北京中医药大学远程教育学院有机化学Z第三次作业原题+答案
- 格式:docx
- 大小:27.56 KB
- 文档页数:3
北京中医药大学远程教育学院作业答案【篇一:北京中医药大学远程教育《分析化学z》作业6答案】p> 说明:本次作业发布时间为2012-11-19,您从此时到2013-2-5前提交均有效。
a型题:请从备选答案中选取一个最佳答案1. 以下各种效应中能使沉淀溶解度减小的效应是: [1分]a.温度效应b.盐效应c.同离子效应d.配位效应e.水解效应2. 以下不影响酸碱指示剂使用的因素: [1分]a.湿度b.指示剂的用量c.温度d.溶液离子强度e.溶液溶剂3. 在化学分析过程中为了使称量环节的误差小于0.1%,使用万分之一天平称量的称样量一般不少于:分] [1a.2.0gb.1.0gc.0.5gd.0.2ge.0.02g4. 根据条件电位定义式,以下选项错误的是:分]b.还原型发生副反应,条件电位升高c.氧化型发生副反应,条件电位降低d.溶液的离子强度对条件电位有影响5. 色谱中,某一物质的k→∝,表明该物质: [1分]a.峰面积→∝b.不被洗脱c.随溶剂前沿流出d.tr、vr都很小e.tr’、vr’都很小[16. 下列关于偶然误差不正确的是: [1分]a.偶然误差是可以减小的b.偶然误差具有随机性c.偶然误差由一些不确定的偶然因素造成d.偶然误差具有单向性e.偶然误差在分析中不可避免的7. 32.640-1.5正确的答案是: [1分] a.31.2 b.31.1 c.31.14 d.31e.31.1408. 下列不是滴定分析法对化学反应要求的是:a.必须使用化学指示剂指示终点b.反应有确定的计量关系c.反应速度要足够快d.反应完全,达到99,9以上e.有适当的方法确定终点分] [19. 在色谱分析中,对载体的要求不包括: [1分]a.具有较强的吸附性b.表面应是化学惰性c.具有多孔性d.热稳定性好e.颗粒均匀、细小10. 下列各项措施中,可以消除分析过程中系统误差的是: [1分]a.进行数据统计处理b.增加称样量c.增加平行测定的次数d.进行仪器校正e.减少测定次数11. 用纸色谱分离有机酸时,有拖尾现象,为减少拖尾,可在展开剂中加入少量的:a.水b.二乙胺c.冰醋酸d.石油醚e.正己烷分] [112. 用内标法定量的主要优点是: [1分]a.要求样品中所有组分均出峰b.不需用校正因子c.对进样量要求不严d.样品溶液配制简单e.适合微量组分的定量13. 有效数字是: [1分]a.任意指定的b.根据实验要求而定的c.因测量仪器不同而产生的d.实验后运算而得到的e.由实验人员设定的14. 不适合晶形沉淀的条件是: [1分]a.沉淀完全后放冷过滤b.不断搅拌下慢慢加入沉淀剂c.沉淀剂的浓度要大d.在热溶液中进行e.在稀溶液中制作沉淀【篇二:北京中医药大学远程教育学院推拿按摩z第1次作业答案】分类:北京中医药大学护理学标签:推拿按摩学z 北京中医药大学教育a型题:1. 按压类手法在操作过程中,着力点与接触面(皮肤)之间存在磨擦与位移吗?a.存在。
北京中医药大学22春“公共课”《分析化学Z》作业考核题库高频考点版(参考答案)一.综合考核(共50题)1.应用GC对样品进行分析时,用来定性的依据是组分的()。
A.峰的个数B.保留时间C.峰宽D.峰高E.理论塔板数参考答案:B2.用NaOH标准溶液滴定同浓度的HCl,若两溶液浓度同时减小10倍,其滴定曲线pH突跃的变化应该是()。
A.化学计量点前0.1%的pH值增大,化学计量点后0.1%的pH值减小B.化学计量点前0.1%的pH值减小,化学计量点后0.1%的pH值增大C.化学计量点前后0.1%的pH值均减小D.化学计量点前后0.1%的pH值均增大E.化学计量点前0.1%的pH值不变,化学计量点后0.1%的pH值增大参考答案:A3.在HPLC分离具有酸碱性的样品时,常常向流动相中加入一些酸,碱作为改性剂,常用的酸不包括()。
A.盐酸B.甲酸C.乙酸D.磷酸E.三氟乙酸参考答案:D4.在重量分析法中,为使沉淀反应进行完全,对不易挥发的沉淀剂来说,加入量最好()。
C.过量20%~30%D.过量50%~100%E.沉淀剂达到近饱和参考答案:C5.当以上溶液浓度均为Cmol/L时,pH值最小的是()。
A.NH4OHB.HClC.NaOHD.HAcE.HF参考答案:B6.气相色谱法常用的载气有()。
A.空气B.氮气C.氡气D.氧气E.水蒸汽参考答案:B7.吸光物质紫外吸收光谱的峰位λmax取决于()。
A.电子跃迁能级差B.电子跃迁几率C.溶液浓度D.光程长度E.入射光强度参考答案:A8.B.mi-As曲线C.ms-As曲线D.mi-Ai/As曲线E.mi/ms-Ai/As曲线参考答案:C9.以下不是滴定分析的特点的是()。
A.分析结果精密度、准确度较高B.适用于测定微量或痕量组分的含量C.适用于测定常量组分的含量D.与重量法比较,操作简便、快速E.与仪器分析方法比较,设备简单,价廉参考答案:B10.按酸碱质子理论,H20的共轭碱是()。
北京中医药大学远程教育学院《分析化学Z》1-6次作业答案第一次作业A型题:请从备选答案中选取一个最佳答案1、草酸钠溶液与0.04000mol/ L KMnO4溶液反应,反应完成时两种溶液消耗的体积相等,两者反应的物质的量之比为:2KMnO4~5Na2C2O4, 则草酸钠的浓度[1分]B.0.1000mol/L2. 有关保留时间t R的描述错误的是:[1分]A.色谱柱填充紧密程度不会影响某一物质的t R3. 一组分析数据标准偏差的计算式应为:[1分]B.4. 以下各种变化不影响酸碱指示剂变色的是:[1分]E.滴定剂浓度5. 以下关于系统误差的叙述,错误的是: [1分]D.在同一条件下重复测定中,正负系统误差出现机会相等6. 以下对于测定紫外吸收光谱时溶剂的选择,叙述错误的是:[1分]D.在所测定的波长范围内,溶剂本身有吸收7. 根据条件电位定义式,以下选项错误的是:[1分]E.式中α≤18. 在下面各种振动模式中不产生红外吸收带的是:[1分]D.二氧化碳分子中O=C=O对称伸缩振动9. 分离度R的计算式为:[1分]B.10. 在紫外吸收光谱曲线中,能用来定性的参数是:[1分]E.最大吸收峰的波长和其摩尔吸收系数11. HAc 的pKa=4.76,苯甲酸C6H5COOH 的Ka=4.19,HCOOH的pKa=3.75,HCN 的pKa=9.21,据此,不能用标准碱溶液直接滴定0.1 mol/L 的酸应是:[1分]E.HCN12. 有关酸碱指示剂的描述,正确的是:[1分]D.在一定的pH 值范围内呈现不同的颜色13. 高效液相色谱仪组成不包括:[1分]B.单色器14. 下列不是增大沉淀物溶解度的因素是:[1分]C.同离子效应15. 下列各种类型的电子跃迁,几乎不能发生的是:[1分]D.σ→σ*16. 气相色谱法中“死时间”的准确含义是:[1分]E.完全不与固定相作用组分流经色谱柱的时间17. 对氧化还原滴定,以下叙述错误的是:[1分]B.只要氧化还原反应的≥0.4V,就一定可以用于氧化还原滴定18. 红外光谱法对制样的要求错误的是:[1分]B.样品可以含大量水19. 沉淀的类型与聚集速度有关,影响聚集速度的主要因素是:[1分]E.相对过饱和度20. 下列H2C2O4共轭酸碱对pKa与pKb的关系是:[1分]E.pK a1+pK b2= pK w21. HPLC与GC比较,可以忽略纵向扩散,主要原因是:[1分]D.流动相粘度大22. 分析化学是化学学科中的一个重要分支,分析化学的主要任务不包括[1分]C.明确物质的合成方法23. GC中,色谱柱使用的最高温度取决于:[1分]E.固定液的最高使用温度24. 应用GC对样品进行分析时,用来定性的依据是组分的:[1分]B.保留时间25. 必须采用间接法配制标准溶液的物质[1分]E.NaOH26. 提高配位滴定选择性,消除共存金属离子干扰的最彻底方法是[1分]C.沉淀掩蔽法27. 当单色光通过一吸光介质后:[1分]A.透光率一般小于128. 当共轭体系由顺式变为反式时,其UV光谱的λmax将如何变化[1分]B.红移29. 吸收池使用注意事项中错误的是:[1分]D.只能装到容积1/330. 已知某混合试样A、B、C三组分在硅胶薄层色谱上的R f值的大小顺序为A >B>C,问三组分的极性大小顺序为:[1分]B.C>B>AB型题:下列每组题有多个备选答案,每个备选答案可以使用一次或重复使用,也可以不选,请选择正确答案A.无色玻璃试剂瓶B.量筒C.移液管D.容量瓶E.塑料试剂瓶1. 量取未知液作滴定,应选用:[1分] C.移液管2. 配HCl 标准溶液时量取浓盐酸,应选用:[1分] B.量筒A.H30+B.H20C.OH-D.NH3E.NH4+3. NH3 + H20 = NH4+ + OH反应物中,为酸的是:[1分] E.NH4+4. 按酸碱质子理论,H20的共轭碱是:[1分] C.OH-A.V10,V2=0 C.V1=0,V2>0 D.V1=V2 E.V1>V25. 用盐酸标准溶液滴定混合碱时,至酚酞终点所消耗盐酸体积为V1 mL,继续滴定至甲基橙终点又消耗盐酸的体积V2 mL,如果溶液组成仅含有Na2CO3时,应:[1分] D.V1=V26. 用盐酸标准溶液滴定混合碱时,至酚酞终点所消耗盐酸体积为V1 mL,继续滴定至甲基橙终点又消耗盐酸的体积V2 mL,如果溶液组成为NaOH和Na2CO3时,应:[1分] E.V1>V2A.五位B.四位C.两位D.一位E.三位7. 309.456-1.53计算结果()位有效数字:[1分] A.五位8. pKa=3.05 有效数字():[1分] C.两位第二次作业A型题:请从备选答案中选取一个最佳答案1. 在HPLC操作时,为了避免压力变化,使流动相产生气泡影响检测或降低柱效,要对流动相进行“脱气”,以下不是“脱气”方法的是:[1分]A.加热2. 用NaOH标准溶液滴定同浓度的HCl,若两溶液浓度同时减小10倍,其滴定曲线pH突跃的变化应该是:[1分]A.化学计量点前0.1%的pH值增大,化学计量点后0.1%的pH值减小3. 以下与氧化还原反应速度无关的是:[1分]A.反应平衡常数4. 在重量分析法中,为使沉淀反应进行完全,对不易挥发的沉淀剂来说,加入量最好:[1分]C.过量20%~30%5. 在柱色谱法中,可以用分配系数为零的物质来测定:[1分]D.填料孔隙的体积6. 根据条件电位定义式,以下选项错误的是: [1分]D.溶液的离子强度对条件电位没有影响7. 分离度R的计算式为: [1分]C.8.用已知浓度的NaOH标准溶液,滴定相同浓度不同弱酸时,如果弱酸Ka值越大,则:[1分]D.滴定突跃范围越大9. 气相色谱中选作定量的参数是:[1分]D.峰面积10. 在正相液固色谱中,下列哪个溶剂的洗脱能力最强:[1分]C.甲醇11. 以下不是滴定分析的特点的是:[1分]B.适用于测定微量或痕量组分的含量12. 薄层色谱中对两个斑点间距离不产生影响的因素是: [1分]E.薄层板的宽窄13. 样品中各组分出柱的顺序与流动相性质无关的是:[1分]E.凝胶柱色谱14. 不影响酸碱指示剂使用的条件是:[1分]A.湿度15. 滴定分析中,滴定剂与待测物质刚好完全反应的那一点称为:[1分]B.化学计量点16. 红外光谱法中所说的特征频率区是指4000 cm-1-1250 cm-1的区间,以下对该区间的叙述正确的是:[1分]E.该区特征性很强故称特征区17. 色谱图中,两峰间的距离取决于:[1分]B.相应两组分在两相间的分配系数18. 以下为共轭酸碱对的是[1分]E.H2CO3——CO32-19. 为测定固体试样的红外光谱图,试样制备的方法中不包括: [1分]E.气体池法20. 仪器分析是以物质的物理性质和物理化学性质为基础的一类分析方法,以下不属于仪器分析的是: [1分]D.重量分析21. 如果杂离子与构晶离子的电荷相同、离子半径相近,则易于产生下列那种后沉淀?[1分]C.混晶22. 组分在固定相和流动相中的质量为m s、m m(g),浓度为C s、C m(g/ml),摩尔数为n s、n m(mol),固定相和流动相的体积为V s、V m(ml),此组分的分配系数是: [1分]E.C s/C m3. 用薄层色谱分离生物碱时,有拖尾现象,为减少拖尾,可在展开剂中加入少量的: [1分]B.二乙胺24. 物质的量、物质的摩尔质量、物质的质量三者之间的关系式是:[1分]D.n=m/M25. 关于铬黑T指示剂,以下叙述错误的是:[1分]B.铬黑T是氧化还原的指示剂26. 以下标准溶液必须用标定法配制的是:[1分]D.EDTA标准溶液27. 化学键合固定相的优点不包括:[1分]A.固定相粒度小28. 在色谱分离中,要使两组份完全分离,其分离度应是:[1分]E.>1.529. 32.650-1.5正确的答案是:[1分]B.31.130. 以下除那项以外都是基准物应具备的条件:[1分]E.不含有结晶水B型题:下列每组题有多个备选答案,每个备选答案可以使用一次或重复使用,也可以不选,请选择正确答案A.色谱柱的长度增长B.硅胶的活度增大C.流动相的极性增强D.固定相填充得更加紧密E.色谱柱的长度减小1. 哪个因素可使某物质的容量因子k减小:[1分] C.流动相的极性增强2. 哪个因素可使某物质的容量因子k不变,但保留时间增大:[1分] A.色谱柱的长度增长A.4B.12C.7D.6E.53. 乙炔分子的振动自由度为:[1分] C.74. 某化合物的分子式为C6H6其不饱和度为:[1分] A.4A.ArB.R’C.ClD.HE.R5. 羰基化合物R-CO-X中,若X分别为以下取代基时,C=O伸缩振动频率出现最低波数者为:[1分] A.Ar6. 羰基化合物R-CO-X中,若X分别为以下取代基时,C=O伸缩振动频率出现最高波数者为:[1分] C.ClA.柱色谱B.键合相色谱C.正相色谱D.反相色谱E.离子交换色谱7. 液相色谱中,固定相置于色谱柱中进行分离的色谱方法称为:[1分] A.柱色谱8. 液相色谱中,固定相极性大于流动相极性的色谱方法称为:[1分] C.正相色谱第三次作业A型题:请从备选答案中选取一个最佳答案1. 有0.4000mol/LHCl 溶液1L,欲将其配制成浓度0.5000mol/L溶液,需加入1.000mol/LHCl( )毫升[1分]B.200.02. 即能用于标定氢氧化钠,又能用于标定高锰酸钾溶液的是:[1分]A.优级纯草酸3. 应用GC对样品进行分析时,应用GC对样品进行分析时,用来定性的依据是组分的: [1分]B.保留时间4. 以下试剂能作为基准物质的是:[1分]E.99.99%纯锌5. 下述各项,属于偶然误差的是:[1分]A.两次平行操作实验的读数不一致6. 新的气相色谱柱需在一定温度和载气流量下空载操作一段时间,此操作称为“老化”,老化的目的是:[1分]A.除去多余溶剂或柱内残余物7. 在HPLC分离具有酸碱性的样品时,常常向流动相中加入一些酸,碱作为改性剂,常用的酸不包括:[1分]D.磷酸8. 以HCl滴定某碱,滴定管初读数为0.25±0.01mL,终读数为32.25±0.01mL,则用HCl用溶液的准确体积(mL)为:[1分]D.32.00±0.01mL9. 配位滴定可用于测定:[1分]D.与EDTA结合C M K MY’≥106的金属离子10. 酸式滴定管不能直接盛装:[1分]D.碱性溶液11. 以下不属于氧化还原滴定方法的是:[1分]E.银量法12. 下列试剂可作为基准物质直接配制标准溶液的是:[1分]E.优级纯重铬酸钾13. 下列物质的浓度均为0.1000 mol/L,不能用NaOH 标准溶液直接滴定的是:[1分]E.NH4Cl (pK a=9.25)14. 以下不影响氧化还原反应速度的是:[1分]B.反应平衡常数15. 用0.1000mol/LNaOH标准溶液滴定等浓度的醋酸溶液,化学计量点时溶液的:[1分]B.pH>7.016. 在硅胶薄板上,用丙酮作展开剂,下列哪种化合物的比移值最大[1分]B.芳烃17. 气相色谱法常用的载气有[1分]B.氮气18. 用NaOH标准溶液滴定同浓度的HCl,若两溶液浓度同时增加10倍,其滴定曲线pH突跃的变化应该是:[1分]B.化学计量点前0.1%的平pH值减小,化学计量点后0.1%的pH值增大19. 以下与判断配位滴定能否准确进行无关的是:[1分]A.K MY≥10820. 下列不属于重量分析对称量形式要求:[1分]E.与沉淀形式相同B型题:下列每组题有多个备选答案,每个备选答案可以使用一次或重复使用,也可以不选,请选择正确答案A.展开剂B.显色剂C.指示剂D.固定相E.滴定剂1. 薄层色谱法中,常用三氧化二铝作为:[1分] D.固定相2. 配位滴定中,常用EDTA作为:[1分] E.滴定剂A.同离子效应B.催化反应C.自动催化反应D.酸效应E.配位效应3. MnO4-滴定C2O42-时,速度由慢到快: [1分] C.自动催化反应4. PbSO4沉淀随H2SO4浓度增大溶解度增加: [1分] D.酸效应A.展开剂B.显色剂C.指示剂D.固定相E.滴定剂5. 酸碱滴定中,甲基橙被用作为: [1分] C.指示剂6. 配位滴定中,常用EDTA作为: [1分] E.滴定剂A.增加平行测定次数B.空白试验C.回收实验D.对照试验E.校准仪器7. 可以减少偶然误差的方法是:[1分] A.增加平行测定次数8. 不加样品,与样品在完全相同的条件下操作,属于: [1分] B.空白试验A.消失B.向低波数位移C.向高波数位移D.变化无一定规律E.不变化9. 随环张力增加,红外光谱中环内双键的伸缩振动频率将:[1分] B.向低波数位移10. 随环张力增加,红外光谱中环外双键的伸缩振动频率将:[1分] C.向高波数位移A.可见-紫外分光光度法B.薄层色谱法C.红外分光光度法D.酸碱滴定法E.重量法11. 可以利用溶液颜色变化判断实验结束的方法是:[1分] D.酸碱滴定法12. 样品可以在气、液、固态下都可测定的是:[1分] C.红外分光光度法A.液体石蜡B.纤维素C.聚酰胺D.淀粉E.水13. 纸色谱的分离机理主要属于分配色谱,其固定相的载体是:[1分] B.纤维素14. 纸色谱的分离机理主要属于分配色谱,其固定液是:[1分] E.水A.结晶形状差异B.极性差异C.分子大小差异D.离子强度差异E.熔点差异15. 分配色谱根据物质哪种差异达到分离[1分] B.极性差异16. 吸附色谱根据物质哪种差异达到分离[1分] B.极性差异第四次作业A型题:请从备选答案中选取一个最佳答案1. 分子吸收何种外来辐射后,外层价电子产生跃迁?[1分]A.紫外-可见光2. 以下试剂不能作为基准物质的是:[1分]A.分析纯NaOH3. 纸色谱法常用的展开剂有正丁醇-醋酸-水(4:1:5),对该展开剂正确的操作是:[1分]C.三种溶剂混合后,静止分层,取上层作为展开剂4. 定量分析过程不包括以下步骤:[1分]A.样品调查5. 下列各种类型的电子跃迁,所需能量最大的是:[1分]D.σ→σ*6. 薄层色谱的结果观察错误的方法是:[1分]A.在洗液中浸泡半小时,取出烘至出现斑点7. 将黄铁矿石(FeS2)分解后,其中的硫沉淀为BaSO4,若称量BaSO4的量计算黄铁矿石中的铁含量,则换算因子为:[1分]D.M Fe/2M BaSO48. 绝对偏差是指:[1分]D.单次测定值与平均值之差9. 红外分光光度计使用的检测器是:[1分]E.真空热电偶10. 应用GC对样品进行分析时,在线性范围内与含量成正比的是:[1分]D.峰高11. 光度法中常用空白溶液,其作用错误的是:[1分]E.清洗比色皿12. 关于“色谱用硅胶”叙述正确的是:[1分]B.具有微酸性,适用于分离酸性和中性物质13. 关于准确度与精密度错误的是:[1分]E.精密度高准确度一定高14. 下面哪个参数用来衡量分离效率[1分]E.峰宽15. 不能减免或消除系统误差的方法是:[1分]D.增加测定次数16. R f值:[1分]E.物质的R f值在一定色谱条件下为一定值17. 25.00×5.300×1.6144正确答案是:[1分]B.213.918. 容量因子k与保留值t R’或t R之间的关系式是[1分]A.t R’=t0k19. 气相色谱进样器的温度需要控制,调节温度的原则是:[1分]C.保证样品完全气化20. 吸光度A与透光率T的关系正确的是[1分]C.A=-lgTB型题:下列每组题有多个备选答案,每个备选答案可以使用一次或重复使用,也可以不选,请选择正确答案A.电子跃迁能级差B.电子跃迁几率C.溶液浓度D.光程长度E.入射光强度1. 吸光物质紫外吸收光谱的摩尔吸收系数取决于:[1分] B.电子跃迁几率2. 吸光物质紫外吸收光谱的峰位λmax取决于:[1分] A.电子跃迁能级差A.H3O+B.H2OC.OH-D.NH3E.NH4+3. 按酸碱质子理论,H2O的共轭碱是:[1分] C.OH-4. NH3 + H2O = NH4+ + OH的反应物中为酸的是[1分] E.NH4+A.柱色谱B.键合相色谱C.正相色谱D.反相色谱E.离子交换色谱5. 液相色谱中,固定相极性小于流动相极性的色谱方法称为: [1分] D.反相色谱6. 液相色谱中,固定相置于色谱柱中进行分离的色谱方法称为: [1分] A.柱色谱A.石油醚-乙酸乙酯B.苯-丙酮C.苯-乙醚—二乙胺D.四氯化碳E.正丁醇-水-冰醋酸7. 分离某两个混合碱,最可能的流动相系统是[1分] C.苯-乙醚—二乙胺8. 分离某两个混合酸,最可能的流动相系统是[1分] E.正丁醇-水-冰醋酸A.结晶形状差异B.极性差异C.分子大小差异D.离子强度差异E.在水中的溶解度差异9. 空间排阻色谱根据物质的哪种差异达到分离目的:[1分] C.分子大小差异10. 吸附色谱根据物质的哪种差异达到分离目的:[1分] B.极性差异A.高效液相色谱法B.薄层色谱法C.红外分光光度法D.酸碱滴定法E.重量法11. 应用指示剂指示实验结束的方法是: [1分] D.酸碱滴定法12. 样品可以在气态状态下测定的是: [1分] C.红外分光光度法A.亲和色谱法B.吸附色谱法C.分配色谱法D.离子交换色谱法E.凝胶色谱法13. 以固体吸附剂为固定相,以液体溶剂为流动相的色谱法属于:[1分] B.吸附色谱法14. 以离子交换树脂为固定相,以水的电解质溶液为流动相的色谱属于:[1分]D.离子交换色谱法A.NH4OHB.HClC.NaOHD.HAcE.HF15. 当以上溶液浓度均为C mol/L时,pH值最小的是:[1分] B.HCl16. 当以上溶液浓度均为C mol/L时,pH值最大的是:[1分] C.NaOHA.无线性关系B.mi—As曲线C.ms—As 曲线D.mi-Ai/As曲线E.mi/ms—Ai/As曲线17. 使用内标标准曲线法时,使用的定量关系曲线是: [1分] E.mi/ms—Ai/As 曲线18. 使用外标标准曲线法时,使用的定量关系曲线为:[1分] C.ms—As 曲线第五次作业A型题:请从备选答案中选取一个最佳答案1. 将磷矿石中的磷以Mg NH4PO4形式沉淀,再灼烧为Mg 2P2O7形式称重,以下计算P2O5含量的换算因子正确的表达式是:[1分]D.M P2O5/M Mg2P2O72. 以下关于M+Y=MY的副反应系数和条件稳定常数的叙述,错误的是:[1分]E.[L]越大,αM(L)越小3. 某样品要在247nm测定,这时选择的光源和比色皿应为:[1分]B.氘灯,石英4. 色谱中,某一物质的K为0,表明该物质:[1分]C.随溶剂前沿流出5. 以下不属于氧化还原指示剂的是:[1分]E.金属指示剂6. 下列H2C2O<<SUB>4sub>4共轭酸碱对pK b与pK的关系是:[1分]E.pK a1+pK b2= pK w7. 红外光谱法样品不能是[1分]E.含水样品8. EDTA可用于测定:[1分]D.与EDTA结合C M K MY’≥106的金属离子9. 在薄层色谱的操作中,有关点样操作错误的是:[1分]D.样品应该点在薄层板长边正中央那条线上10. 用紫外可见分光光度法定量时,样品溶液的吸光度在什么范围内,测量才较准确:[1分]A.0.2-0.711. 容量因子k与R f之间的关系式是:[1分]C.R f =1/(k+1)12. 无水碳酸钠标定盐酸时,对盐酸浓度无影响的是:[1分]D.锥形瓶洗净后未干燥13. 气相色谱进样操作要求“瞬间快速”是为了:[1分]B.保证样品“瞬间”完全气化,同时进入色谱柱14. 用吸附薄层色谱法分离生物碱时,为减少生物碱斑点的拖尾,可加入:[1分]B.二乙胺15. 采用苯和甲醇(1:3)为展开剂,在硅胶A及硅胶B薄层板上,喹唑啉的R f值分别为0.50与0.40,问:[1分]C.硅胶B比硅胶A的活性大16. 对氧化还原滴定,以下叙述错误的是:[1分]B.只要氧化还原反应的≥0.4V,就一定可以用于氧化还原滴定17. 按质子理论,Na2HPO4是:[1分]E.两性物质18. 以下操作不能可以帮助减少薄层色谱边缘效应的是:[1分]A.减小薄层的厚度19. 下面哪个参数为色谱定量的参数:[1分]D.峰面积20. 滴定分析中,常用指示剂颜色发生突变的那一点来终止滴定操作,将至一点称为:[1分]D.滴定终点B型题:下列每组题有多个备选答案,每个备选答案可以使用一次或重复使用,也可以不选,请选择正确答案A.以上指示剂均不可B.酚酞C.中性红(变色范围pH6.8~8.0)D.铬黑TE.A和B均可1. 以C(HCl)=0.001000mol/L的标准溶液滴定20.00mL 同浓度的NaOH 溶液,可选用的指示剂是:[1分]C.中性红(变色范围pH6.8~8.0)2. 以C(NaOH)=0.1000mol/L的标准溶液滴定20.00mL同浓度的HCl溶液,可选用的指示剂:[1分]E.A和B均可A.薄层板的长度B.硅胶的活度C.流动相的极性D.薄层操作的温度E.硅胶的粒度3. 硅胶薄层色谱中,不影响物质的比移值Rf因素的是:[1分] A.薄层板的长度4. 硅胶薄层色谱中,不影响物质的容量因子k因素的是:[1分] A.薄层板的长度A.可见-紫外分光光度法B.薄层色谱法C.红外分光光度法D.酸碱滴定法E.重量法5. 可以利用溶液颜色变化判断实验结束的方法是:[1分] D.酸碱滴定法6. 常用喷显色剂指示样品斑点位置的方法是:[1分] C.红外分光光度法A.由纯振动能级跃迁而产生的光谱B.由电子能级跃迁产生的光谱C.由振动转动能级跃迁而产生的光谱D.由纯转动能级跃迁而产生的光谱E.由原子核自旋能级跃迁而产生的光谱7. 红外吸收光谱是由:[1分] C.由振动转动能级跃迁而产生的光谱8. 紫外吸收光谱是由:[1分] B.由电子能级跃迁产生的光谱A.配位滴定B.返滴定C.置换滴定D.直接滴定E.间接滴定9. 在滴定分析法中,由于没有合适的指示剂确定终点,可采用:[1分] E.间接滴定10. 在滴定分析法中,由于被测物难溶,可采用:[1分] B.返滴定A.4000-1600cm-1B.4000-400cm-1C.4000-1300cm-1D.1300-200cm-1 E.1300-400cm -111. 红外光谱的指纹区的波数范围是:[1分] E.1300-400cm -112. 红外光谱的特征区的波数范围是:[1分] C.4000-1300cm-1A.8.7~5.3B.8.7~4.3C.9.7~ 5.3D.10.7~5.3E.10.7~3.313. 用0.1000mol/LHCl 滴定同浓度的NaOH pH突跃范围为9.7~4.3,若HCl 和NaOH的浓度均增大10倍,pH突跃范围是:[1分] E.10.7~3.314. 用0.1000mol/LHCl 滴定同浓度的NaOH pH突跃范围为9.7~4.3,若HCl 和NaOH的浓度均减小10倍,pH突跃范围是:[1分] A.8.7~5.3A.展开剂B.显色剂C.指示剂D.固定相E.滴定剂15. 酸碱滴定中,甲基橙被用作为:[1分] C.指示剂16. 薄层色谱法中,常用三氧化二铝作为:[1分] D.固定相A.氧化性溶液B.无色溶液C.中性溶液D.碱性溶液E.有色溶液17. 酸式滴定管不能直接盛装:[1分] D.碱性溶液18. 碱式滴定管不能直接盛装:[1分] A.氧化性溶液第六次作业A型题:请从备选答案中选取一个最佳答案1. 有效数字是:[1分]C.因测量仪器不同而产生的2. 用内标法定量的主要优点是:[1分]C.对进样量要求不严3. 死时间t0:[1分]D.为不被固定相保留的物质从进柱到出峰最大值所用时间4. 以下不影响酸碱指示剂使用的因素:[1分]A.湿度5. 色谱所用的氧化铝:[1分]D.有碱性、中性和酸性三种,而中性氧化铝使用最多6. 提高配位滴定选择性,消除共存金属离子干扰的最简便方法是:[1分]B.配位掩蔽法7. 用纸色谱分离有机酸时,有拖尾现象,为减少拖尾,可在展开剂中加入少量的:[1分]C.冰醋酸8. 32.640-1.5正确的答案是:[1分]B.31.19. 在色谱分析中,对载体的要求不包括:[1分]A.具有较强的吸附性10. 在反相HPLC中,对于流动相极性、固定相极性、组分出峰顺序以下正确的是:[1分]B.流动相极性大于固定相极性,极性大的组分先出峰11. 下列各项措施中,可以消除分析过程中系统误差的是:[1分]D.进行仪器校正12. 已知某混合试样A、B、C三组分的分配系数分别为440、480、520,问三组分在同一薄层板上R f值的大小顺序为[1分]B.A>B>C13. 在正相分配色谱中,保留时间长的组分是:[1分]B.固定相溶解度大的14. 以下各种效应中能使沉淀溶解度减小的效应是:[1分]C.同离子效应15. 对氧化还原滴定,以下叙述错误的是:[1分]E.滴定反应中如有物质发生副反应,会影响相关电对的条件电位,但不影响滴定突跃的大小16. 某化合物在1400-1600cm-1有4个吸收峰,该化合物可能含()官能团:[1分]C.苯环17. 色谱中,某一物质的K→∝,表明该物质:[1分]B.不被洗脱18. 下面哪个参数为定性参数:[1分]B.保留时间19. 不适合晶形沉淀的条件是:[1分]C.沉淀剂的浓度要大20. 下列不是滴定分析法对化学反应要求的是:[1分]A.必须使用化学指示剂指示终点21. 定量分析的任务是:[1分]D.明确物质中某种组份的相对含量22. 在化学分析过程中为了使称量环节的误差小于0.1%,使用万分之一天平称量的称样量一般不少于:[1分]D.0.2g23. 下列关于偶然误差不正确的是:[1分]D.偶然误差具有单向性24. 根据条件电位定义式,以下选项错误的是:[1分]A.式中γ≥1B型题:下列每组题有多个备选答案,每个备选答案可以使用一次或重复使用,也可以不选,请选择正确答案A.3.00000gB.3.0gC.3.00gD.3.000gE.3.0000g1. 用分度值为0.01mg的天平称出3g试样,应记录为:[1分] A.3.00000g2. 用分度值为10mg的天平称出3g试样,应记录为:[1分] C.3.00gA.硫酸B.水C.硅胶D.硅油E.玻璃板3. 以下物质可以在反相液液分配色谱中作为固定液使用的是:[1分] D.硅油4. 以下物质可以在正相液液分配色谱中作为固定液使用的是:[1分] B.水A.邻苯二甲酸氢钾B.NaHCO3C.NaB2O7.10H2OD.AgNO3E.ZnO5. 标定HCl标准溶液常用[1分] C.NaB2O7.10H2O6. 标定NaOH 标准溶液常用[1分] A.邻苯二甲酸氢钾A.氧化性B.中性C.碱性D.无色E.有色7. 酸式滴定管不能盛装以上何种溶液:[1分] C.碱性8. 碱式滴定管不能盛装以上何种溶液:[1分] A.氧化性A.以上都可以B.离子交换色谱法C.凝胶色谱法D.吸附色谱法E.分配色谱法9. 固定相可反复使用,且保存时需转型成盐型的方法是:[1分] B.离子交换色谱法10. 纸色谱属于:[1分] E.分配色谱法A.结晶形状差异B.极性差异C.分子大小差异D.离子强度差异E.在水中的溶解度差异11. 吸附色谱根据物质哪种差异达到分离:[1分] B.极性差异12. 空间排阻色谱根据物质哪种差异达到分离:[1分] C.分子大小差异A.lgK MIn’B.pK HInC.pK MIn’±1D. ±1E. ±(0.059/n)13. 配位滴定终点溶液的pM'是:[1分] A.lgK MIn’14. 氧化还原指示剂的理论变色范围是:[1分] D. ±1。
北京中医药大学远程教育学院有机化学各章习题第一章绪论指出下列化合物所含官能团的名称按照开库勒及古柏尔等所提出的经典有机化合物结构理论, 写出下列分子式的各种可能结构式1. CO22. C4H103.C2H7N4. CH2O21. O=C=O3.4.第二章烷烃、命名下列化合物1. (CH3)2CHCH2CH2CH3 2-甲基戊烷1. CH3CH CHCH3双键3. CH 3CH —CH3OH5.CH3CH3CCH37. CH3CH2C-OH7^2X3S-羰基羧基9.CH3O CH2CH3醚基2.CH3CH2CI 卤基2. CH3CH2C(CH3)2CH2CH33. (C2H5)2C(CH3)CH2CH34. CH 3CH2CH(CH 3)CH(CH 3)CH(CH 3)2 2, 3, 4-三甲基己烷5. C H3C H2CH(CH3)CH2CH-CH2CH3CH2—CH2CH33-甲基-5-乙基辛烷6. (CH 3)3CCH 2C(CH 3)2 2, 2, 4-三甲基戊烷7. (CH 3)2CHCH 2CH 2CH(CH 2CH 3)2 2-甲基-5-乙基庚烷8. (CH 3)2CHCH(CH 3)CH 2C(CH 2CH 3)2CH 39. (CH T2CHC(C2H5)2CH2CH2CH3CH3写出下列化合物的系统名称三、写出下列化合物的结构式1. 2, 2, 3, 3—四甲基戊烷2. 2, 3—二甲基丁烷3. 3, 4, 4, 5—四甲基庚烷3, 3-二甲基戊烷3-甲基-3-乙基戊烷2, 3, 5-三甲基-5-乙基庚烷2-甲基-3, 3-二乙基己烷10.CH3CH-CH CH CH2CH3CH3 CH2CH2-CH33-甲基-4-异丙基庚烷2, 2-二甲基丙烷4. 3, 4—二甲基一4—乙基庚烷5. 2, 4—二甲基一4—乙基庚烷6. 2, 5—二甲基己烷7. 2 —甲基一3 —乙基戊烷8. 2, 2, 4—三甲基戊烷9. 3, 4—二氯一2, 5—二甲基己烷10. 5—(1, 2—二甲基丙基)一6—甲基十二烷第三章烯烃一、用系统命名法命名下列化合物1. CH3CH2CH2CCH2C H3CH2 2-乙基-1-戊烯2. CH 3CH 2C^CH 2CH 33. CH 3CHCH 2CH = CHCH 3CHCHCH 3CH 3写出下列化合物的结构式1. 四乙基乙烯2.对称二乙基乙烯3. 不对称甲基乙基乙烯4. 2,3,3,4—四甲基一1—戊烯三、完成下列反应式,写出主要产物的结构式4.CH 3CH 2CHCHCH 2CH 2CH 33-庚烯2-甲基丁烯6-甲基-4-乙基-2-庚烯第四章 炔烃和二烯烃用系统命名法命名下列化合物1. CH 3C^≡ CCH 32. CH 三 CCH 2CH 3CH 35. CH 3C =CCH 3CH = CH 26. CH 3C = C ——C=CHCH 2CH 33.CH 3CHCH 2C=CHCH 34-甲基-1-戊炔4.CH^^= CHCH 2CH 2C^≡ CH1-己烯-5炔CH=CH 24-乙烯基-4-庚烯-2-炔7.3HC 、CH_=C3HCCH 3C 厂 CH 3CH3 2, 2, 5-三甲基-3-己炔2-丁炔1-丁炔 3, 4-二甲基-1, 3-戊二烯” CH 3CH ?—C CH 3CH 34, 4-二甲基-1-苯基-1-戊炔写出下列化合物的结构式1. 4—甲基一2—戊炔2. 3—甲基一 3—戊烯一1—炔3. 二异丙基乙炔4. 1, 5—己二炔5. 1—溴一1—丁炔6. 乙烯基乙炔7. 4—十二碳烯一2—炔8. 3—甲基一 3—戊烯一1—炔三、完成下列反应式,写出主要产物的结构式8.C 三C1.第六章命名下列化合物CH 3I /CH 3 C —CH 3 2.叔丁基苯芳香烃NO 2COOH3, 4-二硝基苯甲酸第五章脂肪烃用系统命名法命名下列化合物1. 环己基环己烷2. 二螺[5, 1, 6, 2]十六烷1.—V4-环丙基-1-丁烯Cl4-氯甲苯NO 24-硝基乙苯写出下列化合物的结构式1. 间二硝基苯2. 对溴硝基苯3. 对羟基苯甲酸4. 2, 4, 6—三硝基苯酚5. 对氯苄氯6. CH 厂C-CH-CH 32-苯基-2-丁烯7环己基苯6. 3,5—二硝基苯甲酸三、完成下列反应式Cl2.—NO 2CH(CH 3)2r A.4.1C — CH 3O3四、以苯为原料合成下列化合物C ——OH 3. ISO 3H第七章卤代烷烃命名下列化合物3. CH 2CH 2CH 2CH 2Br二、写出下列化合物的结构式1. I.CH 3CH —CHCH 3 ClCHCH 3 CH 32, 4 — 3—氯一—甲基戊烷2. CH CH CH 3 CHCHCH 3 Cl3, 4-二甲基-2-氯戊烷5.CHCl 31, 5—二溴戊烷1 —氯环戊烷 氯代环戊烷三氯甲烷(氯仿)1.1. 烯丙基溴2. 1 —氯一2—苯基一乙烷3. 间一氯乙苯4. 4—溴一2—甲基一3—乙基戊烷5. 3—氯环己烯命名下列化合物CH 2CH 33.CH 3CCH 2CH 2CH 3OH3—甲基 4.CH 3CH 2CH 2CH 2CH 2CH 2OH3—己醇1—己醇第八章 醇酚、醚3—甲基环己醇1—甲基环戊醇5.CH3CHCH2CH2CH3 OH、写出下列化合物的结构式1. 甲基乙基醚2. 乙基异丙基醚3. 戊醇一24. 4—甲基环己醇5. 邻氯苯酚三、完成下列反应式,写出主要产物的结构式CH3 PBr31∙"CHCH2CH2OH —CH34. CH3CH2CH2CH2ΟH5. CH3CH2CHOH + Hel(ZnCI 2)CH3第九章醛、酮、醌2—戊醇2.[O]用系统命名法命名下列化合物O//1∙ CH3CH2CH2CH2CH2C-H、写出下列化合物的结构式1. 2—甲基乙醛2. 异丁醛己醛2.CH3CH2CHCHCH 32CH2CH2C-H3.CH3CHCH2CH2CH2C—HCH3月4. CH3CCH2CH2CH5. C H3CHCH2CCH35—甲基庚醛5—甲基己醛2 —戊酮戊酮一24 —甲基一2—戊酮对苯醌邻苯醌CH33. 3—甲基辛醛4. 3—甲基庚酮一25. 氨基脲6. 苯甲醛7. 环己酮8. 苯乙醛三、完成下列反应式,写出主要产物的结构式^P CHo + B r乙酸-kx 2NaBH444. CH3CH2CH2CCH3+ HCN (不反应)I2+ NaOH 3.CHO5∙CH 3CH 2C O H 2CH 3+ H 2N-OHCH 2CH 38.CH 3CH 2CH 2CH 2CH 2COH+ NaHSO 3第十章 羧酸及其衍生物用系统命名法命名下列化合物Z OI QH 3C HCHCH 2C H 2C H 2C-O HH 3C CH 3Z O3. CH 2=C —C — OHCH 3Q4. CH 3CH 2CHC —ClBrZ QH 3CH 2CH 2CH 2CH 2CH 2C-OH 庚酸6.CH 3CH 2CH 2COH 2CH 3CH 3CH 2CH 2C7.CH 3CH 2C 0HKMnO 45, 6—二甲基庚酸2—甲基丙烯酸2—溴丁酰氯Q o6.CH3CCH2C—OCH2CH37.CH3CH2C0N^CH38.CH3CH2C0。
《医用药理学Z》第3次作业A型题:请从备选答案中选取一个最佳答案1.氯丙嗪没有以下哪一种作用?() [1分]D.抗惊厥2. 骨折剧痛应选用() [1分]D.哌替啶3. 地西泮不用于() [1分]D.诱导麻醉4. 阿司匹林引起的凝血障碍可用()预防 [1分]D.维生素K5. 喷他佐辛的主要特点是( ) [1分]D.成瘾性很小,已列人非麻醉品6. 苯巴比妥不宜用于() [1分]E.失神小发作7. 氯丙嗪能阻断 [1分]B.α受体8. 阿司匹林可以 [1分]E.抑制前列腺素合成9. 下列地西泮叙述错误项是() [1分]C.具有抗抑郁作用10. 吗啡对中枢神经系统的作用是() [1分]B.镇痛,镇静,镇咳,缩瞳,致吐11. 下列哪项不属于吗啡的禁忌症?() [1分]D.心源性哮喘12. 吗啡作用机制是() [1分]B.激动体内阿片受体13. 氯丙嗪用于: [1分]D.精神分裂症14. 能很有效地治疗癫痫大发作而又无催眠作用的药物是( ) [1分]A.苯妥英钠15. 治疗抑郁症应选用() [1分]D.丙咪嗪16. 小剂量氯丙嗪镇吐作用的部位是() [1分]D.延脑催吐化学感受区17. 镇痛作用效价强度最高的药物是() [1分]B.芬太尼18. 心源性哮喘应选用 [1分]D.哌替啶19. 氯丙嗪能 [1分]D.阻断多巴胺受体20. 下列阿片受体拮抗剂是() [1分]C.纳洛酮21. 哌替啶用于治疗胆绞痛时应合用 [1分]E.阿托品22. 下列不属于氯丙嗪的药理作用项是() [1分]C.激动多巴胺受体23. 对癫痫小发作疗效最好的药物是() [1分]A.乙琥胺24. 阿司匹林的解热特点主要是() [1分]A.只降低发热体温,不影响正常体温25. 地西泮的作用机制是() [1分]C.作用于苯二氮卓受体,增加GABA与GABA受体亲和力26. 属成瘾性镇痛药是 [1分]E.哌替啶(杜冷丁)27. 碳酸锂主要用于治疗() [1分]C.躁狂症28. 有关苯胺类解热镇痛药叙述中的错误之处是() [1分]B.有消炎抗风湿作用29. 对癫痫大、小发作、精神运动性发作均有效的药物是 [1分]D.丙戊酸钠30. 不具有抗炎、抗风湿作用的解热镇痛药是 [1分]B.苯胺类解热镇痛药31. 有关地西泮的叙述,哪项是错误的? [1分]D.较大量可引起全身麻醉32. 地西泮适用于 [1分]B.惊厥33. 阿司匹林适用于 [1分]D.风湿病34. 氯丙嗪能使下列哪一激素分泌增加?() [1分]C.催乳素35. 癫痫持续状态的首选药物是() [1分]C.地西泮(安定)36. 下列能增加左旋多巴疗效同时又减轻不良反应的药物是() [1分]C.卡比多巴37. 解热镇痛抗炎药抗炎作用机制是() [1分]D.抑制前列腺素合成38. 哌替啶作用于 [1分]D.阿片受体39. 地西泮作用于 [1分]C.苯二氮卓受体40. 阿司匹林不具有下列哪项不良反应?() [1分]D.水钠潴留41. 氯丙嗪抗精神病的作用机制是阻断() [1分]C.中脑皮质通路及中脑边缘系统多巴胺受体42. 氯丙嗪引起的锥体外系反应不包括哪一项?() [1分]B.肌强直及运动增加43. 苯巴比妥过量急性中毒,为加速其从肾脏排泄,应采取的主要措施是 [1分]B.静滴碳酸氢钠44. 地西泮不用于: [1分]D.精神分裂症45. 吗啡不能用于慢性钝痛,其主要原因是() [1分]C.连续反复多次应用会成瘾B型题:下列每组题有多个备选答案,每个备选答案可以使用一次或重复使用,也可以不选,请选择正确答案1. 抑制脑内去甲肾上腺素和多巴胺(DA)的释放 [1分]E.碳酸锂2. 阻断脑内多巴胺受体 [1分]C.氯丙嗪3. 能抑制脑内NA再摄取 [1分]D.丙咪4. 左旋多巴的作用机制 [1分]A.补充纹状体DA的不足5. 苯海索的作用机制 [1分]D.阻断中枢胆碱受体6. 具有抗焦虑和中枢性肌松作用的药物是() [1分]A.地西泮7. 具有抗癫痫和麻醉作用的药物是() [1分]B.苯巴比妥钠8. 吗啡禁用于头部外伤的原因是() [1分]E.升高颅内压9. 吗啡用于治疗心源性哮喘的机理是() [1分]C.降低呼吸中枢对二氧化碳的敏感性。
北京中医药大学远程教育学院有机化学各章习题第一章 绪论一、 指出以下化合物所含官能团的名称CHCH 3CH 3CH1. 双键 CH 3CH 2Cl2. 卤基CH 3CH 3CHOH3. 羟基2氨基5.CH 3CH 3CCH 3O羰基 CH 3O CH 6. 醛基CH 3CH 2C OOH 7. 羧基NO 28.硝基CH 3CH 2CH 3O9. 醚基 CH 3CH 2CN 10. 氰基二、 按照开库勒及古柏尔等所提出的经典有机化合物结构理论,写出以下分子式的各种可能结构式CO 21. C 4H 102. C 2H 7N 3. CH 2O 24.1. O=C=O2.3. 4.第二章 烷烃一、 命名以下化合物(CH 3)CHCH 2CH 2CH 321. 2-甲基戊烷CH 3CH 2C(CH 3)2CH 2CH 32. 3, 3-二甲基戊烷 (C 2H 5)2C(CH 3)CH 2CH 33. 3-甲基-3-乙基戊烷CH 3CH 2CH(CH 3)CH(CH 3)CH(CH 3)24. 2, 3, 4-三甲基己烷 CH 3CH 2CH(CH 3)CH 2CHCH 2CH 3CH 2CH 3CH 25. 3-甲基-5-乙基辛烷(CH 3)3CCH 2C(CH 3)26. 2, 2, 4-三甲基戊烷 (CH 3)2CHCH 2CH 2CH(CH 2CH 3)27. 2-甲基-5-乙基庚烷 (CH 3)2CHCH(CH 3)CH 2C(CH 2CH 3)2CH 38. 2, 3, 5-三甲基-5-乙基庚烷 (CH 3)2CHC(C 2H 5)2CH 2CH 2CH 39. 2-甲基-3, 3-二乙基己烷CH 3CH 10.CH 2CH 3CHCH 3CH 2CH 2CH CH 3CH 33-甲基-4-异丙基庚烷二、 写出以下化合物的系统名称1.2.3.丙烷 丁烷 异丁烷4.5.6.2, 2-二甲基丙烷 2, 3-二甲基丁烷 3-乙基戊烷三、写出以下化合物的结构式 1. 2,2,3,3—四甲基戊烷2. 2,3—二甲基丁烷3. 3,4,4,5—四甲基庚烷4. 3,4—二甲基—4—乙基庚烷5. 2,4—二甲基—4—乙基庚烷6. 2,5—二甲基己烷7. 2—甲基—3—乙基戊烷8. 2,2,4—三甲基戊烷9. 3,4—二氯—2,5—二甲基己烷 10. 5—〔1,2—二甲基丙基〕—6—甲基十二烷第三章 烯烃一、 用系统命名法命名以下化合物CH 3CH 2CH 2CCH 2CH 3CH 21. 2-乙基-1-戊烯CH 3CH 2CCH 32.CH 22-甲基丁烯CH 3CHCH 2CH CHCH 3CHCHCH 3CH 33. 6-甲基-4-乙基-2-庚烯CH 3CH 2CHCHCH 2CH 2CH 34. 3-庚烯二、 写出以下化合物的结构式1. 四乙基乙烯2. 对称二乙基乙烯3. 不对称甲基乙基乙烯4. 2,3,3,4—四甲基—1—戊烯三、 完成以下反响式,写出主要产物的结构式第四章 炔烃和二烯烃一、 用系统命名法命名以下化合物CH 3CCCH 31. 2-丁炔 CHCCH 2CH 32. 1-丁炔CH 3CHCH 2CCHCH 33. 4-甲基-1-戊炔CH 2CHCH 2CH 2CCH 4. 1-己烯-5炔CH 3CCH 3CCH 3CHCH 25. 3, 4-二甲基-1, 3-戊二烯CH 3CC C CHCH 2CH 3CHCH 26. 4-乙烯基-4-庚烯-2-炔CH 3HC3HCC CC CH 3CH 3CH 37. 2, 2, 5-三甲基-3-己炔C CC CH 3CH 3CH 3CH 28.4,4-二甲基-1-苯基-1-戊炔二、 写出以下化合物的结构式1. 4—甲基—2—戊炔2. 3—甲基—3—戊烯—1—炔3. 二异丙基乙炔4. 1,5—己二炔5. 1—溴—1—丁炔6. 乙烯基乙炔7. 4—十二碳烯—2—炔8. 3—甲基—3—戊烯—1—炔三、 完成以下反响式,写出主要产物的结构式第五章 脂肪烃一、 用系统命名法命名以下化合物1. 4-环丙基-1-丁烯2.5-甲基-4-环丙基-2-庚烯二、写出以下化合物的结构式1. 环己基环己烷2. 二螺[5,1,6,2]十六烷第六章 芳香烃一、 命名以下化合物C CH 3CH 3CH 31.CH 3Cl2.C 2H 5NO 23.NO 2NO 24.COOH叔丁基苯 4-氯甲苯 4-硝基乙苯 3, 4-二硝基苯甲酸CH 2OH5.CCHCH 3CH 36.7.苯甲醇 2-苯基-2-丁烯 环己基苯二、 写出以下化合物的结构式1. 间二硝基苯2. 对溴硝基苯3. 对羟基苯甲酸4. 2,4,6—三硝基苯酚5. 对氯苄氯6. 3,5—二硝基苯甲酸三、 完成以下反响式四、 以苯为原料合成以下化合物ClCH 31.ClNO 22.CNO 2OH O SO 3H3.4.CH(CH 3)2CCH 3O第七章卤代烷烃一、命名以下化合物1.CH3CH CH CHCH3CH3Cl CH31.2,4—3—氯—二甲基戊烷CH3CH CH CHCH3CH3ClCH32.3, 4-二甲基-2-氯戊烷CH2CH2CH2CH2BrBr3.1,5—二溴戊烷Cl4.1—氯环戊烷氯代环戊烷CHCl35.三氯甲烷〔氯仿〕二、写出以下化合物的结构式1. 烯丙基溴2. 1—氯—2—苯基—乙烷3. 间—氯乙苯4. 4—溴—2—甲基—3—乙基戊烷5. 3—氯环己烯第八章 醇、酚、醚一、 命名以下化合物CH 3OH1.3—甲基环己醇OH 3HC2.1—甲基环戊醇1.CH 3CCH 2CH 2CH 3OHCH 2CH 33. 3—甲基—3—己醇CH 3CH 2CH 2CH 2CH 2CH 2OH 4. 1—己醇CH 3CHCH 2CH 2CH 3OH5. 2—戊醇二、写出以下化合物的结构式 1. 甲基乙基醚2. 乙基异丙基醚3. 戊醇—24. 4—甲基环己醇5. 邻氯苯酚三、完成以下反响式,写出主要产物的结构式CHCH 2CH 2OH CH 3CH 3PBr 1.OHSOCl 22.CH 2OHHONaOH/H 2O3.CH 3CH 2CH 2CH 2OH[O]4.CH 3CH 2CHOH CH 3HCl(ZnCl 25.+第九章 醛、酮、醌一、 用系统命名法命名以下化合物CH 3CH 2CH 2CH 2CH 2C OH 1.己醛CH 3CH 2CHCH 2CH 2CH 2CHCH 3O2. 5—甲基庚醛CH 3CHCH 2CH 2CH 2CHCH 3O3. 5—甲基己醛CH 3C OCH 2CH 2CH 34. 2—戊酮 戊酮—2CH 3CHCH 2CCH 3O5.CH 34—甲基—2—戊酮OO 6.对苯醌OO 7.邻苯醌二、写出以下化合物的结构式1. 2—甲基乙醛2. 异丁醛3. 3—甲基辛醛4. 3—甲基庚酮—25. 氨基脲6. 苯甲醛7. 环己酮8. 苯乙醛三、完成以下反响式,写出主要产物的结构式CHO + Br1.CHO+ I 2 + NaOH2.(不反响)CHO+ NaBH 3.4.CH 3CH 2CH 2CCH 3O+ HCN5.CH 3CH 2CCH 2CH 3O+ H 2N OH6.CH 3CH 2CH 2CCH 2CH 3O+ H 2NNHCH 3CH 2CH 2CCH 2CH 3N NHCH 3CH 2CHOKMnO 47.8.CH 3CH 2CH 2CH 2CH 2C O+ NaHSO 3H第十章 羧酸及其衍生物一、 用系统命名法命名以下化合物OHOCH 3CHCHCH 2CH 2CH 2C H 3C CH 31. 5,6—二甲基庚酸OOH CH 3CH 2CH 2CH 2CH 2CH 2C2. 庚酸OHCH 33.OCH 2C C 2—甲基丙烯酸4.CH 3CH 2CHCOClBr2—溴丁酰氯C C 5.O O O邻苯二甲酸酐OCH 2CH 3CH 3C CH 2C O 6.O乙酰乙酸乙酯CH 3CH 3CH 2C O7.NHN —甲基丙酰胺CH 3CH 2CCH 3O8.CO O乙丙酸酐二、写出以下化合物的结构式1. 3—甲基庚酸2. 2—甲基—3—乙基辛酸3. 丁二酸酐4. 邻苯二甲酸酐5. 丙酸乙酯6. N ,N —二乙基乙酰胺7. 异丁酰氯8. 邻甲基苯甲酰溴三、完成以下反响式,写出主要产物的结构式CH 3CH 3COOH + HOCH 2CH1.2.CH 3CH 2C CH 3CH 2COO+ HOCH 2CH 33.OO C C OH OHHCOCH 2CH 2CH 3O4. + NH 3C OO CH 3H 3CC O5.+CH 2OHOCH 3C Cl +HOCH 2CH 2CH 6.OCH 3CH 2CNH 2+CH 3CH 2CH 2OH7.OCH 2OHC8.+OH+第十一章 取代羧酸一、 用系统命名法命名以下化合物CH 3CHCH 2CHCCH 3ClOHO1. 2—氯—4—甲基戊酸CHCCH 3ClOO2.CH 2CH 3CH 3CH 2CH 2C2—氯—3—甲基己酸乙酯CHC OHO3.CH 3CH 2NH 22—氨基丁酸CCH 3OO4.CH 2CH 2CHCH 3CH 2CHCH 3CH 32—甲基丁酸异戊酯CH 2COCH 25.O苯乙酸苯甲酯二、写出以下化合物的结构式1. 乙酰乙酸乙酯2. 苯甲酸苯酯3. 3—氯丁酸乙酯4. α—氨基戊酸5. β—甲基戊酰氯三、完成以下反响式,写出主要产物的结构式1.Cl+ H 2OOH CH 3CH 2CHCOCOHO2.CH 3CCH 2CH 2OCOH O3.CH 3CH 2+OH4.+OCH 2CH 3CH 3CCH 2C OO Br 2/Cl 2NHCH 3CCH 2COCH 2CH 3OO +H 2N5.NH5.OCH 2CH 3NHOHCCH 3CH 2C O第十二章 糖类1. 葡萄糖的半羧醛羟基是〔A 〕。
《方剂学Z》第3次作业A型题:请从备选答案中选取一个最佳答案1. 温脾汤的组成药物中不含:[1分]B.白术2. “苦寒直折”的代表方剂是: [1分]E.黄连解毒汤3. 三仁汤组成药物中的“三仁”是:[1分]E.杏仁白蔻仁薏苡仁4. 败毒散中配伍少量人参的意义在于:[1分]D.扶正祛邪5. 以下诸剂中除( )外,均属“十剂”的内容:[1分]A.寒剂热剂6. 天门冬、麦门冬同用的方剂是:[1分]D.天王补心丹7. 逍遥散的组成药物除柴胡、甘草外,其余是:[1分]A.芍药白术当归薄荷茯苓烧生姜8. 炙甘草汤中用量最大的药物是:[1分]B.生地9. 桑菊饮组成药物除桑叶、菊花、连翘、薄荷外,还有:[1分]D.杏仁桔梗芦根甘草10. 清胃散主治证候的病机要点是: [1分]A.胃有积热11. 竹叶石膏汤的功用是:[1分]B.清热生津,益气和胃12. 大柴胡汤的功用是:[1分]E.和解少阳,内泻热结13. 思虑过度,劳伤心脾而致失眠健忘者,治宜选用:[1分]E.归脾汤14. 生化汤中当归的作用是:[1分]E.补血活血,化瘀生新15. 祛痰剂中,除常配伍健脾祛湿药外,还常配伍: [1分]E.理气药16. 半夏泻心汤组成中不含: [1分]E.生姜17. 泻火通便,清上泻下的方剂是: [1分]B.凉膈散18. 痰多色白易咳,胸膈痞闷,恶心呕吐,肢体倦怠,舌苔白润,脉滑者,治宜选用:[1分]C.二陈汤19. 最早阐述方剂组成原则的医著是: [1分]B.《黄帝内经》20. 桃核承气汤的组成是:[1分]A.调胃承气汤加桂枝、桃仁B型题:下列每组题有多个备选答案,每个备选答案可以使用一次或重复使用,也可以不选,请选择正确答案A.白头翁汤B.大柴胡汤C.葛根芩连汤D.败毒散E.芍药汤1. 腹痛,里急后重,肛门灼热,下痢脓血,赤多白少,渴欲饮水,舌红苔黄,脉弦数者,治宜选用:[1分]A.白头翁汤2. 身热腹痛,下利脓血,赤白相间里急后重,肛门灼热,舌苔黄腻,脉滑数者,治宜选用:[1分]E.芍药汤A.龙骨牡蛎鳖甲B.龙骨牡蛎穿山甲C.牡蛎鳖甲穿山甲D.龙骨牡蛎龟板E.鳖甲牡蛎龟板3. 大定风珠组成中所含“三甲”的药物是:[1分]E.鳖甲牡蛎龟板4. 镇肝熄风汤组成中所含药物是:[1分]D.龙骨牡蛎龟板A.补中益气汤B.生脉散C.四君子汤D.小建中汤E.当归补血汤5. 治疗血虚发热的常用方剂是:[1分]E.当归补血汤6. 治疗气虚发热的常用方剂是:[1分]A.补中益气汤A.镇肝熄风汤B.大定风珠C.阿胶鸡子黄汤D.羚角钩藤汤E.天麻钩藤饮7. 具有凉肝熄风,增液舒筋的方剂是:[1分]D.羚角钩藤汤8. 具有镇肝熄风,滋阴潜阳的方剂是:[1分]A.镇肝熄风汤A.大头瘟B.肺痈C.寒积腹痛D.麻疹初起E.肠痈初起9. 普济消毒饮主治:[1分]A.大头瘟10. 苇茎汤主治:[1分]B.肺痈A.九味羌活汤B.再造散C.小青龙汤D.麻黄汤E.桂枝汤11. 功用为发汗祛湿,兼清里热的方剂是:[1分]A.九味羌活汤12. 功用为助阳益气,解表散寒的方剂是:[1分]B.再造散A.补中益气汤B.四君子汤C.当归补血汤D.小建中汤E.生脉饮13. 治疗血虚发热的最佳选方是:[1分]C.当归补血汤14. 治疗气虚发热的最佳选方是:[1分]A.补中益气汤A.当归补血汤B.补中益气汤C.生脉散D.白虎加人参汤E.竹叶石膏汤15. 血虚气弱,肌热面赤,烦渴欲饮,脉洪大而虚者,治宜选用:[1分]A.当归补血汤16. 气阴不足,体倦气短,口渴多汗,舌燥咽干,脉虚弱者,治宜选用:[1分]C.生脉散A.利尿通淋B.引血下行C.排脓止痛D.活血祛瘀E.补肝肾,强筋骨17. 牛膝在独活寄生汤中的主要作用是:[1分]E.补肝肾,强筋骨18. 牛膝在镇肝熄风汤中的主要作用是:[1分]B.引血下行A.虚劳发热证B.湿热下注证C.肝胆实火证D.胃热阴虚证E.胃火炽盛证19. 玉女煎主治:[1分]D.胃热阴虚证20. 清胃散主治:[1分]E.胃火炽盛证。
平时作业31.在硅胶薄板上,用丙酮作展开剂,下列哪种化合物的比移值最大B.芳烃2.应用GC对样品进行分析时,应用GC对样品进行分析时,用来定性的依据是组分的:B.保留时间3.气相色谱法常用的载气有B.氮气4.新的气相色谱柱需在一定温度和载气流量下空载操作一段时间,此操作称为“老化”,老化的目的是:A.除去多余溶剂或柱内残余物5.在HPLC分离具有酸碱性的样品时,常常向流动相中加入一些酸,碱作为改性剂,常用的酸不包括:D.磷酸6.酸式滴定管不能直接盛装:D.碱性溶液7.下述各项,属于偶然误差的是:A.两次平行操作实验的读数不一致8.以下试剂能作为基准物质的是:E.99.99%纯锌9.有0.4000mol/LHCl 溶液1L,欲将其配制成浓度0.5000mol/L溶液,需加入1.000mol/LHCl( )毫升B.200.010.下列物质的浓度均为0.1000 mol/L,不能用NaOH 标准溶液直接滴定的是:E.NH4Cl (pKa=9.25)11.下列试剂可作为基准物质直接配制标准溶液的是:E.优级纯重铬酸钾12.用NaOH标准溶液滴定同浓度的HCl,若两溶液浓度同时增加10倍,其滴定曲线pH突跃的变化应该是:B.化学计量点前0.1%的平pH值减小,化学计量点后0.1%的pH值增大13.即能用于标定氢氧化钠,又能用于标定高锰酸钾溶液的是:A.优级纯草酸14.用0.1000mol/LNaOH标准溶液滴定等浓度的醋酸溶液,化学计量点时溶液的:B.pH>7.015.以HCl滴定某碱,滴定管初读数为0.25±0.01mL,终读数为32.25±0.01mL,则用HCl用溶液的准确体积(mL)为:D.32.00±0.01mL16.配位滴定可用于测定:D.与EDTA结合CMKMY’≥106的金属离子17.以下与判断配位滴定能否准确进行无关的是:A.KMY≥10818.以下不影响氧化还原反应速度的是:B.反应平衡常数19.以下不属于氧化还原滴定方法的是:E.银量法20.下列不属于重量分析对称量形式要求:E.与沉淀形式相同21.样品可以在气、液、固态下都可测定的是:C.红外分光光度法22.可以利用溶液颜色变化判断实验结束的方法是:D.酸碱滴定法23.薄层色谱法中,常用三氧化二铝作为:D.固定相24.配位滴定中,常用EDTA作为:E.滴定剂25.样本标准偏差的计算公式是:E.26.RSD的计算公式是:A.27.可以减少偶然误差的方法是:A.增加平行测定次数28.不加样品,与样品在完全相同的条件下操作,属于:B.空白试验29.MnO4-滴定C2O42-时,速度由慢到快:C.自动催化反应30.PbSO4沉淀随H2SO4浓度增大溶解度增加:D.酸效应31.配位滴定中,常用EDTA作为:E.滴定剂32.酸碱滴定中,甲基橙被用作为:C.指示剂33.随环张力增加,红外光谱中环外双键的伸缩振动频率将:C.向高波数位移34.随环张力增加,红外光谱中环内双键的伸缩振动频率将:B.向低波数位移35.吸附色谱根据物质哪种差异达到分离B.极性差异36.分配色谱根据物质哪种差异达到分离B.极性差异37.纸色谱的分离机理主要属于分配色谱,其固定相的载体是:B.纤维素38.纸色谱的分离机理主要属于分配色谱,其固定液是:E.水。
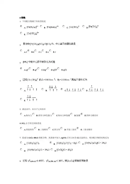
A型题:1. 下列配合物属于外轨型的是A. B. C. D.E.2.A.3B.6C.2D.4E.53.A.sp3B.sp2C.dsp2D.sp3d2E.sp3d4.A. B. C. D.E.5. 液态水中,水分子之间存在A.取向力B.诱导力和色散力C.取向力和氢键D.氢键E.四种力都存在6. PCl5分子的空间构型是A.四面体形B.三角锥形C.四方形D.平面三角形E.三角双锥形7. 组成为CrCl3·6H2O的配合物,其溶液中加入AgNO3后有2/3的Cl-沉淀析出,则该配合物的结构式为A. B. C.D. E.8.A.3.74×10-18B.2.1×1025C.4.76×1026D.8.1×1020E.2.0×10-259.A.3和4B.1和4C.3和0D.1和0E.2和010. 下列晶体中,熔化时需破坏共价键的是A.HFB.AgC.K2OD.SiO2E.NaCl11. 下列分子的中心原子采用sp3等性杂化的是A.NH3B.NO3C.BeCl2D.PH3E.CH412.A.1B.2C.3D.4E.513. NH3溶于水后,分子间产生的作用力有A.取向力和色散力B.取向力和诱导力C.诱导力和色散力D.取向力、诱导力和色散力E.取向力、诱导力、色散力和氢键14.A.正四面体、正四面体B.平面正方形、平面正方形C.正四面体、三角双锥D.正四面体、平面正方形 E.平面正方形、正四面体15.A.0B.1C.3D.5E.416. 下列说法错误的是A.化学键中,没有百分之百的离子键,也没有百分之百的共价键B.由共用电子形成的化学键叫共价键 C. 离子键有方向性和饱和性 D.晶体中的微粒在三维空间有规则地排列,并具有一定的几何形状叫晶格 E.NaCl是离子型化合物17. 下列各化学键中,极性最小的是A.O—FB.H—FC.C—FD.C—FE.Na—F18. 下列分子中,偶极矩最大的是A.HClB.HBrC.HFD.HIE.NO19. 下列元素中,其化合物常具有颜色的是A.碱金属B.碱土金属C.过渡元素D.惰性气体E.p区元素20. 下列说法正确的是A.NaCl是食盐的分子式B.共价键仅存在于共价型化合物中C.凡是盐都是离子型化合物D.离子晶体一般都有较高的熔点和沸点E.水中不存在氢键21. 水的反常熔、沸点归因于A.范德华力B.配位键C.离子键D.氢键E.电离常数小22. 下列分子或离子具有顺磁性的是A. N2B.O2C.F2D.O22-E.H223.A.0B.M B.4.9 B.MC.1.7 B.M.D.3.9 B.ME.5.9BM24. 下列各对配离子的稳定性的相对大小,不正确的是A. B. C.D. E.以上都不正确25.A.0.19VB.0.38VC.-0.55VD.1.28VE.-0.38 V26. 下列物质或溶液是无色的是A. B. C. D.E.27. 非极性分子与非极性分子之间存在A.取向力B.诱导力C.色散力D.氢键E.离子键28. HF的沸点比HCl高,主要是由于前者A.共价键牢固B.分子量小C.有色散力D.分子间有氢键E.诱导力29. 形成外轨型配合物时,中心原子不可能采取的杂化方式是A.d2sp3B.sp3C.spD.sp3d2E.sp3d30. 下列配体中,可与中心原子形成螯合物的是-B.NH3C.NH2CH2CH2NH2D.CH3NH2E.S2O32-31. 在液氧中,氧分子中存在的作用力是A.诱导力B.色散力C.取向力D.诱导力和色散力E.诱导力、色散力和氢键32.A.二氯·四硫氰酸根合铬(Ⅲ)酸铵B.四硫氰酸根二氯合铬(Ⅲ)酸铵C.异硫氰酸根·二氯合铬(Ⅲ)酸铵 D.氯·四异硫氰根合铬(Ⅲ)酸铵 E.二氯合铬(Ⅲ)·四硫氰酸铵33. O2–的分子轨道电子排布式正确的是A.B.C.D.E.34. ClO3-中氯原子采取的杂化方式是A. B. C.D. E.35. 下列分子中偶极矩等于零的是A.CHCl3B.H2SC.NH3l4E.PCl336. 根据晶体场理论,高自旋配合物具有的性质是A.分裂能>成键能B.分裂能<成对能C.分裂能>成对能D.电离能>成对能E.分裂能=成对能37. 下列例子中可作为双基配体的是A.C2O42-B.S2O32-C.H2Y2--E.SCN-38. 下列分子或离子中,具有直线形结构的是A.SO2B.C2H4C.BeCl2D.NO2E.H2O39. 下列化合物中,存在分子间氢键的是A. B. C.D. E.以上都不存在分子间氢键40. 下列分子或离子具有反磁性的是A.O2-B.F2C.B2D.N2+E.H2+B型题:A.键级=1B.键级=1.5C.键级=2D.键级=2.5E.键级=341. O2-离子的键级是A B C D E42. O2+离子的键级是A B C D EA. B. C. D. E.43.A B C D E44.A B C D EA.配体的酸效应B.d—d跃迁C.金属离子的水解效应D.配合物的稳定常数E.水的离子积45. 增加酸度,配合物稳定性增强,这种现象一般称为A B C D E46. 过渡元素配合物大多显有颜色,这种现象可解释为A B C D EA.V形B.三角形C.四面体D.直线形E.八面体形47. C2H2的空间构型是A B C D E48. AlCl3的空间构型是A B C D EA. B. C. D. E.49. 属螯合物的是A B C D E50. 属多核配合物的是A B C D EA. B. C. D.E.51. 在BCl3分子中,中心原子采取的杂化轨道类型是A B C D E52. SF6中,中心原子采取的杂化轨道类型是A B C D EA.F2分子B.B2分子C.C2分子D.N2分子E.O2分子53.A B C D E54.A B C D EA. B. C. D.E.55.A B C D E56.A B C D EA.HClB.COC.CO2D.N2E.HF57.A B C D E58.A B C D EA. B. C.D. E.59. 配体的取代反应是A B C D E60. 反应为氧化还原反应的是A B C D E。
北京中医药大学远程教育学院有机化学综合复习题一、选择题1.下列化合物中能与多伦( Tollen)试剂发生银镜反应的是: A A.CH 3CH2CH2CHOOB. CH 3CH 2C CH3OC. CH 3CH2CH 2C CH 2CH 3OD. CH 3CH2CH 2CH2CH2CH2C CH 32.下列化合物中有旋光性的是: C, DA.(CH3)2CHCH 2CH2CH2CH2OHB.CH3COCH2CH3C.CH3CH2CH(CH 3) CH2OHD.CH3CHClCOOH3.丁烷的构象中,能量最低的是: CA.全重叠式B.部分重叠式C.对位交叉式D.邻位交叉式4.下列化合物中能与水分子形成氢键的是: B, DA.CH3CH2CH2CH2CH2CH2ClB.CH3CH2CH2CHOC.CH3CH2CH2CH2CH2CH2CH3D.CH3CH2CH2CH2CH2OH5.顺反异构体的表示方法是: BA.+/-B.Z/EC.R/SD.D/L6.下列化合物中能发生碘仿反应的是: B, CA.HCHOB.CH3CH2CH2COCH3C.CH3CH2CH2CHOHCH3D.CH3OH7.与卢卡斯( lucas)试剂发生反应速度最快的是: BA.(CH3)2CHOHB.(CH3)3COHC.CH3CH(OH)CH 2CH2CH3D.CH3CH2CH2CH2OH8.与卢卡斯( lucas)试剂发生反应速度最慢的是: DA.(CH3)2CHOHB.(CH3)3COHC.CH3CH(OH)CH 2CH2CH3D.CH3CH2CH2CH2OH9.在芳香烃取代反应中,起致活作用的基因是: B, D A.SO3HOB. CH3CH 2CC.NO2D.CH310.在芳香烃取代反应中,起致钝作用的基因是: AA.ClOB.R CC.NH 2D.R NH11.下列化合物中能与 KMnO 4水溶液反应的是: DA.CH3CH 2CH2C CHOB. CH3C CH3C.(CH 3)3COHD.CH3CH2CH2OH12.下列化合物中能与 AgNO 3水溶液反应最快的是: CA.氯仿B.氯苯C. 氯化苄D.氯乙烷Cl13.中的氯原子不活泼,是因为氯原子与苯环发生了:AA.P─π共轭B.π─π共轭C.α─π超共轭D.α─P超共轭14.下列化合物中能与溴水发生白色沉淀的是: B, CA.乙炔B.苯酚C.苯胺D.乙烯15.判断化合物具有旋光性的条件是: DA.分子的偶极距等于零B.分子中有无对称因素C.分子中有无互变异构体D.分子中有无手性碳16.最稳定的自由基中间体是: D.A. CH3CHCH2CH2CH3.B.(CH 3)2CCH 2CH2CH3.CH 2C..D.(CH 3)3C17. 能与溴水发生使其褪色的反应是: B A. 果糖 B. 葡萄糖 C. 蔗糖 D. 淀粉18. F-C 反应通常在: D A. 无水乙醚中进行 B. 低温条件下进行 C. Fe 粉加盐酸D. 无水三氯化铝催化下进行19. 乙酰乙酸乙酯与 FeCl 3 溶液显紫色,因为它具有 : B A. 旋光异构现象 B. 互变异构现象 C. 同分异构现象 D. 顺反异构现象20. 葡萄糖的半羧醛羟基是 :AA. C 1OHB. C 2OHC. C 3OHD. C 4OHE.C6OH21.下列化合物不能与重氮苯发生偶联反应的是: BNH 2A.CH 3B.OHC.D.NH222. 格氏试剂是:B, COA.CH3CH2CH2CH2CH2C HB.CH 3CH 2CH 2Mg ClCH 2CH 2 CH 2MgCl C.OCH 2CH 2CClD.二、写出下列化合物的结构式1.N,N—二丁基苯乙酰胺2.N—甲基— N—异丙基苯乙胺CH 2CH 3CH 2N CH 32.CH CH33.N—乙基苯甲胺CH 2N CH2CH 33.H4.异丁酸丙酯O4.CH3CH C O CH 2CH2CH3CH35.丙酸异丙酯O CH35.CH3CH2C O CH CH36.氯化三乙正丙胺CH 2CH 36. [CH 3CH 2N CH 2CH 2CH 3]+Cl -CH 2CH 37.β—萘乙酰胺O7.CH2 C NH28.α—甲基戊酐CH3O8. CH3CH2CH2CH COCH3CH 2CH2CH COCH39.4,6—二羟基嘧啶OH9.NHON 10.3—吲哚乙酸CH O10.2COHNH11.丁二酰氯O O 11. Cl C CH 2CH 2C Cl12.3,5—二甲基吡啶12. H3C CH3N13.3—甲基邻苯二甲酸酐O13. H3C C OCO14.乙烯基乙炔14. HC C CH CH215.乙基异丙基乙炔CH315. CH3CH2C C CH CH316.甲基乙基乙炔16. CH 3CH2C C CH317.3,5—二溴— 2—硝基甲苯CH317.Br NO2 Br18.2—硝基—对甲苯酚CH 318.NO 2OH19.2—硝基—对甲苯磺酸CH 319.NO 2SO3H20.(R)— 2—丁醇21.(S)— 2—丁硫醇22.苯基叔丁基醚CH 322.O C CH3CH 323.苯甲基丁基醚23.CH 2O CH 2CH2CH2CH 324.2,4—己二酮25.3—苯基丙烯醛26.环己醇OH26.27.β,β′—二溴乙醚27. Br CH2CH2O CH2CH2Br28.1,3—丁二烯28. CH2CH CH CH229.3—甲基辛醛30.呋喃甲醛30.CHOO三、用系统命名法命名下列化合物1.CH3CH CH2CH2CH2CH2CH2CH3CHO2—甲基辛醛2.CH 3CH CH CH 2CH2CH32—己烯3.CH3CH2CH CH2CH32—戊烯4. CH3C CCH2CH32—戊炔OH5. CH3CH2CH CH CH2CHCH2CH33—辛醇226. CH3CH2CHCH2CH2CH2CH3Br3—溴庚烷7.环己烯8.螺〔 2, 4〕庚烷OH9.环己酚10. CH2CHCH 2CHO3—丁烯醛11.萘12.OH萘酚13.菲O CH 2CH 314.苯乙酯COOH15.苯甲酸CH 2COOH16.苯乙酸O2N NO 217.NHNH 22, 3-二硝基苯肼18.N H六氢吡啶O19.C O CH2苯甲酸苯甲酯OCH 2C NHCH 2CH320.N- 乙基苯乙酰胺21.N吡啶22.N喹啉23.NH吡咯24.S噻吩25.N N OH对羟基偶氮苯26.N N NH2对氨基偶氮苯OHBr Br27.Br2, 4,6-三溴苯酚CH 2CH 328.N CH 3N- 甲基 -N- 乙基苯胺29.CHOO2-呋喃甲醛O30. CH 3CH2C OCH2CH2CH2CH3 丙酸丁酯四、完成下列反应,写出主要产物的结构式CH 3[o 2]2.CH 3O CH 3 CCl 3.AlCl 3CH 2CH4.CH 3 CH 2Cl 5.无水AlCl 36.COOH2.CH 3CH 3OCCH 3 +3.O CCH 3Br 2/CCl 4CH 2CHCH 2BrCH 24.BrCH 2CH 35.CH 2CH 2CH 3CH 3CH 2 Cl 无水AlCl 3 6.O8. CH 3CCH 3 + NaHSO 39. CH 3CH 2CH 2CH 2CHOH9. CH 3CH 2CH 2CH 2CHO + NaHSO 3SO 3NaN +NCl -10.11.OHN+NCl-+NH 2NaOH N N OH0℃11.N+NCl-+NaOH NN NH 212.0 ℃12.CH 2CHO HCN14.CH3CH2CH 无过氧化物15.CH2HCl16.CH CH CH有过氧化物CH216.CH 3CH 2CH 2CH 2Cl32HClO17.NH CCH3+ 浓H 2SO418. CH 2CH 2CH 2CHO + CH 3CH 2CH 2Mg Cl 18.CH3CH2CH2CHCH2CH2CH3OMgClONa△OCH 2CH 2CH 322.+ CH 3CH2CH 2I22.23. CH2CH2CH2CH2COOH + NaHCO 3O23. CH3CH2CH2CH2C ONaOH[O]24.OHNaOH 25. CH 2CH 2CH 2CHCH 3△Br 25.CH3CH2CH2CHCH3 OHOHO-OCH 3 +CH 3CH 2CH 2 C OH CH 2CH 2CH 3Cl OC26.26.+ HClCH 3O27. CH3CH2CH2C Cl + CH3CH2CH2OHO27.CH3CH2CH2C O CH2CH2CH3 + HClO O28. CH 3CH2C O CCH2CH3+ H2O28. 2 CH3CH2COOHO29.CH3CH2C O CH2CH3 + CH 3CHCH2OHCH3O29. CH3CH2C O CH 2CHCH 3CH 3OCH 2CH 2CH 2C CH 330.+NH NH2OHCH 2CH 2CH2C NH NH30.CH3五、由所给指定原料完成下列化合物1.由乙酰乙酸乙酯合成 3—甲基— 2—戊酮解:3 - 甲基-2- 戊酮可看成是一个甲基和一个乙基二取代的丙酮。
北京中医药大学《生物化学Z》考试辅导试题及答案第1次作业A型题:1. 用班氏试剂检验尿糖是利用葡萄糖的哪种性质 B.还原性2. 绝大多数脂肪酸在生物体内的存在形式为 B.阴离子3. 脂肪的碘值愈高表示 B.所含脂肪酸的不饱和程度愈高4. 下列说法符合脂肪概念的是 E.脂肪是三脂酰甘油5. 主要的食用糖是 C.蔗糖6. 天然不饱和脂肪酸的构型为 D.顺式7. 没有还原性的糖是 E.蔗糖8. 不属于卵磷脂组成成分的是 B.乙醇胺9. 属于多不饱和脂肪酸的是 A.亚麻酸10. 不能被人体消化酶消化的是 D.纤维素11. 俗称卵磷脂的是 A.磷脂酰胆碱12. 具有抗凝血作用的是 C.肝素13. 甘油磷脂既有极性头又有非极性尾,其中非极性尾是指 E.脂肪酸14. 下列说法符合糖原概念的是 C.支链短而密,每隔8~12个葡萄糖单位有1个分支15. 决定葡萄糖D/L构型的碳原子是 E.C-516. 关于D-葡萄糖分子结构叙述正确的是 B.链状葡萄糖分子中C-3上的羟基在费歇尔投影式的左侧,其它羟基在右侧B型题:A.丙酮B.丙酮酸C.甘油酸D.甘油醛E.二羟基丙酮1. 属于酮糖的是E2. 属于醛糖的是D第2次作业A型题:1. 单纯蛋白质中含量最少的元素是 E.S2. 在多肽链中,一个氨基酸参与形成主链的原子的正确排列是 E.-N-α-C-3. 哪种氨基酸水溶液的pH值最低? A.谷氨酸4. 在蛋白质分子内,天冬氨酸可与下面哪种氨基酸形成离子键? C.赖氨酸5. 哪种氨基酸不参与蛋白质合成? E.羟赖氨酸6. 以下哪种试剂常用于还原二硫键? C.巯基乙醇7. 以下哪种氨基酸的等电点最低? A.谷氨酸8. 蛋白质的特征性元素是 C.N9. 变性不包括破坏以下哪种化学键? E.肽键10. 维持蛋白质一级结构的化学键是 E.肽键11. 下列叙述不正确的是 A.变性导致蛋白质沉淀12. 为了获得不变性的蛋白制剂,可采用下述哪种分离方法? A.低温盐析13. 在pH=7时侧链带电荷的氨基酸是 C.赖氨酸14. 维持蛋白质三级结构的主要化学键是 D.疏水作用15. 维持蛋白质二级结构的主要化学键是 C.氢键16. β转角属于蛋白质的哪种结构? B.二级结构17. 选出不含硫的氨基酸 E.组氨酸18. 以下哪种标准氨基酸在β转角中最常见? C.脯氨酸19. 含有辅基的蛋白质一定是 D.缀合蛋白质20. 以下哪种氨基酸是亚氨基酸? B.脯氨酸21. 一个蛋白质分子含有二硫键,所以该蛋白质含有 A.半胱氨酸22. 蛋白质变性是由于 C.蛋白质空间构象的破坏23. 破坏氢键不会改变蛋白质的 A.一级结构24. 关于蛋白质α螺旋的正确叙述是 B.α螺旋的形成及其稳定性受侧链R结构的影响25. 以下哪种氨基酸很少位于蛋白质分子表面? D.亮氨酸26. 导致蛋白质变性的因素不包括 A.冷冻27. 含有两个羧基的氨基酸是 B.谷氨酸28. 蛋白质的一级结构及空间结构决定于 A.氨基酸组成和顺序29. 只存在于碱性氨基酸的基团是 B.胍基30. 盐析法沉淀蛋白质的原理是 E.中和蛋白质所带电荷,破坏蛋白质分子表面的水化膜31. 氨基酸在生理条件下的主要形式是 C.兼性离子32. 人体内的一种重要的肽类抗氧化剂是 B.谷胱甘肽33. 两种蛋白质A和B,现经分析确知A的等电点比B高,所以下面一种氨基酸在A的含量可能比在B多,它是 D. 赖氨酸34. 20种标准氨基酸的平均分子量是 C.138Da35. 镰状细胞病是由血红蛋白分子结构异常而导致的分子病,患者血红蛋白HbS的β亚基N端6号氨基酸被以下哪种氨基酸取代 E.缬氨酸36. 一种不含半胱氨酸的蛋白质不可能含有哪种化学键? A.二硫键37. 关于蛋白质结构的不正确叙述是 B.各种蛋白质均具有一、二、三、四级结构38. 蛋白质的天然构象是由以下化学键共同维持的,其中哪种不是非共价键? A.二硫键39. 在下面的肽单元结构中,哪个共价键不能自由旋转? B.⑵40. 一个十肽含有三个羧基,所以该十肽可能含有 A.谷氨酸41. 蛋白质分子结构中不存在的含硫氨基酸是 E.同型半胱氨酸42. 以下哪种氨基酸没有旋光性? A.甘氨酸43. 一条多肽链由100个氨基酸构成,其分子量的可能范围是 C.10 000~12 000Da44. 在生理条件下,氨基酸的那种基团带负电荷? E.羧基45. 各种蛋白质含氮量很接近,平均为 C.16%第3次作业A型题:1. DNA分子含有几种杂环结构? C.32. 指导蛋白质合成的是 B.mRNA3. 核苷酸碱基不含哪种元素? E.P4. 关于DNA双螺旋模型的正确叙述是 A.DNA两股链的走向是反向平行的5. rRNA占RNA总量的 C.80%~85%6. 某DNA分子胸腺嘧啶的摩尔含量为20%,则胞嘧啶的摩尔含量应为 B.3%(G=T=20%,A=C=(100%-2×20%)/2=30%)例:某DNA分子腺嘌呤的摩尔含量为16%,则胸腺嘧啶的摩尔含量应为(34%)解析:腺嘌呤(A)/鸟嘌呤(G)/胞嘧啶(C)/胸腺嘧啶(T)构成双链DNA分子全部的碱基也就是说A+G+C+T=100%而碱基相互配对,即A=C和G=T若A=16%则A=C=16%;G=T=34%7. ATP的功能不包括 D.激活酶原8. 关于DNA双螺旋模型的错误叙述是 C.碱基位于双螺旋外侧9. 在转运氨基酸合成蛋白质时,氨基酸与tRNA哪个部位结合? A.3'端10. 在RNA水解液中含量最少的是 D.TMP11. tRNA的二级结构为 D.三叶草形12. 核酸具有特殊的紫外吸收光谱,吸收峰在 C.260nm13. 在转运氨基酸合成蛋白质时,氨基酸与tRNA的哪种核苷酸结合? D.腺苷酸14. tRNA 3'端的核苷酸是 D.腺苷酸15. 细胞内含量最稳定的成分是 A.DNA16. 真核生物大多数mRNA 3'端的核苷酸是 D.腺苷酸17. 关于tRNA的错误叙述是 E.通常由几百个核苷酸组成,分子量较小18. 稀有碱基百分含量最多的是 E.tRNA19. mRNA的特点是种类多、寿命短、含量少,占细胞内总RNA的 B.10%以下20. DNA变性是指 D.互补碱基之间的氢键断开21. DNA的一级结构实质上就是 A.DNA分子的碱基序列22. 连接核酸结构单位的化学键是 B.磷酸二酯键23. 关于DNA碱基组成的正确叙述是 C.不同生物来源的DNA碱基组成不同24. 关于核苷酸生理功能的错误叙述是 C.核苷酸是生物膜的基本结构成分25. 真核生物大多数mRNA 5'端的核苷酸是 C.7-甲基鸟苷酸26. 关于tRNA的错误叙述是 A.5'端为CCA-OH27. 关于DNA的错误叙述是 A.DNA只存在于细胞核内,其所带遗传信息由RNA携带到内质网并指导蛋白质合成28. 关于核酸结构的错误叙述是 E.与DNA相比,RNA种类繁多,分子量相对较大29. 真核生物大多数mRNA的5'端有 C.帽子30. 关于真核生物DNA碱基的错误叙述是 E.营养不良常可导致DNA的碱基组成发生改变31. 核小体的组成成分不包括 B.RNA32. 原核生物三种rRNA的沉降系数是 A.5S、16S、23S33. 关于RNA的错误叙述是 B.rRNA种类最多34. tRNA占细胞内总RNA的 C.10%~15%35. 以下哪种成分的组成和结构更复杂? C.细胞核DNA第4次作业A型题:1. mol/L可用于表示 A.Km2. 以下哪种物质抑制巯基酶活性而引起中毒性疾病? E.重金属离子3. μmol/min是 E.酶活性单位4. 关于同工酶的错误叙述是 B.都是单体酶5. 符合竞争性抑制作用的叙述是 D.抑制剂与酶的活性中心结合6. 含LDH5丰富的组织是 A.肝细胞7. 不以NAD为辅助因子的酶是 D.琥珀酸脱氢酶8. 林-贝氏作图法得到的直线在横轴上的截距为 A.-1/Km9. 丙二酸对琥珀酸脱氢酶的抑制作用属于 E.竞争性抑制作用10. 以下哪项不是酶的特点? E.酶可以决定反应方向11. L-乳酸脱氢酶的哪种同工酶在心肌含量最多? A.LDH112. 哪一种抑制作用可用增加底物浓度的方法削弱? E.竞争性抑制作用13. 酶的Km与哪个无关? D.酶的浓度14. 关于辅助因子的叙述正确的是 D.一种辅助因子能与多种脱辅基酶蛋白结合,形成具有不同特异性的全酶15. 结合酶的非蛋白质成分一定是 C.辅助因子16. 全酶是指 C.脱辅基酶蛋白-辅助因子复合物17. 酶可以根据分子组成分为单纯酶和 E.结合酶18. 把脱辅基酶蛋白完全水解,其水解产物为 A.氨基酸19. 各种酶都有最适pH值,其特点是 C.最适pH值时该酶活性中心的可解离基团都处于最适反应状态20. 竞争性抑制剂的抑制程度与下列哪种因素无关? E.作用时间21. 酶原没有活性是因为 A.活性中心未形成或未暴露22. 竞争性抑制剂的动力学特点是 D.表观Km值增大,表观Vmax不变23. 哪种酶属于多酶体系? C.丙酮酸脱氢酶系24. 哪类不是不可逆性抑制剂? A.磺胺类药物25. L-乳酸脱氢酶是由两种亚基组成的X聚体,可形成Y种同工酶,其X、Y的数值依次是 C.526. 对于一个单底物酶促反应,当[S]=4Km值时,反应速度为最大速度的 C.80%27. 酶分子内使底物转化成产物的基团是 A.催化基团28. 酶原的激活是由于 D.激活剂使酶原分子的一段肽水解脱落,从而形成活性中心,或使活性中心暴露29. 关于酶的活性中心的错误叙述是 D.形成酶的活性中心的基团称为必需基团30. 下列叙述哪一项是正确的? A.少数RNA具有催化活性31. 决定酶的特异性的是 E.脱辅基酶蛋白32. L-乳酸脱氢酶同工酶是由H、M亚基组成的 C.四聚体33. 关于全酶的不正确叙述是 B.酶促反应的特异性取决于辅助因子34. 唾液淀粉酶的激活剂是 A.Cl-35. 同工酶的共同点是 A.催化相同的化学反应36. 酶活性是指 C.酶的催化能力37. 酶作为典型的催化剂可产生哪种效应? C.降低反应的活化能38. 磺胺类药物的作用机制属于 D.竞争性抑制作用39. 符合辅助因子概念的叙述是 C.参与传递化学基团40. 以下哪种酶不是单纯酶? A.L-乳酸脱氢酶41. 酶与一般催化剂的区别是 B.具有很高的特异性42. 关于酶的辅基的正确叙述是 C.一般不能用透析或超滤的方法与脱辅基酶蛋白分开43. 影响酶活性的因素不包括 B.底物浓度44. 底物浓度达到饱和后 B.酶的活性中心全部被底物占据,反应速度不再加快45. 反竞争性抑制剂具有下列哪一种动力学效应? D.Km值减小,Vmax降低第5次作业A型题:1. 关于NADH的错误叙述是 D.在细胞液中氧化并生成ATP2. 肌肉细胞内能量的主要储存形式是 D.磷酸肌酸3. 线粒体氧化磷酸化解偶联意味着 C.线粒体能利用O2,但不能生成ATP4. NADH氧化呼吸链的P/O比值为 C.35. 在生物氧化过程中NAD+的作用是 B.递氢6. 与胶原蛋白羟脯氨酸及羟赖氨酸的合成有关的是 B.维生素C7. 呼吸链中不与其他成分形成复合体的是 D.细胞色素c8. 苹果酸—天冬氨酸穿梭的生理意义是 A.将NADH传递的电子带入线粒体9. 大脑细胞液中NADH进入呼吸链主要是通过 A.3-磷酸甘油穿梭10. 琥珀酸氧化呼吸链不包括 E.NAD11. 长期服用异烟肼会引起缺乏 B.Vit PP12. 2,4-二硝基苯酚能抑制哪种代谢? D.氧化磷酸化13. 糖类、脂类和蛋白质在生物氧化过程中都会产生的中间产物是 E.乙酰CoA14. 氧化磷酸化的解偶联剂是 A.2,4-二硝基苯酚15. 关于呼吸链的错误叙述是 A.递电子体都是递氢体16. 被氰化物抑制的是 B.细胞色素aa317. 哪种Vit可作为视蛋白的辅基 B.Vit A18. 儿童缺乏维生素D时易患 A.佝偻病19. 细胞色素在呼吸链中的排列顺序是 B.b→c1→c→aa320. 加速ATP水解为ADP和Pi的是 B.甲状腺激素21. 不含血红素的是 D.铁硫蛋白22. 被CO抑制的是 D.细胞色素aa323. 肝脏与心肌细胞液中NADH进入呼吸链主要是通过 D.苹果酸-天冬氨酸穿梭24. 用来治疗坏血病的是 D.维生素C25. FADH2氧化呼吸链的P/O比值为 B.226. 呼吸链的组分不包括 A.CoA27. 不是高能化合物的是 B.3-磷酸甘油醛28. 成人缺乏维生素D时易患 B.骨软化症29. 临床上常用于辅助治疗婴儿惊厥和妊娠呕吐的是 C.Vit B630. 丙酮酸氧化时脱下的氢在哪个环节上进入呼吸链? C.NADH脱氢酶31. 呼吸链中属于脂溶性成分的是 C.泛醌32. 脚气病是由于缺乏 C.Vit B133. 不在生物氧化过程传递电子的是 E.细胞色素P45034. NAD和NADP含有 E.烟酰胺35. 下列物质中脱下的氢不通过NADH氧化呼吸链氧化的是 E.脂酰CoA36. 与线粒体内膜结合较松容易分离的是 C.细胞色素c37. 真核生物呼吸链的存在部位是 E.线粒体38. 与细胞色素氧化酶结合而使生物氧化中断的是 D.CO39. 呼吸链中将电子直接传递给O2的是 A.细胞色素a340. 促进凝血酶原合成的是 E.维生素K41. 细胞液中NADH经苹果酸-天冬氨酸穿梭进入线粒体发生氧化磷酸化反应,其P/O比值为 C.342. 关于生物氧化的错误叙述是 C.生物氧化过程中被氧化的物质称受氢体43. 1mol琥珀酸脱下的2H经氧化磷酸化生成ATP的摩尔数是 B.244. 目前关于氧化磷酸化机制的理论获得较多支持的是 D.化学渗透学说45. 叶酸在体内的活性形式是 C.FH4第6次作业A型题:1. 三羧酸循环中有几步底物水平磷酸化反应? A.12. 以下哪个途径消耗UTP? E.糖原合成途径3. 三羧酸循环的关键酶是 E.异柠檬酸脱氢酶4. 蚕豆病与缺乏哪种酶有关? A.6-磷酸葡萄糖脱氢酶5. 催化糖原分解的关键酶是 D.糖原磷酸化酶6. 琥珀酸脱氢酶的辅助因子是 A.FAD7. 能抑制糖异生的激素是 D.胰岛素8. 1分子3-磷酸甘油醛经过糖的有氧氧化途径彻底氧化,经底物水平磷酸化反应生成的ATP分子数是 B.39. 体内能量的主要来源是 B.糖的有氧氧化途径10. 葡萄糖的有氧氧化过程有几步消耗高能化合物ATP的反应? B.211. 成熟红细胞的能源主要来自 C.糖酵解途径12. 1个乙酰基经氧化分解可生成ATP的数目是 C.1213. 催化糖原合成的关键酶是 E.糖原合酶14. 缺氧时为机体提供能量的是 C.糖酵解途径15. 指出关于胰岛素的错误叙述 A.促进糖异生16. 下列物质彻底氧化生成ATP最多的是 A.1,6-二磷酸果糖17. 能同时促进糖原、脂肪合成的激素是 D.胰岛素18. 在糖酵解途径中,下列哪种酶催化的反应不可逆? C.己糖激酶19. 能使ADP生成ATP的是 E.磷酸烯醇式丙酮酸20. 糖类、脂类和蛋白质代谢的交汇点是 E.乙酰CoA21. 由1分子葡萄糖生成1分子1,6-二磷酸果糖消耗几分子ATP? B.222. 在线粒体内进行的糖代谢途径是 B.三羧酸循环23. 催化丙酮酸生成乙酰CoA的是 D.丙酮酸脱氢酶系24. 能使血糖降低的激素是 D.胰岛素25. 关于三羧酸循环的错误叙述是 B.反应是可逆的26. 肌糖原分解时大部分经过糖酵解途径进行氧化,不能释出葡萄糖,因肌肉细胞内缺乏 B.葡萄糖-6-磷酸酶27. 葡萄糖合成糖原时必须转化成 E.UDP-葡萄糖28. 饥饿时,肝脏内下列哪条途径的酶活性最强? C.糖异生途径29. 在糖酵解途径中受到变构调节的关键酶是 C.磷酸果糖激酶130. 关于糖酵解的正确叙述是 D.在细胞液中进行31. 糖代谢途径底物水平磷酸化反应的底物是 D.丙酮酸脱氢酶系24. 能使血糖降低的激素是 D.胰岛素25. 关于三羧酸循环的错误叙述是 B.反应是可逆的26. 肌糖原分解时大部分经过糖酵解途径进行氧化,不能释出葡萄糖,因肌肉细胞内缺乏 B.葡萄糖-6-磷酸酶27. 葡萄糖合成糖原时必须转化成 E.UDP-葡萄糖28. 饥饿时,肝脏内下列哪条途径的酶活性最强? C.糖异生途径29. 在糖酵解途径中受到变构调节的关键酶是 C.磷酸果糖激酶130. 关于糖酵解的正确叙述是 D.在细胞液中进行31. 糖代谢途径底物水平磷酸化反应的底物是 A.1,3-二磷酸甘油酸32. 催化葡萄糖酵解第二步不可逆反应的酶是 C.磷酸果糖激酶133. 肝糖原可以补充血糖,因为肝细胞内有 D.葡萄糖-6-磷酸酶34. 葡萄糖在肝脏进行糖酵解,催化其第一步反应的酶是 E.葡萄糖激酶B型题:A.葡萄糖激酶B.丙酮酸激酶C.6-磷酸果糖激酶1D.3-磷酸甘油酸激酶E.磷酸烯醇式丙酮酸羧激酶1. 由葡萄糖进行酵解,催化其第二步不可逆反应的酶是 C2. 底物是磷酸烯醇式丙酮酸的酶是 BA.36分子ATPB.24分子ATPC.4分子ATPD.2分子ATPE.3分子ATP3. 1分子1,6-二磷酸果糖经糖酵解生成乳酸同时生成 C4. 由1分子葡萄糖生成1分子1,6-二磷酸果糖消耗 DA.丙酮酸B.6-磷酸葡萄糖C.磷酸二羟丙酮D.琥珀酸E.草酰乙酸5. 可直接转化为3-磷酸甘油醛的是 C6. 可直接生成延胡索酸的是 DA.α-酮戊二酸脱氢酶系B.丙酮酸羧化酶C.丙酮酸激酶D.丙酮酸脱氢酶系E.磷酸烯醇式丙酮酸羧激酶7. 生物素是其辅基的是 B8. 催化反应需GTP供能的是 EA.琥珀酰CoAB.3-磷酸甘油C.3-磷酸甘油醛D.1,3-二磷酸甘油酸E.2,3-二磷酸甘油酸9. 属于三羧酸循环中间产物的是 A10. 使NADH进入线粒体的载体是 BA.糖酵解途径B.糖的有氧氧化途径C.磷酸戊糖途径D.糖异生途径E.糖原合成途径11. 体内能量的主要来源是 B12. 需分支酶参与的是 E第7次作业A型题:1. 细胞液中脂肪酸合成酶系催化合成的最长脂肪酸碳链为 C.C162. 合成磷脂酰胆碱所需的胆碱来自 B.CDP-胆碱3. 类脂的主要功能是 B.是构成生物膜及神经组织的成分4. 脂肪大量动员时,血中运输脂肪酸的载体是 E.清蛋白5. 脂肪动员增加,脂肪酸在肝内分解产生的乙酰CoA最易转化成 E.酮体6. 血浆中脂类物质的运输形式是 E.脂蛋白7. 主要发生在线粒体内的是 D.三羧酸循环和脂肪酸β氧化8. 脂肪酸合成过程的关键酶是 D.乙酰CoA羧化酶9. 可转化成胆汁酸的物质是 A.胆固醇10. 软脂酸的合成场所是 D.细胞液11. 为软脂酸合成供氢的是 D.NADPH12. 长期饥饿时尿液中会出现 D.酮体13. 脂肪酸在线粒体内的主要氧化方式是 B.β氧化14. 能抑制甘油三酯分解的激素是 E.胰岛素15. 转运外源性甘油三酯的血浆脂蛋白主要是 A.CM16. 脂肪酸β氧化发生于 E.线粒体17. 一分子软脂酸彻底氧化成CO2和H2O时可净生成的ATP分子数是 D.12918. 关于酮体的错误叙述是 A.饥饿时酮体合成减少19. 转运内源性甘油三酯的血浆脂蛋白主要是 E.VLDL20. 低密度脂蛋白中的主要脂类是 A.胆固醇酯21. 饥饿时肝酮体生成增强,为避免酮体引起酸中毒可补充 E.葡萄糖22. 不能利用酮体的是 A.肝脏23. 催化水解体内储存的甘油三酯的是 B.激素敏感性脂酶24. 正常人空腹血浆中含量最多的脂蛋白是 C.LDL25. 携带脂酰CoA通过线粒体内膜的载体是 C.肉碱26. 脂酰CoA的β氧化反应包括 C.脱氢、加水、再脱氢、硫解27. 下列物质不能代谢生成乙酰CoA的是 A.胆固醇28. 关于酮体的错误叙述是 B.酮体合成不消耗高能化合物29. 血浆脂蛋白按密度由低到高的顺序是 B.CM、VLDL、LDL、HDL30. 向肝脏转运胆固醇的脂蛋白是 B.HDLB型题:A.心脏B.肝脏C.脾脏D.肺腑E.肾脏1. 合成酮体的器官是 B2. 合成脂肪的主要器官是 BA.HDLB.CMC.LDLD.VLDLE.游离脂肪酸3. 转运内源性胆固醇的脂蛋白是 C4. 转运外源性甘油三酯的脂蛋白是 BA.甘油三酯B.游离脂肪酸C.卵磷脂D.基本脂E.胆固醇酯5. LDL中的主要脂类是 E6. 脂库中的脂类是 AA.HDLB.CMC.LDLD.VLDLE.游离脂肪酸7. 转运内源性胆固醇的脂蛋白是 C8. 能逆向转运胆固醇的脂蛋白是 AA.乙酰CoA羧化酶B.HMG-CoA还原酶C.HMG-CoA裂解酶D.HMG-CoA合成酶E.乙酰乙酸硫激酶9. 脂肪酸合成的关键酶是 A10. 胆固醇合成的关键酶是 BA.HDLB.CMC.LDLD.VLDLE.游离脂肪酸11. 能逆向转运胆固醇的脂蛋白是 A12. 转运外源性甘油三酯的脂蛋白是 BA.细胞浆B.微粒体C.线粒体D.内质网E.细胞膜13. 脂肪酸合成的部位是 A14. 脂肪酸β-氧化的部位是 C第8次作业A型题:1. 生成儿茶酚胺的是 D.酪氨酸2. 血清中酶活性增高的主要原因通常是 C.细胞受损使细胞内酶释放入血3. 能直接生成γ-氨基丁酸的是 B.谷氨酸4. 催化谷氨酸氧化脱氨基的酶是 C.L-谷氨酸脱氢酶5. 丙氨酸氨基转移酶在下列哪种组织中活性最高? B.肝脏6. 高血氨症导致脑功能障碍的生化机制是氨增高会 A.大量消耗脑中α-酮戊二酸7. 下列各类氨基酸中不含必需氨基酸的是 D.酸性氨基酸8. 下列哪组是非必需氨基酸? B.谷氨酸和脯氨酸9. 天冬氨酸氨基转移酶在下列哪种组织中活性最高? E.心脏10. 下列哪类氨基酸都是必需氨基酸? D.支链氨基酸11. 可经转氨基反应生成谷氨酸的是 A.α-酮戊二酸12. 苯丙酮酸尿症患者缺乏 A.苯丙氨酸羟化酶13. 氮总平衡常见于下列哪种情况? C.健康成年人14. 测定下列哪种酶的活性可以辅助诊断急性肝炎? A.ALT15. 氨基转移酶的辅基中含有 C.维生素B616. 单纯蛋白质代谢的最终产物是 D.CO2、H2O、尿素17. 催化α-酮戊二酸和NH3生成相应含氮化合物的酶是 B.L-谷氨酸脱氢酶18. 下列哪个不是α-酮酸的代谢途径? C.转化成某些必需氨基酸19. 肝中能直接进行氧化脱氨基作用的氨基酸是 B.谷氨酸20. 天冬氨酸经联合脱氨基作用后生成 D.草酰乙酸21. 下列那种物质的合成过程仅在肝脏进行? B.尿素22. 蛋白质的互补作用是指 A.不同的蛋白质混合食用以提高营养价值23. 白化病患者先天性缺乏 C.酪氨酸酶24. 生成活性硫酸根的是 A.半胱氨酸25. 下列叙述错误的是 E.经甲硫氨酸循环可合成甲硫氨酸,故甲硫氨酸是非必需氨基酸26. 脑中氨的主要代谢去路是 B.合成谷氨酰胺27. 血氨升高的主要原因是 B.肝功能障碍28. 天冬氨酸可由三羧酸循环的哪种中间产物直接生成? B.草酰乙酸29. 氨中毒的根本原因是 C.肝损伤不能合成尿素30. 体内氨的主要代谢去路是 D.合成尿素31. 在下列与氨基酸代谢有关的途径中,哪个对氨基酸的分解和合成都起着主要作用? B.联合脱氨基作用32. 氮负平衡常见于下列哪种情况? E.以上都可能33. 活性甲基供体是 A.S-腺苷甲硫氨酸34. 氨基酸的最主要脱氨基方式是 B.联合脱氨基作用35. 下列叙述的错误是 E.转氨基反应是所有氨基酸共有的代谢途径第9次作业A型题:1. 原核生物DNA指导的RNA聚合酶由数个亚基构成,其核心酶的组成是 A.α2ββ'ω2. 转录时阅读模板信息的方向是 A.3'→5'3. 冈崎片段的合成是由于 C.后随链合成方向与其模板的解链方向相反4. 紫外线对DNA的损伤主要是引起 E.嘧啶二聚体形成5. 参于蛋白质合成而不参与尿素合成的是 C.GTP6. 关于RNA合成的错误叙述是 A.RNA聚合酶需要引物7. 信号识别颗粒可识别 D.信号肽8. 只参与DNA修复的酶是 B.光解酶9. 哪种氨基酸没有遗传密码? E.羟赖氨酸10. 决定蛋白质合成的起始信号是 B.AUG11. 对应于密码子ACG的反密码子为 B.CGU12. 将脱氧核糖核苷酸序列信息转化成互补脱氧核糖核苷酸序列信息的过程是 B.复制13. 关于DNA复制的错误叙述是 D.需RNA指导的RNA聚合酶14. 在蛋白质合成过程中负责终止肽链延长的密码子有 C.3个15. 关于遗传密码特点的正确叙述是 D.一种氨基酸可以有多个密码子16. DNA的合成原料是 E.dATP、dGTP、dCTP、dTTP17. 原核生物参与转录起始的酶是 C.RNA聚合酶全酶18. 原核生物mRNA分子内和核糖体16S rRNA结合的序列是 C.SD序列19. 翻译的模板是 D.mRNA20. 下列关于RNA聚合酶和DNA聚合酶的叙述,哪一项是正确的? C.RNA聚合酶和DNA聚合酶只能在核苷酸链3'端连接核苷酸21. 大肠杆菌启动子-10区的核苷酸序列称为 B.Pribnow框22. 原核生物是以RNA聚合酶与启动子结合开始转录的。
北京中医药大学《生物化学Z》考试辅导试题及答案北京中医药大学《生物化学Z》考试辅导试题及答案第1次作业A型题:1、用班氏试剂检验尿糖就是利用葡萄糖得哪种性质B、还原性2、绝大多数脂肪酸在生物体内得存在形式为B、阴离子3、脂肪得碘值愈高表示B、所含脂肪酸得不饱与程度愈高4、下列说法符合脂肪概念得就是E、脂肪就是三脂酰甘油5、主要得食用糖就是C、蔗糖6、天然不饱与脂肪酸得构型为D、顺式7、没有还原性得糖就是E、蔗糖8、不属于卵磷脂组成成分得就是B、乙醇胺9、属于多不饱与脂肪酸得就是A、亚麻酸10、不能被人体消化酶消化得就是D、纤维素11、俗称卵磷脂得就是A、磷脂酰胆碱12、具有抗凝血作用得就是C、肝素13、甘油磷脂既有极性头又有非极性尾,其中非极性尾就是指E、脂肪酸14、下列说法符合糖原概念得就是 C、支链短而密,每隔8~12个葡萄糖单位有1个分支15、决定葡萄糖D/L构型得碳原子就是E、C-516、关于D—葡萄糖分子结构叙述正确得就是B、链状葡萄糖分子中C-3上得羟基在费歇尔投影式得左侧,其它羟基在右侧B型题:A、丙酮B、丙酮酸C、甘油酸D、甘油醛E、二羟基丙酮1、属于酮糖得就是E2、属于醛糖得就是D第2次作业A型题:1、单纯蛋白质中含量最少得元素就是E、S2、在多肽链中,一个氨基酸参与形成主链得原子得正确排列就是E、-N-α-C-3、哪种氨基酸水溶液得pH值最低?A、谷氨酸4、在蛋白质分子内,天冬氨酸可与下面哪种氨基酸形成离子键?C、赖氨酸5、哪种氨基酸不参与蛋白质合成?E、羟赖氨酸6、以下哪种试剂常用于还原二硫键?C、巯基乙醇7、以下哪种氨基酸得等电点最低?A、谷氨酸8、蛋白质得特征性元素就是C、N9、变性不包括破坏以下哪种化学键?E、肽键10、维持蛋白质一级结构得化学键就是E、肽键11、下列叙述不正确得就是A、变性导致蛋白质沉淀12、为了获得不变性得蛋白制剂,可采用下述哪种分离方法? A、低温盐析13、在pH=7时侧链带电荷得氨基酸就是C、赖氨酸14、维持蛋白质三级结构得主要化学键就是D、疏水作用15、维持蛋白质二级结构得主要化学键就是C、氢键16、β转角属于蛋白质得哪种结构?B、二级结构17、选出不含硫得氨基酸E、组氨酸18、以下哪种标准氨基酸在β转角中最常见? C、脯氨酸19、含有辅基得蛋白质一定就是D、缀合蛋白质20、以下哪种氨基酸就是亚氨基酸? B、脯氨酸21、一个蛋白质分子含有二硫键,所以该蛋白质含有A、半胱氨酸22、蛋白质变性就是由于C、蛋白质空间构象得破坏23、破坏氢键不会改变蛋白质得A、一级结构24、关于蛋白质α螺旋得正确叙述就是B、α螺旋得形成及其稳定性受侧链R结构得影响25、以下哪种氨基酸很少位于蛋白质分子表面?D、亮氨酸26、导致蛋白质变性得因素不包括A、冷冻27、含有两个羧基得氨基酸就是B、谷氨酸28、蛋白质得一级结构及空间结构决定于A、氨基酸组成与顺序29、只存在于碱性氨基酸得基团就是B、胍基30、盐析法沉淀蛋白质得原理就是E、中与蛋白质所带电荷,破坏蛋白质分子表面得水化膜31、氨基酸在生理条件下得主要形式就是C、兼性离子32、人体内得一种重要得肽类抗氧化剂就是B、谷胱甘肽33、两种蛋白质A与B,现经分析确知A得等电点比B高,所以下面一种氨基酸在A得含量可能比在B多,它就是D、赖氨酸34、20种标准氨基酸得平均分子量就是C、138Da35、镰状细胞病就是由血红蛋白分子结构异常而导致得分子病,患者血红蛋白HbS得β亚基N端6号氨基酸被以下哪种氨基酸取代E、缬氨酸36、一种不含半胱氨酸得蛋白质不可能含有哪种化学键?A、二硫键37、关于蛋白质结构得不正确叙述就是B、各种蛋白质均具有一、二、三、四级结构38、蛋白质得天然构象就是由以下化学键共同维持得,其中哪种不就是非共价键?A、二硫键39、在下面得肽单元结构中,哪个共价键不能自由旋转? B、⑵40、一个十肽含有三个羧基,所以该十肽可能含有A、谷氨酸41、蛋白质分子结构中不存在得含硫氨基酸就是E、同型半胱氨酸42、以下哪种氨基酸没有旋光性?A、甘氨酸43、一条多肽链由100个氨基酸构成,其分子量得可能范围就是C、10000~12 000Da44、在生理条件下,氨基酸得那种基团带负电荷?E、羧基45、各种蛋白质含氮量很接近,平均为C、16%第3次作业A型题:1、DNA分子含有几种杂环结构? C、32、指导蛋白质合成得就是B、mRNA3、核苷酸碱基不含哪种元素?E、P4、关于DNA双螺旋模型得正确叙述就是A、DNA两股链得走向就是反向平行得5、rRNA占RNA总量得C、80%~85%6、某DNA分子胸腺嘧啶得摩尔含量为20%,则胞嘧啶得摩尔含量应为B、3%(G=T=20%,A=C=(100%-2×20%)/2=30%)例:某DNA分子腺嘌呤得摩尔含量为16%,则胸腺嘧啶得摩尔含量应为(34%)解析:腺嘌呤(A)/鸟嘌呤(G)/胞嘧啶(C)/胸腺嘧啶(T)构成双链DNA分子全部得碱基也就就是说A+G+C+T=100%而碱基相互配对,即A=C与G=T若A=16%则A=C=16%;G=T=34%7、ATP得功能不包括D、激活酶原8、关于DNA双螺旋模型得错误叙述就是C、碱基位于双螺旋外侧9、在转运氨基酸合成蛋白质时,氨基酸与tRNA哪个部位结合?A、3'端10、在RNA水解液中含量最少得就是D、TMP11、tRNA得二级结构为D、三叶草形12、核酸具有特殊得紫外吸收光谱,吸收峰在C、260nm13、在转运氨基酸合成蛋白质时,氨基酸与tRNA得哪种核苷酸结合? D、腺苷酸14、tRNA 3’端得核苷酸就是D、腺苷酸15、细胞内含量最稳定得成分就是A、DNA16、真核生物大多数mRNA 3'端得核苷酸就是D、腺苷酸17、关于tRNA得错误叙述就是E、通常由几百个核苷酸组成,分子量较小18、稀有碱基百分含量最多得就是E、tRNA19、mRNA得特点就是种类多、寿命短、含量少,占细胞内总RNA得B、10%以下20、DNA变性就是指D、互补碱基之间得氢键断开21、DNA得一级结构实质上就就是A、DNA分子得碱基序列22、连接核酸结构单位得化学键就是B、磷酸二酯键23、关于DNA碱基组成得正确叙述就是C、不同生物来源得DNA碱基组成不同24、关于核苷酸生理功能得错误叙述就是C、核苷酸就是生物膜得基本结构成分25、真核生物大多数mRNA 5’端得核苷酸就是C、7-甲基鸟苷酸26、关于tRNA得错误叙述就是A、5'端为CCA-OH27、关于DNA得错误叙述就是 A、DNA只存在于细胞核内,其所带遗传信息由RNA携带到内质网并指导蛋白质合成28、关于核酸结构得错误叙述就是E、与DNA相比,RNA种类繁多,分子量相对较大29、真核生物大多数mRNA得5’端有C、帽子30、关于真核生物DNA碱基得错误叙述就是E、营养不良常可导致DNA得碱基组成发生改变31、核小体得组成成分不包括B、RNA32、原核生物三种rRNA得沉降系数就是A、5S、16S、23S33、关于RNA得错误叙述就是 B、rRNA种类最多34、tRNA占细胞内总RNA得C、10%~15%35、以下哪种成分得组成与结构更复杂?C、细胞核DNA第4次作业A型题:1、mol/L可用于表示A、Km2、以下哪种物质抑制巯基酶活性而引起中毒性疾病? E、重金属离子3、μmol/min就是E、酶活性单位4、关于同工酶得错误叙述就是B、都就是单体酶5、符合竞争性抑制作用得叙述就是D、抑制剂与酶得活性中心结合6、含LDH5丰富得组织就是A、肝细胞7、不以NAD为辅助因子得酶就是D、琥珀酸脱氢酶8、林-贝氏作图法得到得直线在横轴上得截距为A、-1/Km9、丙二酸对琥珀酸脱氢酶得抑制作用属于E、竞争性抑制作用10、以下哪项不就是酶得特点? E、酶可以决定反应方向11、L—乳酸脱氢酶得哪种同工酶在心肌含量最多?A、LDH112、哪一种抑制作用可用增加底物浓度得方法削弱? E、竞争性抑制作用13、酶得Km与哪个无关? D、酶得浓度14、关于辅助因子得叙述正确得就是D、一种辅助因子能与多种脱辅基酶蛋白结合,形成具有不同特异性得全酶15、结合酶得非蛋白质成分一定就是C、辅助因子16、全酶就是指 C、脱辅基酶蛋白-辅助因子复合物17、酶可以根据分子组成分为单纯酶与E、结合酶18、把脱辅基酶蛋白完全水解,其水解产物为A、氨基酸19、各种酶都有最适pH值,其特点就是C、最适pH值时该酶活性中心得可解离基团都处于最适反应状态20、竞争性抑制剂得抑制程度与下列哪种因素无关?E、作用时间21、酶原没有活性就是因为A、活性中心未形成或未暴露22、竞争性抑制剂得动力学特点就是D、表观Km值增大,表观Vmax不变23、哪种酶属于多酶体系? C、丙酮酸脱氢酶系24、哪类不就是不可逆性抑制剂? A、磺胺类药物25、L-乳酸脱氢酶就是由两种亚基组成得X聚体,可形成Y种同工酶,其X、Y得数值依次就是C、526、对于一个单底物酶促反应,当[S]=4Km值时,反应速度为最大速度得C、80%27、酶分子内使底物转化成产物得基团就是A、催化基团28、酶原得激活就是由于 D、激活剂使酶原分子得一段肽水解脱落,从而形成活性中心,或使活性中心暴露29、关于酶得活性中心得错误叙述就是D、形成酶得活性中心得基团称为必需基团30、下列叙述哪一项就是正确得?A、少数RNA具有催化活性31、决定酶得特异性得就是E、脱辅基酶蛋白32、L-乳酸脱氢酶同工酶就是由H、M亚基组成得C、四聚体33、关于全酶得不正确叙述就是B、酶促反应得特异性取决于辅助因子34、唾液淀粉酶得激活剂就是A、Cl-35、同工酶得共同点就是A、催化相同得化学反应36、酶活性就是指C、酶得催化能力37、酶作为典型得催化剂可产生哪种效应?C、降低反应得活化能38、磺胺类药物得作用机制属于D、竞争性抑制作用39、符合辅助因子概念得叙述就是C、参与传递化学基团40、以下哪种酶不就是单纯酶? A、L-乳酸脱氢酶41、酶与一般催化剂得区别就是B、具有很高得特异性42、关于酶得辅基得正确叙述就是C、一般不能用透析或超滤得方法与脱辅基酶蛋白分开43、影响酶活性得因素不包括B、底物浓度44、底物浓度达到饱与后B、酶得活性中心全部被底物占据,反应速度不再加快45、反竞争性抑制剂具有下列哪一种动力学效应?D、Km值减小,Vmax降低第5次作业A型题:1、关于NADH得错误叙述就是D、在细胞液中氧化并生成ATP2、肌肉细胞内能量得主要储存形式就是D、磷酸肌酸3、线粒体氧化磷酸化解偶联意味着C、线粒体能利用O2,但不能生成ATP4、NADH氧化呼吸链得P/O比值为C、35、在生物氧化过程中NAD+得作用就是B、递氢6、与胶原蛋白羟脯氨酸及羟赖氨酸得合成有关得就是B、维生素C7、呼吸链中不与其她成分形成复合体得就是D、细胞色素c8、苹果酸-天冬氨酸穿梭得生理意义就是A、将NADH传递得电子带入线粒体9、大脑细胞液中NADH进入呼吸链主要就是通过A、3—磷酸甘油穿梭10、琥珀酸氧化呼吸链不包括E、NAD11、长期服用异烟肼会引起缺乏B、Vit PP12、2,4-二硝基苯酚能抑制哪种代谢?D、氧化磷酸化13、糖类、脂类与蛋白质在生物氧化过程中都会产生得中间产物就是E、乙酰CoA14、氧化磷酸化得解偶联剂就是A、2,4-二硝基苯酚15、关于呼吸链得错误叙述就是A、递电子体都就是递氢体16、被氰化物抑制得就是B、细胞色素aa317、哪种Vit可作为视蛋白得辅基B、Vit A18、儿童缺乏维生素D时易患A、佝偻病19、细胞色素在呼吸链中得排列顺序就是B、b→c1→c→aa320、加速ATP水解为ADP与Pi得就是B、甲状腺激素21、不含血红素得就是D、铁硫蛋白22、被CO抑制得就是D、细胞色素aa323、肝脏与心肌细胞液中NADH进入呼吸链主要就是通过D、苹果酸-天冬氨酸穿梭24、用来治疗坏血病得就是D、维生素C25、FADH2氧化呼吸链得P/O比值为B、226、呼吸链得组分不包括A、CoA27、不就是高能化合物得就是B、3-磷酸甘油醛28、成人缺乏维生素D时易患B、骨软化症29、临床上常用于辅助治疗婴儿惊厥与妊娠呕吐得就是C、Vi tB630、丙酮酸氧化时脱下得氢在哪个环节上进入呼吸链?C、NAD H脱氢酶31、呼吸链中属于脂溶性成分得就是C、泛醌32、脚气病就是由于缺乏C、VitB133、不在生物氧化过程传递电子得就是E、细胞色素P45034、NAD与NADP含有E、烟酰胺35、下列物质中脱下得氢不通过NADH氧化呼吸链氧化得就是E、脂酰CoA36、与线粒体内膜结合较松容易分离得就是C、细胞色素c37、真核生物呼吸链得存在部位就是E、线粒体38、与细胞色素氧化酶结合而使生物氧化中断得就是D、CO39、呼吸链中将电子直接传递给O2得就是A、细胞色素a340、促进凝血酶原合成得就是E、维生素K41、细胞液中NADH经苹果酸-天冬氨酸穿梭进入线粒体发生氧化磷酸化反应,其P/O比值为C、342、关于生物氧化得错误叙述就是C、生物氧化过程中被氧化得物质称受氢体43、1mol琥珀酸脱下得2H经氧化磷酸化生成ATP得摩尔数就是B、244、目前关于氧化磷酸化机制得理论获得较多支持得就是D、化学渗透学说45、叶酸在体内得活性形式就是C、FH4第6次作业A型题:1、三羧酸循环中有几步底物水平磷酸化反应? A、12、以下哪个途径消耗UTP? E、糖原合成途径3、三羧酸循环得关键酶就是E、异柠檬酸脱氢酶4、蚕豆病与缺乏哪种酶有关? A、6-磷酸葡萄糖脱氢酶5、催化糖原分解得关键酶就是D、糖原磷酸化酶6、琥珀酸脱氢酶得辅助因子就是A、FAD7、能抑制糖异生得激素就是D、胰岛素8、1分子3-磷酸甘油醛经过糖得有氧氧化途径彻底氧化,经底物水平磷酸化反应生成得ATP分子数就是B、3 9、体内能量得主要来源就是B、糖得有氧氧化途径10、葡萄糖得有氧氧化过程有几步消耗高能化合物ATP得反应?B、211、成熟红细胞得能源主要来自C、糖酵解途径12、1个乙酰基经氧化分解可生成ATP得数目就是C、1213、催化糖原合成得关键酶就是E、糖原合酶14、缺氧时为机体提供能量得就是C、糖酵解途径15、指出关于胰岛素得错误叙述A、促进糖异生16、下列物质彻底氧化生成ATP最多得就是A、1,6-二磷酸果糖17、能同时促进糖原、脂肪合成得激素就是D、胰岛素18、在糖酵解途径中,下列哪种酶催化得反应不可逆? C、己糖激酶19、能使ADP生成ATP得就是E、磷酸烯醇式丙酮酸20、糖类、脂类与蛋白质代谢得交汇点就是E、乙酰CoA21、由1分子葡萄糖生成1分子1,6-二磷酸果糖消耗几分子ATP?B、222、在线粒体内进行得糖代谢途径就是B、三羧酸循环23、催化丙酮酸生成乙酰CoA得就是 D、丙酮酸脱氢酶系24、能使血糖降低得激素就是D、胰岛素25、关于三羧酸循环得错误叙述就是B、反应就是可逆得26、肌糖原分解时大部分经过糖酵解途径进行氧化,不能释出葡萄糖,因肌肉细胞内缺乏B、葡萄糖—6-磷酸酶27、葡萄糖合成糖原时必须转化成E、UDP—葡萄糖28、饥饿时,肝脏内下列哪条途径得酶活性最强?C、糖异生途径29、在糖酵解途径中受到变构调节得关键酶就是C、磷酸果糖激酶130、关于糖酵解得正确叙述就是D、在细胞液中进行31、糖代谢途径底物水平磷酸化反应得底物就是 D、丙酮酸脱氢酶系24、能使血糖降低得激素就是D、胰岛素25、关于三羧酸循环得错误叙述就是B、反应就是可逆得26、肌糖原分解时大部分经过糖酵解途径进行氧化,不能释出葡萄糖,因肌肉细胞内缺乏B、葡萄糖-6-磷酸酶27、葡萄糖合成糖原时必须转化成E、UDP-葡萄糖28、饥饿时,肝脏内下列哪条途径得酶活性最强? C、糖异生途径29、在糖酵解途径中受到变构调节得关键酶就是C、磷酸果糖激酶130、关于糖酵解得正确叙述就是D、在细胞液中进行31、糖代谢途径底物水平磷酸化反应得底物就是A、1,3-二磷酸甘油酸32、催化葡萄糖酵解第二步不可逆反应得酶就是C、磷酸果糖激酶133、肝糖原可以补充血糖,因为肝细胞内有D、葡萄糖—6-磷酸酶34、葡萄糖在肝脏进行糖酵解,催化其第一步反应得酶就是E、葡萄糖激酶B型题:A、葡萄糖激酶B、丙酮酸激酶C、6-磷酸果糖激酶1 D、3-磷酸甘油酸激酶E、磷酸烯醇式丙酮酸羧激酶1、由葡萄糖进行酵解,催化其第二步不可逆反应得酶就是 C2、底物就是磷酸烯醇式丙酮酸得酶就是 BA、36分子ATP B、24分子ATP C、4分子ATP D、2分子ATP E、3分子ATP3、1分子1,6-二磷酸果糖经糖酵解生成乳酸同时生成 C4、由1分子葡萄糖生成1分子1,6-二磷酸果糖消耗 DA、丙酮酸B、6-磷酸葡萄糖C、磷酸二羟丙酮D、琥珀酸E、草酰乙酸5、可直接转化为3-磷酸甘油醛得就是C6、可直接生成延胡索酸得就是 DA、α-酮戊二酸脱氢酶系B、丙酮酸羧化酶C、丙酮酸激酶D、丙酮酸脱氢酶系E、磷酸烯醇式丙酮酸羧激酶7、生物素就是其辅基得就是 B8、催化反应需GTP供能得就是 EA、琥珀酰CoA B、3—磷酸甘油C、3—磷酸甘油醛D、1,3-二磷酸甘油酸E、2,3-二磷酸甘油酸9、属于三羧酸循环中间产物得就是 A10、使NADH进入线粒体得载体就是 BA、糖酵解途径B、糖得有氧氧化途径C、磷酸戊糖途径D、糖异生途径E、糖原合成途径11、体内能量得主要来源就是 B12、需分支酶参与得就是E第7次作业A型题:1、细胞液中脂肪酸合成酶系催化合成得最长脂肪酸碳链为C、C162、合成磷脂酰胆碱所需得胆碱来自B、CDP-胆碱3、类脂得主要功能就是B、就是构成生物膜及神经组织得成分4、脂肪大量动员时,血中运输脂肪酸得载体就是E、清蛋白5、脂肪动员增加,脂肪酸在肝内分解产生得乙酰CoA最易转化成E、酮体6、血浆中脂类物质得运输形式就是E、脂蛋白7、主要发生在线粒体内得就是D、三羧酸循环与脂肪酸β氧化8、脂肪酸合成过程得关键酶就是D、乙酰CoA羧化酶9、可转化成胆汁酸得物质就是A、胆固醇10、软脂酸得合成场所就是D、细胞液11、为软脂酸合成供氢得就是D、NADPH12、长期饥饿时尿液中会出现D、酮体13、脂肪酸在线粒体内得主要氧化方式就是B、β氧化14、能抑制甘油三酯分解得激素就是E、胰岛素15、转运外源性甘油三酯得血浆脂蛋白主要就是A、CM16、脂肪酸β氧化发生于E、线粒体17、一分子软脂酸彻底氧化成CO2与H2O时可净生成得ATP分子数就是D、12918、关于酮体得错误叙述就是A、饥饿时酮体合成减少19、转运内源性甘油三酯得血浆脂蛋白主要就是E、VLDL20、低密度脂蛋白中得主要脂类就是A、胆固醇酯21、饥饿时肝酮体生成增强,为避免酮体引起酸中毒可补充E、葡萄糖22、不能利用酮体得就是A、肝脏23、催化水解体内储存得甘油三酯得就是 B、激素敏感性脂酶24、正常人空腹血浆中含量最多得脂蛋白就是C、LDL25、携带脂酰CoA通过线粒体内膜得载体就是C、肉碱26、脂酰CoA得β氧化反应包括C、脱氢、加水、再脱氢、硫解27、下列物质不能代谢生成乙酰CoA得就是A、胆固醇28、关于酮体得错误叙述就是B、酮体合成不消耗高能化合物29、血浆脂蛋白按密度由低到高得顺序就是B、CM、VLDL、LDL、HDL30、向肝脏转运胆固醇得脂蛋白就是B、HDLB型题:A、心脏B、肝脏C、脾脏D、肺腑E、肾脏1、合成酮体得器官就是 B2、合成脂肪得主要器官就是 BA、HDLB、CMC、LDLD、VLDLE、游离脂肪酸3、转运内源性胆固醇得脂蛋白就是C4、转运外源性甘油三酯得脂蛋白就是BA、甘油三酯B、游离脂肪酸C、卵磷脂D、基本脂E、胆固醇酯5、LDL中得主要脂类就是 E6、脂库中得脂类就是 AA、HDLB、CMC、LDLD、VLDL E、游离脂肪酸7、转运内源性胆固醇得脂蛋白就是 C8、能逆向转运胆固醇得脂蛋白就是 AA、乙酰CoA羧化酶B、HMG-CoA还原酶C、HMG-CoA裂解酶D、HMG—CoA合成酶E、乙酰乙酸硫激酶9、脂肪酸合成得关键酶就是A10、胆固醇合成得关键酶就是 BA、HDL B、CM C、LDL D、VLDL E、游离脂肪酸11、能逆向转运胆固醇得脂蛋白就是 A12、转运外源性甘油三酯得脂蛋白就是 BA、细胞浆B、微粒体C、线粒体D、内质网E、细胞膜13、脂肪酸合成得部位就是 A14、脂肪酸β-氧化得部位就是 C第8次作业A型题:1、生成儿茶酚胺得就是D、酪氨酸2、血清中酶活性增高得主要原因通常就是C、细胞受损使细胞内酶释放入血3、能直接生成γ-氨基丁酸得就是B、谷氨酸4、催化谷氨酸氧化脱氨基得酶就是C、L-谷氨酸脱氢酶5、丙氨酸氨基转移酶在下列哪种组织中活性最高? B、肝脏6、高血氨症导致脑功能障碍得生化机制就是氨增高会A、大量消耗脑中α—酮戊二酸7、下列各类氨基酸中不含必需氨基酸得就是D、酸性氨基酸8、下列哪组就是非必需氨基酸?B、谷氨酸与脯氨酸9、天冬氨酸氨基转移酶在下列哪种组织中活性最高? E、心脏10、下列哪类氨基酸都就是必需氨基酸?D、支链氨基酸11、可经转氨基反应生成谷氨酸得就是A、α-酮戊二酸12、苯丙酮酸尿症患者缺乏A、苯丙氨酸羟化酶13、氮总平衡常见于下列哪种情况?C、健康成年人14、测定下列哪种酶得活性可以辅助诊断急性肝炎? A、ALT15、氨基转移酶得辅基中含有C、维生素B616、单纯蛋白质代谢得最终产物就是D、CO2、H2O、尿素17、催化α-酮戊二酸与NH3生成相应含氮化合物得酶就是B、L-谷氨酸脱氢酶18、下列哪个不就是α-酮酸得代谢途径?C、转化成某些必需氨基酸19、肝中能直接进行氧化脱氨基作用得氨基酸就是B、谷氨酸20、天冬氨酸经联合脱氨基作用后生成D、草酰乙酸21、下列那种物质得合成过程仅在肝脏进行?B、尿素22、蛋白质得互补作用就是指A、不同得蛋白质混合食用以提高营养价值23、白化病患者先天性缺乏C、酪氨酸酶24、生成活性硫酸根得就是A、半胱氨酸25、下列叙述错误得就是E、经甲硫氨酸循环可合成甲硫氨酸,故甲硫氨酸就是非必需氨基酸26、脑中氨得主要代谢去路就是B、合成谷氨酰胺27、血氨升高得主要原因就是B、肝功能障碍28、天冬氨酸可由三羧酸循环得哪种中间产物直接生成? B、草酰乙酸29、氨中毒得根本原因就是C、肝损伤不能合成尿素30、体内氨得主要代谢去路就是D、合成尿素31、在下列与氨基酸代谢有关得途径中,哪个对氨基酸得分解与合成都起着主要作用? B、联合脱氨基作用32、氮负平衡常见于下列哪种情况? E、以上都可能33、活性甲基供体就是A、S-腺苷甲硫氨酸34、氨基酸得最主要脱氨基方式就是B、联合脱氨基作用35、下列叙述得错误就是E、转氨基反应就是所有氨基酸共有得代谢途径第9次作业A型题:1、原核生物DNA指导得RNA聚合酶由数个亚基构成,其核心酶得组成就是A、α2ββ'ω2、转录时阅读模板信息得方向就是A、3'→5'3、冈崎片段得合成就是由于C、后随链合成方向与其模板得解链方向相反4、紫外线对DNA得损伤主要就是引起E、嘧啶二聚体形成5、参于蛋白质合成而不参与尿素合成得就是C、GTP6、关于RNA合成得错误叙述就是A、RNA聚合酶需要引物7、信号识别颗粒可识别D、信号肽8、只参与DNA修复得酶就是B、光解酶9、哪种氨基酸没有遗传密码? E、羟赖氨酸10、决定蛋白质合成得起始信号就是B、AUG11、对应于密码子ACG得反密码子为B、CGU12、将脱氧核糖核苷酸序列信息转化成互补脱氧核糖核苷酸序列信息得过程就是B、复制13、关于DNA复制得错误叙述就是D、需RNA指导得RNA聚合酶14、在蛋白质合成过程中负责终止肽链延长得密码子有C、3个15、关于遗传密码特点得正确叙述就是D、一种氨基酸可以有多个密码子16、DNA得合成原料就是E、dATP、dGTP、dCTP、dTTP17、原核生物参与转录起始得酶就是C、RNA聚合酶全酶18、原核生物mRNA分子内与核糖体16S rRNA结合得序列就是C、SD序列19、翻译得模板就是D、mRNA20、下列关于RNA聚合酶与DNA聚合酶得叙述,哪一项就是正确得? C、RNA聚合酶与DNA聚合酶只能在核苷酸链3’端连接核苷酸21、大肠杆菌启动子-10区得核苷酸序列称为B、Pribnow框22、原核生物就是以RNA聚合酶与启动子结合开始转录得。
北京中医药大学远程教育学院有机化学各章习题第一章 绪论一、 指出下列化合物所含官能团的名称CHCH 3CH 3CH 1. 双键 CH 3CH 2Cl 2. 卤基 CH 3CH 3CHOH3. 羟基2氨基5.CH 3CH 3CCH 3O羰基 CH 3OCH 6. 醛基CH 3CH 2C OOH 7. 羧基NO 28.硝基CH 3CH 2CH 3O9. 醚基 CH 3CH 2CN 10. 氰基二、 按照开库勒及古柏尔等所提出的经典有机化合物结构理论,写出下列分子式的各种可能结构式CO 21. C 4H 102. C 2H 7N 3. CH 2O 24.1. O=C=O2.3. 4.第二章 烷烃一、 命名下列化合物(CH 3)CHCH 2CH 2CH 321. 2-甲基戊烷CH 3CH 2C(CH 3)2CH 2CH 32. 3, 3-二甲基戊烷(C 2H 5)2C(CH 3)CH 2CH 33. 3-甲基-3-乙基戊烷CH 3CH 2CH(CH 3)CH(CH 3)CH(CH 3)24. 2, 3, 4-三甲基己烷CH 3CH 2CH(CH 3)CH 2CHCH 2CH 3CH 2CH 3CH 25. 3-甲基-5-乙基辛烷(CH 3)3CCH 2C(CH 3)26. 2, 2, 4-三甲基戊烷 (CH 3)2CHCH 2CH 2CH(CH 2CH 3)27. 2-甲基-5-乙基庚烷 (CH 3)2CHCH(CH 3)CH 2C(CH 2CH 3)2CH 38. 2, 3, 5-三甲基-5-乙基庚烷 (CH 3)2CHC(C 2H 5)2CH 2CH 2CH 39. 2-甲基-3, 3-二乙基己烷CH 3CH 10.CH 2CH 3CHCH 3CH 2CH 2CH 3CH 33-甲基-4-异丙基庚烷二、 写出下列化合物的系统名称1.2.3.丙烷 丁烷 异丁烷4.5.6.2, 2-二甲基丙烷 2, 3-二甲基丁烷 3-乙基戊烷三、写出下列化合物的结构式 1. 2,2,3,3—四甲基戊烷2. 2,3—二甲基丁烷3. 3,4,4,5—四甲基庚烷4. 3,4—二甲基—4—乙基庚烷5. 2,4—二甲基—4—乙基庚烷6. 2,5—二甲基己烷7. 2—甲基—3—乙基戊烷8. 2,2,4—三甲基戊烷9. 3,4—二氯—2,5—二甲基己烷 10. 5—(1,2—二甲基丙基)—6—甲基十二烷第三章 烯烃一、 用系统命名法命名下列化合物CH 3CH 2CH 2CCH 2CH 321. 2-乙基-1-戊烯CH 3CH 2CCH 32.CH 22-甲基丁烯CH 3CHCH 2CH CHCH 3CHCHCH 333. 6-甲基-4-乙基-2-庚烯CH 3CH 2CHCHCH 2CH 2CH 34. 3-庚烯二、 写出下列化合物的结构式1. 四乙基乙烯2. 对称二乙基乙烯3. 不对称甲基乙基乙烯4. 2,3,3,4—四甲基—1—戊烯三、 完成下列反应式,写出主要产物的结构式第四章 炔烃和二烯烃一、 用系统命名法命名下列化合物CH 3CCCH 31. 2-丁炔 CHCCH 2CH 32. 1-丁炔CH 3CHCH 2CCHCH 33. 4-甲基-1-戊炔CH 2CHCH 2CH 2CCH 4. 1-己烯-5炔CH 3CH 3CCH 3CHCH 25. 3, 4-二甲基-1, 3-戊二烯CH 3CC C CHCH 2CH 3CHCH 26. 4-乙烯基-4-庚烯-2-炔CH 3HC3HCC CC CH 3CH 3CH 37. 2, 2, 5-三甲基-3-己炔C CC CH 3CH 3CH 3CH 28.4,4-二甲基-1-苯基-1-戊炔二、 写出下列化合物的结构式1. 4—甲基—2—戊炔2. 3—甲基—3—戊烯—1—炔3. 二异丙基乙炔4. 1,5—己二炔5. 1—溴—1—丁炔6. 乙烯基乙炔7. 4—十二碳烯—2—炔8. 3—甲基—3—戊烯—1—炔三、 完成下列反应式,写出主要产物的结构式第五章 脂肪烃一、 用系统命名法命名下列化合物1.4-环丙基-1-丁烯2.5-甲基-4-环丙基-2-庚烯二、写出下列化合物的结构式1. 环己基环己烷2. 二螺[5,1,6,2]十六烷第六章 芳香烃一、 命名下列化合物C CH 3CH 3CH 31.CH 3Cl2.C 2H 5NO 23.NO 2NO 24.COOH叔丁基苯 4-氯甲苯 4-硝基乙苯 3, 4-二硝基苯甲酸CH 2OH5.CCHCH 3CH 36.7.苯甲醇 2-苯基-2-丁烯 环己基苯二、 写出下列化合物的结构式1. 间二硝基苯2. 对溴硝基苯3. 对羟基苯甲酸4. 2,4,6—三硝基苯酚5. 对氯苄氯6. 3,5—二硝基苯甲酸三、 完成下列反应式四、 以苯为原料合成下列化合物ClCH 31.ClNO 22.CNO 2OH O SO 3H3.4.CH(CH 3)2CCH 3O第七章卤代烷烃一、命名下列化合物1.CH3CH CH CHCH3CH3Cl CH31.2,4—3—氯—二甲基戊烷CH3CH CH CHCH3CH3ClCH32.3, 4-二甲基-2-氯戊烷CH2CH2CH2CH2BrBr3.1,5—二溴戊烷Cl4.1—氯环戊烷氯代环戊烷CHC l35.三氯甲烷(氯仿)二、写出下列化合物的结构式1. 烯丙基溴2. 1—氯—2—苯基—乙烷3. 间—氯乙苯4. 4—溴—2—甲基—3—乙基戊烷5. 3—氯环己烯第八章 醇、酚、醚一、 命名下列化合物3OH1.3—甲基环己醇OH 3HC2.1—甲基环戊醇1.CH 3CCH 2CH 2CH 3OHCH 2CH 33. 3—甲基—3—己醇CH 3CH 2CH 2CH 2CH 2CH 2OH 4. 1—己醇CH 3CHCH 2CH 2CH 3OH5. 2—戊醇二、写出下列化合物的结构式 1. 甲基乙基醚2. 乙基异丙基醚3. 戊醇—24. 4—甲基环己醇5. 邻氯苯酚三、完成下列反应式,写出主要产物的结构式CHCH 2CH 2OH CH 3CH 3PBr 1.OHSOCl 22.CH 2OHHONaOH/H 2O3.CH 3CH 2CH 2CH 2OH[O]4.CH 3CH 2CHOH CH 3HCl(ZnCl 2)5.+第九章 醛、酮、醌一、 用系统命名法命名下列化合物CH 3CH 2CH 2CH 2CH 2COH 1.己醛CH 3CH 2CHCH 2CH 2CH 2C H3O2. 5—甲基庚醛CH 3CHCH 2CH 2CH 2CHCH 3O3. 5—甲基己醛CH 3C OCH 2CH 2CH 34. 2—戊酮 戊酮—2CH 3CHCH 23O5.CH 34—甲基—2—戊酮O O 6.对苯醌OO 7.邻苯醌二、写出下列化合物的结构式1. 2—甲基乙醛2. 异丁醛3. 3—甲基辛醛4. 3—甲基庚酮—25. 氨基脲6. 苯甲醛7. 环己酮8. 苯乙醛三、完成下列反应式,写出主要产物的结构式CHO + Br乙酸1.CHO+ I 2 + NaOH2.(不反应)CHO+ NaBH 3.4.CH 3CH 2CH 2CCH 3O+ HCN5.CH 3CH 2CCH 2CH 3O+ H 2N OH6.CH 3CH 2CH 2CCH 2CH 3O+ H 2NNHCH 3CH 2CH 2CCH 2CH 3N NHCH 3CH 2CHOKMnO 47.8.CH 3CH 2CH 2CH 2CH 2O+ NaHSO 3H第十章 羧酸及其衍生物一、 用系统命名法命名下列化合物OHOCH 3CHCHCH 2CH 2CH 2C H 3C CH 31. 5,6—二甲基庚酸OOH CH 3CH 2CH 2CH 2CH 2CH 2C2. 庚酸OHCH 33.OCH 2C C 2—甲基丙烯酸4.CH 3CH 2CHCOClBr2—溴丁酰氯C C 5.O O O邻苯二甲酸酐OCH 2CH 3CH 3C CH 2C O 6.O乙酰乙酸乙酯CH 3CH 3CH 2C O7.NHN —甲基丙酰胺CH 3CH 2CCH 3O8.CO O乙丙酸酐二、写出下列化合物的结构式1. 3—甲基庚酸2. 2—甲基—3—乙基辛酸3. 丁二酸酐4. 邻苯二甲酸酐5. 丙酸乙酯6. N ,N —二乙基乙酰胺7. 异丁酰氯8. 邻甲基苯甲酰溴三、完成下列反应式,写出主要产物的结构式CH 3CH 3COOH + HOCH 2CH1.2.CH 3CH 2C CH 3CH 2COO+ HOCH 2CH 33.OOC C OH OHHCOCH 2CH 2CH 3O4. + NH 3C OO CH 3H 3CC O5.+CH 2OHOCH 3CCl +HOCH 2CH 2CH 6.OCH 3CH 2CNH 2+CH 3CH 2CH 2OH7.OCH 2OHC8.+OH+第十一章 取代羧酸一、 用系统命名法命名下列化合物CH 3CHCH 2CHCCH 3ClOHO1. 2—氯—4—甲基戊酸CHCCH 3ClOO2.CH 2CH 3CH 3CH 2CH 2C2—氯—3—甲基己酸乙酯CHC OHO3.CH 3CH 222—氨基丁酸CCH 3OO4.CH 2CH 2CHCH 3CH 2CHCH 3CH 32—甲基丁酸异戊酯CH 2COCH 25.O 苯乙酸苯甲酯二、写出下列化合物的结构式1. 乙酰乙酸乙酯2. 苯甲酸苯酯3. 3—氯丁酸乙酯4. α—氨基戊酸5. β—甲基戊酰氯三、完成下列反应式,写出主要产物的结构式1.Cl+ H 2O OH CH 3CH 2CHCOCOHO2.CH 3CCH 2CH 2OCOH O3.CH 3CH 2+OH4.+OCH 2CH 3CH 3CCH 2OO Br 2/Cl 2NHCH 3CCH 2COCH 2CH 3OO +H 2N5.NH5.OCH 2CH 3NHOHCCH 3CH 2C O第十二章 糖类1. 葡萄糖的半羧醛羟基是(A )。
北京中医药大学远程教育《有机化学Z》第2次作业及答案北京中医药大学远程教育学院有机化学综合复习题一、选择题1.下列化合物中能与多伦(Tollen)试剂发生银镜反应的是:AA. CH3CH2CH2CHOB. CH3CH2C OCH3C. CH3CH2CH2C OCH2CH3D. CH3CH2CH2CH2CH2CH2C OCH32.下列化合物中有旋光性的是:C, DA.(CH3)2CHCH2CH2CH2CH2OHB.CH3COCH2CH3C.CH3CH2CH(CH3) CH2OHD.CH3CHClCOOH3.丁烷的构象中,能量最低的是:CA.全重叠式B.部分重叠式C.对位交叉式D.邻位交叉式4.下列化合物中能与水分子形成氢键的是:B, DA.CH3CH2CH2CH2CH2CH2ClB.CH3CH2CH2CHOC.CH3CH2CH2CH2CH2CH2CH3D.CH3CH2CH2CH2CH2OH5.顺反异构体的表示方法是:BA.+/-B.Z/EC.R/SD.D/L6.下列化合物中能发生碘仿反应的是:B, CA.HCHOB.CH3CH2CH2COCH3C.CH3CH2CH2CHOHCH3D.CH3OH7.与卢卡斯(lucas)试剂发生反应速度最快的是:BA.(CH3)2CHOHB.(CH3)3COHC.CH3CH(OH)CH2CH2CH3D.CH3CH2CH2CH2OH8.与卢卡斯(lucas)试剂发生反应速度最慢的是:DA.(CH3)2CHOHB.(CH3)3COHC. CH 3CH(OH)CH 2CH 2CH 3D. CH 3CH 2CH 2CH 2OH9. 在芳香烃取代反应中,起致活作用的基因是:B, D SO 3H A. CH 3CH 2B.CNO 2C. D.CH 310. 在芳香烃取代反应中,起致钝作用的基因是:ACl A.RB.CNH 2C.R NHD.11. 下列化合物中能与KMnO 4 水溶液反应的是:DC CH A.CH 3CH 2CH 2CH 3B.OC CH 3(CH 3)3COH C.D.CH 3CH 2CH 2OH12. 下列化合物中能与AgNO 3水溶液反应最快的是:C A. 氯仿B. 氯苯C. 氯化苄D. 氯乙烷13.Cl中的氯原子不活泼,是因为氯原子与苯环发生了:AA. P─π共轭B. π─π共轭C. α─π超共轭D. α─P 超共轭14. 下列化合物中能与溴水发生白色沉淀的是:B, C A. 乙炔 B. 苯酚 C. 苯胺 D. 乙烯15. 判断化合物具有旋光性的条件是:D A. 分子的偶极距等于零 B. 分子中有无对称因素C. 分子中有无互变异构体D. 分子中有无手性碳16. 最稳定的自由基中间体是:D A. CH 3CHCH 2CH 2CH 3.B. .(CH 3)2CCH 2CH 2CH 3C.CH 2.D.. (CH3)3C17.能与溴水发生使其褪色的反应是:BA.果糖B.葡萄糖C.蔗糖D.淀粉18.F-C反应通常在:DA.无水乙醚中进行B.低温条件下进行C.Fe粉加盐酸D.无水三氯化铝催化下进行19.乙酰乙酸乙酯与FeCl3溶液显紫色,因为它具有: BA.旋光异构现象B.互变异构现象C.同分异构现象D.顺反异构现象20.葡萄糖的半羧醛羟基是:AA. C1OHB. C2OHC. C3OHD. C4OHE. C6OH21.下列化合物不能与重氮苯发生偶联反应的是:B NH2A.CH3B.C.OHD.NH222.格氏试剂是:B, CCH3CH2CH2CH2CH2A.C HOCH3CH2CH2Mg ClB.CH2CH2CH2MgClC.CH2CH2CClD.O二、写出下列化合物的结构式1.N,N—二丁基苯乙酰胺2.N—甲基—N—异丙基苯乙胺CH2CH2N 2.CH3CH CH3CH33. N —乙基苯甲胺CH 2CH 2N 3.CH 34. 异丁酸丙酯CH 2CH 2CH 3CH OO 4.CH 3CH 3C5. 丙酸异丙酯CH 2OO 5.CH 3CH 3CH 3C CH6. 氯化三乙正丙胺CH 2CH 2CH 3]+Cl -CH 2CH 2CH 36.[CH 3NCH 2CH 37. β—萘乙酰胺CH 2O 7.C NH 28. α—甲基戊酐O O38.CH 3CH 2CH 2C CH 3CH 2CH 2CH CCH 3O9. 4,6—二羟基嘧啶N OH9.NHO10. 3—吲哚乙酸OHO CH 210.C HN11. 丁二酰氯OCH 2CH 211.C Cl OCCl12. 3,5—二甲基吡啶CH 312.NH 3C13. 3—甲基邻苯二甲酸酐13.CO OC H 3CO14. 乙烯基乙炔14.HC C CHCH 215. 乙基异丙基乙炔15.CCH 3CH 3CCH 3CH 2CH16. 甲基乙基乙炔16.CCH 3CCH 3CH 217. 3,5—二溴—2—硝基甲苯17.CH 3NO 2Br Br18. 2—硝基—对甲苯酚OH18.CH 3NO 219. 2—硝基—对甲苯磺酸 SO 3H 19.CH 3NO 220. (R )—2—丁醇21. (S )—2—丁硫醇22. 苯基叔丁基醚O22.C CH 33CH 323. 苯甲基丁基醚OCH 2CH 2CH 2CH 323.CH 224. 2,4—己二酮25. 3—苯基丙烯醛26. 环己醇OH26.27. β,β′—二溴乙醚OCH 2CH 227.BrCH 2CH 2Br28. 1,3—丁二烯28.CHCH 2CH CH 229. 3—甲基辛醛30. 呋喃甲醛30.CHOO三、用系统命名法命名下列化合物CH 2CH 2CH 2CH 2CH 2CH 31.CHCH 3CHO2—甲基辛醛2.CHCH 3CH 2CH 2CH 3CH2—己烯3.CHCH 3CH 2CH 3CH 2 2—戊烯4.CC CH 3CH 2CH 32—戊炔OHCH 2CH 2CH 2CHCH 2CH 35.CH 3CH 2 3—辛醇CHCH 2CH 2CH 2CH 36.CH 3CH 2Br3—溴庚烷7.环己烯8.螺〔2,4〕庚烷CH 2CHCH 2CHO 10. 3—丁烯醛11.萘12.萘酚13.菲14.O CH2CH3苯乙酯15.COOH苯甲酸16.CH2COOH苯乙酸217.2O22,3-二硝基苯肼H18.N六氢吡啶19.C O CH2O苯甲酸苯甲酯20.C NHCH2CH3CH2ON-乙基苯乙酰胺21.N吡啶22.N喹啉23.N 吡咯24.S噻吩OHN25.N对羟基偶氮苯NH 2N 26.N对氨基偶氮苯OH27.BrBr Br2,4,6-三溴苯酚NCH 328.CH 2CH 3N-甲基-N-乙基苯胺CHO29.O2-呋喃甲醛30.CH 3CH 2COCH 2CH 2CH 2CH 3O丙酸丁酯四、完成下列反应,写出主要产物的结构式CH32.[o2]2.COOH CH33.CH3CClOAlClCH33.CCH3O+CH3CCH3OCH24.2CH2CHCH2Br5.CH2CH36.CH3CH2Cl32CH3 6.8.CH3CCH3+ NaHSO3O9.CH3CH2CH2CH2CHO+ NaHSO3 CH3CH2CH2CH2CHOH 9.3Na10.N+NCl-N+OH11.NCl-NaOH+11.NN+12.NCl-NaOH+NH212.2N N14.2HCN15.CH3CH2CH CH2HCl16.CH3CH2CH CH2HClCH3CH2CH2CH2Cl17.OCH3+ 浓H2SO418.CH2CH2CH2CHO CH3CH2CH2Mg Cl+CH3CH2CH2CHCH2CH2CH318.OMgCl22.CH 3CH 2CH 2I+△22.OCH 2CH 2CH 323.CH 2CH 2CH 2CH 2COOH +NaHCO 23.ONa CH 3CH 2CH 2CH 2COOH24.[O]Br25.CH 2CH 2CH 2CHCH CH 3CH 2CH 2CHCH 3OH26.ClOOH-CH 3CH 2CH 2+CH326.CH 2CH 2CH 3C3O+ HCl27.C CH 3CH 2CH 2Cl O CH 3CH 2CH 2+O 27.CH 2CH 2CH 3CO CH 3CH 2CH 2+ HCl28.CCH 2CH 3OH 2OO CH 3CH 2+CO 28. 2 CH 3CH 2COOH 29.CH 3CHCH 2OHCH 2CH 3OOCH 3CH 2+CH 3O29.CH 2CHCH 3CCH 3OCH 3CH 230.CH 2CH 2CH 2NH NH+CH 3ONHOH30.CH 2CH 2CH 2C CH 3NH五、由所给指定原料完成下列化合物1. 由乙酰乙酸乙酯合成3—甲基—2—戊酮解:3-甲基-2-戊酮可看成是一个甲基和一个乙基二取代的丙酮。
北京中医药大学远程教育《分析化学Z》作业1答案A型题:请从备选答案中选取一个最佳答案1. 沉淀的类型与聚集速度有关,影响聚集速度的主要因素是: [1分]A.沉淀的溶解度B.物质的性质C.溶液的温度D.过饱和度E.相对过饱和度2. 提高配位滴定选择性,消除共存金属离子干扰的最彻底方法是 [1分]A.解蔽法B.配位掩蔽法C.沉淀掩蔽法D.氧化还原掩蔽法E.预先分离3. 红外光谱法对制样的要求错误的是: [1分]A.液体样品浓度适中B.样品可以含大量水C.样品纯度越高越好D.固体样品量适中E.样品颗粒细小4. 高效液相色谱仪组成不包括: [1分]A.色谱柱B.单色器C.高压输液泵D.检测器E.进样装置5. 在下面各种振动模式中不产生红外吸收带的是: [1分]A.氨分子中3个H-C键不对称变形振动B.丙炔分子中-C≡C-对称伸缩振动C.乙醚分子中的C-O-C不对称伸缩振动D.二氧化碳分子中O=C=O对称伸缩振动E.水分子中H-O伸缩振动6. 已知某混合试样A、B、C三组分在硅胶薄层色谱上的R f值的大小顺序为A>B> C,问三组分的极性大小顺序为: [1分]A.A=B=CB.C>B>AC.A>B>CD.B>A>CE.C>A>B7. 有关酸碱指示剂的描述,正确的是: [1分]A.都有三种不同颜色B.能指示溶液的确切pH 值C.显酸色时溶液为酸性,显碱色时溶液为碱性D.在一定的pH 值范围内呈现不同的颜色E.都是有机酸8. 下列不是增大沉淀物溶解度的因素是: [1分]A.其它副反应B.酸效应C.同离子效应D.盐效应E.配位效应9. 根据条件电位定义式,以下选项错误的是: [1分]A.式中γ≤1B.还原型发生副反应,条件电位升高C.氧化型发生副反应,条件电位降低D.溶液的离子强度对条件电位有影响E.式中α≤110. 以下各种变化不影响酸碱指示剂变色的是: [1分]A.指示剂浓度B.溶剂C.温度D.离子强度E.滴定剂浓度11. 草酸钠溶液与0.04000mol/ L KMnO4溶液反应,反应完成时两种溶液消耗的体积相等,两者反应的物质的量之比为:2KMnO4~的浓度 [1分]A.0.01000 mol/LB.0.1000mol/LC.0.04000 mol/LD.0.05000 mol/LE.0.08000 mol/L12. 吸收池使用注意事项中错误的是: [1分]A.只能用镜头纸轻擦透光面B.手拿毛玻璃面C.不能用洗液清洗D.只能装到容积1/3E.光路通过其透光面13. 以下对于测定紫外吸收光谱时溶剂的选择,叙述错误的是: [1分]A.极性化合物测定多选乙醇作溶剂B.溶剂要对样品有足够的溶解能力C.在所测定的波长范围内,溶剂本身没有吸收D.在所测定的波长范围内,溶剂本身有吸收E.非极性化合物测定多选环己烷作溶剂14. 分析化学是化学学科中的一个重要分支,分析化学的主要任务不包括 [1分]A.明确物质组成的多种化学信息B.明确物质的化学组成C.明确物质的合成方法D.明确物质中某组份的含量E.明确物质的化学结构15. 应用GC对样品进行分析时,用来定性的依据是组分的: [1分]A.峰的个数B.保留时间C.峰宽D.峰高E.理论塔板数16. 下列各种类型的电子跃迁,几乎不能发生的是: [1分]A.π→σ*B.π→π*C.n→σ*D.σ→σ*E.n→π*17. 分离度R的计算式为: [1分]A.B.C.D.E.18. GC中,色谱柱使用的最高温度取决于: [1分]A.试样中各组分的熔点B.试样中各组分的沸点C.固定液的沸点D.固定液的熔点E.固定液的最高使用温度19. 在紫外吸收光谱曲线中,能用来定性的参数是: [1分]A.吸收峰的高度B.最大吸收峰的吸光度C.最大吸收峰峰形D.最大吸收峰的宽度E.最大吸收峰的波长和其摩尔吸收系数20. 必须采用间接法配制标准溶液的物质 [1分]A.无水Na2CO3B.K2Cr2O7C.H2C2O4?H2OD.Na2B4O7?0H2OE.NaOH21. 气相色谱法中“死时间”的准确含义是: [1分]A.待测组分与固定液的作用时间B.所有组分流经色谱柱的时间C.待测组分流经色谱柱的时间D.载气流经色谱柱的时间E.完全不与固定相作用组分流经色谱柱的时间22. 一组分析数据标准偏差的计算式应为: [1分]A.B.C.D.E.23. 以下关于系统误差的叙述,错误的是: [1分]A.系统误差可以消除B.系统误差可以估计其大小C.系统误差是可以测定的D.在同一条件下重复测定中,正负系统误差出现机会相等E.系统误差对分析结果影响比较恒定24. 有关保留时间t R的描述错误的是: [1分]A.色谱柱填充紧密程度不会影响某一物质的t RB.在其他条件均不变的情况下,相邻两色谱峰峰的保留时间的差值会随着色谱柱长度而改变C.t R=t0 (1+k)D.改变流动相会改变某一物质的t RE.改变柱温会改变某一物质的t R25. 当共轭体系由顺式变为反式时,其UV光谱的λmax将如何变化 [1分]A.产生新吸收带B.红移C.蓝移D.位置不变E.消失26. 当单色光通过一吸光介质后: [1分]A.透光率一般小于1B.吸光度不与浓度呈线性关系C.透光率与浓度或厚度之间呈线性关系D.透光率与吸光度成正比E.吸光度与溶液浓度或厚度之间呈指数函数关系27. 下列H2C2O4共轭酸碱对pKa与pKb的关系是: [1分]A.pK a2+pK b2= pK wB.pK a1+pK a2=pK wC.pK b1+pK b2= pK wD.pK a1+pK b1= pK wE.pK a1+pK b2= pK w28. 对氧化还原滴定,以下叙述错误的是: [1分]A.一般温度升高,氧化还原反应速度加快B.只要氧化还原反应的≥0.4V,就一定可以用于氧化还原滴定C.两电对越大,氧化还原滴定曲线的突跃越大D.氧化还原滴定突跃与反应中转移的电子数有关E.滴定反应中如有物质发生副反应,会影响相关电对的条件电位,从而影响滴定突跃的大小29. HAc 的pKa=4.76,苯甲酸C6H5COOH 的Ka=4.19,HCOOH的pKa=3.75,HCN 的 pKa=9.21,据此,不能用标准碱溶液直接滴定是: [1分]A.HClB.HAcC.C6H5COOHD.HCOOHE.HCN30. HPLC与GC比较,可以忽略纵向扩散,主要原因是: [1分]A.色谱柱较GC短B.柱前压力高C.流速比GC快D.流动相粘度大E.柱温低B型题:下列每组题有多个备选答案,每个备选答案可以使用一次或重复使用,也可以不选,请选择正确答案A.五位B.四位C.两位D.一位E.三位1. pKa=3.05 有效数字(): [1分]A B C D E2. 309.456-1.53计算结果()位有效数字: [1分]A B C D EA.H30+B.H20C.OH-D.NH3E.NH4+3. NH3 + H20 = NH4+ + OH反应物中,为酸的是: [1分]A B C D E4. 按酸碱质子理论,H20的共轭碱是: [1分]A B C D EA.V10,V2=0 C.V1=0,V2>0 D.V1=V2 E.V1>V25. 用盐酸标准溶液滴定混合碱时,至酚酞终点所消耗盐酸体积为V1 mL,继续滴定至甲基橙终点又消耗盐酸的体积V2 mL,如果溶液时,应: [1分]A B C D E6. 用盐酸标准溶液滴定混合碱时,至酚酞终点所消耗盐酸体积为V1 mL,继续滴定至甲基橙终点又消耗盐酸的体积V2 mL,如果和Na2CO3时,应: [1分]A B C D EA.无色玻璃试剂瓶B.量筒C.移液管D.容量瓶E.塑料试剂瓶7. 配HCl 标准溶液时量取浓盐酸,应选用: [1分]A B C D E8. 量取未知液作滴定,应选用: [1分]A B C D E分析化学Z》第2次作业您本学期选择了“分析化学Z”说明:本次作业总分为38分,您的得分为38分A型题:1. 仪器分析是以物质的物理性质和物理化学性质为基础的一类分析方法,以下不属于仪器分析的是: [1分]A.色谱分析B.电化学学分析C.光学分析D.重量分析E.质谱分析2. 如果杂离子与构晶离子的电荷相同、离子半径相近,则易于产生下列那种后沉淀? [1分]A.后沉淀B.表面吸附C.混晶D.吸留E.包藏3. 化学键合固定相的优点不包括: [1分]A.固定相粒度小B.无固定液流失C.传质速度快D.热稳定性好E.柱效高4. 样品中各组分出柱的顺序与流动相性质无关的是: [1分]A.正相色谱B.离子交换色谱C.液-液分配柱色谱D.吸附柱色谱E.凝胶柱色谱5. 分离度R的计算式为: [1分]A.B.C.D.E.6. 在柱色谱法中,可以用分配系数为零的物质来测定: [1分]A.色谱柱的长度B.流动相总体积C.填料的体积D.填料孔隙的体积E.总体积7. 以下与氧化还原反应速度无关的是: [1分]A.反应平衡常数B.氧化剂、还原剂本身的性质C.反应物的浓度D.反应温度E.催化剂8. 在HPLC操作时,为了避免压力变化,使流动相产生气泡影响检测或降低柱效,要对流动相进行“脱气”,以下不是“脱气”方法的是: [1分]A.加热B.超声C.减压过滤D.通入惰性气体E.在线膜脱气9. 以下不是滴定分析的特点的是: [1分]A.分析结果精密度、准确度较高B.适用于测定微量或痕量组分的含量C.适用于测定常量组分的含量D.与重量法比较,操作简便、快速E.与仪器分析方法比较,设备简单,价廉10. 根据条件电位定义式,以下选项错误的是: [1分]A.式中γ≤1B.还原型发生副反应,条件电位升高C.氧化型发生副反应,条件电位降低D.溶液的离子强度对条件电位没有影响E.式中α≥111. 滴定分析中,滴定剂与待测物质刚好完全反应的那一点称为: [1分]A.突跃点B.化学计量点C.等电点D.滴定终点E.理论终点12. 色谱图中,两峰间的距离取决于: [1分]A.色谱峰的峰宽B.相应两组分在两相间的分配系数C.相应两组分在两相间的扩散速度D.色谱柱的死体积E.色谱峰的半峰宽13. 以下为共轭酸碱对的是 [1分]A.H2PO4-——PO43-B.H3O+——OH-C.NH4+——NH 3D.H3AsO4——HAsO42-E.H2CO3——CO32-14. 用NaOH标准溶液滴定同浓度的HCl,若两溶液浓度同时减小10倍,其滴定曲线pH突跃的变化应该是:[1分]A.化学计量点前0.1%的pH值增大,化学计量点后0.1%的pH值减小B.化学计量点前0.1%的pH值减小,化学计量点后0.1%的pH值增大C.化学计量点前后0.1%的pH值均减小D.化学计量点前后0.1%的pH值均增大E.化学计量点前0.1%的pH值不变,化学计量点后0.1%的pH值增大15. 在重量分析法中,为使沉淀反应进行完全,对不易挥发的沉淀剂来说,加入量最好: [1分]A.过量就行B.按计量关系加入C.过量20%~30%D.过量50%~100%E.沉淀剂达到近饱和16. 32.650-1.5正确的答案是: [1分]A.31.2B.31.1C.31.14D.31E.31.14017. 以下除那项以外都是基准物应具备的条件: [1分]A.分子量要较大B.物质的组成要与化学式完全相等C.纯度要高D.性质稳定E.不含有结晶水18. 用已知浓度的NaOH标准溶液,滴定相同浓度不同弱酸时,如果弱酸Ka值越大,则: [1分]A.终点时,指示剂颜色变化越不明显B.消耗NaOH 的量越多C.消耗NaOH 的量越小D.滴定突跃范围越大E.滴定突跃范围越小19. 用薄层色谱分离生物碱时,有拖尾现象,为减少拖尾,可在展开剂中加入少量的: [1分]A.水B.二乙胺C.甲酸D.石油醚E.正己烷20. 在色谱分离中,要使两组份完全分离,其分离度应是: [1分]A.0.7B.0.1C.0.9D.1.0E.>1.521. 为测定固体试样的红外光谱图,试样制备的方法中不包括: [1分]A.压片法B.粉末法C.糊状法D.薄膜法E.气体池法22. 不影响酸碱指示剂使用的条件是: [1分]A.湿度B.指示剂的用量C.温度D.溶液离子强度E.溶剂23. 在正相液固色谱中,下列哪个溶剂的洗脱能力最强: [1分]A.乙醚B.正己烷C.甲醇D.乙酸乙酯E.二氯甲烷24. 气相色谱中选作定量的参数是: [1分]A.半峰宽B.保留时间C.相对保留时间D.峰面积E.调整保留时间25. 关于铬黑T指示剂,以下叙述错误的是: [1分]A.在pH7-11时,游离铬黑T呈蓝色B.铬黑T是氧化还原的指示剂C.在水硬度的测定时可用于指示终点D.铬黑T应在pH7-11范围内使用E.用作EDTA测定自来水硬度的指示剂,终点时铬黑T从红色变为蓝色26. 组分在固定相和流动相中的质量为m s、m m(g),浓度为C s、C m(g/ml),摩尔数为n s、n m(mol),固定相和流动相的体积为V s、V m(ml),此组分的分配系数是: [1分]A.C m/C sB.m s/m mC.(C s V s)/(C m V m)D.n s/n mE.C s/C m27. 薄层色谱中对两个斑点间距离不产生影响的因素是: [1分]A.展开距离B.固定相的种类C.流动相的极性D.展开温度E.薄层板的宽窄28. 红外光谱法中所说的特征频率区是指4000 cm-1-1250 cm-1的区间,以下对该区间的叙述正确的是: [1分]A.该区吸收峰不易辨认B.该区又称指纹区C.该区处于红外光谱的低频区D.该区的吸收能反映精细结构E.该区特征性很强故称特征区29. 物质的量、物质的摩尔质量、物质的质量三者之间的关系式是: [1分]A.C1:V1=C2:V2B.C1V1=C2V2C.C=n/VD.n=m/ME.CV=n/m30. 以下标准溶液必须用标定法配制的是: [1分]A.重铬酸钾标准溶液B.草酸标准溶液C.邻苯二甲酸氢钾标准溶液D.EDTA标准溶液E.碳酸钠标准溶液B型题:下列每组题有多个备选答案,每个备选答案可以使用一次或重复使用,也可以不选,请选择正确答案A.色谱柱的长度增长 B.硅胶的活度增大 C.流动相的极性增强 D.固定相填充得更加紧密 E.色谱柱的长度减小1. 哪个因素可使某物质的容量因子k不变,但保留时间增大: [1分]A B C D E2. 哪个因素可使某物质的容量因子k减小: [1分]A B C D EA.ArB.R’C.ClD.HE.R3. 羰基化合物R-CO-X中,若X分别为以下取代基时,C=O伸缩振动频率出现最高波数者为: [1分]A B C D E4. 羰基化合物R-CO-X中,若X分别为以下取代基时,C=O伸缩振动频率出现最低波数者为: [1分]A B C D EA.4B.12C.7D.6E.55. 乙炔分子的振动自由度为: [1分]A B C D E6. 某化合物的分子式为C6H6其不饱和度为: [1分]A B C D EA.柱色谱B.键合相色谱C.正相色谱D.反相色谱E.离子交换色谱7. 液相色谱中,固定相极性大于流动相极性的色谱方法称为: [1分]A B C D E8. 液相色谱中,固定相置于色谱柱中进行分离的色谱方法称为: [1分]A B C D E您本学期选择了“分析化学Z”4次作业说明:本次作业总分为38分,您的得分为37分A型题:请从备选答案中选取一个最佳答案1. 以下试剂不能作为基准物质的是:[1分]A.分析纯NaOHB.优级纯的邻苯二甲酸氢钾C.优级纯的无水Na2CO3D.800℃干燥过的ZnOE.99.99%纯锌2. 吸光度A与透光率T的关系正确的是[1分]A.A=lgTB.A=lg(-T)C.A=-lgTD.A=10×TE.A=10T3. 定量分析过程不包括以下步骤:[1分]A.样品调查B.试样分解C.取样D.测定E.计算分析结果4. 薄层色谱的结果观察错误的方法是:[1分]A.在洗液中浸泡半小时,取出烘至出现斑点B.可见光下观察有色斑点C.紫外等下观察有荧光的斑点D.用碘蒸气熏至出现斑点E.用10%的硫酸溶液喷洒,然后烘烤至出现斑点5. 不能减免或消除系统误差的方法是:[1分]A.加校正值B.对照试验C.空白试验D.增加测定次数E.校准仪器误差6. 应用GC对样品进行分析时,在线性范围内与含量成正比的是:[1分]A.峰的个数B.保留时间C.峰宽D.峰高E.理论塔板数7. 下列各种类型的电子跃迁,所需能量最大的是:[1分]A.σ→π*B.π→π*C.n→σ*D.σ→σ*E.n→π*8. 25.00×5.300×1.6144正确答案是:[1分]A.214B.213.9C.213.91D.213.908E.2139. 分子吸收何种外来辐射后,外层价电子产生跃迁?[1分]A.紫外-可见光B.无线电波C.微波D.X射线E.红外线10. 红外分光光度计使用的检测器是:[1分]A.热导池B.光电池C.光电管D.光电倍增管E.真空热电偶11. 关于准确度与精密度错误的是:[1分]A.精密度是保证准确度的先决条件B.准确度用误差衡量C.精密度用偏差衡量D.精密度是保证准确度的先决条件E.精密度高准确度一定高12. 纸色谱法常用的展开剂有正丁醇-醋酸-水(4:1:5),对该展开剂正确的操作是:[1分]A.依次正丁醇、醋酸、水作展开剂B.将三种溶剂混合后直接用作展开剂C.三种溶剂混合后,静止分层,取上层作为展开剂D.三种溶剂混合后,静止分层,取下层作为展开剂E.取正丁醇-水作展开剂,用醋酸饱和展开槽13. 气相色谱进样器的温度需要控制,调节温度的原则是:[1分]A.等于样品的平均沸点B.高于样品组分的最高沸点C.保证样品完全气化D.等于样品组分的最高沸点E.低于柱温箱的温度14. R f值:[1分]A.R f可以小于1,可也大于1B.R f是薄层色谱法的定量参数C.R f与物质的分配系数无关D.物质的R f值与色谱条件无关E.物质的R f值在一定色谱条件下为一定值15. 将黄铁矿石(FeS2)分解后,其中的硫沉淀为BaSO4,若称量BaSO4的量计算黄铁矿石中的铁含量,则换算因子为:[1分]A.M BaSO4 /2 M FeB.2 M Fe/M BaSO4C.M Fe/M BaSO4D.M Fe/2M BaSO4E.M FeS2/M BaSO416. 光度法中常用空白溶液,其作用错误的是:[1分]A.可以抵消反射光的影响B.调节仪器零点C.可以抵消散射光的影响D.消除显色后溶液中其他有色物质的干扰E.清洗比色皿17. 下面哪个参数用来衡量分离效率[1分]A.R fB.保留时间C.峰高D.峰面积E.峰宽参考答案为:E,您选择的答案为:B18. 绝对偏差是指:[1分]A.二次测定值之差的平均值B.平均值与真值之差C.二次测定值之差D.单次测定值与平均值之差E.单测定值与真值之差19. 容量因子k与保留值t R’或t R之间的关系式是[1分]A.t R’=t0kB.t R=t0kC.t R’=t0(1+k)D.t0=t R(1+k)E.t0=t R’(1+k)20. 关于“色谱用硅胶”叙述正确的是:[1分]A.硅胶的粗细不影响分离效果B.具有微酸性,适用于分离酸性和中性物质C.具有微碱性,适用于分离碱性和中性物质D.含水量与吸附性能无关E.含水量越大,吸附性能越强B型题:下列每组题有多个备选答案,每个备选答案可以使用一次或重复使用,也可以不选,请选择正确答案A.无线性关系B.mi—As曲线C.ms—As 曲线D.mi-Ai/As曲线E.mi/ms—Ai/As 曲线1. 使用外标标准曲线法时,使用的定量关系曲线为:[1分]A B C D E2. 使用内标标准曲线法时,使用的定量关系曲线是: [1分]A B C D EA.亲和色谱法B.吸附色谱法C.分配色谱法D.离子交换色谱法E.凝胶色谱法3. 以固体吸附剂为固定相,以液体溶剂为流动相的色谱法属于:[1分]A B C D E4. 以离子交换树脂为固定相,以水的电解质溶液为流动相的色谱属于:[1分]A B C D EA.结晶形状差异B.极性差异C.分子大小差异D.离子强度差异E.在水中的溶解度差异5. 吸附色谱根据物质的哪种差异达到分离目的:[1分]A B C D E6. 空间排阻色谱根据物质的哪种差异达到分离目的:[1分]A B C D EA.柱色谱B.键合相色谱C.正相色谱D.反相色谱E.离子交换色谱7. 液相色谱中,固定相极性小于流动相极性的色谱方法称为: [1分]A B C D E8. 液相色谱中,固定相置于色谱柱中进行分离的色谱方法称为: [1分]A B C D EA.H3O+B.H2OC.OH-D.NH3E.NH4+9. NH3 + H2O = NH4+ + OH的反应物中为酸的是[1分]A B C D E10. 按酸碱质子理论,H 2O 的共轭碱是: [1分]A B C D EA.石油醚-乙酸乙酯B.苯-丙酮C.苯-乙醚—二乙胺D.四氯化碳E.正丁醇-水-冰醋酸11. 分离某两个混合酸,最可能的流动相系统是 [1分]A B C D E12. 分离某两个混合碱,最可能的流动相系统是 [1分]A B C D EA.电子跃迁能级差B.电子跃迁几率C.溶液浓度D.光程长度E.入射光强度13. 吸光物质紫外吸收光谱的摩尔吸收系数取决于: [1分]A B C D E14. 吸光物质紫外吸收光谱的峰位λmax 取决于: [1分]A B C D EA.高效液相色谱法B.薄层色谱法C.红外分光光度法D.酸碱滴定法E.重量法15. 样品可以在气态状态下测定的是: [1分]A B C D E16. 应用指示剂指示实验结束的方法是: [1分]A B C D EA.NH4OHB.HClC.NaOHD.HAcE.HF17. 当以上溶液浓度均为C mol/L时,pH值最小的是:[1分]A B C D E18. 当以上溶液浓度均为C mol/L时,pH值最大的是:[1分]A B C D E您本学期选择了“分析化学Z”4次作业说明:本次作业总分为38分,您的得分为37分A型题:请从备选答案中选取一个最佳答案1. 以下试剂不能作为基准物质的是:[1分]A.分析纯NaOHB.优级纯的邻苯二甲酸氢钾C.优级纯的无水Na2CO3D.800℃干燥过的ZnOE.99.99%纯锌2. 吸光度A与透光率T的关系正确的是[1分]A.A=lgTB.A=lg(-T)C.A=-lgTD.A=10×TE.A=10T3. 定量分析过程不包括以下步骤:[1分]A.样品调查B.试样分解C.取样D.测定E.计算分析结果4. 薄层色谱的结果观察错误的方法是:[1分]A.在洗液中浸泡半小时,取出烘至出现斑点B.可见光下观察有色斑点C.紫外等下观察有荧光的斑点D.用碘蒸气熏至出现斑点E.用10%的硫酸溶液喷洒,然后烘烤至出现斑点5. 不能减免或消除系统误差的方法是:[1分]A.加校正值B.对照试验C.空白试验D.增加测定次数E.校准仪器误差6. 应用GC对样品进行分析时,在线性范围内与含量成正比的是:[1分]A.峰的个数B.保留时间C.峰宽D.峰高E.理论塔板数7. 下列各种类型的电子跃迁,所需能量最大的是:[1分]A.σ→π*B.π→π*C.n→σ*D.σ→σ*E.n→π*8. 25.00×5.300×1.6144正确答案是:[1分]A.214B.213.9C.213.91D.213.908E.2139. 分子吸收何种外来辐射后,外层价电子产生跃迁?[1分]A.紫外-可见光B.无线电波C.微波D.X射线E.红外线10. 红外分光光度计使用的检测器是:[1分]A.热导池B.光电池C.光电管D.光电倍增管E.真空热电偶11. 关于准确度与精密度错误的是:[1分]A.精密度是保证准确度的先决条件B.准确度用误差衡量C.精密度用偏差衡量D.精密度是保证准确度的先决条件E.精密度高准确度一定高12. 纸色谱法常用的展开剂有正丁醇-醋酸-水(4:1:5),对该展开剂正确的操作是:[1分]A.依次正丁醇、醋酸、水作展开剂B.将三种溶剂混合后直接用作展开剂C.三种溶剂混合后,静止分层,取上层作为展开剂D.三种溶剂混合后,静止分层,取下层作为展开剂E.取正丁醇-水作展开剂,用醋酸饱和展开槽13. 气相色谱进样器的温度需要控制,调节温度的原则是:[1分]A.等于样品的平均沸点B.高于样品组分的最高沸点C.保证样品完全气化D.等于样品组分的最高沸点E.低于柱温箱的温度14. R f值:[1分]A.R f可以小于1,可也大于1B.R f是薄层色谱法的定量参数C.R f与物质的分配系数无关D.物质的R f值与色谱条件无关E.物质的R f值在一定色谱条件下为一定值15. 将黄铁矿石(FeS2)分解后,其中的硫沉淀为BaSO4,若称量BaSO4的量计算黄铁矿石中的铁含量,则换算因子为:[1分]A.M BaSO4 /2 M FeB.2 M Fe/M BaSO4C.M Fe/M BaSO4D.M Fe/2M BaSO4E.M FeS2/M BaSO416. 光度法中常用空白溶液,其作用错误的是:[1分]A.可以抵消反射光的影响B.调节仪器零点C.可以抵消散射光的影响D.消除显色后溶液中其他有色物质的干扰E.清洗比色皿17. 下面哪个参数用来衡量分离效率[1分]A.R fB.保留时间C.峰高D.峰面积E.峰宽参考答案为:E,您选择的答案为:B18. 绝对偏差是指:[1分]A.二次测定值之差的平均值B.平均值与真值之差C.二次测定值之差D.单次测定值与平均值之差E.单测定值与真值之差19. 容量因子k与保留值t R’或t R之间的关系式是[1分]A.t R’=t0kB.t R=t0kC.t R’=t0(1+k)D.t0=t R(1+k)E.t0=t R’(1+k)20. 关于“色谱用硅胶”叙述正确的是:[1分]A.硅胶的粗细不影响分离效果B.具有微酸性,适用于分离酸性和中性物质C.具有微碱性,适用于分离碱性和中性物质D.含水量与吸附性能无关E.含水量越大,吸附性能越强B型题:下列每组题有多个备选答案,每个备选答案可以使用一次或重复使用,也可以不选,请选择正确答案A.无线性关系B.mi—As曲线C.ms—As 曲线D.mi-Ai/As曲线E.mi/ms—Ai/As 曲线1. 使用外标标准曲线法时,使用的定量关系曲线为:[1分]A B C D E2. 使用内标标准曲线法时,使用的定量关系曲线是: [1分]A B C D EA.亲和色谱法B.吸附色谱法C.分配色谱法D.离子交换色谱法E.凝胶色谱法3. 以固体吸附剂为固定相,以液体溶剂为流动相的色谱法属于:[1分]A B C D E4. 以离子交换树脂为固定相,以水的电解质溶液为流动相的色谱属于:[1分]A B C D EA.结晶形状差异B.极性差异C.分子大小差异D.离子强度差异E.在水中的溶解度差异5. 吸附色谱根据物质的哪种差异达到分离目的:[1分]A B C D E6. 空间排阻色谱根据物质的哪种差异达到分离目的:[1分]A B C D EA.柱色谱B.键合相色谱C.正相色谱D.反相色谱E.离子交换色谱7. 液相色谱中,固定相极性小于流动相极性的色谱方法称为: [1分]A B C D E8. 液相色谱中,固定相置于色谱柱中进行分离的色谱方法称为: [1分]A B C D EA.H3O+B.H2OC.OH-D.NH3E.NH4+9. NH3 + H2O = NH4+ + OH的反应物中为酸的是[1分]A B C D E10. 按酸碱质子理论,H2O的共轭碱是:[1分]A B C D EA.石油醚-乙酸乙酯B.苯-丙酮C.苯-乙醚—二乙胺D.四氯化碳E.正丁醇-水-冰醋酸11. 分离某两个混合酸,最可能的流动相系统是[1分]A B C D E12. 分离某两个混合碱,最可能的流动相系统是 [1分]A B C D EA.电子跃迁能级差B.电子跃迁几率C.溶液浓度D.光程长度E.入射光强度13. 吸光物质紫外吸收光谱的摩尔吸收系数取决于: [1分]A B C D E14. 吸光物质紫外吸收光谱的峰位λmax 取决于: [1分]A B C D EA.高效液相色谱法B.薄层色谱法C.红外分光光度法D.酸碱滴定法E.重量法15. 样品可以在气态状态下测定的是: [1分]A B C D E16. 应用指示剂指示实验结束的方法是: [1分]A B C D EA.NH4OHB.HClC.NaOHD.HAcE.HF17. 当以上溶液浓度均为C mol/L 时,pH 值最小的是: [1分]A B C D E18. 当以上溶液浓度均为C mol/L 时,pH 值最大的是: [1分]A B C D E您本学期选择了“分析化学Z”,以下是您需要提交的作业。
北京中医药大学远程教育学院有机化学综合复习题一、选择题1.下列化合物中能与多伦Tollen试剂发生银镜反应的是:A2.下列化合物中有旋光性的是:C,DA.CH32CHCH2CH2CH2CH2OHB.CH3COCH2CH3C.CH3CH2CHCH3 CH2OHD.CH3CHClCOOH3.丁烷的构象中,能量最低的是:CA.全重叠式B.部分重叠式C.对位交叉式D.邻位交叉式4.下列化合物中能与水分子形成氢键的是:B,DA.CH3CH2CH2CH2CH2CH2ClB.CH3CH2CH2CHOC.CH3CH2CH2CH2CH2CH2CH3D.CH3CH2CH2CH2CH2OH5.顺反异构体的表示方法是:BA.+/-B.Z/EC.R/SD.D/L6.下列化合物中能发生碘仿反应的是:B,CA.HCHOB.CH3CH2CH2COCH3C.CH3CH2CH2CHOHCH3D.CH3OH7.与卢卡斯lucas试剂发生反应速度最快的是:BA.CH32CHOHB.CH33COHC.CH3CHOHCH2CH2CH3D.CH3CH2CH2CH2OH8.与卢卡斯lucas试剂发生反应速度最慢的是:DA.CH32CHOHB.CH33COHC.CH3CHOHCH2CH2CH3D.CH3CH2CH2CH2OH9.在芳香烃取代反应中,起致活作用的基因是:B,D10.在芳香烃取代反应中,起致钝作用的基因是:A11.下列化合物中能与KMnO4 水溶液反应的是:D12.下列化合物中能与AgNO3水溶液反应最快的是:CA.氯仿B.氯苯C.氯化苄D.氯乙烷13.Cl中的氯原子不活泼,是因为氯原子与苯环发生了:AA.P─π共轭B.π─π共轭C.α─π超共轭D.α─P超共轭14.下列化合物中能与溴水发生白色沉淀的是:B,CA.乙炔B.苯酚C.苯胺D.乙烯15.判断化合物具有旋光性的条件是:DA.分子的偶极距等于零B.分子中有无对称因素C.分子中有无互变异构体D.分子中有无手性碳16.最稳定的自由基中间体是:D17.能与溴水发生使其褪色的反应是:BA.果糖B.葡萄糖C.蔗糖D.淀粉18.F-C反应通常在:DA.无水乙醚中进行B.低温条件下进行C.Fe粉加盐酸D.无水三氯化铝催化下进行19.乙酰乙酸乙酯与FeCl3溶液显紫色,因为它具有: BA.旋光异构现象B.互变异构现象C.同分异构现象D.顺反异构现象20.葡萄糖的半羧醛羟基是:AA. C1OHB. C2OHC. C3OHD. C4OHE. C6OH21.下列化合物不能与重氮苯发生偶联反应的是:B22.格氏试剂是:B, C二、写出下列化合物的结构式1.N,N—二丁基苯乙酰胺2.N—甲基—N—异丙基苯乙胺3.N—乙基苯甲胺4.异丁酸丙酯5.丙酸异丙酯6.氯化三乙正丙胺7.β—萘乙酰胺8.α—甲基戊酐9.4,6—二羟基嘧啶10.3—吲哚乙酸11.丁二酰氯12.3,5—二甲基吡啶13.3—甲基邻苯二甲酸酐14.乙烯基乙炔15.乙基异丙基乙炔16.甲基乙基乙炔17.3,5—二溴—2—硝基甲苯18.2—硝基—对甲苯酚19.2—硝基—对甲苯磺酸20.R—2—丁醇21.S—2—丁硫醇22.苯基叔丁基醚23.苯甲基丁基醚24. 2,4—己二酮25. 3—苯基丙烯醛26. 环己醇27. β,β′—二溴乙醚28. 1,3—丁二烯29. 3—甲基辛醛30. 呋喃甲醛三、 用系统命名法命名下列化合物CH 2CH 2CH 2CH 2CH 2CH 31.CHCH 3CHO 2—甲基辛醛2.CHCH 3CH 2CH 2CH 3CH 2—己烯 3.CH CH 3CH 2CH 3CH 2 2—戊烯4.C C CH 3CH 2CH 3 2—戊炔OHCH 2CH 2CH 2CHCH 2CH 35.CH 3CH 2 3—辛醇CHCH 2CH 2CH 2CH 36.CH 3CH 2Br3—溴庚烷7.环己烯8.螺〔2,4〕庚烷CH 2CHCH 2CHO 10. 3—丁烯醛11.萘OH 12.萘酚13.菲14.OCH 2CH 3苯乙酯15.COOH苯甲酸16.CH 2COOH苯乙酸217.2O22,3-二硝基苯肼H18.N六氢吡啶19.C O CH2O苯甲酸苯甲酯20.C NHCH2CH3CH2ON-乙基苯乙酰胺21.N吡啶22.N喹啉H23.N吡咯24.S噻吩OHN 25.N 对羟基偶氮苯NH 2N 26.N 对氨基偶氮苯 OH27.BrBrBr 2,4,6-三溴苯酚N CH 328.CH 2CH 3N-甲基-N-乙基苯胺CHO29.O 2-呋喃甲醛30.CH 3CH 2C OCH 2CH 2CH 2CH 3O丙酸丁酯四、 完成下列反应,写出主要产物的结构式五、 由所给指定原料完成下列化合物1. 由乙酰乙酸乙酯合成3—甲基—2—戊酮解:3-甲基-2-戊酮可看成是一个甲基和一个乙基二取代的丙酮;按照先大后小的原则,先引入乙基,后引入甲基,经酮式分解,即得所需产物;2. 由乙酰乙酸乙酯合成α—甲基戊酸3. 由乙酰乙酸乙酯合成3—乙基—2—己酮4.由乙酰乙酸乙酯合成2—乙基庚酸5.由丙二酸二乙酯合成戊酸6.由格氏试剂合成辛醇—47.由苯合成对溴苯甲酸8.由苯合成间溴苯甲酸9.由苯合成2—溴—4—硝基甲苯10.由苯合成3—氯—4—异丙基苯磺酸11.由苯合成3—甲基—4—溴苯甲酸12.由苯合成3—乙基—4—氯苯甲酸13.由苯合成3—溴—4—叔丁基苯磺酸14.由苯合成2—苯基—4—硝基乙苯15.由苯合成2—苯基—4—磺酸基苯甲酸六、有机化学实验基本操作1.回流解:①冷凝管的选用:回流时多选用球形冷凝管,若反应混合物沸点很低或其中有毒性大的原料或溶剂时,可选用蛇形冷凝管;②热浴的选用:回流加热前应先放入沸石,根据瓶内液体的沸腾温度,可选用水浴、油浴、空气浴或电热套加热等方式;③回流速率:回流速率应控制在液体蒸气浸润不超过两个球为宜④隔绝潮气的回流装置:某些有机化学反应中水汽的存在会影响反应的正常进行如使用格氏试剂、无水三氯化铝来制备化合物的实验,则需在球形冷凝管顶端加干燥管干燥管内填装颗粒状的干燥剂;⑤有气体吸收装置的回流:此操作适用于反应时有水溶性气体如氯化氢、溴化氢、二氧化硫等气体产生的实验⑥其它回流装置:a有分水器的回流如正丁醚合成;b有搅拌器和滴加液体反应物装置的回流回流提取法操作:可以根据所需提取化合物的类型采用各种相应的溶剂,取适量粉碎后的药材放于烧瓶内,加入溶剂高于药材约2厘米,总体积不能超过烧瓶容量的2/3,加热回流提取三次,第一次回流时间约2小时,第二、三次各1小时;回流提取法适用于对热稳定的化合物的提取,加热提取效率较高;2.蒸馏解:蒸馏操作是化学实验中常用的实验技术,一般应用于下列几方面:①分离液体混合物,仅对混合物中各成分的沸点有较大的差别时才能达到较有效的分离;②测定纯化合物的沸点;③提纯,通过蒸馏含有少量杂质的物质,提高其纯度;④回收溶剂,或蒸出部分溶剂以浓缩溶液;蒸馏实验操作:a、加料:将待蒸馏液通过玻璃漏斗小心倒入蒸馏瓶中,要注意不使液体从支管流出;加入几粒助沸物,安好温度计,温度计应安装在通向冷凝管的侧口部位;再一次检查仪器的各部分连接是否紧密和妥善;b、加热:用水冷凝管时,先由冷凝管下口缓缓通入冷水,自上口流出引至水槽中,然后开始加热;加热时可以看见蒸馏瓶中的液体逐渐沸腾,蒸气逐渐上升;温度计的读数也略有上升;当蒸气的顶端到达温度计水银球部位时,温度计读数就急剧上升;这时应适当调小煤气灯的火焰或降低加热电炉或电热套的电压,使加热速度略为减慢,蒸气顶端停留在原处,使瓶颈上部和温度计受热,让水银球上液滴和蒸气温度达到平衡;然后再稍稍加大火焰,进行蒸馏;控制加热温度,调节蒸馏速度,通常以每秒1~2滴为宜;在整个蒸馏过程中,应使温度计水银球上常有被冷凝的液滴;此时蒸馏的温度即为液体与蒸气平衡时的温度,温度计的读数就是液体馏出物的沸点;蒸馏时加热的火焰不能太大,否则会在蒸馏瓶的颈部造成过热现象,使一部分液体的蒸气直接受到火焰的热量,这样由温度计读得的沸点就会偏高;另一方面,蒸馏也不能进行得太慢,否则由于温度计的水银球不能被馏出液蒸气充分浸润使温度计上所读得的沸点偏低或不规范;c、观察沸点及收集馏液:进行蒸馏前,至少要准备两个接受瓶;因为在达到预期物质的沸点之前,带有沸点较低的液体先蒸出;这部分馏液称为“前馏分”或“馏头”;前馏分蒸完,温度趋于稳定后,蒸出的就是较纯的物质,这时应更换一个洁净干燥的接受瓶接受,记下这部分液体开始馏出时和最后一滴时温度计的读数,即是该馏分的沸程沸点范围;一般液体中或多或少地含有一些高沸点杂质,在所需要的馏分蒸出后,若再继续升高加热温度,温度计的读数会显着升高,若维持原来的加热温度,就不会再有馏液蒸出,温度会突然下降;这时就应停止蒸馏;即使杂质含量极少,也不要蒸干,以免蒸馏瓶破裂及发生其他意外事故;d、蒸馏完毕,应先停止加热,然后停止通水,拆下仪器;拆除仪器的顺序和装配的顺序相反,先取下接受器,然后拆下尾接管、冷凝管、蒸馏头和蒸馏瓶等;操作时要注意:⑴在蒸馏烧瓶中放少量碎瓷片,防止液体暴沸;⑵温度计水银球的位置应与支管口下缘位于同一水平线上;⑶蒸馏烧瓶中所盛放液体不能超过其容积的2/3,也不能少于1/3;⑷冷凝管中冷却水从下口进,上口出;⑸加热温度不能超过混合物中沸点最高物质的沸点;3.分馏解:分馏操作:⑴选用合适的热浴加热,当液体沸腾后及时调节浴温,使蒸气在分馏柱内慢慢上升,约10~15min后蒸气到达柱顶可用手摸柱壁,若柱温明显升高甚至烫手时,表明蒸气已到达柱顶,同时可观察到温度计的水银球上出现了液滴⑵当有馏出液滴出后,调节浴温,控制馏速每2~3秒1滴;⑶待低沸点液体蒸完后,再渐渐升高温度,按沸点收集第一、第二……组分的馏出液,收集完各组分后,停止分馏;注意事项:⑴分馏一定要缓慢进行,要控制好恒定的蒸馏速度;⑵选择合适的回流比,使有相当量的液体自分馏柱流回烧瓶中;⑶分馏柱的外围应用石棉绳包住以尽量减少分馏柱的热量散失和波动;⑷为了分出较纯的组分,可进行第二次分馏;4.减压蒸馏减压蒸馏操作:⑴安装仪器完毕后检查系统压力;若达不到所要求的压力则分段检查各部分尤其是各连接口处,并在解除真空后,用熔融的石蜡密封,直至达到所需的真空;⑵慢慢旋开安全瓶上活塞,放入空气,直到内外压力相等为止;⑶加入液体于克氏蒸馏烧瓶中液体体积﹤烧瓶容积的1/2关好安全瓶上的活塞,开泵抽气,调节毛细管导入空气,使液体中有连续平稳的小气泡通过;⑷开启冷凝水,选用合适的热浴加热蒸馏;此时应注意:a、克氏蒸馏烧瓶的圆球部位至少应有2/3浸入浴液中;b、浴液中放一温度计,控制浴温比待蒸馏液体的沸点约高20~30℃使馏速1~2滴/sc、经常注意瓶颈上的温度计和压力的读数;d、记录压力、沸点等数据;e、若有需要,小心转动多尾接液管,收集不同馏分;⑸蒸馏完毕,除去热源,慢慢旋开毛细管上的螺旋夹,并慢慢打开安全瓶上的活塞,平衡内外压力,使测压计的水银柱缓慢地恢复原状,然后关闭抽气泵;注意事项:1关闭抽气泵前,若过快旋开螺旋夹和安全瓶上的活塞,则水银柱会很快上升,有冲破压力计的可能;2若不待内外压力平衡就关闭抽气泵,外压会使油泵中的油反倒吸入干燥塔;3减压蒸馏过程中务必戴上护目眼镜;5.重结晶解:重结晶提纯法的一般操作方法:选择溶剂→溶解固体→热过滤除杂质→晶体析出→抽滤,洗涤晶体→干燥1选择溶剂应特别注意:a、溶剂与被提纯的有机物不反应b、被提纯的有机物易溶于热溶剂中不易溶于冷溶剂中c、溶剂对杂质的溶解大很大杂质留在母液中或很小热过滤时除去杂质d、价廉易得,毒性低2溶解固体a、一般使用所需溶剂量的120%左右的溶剂;b、若使用有机易燃、低沸点或有毒溶剂,应在锥形瓶上装置回流冷凝管3热过滤除杂质a、必须熄灭火源再进行热过滤b、过滤前要把短颈玻璃漏斗在烘箱中预先烘热c、过滤前先用少量热溶剂润湿折叠滤纸,以免干滤纸吸收溶剂,使结晶析出堵塞漏斗颈d、过滤时,漏斗上应盖上表面皿,以减少溶剂的挥发e、应用毛巾等物包住热的容器,以免烫伤或忙乱4晶体折出a、不要急冷和剧烈搅动滤液,以免晶体过细,使晶体因表面积大而吸附杂质多b、若溶液不结晶,可投"晶种"或用玻棒摩擦器壁5抽滤洗涤晶体a、抽滤接近完毕时,用玻璃钉挤压晶体,以尽量除去母液b、布氏漏斗中的晶体要用少量溶剂洗涤,以除去存在于晶体表面的母液6.升华解:最简单的常压升华装置如下图所示;在蒸发皿中放置粗产物,上面覆盖一张刺有许多小孔的滤纸;然后将大小合适的玻璃漏斗倒盖在上面,漏斗的颈部塞有玻璃毛或脱脂棉,以减少蒸汽逸出;在石棉网上渐渐加热蒸发皿最好能用沙浴或其它热浴,小心调节火焰,控制浴温低于被升华物质的熔点,使其慢慢升华,蒸汽通过滤纸小孔上升,冷却后凝结在滤纸上或漏斗壁上;必要时外壁可用湿布冷却;。
北京中医药大学远程教育《有机化学Z》第2次作业与答案北京中医药大学远程教育学院有机化学综合复习题一、选择题1.下列化合物中能与多伦(Tollen)试剂发生银镜反应的是: AA. CH 3CH2CH2CHOOB. CH 3CH2C CH3OC. CH 3CH2CH 2C CH2CH3OD. CH 3CH2CH2CH2CH2CH2C CH32.下列化合物中有旋光性的是:C, DA. (CH3)2CHCH2CH2CH2CH2OHB. CH3COCH2CH3C. CH3CH2CH(CH3) CH2OHD. CH3CHClCOOH3.丁烷的构象中,能量最低的是: CA. 全重叠式B. 部分重叠式C. 对位交叉式D. 邻位交叉式4.下列化合物中能与水分子形成氢键的是:B, DA. CH3CH2CH2CH2CH2CH2ClB. CH3CH2CH2CHOC. CH3CH2CH2CH2CH2CH2CH3D. CH3CH2CH2CH2CH2OH5.顺反异构体的表示方法是: BA. +/-B. Z/EC. R/SD. D/L6.下列化合物中能发生碘仿反应的是:B, CA. HCHOB. CH3CH2CH2COCH3C. CH3CH2CH2CHOHCH3D. CH3OH7.与卢卡斯(lucas)试剂发生反应速度最快的是: BA. (CH3)2CHOHB. (CH3)3COHC. CH3CH(OH)CH2CH2CH3D. CH3CH2CH2CH2OH8.与卢卡斯(lucas)试剂发生反应速度最慢的是: DA. (CH3)2CHOHB. (CH3)3COHC. CH3CH(OH)CH2CH2CH3D. CH3CH2CH2CH2OH9.在芳香烃取代反应中,起致活作用的基因是:B, DA. S O3HOB. CH3CH2CC. N O2D. CH310.在芳香烃取代反应中,起致钝作用的基因是: AA. ClOB. R CC. NH2D. R NH11.下列化合物中能与KMnO 4 水溶液反应的是: DA. CH3CH2CH2C CHOB. CH3C CH3C. (CH 3)3COHD. CH3CH2CH2OH12.下列化合物中能与AgNO3 水溶液反应最快的是: CA. 氯仿B. 氯苯C. 氯化苄D. 氯乙烷Cl13.中的氯原子不活泼,是因为氯原子与苯环发生了: AA. P─π共轭B. π─π共轭C. α─π超共轭D. α─P超共轭14.下列化合物中能与溴水发生白色沉淀的是:B, CA. 乙炔B. 苯酚C. 苯胺D. 乙烯15.判断化合物具有旋光性的条件是: DA. 分子的偶极距等于零B. 分子中有无对称因素C. 分子中有无互变异构体D. 分子中有无手性碳16.最稳定的自由基中间体是: D.A. CH3CHCH2CH2CH3.(CH 3)2CCH2CH2CH3B..CH2C.D.. (CH 3)3C17.能与溴水发生使其褪色的反应是: BA. 果糖B. 葡萄糖C. 蔗糖D. 淀粉18.F-C 反应通常在:DA. 无水乙醚中进行B. 低温条件下进行C. Fe粉加盐酸D. 无水三氯化铝催化下进行19.乙酰乙酸乙酯与FeCl3 溶液显紫色,因为它具有: BA. 旋光异构现象B. 互变异构现象C. 同分异构现象D. 顺反异构现象20.葡萄糖的半羧醛羟基是:AA. C1OHB. C2OHC. C3OHD. C4OHE. C6OH21.下列化合物不能与重氮苯发生偶联反应的是: BA.N H 2B.C H3OHC.D.N H 222.格氏试剂是:B, CO A.C HCH3CH2CH2CH2CH2B. C H3CH2CH2Mg ClC.C H2CH2CH2MgClOD.C H2CH2CCl二、写出下列化合物的结构式1. N,N—二丁基苯乙酰胺2. N—甲基—N—异丙基苯乙胺CH32. C H2 CH2 N CH3CH CH33. N—乙基苯甲胺3.C H 2 N CH2CH 3H4. 异丁酸丙酯4. C H3 CH2CH2CH3CH C OCH35. 丙酸异丙酯O C H3 5. CH3 CH2 C O CH CH3 6. 氯化三乙正丙胺CH2CH36. [CH 3 CH2 N +Cl-CH 2CH2CH3]CH2CH 37. β—萘乙酰胺O7. C NH 2CH28. α—甲基戊酐CH3O8. CH3CH2CH2CH COCH3CH2CH2CH CCH3O9. 4,6—二羟基嘧啶第7 页共25 页OHN9.NHO10.3—吲哚乙酸O H 10. CCH2NH11.丁二酰氯O O 11. Cl C CH2CH2 C Cl 12.3,5—二甲基吡啶12. H3C CH3N13.3—甲基邻苯二甲酸酐O13. H C C OCO14.乙烯基乙炔14. HC C CH CH215.乙基异丙基乙炔CH315. CH3CH2C C CH C H316.甲基乙基乙炔16. CH3CH2C C CH317.3,5—二溴—2—硝基甲苯CH317.Br N O2 Br18.2—硝基—对甲苯酚CH 318.NO 219.2—硝基—对甲苯磺酸CH319.NO2SO3H20.(R)—2—丁醇21.(S)—2—丁硫醇22.苯基叔丁基醚CH3O22. CC H3CH323.苯甲基丁基醚23. CH2O CH 2CH2CH2CH324.2,4—己二酮25.3—苯基丙烯醛26.环己醇OH26.27.β,β—′二溴乙醚27. Br CH2CH2 BrCH2CH2 O28.1,3—丁二烯28. C H2 CH CH CH229.3—甲基辛醛30.呋喃甲醛30.CHO三、用系统命名法命名下列化合物第10 页共25 页1. CH3CH C H2CH2CH2CH2CH2CH3 CHO 2—甲基辛醛2. CH3CH CH CH2CH2CH32—己烯3. CH3CH2CH CH2CH32—戊烯4. CH3 C CCH2CH3 2—戊炔OH5. CH3CH2 3—辛醇CH2CH 2CH2CHCH 2CH36. CH3CH2CHCH2CH2CH2CH3Br 3—溴庚烷7.环己烯8.螺〔2,4〕庚烷OH9.环己酚10. C H2 CHCH2CHO3—丁烯醛11.萘12.OH萘酚第11 页共25 页13.O CH2CH3 14.苯乙酯COOH 15.苯甲酸CH2COOH 16.苯乙酸O2N NO217. NHNH 22,3-二硝基苯肼18. NH六氢吡啶O19. C O CH2苯甲酸苯甲酯OCH2C NHCH 2CH3 20.N- 乙基苯乙酰胺21.N 吡啶22.N 喹啉第12 页共25 页23.NH吡咯24.S 噻吩25. N NOH对羟基偶氮苯N H226. NN对氨基偶氮苯OHBr Br27.Br 2,4,6-三溴苯酚CH 2CH 328. N CH3N- 甲基-N-乙基苯胺29.CHOO 2-呋喃甲醛O30. CH3CH2C OCH 2CH2CH2CH3丙酸丁酯四、完成下列反应,写出主要产物的结构式CH3[o2] COOH2.2.CH 3C H3OCH3O 3.C CH3+3. CH 3CClAlCl 3O C CH34.Br 2/CCl4CH2CH CH2CHCH 2BrCH24.Br5. CH3CH2Cl无水AlCl 3 5.C H2CH 3CH 2CH 2CH3CH3CH2Cl 6.6.无水AlCl3O8. CH3CCH 3 + NaHSO 39. CH 3CH2CH2CH2CHOH9. CH 3CH2CH2CH2CHO + NaHSO 3S O3Na + NCl -N10.OH11.+ NNCl - +NaOH 0℃11.NNOHNH 212. + NNCl - + NaOH 0℃12. N N NH2CH 2CHOHCN 14.15. CH 3CH 2CH CH 2 无过氧化物HCl16. CH 3CH 2CHCH 2有过氧化物HCl16. CH 3CH 2CH 2CH 2ClONHCCH 317.+浓H 2SO 418. CH 2CH 2CH 2CHO + CH 3CH 2CH 2Mg Cl 18.CH 3CH 2CH 2CHCH 2CH 2CH 3OMgCl第 15 页共 25 页ONa22. CH3CH2CH2I+ △22.O CH2CH2CH323. CH2CH2CH2CH2COOH + NaHCO3 O23. CH3CH2CH2CH2C ONaOH[O]24.OH25. CH2CH2CH 2CHCH 3NaOH△25. CH3CH2CH2CHCH3Br OH OH26.O-OHC ClCH +CH CH CH O26.CH3OC CH2CH2CH 3+ HCl O27. CH3CH2CH2 C Cl + CH3CH2CH2OH O27. CH3CH2CH2 C CH2CH2CH3 + HCl OO O28. CH3CH2 C O C CH2CH3 + H2O 28. 2 CH3CH2COOH。
1.下列糖类化合物中属于还原糖的是:A.麦芽糖2. 下列化合物不能与重氮盐发生偶联反应的是:B.
3. 下列化合物中能发生碘仿反应的化合物是:
C.CH3CHOHCH3
4. 下列化合物中不能产生变旋现象的是: D.蔗糖
5. 下列化合物中能产生变旋现象的是:D.果糖
6. 能使KMnO4溶液褪色的化合物是:B.甲酸
7. 乙酸α-卤代反应中的催化剂是:B.P
8. 下列烯烃中最稳定的是:D.
9. 顺反异构的构型表示方法是:C.Z/E
10. 在芳香烃取代反应中起强致活作用的基团是:A.—NH2
11. 下列化合物中能与溴水反应产生白色沉淀的是:
C.苯胺
12. 下列化合物能发生羟醛缩合反应的是:A.乙醛
13. 下列化合物中能与NaHSO3反应生成α-羟基磺酸钠的是:D.
14. 下列化合物在水溶液中碱性最小的是:D.C6H5NH2
15. 下列化合物亲电取代比苯活性高的是:A.
16. 下列化合物中有旋光性的是:A.CH3CHClCOOH
17. 下列化合物中加成反应活性最高的是:C.2-丁烯
18. 在芳香烃亲电取代反应中属邻对位定位基的基团是:D.-Cl
19. 不能与水形成分子间氢键的化合物是:D.CH3CH2Br
20. 下列化合物与AgNO3水溶液反应最快的是:C.3-氯丙烯
21. 在从茶叶中提取咖啡因的实验中,是利用咖啡因的来精制它的D.升华性
22. 与CH3COOH酯化反应速度最快的是:C.CH3OH
23. 葡萄糖的半缩醛羟基是:A.C1OH
24. 下列化合物酸性最弱的是:A.CH3CH2COOH
25. 鉴别乙醛与乙醇可采用的试剂是:C.多伦试剂
26. 乙酰乙酸乙酯与FeCl3溶液呈紫红色是由于它具有:D.互变异构现象
27. 化合物在浓KOH/乙醇溶液中脱HCl速率最大的是
D.(CH3)2CClCH(CH3) 2
28. 乙烯和Br2/CCl4溶液褪色的反应属于B.亲电加成
29. 下列化合物中不能发生碘仿反应的化合物是
B.CH3COOH。