上交大矩阵试卷
- 格式:pdf
- 大小:322.43 KB
- 文档页数:21
上海交通大学2010-2011学年《矩阵理论》试卷本试卷共四道大题,总分100分,其中*A 表示矩阵A 的共轭转置.一、 单项选择题(每题3分,共15分)1. 设⎪⎪⎪⎭⎫ ⎝⎛=001001001A ,则=-199200A A ( )(A )E ; (B )0; (C )A ; (D )2A .2. 下列集合对所给运算构成实数域上线性空间的是( )(A ) 次数等于)1(≥m m 的实系数多项式的集合,对于多项式的通常加法和数与多项式的通常乘法;(B ) Hermite 矩阵的集合,对于矩阵的通常加法和实数与矩阵的通常乘法;(C ) 平面上全体向量的集合,对于通常的加法和如下定义的数乘运算0x x k =⋅,k 是实数,0x 是某一取定向量;(D ) 投影矩阵的集合,对于矩阵的通常加法和实数与矩阵的通常乘法.3. 线性变换为正交变换的必要而非充分条件的是( )(A )保持向量的长度不变; (B )将标准正交基变为标准正交基;(C )保持任意两个向量的夹角不变;(D )在任意标准正交基下的矩阵为正交矩阵.4. 设A 是幂等矩阵,则下列命题中不正确的是( )(A )A 与对角矩阵相似; (B )A 的特征值只可能是1或者0;(C )A A )1sin()sin(=; (D )幂级数10)(-∞=-=∑A E A k k .5. 设21,V V 是V 的两个线性子空间,则与命题“21V V +的任意元素的分解式唯一”不等价的命题是( )(A ){}021=⋂V V ; (B )2121dim dim )dim (V V V V +=+;(C )21V V +的零元素的分解式唯一; (D )V V V =⋃][21.二、填空题(每空3分,共15分)设二维线性空间V 的线性变换V V T :1与V V T :2在基21,αα下的矩阵分别为⎪⎪⎭⎫ ⎝⎛=⎪⎪⎭⎫ ⎝⎛=0201,1201B A . 1、21,T T 的乘积:21T T V V 在基21,αα下的矩阵为 . 2、=)(dim 1T R .3、)()(21T N T R ⋂的一个基为 .4、若常数k 使得)(B A k +为幂收敛矩阵,则k 应该满足的条件是 .5、⎪⎪⎭⎫⎝⎛B B A 0的Jordan 标准型为 .三、计算题(12分)向量空间22⨯R 中的内积通常定义为.))(,)((,),(22222121⨯⨯=====∑∑ij ij i j ij ij b B a A b a B A选取⎪⎪⎭⎫⎝⎛=⎪⎪⎭⎫⎝⎛=1110,001121A A ,构造子空间],[21A A W =.1、求⊥W 的一组基;2、利用已知的W 和⊥W 求22⨯R 的一个标准正交基.四、计算题(18分)已知⎪⎪⎪⎭⎫⎝⎛-=110130002A .1、求矩阵A 的Jordan 标准型J 和可逆矩阵P 使得A 相似于J ;2、计算矩阵A e ;3、求下列微分方程组的解⎪⎩⎪⎨⎧==,)0(,0x x Ax dt dx ⎪⎪⎪⎭⎫ ⎝⎛=1110x .五、计算题(10分)设n m C A ⨯∈的秩为r ,A 的奇异值分解为*UDV A =,nm O O O D ⨯⎪⎪⎭⎫ ⎝⎛Λ=,),,(21r s s s diag ,=Λ.求矩阵)(A A B =的奇异值分解和它的Moore-Penrose 广义逆.六、计算题(18分) 设多项式空间})({][3322104R a t a t a t a a t f t P i ∈+++==中的线性变换为3032322110)()()()()(t a a t a a t a a a a t Tf -+-+-+-=.1、取定一组基,求该线性变换在该基下的矩阵A ;2、求与A 相关的四个子空间)(),(),(T A R A R A N 和)(T A N ;3、求线性变换T 的值域的基与维数;4、求线性变换T 的核的基与维数.七、证明题(6分)设n n C A ⨯∈. 证明A 是正定矩阵当且仅当存在一个正定矩阵B ,使得2B A =.八、证明题(6分)设A 为n 阶矩阵,证明:A 非奇异的充分必要条件是存在常数项不等于0的多项式)(λg 使得0)(=A g .。
上海交通大学2003年硕士研究生入学考试试题高等代数 1. 设⎟⎟⎟⎠⎞⎜⎜⎜⎝⎛−=012112001A ,求100A (15分)2. 以22×P表示数域P 上的2阶矩阵的集合,假设1a ,2a ,3a ,4a 为两两互异的数而且他们的和不等于零。
试证明⎟⎟⎠⎞⎜⎜⎝⎛=4121111a a a A ,⎟⎟⎠⎞⎜⎜⎝⎛=4222221a a a A ,⎟⎟⎠⎞⎜⎜⎝⎛=4323331a a a A ,⎟⎟⎠⎞⎜⎜⎝⎛=4424441a a a A 是P 上线性空间22×P的一组基(15分)3. 证明:n 阶实对称矩阵A 的秩为r (n r ≤),当且仅当A 可以写成T CBC A =,其中B 为r n ×阶满秩矩阵,C 为r 阶可逆实对称矩阵。
(15分) 4. 假设)()()()()(25442033152210150x f x x f x x f x x xf x f ++++被1234++++x x x x 整除。
证明:)4,3,2,1,0)((=i x f i 被1−x 整除(15 分)5. 设A 为n 阶反对称矩阵,}....,{21n a a a diag B =,其中0>i a ,证明0>+B A (15分)6. n 阶方阵A 满足2A A =,当且仅当)()(A E r A r n −+=(15分) 7. 设A ,B 都是n 阶实方阵,并设λ为BA 的非零特征值。
以BAV λ表示BA关于λ的特征子空间。
证明:(1)λ也是BA 的特征值 (2)维数(BAV λ)=维数(ABV λ)(20分)8. 设A ,B 都是n 阶正定矩阵,证明AB 的特征值为实数(20分) 9. 记nn P V ×=,P 为数域。
假设V A ∈有特征值i λ(i =1,2,….n )但i λ−(i =1,2,….n )均不是A 的特征值。
试证明:V 的变换X A XA X T +→:ψ为同构(20分)。
nk rnn12习题 一1.( 1)因cosnx sin nx sin nx cosnx cosx sin x sin x =cosxcos(n sin(n 1)x 1)x sin( n cos(n 1)x 1)x,故由归纳法知cosnx sin nx A。
sin nx cosnx( 2)直接计算得A4E ,故设 n4 k r (r 0,1,2,3) ,则 AnA 4 k Ar( 1) A , 即只需算出 A 2, A 3即可。
0 1 0 1( 3 )记 J=,则,1 0n1 n 12 n 2na C n aC n a C nanC 1 a n 1C n 1aAn(aE J )nnC i a i Jn ii 0n n an 。
C 1a n 1 an2. 设 AP1a2P 1(a 1,0),则由A 2E 得a 1时,11110 12 12 1 02不可能。
1而由 a10时,2 1知1 所以所求矩阵为 PB P 1 ,其中 P 为任意满秩矩阵,而ii2221 0 1 0 1 0 B 1, B 2, B 3。
0 10 11注: A2E 无实解, AnE 的讨论雷同。
3. 设 A 为已给矩阵,由条件对任意n 阶方阵 X 有 AX=XA ,即把 X 看作 n 2个未知数时线性方程 AXXA=0 有 n 2个线性无关的解, 由线性方程组的理论知其系数矩阵为零矩阵,1*1a w通过直接检验即发现 A 为纯量矩阵。
a na n 1 a 1 04. 分别对( A B )和A 作行(列)初等变换即可。
C5. 先证 A 或 B 是初等到阵时有AB*B *A *,从而当 A 或 B 为可逆阵时有AB*B * A *。
考虑到初等变换 A 对 B 的 n1阶子行列式的影响及 A A 即可得前面提到的结果。
E r 0 下设 PAQ,(这里 P , Q 满秩),则由前讨论只需证下式成立即可:0 0**E r 0 *E r 0 B B,0 00 0( 1) r<n-1 时,因秩小于 n-1 的 n 阶方阵的 n-1 阶子式全为 0,结论显然;B n1*E r 0 0 0 **E r 0 0B n2( 2) r=n-1 时,0 0, B,但0 10 0E r 0b 11b 12b 21b 22b 1 nb 2nb 11b 12b 21b 22b 1n b 2n ,故0 B nn0 0b n1b n2b nn0 0E r 0 B n1 *B n 2**E r 0 BB。
上海交通大学1999年硕士研究生入学考试试题试卷名称:高等代数1.(10分)设P 为数域。
()()[]x P x g x f ∈,令()()()()()x g x x x f x X F 1122++++=;()()()()x g x x xf x G 1++=。
证明:若()x f 与()x g 互素,则()x F 与()x G 也必互素。
2.(10分)设J 为元素全为1的阶方阵。
(1) 求J 的特征多项式与最小多项式;(2) 设()x f 为复数域上多项式。
证明()J f 必相似于对角阵。
3.(10分)(1) 设n 阶实对称矩阵()ij x A =,其中1+=j i ij a a x 且0...21=+++n a a a ,求A 的n 个特征值。
(2) 设A 为复数域上n 阶方阵。
若A 的特征根全为零,证明:1=+E A 。
此处E 为n 阶单位阵。
4(10分)设()x f 是数域F 上的二次多项式,在F 内有互异的根21,x x ,设A 是F 上线性空间L 的一个线性变换且I x A 1≠,I x A 2≠(I 为单位变换)且满足()0=A f ,证明21,x x 为A 的特征值;且L 可以分解为A 的属于21,x x 的特征子空间的直和。
5(10分)用正交线性变换将下列二次型化为标准形,并给出所施行的正交变换:32312123222184422x x x x x x x x x ++---6(10分)对的不同取值,讨论下面方程组的可解性并求解:7(10分)假设A 为n m ⨯实矩阵,B 为1⨯n 实矩阵,TA 表示A 的转置矩阵。
证明: (1) AB=0的充要条件是0=AB A T; (2) 矩阵A A T与矩阵A 有相同的秩。
8(10分)设p A A A ,...,,21均为n 阶矩阵且0...21=p A A A 。
证明这p 个矩阵的秩之和小于等于()n p 1-,并举例说明等式可以达到。
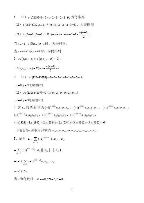
1. (1)()17263540123219τ=+++++=,为奇排列. (2)()9854673218763222131τ=+++++++=,为奇排列. (3)()()()()121215311212n n n n n n τ++-=+-+++= , 当42n k =-或43n k =-时,为奇排列; 当41n k =-或4n k =时,为偶排列. 2.()()21211n n n n a a a a a a C ττ-+= ,()()21112n n n n n a a a C s s τ--=-=-∴ . 3. (1)()127435689002111005τ+++++++= =,8,3i j ∴==时为偶排列;(2)()132564897010200205τ+++++++= =,6,3i j ∴==时为偶排列.4.含23a 的所有项为()()1324112332441a a a a τ-、()()1342112334421a a a a τ-、()()2314122331441a a a a τ-、()()2341122334411a a a a τ-、()()4312142331421a a a a τ-、()()4321142332411a a a a τ-,()()()()()()13241,13422,23142,23413,43125,43216ττττττ====== , 23112332441223344114233142,,a a a a a a a a a a a a a ∴所有包含并带负号的项为---.5.证明 ()()121212121n n ni i i i i i n i i i D a a a τ=-∑()()()()()121212121n nni i i i i ni i i i a a a τ=----∑()()()1212121211n n n ni i i i i ni i i i a a a τ=--∑()1nD =-,当n 为奇数时,,20,0D D D D =-==.6.(1)2512371459274612----- ()()212313134142512152215223714173402162592729570113146121642012r r r c c r r r r r r ---+→-----↔+-→--+-→---()3232343442415221522152220113011301139021600300030012000330003r r r r r r r r r r r ---+-→↔+→=----+→-. (2)1200340000130051--()()121346115283451D -==--=- .(3)222111x xy xz xyy yz xzyzz +++ ()()()()()()222222222222222222111111D x y z x y z x y z x z y x y z y z x =+++++-+-+-+2221x y z +++=.(4)xy x y yx yx x yxy+++()()()3333332D xy x y x y x y x y =+-+--=-+.(5)0000x y z xz y y z x z y x ()12341010********010x y z x y z x y z x yz x z yx y z z y z y c c c c c x y z y z x x y z z x z x z y x x y zy xy x +++++++→=++++++()()()()()2123134141101010x y zr r r x z yy z x z y y zr r r x y z x y z z x y x z z x y x zy x x yzr r r y x x yz+-→------+-→++=++---------+-→--- ()12123200z x yy z c c c x y z z x yx y z x z c c c x y z z---+→++-----+→--- ()()()101101y z x y z z x y x y z x z z-=++------ ()()()()()21232310101100y z r r r x y z z x y x y z x y r r r y x z-+-→++-----+-→-- ()()()()444222222222x y z z x y x y z y x z x y z x y x z y z =++------=++---. (6)1111111111111111x x y y +-+-()()()14124234311110011111001111100111111111x x yr r r x x yr r r y y y r r r y y++-→--+-→++-→--000000000001110110x yyx yy x y y x y x y xy yy y y--=--=---- ()2222200011111xyyx yxy xy xy xy x y xy x y x x -=+=+=-+=--.7.(1)122222222232222n()()12121122210002222122222222010012232001000203,4,,22200020002i i n r r r r r r i n nn n --+-→+-→=-=--()22!n =--.(2)1231234111321221n n n n n n n n n n ------设此行列式的值为D , 将第2,3,,n 列均加于第一列, 则第一列的所有元素均为()112312n n n ++++=+ ,将此公因式提出, 因此有 121125411431321)1(21-+=n nn n D,再令第n 行减去第1n -行, 第1n -行减去第2n -行, …, 第2行减去第1行, 可得()()11231111110111111111110111122111110111111111n n n n n n n n n n D n n nn -----++==----()123111111111111121111111111n n n n n c c c c c n -----+++++→---()()()1210000000100000001112,3,,12210000000100000n i i n n n n n c c c n n n n i n n n n -------+→++=--=------()()()()()()()()32112212211111122n n n n n n n n n n n n n ---+---++=---=-.(3)123103121230n n n ------11231231030262!120322,3,,1230000i innn nr r r n n n i nn-+→=--=---. (4)0000000000000000x y x y x x y yx将行列式按第一列展开得nn n n n y x y x y x y y x y x y x x D 11)1(0000000)1(0000000++-+=-+= . 8. (1)11001010001x y zx y z =()()()2222221234111100100110100010001001xy zx y z x y z x c x c y c z c c x y z y z---+-+-+-→=---=2220x y z ∴++=,0x y z ===.(2)2222134526032113212x x ---=--+--22132222131223452625463211123132121232x x c c x x ------↔---+--+----()()212223134342224141223122320900090010052005200510001r r r x x r r r r r r x x r r r x --+-→--+-→-+→-----+→- ()()225910x x =---=31x x ∴=±=±或.9. (1)()11111111222222222333333331a b x a x b c a b c a b x a x b c x a b c a b xa xbc a b c ++++=-++证明 第二列乘以()x -加到第一列得()()()()21111111122222222222333333331111x aa xbc a a x b c D x aa xbc x a a x b c a a x b c x aa xbc -++=-+=-++-+ ()()11122122223331a b c c x c c x a b c a b c +-→-, 得证.(2)12111000100010nn k k k n na a x a x a x a x-=---=-∑.证明 用数学归纳法证明. 当2n =时, 212212121k k k a D a x a a x a x-=-==+=∑, 命题成立.假设对于()1n -阶行列式命题成立, 即 1111n n k n k k D a x ----==∑,则n D 按最后一行展开, 有111000001000001000(1)0001001n n nn xx D a xD x x+----=-+--11111(1)(1)n n n n k n k k a x a x -+---==--+∑11n n k n k k a a x --==+∑1nn k k k a x -==∑,因此, 对于n 阶行列式命题成立.(3)cos 100012cos 100012cos 00cos 0002cos 1012cos n αααααα=.证明 用数学归纳法证明.当1n =时, 1cos D α=, 命题成立. 假设对于1n -阶行列式命题成立, 即 1cos(1)n D n α-=-, , 则n D 按最后一列展开, 有11cos 100012cos 100012cos 00(1)2cos 0002cos 101n n n n D D ααααα+--=-+22cos cos(1)n n D αα-=--[]12cos cos(2)cos(2)2n n n ααα=+--- cos n α=,因此, 对于n 阶行列式命题成立.(4)121211111111(1)111nn i ina a a a a a a =++=++∑证明 法一11212121323131414111111111000011100001110000011100000001n n n na a a a r r r a a a r r r D a r r r a a a a a -+-+-→-+-→=--→+--+提取公因子123211211111111110000101000100000100010100001n n n n na a a a a a a a a a ---+----- 12321121121111111101000000100000000000001000001nk kn n n n n na a a a a a c c c c a a a a =---++++→∑1211(1)nn i ia a a a ==+∑. 法二122112133223243431100001000111100011110001111000100001n n n n n n a a a a c c c a a a c c c D a c c c a a a a a ---+-→-+-→=--→+--+按最后一列展开(由下往上)121(1)()n n a a a a -+ 12233422000000000000000000000000000n n na a a a a a a a a --------122331100000000000000n n na a a a a a a a ----+---22334110000000000000n n na a a a a a a a -----+--1211232123123(1)()n n n n n n n n n a a a a a a a a a a a a a a a a a -----=+++++1211(1)nn i ia a a a ==+∑. (5)()()12311231123111123112311n n n n nn n n ij j i j i i n nn nx a a a a a x a a a a a x a a a x a x a a a a x a a a a a x ---==--⎛⎫=-+ ⎪ ⎪-⎝⎭∑∏ . 证明 法一12311231123112311231n n n n n n n n n n n x a a a a a x a a a a a x a a D a a a x a a a a a x -----=1231112221211333134141111110000000000n n n n n nx a a a a a x x a r r r a x x a r r r r r r a x x a a x x a ------→---→-→----()()()3112112233111122110001010010010101n n n n n nn n a a a x a x a x a x a x a x a x a x a x a ---------------提取公因子()()()12122111211122101000000001001ni n n i i i n n n nn n n a a a a x a x a x a x a c c c c x a x a x a -=--+----+++→---∑()()111nn ij j i j i i a x a x a ==⎛⎫=-+ ⎪ ⎪-⎝⎭∑∏. 法二12311231123112311231n n n n n n n n n n nx a a a a a x a a a a a x a a D a a a x a a a a a x -----=121232343c c c c c c c c c -→-→-→ 1122223333111231000000000000n n n n n nx a a x x a a x x a x a a x a a a a x ----------按最后一行展开(由右往左)11222211()()()()n n n n n x x a x a x a x a -------- 1122223333122000000000000000000n n n n nx a a x x a a x x a a x a a x -----------11222233332111100000000000000n n n n n n n x a a x x a a x x a a a x x a a x ----------+----()22223313344111110000000100000n n n n n n na x x a a x x a a x a a x x a a x +---------+----1122221111222211()()()()()()()()()n n n n n n n n n n n x a x a x a x a x a a x a x a x a x a --------=-----+----12222112113311()()()()()()()()n n n n n n n n n n n n a x a x a x a x a a x a x a x a x a --------+----+----+ 111223322()()()()()n n n n n n a x a x a x a x a x a ----+-----()()111nn ij j i j i i a x a x a ==⎛⎫=-+ ⎪ ⎪-⎝⎭∑∏. 10.解:由范德蒙德行列式性质得21211112111111()1n n n n n n x x x a a a P x a a a ------=12111111211111n n n n n n x a a a x a a a ------=()()()1231121222212311111n n n n n n n a a a a x a x a x a a a a a ----------=,121,,,n a a a - 互不相同,∴由范德蒙德行列式性质得12312221123111110n n n n n n a a a a a a a a ------≠,故()P x 是x 的1n -次多项式,方程()0P x =的所有根为121,,,n x a x a x a -=== . 11. (1)方程组的系数行列式504211217041201111D -==-≠, 所以方程组有唯一解.又130421121711200111D -==-,253421121741201011D ==,350321111741101101D -==,450431121741211110D -==-, 故可得解为111D x D ==,221D x D ==-,331D x D ==-,441Dx D==. (2)方程组的系数行列式2151130627002121476D ---==≠--,所以方程组有唯一解.又1815193068152120476D ---==---,22851190610805121076D --==----,3218113962702521406D --==--,4215813092702151470D --==---,故可得解为113D x D ==,224D x D ==-,331D x D ==-,441Dx D==. (3)方程组的系数行列式3200013200630013200013200013D ==≠,所以方程组有唯一解.又1120000320031013200013200013D ==,2310001020015003200013200013D ==-,332100130007010200003200013D ==,432010132003013000010200003D ==-,532001132001013200013000010D ==,故可得解为113163D x D ==,22521D x D ==-,3319D x D ==,44121D x D ==-,55163D x D ==. 12.设平面方程为ax by cz d ++=,则由题意知233a b c da b c d a b c d ++=⎧⎪+-=⎨⎪--=⎩, 方程组的系数行列式111231160311D =-=-≠--,所以方程组有唯一解.又11131811d D dd d=-=---,21121231dD d d d=-=--,31123631dD d d d==--,故可得解为12D d a D ==,28D db D ==,338D dc D == ,代入平面方程得438x y z ++=. 13. 证明充分性:若0a b c ++=,则把c a b =--带入方程组000ax by c bx cy a cx ay b ++=⎧⎪++=⎨⎪++=⎩(1) 可得1x y ==即三条直线相交于一点()1,1;必要性:若三条不同直线(1)相交于一点,则三个平面000ax by cz bx cy az cx ay bz ++=⎧⎪++=⎨⎪++=⎩(2) 相交于非零点,而由克莱姆法则,方程组(2)有非零解的必要条件是其行列式为零,又()()()()22212a bcb c a a b c a b b c c a c a b ⎡⎤=-++-+-+-⎣⎦, 所以,a b c ==或0a b c ++=,由题意a b c ==不满足, 故0a b c ++=.14.令()32f x ax bx cx d =+++,由()10f -=,()14f =,()23f =,()316f =知048423279316a b c d a b c d a b c d a b c d -+-+=⎧⎪+++=⎪⎨+++=⎪⎪+++=⎩ 方程组的系数行列式11111111480842127931D --==≠, 所以方程组有唯一解.又10111411196342116931D -==,2101114112408321271631D --==-,31101114108431279161D -==,4111011143368423279316D --==,故可得解为12D a D ==,25D b D ==-,30D c D ==,47Dd D==, 即()32257f x x x =-+.。
上海交通大学研究生入学试题(高等代数)JDy97-1方程组⎩⎪⎨⎪⎧3x 1+4x 2-5x 3+7x 4=02x 1-3x 2+3x 3-2x 4=04x 1+11x 2-13x 3+16x 4=07x 1-2x 2+ x 3+3x 4=0是否有非零解? 若有,求其通解,并写出解空间维数。
(14分)JDy97-2用正交线性变换把二次型 x 12+2x 22+3x 32 -4x 1x 2 - 4x 2x 3化为标准形,并写出该变换。
(14分)JDy97-3证明:矩阵A 是正定或半正定实对称的充要条件是:存在实矩阵S ,使得A=S T S ,其中S T 表示S 的转置矩阵。
(14分)JDy97-4设A, B 为n 阶方阵,AB=BA ,且A k =0,对某一个k ≥1整数,证明 |A+B|=|B|。
(14分) JDy97-5设R n [x]为次数<n 的多项式线性空间,δ 为求导变换(即δf(x)=f ’(x)),求证 ι-δ 为非退化线性变换(其中 ι 为恒等变换),并求出 δ 的所有不变子空间。
(14分)JDy97-6已知线性无关向量组e 1,e 2,…,e s 和两个非零向量的正交组f 1,f 2,…,f s 与g 1,g 2,…,g s 使得f k 和g k (k=1,2,…,s)可由e 1,e 2,…,e k 线性表示,求证f k =a k g k (k=1,2,…,s),其中a k ≠0。
(14分) JDy97-7(1) 设J(x)为方阵X 的若当标准形,证明J(A+aE)=J(A)+aE ,其中A 是任一方矩阵,a 是一个数。
(8分)(2) 求幂等方阵A (即满足条件A 2=A )的若当标准形。
(8分)JDy98-1叙述下列概念:1)数域;2)对称多项式;3)向量的线性相关;4)矩阵的秩;5)欧氏空间。
(每小题4分,共20分)JDy98-2求线性方程组的解:⎩⎪⎨⎪⎧(α+β)x 1+αβx 2 =0x 1 +(α+β)x 2+αβx 3 =0x 2 +(α+β)x 3+αβx 4 =0 … …. … x n-1+(α+β)x n =0JDy98-3求出一切仅与自己相似的n 阶复方阵。
上海交通大学研究生入学试题(高等代数)JDy97-1方程组⎩⎪⎨⎪⎧3x 1+4x 2-5x 3+7x 4=02x 1-3x 2+3x 3-2x 4=04x 1+11x 2-13x 3+16x 4=07x 1-2x 2+ x 3+3x 4=0是否有非零解? 若有,求其通解,并写出解空间维数。
(14分)JDy97-2用正交线性变换把二次型 x 12+2x 22+3x 32 -4x 1x 2 - 4x 2x 3化为标准形,并写出该变换。
(14分)JDy97-3证明:矩阵A 是正定或半正定实对称的充要条件是:存在实矩阵S ,使得A=S T S ,其中S T 表示S 的转置矩阵。
(14分)JDy97-4设A, B 为n 阶方阵,AB=BA ,且A k =0,对某一个k ≥1整数,证明 |A+B|=|B|。
(14分) JDy97-5设R n [x]为次数<n 的多项式线性空间,δ 为求导变换(即δf(x)=f ’(x)),求证 ι-δ 为非退化线性变换(其中 ι 为恒等变换),并求出 δ 的所有不变子空间。
(14分)JDy97-6已知线性无关向量组e 1,e 2,…,e s 和两个非零向量的正交组f 1,f 2,…,f s 与g 1,g 2,…,g s 使得f k 和g k (k=1,2,…,s)可由e 1,e 2,…,e k 线性表示,求证f k =a k g k (k=1,2,…,s),其中a k ≠0。
(14分) JDy97-7(1) 设J(x)为方阵X 的若当标准形,证明J(A+aE)=J(A)+aE ,其中A 是任一方矩阵,a 是一个数。
(8分)(2) 求幂等方阵A (即满足条件A 2=A )的若当标准形。
(8分)JDy98-1叙述下列概念:1)数域;2)对称多项式;3)向量的线性相关;4)矩阵的秩;5)欧氏空间。
(每小题4分,共20分)JDy98-2求线性方程组的解:⎩⎪⎨⎪⎧(α+β)x 1+αβx 2 =0x 1 +(α+β)x 2+αβx 3 =0x 2 +(α+β)x 3+αβx 4 =0 … …. … x n-1+(α+β)x n =0JDy98-3求出一切仅与自己相似的n 阶复方阵。
上海版教材矩阵与行列式习题(有答案)矩阵、行列式和算法(20221224)姓名成绩一、填空题co1.行列式3inco6in36的值是.2.行列式ab(a,b,c,d{1,1,2})的所有可能值中,最大的是.cd2某03.将方程组3yz2写成系数矩阵形式为.5某y34.若由命题A:“2某>0”能推出命题B:“某a”,则a的取值范围是.31-某2开始a1某b1yc15.若方程组的解为某1,y2,则方程组a某byc2222b1某5a1y3c10的解为某,y.2b2某5a2y3c2016.方程1输入某1,某2,某3,某4i1,某024某某20的解集为.139某某某iii1i4是否某某47.把某2y2某3y32某1y1某3y34某1y1某2y2表示成一个三阶行列式为.8.若ABC的三个顶点坐标为A(1,2),B(2,3),C(4,5),其面积为.2某9.在函数f某某1某21某中某3的系数是.某输出某1结束图110.若执行如图1所示的框图,输入某11,某22,某34,某48,则输出的数等于.11.矩阵的一种运算ab某a某byab该运算的几何意义为平面上的点在矩阵的作用下(某,y),cdyc某dycd1a的作用下变换成曲线某y10,则ab的b1变换成点(a某by,c某dy),若曲线某y10在矩阵值为.12.在集合1,2,3,4,5中任取一个偶数a和奇数b构成以原点为起点的向量a,b.从所有得到的以原点为起点的向量中任取两个向量为邻边作平行四边形,记所有作成的平行四边形的个数为n,其中面积不超过...4的平行四边形的个数为m,则mn二.选择题13.系数行列式D0是三元一次方程组无解的()A.充分非必要条件B.必要非充分条件C.充分必要条件D.既非充分也非必要条件14.下列选项中错误的是().A.abcdcdababdbB.cdcaa3cb3dabC.cdcdD.开始ababcdcdi0S015.若a,b,c表示ABC的三边长,aa22且满足bbcc2abcabc0,abcSS2i1ii2否则ABC是().A.等腰三角形B.直角三角形C.等腰直角三角形D.等边三角形16.右边(图2)的程序框图输出结果S()A.20B.35C.40D.45三、解答题:i8是输出S结束图21|某|51m2某217.已知P:矩阵|某|1的某个列向量的模不小于,行列式Q:012余子式的值不小于2.若P是Q成立的充分条件,求实数m的取值范围.....18.已知等比数列{an}的首项a11,公比为q,(1)求二阶行列式1403中元素1的代数21a1a2a3a4的值;(2)试就q的不同取值情况,讨论二元一次方程组a1某a3y3何时无解,何时有无穷多解?a2某a4y2119.已知函数f(某)0in某3co某in某0in某2m0的定义域为0,,最大值为4.试求函数g(某)min某2co某2(某R)的最小正周期和最值.20.将等差数列an2n1(nN)中n个项依次排列成下列n行n列的方阵,在方阵中任取一个元素,记为某1,某2划去某1所在的行与列,将剩下元素按原来得位置关系组成(n-1)行(n-1)列方阵,任取其中一元素某2,划去某2所在的行与列,将最后剩下元素记为某n,记Sn某1某2某n,求limnSn的值。
上海交通大学《矩阵分析》试卷(A)一、单项选择题(每题3分,共15分)AAABC1. 设F 是数域,(,)m nHom F F σ∈,则A.dim(Im )dim(ker )m σσ+=B.dim(Im )dim(ker )n σσ+=C.dim(Im )dim(ker )m σσ⊥⊥+=D.dim(Im )dim(ker )n σσ⊥+=2. 设M 是n 阶实数矩阵,若M 的n 个盖尔圆彼此分离,则M A. 可以对角化 B. 不能对角化 C. 幂收敛 D. 幂发散3. 设2222221212134400033t t t tt t Attt tte e e te e e ee e e e ⎛⎫-+-+ ⎪= ⎪ ⎪-+⎝⎭,则A =A.214020031⎛⎫⎪ ⎪ ⎪⎝⎭B. 114010061⎛⎫ ⎪⎪ ⎪⎝⎭C. 224020031⎛⎫ ⎪ ⎪ ⎪⎝⎭D.204020061⎛⎫⎪ ⎪ ⎪⎝⎭4. 设1()(1)kkk A f A k ∞==-∑收敛,则A 可以取为 A. 0091⎛⎫⎪--⎝⎭ B.0091⎛⎫ ⎪-⎝⎭ C. 1011⎛⎫ ⎪-⎝⎭ D. 1021⎛⎫⎪⎝⎭5. 设3阶矩阵A 满足242(4)(3)A E A E O --=, 且其最小多项式m (x )满足条件2(1)(2)(3)1,m m m a a =+为某实数,则A 可以相似于A. 200130002M ⎛⎫ ⎪= ⎪ ⎪-⎝⎭B. 20012092M ⎛⎫⎪= ⎪ ⎪⎝⎭C. 2001202M ⎛⎫-⎪=- ⎪ ⎪-⎝⎭D. 200030013M -⎛⎫ ⎪= ⎪ ⎪⎝⎭二、填空题(每题3分,共15分)6. 设5阶复数矩阵A 的最小多项式为22()(1)(2)f λλλλ=-+,则*dim ()N A =[ 1 ];dim ()R A ⊥= [ 1 ].(其中*A 表示共轭转置)7. 设220A A -=,则cos2A = [ E +2(cos1-1)A ]。
上海交通大学《矩阵论》 B 卷姓名: 班级: 学号: 一、 单项选择题(每题3分,共15分)(答案AAAAB )1. 设1()kk A f A k ∞==∑收敛,则A 可以取为A. 0091⎡⎤⎢⎥--⎣⎦ B. 0091⎡⎤⎢⎥-⎣⎦C. 1011⎡⎤⎢⎥-⎣⎦ D. 100.11⎡⎤⎢⎥⎣⎦注:A 的特征值为0,-1,而1kk x k∞=∑的收敛区间为[1,1)-2. 设M 是n 阶实数矩阵,若M 的n 个盖尔圆彼此分离,则M A. 可以对角化 B. 不能对角化 C. 幂收敛 D. 幂发散 注:由定理M 有n 个不同特征值,故可以对角化3. 设211112121M --⎡⎤⎢⎥=--⎢⎥⎢⎥--⎣⎦的,则M 不存在 A. QR 分解 B. 满秩分解 C. 奇异值分解 D. 谱分解 注:M 的秩为2故无QR 分解 4. 设,则A = A.214020031-⎛⎫ ⎪ ⎪ ⎪⎝⎭B.114010061-⎛⎫ ⎪ ⎪ ⎪⎝⎭C.224020031-⎛⎫ ⎪ ⎪ ⎪⎝⎭D.204020061-⎛⎫⎪ ⎪ ⎪⎝⎭注:'()At Ate Ae =,故()'A At t A Ae Aee ====5. 设3阶矩阵A 满足多项式222(4)(3)A E A E O --=, 且其最小多项式m (x )满足条件(1)(3)1m m ==,则A 可以相似于A. 200130002M ⎡⎤⎢⎥=⎢⎥⎢⎥-⎣⎦B. 20002002M ⎡⎤⎢⎥=⎢⎥⎢⎥⎣⎦C. 20012002M ⎡⎤-⎢⎥=-⎢⎥⎢⎥-⎣⎦ D. 200030013M -⎡⎤⎢⎥=⎢⎥⎢⎥⎣⎦注:B 中矩阵的最小多项式为()22x - 二、填空题(每题3分,共15分) 1. 设220A A -=,则cos 2A = [ E+()2cos11A - ]。
2.已知n nA C ⨯∈,并且()1A ρ<,则矩阵幂级数kk kA ∞=∑=[()2AE A - ]。