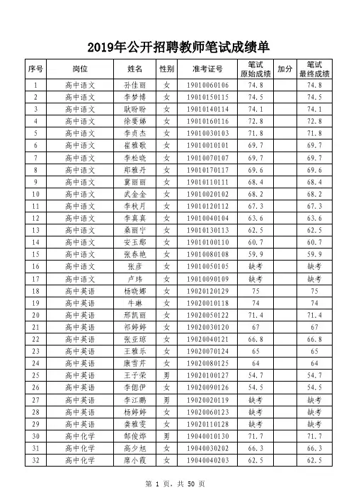
岳阳县公开招聘教师笔试成绩公示
- 格式:docx
- 大小:40.71 KB
- 文档页数:49
招聘教师简章为引进优质师资,优化我区教师队伍结构,经研究,决定面向社会公开招聘中小学教师166人、中职学校教师4人、幼师21人,有关事项公布如下:一、招聘原则坚持德才兼备的用人标准,贯彻公开、平等、竞争、择优的原则。
二、人员管理1.列入事业单位财政全额拨款编制;2.实行合同聘用制管理;3.岗位等级待参加用人单位竞聘后确定;4.符合我区人才引进相关条件的,享受我区人才引进和长人社发〔2017〕94号文件中特设岗位有关政策。
三、招聘岗位、计划数和聘用学校四、招聘条件(一)基本条件:具有中华人民共和国国籍,拥护中国共产党的领导,热爱社会主义,热爱教育事业,遵纪守法,品行端正,身心健康,服从安排,爱生敬业。
(二)岗位条件:1.中职学校教师岗位(1)年龄:35周岁以下(1985年4月1日及以后出生,下同);具备高级教师职称或被认定为地市级及以上骨干教师的年龄放宽至40周岁以下(1980年4月1日及以后出生,下同);被认定为特级教师、湖南省国培专家库首批人选、地市级及以上名师工作室首席名师的年龄放宽至45周岁以下(1975年4月1日及以后出生,下同)。
(2)学历、专业和学位:最低学历要求为本科,专业要求与报考岗位相应(参考湖南省2021年公务员考试专业目录),最低学位要求为学士。
(3)教师资格证:具有中职及以上层次且与报考岗位相应学科的教师资格证书。
考虑中职学校专业课教师的特殊性,暂未取得教师资格证的,须在2022年8月31日前取得相应层次和学科的教师资格证,未在规定时间内取得的,解除聘用。
(4)普通话水平:二乙及以上水平。
2.中小学教师岗位(1)年龄:35周岁以下;具备高级教师职称或被认定为地市级及以上骨干教师的年龄放宽至40周岁以下;被认定为特级教师、湖南省国培专家库首批人选、地市级及以上名师工作室首席名师的年龄放宽至45周岁以下。
(2)学历和学位:最低学历要求为本科,最低学位要求为学士。
(3)教师资格证:具有与报考岗位相应及以上层次和相应学科的教师资格证书(不含高等学校和成教教师资格证)。
2014年岳阳经济技术开发区教师招聘笔试成绩序号报考岗位准考证号笔试分数排名1 初中地理2014026 82.5 12 初中地理2014583 82 23 初中地理2014739 82 24 初中地理2014476 79 45 初中地理2014659 79 46 初中地理2014781 77.5 67 初中地理2014787 77.5 68 初中地理2014206 77 89 初中地理2014291 73 910 初中地理2014788 72 1011 初中地理2014865 71 1112 初中地理2014208 70.5 1213 初中地理2014519 67 1314 初中地理2014789 67 1315 初中地理2014467 66.5 1516 初中地理2014809 65.5 1617 初中地理2014116 65 1718 初中地理2014831 63.5 1819 初中地理2014688 62.5 1920 初中地理2014478 60.5 2021 初中地理2014853 59 2122 初中地理2014034 57.5 2223 初中地理2014010 48 2324 初中地理2014382 缺考25 初中化学2014078 82 127 初中化学2014300 77.5 328 初中化学2014323 77 429 初中化学2014496 76 530 初中化学2014420 75.5 631 初中化学2014197 74 732 初中化学2014012 73.5 833 初中化学2014346 73 934 初中化学2014269 72 1035 初中化学2014806 70.5 1136 初中化学2014698 69.5 1237 初中化学2014446 69 1338 初中化学2014512 69 1339 初中化学2014848 69 1340 初中化学2014627 68.5 1641 初中化学2014362 65 1742 初中化学2014084 64.5 1843 初中化学2014792 64 1944 初中化学2014145 63.5 2045 初中化学2014603 63.5 2046 初中化学2014405 62.5 2247 初中化学2014610 62 2348 初中化学2014707 61.5 2449 初中化学2014210 60.5 2550 初中化学2014274 58 2651 初中化学2014381 58 2652 初中化学2014157 57 2854 初中化学2014271 53 3055 初中化学2014042 50.5 3156 初中化学2014201 缺考57 初中美术2014455 80 158 初中美术2014513 79 259 初中美术2014608 78 360 初中美术2014297 76 461 初中美术2014100 69.5 562 初中美术2014021 67 663 初中美术2014303 67 664 初中美术2014486 67 665 初中美术2014574 63.5 966 初中美术2014030 62.5 1067 初中美术2014278 62 1168 初中美术2014241 56 1269 初中美术2014507 55.5 1370 初中美术2014326 47 1471 初中美术2014108 缺考72 初中美术2014315 缺考73 初中生物2014313 83 174 初中生物2014412 79 275 初中生物2014557 79 276 初中生物2014324 77.5 477 初中生物2014344 77.5 478 初中生物2014352 77 679 初中生物2014365 76 780 初中生物2014675 76 781 初中生物2014763 74 982 初中生物2014443 73 1083 初中生物2014833 72 1184 初中生物2014427 71 1285 初中生物2014035 70.5 1386 初中生物2014287 69 1487 初中生物2014085 68.5 1588 初中生物2014186 68.5 1589 初中生物2014106 64.5 1790 初中生物2014445 64.5 1791 初中生物2014686 64.5 1792 初中生物2014495 61.5 2093 初中生物2014703 59.5 2194 初中生物2014795 59.5 2195 初中生物2014782 59 2396 初中生物2014244 58.5 2497 初中生物2014473 58 2598 初中生物2014413 57 2699 初中生物2014744 55.5 27 100 初中生物2014597 47.5 28 101 初中数学2014508 83 1 102 初中数学2014044 81.5 2 103 初中数学2014680 81 3 104 初中数学2014586 80 4 105 初中数学2014156 79.5 5 106 初中数学2014556 79.5 5107 初中数学2014730 79 7 108 初中数学2014573 78.5 8 109 初中数学2014165 78 9 110 初中数学2014327 77.5 10 111 初中数学2014662 76.5 11 112 初中数学2014441 75.5 12 113 初中数学2014760 73 13 114 初中数学2014839 72 14 115 初中数学2014858 72 14 116 初中数学2014058 71.5 16 117 初中数学2014172 71 17 118 初中数学2014265 71 17 119 初中数学2014609 70.5 19 120 初中数学2014123 68.5 20 121 初中数学2014585 68.5 20 122 初中数学2014364 68 22 123 初中数学2014570 65 23 124 初中数学2014161 64.5 24 125 初中数学2014293 62.5 25 126 初中数学2014270 62 26 127 初中数学2014301 61.5 27 128 初中数学2014644 58.5 28 129 初中数学2014438 56.5 29 130 初中数学2014188 56 30 131 初中数学2014589 55.5 31 132 初中数学2014854 51.5 32 133 初中数学2014235 47.5 33134 初中数学2014142 缺考135 初中数学2014238 缺考136 初中数学2014253 缺考137 初中数学2014671 缺考138 初中体育2014655 75.5 1 139 初中体育2014318 75 2 140 初中体育2014575 75 2 141 初中体育2014626 74.5 4 142 初中体育2014541 72.5 5 143 初中体育2014468 71 6 144 初中体育2014349 70.5 7 145 初中体育2014221 68.5 8 146 初中体育2014628 68 9 147 初中体育2014733 68 9 148 初中体育2014625 67.5 11 149 初中体育2014451 67 12 150 初中体育2014359 66.5 13 151 初中体育2014417 66 14 152 初中体育2014549 65.5 15 153 初中体育2014742 65.5 15 154 初中体育2014299 63.5 17 155 初中体育2014232 62.5 18 156 初中体育2014622 60.5 19 157 初中体育2014454 60 20 158 初中体育2014550 60 20 159 初中体育2014814 60 20 160 初中体育2014139 59.5 23161 初中体育2014863 59 24 162 初中体育2014094 56 25 163 初中体育2014182 47 26 164 初中体育2014369 46.5 27 165 初中体育2014479 42 28 166 初中体育2014011 39.5 29 167 初中体育2014154 缺考168 初中物理2014190 77.5 1 169 初中物理2014614 75 2 170 初中物理2014617 75 2 171 初中物理2014397 70.5 4 172 初中物理2014472 70 5 173 初中物理2014363 69 6 174 初中物理2014535 68 7 175 初中物理2014296 67.5 8 176 初中物理2014294 67 9 177 初中物理2014226 63 10 178 初中物理2014601 62.5 11 179 初中物理2014559 61 12 180 初中物理2014714 缺考181 初中心理健康2014128 86.5 1 182 初中心理健康2014784 80.5 2 183 初中心理健康2014753 78.5 3 184 初中心理健康2014122 75.5 4 185 初中心理健康2014280 75.5 4 186 初中心理健康2014090 72 6 187 初中心理健康2014115 66.5 7188 初中心理健康2014212 60 8 189 初中心理健康2014013 58 9 190 初中心理健康2014152 58 9 191 初中心理健康2014187 56.5 11 192 初中心理健康2014131 54 12 193 初中心理健康2014107 缺考194 初中音乐2014757 78.5 1 195 初中音乐2014637 75.5 2 196 初中音乐2014439 75 3 197 初中音乐2014502 73 4 198 初中音乐2014164 71.5 5 199 初中音乐2014185 70 6 200 初中音乐2014712 69.5 7 201 初中音乐2014180 63 8 202 初中音乐2014140 61.5 9 203 初中音乐2014810 60.5 10 204 初中音乐2014861 60 11 205 初中音乐2014552 58 12 206 初中音乐2014033 57.5 13 207 初中音乐2014676 55 14 208 初中音乐2014491 54.5 15 209 初中音乐2014631 53.5 16 210 初中音乐2014835 50 17 211 初中音乐2014261 49.5 18 212 初中音乐2014660 48.5 19 213 初中语文2014354 84.5 1 214 初中语文2014652 83.5 2216 初中语文2014584 81 4 217 初中语文2014329 80.5 5 218 初中语文2014483 77 6 219 初中语文2014040 76.5 7 220 初中语文2014371 76.5 7 221 初中语文2014605 76 9 222 初中语文2014606 76 9 223 初中语文2014056 75.5 11 224 初中语文2014141 75 12 225 初中语文2014690 74.5 13 226 初中语文2014031 73 14 227 初中语文2014429 73 14 228 初中语文2014213 72.5 16 229 初中语文2014851 72 17 230 初中语文2014395 71.5 18 231 初中语文2014073 70 19 232 初中语文2014687 69.5 20 233 初中语文2014351 68.5 21 234 初中语文2014391 68.5 21 235 初中语文2014661 67 23 236 初中语文2014066 66.5 24 237 初中语文2014783 66.5 24 238 初中语文2014158 64.5 26 239 初中语文2014167 64.5 26 240 初中语文2014663 64 28 241 初中语文2014790 64 28243 初中语文2014017 62.5 31 244 初中语文2014464 62 32 245 初中语文2014726 61.5 33 246 初中语文2014129 60 34 247 初中语文2014268 59 35 248 初中语文2014316 55.5 36 249 初中语文2014155 53.5 37 250 初中语文2014423 47 38 251 初中语文2014393 缺考252 初中语文2014612 缺考253 初中语文2014639 缺考254 初中语文2014674 缺考255 初中语文2014736 缺考256 小学美术2014653 79.5 1 257 小学美术2014080 78.5 2 258 小学美术2014181 77.5 3 259 小学美术2014135 77 4 260 小学美术2014426 77 4 261 小学美术2014233 75.5 6 262 小学美术2014828 75 7 263 小学美术2014435 74.5 8 264 小学美术2014097 74 9 265 小学美术2014780 73.5 10 266 小学美术2014284 73 11 267 小学美术2014677 70.5 12 268 小学美术2014150 70 13270 小学美术2014803 68 14 271 小学美术2014408 66.5 16 272 小学美术2014387 65.5 17 273 小学美术2014223 64 18 274 小学美术2014624 64 18 275 小学美术2014322 63.5 20 276 小学美术2014402 63.5 20 277 小学美术2014342 63 22 278 小学美术2014691 62.5 23 279 小学美术2014740 62.5 23 280 小学美术2014524 62 25 281 小学美术2014065 61.5 26 282 小学美术2014664 61.5 26 283 小学美术2014163 61 28 284 小学美术2014706 60.5 29 285 小学美术2014093 59 30 286 小学美术2014068 58.5 31 287 小学美术2014403 58.5 31 288 小学美术2014498 57.5 33 289 小学美术2014229 57 34 290 小学美术2014533 54 35 291 小学美术2014234 52.5 36 292 小学美术2014373 52.5 36 293 小学美术2014130 51.5 38 294 小学美术2014474 48.5 39 295 小学美术2014321 46.5 40297 小学美术2014007 缺考298 小学美术2014101 缺考299 小学美术2014572 缺考300 小学美术2014771 缺考301 小学数学2014008 84 1 302 小学数学2014024 83.5 2 303 小学数学2014298 82.5 3 304 小学数学2014596 81 4 305 小学数学2014177 78 5 306 小学数学2014418 78 5 307 小学数学2014430 78 5 308 小学数学2014505 77 8 309 小学数学2014579 77 8 310 小学数学2014022 72.5 10 311 小学数学2014037 70.5 11 312 小学数学2014623 70.5 11 313 小学数学2014769 70 13 314 小学数学2014059 69 14 315 小学数学2014169 69 14 316 小学数学2014764 69 14 317 小学数学2014580 68.5 17 318 小学数学2014613 68.5 17 319 小学数学2014045 68 19 320 小学数学2014682 67 20 321 小学数学2014159 64 21 322 小学数学2014144 63.5 22323 小学数学2014276 62.5 23 324 小学数学2014292 62.5 23 325 小学数学2014249 62 25 326 小学数学2014289 62 25 327 小学数学2014401 62 25 328 小学数学2014801 62 25 329 小学数学2014219 61 29 330 小学数学2014514 61 29 331 小学数学2014308 60 31 332 小学数学2014564 59.5 32 333 小学数学2014088 57.5 33 334 小学数学2014386 57 34 335 小学数学2014791 53.5 35 336 小学数学2014377 53 36 337 小学数学2014824 53 36 338 小学数学2014225 51 38 339 小学数学2014569 51 38 340 小学数学2014701 43.5 40 341 小学数学2014028 34 41 342 小学数学2014431 23.5 42 343 小学数学2014173 缺考344 小学数学2014419 缺考345 小学数学2014592 缺考346 小学体育2014546 73.5 1 347 小学体育2014449 72 2 348 小学体育2014709 72 2 349 小学体育2014576 70 4350 小学体育2014202 69.5 5 351 小学体育2014470 69 6 352 小学体育2014020 67.5 7 353 小学体育2014218 66 8 354 小学体育2014611 66 8 355 小学体育2014772 66 8 356 小学体育2014735 60 11 357 小学体育2014029 59 12 358 小学体育2014063 58 13 359 小学体育2014458 58 13 360 小学体育2014447 57 15 361 小学体育2014314 54 16 362 小学体育2014804 50 17 363 小学体育2014016 46.5 18 364 小学体育2014339 45.5 19 365 小学体育2014475 缺考366 小学体育2014775 缺考367 小学体育2014802 缺考368 小学信息技术2014193 78 1 369 小学信息技术2014866 76.5 2 370 小学信息技术2014501 75 3 371 小学信息技术2014529 73 4 372 小学信息技术2014112 72.5 5 373 小学信息技术2014798 72.5 5 374 小学信息技术2014184 72 7 375 小学信息技术2014497 71.5 8 376 小学信息技术2014105 70.5 9377 小学信息技术2014864 69.5 10 378 小学信息技术2014656 68 11 379 小学信息技术2014023 67.5 12 380 小学信息技术2014248 67.5 12 381 小学信息技术2014754 67.5 12 382 小学信息技术2014378 67 15 383 小学信息技术2014217 66 16 384 小学信息技术2014563 62 17 385 小学信息技术2014796 59.5 18 386 小学信息技术2014504 58 19 387 小学信息技术2014224 57 20 388 小学信息技术2014657 53 21 389 小学信息技术2014400 52.5 22 390 小学信息技术2014388 缺考391 小学信息技术2014776 缺考392 小学音乐2014372 81 1 393 小学音乐2014823 81 1 394 小学音乐2014064 77 3 395 小学音乐2014692 77 3 396 小学音乐2014310 76 5 397 小学音乐2014732 76 5 398 小学音乐2014807 76 5 399 小学音乐2014525 75.5 8 400 小学音乐2014290 75 9 401 小学音乐2014025 74.5 10 402 小学音乐2014041 74 11 403 小学音乐2014060 73.5 12405 小学音乐2014633 72.5 14 406 小学音乐2014756 72.5 14 407 小学音乐2014785 72.5 14 408 小学音乐2014047 71.5 17 409 小学音乐2014247 71 18 410 小学音乐2014705 70.5 19 411 小学音乐2014277 70 20 412 小学音乐2014531 69.5 21 413 小学音乐2014830 68.5 22 414 小学音乐2014843 68 23 415 小学音乐2014138 67.5 24 416 小学音乐2014385 67.5 24 417 小学音乐2014845 66 26 418 小学音乐2014099 65.5 27 419 小学音乐2014356 65.5 27 420 小学音乐2014640 65.5 27 421 小学音乐2014527 65 30 422 小学音乐2014178 63.5 31 423 小学音乐2014380 63.5 31 424 小学音乐2014499 63 33 425 小学音乐2014818 63 33 426 小学音乐2014838 62.5 35 427 小学音乐2014434 62 36 428 小学音乐2014103 61.5 37 429 小学音乐2014459 61.5 37 430 小学音乐2014250 59.5 39432 小学音乐2014650 59 40 433 小学音乐2014711 59 40 434 小学音乐2014813 59 40 435 小学音乐2014461 58.5 44 436 小学音乐2014721 58 45 437 小学音乐2014494 57.5 46 438 小学音乐2014689 57 47 439 小学音乐2014295 56 48 440 小学音乐2014811 56 48 441 小学音乐2014309 55.5 50 442 小学音乐2014649 55.5 50 443 小学音乐2014679 55.5 50 444 小学音乐2014545 54.5 53 445 小学音乐2014343 54 54 446 小学音乐2014347 53.5 55 447 小学音乐2014014 52 56 448 小学音乐2014515 51.5 57 449 小学音乐2014394 48.5 58 450 小学音乐2014462 48.5 58 451 小学音乐2014577 48.5 58 452 小学音乐2014855 48.5 58 453 小学音乐2014547 48 62 454 小学音乐2014198 45.5 63 455 小学音乐2014537 45 64 456 小学音乐2014004 44.5 65 457 小学音乐2014345 44.5 65458 小学音乐2014214 41.5 67 459 小学音乐2014416 36.5 68 460 小学音乐2014384 缺考461 小学音乐2014526 缺考462 小学音乐2014567 缺考463 小学音乐2014815 缺考464 小学英语2014263 91 1 465 小学英语2014466 88 2 466 小学英语2014555 85.5 3 467 小学英语2014670 85.5 3 468 小学英语2014774 85 5 469 小学英语2014852 83.5 6 470 小学英语2014132 82.5 7 471 小学英语2014510 81.5 8 472 小学英语2014174 81 9 473 小学英语2014230 81 9 474 小学英语2014006 80.5 11 475 小学英语2014593 80.5 11 476 小学英语2014379 80 13 477 小学英语2014648 80 13 478 小学英语2014355 79.5 15 479 小学英语2014534 79.5 15 480 小学英语2014666 79.5 15 481 小学英语2014724 79.5 15 482 小学英语2014285 79 19 483 小学英语2014530 79 19 484 小学英语2014750 79 19486 小学英语2014620 78.5 22 487 小学英语2014699 78.5 22 488 小学英语2014844 78.5 22 489 小学英语2014195 78 26 490 小学英语2014236 78 26 491 小学英语2014272 78 26 492 小学英语2014566 78 26 493 小学英语2014668 78 26 494 小学英语2014340 77.5 31 495 小学英语2014521 77.5 31 496 小学英语2014615 77.5 31 497 小学英语2014619 77.5 31 498 小学英语2014669 77.5 31 499 小学英语2014678 77.5 31 500 小学英语2014480 77 37 501 小学英语2014737 77 37 502 小学英语2014779 77 37 503 小学英语2014019 76.5 40 504 小学英语2014194 76.5 40 505 小学英语2014731 76.5 40 506 小学英语2014242 76 43 507 小学英语2014376 76 43 508 小学英语2014646 76 43 509 小学英语2014720 76 43 510 小学英语2014758 76 43 511 小学英语2014800 76 43513 小学英语2014520 75.5 49 514 小学英语2014522 75.5 49 515 小学英语2014681 75.5 49 516 小学英语2014808 75.5 49 517 小学英语2014133 75 54 518 小学英语2014319 75 54 519 小学英语2014325 75 54 520 小学英语2014432 75 54 521 小学英语2014440 75 54 522 小学英语2014794 75 54 523 小学英语2014176 74.5 60 524 小学英语2014306 74.5 60 525 小学英语2014685 74.5 60 526 小学英语2014027 74 63 527 小学英语2014457 74 63 528 小学英语2014793 74 63 529 小学英语2014827 74 63 530 小学英语2014490 73.5 67 531 小学英语2014134 73 68 532 小学英语2014243 73 68 533 小学英语2014702 73 68 534 小学英语2014111 72.5 71 535 小学英语2014171 72.5 71 536 小学英语2014436 72.5 71 537 小学英语2014493 72.5 71 538 小学英语2014641 72.5 71539 小学英语2014039 72 76 540 小学英语2014095 72 76 541 小学英语2014332 72 76 542 小学英语2014392 72 76 543 小学英语2014469 72 76 544 小学英语2014741 72 76 545 小学英语2014009 71.5 82 546 小学英语2014228 71.5 82 547 小学英语2014350 71.5 82 548 小学英语2014590 71.5 82 549 小学英语2014841 71.5 82 550 小学英语2014043 71 87 551 小学英语2014072 71 87 552 小学英语2014204 71 87 553 小学英语2014311 71 87 554 小学英语2014538 71 87 555 小学英语2014665 71 87 556 小学英语2014192 70.5 93 557 小学英语2014506 70.5 93 558 小学英语2014523 70.5 93 559 小学英语2014683 70.5 93 560 小学英语2014069 70 97 561 小学英语2014151 70 97 562 小学英语2014288 70 97 563 小学英语2014406 70 97 564 小学英语2014200 69.5 101 565 小学英语2014209 69.5 101567 小学英语2014542 69.5 101 568 小学英语2014599 69.5 101 569 小学英语2014621 69.5 101 570 小学英语2014091 69 107 571 小学英语2014415 68.5 108 572 小学英语2014503 68.5 108 573 小学英语2014595 68.5 108 574 小学英语2014725 68.5 108 575 小学英语2014743 68.5 108 576 小学英语2014812 68.5 108 577 小学英语2014305 68 114 578 小学英语2014492 68 114 579 小学英语2014600 68 114 580 小学英语2014071 67.5 117 581 小学英语2014634 67.5 117 582 小学英语2014748 67.5 117 583 小学英语2014046 67 120 584 小学英语2014143 67 120 585 小学英语2014302 67 120 586 小学英语2014489 67 120 587 小学英语2014517 67 120 588 小学英语2014050 66.5 125 589 小学英语2014109 66.5 125 590 小学英语2014153 66.5 125 591 小学英语2014189 66.5 125 592 小学英语2014456 66.5 125594 小学英语2014715 66.5 125 595 小学英语2014304 66 132 596 小学英语2014409 66 132 597 小学英语2014618 66 132 598 小学英语2014770 66 132 599 小学英语2014018 65.5 136 600 小学英语2014148 65.5 136 601 小学英语2014260 65.5 136 602 小学英语2014390 65.5 136 603 小学英语2014591 65.5 136 604 小学英语2014719 65.5 136 605 小学英语2014819 65.5 136 606 小学英语2014370 65 143 607 小学英语2014452 65 143 608 小学英语2014629 65 143 609 小学英语2014857 65 143 610 小学英语2014125 64.5 147 611 小学英语2014407 64.5 147 612 小学英语2014697 64.5 147 613 小学英语2014717 64.5 147 614 小学英语2014849 64.5 147 615 小学英语2014102 64 152 616 小学英语2014220 64 152 617 小学英语2014348 64 152 618 小学英语2014389 64 152 619 小学英语2014414 64 152620 小学英语2014616 64 152 621 小学英语2014672 64 152 622 小学英语2014693 64 152 623 小学英语2014765 64 152 624 小学英语2014821 64 152 625 小学英语2014822 63.5 162 626 小学英语2014052 63 163 627 小学英语2014264 63 163 628 小学英语2014425 63 163 629 小学英语2014638 63 163 630 小学英语2014752 63 163 631 小学英语2014832 63 163 632 小学英语2014170 62.5 169 633 小学英语2014257 62 170 634 小学英语2014544 62 170 635 小学英语2014571 62 170 636 小学英语2014598 62 170 637 小学英语2014077 61.5 174 638 小学英语2014245 61.5 174 639 小学英语2014353 61.5 174 640 小学英语2014428 61.5 174 641 小学英语2014477 61.5 174 642 小学英语2014797 61.5 174 643 小学英语2014082 61 180 644 小学英语2014255 61 180 645 小学英语2014540 61 180 646 小学英语2014738 61 180648 小学英语2014237 60 184 649 小学英语2014307 60 184 650 小学英语2014437 60 184 651 小学英语2014543 60 184 652 小学英语2014746 60 184 653 小学英语2014246 59.5 190 654 小学英语2014448 59.5 190 655 小学英语2014275 59 192 656 小学英语2014286 59 192 657 小学英语2014487 59 192 658 小学英语2014636 59 192 659 小学英语2014829 59 192 660 小学英语2014051 58.5 197 661 小学英语2014374 58 198 662 小学英语2014654 58 198 663 小学英语2014826 58 198 664 小学英语2014254 57.5 201 665 小学英语2014778 57.5 201 666 小学英语2014199 57 203 667 小学英语2014341 57 203 668 小学英语2014410 57 203 669 小学英语2014460 57 203 670 小学英语2014485 57 203 671 小学英语2014860 57 203 672 小学英语2014120 56.5 209 673 小学英语2014847 56.5 209675 小学英语2014191 56 211 676 小学英语2014482 56 211 677 小学英语2014463 55.5 214 678 小学英语2014211 55 215 679 小学英语2014335 55 215 680 小学英语2014850 55 215 681 小学英语2014548 54.5 218 682 小学英语2014136 54 219 683 小学英语2014070 53.5 220 684 小学英语2014114 53.5 220 685 小学英语2014642 53.5 220 686 小学英语2014734 53.5 220 687 小学英语2014820 53.5 220 688 小学英语2014121 53 225 689 小学英语2014722 52.5 226 690 小学英语2014160 52 227 691 小学英语2014252 52 227 692 小学英语2014281 52 227 693 小学英语2014368 52 227 694 小学英语2014015 51.5 231 695 小学英语2014055 51.5 231 696 小学英语2014399 51.5 231 697 小学英语2014471 51.5 231 698 小学英语2014762 50.5 235 699 小学英语2014761 50 236 700 小学英语2014561 49.5 237701 小学英语2014336 49 238 702 小学英语2014075 48 239 703 小学英语2014266 47.5 240 704 小学英语2014081 46.5 241 705 小学英语2014539 45.5 242 706 小学英语2014328 43.5 243 707 小学英语2014331 32.5 244 708 小学英语2014079 缺考709 小学英语2014126 缺考710 小学英语2014147 缺考711 小学英语2014179 缺考712 小学英语2014279 缺考713 小学英语2014366 缺考714 小学英语2014444 缺考715 小学英语2014481 缺考716 小学英语2014551 缺考717 小学英语2014647 缺考718 小学英语2014747 缺考719 小学英语2014786 缺考720 小学语文2014673 87 1 721 小学语文2014773 86 2 722 小学语文2014704 85.5 3 723 小学语文2014282 84.5 4 724 小学语文2014568 84 5 725 小学语文2014273 83 6 726 小学语文2014239 82.5 7 727 小学语文2014696 81.5 8728 小学语文2014334 80.5 9 729 小学语文2014375 80.5 9 730 小学语文2014759 80.5 9 731 小学语文2014511 79.5 12 732 小学语文2014632 79.5 12 733 小学语文2014862 79.5 12 734 小学语文2014718 79 15 735 小学语文2014777 77.5 16 736 小学语文2014054 77 17 737 小学语文2014262 77 17 738 小学语文2014558 77 17 739 小学语文2014651 77 17 740 小学语文2014581 76.5 21 741 小学语文2014716 76.5 21 742 小学语文2014645 76 23 743 小学语文2014118 75.5 24 744 小学语文2014755 75.5 24 745 小学语文2014175 75 26 746 小学语文2014398 74.5 27 747 小学语文2014587 74.5 27 748 小学语文2014713 74 29 749 小学语文2014834 74 29 750 小学语文2014367 73.5 31 751 小学语文2014842 73.5 31 752 小学语文2014096 73 33 753 小学语文2014240 72.5 34 754 小学语文2014553 72.5 34756 小学语文2014049 71.5 37 757 小学语文2014532 71.5 37 758 小学语文2014745 71.5 37 759 小学语文2014038 71 40 760 小学语文2014518 71 40 761 小学语文2014554 71 40 762 小学语文2014630 71 40 763 小学语文2014816 71 40 764 小学语文2014825 71 40 765 小学语文2014856 71 40 766 小学语文2014086 70.5 47 767 小学语文2014227 70.5 47 768 小学语文2014267 70.5 47 769 小学语文2014509 70.5 47 770 小学语文2014057 70 51 771 小学语文2014092 70 51 772 小学语文2014404 70 51 773 小学语文2014421 70 51 774 小学语文2014536 70 51 775 小学语文2014588 70 51 776 小学语文2014805 70 51 777 小学语文2014048 69 58 778 小学语文2014700 69 58 779 小学语文2014061 68.5 60 780 小学语文2014113 68.5 60 781 小学语文2014360 68.5 60783 小学语文2014817 68 63 784 小学语文2014528 67.5 65 785 小学语文2014036 67 66 786 小学语文2014087 67 66 787 小学语文2014488 66.5 68 788 小学语文2014203 66 69 789 小学语文2014635 66 69 790 小学语文2014643 66 69 791 小学语文2014667 66 69 792 小学语文2014694 66 69 793 小学语文2014799 66 69 794 小学语文2014162 65.5 75 795 小学语文2014333 65.5 75 796 小学语文2014358 65.5 75 797 小学语文2014422 65 78 798 小学语文2014516 65 78 799 小学语文2014607 65 78 800 小学语文2014205 64.5 81 801 小学语文2014723 64.5 81 802 小学语文2014450 64 83 803 小学语文2014005 63.5 84 804 小学语文2014110 63.5 84 805 小学语文2014183 63.5 84 806 小学语文2014565 63 87 807 小学语文2014684 63 87 808 小学语文2014166 62.5 89810 小学语文2014766 62 91 811 小学语文2014053 61.5 92 812 小学语文2014222 61.5 92 813 小学语文2014484 61.5 92 814 小学语文2014604 60.5 95 815 小学语文2014062 60 96 816 小学语文2014089 60 96 817 小学语文2014582 60 96 818 小学语文2014149 59.5 99 819 小学语文2014411 59.5 99 820 小学语文2014433 59.5 99 821 小学语文2014256 59 102 822 小学语文2014708 58 103 823 小学语文2014710 58 103 824 小学语文2014258 57.5 105 825 小学语文2014859 57.5 105 826 小学语文2014124 57 107 827 小学语文2014137 57 107 828 小学语文2014002 56.5 109 829 小学语文2014207 56.5 109 830 小学语文2014337 56.5 109 831 小学语文2014578 56.5 109 832 小学语文2014768 56 113 833 小学语文2014846 55.5 114 834 小学语文2014562 55 115 835 小学语文2014003 54.5 116837 小学语文2014001 54 118 838 小学语文2014442 54 118 839 小学语文2014500 53 120 840 小学语文2014117 52.5 121 841 小学语文2014751 52.5 121 842 小学语文2014283 52 123 843 小学语文2014424 51.5 124 844 小学语文2014083 51 125 845 小学语文2014127 51 125 846 小学语文2014146 50.5 127 847 小学语文2014076 50 128 848 小学语文2014119 50 128 849 小学语文2014074 49.5 130 850 小学语文2014383 49.5 130 851 小学语文2014196 48.5 132 852 小学语文2014396 48.5 132 853 小学语文2014361 48 134 854 小学语文2014749 47.5 135 855 小学语文2014840 46.5 136 856 小学语文2014695 45 137 857 小学语文2014453 40 138 858 小学语文2014251 32 139 859 小学语文2014215 缺考860 小学语文2014216 缺考861 小学语文2014231 缺考862 小学语文2014602 缺考863 小学语文2014728 缺考864 小学语文2014729 缺考865 小学语文2014767 缺考866 小学语文2014837 缺考867 幼儿园教师2014875 84 1 868 幼儿园教师2014892 79 2 869 幼儿园教师2014882 76.5 3 870 幼儿园教师2014910 75.5 4 871 幼儿园教师2014877 75 5 872 幼儿园教师2014895 75 5 873 幼儿园教师2014872 74 7 874 幼儿园教师2014876 73.5 8 875 幼儿园教师2014893 73 9 876 幼儿园教师2014880 72.5 10 877 幼儿园教师2014900 72 11 878 幼儿园教师2014909 72 11 879 幼儿园教师2014879 71 13 880 幼儿园教师2014886 71 13 881 幼儿园教师2014884 69.5 15 882 幼儿园教师2014896 69.5 15 883 幼儿园教师2014890 69 17 884 幼儿园教师2014901 69 17 885 幼儿园教师2014911 69 17 886 幼儿园教师2014904 68 20 887 幼儿园教师2014871 67.5 21 888 幼儿园教师2014888 66 22 889 幼儿园教师2014905 66 22890 幼儿园教师2014869 65.5 24 891 幼儿园教师2014898 65.5 24 892 幼儿园教师2014878 64.5 26 893 幼儿园教师2014908 64.5 26 894 幼儿园教师2014887 62 28 895 幼儿园教师2014873 61.5 29 896 幼儿园教师2014868 60 30 897 幼儿园教师2014883 60 30 898 幼儿园教师2014870 59.5 32 899 幼儿园教师2014906 59.5 32 900 幼儿园教师2014907 59.5 32 901 幼儿园教师2014894 58 35 902 幼儿园教师2014889 57.5 36 903 幼儿园教师2014867 57 37 904 幼儿园教师2014881 56 38 905 幼儿园教师2014885 54.5 39 906 幼儿园教师2014891 52.5 40 907 幼儿园教师2014902 52.5 40 908 幼儿园教师2014903 50 42 909 幼儿园教师2014899 49.5 43 910 幼儿园教师2014897 45 44 911 幼儿园教师2014874 缺考。
2019下半年湖南教师资格证的笔试成绩查询入口12月10日开通,考完后的考生们可以等待时间查询自己的成绩,很多考生都是第一次参加考试,那么成绩查询的流程是怎么样的呢?一起来和小编看一看吧!
第一步:打开中小学教师资格考试网
第二步:点击右下侧“考生服务”中的成绩查询按钮
第三步:选择自己所在省份对应的入口,点击进入
第四步、输入个人姓名+证件号码点击登录查询自己的成绩
成绩合格
卷面分为150分,按标准转换为120分制的70分为通过。
笔试合格线由教育部考试中心确定,具有合格分数线以当次考试成绩查询结果为准。
成绩有效期
笔试单科成绩有效期为2年,笔试和面试全部合格后由教育部考试中心颁发教师资格考试合格证明。
教师资格考试合格证明有效期为3年。
合格证明引入“互联网+证书管理”模式,考生可自行通过中国教育考试网证书查询打印网页版合格证明,提供给认定部门使用。
教师资格考试合格证明是考生申请认定教师资格的必备条件。
中华考试网,是专业的职业考试辅导网站,专注于考试资讯与辅导、视频课程、考试系统研发、考试题库软件等多个方面。
主要面向社会广大考证人群,提供消防工程师,一级建造师,二级建造师,造价工程师,初级会计师,中级会计师,经济师,注册会计师,教师资格证,执业药师,健康管理师,人力资源管理师,出版资格考试,成人高考,银行从业资格考试,证券从业资格考试、育婴师、翻译资格考试、公路检测工程师等400多种考试的资讯与辅导。
【导语】⽆忧考从湖南⼈事考试获悉,2021年湖南岳阳市公务员成绩现已公布,考⽣从即⽇起通过“湖南⼈事考试
()”进⼊查分系统输⼊“姓名”及“⾝份证号”在线查询!
客观题和主观题的阅卷⼯作均采⽤分数处理⾃动化系统,没有⼈⼯登分、核分过程。
根据《湖南省2021年考试录⽤公务员公告》和《湖南省公务员考试录⽤笔试考务操作实施细则(试⾏)》(湘⼈社发﹝2012﹞121号)》规定,除缺考、违纪、零分等特殊情况,原则上不接受考⽣查分。
应考⼈员对考试成绩如有疑问,且属于成绩复查范围,可填写《湖南省公务员考试笔试成绩复查申请表》,本⼈签字后于4⽉21⽇12:00前提交省⼈事考试院。
逾期不再受理考⽣复查申请。
省⼈事考试院收到考⽣申请后,将在纪检监察部门的全程监督下对考⽣的查分申请进⾏复查,复查结果在4⽉26⽇17:00前公布在湖南省⼈事考试。
不在成绩复查范围内的复查申请不予受理。