掌握分式的运算法则和二次根式的化简是关键.11.11m --【解析】【分析】原式括号中两项通分并利用同分母分式的减法法则计算,同时利用除法法则变形,约分得到最简结果,把m 的值代入计算即可求出值.【详解】22111m m m m +-⎛⎫-÷ ⎪⎝⎭ ()()2111m m m mm m --=+- ()()111m m mm m +=-+- 11m =--当1m =时,原式===. 【点睛】本题主要考查了分式的化简求值,解题的关键是掌握分式混合运算顺序和运算法则及分式有意义的条件.12.(1)21(2)x -;(2)x =0. 【解析】【分析】 (1)原式括号中两项通分并利用同分母分式的减法法则计算,利用除法法则变形,约分即可得到结果;(2)分式方程去分母转化为整式方程,求出整式方程的解得到x 的值,经检验即可得到分式方程的解.【详解】(1)原式=[221](2)(2)4x x x x x x x +-----=2224(2)x x x x x --+-•4x x - =21(2)x -; (2)方程两边乘(x +2)(x ﹣1),得x (x ﹣1)﹣(x +2)(x ﹣1)=x +2,整理得:x 2﹣x ﹣(x 2+x ﹣2)=x +2解得,x =0,检验:当x =0时,(x +2)(x ﹣1)≠0,所以,原分式方程的解为x =0.【点睛】此题考查了解分式方程,以及分式的混合运算,熟练掌握运算法则是解本题的关键. 13.(1)x +2;(2)1x x +,当x =﹣2时,原式=2. 【解析】【分析】(1)根据分式的混合运算顺序和运算法则计算可得;(2)先根据分式的混合运算顺序和运算法则化简原式,解不等式组求出不等式组的整数解,从中找到符合分式的整数,代入计算可得.【详解】 (1)原式2422x x x =--- 242x x -=- ()()222x x x +-=- =x +2;(2)原式()()2111x x x x x =÷+-- ()()211x x x =+-•1x x-1x x =+, 解不等式组11622x x --⎧⎨+≥⎩>①②解不等式①得x <2;解不等式②得x≥-2;∴不等式组的解集是﹣2≤x <2,所以该不等式组的整数解为﹣2、﹣1、0、1,因为x ≠±1且x ≠0,所以x =﹣2, 则原式221-==-+2. 【点睛】本题主要考查分式的化简求值与解不等式组,解题的关键是熟练掌握分式的混合运算顺序和运算法则及解不等式组的能力.14.-1【解析】【分析】先对括号内的式子进行通分,再将除法转化为乘法,并对分子、分母因式分解,最后约分即可得到最简形式1-x ;接下来将x=2代入化简后的式子中进行计算即可求得答案.【详解】 解:原式=x x+x-x+1x -(1)(1) =﹣x+1当x =2时原式=﹣2+1=﹣1.【点睛】本题考查分式的混合运算,求代数式的值.在对分式进行化简时,先观察分式的特点,运用合适的运算法则进行化简. 15.(1)21x -;(2)1x x +,x=3时,34【解析】【分析】(1)根据分式的减法和除法法则即可化简题目中的式子;(2)根据分式的减法和除法可以化简题目中的式子,再从13x -≤≤中选取一个使得原分式有意义的整数代入即可解答本题.【详解】解:(1)原式221212x x x x x=+--÷ ()()122111x x x x x x +⨯=+--=; (2)原式()()()()()()()22111111111x x x x x x x x x x x x x x x +---⨯=⨯=+--+-+, 当3x =时,原式33314==+. 【点睛】本题考查了分式的化简求值,熟练掌握运算法则是解本题的关键.16.3,12x x - 【解析】【分析】根据分式的乘法和减法可以化简,然后将x 的值代入即可.【详解】2111211x x x x x x +⎛⎫+÷ ⎪--+-⎝⎭ =()()()()22111111x x x x x x ⎛⎫+-- ⎪+⨯ ⎪--⎝⎭ =()2211x x xx -⨯- =1x x -; 当x=3时,原式=33312=-. 【点睛】考查分式的化简求值,解答本题的关键是明确分式化简求值的计算方法.17.1a a-,2. 【解析】【分析】先根据分式的混合运算顺序和运算法则化简原式,再将a 的值代入计算可得.【详解】 解:原式=252422(1)a a a a a a -+-+⨯+- =2(1)22(1)a a a a a -+⨯+-=1a a -,当a +1时,=2. 【点睛】本题主要考查分式的化简求值,解题的关键是掌握分式的混合运算顺序和运算法则. 18.(1)x-4;(2)不能,见解析.【解析】试题分析:(1)设被墨水污染的部分是A ,计算即可得到结论;(2)令1137x =+,解得x =4,而当x =4时,原分式无意义,所以不能. 试题解析:解:(1)设被墨水污染的部分是A ,则2443193(3)(3)3x A x x x x x x A x ---÷=⋅=--+-+,解得:A = x -4; (2)不能,若1137x =+,则x =4,由原题可知,当x =4时,原分式无意义,所以不能. 19.31x x -+,5. 【解析】【分析】原式括号中利用同分母分式的减法法则计算,同时利用除法法则变形,约分得到最简结果,求出已知方程的解得到x 的值,代入计算即可求出值.【详解】原式=21(3)3(1)(1)x x x x x --⨯-+-=31x x -+, 由2x+4=0,得到x=﹣2,则原式=5.20.1(1)a a -,12017. 【解析】【分析】先计算括号内的分式减法,再计算分式的除法即可化简,然后根据方程的解定义得出一个关于a 的等式,最后代入求解即可.【详解】2221111a a a a a --⎛⎫÷-- ⎪-+⎝⎭ 22(1)(1)21111a a a a a a a --+-⎡⎤=÷-⎢⎥-++⎣⎦ 222121()111a a a a a a ---=÷--++ 222211a a a a a --=÷-+ 21(1)(1)(2)a a a a a a -+=⋅+-- 1(1)a a =- 因a 是方程22017x x -=的解,则22017a a -= 将其代入得,原式211(1)20171a a a a -===-. 【点睛】本题考查了分式的化简求值、一元二次方程的解定义,熟记分式的运算法则是解题关键. 21.ab 2,12 【解析】【分析】根据分式的混合运算,先化简,再代入求值,即可得到答案.【详解】原式()2(a b)a b 2a b ab--=÷- a b 2-=•ab a b- ab 2=, 当a =1,b =1时,原式)112=212-=12=. 【点睛】本题主要考查分式的化简求值,掌握分式的约分和通分,是解题的关键.22.(1)x=32-;(2)a b a b -+;12. 【解析】【分析】(1)把方程两边同时乘以最简公分母x 2-4,去分母得整式方程,解整式方程可求出x 的值,把x 的值代入最简公分母检验即可得答案;(2)先把括号内的分式通分,除式的分母因式分解,再根据分式除法法则化简得出最简结果,根据平方和绝对值的非负数性质可求出a 、b 的值,代入化简后的式子计算即可得答案.【详解】(1)21124x x x -=-- 方程两边同时乘以最简公分母x 2-4得:x(x+2)-(x 2-4)=1,整理得:2x=-3,解得:x=32-,检验:当x=32-时,x 2-4≠0, ∴x=32-是原分式方程的解. (2)22112()2a a b a b a ab b+÷+--+ =22()()()a b a b a a b a b a b -++÷+-- =22()()()2a a b a b a b a-⋅+- =a b a b-+, ∵269a a -+与|1|b -互为相反数,∴2(3)a - +|1|b -=0,∴a-3=0,b-1=0,解得:a=3,b=1,当a=3,b=1时,原式=a b a b -+=3131-+=12. 【点睛】本题考查分式的混合运算——化简求值及解分式方程,解分式方程的基本思想是转化思想,把分式方程转化成整式方程再解方程,注意最后要检验是否有增根;熟练掌握分式的混合运算法则及非负数的性质是解题关键23.原式=2a a -+1. 【解析】分析:先根据分式混合运算顺序和运算法则化简原式,再将a 的值代入计算可得. 详解:原式=211(2)(11(1)a a a a a a ---÷---) =22(1)•1(2)a a a a a ---- =2a a -当原式1=. 点睛:本题主要考查分式的混合运算,解题的关键是熟练掌握分式混合运算顺序和运算法则.24.11a +;12【解析】【分析】原式括号中两项通分并利用同分母分式的减法法则计算,同时利用除法法则变形,约分得到最简结果,把a 的值代入计算即可求出值.【详解】 解:原式=21(1)(1)11(1)1a a a a a a a -++-⋅=-++, 当a =﹣3时,原式=﹣12. 【点睛】本题主要考查了分式的混合运算,灵活的利用通分、约分进行分式的化简是解题的关键. 25.(1)22(3)x x -;(2)x ﹣1;(3)22a b b a+-,﹣5. 【解析】【分析】(1)直接通分运算进而利用分式的混合运算法则计算得出答案;(2)直接将括号里面通分进而利用分式的混合运算法则计算得出答案;(3)直接将括号里面通分进而利用分式的混合运算法则计算得出答案.【详解】解:(1)原式2223(3)(3)(3)x x x x x x +-==--; (2)原式2221(1)(1)(1)(1)1(1)(1)1(1)(1)1x x x x x x x x x x x x x +++-+-=⋅=⋅=--++-++; (3)原式222(+2)3()()(+2)2(2)(2)2a b b a a b b a b a b a b a b a b a b a b b a b a b a-----+=÷=⋅=---+--∵3a b=, ∴a =3b ,所以原式=32523b b b b +=--. 【点睛】本题考查的知识点是分式的化简求值,掌握分式化简的一般步骤以及分式的混合运算法则是解此题的关键,注意化简过程中各项的符号变化.26.(1)1;(2)21a +;(3)x ﹣1,x =2时,原式=1. 【解析】【分析】(1)先约分,再相加即可求解;(2)先因式分解,将除法变为乘法约分,再通分,相减即可求解;(3)先计算括号里面的减法,再因式分解,将除法变为乘法约分化简,再把x =2代入计算即可求解.【详解】 (1)2111a a a a -++-, =111a a a +++, =11a a ++, =1;(2)2222421121a a a a a a a ---÷+--+, =222(2)(1)1(1)(1)2a a a a a a a ---⋅++--, =22(1)11a a a a --++, =22(1)1a a a --+, =21a +; (3)(132x -+)212x x x -÷+-, =23(1)(2)21x x x x x +--+⋅+-, =x ﹣1,∵x +2≠0,x ﹣1≠0,∴x ≠﹣2,x ≠1,当x =2时,原式=2﹣1=1.【点睛】此题考查分式的混合运算及化简求值,正确将分式的分子与分母因式分解是解题的关键.27.2a a 1-,910-. 【解析】【分析】先把分式化简后,再解方程确定a 的值,最后代入求值即可.【详解】解:原式=2(1)2(1)(1)(1)a a a a a a a +--÷-- =2(1)(1)(1)1a a a a a a +-⋅-+ =2a a 1- 由2230x x +-=,得11x =,232x =-又10a -≠∴32a =-. ∴原式=23()9231012-=---. 【点睛】本题考查分式的化简求值;一元二次方程的解法,掌握计算法则正确计算是解题关键. 28.12x +,3【解析】【分析】 先去括号,再算乘法约去公约数,即可完成化简,化简3tan 3022cos 45x =-,先算三角函数值,再算乘法,再算减法,再将化简后x 的值代入原式求解即可.【详解】 原式313()33(2)(2)x x x x x x --=+•--+- 233(2)(2)x x x x x --=•-+- 12x =+当33tan 3022cos 453232x =-=⨯-=时原式3=== 【点睛】本题考查了整式的混合运算,掌握整式混合运算的法则是解题的关键.29.(1)无解;(2)22a a --,-2【解析】【分析】(1)根据解分式方程的步骤计算即可;(2)先根据分式的混合运算顺序和运算法则化简原式,再整体代入计算可得.【详解】(1)两边都乘以(x +2)(x ﹣2),得:x (x +2)﹣(x +2)(x ﹣2)=8,解得:x =2,当x =2时,(x +2)(x ﹣2)=0,∴x =2是增根,∴原分式方程无解;(2)原式12a a -=+•()()222(1)a a a +--•(a +1)(a ﹣1) =(a ﹣2)(a +1)=a 2﹣a ﹣2.当a 2﹣a =0时,原式=﹣2.【点睛】本题考查了分式的化简求值,解答本题的关键是掌握分式的混合运算顺序和运算法则及解分式方程的步骤.30.(1)2217x x +=;(2)1x x -=(3)221x x -=±. 【解析】【分析】(1)利用完全平方公式对已知等式变形,即可求得答案;(2)利用(1)的结论运用配方法即可求得;(3)利用(2)的结论结合已知等式,运用平方差公式即可求解.【详解】(1)∵13x x+=, ∴219x x ⎛⎫+= ⎪⎝⎭, 整理,得,22129x x ++=, ∴2217x x +=; (2)由(1)知2217x x+=, ∴22125x x +-=,即215x x ⎛⎫-= ⎪⎝⎭,∴1x x-=(3)∵1x x -=13x x +=,∴11x x x x ⎛⎫⎛⎫-⋅+=± ⎪ ⎪⎝⎭⎝⎭即221x x-=±; 【点睛】本题考查了分式的化简求值,熟练掌握并灵活运用完全平方公式、平方差公式进行变形是解本题的关键.31.3x x+;0. 【解析】【分析】原式括号中两项通分并利用同分母分式的减法法则计算,同时利用除法法则变形,约分得到最简结果,将x 的值代入计算即可求出值.【详解】221111x x x x ⎛⎫-÷ ⎪-+-⎝⎭ ()()()()()()()()211111111x x x x x x x x x ⎡⎤+-+-=-⋅⎢⎥+-+-⎣⎦()()()()()()2111111x x x x x x x +--+-=⋅+- 221x x x+-+= 3x x+=; 当3x =-时, 原式3303-+==-. 【点睛】本题考查了分式的化简求值,熟练掌握运算法则是解本题的关键.32.【解析】【分析】根据分式的运算法则即可求出答案.【详解】当时,原式=()()333111a a a a a a++-+⨯-+ =()()4111a a a a a+⨯-+ =41a -.【点睛】本题考查分式的运算,解题的关键的是熟练运用分式的运算法则.33.1a a +;32. 【解析】【分析】原式括号中的两项通分并利用同分母分式的加法法则计算,同时利用除法法则变形,约分得到最简结果,把a 的值代入计算即可求出值.【详解】解:原式=2(1)(1)(1)a a a +--÷1a a - =2(1)(1)(1)a a a +--•1a a - =1a a+, 当a =2时,原式=32. 【点睛】本题考查的是分式的化简求值,熟知分式混合运算的法则是解答此题的关键.34.13-【解析】【分析】先将分式化简,再求出不等式组,利用分式有意义时分母不等于0,求出x 的值代入即可解题.【详解】 解:原式2(2)121(1)1(1)x x x x x x x ⎛⎫---+=÷ ⎪+⎝-⎭+(1)(1)(2)x x x x =•+-- =11x - ∵x 2﹣1≠0,x ﹣2≠0,x≠0∴x≠±1且x≠2,且x≠0解不等式组,得﹣3<x≤2,则x 整数解为x =﹣2,﹣1,0,1,2,∴x =﹣2 原式=13-.【点睛】本题考查了分式方程的化简求值,不等式组的求解,中等难度,正确化简并利用分式有意义的条件求出x 的值代入是解题关键.35.(1)1x-,12-;(2)13x 【解析】【分析】(1)根据分式的各个运算法则化简,然后选择一个使原分式有意义的x 的值代入即可;(2)根据不等式的基本性质解不等式组即可.【详解】 (1)原式=21(1)2(1)(1)1x x x x x -⋅-+-+ 12(1)(1)x x x x x x -=-++ (1)(1)x x x -+=+ 1x=- 根据原分式有意义的条件:1,0x ≠±当2x =时,原式=12-(2)13212x x ⎪⎨+-<⎪⎩② 解①得,1x >解②得,3x <∴该不等式组的解集为13x【点睛】此题考查的是分式的化简求值题和解不等式组,掌握分式的各个运算法则和不等式的基本性质是解决此题的关键. 36.224421x x x ---,x=2时值为2. 【解析】【分析】先对分式进行化简,要是分式有意义,则需要使在整个运算过程中的分母不为0,取值时避开这些使分母为0的数即可.【详解】 解:原式2221211=+111x x x x x x x x ++-⎛⎫⎛⎫⨯-- ⎪ ⎪--⎝⎭⎝⎭ ()()()()()()()()()()()()22222122=+1111421114211141211114421x x x x x x x x x x x x x x x x x x x x x x x x x +⎛⎫⨯- ⎪+-⎝⎭+=⨯-+-+=-++--=-+-+---=- 要使分式有意义,则x ≠0,1,-1则当=2x 时,代入得2244244422=2141x x x --⨯-⨯-=--【点睛】 本题主要考查的是分式的化简求值以及使分式有意义的条件,掌握这两个知识点并正确的运用是解题的关键. 37.22x -,12- 【解析】 【分析】先化简括号内的式子,再根据分式的除法进行计算即可化简原式,然后将2x =-代入化简后的式子即可解答本题. 【详解】 解:原式228(2)(2)(2)22x x x x x x ⎡⎤+-=÷-⎢⎥---⎣⎦22284(2)2x x x x -+=÷-- 282(2)4x x -=⋅- =22x -. ∵2x =,∴2x =±,2x =舍,当2x =-时,原式21222==---. 【点睛】本题考查了分式的化简求值,解题的关键是明确分式化简求值的方法.38.,当x=+1时,原式= 【解析】试题分析:先将括号里面的通分后,将除法转换成乘法,约分化简,然后代x 的值,进行二次根式化简.试题解析:, 当时,原式.考点:1.分式的化简;2.二次根式化简.39.2x -【解析】【分析】根据分式的混合运算法则,先化简,再代入求值,即可求解.【详解】原式=22522(2)2(2)(2)x x x x x x x -++++⨯++- =22(2)(2)2(2)(2)x x x x x -+⨯++- =2x -,当=1x -2= 【点睛】本题主要考查分式的混合运算法则,掌握分式的通分与约分进行化简,是解题的关键. 40.﹣23x +,﹣1 【解析】【分析】原式括号中两项通分并利用同分母分式的减法法则计算,同时利用除法法则变形,约分得到最简结果,把x 的值代入计算即可求出值.【详解】 解:原式=2(3)2x x --÷5(2)(2)2x x x -+-- =2(3)22(3)(3)x x x x x --⋅--+- =﹣23x +, 当x =﹣1时,原式=﹣1.【点睛】此题考查了分式的化简求值,熟练掌握运算法则是解本题的关键.41.22x ,12. 【解析】【分析】根据分式混合运算的法则把原式进行化简,再求出x 的值代入进行计算即可. 【详解】 原式11(1)(1)()112x x x x x +-=-⨯-++ 1122x x x x +-=-++ 22x =+ 因为:240x -=2x =当2x =时,原式12=. 【点睛】本题考查分式的化简求值,熟练掌握计算法则是解题关键.42.21a --,2 【解析】【分析】先将分式的分子和分母分解因式,再根据分式的化简求值的过程计算即可求解. 【详解】 解:原式=2(2)2(2)(2)21a a a a a a a ⎡⎤-+-⋅⎢⎥-++-⎣⎦, 22()221a a a a a a -+=-⋅++-, 2221a a a +=-⋅+-, 21a =--. ∵a ≤2的非负整数解有0,1,2,又∵a ≠1,2,∴当a =0时,原式=2.【点睛】此题考察分式的化简求值,化简时需先分解因式约去公因式得到最简分式,求值时选的数需满足分母不为0的数才可代入求值.43.12x +;13【解析】【分析】先根据分式混合运算的法则把原式进行化简,再把x 的值代入进行计算即可.【详解】 解:原式222(2)(2)(2)x x x x x x x -=-⋅+-- 22(2)(2)(2)(2)x x x x x x +=-+-+- ()()222x x x -=+- 12x =+ 当1x =时,原式11123==+. 【点睛】 本题考查的是分式的化简求值,熟知分式混合运算的法则是解答此题的关键.44.11m +,13【解析】【分析】根据分式的混合运算法则运算即可,注意m 的值只能取2.【详解】解:原式=2121()m m m m m-+-÷=1(1)(1)m m m m m -⎛⎫⋅ ⎪-+⎝⎭ =11m+ 把m=2代入得,原式=13. 【点睛】本题考查了分式的化简求值问题,解题的关键是掌握分式的运算法则.45.(1)13-;(2)62x --;16-【解析】【分析】(1)根据单项式乘单项式法则、合并同类项法则和单项式除以单项式法则计算即可;(2)根据分式的各个运算法则化简,然后代入求值即可.【详解】解:(1)()()322423523a a a a ⎡⎤⋅+-÷⎢⎥⎣⎦ =()()666589a a a ⎡⎤+-÷⎣⎦ =()()6639aa -÷ =13- (2)524223x x x x-⎛⎫++⋅ ⎪--⎝⎭ =24524223x x x x x ⎛⎫--+⋅ ⎪---⎝⎭=()222923x x x x--⋅-- =()()()332223x x x x x+--⋅-- =()23x -+将5x =代入,得原式=62516--⨯=-【点睛】此题考查的是整式的混合运算和分式的混合运算,掌握整式的各个运算法则和分式的各个运算法则是解决此题的关键.46.(1)22a a -,8;(2)原方程无解【解析】【分析】(1)现根据分式的运算法则化简分式,再将a 的值代入即可;(2)先变形,再把分式方程转化成整式方程,求出方程的解,再进行检验即可.【详解】解:(1)原式=2145211(1)a a a a a a a ⎛⎫⎡⎤----÷ ⎪⎢⎥---⎣⎦⎝⎭=244(1)12a a a a a a -+-⨯--=2(2)(1)12a a a a a --⨯--=(2)a a -=22a a -,当a =4时,原式=24248-⨯=;(2)解:解:原方程化为:81,(2)(2)2y y y y +=+-- 方程两边都乘以(y+2)(y-2)得:284(2),y y y +-=+化简得,2y=4,解得:y=2,经检验:y=2不是原方程的解.原方程无解.【点睛】本题考查了分式的化简求值以及解分式方程,分式的化简求值注意运用运算法则先化简再代入计算;解分式方程的关键能把分式方程转化成整式方程并注意要检验.47.13.试题分析:先按分式的相关运算法则将原式化简,再代值计算即可.试题解析:原式=()()232211x x x x x +-+⋅++- =11x + 当x=2时,原式=13.48.22x x -+,33- 【解析】【分析】根据分式的各个运算法则化简,然后代入求值即可.【详解】 解:244()33x x x x x ---÷-- =()()22234333x x x x x x x x +-⎛⎫---÷ ⎪---⎝⎭=()()2443322x x x x x x -+-•-+- =()()()223322x x x x x --•-+- =22x x -+将-2代入,得原式=33- 【点睛】此题考查的是分式的化简求值题,掌握分式的各个运算法则是解决此题的关键.49.-【解析】【分析】根据分式混合运算的法则把原式进行化简,再把a 、b 的值代入进行二次根式化简即可.【详解】解:原式=()()()()()222a b a b a b a b 2ab b a a a b a a a a ba b +-+---+÷=⋅=----.当a 1b 1=+=-=2==-. 50.33x x-;0. 【解析】【分析】先把括号内的分式的分母因式分解,再根据分式除法法则,利用乘法分配律化简得出最简结果,最后把x=3代入求值即可.【详解】原式=()()2322232x x x x x ⎡⎤---⋅⎢⎥--⎢⎥⎣⎦()312=223x x x x ⎛⎫--⋅ ⎪ ⎪--⎝⎭()3212=2323x x x x x --⋅-⋅-- 11=3x - =33x x-. 当3x =时,原式=33033-=⨯. 【点睛】本题考查分式的运算——化简求值,熟练掌握分式的混合运算法则是解题关键.51.21(2)a -,1. 【解析】【分析】将原式化简成()212a -,由已知条件a 为04a ≤≤中的整数,原式有意义可知0,2,4a a a ≠≠≠,从而得出1a =或3a =,将其代入()212a -中即可求出结论.【详解】 22214244a a a a a a a a +--⎛⎫+÷ ⎪--+⎝⎭ 221(2)(2)4a a a a a a a ⎡⎤+-=-⨯⎢⎥---⎣⎦ 22224(2)(2)4a a a a a a a a a ⎡⎤--=-⨯⎢⎥---⎣⎦ 24(2)4a a a a a -=⨯-- 21(2)a =- ∵04a ≤≤且为整数,且0a ≠,2,4.∴取1a =,原式211(12)==-.或取3a =,原式211(32)==- 【点睛】分式的化简考查了分式的运算,主要涉及分式的加减法、分式的乘除法,分式的加减法关键是化异分母为同分母,分式的除法关键是将除法转化为乘以除式的倒数;求值部分,尤其是这类选取适当的数代入求值时,千万要注意未知数取值的限制,所有使分母等于零的数都不能取,使使除号后紧跟的分式的分子为零的数也不能取避免进入分式无意义的雷区,例如本题已知条件04a ≤≤中选取的合适的整数只有1和3.52.12x -+;1-【分析】 根据分式的化简,通过通分、约分化简得到的式子,把1x =-代入求值即得.【详解】原式223111x x x x --+=÷-- 211(2)(2)x x x x x --=⨯-+- 12x =-+, 把1x =-代入得原式1112=-=--+. 【点睛】考查分式的化简求值,化简中用到因式分解、约分,注意因式分解,约分符号问题,最后使得式子最简.53.2.【解析】试题分析:先将2x+221x 111x x x --÷+--进行化简,再将x 的值代入即可; 试题解析: 原式=﹣•(x ﹣1)==,当x=﹣3时,原式=﹣2.54.(1)242a ab -,12;(2)12x -,1 【解析】【分析】(1)原式第一项利用平方差公式化简,第二项利用多项式除以单项式法则计算,合并得到最简结果,将a 与b 的值代入计算即可求出值;(2)首先计算括号里面的进而利用分式乘除运算法则计算得出最简结果,将x 的值代入计算即可求出值.解:(1)()223(2)(2)844a b a b a b abab +---÷, = ()22242a b ab b---=242a ab -,当2,1a b ==时,原式=242221=164⨯-⨯⨯-=12; (2)22224242x x x x x x --⎛⎫÷-- ⎪-+⎝⎭=()()()()()222242222x x x x x x x x x --+⎡⎤-÷-⎢⎥-+++⎣⎦=2222x x x x x -÷++ =()222x x x x x +⋅+- =12x -, 当x=3时,原式=132-=1. 【点睛】本题考查分式的化简求值以及整式的混合运算,正确进行分式的混合运算是解题关键.55.11x +;2【解析】【分析】先算括号里面的,再算除法,根据特殊角的三角函数值先得出x ,再代入即可.【详解】 原式2231()2x 22x x x x +-=-÷+++ 223122x x x x +--=÷++ 21221x x x x -+=⨯+-122(1)(1)x x x x x -+=⨯++- 11x =+.当21x ==时,原式11x ===+. 【点睛】本题考查了分式的化简求值以及特殊角的三角函数值,是基础知识要熟练掌握.56.x +y .【解析】试题分析:根据分式的减法和除法可以化简题目中的式子,然后将x 、y 的值代入即可解答本题.试题解析:原式=()()x x y x y x y x y y -++-⋅- =()()y x y x y x y y+-⋅-=x +y ,当x 2,y =11()2-=2时,原式57【解析】【分析】先根据分式混合运算的法则把原式进行化简,再求出x 的值代入进行计算即可【详解】 原式32(2)2(2)(2)(2)(2)4x x x x x x x x ⎡⎤+-=-•⎢⎥+-+--⎣⎦ 3242421(2)(2)4(2)(2)42x x x x x x x x x x x x -----=•=•=+--+--+134232x =⨯-⨯=∴原式== 【点睛】此题考查分式的化简求值,掌握运算法则是解题关键58.22a a -+,15-. 【解析】【分析】先对括号里的式子进行通分化简运算,然后进一步化简,最后代入求值即可.【详解】 原式2(2)3(1)(1)11a a a a a ---+=÷++ 22(2)411a a a a --=÷++ 2(2)11(2)(2)a a a a a -+=⋅++- 22a a-=+. ∴当3a =时,原式231235-==-+. 【点睛】本题主要考查了分式的化简求值,熟练掌握相关法则是解题关键.错因分析 容易题.失分原因是:①括号内通分时,忘记变号;②将除法变为乘法时,忘记分子分母调换位置.59.x x+1;x=2时,原式=23. 【解析】【分析】先将括号内的分式通分,再按照分式的除法法则,将除法转化为乘法进行计算.最后在﹣1≤x≤3中取一个使分式分母和除式不为0的数代入求值.【详解】解:原式=()()()()()()()()()()()222x x+1x x 1x 1x x x ==x+1x 1x+1x 1x+1x 1x x 1x+1x 1⎡⎤---÷⋅⎢⎥-----⎢⎥⎣⎦. ∵﹣1≤x≤3的整数有-1,0,1,2,3,当x=﹣1或x=1时,分式的分母为0,当x=0时,除式为0,∴取x 的值时,不可取x=﹣1或x=1或x=0.不妨取x=2,此时原式=22=2+13.60.(1)分式方程无解;(2)326a 35?a 13a +﹣;(3)(4 【解析】【分析】(1)去分母化为整式方程求解即可,求出未知数的值要验根;(2)先算单项式与多项式的乘法,再合并同类项即可;(3)第一项按二次根式的乘法计算,第二项按化简绝对值的意义化简,第三项按零指数幂的意义化简,然后进一步合并化简即可;(4)先根据分式的运算法则把所给代数式化简,再把. 【详解】(1)去分母得:2x-2+3x+3=6,解得:x=1,经检验x=1是增根,分式方程无解;(2)原式322326a 27a 9a 8a 4a 6a 35?a 13a =++=+﹣﹣﹣;(3)原式=11+=(4)原式=xy (x+y )()()()22x y x y xx y x y +-⋅⋅+=x ﹣y ,代入得当,y=2时,原式22= 【点睛】 本题考查了解分式方程,实数的混合运算,整式的混合运算,分式的化简求值,熟练掌握各知识点是解答本题的关键.。
一元二次方程的化简求值题姓名:成绩:1.(2013•江都市一模)先化简再求值:(1+)÷,其中x是方程x2﹣3x=0的根.2.(2014•宝应县二模)先化简再求值:(1+)÷,其中x是方程x2﹣2x=0的根.3.(x+)÷,先化简再求值:其中x是方程x2﹣2x=0的根.4.(2014•南京联合体二模)先化简再求值:,其中x是方程x2﹣x=0的根.5.(1)先化简再求值:﹣a2b+(3ab2﹣a2b)﹣2(2ab2﹣a2b),其中a=﹣1、b=﹣2.(2)已知y=1是方程2﹣13(m﹣y)=2y的解,求关于x的方程m(x﹣3)﹣2=m(2x﹣5)的解.6.先化简,再求值:(﹣)÷,其中a 是方程﹣=1的解.7.先化简,再求值:,其中a是方程2x2﹣x﹣3=0的解.8.先化简,再求值:,其中a 是方程的解.9.先化简,再求值:,其中a是方程2x2﹣2x﹣9=0的解.10.先化简,再求值:÷(a﹣1﹣),其中a是方程x2﹣x=2014的解.11.先化简,再求值:÷(a﹣1﹣),其中a是方程x2+x﹣3=0的解.12.先化简,再求值:÷(a﹣1﹣),其中a是方程2x2+2x﹣3=0的解.13.(1)计算:.(2)已知不等式5(x﹣2)+8<6(x﹣1)+7的最小整数解是方程2x﹣ax=4的解,求a的值.(3)先化简,再求值:,其中x=2.14.(2013•乐山市中区模拟)先化简,再求值:,其中x是方程x2+x=0的解.15.(1)解方程:﹣=1.(2)已知a为一元二次方程x2+x﹣6=0的解,先化简(2a+1)2﹣3a(a+1),再求值.16.(2013•东城区一模)先化简,再求值:2(m﹣1)2+3(2m+1),其中m是方程x2+x﹣1=0的根.17.先化简,再求值:计算,其中x是方程x2﹣x﹣2=0的正数根.18.(1)先化简,再求值:(2a2b+2ab2)﹣[2(a2b﹣1)+3ab2+2],其中a=2,b=﹣2;(2)已知:x=3是方程4x﹣a(2﹣x)=2(x﹣a)的解,求3a2﹣2a﹣1的值.19.先化简,再求值:,其中x是方程x2﹣3x﹣10=0的解.20.先化简,再求值:,其中m是方程2m2+4m﹣1=0的解.21.(2014•重庆模拟)先化简,再求值:,其中x是方程x2+2x+1=0的解.22.(2012•乐山市中区模拟)先化简,再求值:,其中负数x的值是方程x2﹣2=0的解.23.(2012•海曙区模拟)先化简,再求值:,其中x是方程x2+3x﹣5=0的解.24.先化简,再求值:(﹣)÷,其中x是方程(x+2)2﹣10(x+2)+25=0的解.25.先化简,再求值:,其中m是方程2x2﹣7x﹣7=0的解.26.先化简,再求值:﹣÷(x+1﹣),其中x 是分式方程=的解.27.先化简,再求值:已知:a2+b2+2a﹣4b+5=0,求:3a2+4b﹣3的值.28.先化简,再求值.已知a+b=1,ab=,求代数式a3b﹣2a2b2+ab3的值.2015年01月06日372991254的初中数学组卷-----一元二次方程的化简求值题参考答案与试题解析一.解答题(共28小题)1.(2013•江都市一模)先化简再求值:(1+)÷,其中x是方程x2﹣3x=0的根.考点:分式的化简求值;解一元二次方程-因式分解法.专题:计算题.分析:原式被除数括号中两项通分并利用同分母分式的加法法则计算,除数分母利用平方差公式分解因式,再利用除以一个数等于乘以这个数的倒数将除法运算化为乘法运算,约分得到最简结果,求出已知方程的解得到x的值,代入计算即可求出值.解答:解:原式=÷=•=x+1,由x2﹣3x=0,解得:x1=3,x2=0(舍去),当x=3时,原式=3+1=4.点评:此题考查了分式的化简求值,分式的加减运算关键是通分,通分的关键是找最简公分母;分式的乘除运算关键约分,约分的关键是找公因式.2.(2014•宝应县二模)先化简再求值:(1+)÷,其中x是方程x2﹣2x=0的根.考点:分式的化简求值;解一元二次方程-因式分解法.分析:首先正确将分式的分子与分母进行因式分解,进而进行分式的通分、约分,并准确代值计算.解答:解:原式=(+)÷,=x+1;方程x2﹣2x=0的根是:x1=0、x1=2,∵x不能取0,∴当x1=2时,原式=2+1=3.点评:本题考查了分式的化简求值,解题的关键是正确化简所给分式.3.(x+)÷,先化简再求值:其中x是方程x2﹣2x=0的根.考点:分式的化简求值;解一元二次方程-因式分解法.分析:先根据分式混合运算的法则把原式进行化简,再根据x是方程x2﹣2x=0的根求出x的值,把x 的值代入进行计算即可.解答:解:原式=•=x+1,∵x是方程x2﹣2x=0的根,∴x1=0,x2=2,∵x不能取0,∴当x=2时,原式=2+3.点评:本题考查的是分式的化简求值,熟知分式混合运算的法则是解答此题的关键.4.(2014•南京联合体二模)先化简再求值:,其中x是方程x2﹣x=0的根.考点:分式的化简求值;解一元二次方程-因式分解法.分析:先根据分式混合运算的法则把原式进行化简,再求出x的值,代入原式进行计算即可.解答:解:原式=÷=×=﹣,∵x是方程x2﹣x=0的根,∴x1=1,x2=0,当x1=1时分式无意义;把x2=0代入原式=.点评:本题考查的是分式的化简求值,熟知分式混合运算的法则是解答此题的关键.5.(1)先化简再求值:﹣a2b+(3ab2﹣a2b)﹣2(2ab2﹣a2b),其中a=﹣1、b=﹣2.(2)已知y=1是方程2﹣13(m﹣y)=2y的解,求关于x的方程m(x﹣3)﹣2=m(2x﹣5)的解.分析:(1)原式去括号合并得到最简结果,将a与b的值代入计算即可求出值;(2)将y=1代入已知方程计算求出m的值,把m的值代入所求方程,即可求出解.解答:解:(1)原式=﹣a2b+3ab2﹣a2b﹣4ab2+2a2b=﹣ab2,当a=﹣1,b=﹣2时,原式=4;(2)将y=1代入方程得:2﹣13(m﹣1)=2,解得:m=1,所求方程为x﹣3﹣2=2x﹣5,解得:x=0.点评:此题考查了整式的加减﹣化简求值,熟练掌握运算法则是解本题的关键.6.先化简,再求值:(﹣)÷,其中a 是方程﹣=1的解.考点:分式的化简求值;分式方程的解.分析:首先把括号里分式进行通分,然后把除法运算转化成乘法运算,进行约分化简,再解分式方程﹣=1求出a的值,最后代值计算.解答:解:原式=,=﹣,解分式方程﹣=1得:x=2,经检验可知x=2是分式方程的解,∴a=2,当a=2时,原式=﹣=﹣1.点评:主要考查了分式的化简求值问题.分式的四则运算是整式四则运算的进一步发展,是有理式恒等变形的重要内容之一.在计算时,首先要弄清楚运算顺序,先去括号,再进行分式的乘除运算.7.先化简,再求值:,其中a是方程2x2﹣x﹣3=0的解.考点:解一元二次方程-因式分解法;分式的化简求值.分析:根据分式混合运算时的法则,先对所给分式进行化简,然后解方程,求出的a的值,再代入化简的结果,注意分式有意义的条件是分式的分母不能为0.解答:解:原式====,由方程2x2﹣x﹣3=0解得,,x2=﹣1,但当x2=﹣1时,分式无意义,∴a=,∴当a=时,原式=.点评:分式的化简求值,关键是对所给代数式进行化简,与分数的混合运算一样,分式的加、减、乘、除、乘方的混合运算,也是先算乘方,再算乘除,最后算加减,遇有括号,先算括号内的.8.先化简,再求值:,其中a 是方程的解.考点:一元二次方程的解;分式的化简求值.专题:计算题;压轴题.分析:根据题意先解方程求出a的值,然后把代数式化简,再把a的值代入即可.解答:解:∵a 是方程的解,∴a2﹣a ﹣=0,解方程得:a=,={}÷﹣a2=÷﹣a2=×﹣a2当a=时,原式=(1﹣)=×=﹣;当a=时,原式=(1﹣)=×=﹣,∴代数式的值为﹣.点评:此题主要考查了方程解的定义和分式的运算,此类题型的特点是,利用方程解的定义找到相等关系,再把所求的代数式化简后整理出所找到的相等关系的形式,再把此相等关系整体代入所求代数式,即可求出代数式的值.9.先化简,再求值:,其中a是方程2x2﹣2x﹣9=0的解.考点:分式的化简求值;一元二次方程的解.专题:计算题.分析:将原式被除式括号中两项通分并利用同分母分式的减法法则计算,分子整理后分解因式,除式分子利用完全平方公式分解因式,分母利用平方差公式分解因式,然后利用除以一个数等于乘以这个数的倒数将除法运算化为乘法运算,约分后得到最简结果,由a是方程2x2﹣2x﹣9=0的解,将x=a代入方程,得到关于a的等式,整理后代入化简后的式子中即可求出原式的值.解答:解:原式=[﹣]÷﹣a2=•﹣a2=a﹣a2,∵a是方程2x2﹣2x﹣9=0的解,∴将x=a代入方程得:2a2﹣2a﹣9=0,∴a2﹣a=,即a﹣a2=﹣,则原式=﹣.点评:此题考查了分式的化简求值,以及一元二次方程的解,分式的加减运算关键是通分,通分的关键是找最简公分母;分式的乘除运算关键是约分,约分的关键是找公因式.10.先化简,再求值:÷(a﹣1﹣),其中a是方程x2﹣x=2014的解.考点:分式的化简求值;一元二次方程的解.分析:将括号内的部分通分,再将除法转化为乘法,因式分解后约分即可.解答:解:原式=÷[﹣]=÷=•==,∵a是方程x2﹣x=2014的解,∴a2﹣a=2014,∴原式=.点评:本题考查了分式的化简求值和一元二次方程的解,熟悉约分、通分和因式分解是解题的关键.11.先化简,再求值:÷(a﹣1﹣),其中a是方程x2+x﹣3=0的解.考点:分式的化简求值;一元二次方程的解.分析:先根据分式混合运算的法则把原式进行化简,再根据a是方程x2+x﹣3=0的解得出a2+a=3,再代入原式进行计算即可.解答:解:原式=÷=•==∵a是方程x2+x﹣3=0的解,∴a2+a﹣3=0,即a2+a=3,∴原式=.点评:本题考查的是分式的混合运算,熟知分式混合运算的法则是解答此题的关键.考点:分式的化简求值;一元二次方程的解.分析:先根据分式混合运算的法则把原式进行化简,再求出a的值代入进行计算即可.解答:解:原式=÷=•=,∵a是方程2x2+2x﹣3=0的解,∴2a2+2a﹣3=0,解得(a﹣1)(2a+3)=0,解得a=1或a=﹣,当a=1时,原式无意义;当a=﹣时,原式==4.点评:本题考查的是分式的化简求值,熟知分式混合运算的法则是解答此题的关键.13.(1)计算:.(2)已知不等式5(x﹣2)+8<6(x﹣1)+7的最小整数解是方程2x﹣ax=4的解,求a的值.(3)先化简,再求值:,其中x=2.考点:分式的化简求值;绝对值;零指数幂;一元一次不等式组的整数解.分析:(1)根据绝对值、零指数幂的计算法则进行计算;(2)根据解得不等式的解集,再求a;(3)首先找到最简公分母,然后进行通分化简.解答:解:(1)原式=2﹣+3×1+1=6﹣;(2)由5(x﹣2)+8<6(x﹣1)+7得:x>3;所以不等式5(x﹣2)+8<6(x﹣1)+7的最小整数解为4;由2x﹣ax=4得:x==4;解得a=1;(3)原式=﹣=x﹣(1﹣x)=2x﹣1;∵x=2;识点熟练掌握.14.(2013•乐山市中区模拟)先化简,再求值:,其中x是方程x2+x=0的解.考点:解一元二次方程-因式分解法;分式的化简求值.分析:x是方程x2+x=0的解,可得x=0或﹣1;而当x=0时,原式无意义,故x=﹣1.把分式化简后,再代入求值.解答:解:原式=[]===﹣x2﹣2x;x是方程x2+x=0的解,可得x=0或﹣1;而当x=0时,原式无意义,故x=﹣1.当x=﹣1时,原式=1.点评:分式混合运算要注意先去括号;分子、分母能因式分解的先因式分解;除法要统一为乘法运算;求值时需注意舍去不合题意的值.15.(1)解方程:﹣=1.(2)已知a为一元二次方程x2+x﹣6=0的解,先化简(2a+1)2﹣3a(a+1),再求值.考点:整式的混合运算—化简求值;解一元一次方程;解一元二次方程-因式分解法.分析:(1)按照解方程的步骤求得方程的解即可;(2)先解出方程,再进一步化简整式,最后代入求得数值即可.解答:(1)﹣=1解:2x﹣3x=6﹣x=6x=﹣6;(2)x2+x﹣6=0解:(x+3)(x﹣2)=0x+3=0,x﹣2=0解得x1=﹣3,x2=2(2a+1)2﹣3a(a+1)当a=﹣3时,原式=(﹣3)2+(﹣3)+1=7;当a=2时,原式=22+2+1=7.点评:此题考查解一元一次方程和一元二次方程的方法,以及整式的化简求值,注意先化简,再求值.16.(2013•东城区一模)先化简,再求值:2(m﹣1)2+3(2m+1),其中m是方程x2+x﹣1=0的根.考点:整式的混合运算—化简求值;一元二次方程的解.专题:计算题.分析:原式第一项利用完全平方公式展开,第二项去括号,合并得到最简结果,将m代入方程列出关系式,代入计算即可求出值.解答:解:原式=2(m2﹣2m+1)+6m+3=2m2﹣4m+2+6m+3=2m2+2m+5,∵m是方程x2+x﹣1=0的根,∴m2+m﹣1=0,即m2+m=1,∴原式=2(m2+m)+5=7.点评:此题考查了整式的混合运算﹣化简求值,涉及的知识有:完全平方公式,去括号法则,以及合并同类项法则,熟练掌握公式及法则是解本题的关键.17.先化简,再求值:计算,其中x是方程x2﹣x﹣2=0的正数根.考点:分式的化简求值;解一元二次方程-因式分解法.专题:计算题.分析:原式括号中两项通分并利用同分母分式的减法法则计算,约分得到最简结果,求出方程的解得到x的值,代入计算即可求出值.解答:解:原式=•=•=,方程x2﹣x﹣2=0,分解因式得:(x﹣2)(x+1)=0,∴x=2或x=﹣1(舍去),则原式==.点评:此题考查了分式的化简求值,熟练掌握运算法则是解本题的关键.18.化简与求值:(1)先化简,再求值:(2a2b+2ab2)﹣[2(a2b﹣1)+3ab2+2],其中a=2,b=﹣2;(2)已知:x=3是方程4x﹣a(2﹣x)=2(x﹣a)的解,求3a2﹣2a﹣1的值.考点:一元一次方程的解;整式的加减—化简求值.专题:计算题.分析:(1)本题应去括号,合并同类项,将整式化为最简式,然后把a、b的值代入即可;当a=2,b=﹣2时,原式=﹣2×(﹣2)2=﹣8;(2)∵4x﹣a(2﹣x)=2(x﹣a),且x=3,∴4×3﹣a(2﹣3)=2(3﹣a),解得a=﹣2,∴3a2﹣2a﹣1=12+4﹣1=15.点评:本题考查了整式的化简和一元一次方程的解法.整式的加减运算实际上就是去括号、合并同类项,这是各地中考的常考点.19.先化简,再求值:,其中x是方程x2﹣3x﹣10=0的解.考点:分式的化简求值;解一元二次方程-因式分解法.专题:计算题.分析:先根据分式混合运算的法则把原式进行化简,再根据x是方程x2﹣3x﹣10=0的解求出x的值,代入原式进行计算即可.解答:解:原式=[﹣]×=×=×=,∵x是方程x2﹣3x﹣10=0的解,∴x1=﹣2(舍去),x2=5,∴当x=5时,原式==.点评:本题考查的是分式的化简求值及实数的混合运算,再求出x的值时要保证分式有意义.20.先化简,再求值:,其中m是方程2m2+4m﹣1=0的解.考点:分式的化简求值;一元二次方程的解.分析:首先计算括号内的分式,把除法转化成乘法运算,然后进行分式的乘法运算即可化简,然后把已解答:解:原式=÷•=÷•=••==,∵2m2+4m﹣1=0,∴m2+2m=,∴原式==2.点评:考查了分式的化简求值,解答此题的关键是把分式化到最简,然后代值计算.21.(2014•重庆模拟)先化简,再求值:,其中x是方程x2+2x+1=0的解.考点:分式的化简求值;一元二次方程的解.分析:首先利用分式的混合运算法则化简分式进而解一元二次方程x2+2x+1=0,得出x的值,求出分式的值即可.解答:解:,=(﹣)×,=×,=x﹣2,∵x是方程x2+2x+1=0的解,∴(x+1)2=0,x﹣2=﹣1﹣2=﹣3.点评:此题主要考查了分式的化简与解一元二次方程,根据分式的性质正确化简分式是解题关键.22.(2012•乐山市中区模拟)先化简,再求值:,其中负数x的值是方程x2﹣2=0的解.考点:分式的化简求值.分析:先将除法转化成乘法,再运用分配律进行计算化成最简.然后解方程,求出x的值,然后将x=﹣代入计算即可.解答:解:原式=[+]•=+=+=,解方程x2﹣2=0,得x=±,∵x<0,∴x=﹣.∴当x=﹣时,原式==.点评:本题考查了分式的化简求值,分式混合运算要注意先去括号;分子、分母能因式分解的先因式分解;除法要统一为乘法运算;求值时需注意舍去不合题意的值.23.(2012•海曙区模拟)先化简,再求值:,其中x是方程x2+3x﹣5=0的解.考点:分式的化简求值;一元二次方程的解.专题:计算题.分析:先算括号内的减法,同时把除法变成乘法,再算乘法,最后把x2+3x代入求出即可.解答:解:=•=•=﹣2x(x+3)=﹣2x2﹣6x=﹣2(x2+3x)∵x是方程x2+3x﹣5=0的解,∴x2+3x=5,∴原式=﹣2×5=﹣10.点评:本题考查了分式的混合运算的应用,主要考查学生的化简能力和计算能力,用了整体代入思想.24.先化简,再求值:(﹣)÷,其中x是方程(x+2)2﹣10(x+2)+25=0的解.考点:分式的化简求值;解一元二次方程-配方法.分析:先根据分式混合运算的法则把原式进行化简,再根据x是方程(x+2)2﹣10(x+2)+25=0的解求出x的值,代入原式进行计算即可.解答:解:原式=(﹣)×=﹣=﹣==,∵x是方程(x+2)2﹣10(x+2)+25=0的解,∴x=3,∴当x=3时,原式==.点评:本题考查了分式的化简求值和配方法解一元二次方程,解答此题的关键是把分式化到最简,然后代值计算.25.先化简,再求值:,其中m是方程2x2﹣7x﹣7=0的解.考点:分式的化简求值.专题:计算题.解答:解:原式=÷=•=,∵m为方程2x2﹣7x﹣7=0的解,∴2m2﹣7m﹣7=0,即m2=,代入原式得:=.点评:此题考查了分式的化简求值,熟练掌握运算法则是解本题的关键.26.先化简,再求值:﹣÷(x+1﹣),其中x 是分式方程=的解.考点:分式的化简求值;分式方程的解.专题:计算题.分析:原式括号中两项通分并利用同分母分式的减法法则计算,同时利用除法法则变形,约分后两项通分并利用同分母分式的减法法则计算得到最简结果,求出分式方程的解得到x的值,代入计算即可求出值.解答:解:原式=﹣÷=﹣•=﹣==,分式方程去分母得:x+3=2x,解得:x=3,经检验x=3是分式方程的解,则原式==.点评:此题考查了分式的化简求值,熟练掌握运算法则是解本题的关键.27.先化简,再求值:已知:a2+b2+2a﹣4b+5=0,求:3a2+4b﹣3的值.考点:代数式求值;非负数的性质:绝对值;非负数的性质:偶次方.分析:先用配方法化简原式:(a+1)2+(b﹣2)2=0,再根据非负数的性质求出a,b的值,代入即可.点评:本题考查了非负数的性质,初中阶段有三种类型的非负数:(1)绝对值;(2)偶次方;(3)二次根式(算术平方根).当它们相加和为0时,必须满足其中的每一项都等于0.根据这个结论可以求解这类题目.28.先化简,再求值.已知a+b=1,ab=,求代数式a3b﹣2a2b2+ab3的值.考点:因式分解的应用.分析:把所求的代数式分解因式后整理成条件中所给出的代数式的形式,然后整体代入即可.解答:解:a3b﹣2a2b2+ab3=ab(a2﹣2ab2+b2)=ab(a﹣b)2=ab[(a+b)2﹣4ab]把a+b=1,ab=代入,得原式=×[12﹣4×]=.点评:本题既考查了对因式分解方法的掌握,又考查了代数式求值的方法,同时还隐含了整体的数学思想和正确运算的能力.先锋中学计算练习题四1、解不等式组:并把解集在数轴上表示出来.⎩⎨⎧-≤->+12)1(303x x x2、解方程组:50425=-+=--y x y x2322)1(3)1(4=+--=--y x y y x3、解方程:2230x x --=0)3(2)3(2=-+-x x x0342=+-x x4、()()1215218223-⎛⎫--+--⨯ ⎪⎝⎭1221+(2)先化简下列式子,再从2,﹣2,1,0,﹣1中选择一个合适的数进行计算.(6)先化简再求值()121112222+--++÷-+a a a a a a 其中a=3+120.先化简,再求值:,其中m 是方程2m 2+4m ﹣1=0的解.21.(2014•重庆模拟)先化简,再求值:,其中x是方程x2+2x+1=0的解.22.(2012•乐山市中区模拟)先化简,再求值:,其中负数x的值是方程x2﹣2=0的解.23.(2012•海曙区模拟)先化简,再求值:,其中x是方程x2+3x﹣5=0的解.24.先化简,再求值:(﹣)÷,其中x是方程(x+2)2﹣10(x+2)+25=0的解.25.先化简,再求值:,其中m是方程2x2﹣7x﹣7=0的解.26.先化简,再求值:﹣÷(x+1﹣),其中x 是分式方程=的解.27.先化简,再求值:已知:a2+b2+2a﹣4b+5=0,求:3a2+4b﹣3的值.28.先化简,再求值.已知a+b=1,ab=,求代数式a3b﹣2a2b2+ab3的值.先化简,再求值:22211()x yx y x y x y+÷-+-,其中31,31x y=+=-.先化简22()5525x x xx x x-÷---,然后从不等组23212xx--⎧⎨⎩≤的解集中,选取一个你认为符合题意....的x的值代入求值.已知)1(645)25(3+-<++xxx,化简:xx3113--+(10分)(2014•重庆)先化简,再求值:(x﹣1﹣)÷,其中x是方程﹣=0的解。
初中数学化简求值经典练习题(含答案)先化简再求值: 1.(1+ 1x +1x+1)÷x (x+1)+2(x+1)−1x 2−1-1,其中:x=√2-1 ;2.1-(1x−1-1)( 1x-1),其中:x=√5+2 ;3.25x -12x−3y ·(4x 2-9y 2+4x−6y 5x),其中:x=√3+12,y= √3−13;4.2(x-2y )+3(2x-3y )-4(3x-4y ),其中:x= - 34,y= 23;5.7x 3-2x (3x-5)-(4+5x-6x 2+7x 3),其中:x=2;6.(x+1)(x-3)+3x 2- 2〔2(x-2)(x+1)+(5x+4〕),其中:x= 34 ;7.x (x-1)-(x-2)(x+3)+6[32(6+x )+ 13(5-x )],其中x= -1.2 ;8.x−9x 2−9·x 2−6x+99−x+(4x−142x 2−x−21+3),其中x=√3-3 ;9.x−2y 3x+4y ÷(x +−2xy+4y 2x−2y)·3x 2+7xy+4y 2x 2−y 2,其中:x=√5-1,y=√3-1 ;10.12(2x+4)(x-2)+x−5x 2−10x+25·(x 2-x-20),其中:x 是大于3且小于6的自然数; 11.(4x+31x−5+x+5)-x 2−9x−5·x−2x+3,其中:x 满足|x |=4 ;12.(x+3)÷ x 2+x−6x 2−6x+8-x−1x+1×2x 2−x−3x−1,其中:x=2sin60°-1 ;参考答案1.(1+ 1x +1x+1)÷x (x+1)+2(x+1)−1x 2−1-1,其中:x=√2-1 ; 解:(1+ 1x + 1x+1)÷x (x+1)+2(x+1)−1x 2−1-1=(x+1x+ 1x+1)÷x 2+x+2x+2−1(x+1)(x−1)-1=x 2+3x+1x (x+1)÷x 2+3x+1(x+1)(x−1)-1 = x 2+3x+1x (x+1) ·(x+1)(x−1)x 2+3x+1-1=x−1x-1=1 - 1x-1 = - 1x将x=√2-1代入 原式= - √2−1= -√2+1(√2−1)(√2+1)= -√2−1故当 x=√2-1时原代数式的值是:-√2−1 2. 1-(1x−1-1)( 1x-1),其中:x=√5+2 ;解:1-(1x−1 -1)( 1x-1)=1-(1x−1-x−1x−1)( 1x- xx)=1- −x+2x−1 ·1−xx=1-x−2x=1-(1- 2x) = 2x将x=√5+2代入 原式= √5+2=√5−2(√5+2)(√5−2)=2√5-4故当 x=√5+2时原代数式的值是:2√5-4 3.25x -12x−3y ·(4x 2-9y 2+4x−6y5x ),其中:x= √3+12,y= √3−13 ; 解:25x - 12x−3y (4x 2-9y 2+4x−6y 5x)= 25x -12x−3y〔(2x+3y )(2x-3y ) +2(x−3y )5x〕= 25x - 〔(2x+3y )+ 25x〕 = -(2x+3y ) = -2x-3y将x= √3+12,y= √3−13代入原式= -2·√3+12 -3·√3−13= -(√3+1)-(√3−1)=2√3故当x= √3+12,y= √3−13时原代数式的值是:2√34.2(x-2y)+3(2x-3y)-4(3x-4y),其中:x= - 34,y= 23;解:2(x-2y)+3(2x-3y)-4(3x-4y) =2x-4y+6x-9y-12x+16y= -4x+3y将x= - 34,y= 23代入原式= -4·(- 34)+3·23=3+2=5故当 x=2时原代数式的值是:55. 7x3-2x(3x-5)-(4+5x-6x2+7x3),其中:x=2;解:7x3-2x(3x-5)-(4+5x-6x2+7x3)=7x3-6x2+10x-4-5x+6x2-7x3=5x-4将x=2代入原式=5·2-4=6故当 x=2时原代数式的值是:66.(x+1)(x-3)+3x 2- 2〔2(x-2)(x+1)+(5x+4〕),其中:x= 34 ;解:(x+1)(x-3)+3x 2- 2〔2(x-2)(x+1)+(5x+4〕) = x 2-2x-3+3x 2-2〔2(x 2-x-2)+(5x+4〕) =4x 2-2x-3-2〔2x 2-2x-4+5x+4) =4x 2-2x-3-2(2x 2+3x ) =4x 2-2x-3-4x 2-6x = -8x-3 将x= 34 代入原式= -8·34-3= -9故当 x= 34 时原代数式的值是:-97.x (x-1)-(x-2)(x+3)+6[32(6+x )+ 13(5-x )],其中x= -1.2 ;解:x (x-1)-(x-2)(x+3)+6[32(6+x )+ 13(5-x )]=x 2-x-(x 2+x-6)+ [6*32(6+x )+ 6*13(5-x )]=-2x+6+[9(6+x )+ 2(5-x )] =6-2x+(54+9x+10-2x ) =6-2x+(64+7x )=70+5x 将x= -1.2代入 原式=70+5×(-1.2)=64故当x= -1.2时原代数式的值是:64 8.x−9x 2−9·x 2−6x+99−x+(4x−142x 2−x−21+3),其中x=√3-3 ; 解:x−9x 2−9·x 2−6x+99−x +(4x−142x 2−x−21 +3)=x−9(x+3)(x−3)·(x−3)2−(x−9)+〔2(2x−7)(2x−7)(x+3)+3〕= - x−3x+3+2x+3+3= 5−x x+3+3= 5−x+3x+9x+3= 2x+14x+3=(2x+6)+8x+3=2+8x+3将x=√3-3代入 原式=2+(√3−3)+3=2+8√33故当x=√3-3时原代数式的值是:2+ 8√339.x−2y 3x+4y÷(x +−2xy+4y 2x−2y)·3x 2+7xy+4y 2x 2−y 2,其中:x=√5-1,y=√3-1;解:x−2y3x+4y ÷(x + −2xy+4y2x−2y)·3x2+7xy+4y2x2−y2= x−2y3x+4y ÷x2−4xy+4y2x−2y·(3x+4y)(x+y)(x+y)(x−y)=x−2y3x+4y ÷(x−2y)2x−2y·3x+4yx−y=x−2y3x+4y ·1x−2y·3x+4yx−y= 1x−y将x=√5-1,y=√3-1代入原式=(√5−1)−(√3−1)=√5−√3= √5+√3(√5−√3)(√5+√3)= √5+√35−3= √5+√32故当x=√5-1,y=√3-1时原代数式的值是:√5+√3210.12(2x+4)(x-2)+ x−5x2−10x+25·(x2-x-20),其中:x是大于3且小于6的自然数;解:12(2x+4)(x-2)+ x−5x2−10x+25·(x2-x-20)=(x+2)(x-2)+ x−5(x−5)2·(x+4)(x-5)=x2 -4 +x+4=x2 +xx是大于3且小于6的自然数那么x 是自然数4或5,但是当x=5时,分式 x−5x 2−10x+25的分母等于0,故x 不能为5,所以x 只能是自然数4。
类型1 实数的运算
1.(2016·玉溪模拟)计算: (2 016-π)0-|1-2|+2cos45°. 解:原式=1-(2-1)+2×
22
=1-2+1+ 2
=2.
2.(2016·邵阳)计算:(-2)2+2cos60°-(10-π)0. 解:原式=4+2×1
2-1
=4+1-1
=4.
3.计算:(-1)2 017+38-2 0170-(-12)-2
.
解:原式=-1+2-1-4
=-4.
4.(2016·宜宾)计算:
(1
3)-2-(-1)2 016-25+(π-1)0.
解:原式=9-1-5+1
=4.
5.(2016·曲靖模拟改编)计算:
(-1
2)-3-tan45°-16+(π-3.14)0.
解:原式=-8-1-4+1
=-12.
6.(2016·云南模拟)计算:
(13)-1-2÷16+(3.14-π)0
×sin30°.
解:原式=3-2÷4+1×1
2
=3-1
2+1
2
=3.
7.(2016·广安)计算:
(1
3)-1-27+tan60°+|3-23|.
解:原式=3-33+3-3+2 3
=0.
8.(2016·云大附中模拟)计算:
-2sin30°+(-13)-1-3tan30°+(1-2)0+12. 解:原式=-2×12+(-3)-3×33
+1+2 3 =-1-3-3+1+2 3
=3-3.
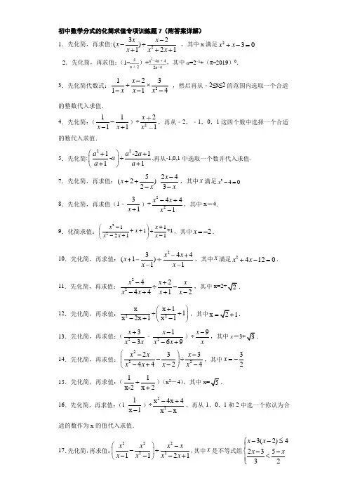
类型2 分式的化简求值
9.(2016·云南模拟)先化简,再求值:x -32x -4÷x 2
-9x -2
,其中x =-5. 解:原式=x -32(x -2)·x -2(x +3)(x -3)
=12(x +3). 将x =-5代入,得原式=-14
. 10.(2016·泸州改编)先化简,再求值:(a +1-3a -1)·2a -2a +2
,其中a =2. 解:原式=(a +1)(a -1)-3a -1·2(a -1)a +2
=a 2
-4a -1·2(a -1)a +2
=(a +2)(a -2)a -1·2(a -1)a +2 =2a -4.
当a =2时,原式=2×2-4=0.
11.(2016·红河模拟)化简求值:[x +2x (x -1)-1x -1]·x x -1
,其中x =2+1. 解:原式=[x +2x (x -1)-x x (x -1)]·x x -1
=
2x (x -1)·x x -1 =2
(x -1)
2. 将x =2+1代入,得
原式=2(2+1-1)2=2(2)2=22
=1. 12.(2015·昆明二模)先化简,再求值:(a a -b -1)÷b a 2-b
2,其中a =3+1,b =3-1. 解:原式=a -(a -b )a -b ·(a +b )(a -b )b
=b a -b ·(a +b )(a -b )b
=a +b.
当a =3+1,b =3-1时,
原式=3+1+3-1=2 3.
13.(2016·昆明盘龙区一模)先化简,再求值:x 2-1x 2-x ÷(2+x 2
+1x ),其中x =2sin45°-1.
解:原式=(x +1)(x -1)x (x -1)÷2x +x 2+1x
=(x +1)(x -1)x (x -1)·x (x +1)
2 =1x +1
. 当x =2sin45°-1=2×22-1=2-1时, 原式=12-1+1=22. 14.(2016·云南考试说明)已知x -3y =0,求2x +y x 2-2xy +y
2·(x -y)的值. 解:原式=
2x +y (x -y )
2·(x -y) =2x +y x -y . 由题有:x =3y , 所以原式=6y +y 3y -y =72
.
15.(2016·西宁)化简:2x x +1-2x +4x 2-1÷x +2x 2-2x +1
,然后在不等式x ≤2的非负整数解中选择一个适当的数代入求值. 解:原式=2x x +1-2(x +2)(x +1)(x -1)·(x -1)2
x +2
=
2x x +1-2x -2x +1 =
2x -2x +2x +1 =2x +1. ∵不等式x ≤2的非负整数解是0,1,2,
∴答案不唯一,如:把x =0代入2x +1
=2.(注意x =1时会使得原分式中分母为零,所以x 不能取1)
16.(2016·昆明盘龙区二模)先化简,再求值:
(a 2-b 2a 2-2ab +b 2+a b -a )÷b 2
a 2-ab
,其中a ,b 满足a +1+|b -3|=0. 解:原式=[(a +b )(a -b )(a -b )2-a a -b ]·a (a -b )b
2 =(a +b a -b -a a -b )·a (a -b )b
2 =b a -b ·a (a -b )b
2 =a b
. 又∵a +1+|b -3|=0,∴a =-1,b = 3.
∴原式=-13
=-33. 类型3 方程(组)的解法
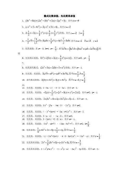
17.(2016·武汉)解方程:5x +2=3(x +2).
解:去括号,得5x +2=3x +6.
移项、合并同类项,得2x =4.
系数化为1,得x =2.
18.(2015·中山)解方程:x 2-3x +2=0.
解:(x -1)(x -2)=0.
∴x 1=1,x 2=2.
19.(2015·宁德)解方程:1-2x -3=1x -3
. 解:去分母,得x -3-2=1.
解得x =6.
检验,当x =6时,x -3≠0.
∴原方程的解为x =6.
20.(2015·黔西南)解方程:2x x -1+11-x
=3. 解:去分母,得2x -1=3(x -1).
去括号、移项、合并同类项,得-x =-2.
系数化为1,得x =2.
检验,当x =2时,x -1≠0.
∴x =2是原分式方程的解.
21.(2015·重庆)解二元一次方程组:⎩
⎪⎨⎪⎧x -2y =1,①x +3y =6.② 解:②-①,得5y =5,y =1.
将y =1代入①,得x -2=1,x =3.
∴原方程组的解为⎩
⎪⎨⎪⎧x =3,y =1. 22.(2015·荆州)解方程组:⎩
⎪⎨⎪⎧3x -2y =-1,①x +3y =7.② 解:②×3,得3x +9y =21.③
③-①,得11y =22,y =2.
把y =2代入②,得x +6=7,x =1.
∴方程组的解为⎩
⎪⎨⎪⎧x =1,y =2. 23.(2016·山西)解方程:2(x -3)2=x 2
-9.
解:原方程可化为2(x -3)2=(x +3)(x -3).
2(x -3)2-(x +3)(x -3)=0.
(x -3)[2(x -3)-(x +3)]=0.
(x -3)(x -9)=0.
∴x -3=0或x -9=0.
∴x 1=3,x 2=9.
类型4 不等式(组)的解法
24.(2016·丽水)解不等式:3x -5<2(2+3x).
解:去括号,得3x -5<4+6x.
移项、合并同类项,得-3x<9.
系数化为1,得x >-3.
25.(2016·淮安)解不等式组:⎩
⎪⎨⎪⎧2x +1<x +5,①4x>3x +2.② 解:解不等式①,得x<4.
解不等式②,得x>2.
∴不等式组的解集为2<x <4.
26.(2016·苏州)解不等式2x -1>3x -12
,并把它的解集在数轴上表示出来. 解:4x -2>3x -1.
x>1.
这个不等式的解集在数轴上表示如图:
27.(2016·广州)解不等式组:⎩
⎪⎨⎪⎧2x<5,①3(x +2)≥x +4,②并在数轴上表示解集. 解:解不等式①,得x<52
. 解不等式②,得x ≥-1.
解集在数轴上表示为:
28.(2016·南京)解不等式组:⎩
⎪⎨⎪⎧3x +1≤2(x +1),①-x<5x +12,②并写出它的整数解. 解:解不等式①,得x ≤1.
解不等式②,得x>-2.
所以不等式组的解集是-2<x ≤1.
该不等式组的整数解是-1,0,1.。