计量经济学讲义
- 格式:doc
- 大小:197.00 KB
- 文档页数:8
第1章、一元线性回归§1、经济学与计量经济学:一个笑话和一个例子1、理论(原假设):世界上没有黑天鹅计量经济学家A和B分别得到了100个样本:观察并记录了100个天鹅的颜色。
A的样本是100个白天鹅。
B的样本中有1个黑天鹅。
那么,A得出结论:“_______________”,B得出结论:“_______________”。
2、Keynes消费函数和生命周期/持久收入假说哪一个是对的?如何理解使用计量经济学估计出来的Keynes消费函数。
(1)Keynes消费函数:Consumption=β1+β2income+ε,0<β2<1其中β2是MPC,β1是自发消费。
注意:自发消费是不可观察的。
Keynes消费函数模型,无法理解如下3个图形(计量方程):(见Romer的《Advanced Economics》,P313)。
C白人Y 45o黑人(a) (b) (c)(a)静态数据(截面数据):家庭消费-收入数据服从模型的形状。
但是无法理解(b)(c)(b)国家的总量时间序列数据:近似比例线,过原点(c)分组数据:白人和黑人思考:请你解释这个现象。
(2)生命周期/持久收入假说(life-cycle/permanent income hypothesis )代表性个体的规划问题:1max ()Tt t u C =∑subject to101TT t t t t C A Y ==∑≤+∑求解模型:拉格朗日(Lagrangian )方程1011()()TT T t t t t t t L u C A Y C λ====∑++∑-∑一阶条件:0tL C ∂=∂ 得到'()t u C λ=从而有12...T C C C ===,即消费流是平滑的(smooth )。
因此,01()/,1,2,...,T t t t C A Y T t T ==+∑∀= 也就是,消费C t 不是由当前收入Y t 决定,而是由持久收入决定。
计量经济学讲义第六讲(共⼗讲)第六讲多重共线⼀、 FWL 定理及其应⽤考虑模型:112233i i i i i y a b x b x b x ε=++++ (1)假如我们只关注1b,则通过如下步骤可以获得之。
第1步:把1x 对其他解释变量进⾏回归(请注意,截距所对应的解释变量为1),即有: 101223i i i ix x x v βββ=+++ (2)第2步:把y 也对(2)中的解释变量进⾏回归,即有:01223i i i i y x x w ???=+++ (3)第3步:把w 对?v 进⾏回归(不含截距,当然你可以包含截距,但你会发现,截距的估计结果是零,这是因为?w 与?v 其均值都为零),即有模型:i i i ve w η=+ (4)则有:2i i iw v v η=∑∑,可以验证,1??b η=,且残差?i e 等于初始的残差?i ε。
此即著名的FWL 定理(Frisch-Waugh-Lovell theorem )。
关于FWL 定理的⼀个简单证明见附录1。
思考题:利⽤关于“偏导数”的直觉,你能够理解1b η=吗?考察2i i iw v v η=∑∑,把01223i i i i y x x w ?=---代⼊,现在分⼦是:2012230123()?i i i i i i i ii i i v x i i y x x y v x v v v wv ------∑∑∑==∑∑∑应该注意到,在进⾏第⼀步回归时,OLS 法保证了203i i i i i v x x vv ===∑∑∑ 因此,22i i i i i iw v y v v v η==∑∑∑∑ 显然,如果把y 对?v 直接进⾏⽆截距回归:*?iiiy v η?=+ (5)我们也可以得到:*122i i i i i i y v w v b v vηη====∑∑∑∑。
因此,如果只关注如何获得1b ,我们可以把FWL 定理中第⼆步与第三步合并为把y 对v 直接进⾏⽆截距回归。
《计量经济学》实验项目与主要内容目录实验1——Eviews软件及其基本操作命令简介 (2)1B-1 Eviews软件的入门基本操作 (2)1B-2 根据下文示范步骤,完成操作 (2)1B-2.1建立文件: (3)1B-2.2输入样本数据 (4)1B-2.3做散点图 (11)1B-2.4回归分析 (12)1B-2.5预测应用 (16)1B-2.6实验总结(报告回归分析结果及预测应用情况) (20)1B-3 独立完成指定两个实验课题 (20)1B-3.1实验课题1 (20)1B-3.2实验课题2 (21)实验2——多元线性回归模型的估计、检验和预测 (22)2B-1实验课题1——基本操作练习 (22)2B-1.1.1——基本操作练习1 (22)2B-1.1.2——基本操作练习2 (22)2B-1.2——基本操作练习3 (23)2B-2实验操作、课外练习和实验报告 (24)2B-2 实验课题4——书刊消费研究 (24)2B-3独立探索 (26)2B-3.1实验课题5——非线性模型的Eviews实现 (26)2B-3.2实验课题6——受约束回归 (26)实验3——回归模型的计量经济检验 (28)3B-1实验课题1——异方差的检验与修正 (28)e (29)3B-1.1用OLS法估计模型,求出残差序列i3B-1.2用图示法检验模型的异方差性 (31)3B-1.3用解析法检验模型的异方差性 (32)3B-1.4克服、处理模型的异方差性 (37)3B-2 实验课题2——自相关的检验与修正 (39)e (40)3B-2.1用OLS法估计模型,求出残差序列i3B-2.2 图示法检验模型的自相关性 (42)3B-2.3 解析法检验模型的自相关性 (43)3B-2.4 克服、处理模型的自相关性 (46)3B-3 实验课题3——多重共线性的检验与修正 (50)3B-3.1多重共线性的检验 (51)3B-3.2 多重共线性的修正 (55)实验4——虚拟变量模型、滞后变量模型的估计与检验 (58)4B-1实验课题1——解释变量为虚拟变量的模型 (58)4B-1.1 加法类型(包含一个定性变量的回归模型) (58)4B-1.2 乘法类型(回归模型中的结构稳定性) (60)4B-1.3 虚拟变量在季节分析中的作用 (64)4B-1.4 虚拟变量在结构变动分析中的作用 (66)4B-1.5 利用EVIEWS命令给虚拟变量赋值 (67)4B-2实验课题2——滞后变量模型 (68)4B-3实验课题3——独立探索Eviews中的常用函数及预测应用 (68)4B-3.1实验课题3.1——独立探索Eviews中的常用函数及应用 (68)4B-3.2实验课题3.2——独立探索Eviews中的预测应用 (70)实验1——Eviews软件及其基本操作命令简介【实验目的】了解Eviews软件的基本操作对象,掌握基本操作方法。
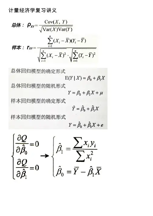
计量经济学复习讲义吉林⼤学经济学院《计量经济学》复习讲义配套教材:计量经济学(李⼦奈、潘⽂卿编著,第三版)第⼆章、⼀元线性回归模型⼀、相关与回归相关系数计算:回归分析:变量间关系不⼀致⼆、参数估计1.总体/样本回归模型:2.最⼩⼆乘法(OLS)β0、β1的估计值β0、β1的⽅差与概率分布总体⽅差估计值3.统计检验拟合优度检验可决系数:R2=ESS/TSS显著性检验:H0:βi=0,H1:βi≠0置信区间估计(1-α)缩⼩置信区间:增⼤样本容量n、提⾼模型拟合优度。
3.线性性与⽆偏性的证明⽅法线性性:⽆偏性:4.预测对条件均值:对个别值:第三章、多元线性回归模型⼀、.总体回归函数:⼀般形式:Y=β0+β1X1+β2X2+…+βk X k+µ⼀般形式:Y=Xβ+µ⼆、基本假定(略)三、参数估计-普通最⼩⼆乘估计参数估计:µ的⽅差估计:四、统计性质五、样本容量问题n≥k+1,不能少于解释变量(含常数⾹)数⽬n≥30或⾄少≥3(k+1)时满⾜模型估计基本要求六、统计检验1.拟合优度检验调整的可决系数⾚池信息准则和施⽡茨准则变⼩的话允许增加解释变量2.显著性检验⽅程显著性H0:β1~k全为零H1:不全为零太⼤就接受备择假设,说明模型的线性关系显著成⽴。
总体线性关系⼗分显著时不必苛求⾼可决系数。
变量显著性参数的置信区间缩⼩置信区间:增⼤样本容量n、提⾼模型拟合优度、提⾼样本观测值的分散度。
七、预测1.均值的预测2.单个值的预测⼋、⾮线性化为线性变换⾮线性普通最⼩⼆乘法九、受约束回归1.条件约束约束后e'*e*≥e'e,即残差平⽅和可能变⼤。
除⾮约束条件为真,模型解释能⼒可能降低。
若F太⼤则约束⽆效2.增减解释变量少变量模型可看做对多变量模型加以约束⽽形成。
q=kU-kR,kU=k+q3.参数稳健性-邹⽒参数稳定性检验(n2>k):结构不变式相当于对变动式施加k+1个约束:H0:β=α,进⾏F 检验判断是否合适。
第一章引言非稳定的数据生成过程和非稳定系统的长期稳定即非稳定变量之间的协整,已构成高级宏观计量的重要内容,这是因为宏观变量的数据,大多数的非稳定的数据生成过程所生成,另一方面,基于Granger(1987)的表述定理,在协整成立的条件下,V AR类时间序列模型,可由协整所派生的ECM等价表出,因而,对V AR的研究就转为对协整理论的研究,进一步,目前的研究论文,尤其是研究宏观经济问题的论文,大多是使用这一专题的内容。
从计量经济学的发展来考察,我们知道,2000年诺贝尔经济学奖授予微观计量,这一事实必将促进宏观计量的发展,无论从宏观计量的形成还是从其发展看,这一领域获诺贝尔经济学奖只是一个时间问题。
总之,我们有必要尽早进入这一专题。
我们这一专题的学时数为20+4,其重点是掌握这一方向的基本理论,从而能阅读现行的经济学文献,尤其是能使用这一理论,研究或实证理实的经济问题。
§1.1 单位根过程和协整理论的研究背景本专题的主要研究内容为单位根过程和非稳定系统的协整以及与之相关的问题,由于这一问题涉及对经典计量经济方法论的批判,并与现代计量经济学的若干方向相联系,因此,我们首先对有关背景进行必要的分析。
§1.1.1 单位根和协整的研究背景我们知道,在计量经济学形成的早期,美国的投资家A.Cowles, 由于股市的崩溃使他受到损失,从而激起他对计量经济学的兴趣而发起成立以自己名字命名的基金委员会(以下简记为CC),专门用于资助计量经济学的研究,在CC的资助下,形成了大量对计量经济学具有奠基意义的成果,构建了计量经济学的概率论框架,因此经典计量经济学,在不严格的意义下,又简称为CC方法论。
然而19世纪50年代末期,由于石油危机引发了世界经济的衰退和随之而来的滞胀,以CC方法论所构建的计量经济模型,几乎均未预测到这次经济的衰退。
随后,基1于经典计量经济方法论所建立的模型也未能就治理滞胀开出有效的“药方”,由此导致了对CC方法论的批判,其中Lucas (1976)批判最具影响。
计量经济学讲义第一部分:引言计量经济学是研究经济现象的量化方法,它结合了统计学和经济学原理,旨在提供对经济现象进行定量分析的工具和技术。
本讲义将介绍计量经济学的基本概念和方法,帮助读者理解和应用计量经济学的基本原理。
第二部分:经济数据和计量经济学模型1. 经济数据的类型- 我们将介绍经济数据的两种主要类型:时间序列数据和截面数据。
时间序列数据是在一段时间内收集的数据,而截面数据是在同一时间点上收集的数据。
2. 计量经济学模型- 我们将讨论计量经济学模型的基本原理和应用,例如最小二乘法和线性回归模型。
这些模型可以帮助我们分析经济数据之间的关系,并进行预测和政策评估。
第三部分:经济数据的描述性统计分析1. 描述性统计分析的概念- 我们将介绍描述性统计分析的基本概念和方法,包括中心趋势测量、离散度测量和分布形态测量。
这些方法可以帮助我们理解和总结经济数据的基本特征。
2. 经济数据的描述性统计分析实例- 我们将通过实例演示如何使用描述性统计分析方法来分析和解释经济数据。
例如,我们可以使用均值和方差来描述一个国家的经济增长和收入分配。
第四部分:计量经济学的统计推断1. 统计推断的概念- 我们将讨论统计推断的基本概念和方法,包括假设检验和置信区间。
这些方法可以帮助我们从样本数据中推断总体参数,并评估推断的精度和可靠性。
2. 统计推断的实例- 我们将通过实例演示如何使用统计推断方法来研究和解释经济现象。
例如,我们可以使用假设检验来判断一个政策措施对经济增长的影响。
第五部分:计量经济学的回归分析1. 单变量线性回归模型- 我们将介绍单变量线性回归模型的基本原理和应用。
这个模型可以帮助我们分析一个因变量和一个自变量之间的关系,并进行预测和政策评估。
2. 多变量线性回归模型- 我们将讨论多变量线性回归模型的基本原理和应用。
这个模型可以帮助我们分析多个自变量对一个因变量的影响,并进行政策评估和变量选择。
第六部分:计量经济学的时间序列分析1. 时间序列模型的基本概念- 我们将介绍时间序列模型的基本概念和方法,包括自回归模型和移动平均模型。
计量经济学讲义王维国讲授课程的性质计量经济学是一门由经济学、统计学和数学结合而成的交叉学科,从学科性质来看,计量经济学是一门应用经济学。
具体来说,计量经济学是在经济学理论指导下,借助于数学、统计学和计算机等方法和技术,研究具有随机特征的经济现象,目的在于揭示其发展变化规律。
课程教学目标计量经济学按其内容划分为理论计量经济学和应用计量经济学。
本课程采用多媒体教学手段,结合Eviews软件应用,讲解理论计量经济学的最基本内容。
本课程教学目标:一是使学生了解现实经济世界中可能存在的计量经济问题,掌握检测及解决计量经济问题的方法和技术;二是使学生能够在计算机软件辅助下,建立计量经济模型,为其他专业课的学习及对经济问题进行实证分析研究奠定基础。
课程适用的专业与年级本大纲适用于数量经济专业2001级计量经济学课程的教学。
课程的总学时和总学分课程总学时为72,共计4学分。
本课程与其他课程的联系与分工学习本课程需要学生具备概率论与数理统计、微积分、线性代数、Excel、微观经济学、宏观经济学、经济统计等学科知识。
概率论与数理统计等数学课是计量经济学的方法论基础,计量经济学主要解决的是实际中不满足数理统计假定时经济变量之间关系及经济变量发展变化规律分析方法和技术,而经济学为计量经济学提供经济理论的准备,它仅就经济变量之间的关系提出一些理论假设,而不进行实证分析,只有具备了计量经济学的基本知识才能更好地解决一些实际问题。
课程使用的教材及教学参考资料使用的教材:计量经济学(Basic Econometrics) 第三版,[美]古扎拉蒂(DamodarN.Gujarati) 著,林少宫译,中国人民大学2000年3月第1版。
该教材畅销美国,并流行于英国及其他英语国家。
该书充分考虑了学科发展的前沿,十分重视基础知识的教学及训练,内容深入浅出。
教学参考资料:1. 王维国,《计量经济学》,东北财经大学2001.2.Aaron C. Johnson, Econometrics Basic and Applied学时分配表第一讲引言:经济计量学的特征及研究X围第一节什么是计量经济学一、计量经济学的来源二、计量经济学的定义计量经济学几种定义。
第一章绪论第一节什么是计量经济学计量经济学含义.计量经济学是一个迅速发展的经济学分支,其目标是给出经济关系的经济内容。
.计量经济学可以定义为实际经济现象的定量分析,这种分析根据的是适当推断方法联系在一起的理论和观测的即时发展。
计量经济学运用数理统计知识分析经济数据,对构建于数理经济学基础上的数学模型提供经验支持,并得出数量结果。
.计量经济学是将经济理论、数学方法和统计推断等工具应用于经济现象分析的社会科学。
第二节计量经济学方法计量经济学方法的内容计量经济学研究包括两个基本要素:经济理论和事实。
将经济理论与现实情况结合起来,用统计技术估计经济关系。
最可用的形式就是模型。
计量经济分析步骤.陈述理论。
例如有关价格变动与需求量之间的关系的经济理论:在其他条件不变的情况下,一商品的价格上升(下降),则对该商品的需求量减少(增加)。
建立计量经济模型⑴需求函数的数学模型例如线性函数模型。
如果需求量与价格之间的关系式线性的,则数学上需求函数可以表示为Q P αβ=+()αβ和称为该函数的参数。
等号左边的变量称为因变量或被解释变量,等号右边的变量称为自变量或解释变量。
⑵计量经济模型式()假定需求量与价格之间的关系是一种确定关系,而现实的经济变量之间,极少有这种关系,更常见的是一种不确定性关系(见散点图),线性模型应该为Q P αβε=++()ε是随机扰动项。
收集数据估计计量经济模型中的参数之前,必须得到适当的数据。
在经验分析中常用的数据有两种:时间序列数据(纵向数据)和横截面数据(横向数据)。
有时会同时出现前面的纵向数据和横向数据,称之为混合数据。
面板数据是混合数据的一种特殊类型。
估计参数如利用收集的数据估计出式()中的参数,得回归模型76.05 3.88Q P =-()假设检验对回归模型以及模型中的系数进行检验。
预测和政策分析例如在回归模型()中,想预测价格时的需求量值时,则有76.05 3.8876.05 3.88 4.558.59Q P =-=-⨯=第二章线性回归分析第一节线性回归概述2.1.1回归模型简介如果(随机)变量y 与12,,,p x x x L存在相关关系12(,,,)p y f x x x ε=+L (2.1.1)其中y 是可观测的随机变量,12,,,p x x x L 为一般变量,ε是不可观测的随机变量;y 称为因变量(被解释变量),12,,,p x x x L 称为自变量(解释变量),ε称为随机误差。
第十讲 ARCH 模型及其扩展一、数学准备:迭代期望定律我们在第二讲中的笔记部分涉及到迭代期望定律。
作为复习,此处把该定律再展示一次。
如果信息集Θ⊆Ω,则有][()()E E X E X ΩΘ=Θ,此即迭代期望定律。
为了理解上述等式,考虑一个极端情况:Ω包含了全部的信息,则基于信息集Ω对x 的预测将没有任何预测误差,即有:()E X X Ω=,因此必有][()()E E X E X ΩΘ=Θ。
另外,无条件期望所对应的信息集是空集,因此按照迭代期望定律必有:[()]()E E XE X Ω=。
二、ARCH 模型考虑如下一个模型:01t t t y x φφε=++ (1)其中t tv ε=t v 是白噪声,方差为21vδ=;t v 和(1)t i i ε-≥相互独立;0110,,...,0,1ppi i a a a a =>≥<∑。
对上述模型,可以验证: (1))0(t E ε=练习:证明上式。
(2))0,0(t t i i E εε-=≠,即误差项序列无关。
证明:首先,,...,,...,1212,,...,,,...,)))0(((t t t t i t i t i t p t i t t t p t i t t E E E εεεεεεεεεεεεεε-----------=== 其次,按照迭代期望定律有:,...,12,,...,)])[((t t t i t i t p t i t t E E E εεεεεεεε------=因此有:)0,0(t t i i E εε-=≠(3)201)1(tpii a a E ε==-∑证明:22220011[()]())(tppt i t i i t i i i v a a a a E EE εεε--==+=+=∑∑令2)(t t x E ε=,则有差分方程:01t t i pi i x a a x -==+∑由于11,...,0,1ppi i a a a =≥<∑,故上述差分方程满足平稳性的充分条件:11pii a =<∑(参见第八讲附 录),因此,当t 趋于无穷大时t x 收敛于均衡值x*,其中01pi i xa a x**==+∑,即11pii a a x*==-∑。
第二章经典单方程计量经济学模型:一元线性回归模型§2.1 回归分析概述一回归分析的概念无论自然现象之间还是社会经济现象之间,大都存在着不同程度的联系,计量经济学的主要任务之一就是寻找各种经济变量之间的相互联系程度、联系方式以及经济变量之间的运动规律。
一般来说,变量之间的关系可以分为两类:一类是确定性的函数关系。
例如,表示。
圆的半径与圆面积之间的关系,可以用函数关系S=2r另一类是非确定性的统计相关关系。
例如,商品房的价格Y与房屋面积X 的关系,随着X的增加,Y也增加。
但是,在给定X时,Y并不能确定。
原因在于,商品房的价格Y不仅与房屋面积X有关,而且还与所在的区域、楼层和小区的人文环境等等因素有关。
这样,虽然人们无法得到商品房的价格Y与房屋面积X之间的函数关系,但是,人们可以将商品房的价格Y作为随机变量,通过统计计量的方法研究它们之间的统计相关关系。
研究随机变量间统计相关关系的方法主要有两种,一种是相关分析法,另一种是回归分析法。
1 相关分析相关分析主要研究随机变量间的相关形式和相关程度。
(1)相关的定义与分类定义:相关(correlation)指两个或两个以上随机变量间相互关系的程度或强度。
分类:①按强度分完全相关:变量间存在函数关系。
例,圆的周长,L = 2πr高度相关(强相关):变量间近似存在函数关系。
例,我国家庭收入与支出的关系。
弱相关:变量间有关系但不明显。
例,近年来我国耕种面积与产量。
零相关:变量间不存在任何关系。
例,某班学生的学习成绩与年龄。
2004006008001020304050YX121020304050YX0.51.01.52.02.53.02.02.53.03.54.04.5YX完全相关 高度相关、线性相关、正相关 弱相关②按变量个数分按形式分:线性相关, 非线性相关 简单相关:指两个变量间相关按符号分:正相关, 负相关, 零相关 复相关(多重相关):指一个变量与两个或两个以上变量间的相关。
第一讲 普通最小二乘法的代数一、 问题假定y 与x 具有近似的线性关系:01y x ββε=++,其中ε是随机误差项。
我们对01ββ、这两个参数的值一无所知。
我们的任务是利用样本数据去猜测01ββ、的取值。
现在,我们手中就有一个样本容量为N 的样本,其观测值是:1122(,),(,),...,(,)N N y x y x y x 。
问题是,如何利用该样本来猜测01ββ、的取值?为了回答上述问题,我们可以首先画出这些观察值的散点图(横轴x ,纵轴y )。
既然y 与x 具有近似的线性关系,那么我们就在图中拟合一条直线:01ˆˆˆy x ββ=+。
该直线是对y 与x 的真实关系的近似,而01ˆˆ,ββ分别是对01,ββ的猜测(估计)。
问题是,如何确定0ˆβ与1ˆβ,以使我们的猜测看起来是合理的呢?笔记:1、为什么要假定y 与x 的关系是01y x ββε=++呢?一种合理的解释是,某一经济学理论认为x 与y 具有线性的因果关系。
该理论在讨论x 与y 的关系时认为影响y 的其他因素是不重要的,这些因素对y 的影响即为模型中的误差项。
2、01y x ββε=++被称为总体回归模型。
由该模型有:01E()E()y x x x ββε=++。
既然ε代表其他不重要因素对y 的影响,因此标准假定是:E()0x ε=。
故进而有:01E()y x x ββ=+,这被称为总体回归方程(函数),而01ˆˆˆy x ββ=+相应地被称为样本回归方程。
由样本回归方程确定的ˆy与y 是有差异的,ˆy y -被称为残差ˆε。
进而有:01ˆˆˆy x ββε=++,这被称为样本回归模型。
二、 两种思考方法法一:12(,,...,)N y y y '与12ˆˆˆ(,,...,)N y y y '是N 维空间的两点,0ˆβ与1ˆβ的选择应该是这两点的距离最短。
这可以归结为求解一个数学问题:由于ˆi i y y -是残差ˆi ε的定义,因此上述获得0ˆβ与1ˆβ的方法即是0ˆβ与1ˆβ的值应该使残差平方和最小。
(财务知识)计量经济学讲义计量经济学讲义第四讲趋势和DF检验(修订版)此翻译稿制作学习之用,如有错误之处,文责自负。
趋势平稳序列(TS)(图1和2)壹个趋势平稳序列绕着壹个确定的趋势(序列的均值),其波动幅度不显示增大或者减小的趋势。
线性确定性趋势:t=1,2,…平方确定性趋势:t=1,2,…通常:t=1,2,…均值是是随时间变化的(川),可是方差是常数。
能够为任意平稳序列,也就是说,不壹定要是白噪声过程。
通过拟合壹个确定的多项式时间趋势,趋势能够来消除:拟合趋势后残差将给出壹个去趋势的序列。
壹个带线性确定性趋势AR(1)过程能够写作:t=1,2,…此处确定性趋势被减去。
然而在实践中,、是未知的而且必须估计出来。
于是模型能够被重述为:其中包含壹个截距和壹个趋势,也就是此处且若,那么此AR过程就是围绕壹个确定性趋势的平稳过程.差分平稳序列(DF)(也叫单整序列)和随机性趋势如果壹个非平稳序列能够由壹个平稳序列通过d次差分得到,那么我们说这个序列就是d阶单整的,写做I(d).这壹过程也因此叫做差分平稳过程(DSP).因此,平稳序列就是零阶单整的,I(0)。
白噪声序列是I(0)。
所以如果序列是平稳的,那么就是I(d)。
是差分算子,即如果序列是平稳的话,是I(1);如果序列是平稳的,是I(2),随机游走(图3)是随机游走的,如果满足此处这是壹个AR(1)过程,且在中具有根这壹序列被称为具有单位根,或者叫做1阶单整,I(1)。
注意:假设此过程在t=0起始处有壹个确定的值y0.那么,……(1)注释:(a)在(1)式中,y t被表示为初始值y0和壹个序列的局部的和(即所谓的随机趋势)。
所有随机冲击对序列y t都有永久的影响,它们能够永久的改变y t的水平,而在平稳序列中,冲击的影响会随着时间的流逝而趋向于零。
因此,称随机游走具有壹个随机趋势。
(b)E(y t)=y0+t*0=y0[定值]Var(y t)=Var()=t 2都时间依赖的,即,Var(y t)存在趋势。
第八讲 平稳时间序列与单位根过程一、随机时间序列模型概述在严格意义上,随机过程{}t X 的平稳性是指这个过程的联合和条件概率分布随着时间t 的改变而保持不变。
在实践中,我们更关注弱意义上的平稳或者所谓的协方差平稳:2();();(,)t t t t j j E X Var X Cov X X μδδ+===显然20δδ=。
在本讲义中,平稳皆指协方差平稳。
当上述条件中的任意一个被违背时,则称{}t X 是非平稳的。
(一)平稳随机过程的例子 1、白噪声过程{}t ε:20()0;();(,)0,t t t t j j E Var Cov εεδεε+≠===2、AR(1)过程:011,11t t t y a a y a ε<-=++,{}t ε是白噪声过程为了验证上述过程满足平稳性条件,我们首先通过迭代得到:1111010t t i it ii i t t y a a a y a ε---===++∑∑。
接下来注意到,111)0(t i i t t E y a a a y -==+∑,进一步假设数据生成过程发生了很久,即t 趋于无穷大,则01)1(t a E y aμ-==;其次也有110()()t it i i t Var y Var a ε--==∑,当t 趋于无穷大时,21221()11()i t Var a a Var y εδ-=-=;最后,当t 趋于无穷大时,有:1211111111222 (1241)11121......(...)[()()][()()]s s t t s t s t t s t s t s t t s s s s s a a a a a E y y E a a a a μμδδεεεεεεε+-----------++--+++++++++++=== 关于AR(p)过程的平稳性,见附录。
3、MA(P)过程:11...pt t t p t y a a εεε--=+++,{}t ε是白噪声过程显然,任意有限阶MA 过程都是平稳的。
计量经济学讲义计量经济学已经成了经济学专业中越来越热门的课程,是当今西方国家经济类专业三门核心课程(宏观、微观、计量)之一。
现在我们随手翻一翻《经济研究》这类经济专业刊物,就会发现,大部分的文章都采用了计量经济学的分析方法.计量经济学的重要地位还可以从诺贝尔经济学奖获得者的数量中反映出来,从1969年设立诺贝尔经济学奖,首届获得者就是计量经济学的创始人弗里希和荷兰经济学家丁伯根,表彰他们开辟了用计量经济方法研究经济问题这一领域,之后,直接因为对计量经济学的发展作出贡献而获奖者达十几人,包括去年获奖的Engle和Granger。
这些都说明了计量经济学越来越得到广泛的认可和高度的重视,经济科学日益朝着用数学表达经济内容和统计定量的方向发展。
所以这是一门值得大家付出努力去学好的课程。
大家随便翻一下手中的教材,就会发现这门课程中会有大量的数学推导过程。
我想这可能会是一个大家都很头疼的问题,根据这个特点,我把计量经济学这门课程做了一个定位:课程定位:用于研究经济问题的一种工具所谓的工具,就好象我们常用的office软件一样,我们用它是为了编辑文件,而我们大多数人并不知道它的每一条程序是如何编写的。
如果我们把计量经济学仅仅当成我们研究经济问题的一种工具的话,我们就可以把很多的数学推导过程装进一个个“黑箱”中,只需要学会用它的结果就够了。
我们用一个word软件,要能够打印出一篇漂亮的文章出来,那我们用一个学期的时间来学习如何使用计量经济学这个工具,最终希望达到什么要求呢?一、课程目的:1、掌握计量经济学的基本理论和方法;2、能够读懂采用了计量经济分析方法的经济文章;3、结合自己的专业,能应用计量经济方法对实际问题进行初步的计算分析。
我一直认为,要做成任何事情,有清晰的思路是最重要的。
如果说细节是一串珍珠项链上的珠子,那么思路就是把珠子串起来的那根线,珠子少一颗不要紧,没有了这个线,就成不了项链。
学习同样也是这样。
Chapter 3 一元线性回归模型第一节回归分析与回归方程回归分析:1.根据经济理论或考察样本数据去设定回归方程Y: dependent variable ; :independent:random error or disturbance termε(,,)Y f X Z ε=+ ,X ZA special and simple case (univariate linear regression model) :这是本章研究的重点。
2. 参数估计(Estimation of parameter)3. Testing4. Predicting设有样本为,则01Y b b X ε=++{,}i i Y X 01(1,,)i i iY b bX i n ε=++=模型的假设:1.2. (同方差) 3.4. 满足这四条件的LRM 称为经典线性回归模型(CLRM)。
()0i E ε=()0i jE i j εε=≠2var()i εσ=()0i i E X ε=由假设得Population regression equation (function)The pity is the parameters are unknown.我们要利用样本来估计参数. 如得参数估计值, 则称为sample regression equation (function).How to estimate them?The OLS method.01()E Y b b X=+01ˆˆb b 和01ˆˆˆY b b X =+Where are the residuals.Example3.1(P39)(how to use Eviews)(i i e Y =-01ˆˆ()i i i e Y b b X =-+Forecasting(预测) 1. Point forecasting Since we knowand the sample regression equationthen given , what about and ? As(an unbiased estimator for )01Y b b X ε=++01ˆˆˆY b b X=+1n X +1n Y +1()n EY +101110111ˆˆˆ()()()n n n n n EY E b bX b bX EY ε+++++=++=+=1()n EY +and (误差均匀) Naturally, we use as a point predictor for both and .2. Interval forecasting(1) Forecast interval for Forecast error:1n Y +11ˆ()0n n E Y Y ++-=1ˆn Y +1()n E Y +1n Y +111ˆn n n e Y Y +++=-2σ。
计量经济学讲义第四讲 趋势和DF 检验(修订版)此翻译稿制作学习之用,如有错误之处,文责自负。
趋势平稳序列(TS )(图1和2)一个趋势平稳序列绕着一个确定的趋势(序列的均值),其波动幅度不显示增大或者减小的趋势。
线性确定性趋势: t t t y εβα++= ),0(~2σεiid t t=1,2,…平方确定性趋势: t t t t y εγβα+++=2),0(~2σεiid t t=1,2,… 通常: t t t f y ε+=)( ),0(~2σεiid t t=1,2,…均值是是随时间变化的(川),但是方差是常数。
t ε可以为任意平稳序列,也就是说,不一定要是白噪声过程。
通过拟合一个确定的多项式时间趋势,趋势可以来消除:拟合趋势后残差将给出一个去趋势的序列。
一个带线性确定性趋势AR (1)过程可以写作: t 1-t 1t )1)-t (y (t y εβαφβα+--=-- ),0(~2σεiid t t=1,2,…此处确定性趋势被t y 减去。
然而在实践中,α、β是未知的而且必须估计出来。
于是模型可以被重述为:t 1-t 1111t y t )1()1(y εφβφβφαφ++-++-= 其中包含一个截距和一个趋势,也就是t 1-t 1**t y t y εφβα+++=此处 βφαφα11*)1(+-= 且 βφβ)1(1*-=若1||1<φ,那么此AR 过程就是围绕一个确定性趋势的平稳过程.差分平稳序列(DF )(也叫单整序列)和随机性趋势如果一个非平稳序列可以由一个平稳序列通过d 次差分得到,那么我们说这个序列就是d 阶单整的,写做I (d ).这一过程也因此叫做差分平稳过程(DSP ).因此,平稳序列就是零阶单整的,I (0)。
白噪声序列是I (0)。
所以如果序列t dt y w ∆=是平稳的,那么t y 就是I (d )。
∆是差分算子,即等等2-t 1-t t 2-t 1-t 1-t t 1-t t t t 21-t t t y 2y y )y y ()y y ()y y (y y ,y y y +-=---=-∆=∆∆=∆-=∆如果序列 1-t t t t y y y w -=∆= 是平稳的话,t y 是I (1);如果序列2-t 1-t t t 2t y 2y y y w +-=∆= 是平稳的,t y 是I (2),随机游走(图3)t y 是随机游走的,如果满足 t t t y y ε+=-1 此处 ),0(~2εσεiid t这是一个AR (1)过程,且在t t t y y εφ+=-1中具有根1=φ这一序列被称为具有单位根,或者叫做1阶单整,I (1)。
注意:t t t y y ε=∆=--t 1y假设此过程在t=0起始处有一个确定的值y0.那么,101ε+=y y210212εεε++=+=y y y……∑=+=++++=t10t 2102...ττεεεεy y y (1)注释:(a) 在(1)式中,y t 被表示为初始值y 0和一个序列的局部的和∑=t1ττε(即所谓的随机趋势)。
所有随机冲击ε对序列y t 都有永久的影响,它们可以永久的改变y t 的水平,而在平稳序列中,冲击的影响会随着时间的流逝而趋向于零。
因此,称随机游走具有一个随机趋势。
(b) E (y t )=y 0+t*0= y 0 [定值]Var(y t )= Var(∑=t1ττε)=t σ2都时间依赖的,即,Var(y t )存在趋势。
所以y t 是非平稳的。
但是∆y t =t ε是平稳的。
这也 叫做不带漂移的随机游走。
(c ) ∆y t =μ+t ε称作带漂移的随机游走。
现在,∆y t = y 0+t μ+∑=t1ττε 可以推出 E (y t )= y 0+t μ 均值具有趋势Var(y t )= t σ2 方差具有趋势就是说,不带漂移的随机游走只有方差具有趋势,而带漂移的随机游走均值和方差中都具有趋势,即不仅有确定性趋势y 0+t μ,也有随机性趋势∑=t1ττε(d ) 因此随机游走是一个I (1)序列。
由于差分平稳序列通常可以用ARMA(p,q)表示,所以随机游走是一种特殊的I (1)序列。
但是对于随机游走来说,其中),0(~2σεiid t[当由t t t y y ε+=-1t t y y ε∑+=⇒0时,我们使用单整这个词,总和≡单整] (e )在t t t y y ε+=-1中,冲击的影响会持续到永远,而在平稳序列中,例如,t t t y y εφ+=-11中,冲击的影响会随着时间的流逝趋向于0。
(f ) 一个I (0)序列将围绕着均值波动,而且观测值会频繁的与这个值相交。
I (1)序列会不断扩散而很少回到其早先的值。
(g )对于I (0)序列其相关系数0→k ρ(迅速地)。
对I (1)序列,其相关系数对于任何滞后期k 都在1附近。
(i )当我们分析分平稳序列的时候,标准分布理论(中心极限定理)会失效。
特别地,弱大数定律(WLLN )也不成立。
弱大数定律说的是:在一定条件下,当样本容量趋向于无穷的时候,样本距会收敛于总体距。
纯粹的随机游走和带漂移的随机游走的图示如下-10-551020406080140160y=y(-1)+u-200204060801001202004006008001000with stochastic trend图例 另见讲义P30纯粹的随机游走过程在整个时间段内,不显示任何上升或者下降的趋势,也不显示趋向于一个给定的均值的趋势(比如汇率);而带漂移的随机游走的时间路径有确定性的趋势主导(例如货币供给,GNP 等)。
这些序列可以从一个长期的确定性的趋势中得到。
在小样本的情形下,很难区分出纯粹的随机游走和带漂移的随机游走。
漂移μ的绝对值较小,或者冲击ε的方差较大,都将掩盖带漂移的随机游走的长期中所具有的趋势。
同时要区分(具有确定性趋势的)平稳AR 过程和(带漂移的)随机游走也不是很容易的。
趋势平稳序列(TF )和差分平稳序列(DF ) 图例 见讲义 现在我们来考虑下述三个序列:1) 平稳的AR (1)过程 t t t y y ε++=-195.005.0 2) 带漂移的随机游走 t t t r r ε++=-105.0 3) 发散过程 t t t z z ε++=-105.105.0样本容量 1500 图示见讲义一个对平稳性的非正式检验是基于对相关图的观察。
一个平稳AR 序列的相关图应该按指数规律下降,而对于非平稳序列则下降得非常缓慢。
下面是y 和r 序列的自相关系数的一些数平稳性。
非平稳性检验(单位根检验)单位根的存在也就意味着中心极限定理的失效。
因此在进行任何估计前,为了运用适当的去趋势的方法,检验该序列的平稳性就显得很重要了。
迪基-富勒(DF )检验和修正的DF 检验 A 单假设检验考虑一个AR(1)过程t 1t t y y ερ+=- ),0(iid ~2t σε如果ρ=1,则上述等式就定义了一个纯粹的随机游走过程,而且y是非平稳的。
检验非平稳的零假设为H0:ρ=1。
此假设检验就是所谓的单位根检验。
检验零假设的一个简单的方法是把AR(1)等式化为如下形式:t 1t 1t t 1)y (y y ερ+-=--- t 1t t y y εγ+=∆⇒-因此假设H0:ρ=1现在就等价于要检验H0:0=γ,而且我们只要相应的检验)0(1<<γρ就可以了(因为拒绝域在左边)。
我们不考虑1||>ρ的情形,因为在此情形下序列是发散的,而在经济数据序列中我们并不认为会是发散的。
上述等式也可以包含一个常数项:t 1t t y y εγα++=∆-还可以包含一个常数项和一个趋势变量,t 1t t y t y εγβα+++=∆-进行检验时,我们用OLS对上述三个回归中的一个进行估计,然后将γ前的系数的t统计量与适当的临界值进行比较得到结论。
称(1)中(即无常数项等式)的γˆ的t比率为nc ˆτ; 称(2)中(无趋势项等式)的γˆ的t比率为c ˆτ; 称(3)中(带趋势项等式)的γˆ的t比率为ct ˆτ。
在(1)(2)(3)每一种情形下,H 0都是0=γ(单位根),对应于H 1为0<γ(平稳序列)。
如果拒绝H 0,那么有:在(1)中,y t 是均值为0的平稳序列;[t 1t t y y ερ+=-]在(2)中,y t 是均值为非0的平稳序列 ;[t 1t t t 1t t y y y y εραερμ++=+=---或者 此处)1(ρμα-=]在(3)中,y t 是均值为具有确定性趋势的平稳序列 [t 1t t ))1t (b a y (bt a y ερ+---=--- 或者t 1t t y t y ερβα+++=- 此处)1(b ,b )-a(1ρβρρα-=+=且]上述临界值由Fuller,W.A.,1976年的Introduction to Statistical Times Series (时间序列统计概论)和迪基与富勒在1981年的计量经济学刊物上的文章给出(这些临界值只针对一些样本容量而言)。
注释:在H 0成立的条件下,τ不服从t 分布。
相对于t 分布或者N (0,1)正态分布来说,τ的分布向左移了。
要拒绝零假设就需要较大的负值。
见下表:为了在5%的水平下拒绝H 0的话,我们需要τ<-1.95。
对于一个N (0,1)的5%的单边检验,或者是较大T 值的t 检验来说,临界值为-1.645。
所以不恰当的使用标准正态分布进行单边检验将会导致对于零假设的过度拒绝。
单位根检验的渐进临界值(见讲义P33)请自己填列!运用响应面回归,J.麦金农得到了一个计算所有样本容量(T )的临界值的方法。
(见J.麦金农,“CI 检验的临界值”,Engle, Granger 编,长期经济中的关系,OUP ,1991,13章)例如:221T TCV φφφτ++=∞,给定∞φ、1φ、2φ 的值,令T=106,自像(3)式中的常数加趋势的情形的5%的临界值为4523.310683.17106039.4-4126.3C.V.2-=--=(相关数据可以从N=1行中的麦金农的表格中得到)。
若T CV )ˆ(se 0ˆt ≤-=γγγ,则拒绝零假设,而接受备择假设H 1:0<γ 。
响应面协整检验的临界值如果(1)(2)(3)式中的误差项是序列相关的(y t 为一个AR (p )过程),此时我们就应当使用修正的DF 检验(ADF )。
这一检验的方法为扩展对滞后差分项的DF 回归。
因此,像(3)式就变为:t 1p 1j 1t j 1t yy t y εδγβα+∆+++=∆∑-=-- (4)此处,需包括充足的滞后的一阶差分,用来确保ADF 回归中的误差项为近似的白噪声过程。