初二实数计算练习题
- 格式:docx
- 大小:115.18 KB
- 文档页数:7
八年级数学实数计算专项训练练习1 平方根与算术平方根(1)1. 求下列各数的平方根:(1)100; (2)0.0081; (3)499; (4)169.2. 求下列各数的平方根与算术平方根:(1)(-6)2; (2) 0; (3)-3; (4)163. 求下列各式的值: (1)225; (2)4936-; (3)121144±.4. 求下列各式中的x :(1)02592=-x ; (2)36)12(42=-x ;(2)81162=x ; (4)025)2(2=--x .5. 计算:(1)169144+; (2)1691971•(3)04.025÷练习2 平方根与算术平方根(2)1. 填空:(1)=121 ; (2)=-256 ; (3)=43 ; (4)=-412 . 2.求下列各数的平方根与算术平方根: (1)196; (2)(-3)2; (3)49151; (4)0.5625.3.求下列各数的算术平方根,并用符号表示出来:(1)7.12; (2)(-3.5)2; (3)3.25; (4)412.4. 求下列各式的值: (1)0004.0-; (2)256169±; (3)818±; (4)2)8(-.5. 求下列各式中的x :(1)025692=-x ; (2)25)12(42=-x ;(3)822=x ; (4)126942-=x练习3 立方根1. 求下列各数的立方根:(1)-27; (2)-0.125; (3)27102; (4)729;2. 求下列各式的值:(1)3512-; (2)38729; (3)3008.0-;(4)31292⨯⨯; (5)31000-; (6)364--.3. 计算:(1)33512729+-; (2)333001.01251241027.0-+--.4. 求下列各式中的x : (1) 08273=-x ; (2)54)32(413=+x ;(3)81)1(33=-x ; (4)216)2(3-=+-x .练习4 平方根与立方根1. 求下列各数的平方根: (1)169; (2)9100; (3)2)5(-; (4)412.2. 求下列各数的立方根: (1)125; (2)2764; (3)81-; (4)2)8(-.3. 求下列各式中的x :(1)81162=x ; (2)11253=x ;(2)81631)14(2=-+x ; (4)64)3(273-=-x .练习5 实数的混合运算(Ⅰ)1. 计算:(1)9125833-+--; (2)222)3(2)32()6(----+-;(3)0332019)279(8)1(+++-; (4)3220183)21()1(---+--;(5)23)6(216-+-; (6)31081412+-+-π;(7)130)31(27)14.3()2(--++-+--π; (8)230)3(27)2(12149--+--+π.练习6 实数混合运算(Ⅱ)1. 计算:(1)81)1()21(01--+-; (2)3322782+---;(3)2)71(27)1(130-+-⨯--π; (4)28)5()2()41(3021÷--⨯-+--.2.求下列各式中的x :(1)2764)9(3-=-x ; (2)0121)3(312=-+x ;(3)0216)1(83=--x ; (4)048)43(312=--x .练习7 实数混合运算(Ⅲ)1. 计算:(1)03)2019(4)8(π+++-; (2)20193)1(829-+-+-+; (3)3008.01003631-⨯; (4))281(12151322-+--;(5)13)31(98-+--; (6)2)21(40)3(2-+----π;(7)02)33()1(93-+--+-; (8)148)3(432-----+;(9)230)1.0(27213-+-⎪⎭⎫ ⎝⎛-+-π; (10)3221691)21(--+---.练习8 实数的混合运算(Ⅳ)1. 求下列各式中的x :(1)822=x ; (2)81253=x ;(3)12)1(312=-x ; (4)064)1(273=++x .2.计算:(1))41(28)2009(30-+-+-; (2)0312)8(24)3(-⨯-+--;(3)032)2()2(641-⨯--+-; (4)9)21(3)4(2)4()3(27823333-⨯-+-⨯---.练习9 二次根式(Ⅰ)1.求下列各式的值: (1)32; (2)250; (3)3248; (4)203. 2.计算: (1)169144964⨯; (2)40219031⨯;(3)271032121÷-; (4)227818⨯÷; (5)1.1337.2⨯; (6)5232232⨯÷;(7))2223(18⨯-÷; (8)213827÷⨯.3.已知0276433=-++b a ,求b b a )(-的立方根。
初二实数练习题初二实数练习题在初二的数学学习中,实数是一个重要的概念。
实数包括有理数和无理数,它们构成了数轴上的所有点。
为了更好地理解实数的性质和运算规律,我们需要进行一些练习题。
1. 计算题(1) 计算:√2 + √3 = ?(2) 计算:(5 + √2) × (3 - √3) = ?(3) 计算:(2√5 + 3√2) × (√5 - √2) = ?解答:(1) √2 + √3 ≈ 1.41 + 1.73 ≈ 3.14(2) (5 + √2) × (3 - √3) ≈ (5 + 1.41) × (3 - 1.73) ≈ 6.41 × 1.27 ≈ 8.14(3) (2√5 + 3√2) × (√5 - √2) ≈ (2 × 2.24 + 3 × 1.41) × (2.24 - 1.41) ≈ 8.98 × 0.83 ≈ 7.462. 比较大小(1) 比较√5和√6的大小。
(2) 比较-2和-√3的大小。
(3) 比较0.5和√2的大小。
解答:(1) √5 ≈ 2.24,√6 ≈ 2.45,√6 > √5。
(2) -2 < -√3。
(3) 0.5 < √2。
3. 判断真假(1) 2是有理数。
(2) π是无理数。
(3) 0是整数。
解答:(1) 真,2是有理数。
(2) 真,π是无理数。
(3) 真,0是整数。
4. 解方程(1) 解方程:2x + 3 = 7。
(2) 解方程:x² - 5x + 6 = 0。
(3) 解方程:√x + 2 = 5。
解答:(1) 2x + 3 = 72x = 7 - 32x = 4x = 2(2) x² - 5x + 6 = 0(x - 2)(x - 3) = 0x = 2 或 x = 3(3) √x + 2 = 5√x = 5 - 2√x = 3x = 9通过这些练习题,我们可以巩固实数的基本概念和运算规律。
初二实数章节练习题及答案实数是数学中一个重要的概念,它包括有理数和无理数两部分。
在初二的实数章节中,我们需要掌握有理数和无理数的性质、加减乘除法则以及实数的比较等内容。
为了帮助同学们更好地复习和巩固这一章节的知识,我整理了一些实数练习题,并附上了详细的答案和解析。
练习题一:有理数的四则运算1. 计算:(-2/3) + (5/6) - (3/4)答案:首先要找到一个公共分母,分母可以取6和4的最小公倍数12。
将分数进行通分得到:(-8/12) + (10/12) - (9/12) = -7/12解析:要进行有理数的加减运算,首先需要找到一个公共分母,然后进行通分,最后根据相同的分母进行运算。
2. 计算:(7/8) × (-4/9)答案:(-28/72) = -7/18解析:有理数的乘法是将分数的分子相乘得到新的分子,分母相乘得到新的分母,然后再进行约分。
3. 计算:(-15/4) ÷ (3/5)答案:(-75/12) = -25/4解析:有理数的除法可以转化为乘法,即将除法转换为乘法的倒数,然后进行乘法运算。
练习题二:实数的比较1. 判断下列各组数的大小关系:0.5, -2.7, -2, -2.05答案:从小到大的顺序是:-2.7, -2.05, -2, 0.5解析:实数的大小比较可以通过数轴上的位置来判断,数越靠右边越大,数越靠左边越小。
2. 将下列各数填入括号内使不等关系成立:(-3) < ( ) < (-2)答案:(-3) < (-2.5) < (-2)解析:在两个给定的数之间插入一个数时,可以通过取中间值或者使用小数来使不等关系成立。
练习题三:无理数的性质1. 判断下列说法是否正确,并给出理由:(1) 根号2是一个无理数。
(2) π是一个无理数。
答案:(1) 正确,根号2是一个无理数。
根号2不能表示为两个整数的比值,因此它是无理数。
(2) 正确,π是一个无理数。
初二数学实数练习题初二数学实数练习题从狭义上讲,练习题是以巩固学习效果为目的要求解答的问题;从广义上讲,练习题是指以反复学习、实践,以求熟练为目的的问题,包括生活中遇到的麻烦、难题等,接下来就由店铺带来初二数学实数练习题,希望对你有所帮助!一、选择题:(每小题3分,共30分)1.下列计算中正确的是( ).A.a2+b3=2a5B.a4÷a=a4C.a2a4=a8D.(-a2)3=-a62.计算的结果是( )A. B. C. D.3.下面是某同学在一次测验中的计算摘录,其中正确的个数有( ).①3x3(-2x2)=-6x5;②4a3b÷(-2a2b)=-2a;③(a3)2=a5;④(-a)3÷(-a)=-a2.A.1个B.2个C.3个D.4个4.计算的结果是()A.B.C.D.5.下列各式是完全平方式的是( ).A.x2-x+B.1+x2C.x+xy+1D.x2+2x-16.下列各式中能用平方差公式是( )A.(x+y)(y+x)B.(x+y)(y-x)C.(x+y)(-y-x)D.(-x+y)(y-x)7.如(x+m)与(x+3)的乘积中不含x的一次项,则m的值为( ).A.-3B.3C.0D.18.若3x=15,3y=5,则3x-y等于( ).A.5B.3C.15D.109.若(x-3)(x+4)=x2+px+q,那么p、q的值是()A.p=1,q=-12B.p=-1,q=12C.p=7,q=12D.p=7,q=-1210.下列各式从左到右的变形,正确的是().A.-x-y=-(x-y)B.-a+b=-(a+b)C.D.第Ⅱ卷(非选择题共70分)二、填空题:(每小题3分,共24分)11.计算(-3x2y)()=__________.12.计算:=__________.13.计算: .14.若代数式2a2+3a+1的值是6,则代数式6a2+9a+5的值为.15.当x__________时,(x-4)0=1.16.若多项式x2+ax+b分解因式的.结果为(x+1)(x-2),则a+b的值为__________.17.若|a-2|+b2-2b+1=0,则a=__________,b=__________.18.已知a+=3,则a2+的值是__________.三、解答题:(共46分)19.计算:(每小题5分,共10分)(1)(ab2)2(-a3b)3÷(-5ab);(2)20.分解因式:(每小题5分,共20分)(1)m2-6m+9(2)(x+y)2+2(x+y)+1.(3)3x-12x3;(3)9a2(x-y)+4b2(y-x);21.先化简,再求值.(6分)2(x-3)(x+2)-(3+a)(3-a),其中,a=-2,x=1.22.若,求的值.(4分)23.(本题满分6分)已知:a,b,c为△ABC的三边长,且2a2+2b2+2c2=2ab+2ac+2bc,试判断△ABC的形状,并证明你的结论.【初二数学实数练习题】。
初二实数的运算专题练习题实数是我们日常数学运算中常见的概念,初二学生在学习实数运算时,需要掌握一些基础知识和技巧。
为了帮助初二学生更好地掌握实数的运算,我为大家准备了一些专题练习题。
请根据以下题目进行练习,并仔细思考每一道题的解题步骤和方法。
题目一:
已知实数a = 2,b = -4,计算以下表达式的值:
1) a + b
2) 3a - 2b
3) ab
4) a^2 - b^2
题目二:
已知实数a = -5,b = 3,c = 2,计算以下表达式的值:
1) a + b + c
2) 2ab - c
3) (a + b) * (a - c)
题目三:
已知实数a = 1/3,b = -1/4,计算以下表达式的值:
1) a - b
2) ab
3) a^2 - b^2
题目四:
已知实数a = -2/5,b = 3/7,c = 1/2,计算以下表达式的值:
1) a - b + c
2) ab - c
3) (a + b) * (a - c)
题目五:
已知实数a = √2,b = √3,计算以下表达式的值:
1) a + b
2) ab
3) a^2 - b^2
题目六:
已知实数a = √5,b = √8,计算以下表达式的值:
1) a - b
2) ab
3) a^2 - b^2
以上就是初二实数的运算专题练习题,希望通过这些练习题的训练,同学们能够熟练掌握实数的运算知识和技巧。
如果大家有任何问题或
疑惑,欢迎随时向老师请教。
祝愿大家在实数运算方面取得优异的成绩!。
初二数学实数及计算练习题一、填空题1. 已知a=−1/3, a=2/5, 则a+a的值是_________。
2. a=−2/7, a=4/7, a=−1/7, 则a+a+a的值是_________。
3. 若两个实数的和为0,则这两个实数互为_________。
4. 若三个实数a,a,a的和为0,则它们满足的关系式为_________。
5. 如果实数a,a,a满足a+a+a=0,那么a,a,a的和是_________。
二、选择题1. 下列选项中,不是有理数的数是:A. -1B. 0C. 5%D. √22. a和−a之间的关系是:A. a>−aB. a=−aC. a<−aD. 无法确定3. -√49与7之间的关系是:A. -√49<7B. -√49=7C. -√49>7D. 无法确定4. 设a为正数,则-a与a之间的关系是:A. -a>aB. -a=aC. -a<aD. 无法确定三、计算题1. 计算: (-2/3) + 3/52. 计算: -5.6 +3.8 - 1.23. 化简: -5(4/7) - (-1)(2/3)4. 若a是一个有理数,已知a=−2/3a,如果a=9/4,则a的值是多少?5. 若a为正有理数,已知a=−3/5a,如果a=6/5,则a的值是多少?四、应用题Tom和Jerry比赛跳远。
已知Tom跳远的成绩是2.3米,Jerry的成绩是-1/5米。
请回答以下问题:1. Tom跳得更远还是Jerry跳得更远?2. 两人跳远成绩的和是多少?3. 如果两人再跳一次,如果Tom跳得更远,则他们两人的跳远成绩之和是多少?4. 如果两人再跳一次,如果Jerry跳得更远,则他们两人的跳远成绩之和是多少?五、解决问题1. 请用实数解方程:2a + 3 = -5a - 72. 请用实数解方程:-1/3(a + 5) + 2a = 43. 将一个有理数a扩大8倍后再减去1,得到的结果是5,请问a是多少?六、拓展思考1. 设a为一个实数,根据不等式-2<a≤5,若a=2a+3,求满足-2<a≤k的实数k的范围。
八年级《实数》练习题(有解答)一、选择题(共23小题) 1.31-的值是( )A .1B .-1C .3D .-3解:31-表示是-1的立方根,因为3(1)-=-1=-1. 【答案】B2. 9的平方根是( )A .81B .±3C .3D .﹣3解:9的平方根是:±=±3.【答案】B3. 下列实数中,无理数是( )A .0B .-2CD .17解:这里只有3是无限不循环小数,其他都是有理数,故选C . 【答案】C4. 实数a ,b ,c ,d 在数轴上对应的点的位置如图所示,这四个数中最大的是( )A .aB .bC .cD .d 解:根据数轴上右边的点表示的数总比左边表示的数大,可知最大的数是d. 【答案】D5.下列命题是真命题的是( )A .如果一个数的相反数等于这个数的本身,那么这个数一定是0B .如果一个数的倒数等于这个数本身,那么这个数一定是1C .如果一个数的平方等于这个数的本身,那么这个数一定是0D .如果一个数的算术平方根等于这个数的本身,那么这个数一定是0解:易知A 选项正确,因为倒数等于其本身的数是±1,平方数等于其本身的数有0和1,算术平方根等于其本身的数有0和1. 【答案】A6.若实数m ,n 满足等式,且m ,n 恰好是等腰△ABC 的两条边的边长,则△ABC 的周长是( ) A .12B .10C .8D .6解:根据得m=2,n=4,再根据等腰三角形三边关系定理得:三角形三边长分别为4,4,2. 【答案】B7与37最接近的整数是( )A .5B .6C .7D .8 6. 【答案】B8.一个正数的两个平方根分别是2a ﹣1与﹣a +2,则a 的值为( ) A .﹣1B .1C .2D .﹣2解:由题意可知:2a ﹣1﹣a +2=0, 解得:a =﹣1 【答案】A9.下列说法正确的是( )A .﹣5是25的平方根B .25的平方根是﹣5C .﹣5是(﹣5)2的算术平方根D .±5是(﹣5)2的算术平方根 解:A 、﹣5是25的平方根,说法正确; B 、25的平方根是﹣5,说法错误;C 、﹣5是(﹣5)2的算术平方根,说法错误;D 、±5是(﹣5)2的算术平方根,说法错误; 【答案】A 10.在实数0,﹣,,|﹣2|中,最小的是( ) A .B .﹣C .0D .|﹣2|解:|﹣2|=2, ∵四个数中只有﹣,﹣为负数,042=-+-n m 042=-+-n m∴应从﹣,﹣中选;∵|﹣|>|﹣|,∴﹣<﹣.【答案】B11.已知|a|=5,=7,且|a+b|=a+b,则a﹣b的值为()A.2或12B.2或﹣12C.﹣2或12D.﹣2或﹣12解:∵|a|=5,∴a=±5,∵=7,∴b=±7,∵|a+b|=a+b,∴a+b>0,所以当a=5时,b=7时,a﹣b=5﹣7=﹣2,当a=﹣5时,b=7时,a﹣b=﹣5﹣7=﹣12,所以a﹣b的值为﹣2或﹣12.【答案】D12.已知=1.147,=2.472,=0.5325,则的值是()A.24.72B.53.25C.11.47D.114.7解:==1.147×10=11.47.【答案】C13.下列等式:①=,②=﹣2,③=2,④=﹣,⑤=±4,⑥﹣=﹣2;正确的有()个.A.4B.3C.2D.1解:=,故①错误.=4,故⑤错误.其他②③④⑥是正确的.【答案】A14.如图,已知数轴上的点A 、B 、C 、D 分别表示数﹣2、﹣1、1、2,则表示1﹣的点P应落在线段( )A .AB 上 B .OB 上C .OC 上D .CD 上解:∵2<<3, ∴﹣2<1﹣<﹣1,∴表示1﹣的点P 应落在线段AB 上.【答案】A15.下列各组数中互为相反数的是( ) A .|﹣|与B .﹣2与C .2与(﹣)2D .﹣2与解:A 、都是,故A 错误;B 、都是﹣2,故B 错误;C 、都是2,故C 错误;D 、只有符号不同的两个数互为相反数,故D 正确; 【答案】D 16. 从-5,310-,6-,-1,0,2,π这七个数中随机抽取一个数,恰好为负整数的概率为( )A .72B . 73C . 74D . 75 解:七个数中的负整数只有-5和-1两个数,所以其概率为72.【答案】A17.计算|1-2|=( ) A .1-2 B .2-1 C .1+2 D .-1-2解:∵1<2,∴1-2<0,∴|1-2|=-(1-2)=2-1. 【答案】B18.四个数0,112中,无理数的是( ).B. 1C.12D. 0解:根据无理数定义“无限不循环小数叫做无理数”进行选择,2带根号且开不尽方,所以2是无理数.【答案】A19.下列实数中的无理数是()ABCD.=1.1=﹣2,是无理数.【答案】C20. 的值()A. 在2和3之间B. 在3和4之间C. 在4和5之间D. 在5和6之间解:∵34,∴4<5【答案】C21)A.5和6之间B.6和7之间C.7和8之间D.8和9之间解:∵82<65<92,∴89.【答案】D22.94的值等于( )A.32 B.-32 C.±32 D.8116解:94=94=32【答案】A23.如图所示,数轴上表示3、的对应点分别为C、B,点C是AB的中点,则点A表示的数是()227227A.B.C.D.解:点C是AB的中点,设A表示的数是c,则﹣3=3﹣c,解得:c=6﹣.【答案】C二、填空题(共10小题)1.在数轴上,﹣2对应的点为A,点B与点A的距离为,则点B表示的数为.解:设B点表示的数是x,∵﹣2对应的点为A,点B与点A的距离为,∴|x+2|=,解得x=﹣2或x=﹣﹣2.【答案】﹣2或﹣﹣2.2.定义新运算“☆”:a☆b=,则2☆(3☆5)=.解:∵3☆5===4;∴2☆(3☆5)=2☆4==3.【答案】33.若﹣是m的一个平方根,则m+13的平方根是.解:根据题意得:m=(﹣)2=3,则m+13=16的平方根为±4.【答案】±44.小成编写了一个程序:输入x→x2→立方根→倒数→算术平方根→,则x为.解:根据题意得:=,则=,x2=64,x=±8,【答案】±85. 对于两个非零实数x,y,定义一种新的运算:x*y=+.若1*(﹣1)=2,则(﹣2)*2的值是_____. 解:∵1*(-1)=2,∴,即a-b=2∴原式==−(a-b )=-1故答案为:-1【答案】﹣16. 已知一个正数的平方根是和,则这个数是__________. 解:根据题意可知:3x-2+5x+6=0,解得x=-,所以3x-2=-,5x+6=, ∴(±)2=【答案】7. |1|= .解:由于1-02<,所以|1|=-(1)-1.-18. -8的立方方根是 .解:(-2)3=-8,所以-8的立方根是-2. 【答案】-2 9. 有意义的x 的取值范围是 . 解:∵有意义,∴x-3>0,∴x >3,∴x 的取值范围是x >3. 【答案】x >310. 如图8,数轴上点A 表示的数为a ,化简:a +244a a -+= .解:由完全平方公式“(a -b )2=a 2-2ab +b 2”和二次根式性质“a ”可得a +=a a +2a -,根据数轴上点A 的位置可得出0<a <2,所以a -2<0,由“负数的绝对值等于它的相反数”可得原式=a +2-a =2. 【答案】2A 2a三、解答题(共11小题)1.计算:(1)(﹣2)×﹣6.解:原式==3﹣6﹣3=﹣6.(2);解:原式=4- +1=5-(3)解:原式.【答案】2. 化简:(1)(m+2)2 +4(2-m)解:(m+2)2 +4(2-m)=m2+4m+4+8-4=m2+12(2)(1﹣)÷.解:原式==x+1.3.解方程(1)(x﹣1)3=27 (2)2x2﹣50=0.解:(1)∵(x﹣1)3=27,∴x﹣1=3∴x=4;(2)∵2x2﹣50=0,∴x2=25,∴x=±5.4.已知a是的整数部分,b是的小数部分,求(﹣a)3+(2+b)2的值.解:∵4<8<9,∴2<<3,∴的整数部分和小数部分分别为a=2,b=﹣2.∴(﹣a)3+(2+b)2=(﹣2)3+()2=0.5.若x、y都是实数,且y=++8,求x+3y的立方根.解:∵y=++8,∴解得:x=3,将x=3代入,得到y=8,∴x+3y=3+3×8=27,∴=3,即x+3y的立方根为3.6.已知某正数的两个平方根分别是a﹣3和2a+15,b的立方根是﹣2.求﹣2a﹣b的算术平方根.解:∵某正数的两个平方根分别是a﹣3和2a+15,b的立方根是﹣2.∴a﹣3+2a+15=0,b=﹣8,解得a=﹣4.∴﹣2a﹣b=16,16的算术平方根是4.7.在实数范围内定义一种新运算“△”,其规则为:a△b=a2﹣b2,根据这个规则:(1)求4△3的值;(2)求(x+2)△5=0中x的值.解:(1)4△3=42﹣32=16﹣9=7;(2)由题意得:(x+2)2﹣25=0,(x+2)2=25,x+2=±5,x+2=5或x+2=﹣5,解得:x1=3,x2=﹣7.8.先填写表,通过观察后再回答问题:(1)表格中x=,y=;(2)从表格中探究a与数位的规律,并利用这个规律解决下面两个问题:①已知≈3.16,则≈;②已知=8.973,若=897.3,用含m的代数式表示b,则b=;(3)试比较与a的大小.解:(1)x=0.1,y=10;(2)①根据题意得:≈31.6;②根据题意得:b=10000m;(3)当a=0或1时,=a;当0<a<1时,>a;当a>1时,<a,【答案】(1)0.1;10;(2)①31.6;②10000m9.我们在学习“实数”时,画了这样一个图,即“以数轴上的单位长为‘1’的线段作一个正方形,然后以原点O为圆心,正方形的对角线长为半径画弧交x轴于点A”,请根据图形回答下列问题:(1)线段OA的长度是多少?(要求写出求解过程)(2)这个图形的目的是为了说明什么?(3)这种研究和解决问题的方式,体现了的数学思想方法.(将下列符合的选项序号填在横线上)A、数形结合;B、代入;C、换元;D、归纳.解:(1)∵OB2=12+12=2,∴OB=,∴OA=OB=;(2)数轴上的点和实数﹣一对应关系;(3)A10.先观察下列等式,再回答下列问题:①;②;③.(1)请你根据上面三个等式提供的信息,猜想的结果,并验证;(2)请你按照上面各等式反映的规律,试写出用含n的式子表示的等式(n为正整数).解:(1),验证:=;(2)(n为正整数).11. 对任意一个四位数n,如果千位与十位上的数字之和为9,百位与个位上的数字之和也为9,则称n为“极数”.(1)请任意写出三个“极数”;并猜想任意一个“极数”是否是99的倍数,请说明理由;(2)如果一个正整数a是另一个正整数b的平方,则称正整数a是完全平方数,若四位数m为“极数”,记D(m)=.求满足D(m)是完全平方数的所有m.【分析】(1)根据“极数”的概念写出即可,设任意一个极数为(其中1≤x ≤9,0≤y≤9,且x、y为整数),整理可得=99(10x+y+1),由此即可证明;(2)设m=(其中1≤x≤9,0≤y≤9,且x、y为整数),由题意则有D(m)=3(10x+y+1)根据1≤x≤9,0≤y≤9,以及D(m)为完全平方数且为3的倍数,可确定D(m)可取36、81、225,然后逐一进行讨论求解即可。
初二实数练习题及答案本文为初二实数练习题及答案的整理,旨在帮助初二学生提升实数概念和运算能力。
以下将给出一系列的实数练习题,并附上详细的解答过程和答案,供大家参考。
练习题一:计算下列各式的结果:1. $\frac{3}{4} + \frac{5}{6}$2. $(-7) \times (-3)$3. $\frac{1}{5} \div (-\frac{2}{3})$4. $\frac{2}{3} - (-\frac{3}{4})$解答:1. $\frac{3}{4} + \frac{5}{6} = \frac{9}{12} + \frac{10}{12} =\frac{19}{12}$2. $(-7) \times (-3) = 21$3. $\frac{1}{5} \div (-\frac{2}{3}) = \frac{1}{5} \times (-\frac{3}{2}) = -\frac{3}{10}$4. $\frac{2}{3} - (-\frac{3}{4}) = \frac{2}{3} + \frac{3}{4} =\frac{8}{12} + \frac{9}{12} = \frac{17}{12}$练习题二:化简下列各式:1. $-2 + (-5) - (-3)$2. $\frac{4}{5} \times \frac{2}{3} \div \frac{3}{4}$3. $(\frac{1}{2} + \frac{1}{3}) \div (\frac{2}{3} - \frac{1}{2})$4. $3 + (-2) \times 5$解答:1. $-2 + (-5) - (-3) = -2 - 5 + 3 = -4$2. $\frac{4}{5} \times \frac{2}{3} \div \frac{3}{4} = \frac{8}{15} \div \frac{3}{4} = \frac{8}{15} \times \frac{4}{3} = \frac{32}{45}$3. $(\frac{1}{2} + \frac{1}{3}) \div (\frac{2}{3} - \frac{1}{2}) = (\frac{3}{6} + \frac{2}{6}) \div (\frac{4}{6} - \frac{3}{6}) = \frac{5}{6} \div \frac{1}{6} = 5$4. $3 + (-2) \times 5 = 3 - 10 = -7$练习题三:求解下列方程:1. $2x + 5 = -3$2. $3(x - 1) = 5x - 1$3. $\frac{x}{3} - \frac{x}{4} - \frac{5}{6} = \frac{4x}{5} +\frac{1}{2}$4. $\frac{2}{3}(x - 4) = \frac{1}{2}(x - 2)$解答:1. $2x + 5 = -3$将常数项移到右侧,得到 $2x = -8$再将系数化简,得到 $x = -4$2. $3(x - 1) = 5x - 1$展开括号得到 $3x - 3 = 5x - 1$移项化简得到 $3 = 2x$解得 $x = \frac{3}{2}$3. $\frac{x}{3} - \frac{x}{4} - \frac{5}{6} = \frac{4x}{5} +\frac{1}{2}$通分得到 $\frac{4x-3x}{12} - \frac{5}{6} = \frac{16x+6}{10} +\frac{6}{12}$化简得到 $\frac{x}{12} - \frac{5}{6} = \frac{8x+3}{5} + \frac{1}{2}$继续整理得到 $\frac{x}{12} - \frac{8x}{5} = \frac{19}{10}$合并同类项得到 $\frac{-7x}{60} = \frac{19}{10}$解得 $x = -\frac{114}{7}$4. $\frac{2}{3}(x - 4) = \frac{1}{2}(x - 2)$展开括号得到 $\frac{2}{3}x - \frac{8}{3} = \frac{1}{2}x - 1$移项化简得到 $\frac{2}{3}x - \frac{1}{2}x = \frac{8}{3} - 1$合并同类项得到 $\frac{1}{6}x = \frac{5}{3}$解得 $x = 10$练习题四:计算下列各式的结果(保留根式形式):1. $\sqrt{50} + \sqrt{32}$2. $\sqrt{200} - \sqrt{8}$3. $(\sqrt{18} + \sqrt{32}) \div \sqrt{2}$解答:1. $\sqrt{50} + \sqrt{32} = \sqrt{25 \times 2} + \sqrt{16 \times 2} =5\sqrt{2} + 4\sqrt{2} = 9\sqrt{2}$2. $\sqrt{200} - \sqrt{8} = \sqrt{100 \times 2} - \sqrt{4 \times 2} =10\sqrt{2} - 2\sqrt{2} = 8\sqrt{2}$3. $(\sqrt{18} + \sqrt{32}) \div \sqrt{2} = \frac{\sqrt{9 \times 2} +\sqrt{16 \times 2}}{\sqrt{2}} = \frac{3\sqrt{2} + 4\sqrt{2}}{\sqrt{2}} = 7$以上为初二实数练习题及答案,希望能对大家的实数运算能力提升有所帮助。
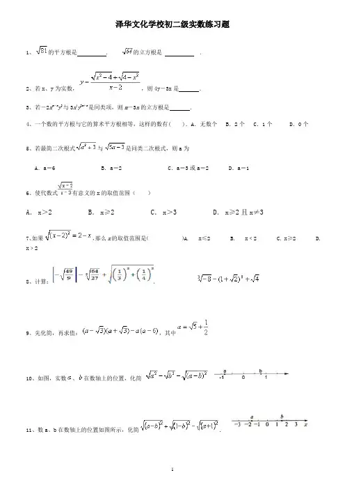
泽华文化学校初二级实数练习题
1、的平方根是. 的立方根是 .
2、若x、y为实数,,则4y-3x是.
3、若-2x m-n y2与3x4y2m+n是同类项,则m-3n的立方根是.
4、一个数的平方根与它的算术平方根相等,这样的数有( ).A.无数个 B.2个 C.1个 D.0个
5、若最简二次根式与是同类二次根式,则a为
A.a=6 B.a=2 C.a=3或a=2 D.a=1
6、使代数式有意义的x的取值范围()
A.x>2 B.x≥2C.x>3 D.x≥2且x≠3
7、如果,那么x的取值范围是()A. x≤2 B. x﹤2 C. x≥2 D. x﹥2
8、计算:.
9、先化简,再求值:,其中
10、如图,实数、在数轴上的位置,化简
11、数a、b在数轴上的位置如图所示,化简.
12、计算:
.
13、已知:2m+2的平方根是±4,3m+n+1的平方根是±5,求m+2 n的值
14、如果为的算术平方根,为的立方根,求的平方根。
15、已知,求
的值.
16、已知a=,求-的值.。
1
实数提高计算题
一、填空题
二、化简
(3)326⨯
(4)3
7
21⨯
4
(2)_______.
9______,的平方根是
(3)3________
化简:+
=
_______.(1
=
=
((4
)计算:
(1
(2)
2
(5)2)13(-
(19)2)3
13(-
(12)22)5
2
()2511
(-
(25)3
1
22112-- (1
)
(2)48512739+- (21)20032002)23()23(+⋅-
(8)02)36(2218)3(----+--
三、解方程
四、计算题
(
)0
(1)31
--
(
1
(2)624
5
⎛⎫
-+
⎪
⎝
⎭
(
(3)11
()2
1
(1)536
9
-+=
x()2
(2)3360
+-=
x
(2
(3)416
+=
x()3
(4)1252343
-=-
x
⎛
⎝
3
4
八年级上册第二章实数基础题 一、选择题
1、25的平方根是( )
A 、5
B 、-5
C 、±5
D 、5±
2、下列说法错误的是 ( )
A 、无理数的相反数还是无理数
B 、无限小数都是无理数
C 、正数、负数统称有理数
D 、实数与数轴上的点一一对应 3、下列各组数中互为相反数的是( )
A 、2
)2(2--与 B 、382--与 C 、2)2(2-与 D 、22与-
4、在下列各数中是无理数的有( ) -0.333…,
4, 5, π-, 3π, 3.1415, 2.010101…(相邻两个1之间有1
个0),76.0123456…(小数部分由相继的正整数组成). A.3个 B.4个 C. 5个 D. 6个 5、下列说法错误的是( )
A. 1的平方根是1
B. –1的立方根是-1
C.
2是2的平方根 D. –3是2)3(-的平方根
6、下列平方根中, 已经简化的是( )
A.
3
1
B. 20
C. 22
D. 121
7、 下列结论正确的是( )
A.6)6(2-=--
B.9)3(2=-
C.16)16(2
±=- D.251625162
=⎪⎪⎭
⎫ ⎝⎛--
5
8、一个长方形的长与宽分别时6cm 、3cm ,它的对角线的长可能是( ) A 、整数 B 、分数 C 、有理数 D 、无理数 9、要使二次根式1x +有意义,字母x 必须满足的条件是( ) A .x ≥1 B .x >-1 C .x ≥-1 D .x >1
10、2
)9(-的平方根是x , 64的立方根是y ,则y x +的值为( )
A 、3
B 、7
C 、3或7
D 、1或7 11、若a 和a -都有意义,则a 的值是( )
A.0≥a
B.0≤a
C.0=a
D.0≠a 12、当
14+a 的值为最小值时,a 的取值为( )
A 、-1
B 、0
C 、4
1
- D 、1 二、填空题
13、36的平方根是 ;16的算术平方根是 ;
14、8的立方根是 ;327-= ;
15、37-的相反数是 ;绝对值等于3的数是 ;
17、=-2
)4( ;
=-3
3)6( ; 2)196(= .
18、已知5-a +3+b =0,那么a —b = ; 三、解答题
19、求下列各式的值:
(1)44.1; (2)3027.0-; (3)610-;
6
(4)
64
9
; (5)25241+; (6) 327102---.
20、化简:
(1)44.1-21.1; (2)2328-+;
(3)
92731⋅+; (4)0)31(3
3
122-++;
(5)2)75)(75(++- (6)2224145-
21、计算:
7
(1)(
21)-1-2--1
21
-+(-1-2)2;。