七年级上册计算题(打印版)
- 格式:doc
- 大小:80.00 KB
- 文档页数:2
七年级上册数学计算题34道带答案1.为节约能源,某单位按以下规定收取每月电费:用电不超过140度,按每度0.43元收费;如果超过140度,超过部分按每度0.57元收费。
若墨用电户四月费的电费平均每度0.5元,问该用电户四月份应缴电费多少元?设总用电x度:[(x-140)*0.57+140*0.43]/x=0.50.57x-79.8+60.2=0.5x0.07x=19.6x=280再分步算:140*0.43=60.2(280-140)*0.57=79.879.8+60.2=1402.某大商场家电部送货人员与销售人员人数之比为1:8。
今年夏天由于家电购买量明显增多,家电部经理从销售人员中抽调了22人去送货。
结果送货人员与销售人数之比为2:5。
求这个商场家电部原来各有多少名送货人员和销售人员?设送货人员有X人,则销售人员为8X人。
(X+22)/(8X-22)=2/55*(X+22)=2*(8X-22)5X+110=16X-4411X=154X=148X=8*14=112这个商场家电部原来有14名送货人员,112名销售人员3.现对某商品降价10%促销,为了使销售金额不变,销售量要比按原价销售时增加百分之几?设:增加x%90%*(1+x%)=1解得:x=1/9所以,销售量要比按原价销售时增加11.11%4.甲.乙两种商品的原单价和为100元,因市场变化,甲商品降10%,乙商品提价5%调价后两商品的单价和比原单价和提高2%,甲.乙两商品原单价各是多少/设甲商品原单价为X元,那么乙为100-X(1-10%)X+(1+5%)(100-X)=100(1+2%)结果X=20元甲100-20=80 乙5.甲车间人数比乙车间人数的4/5少30人,如果从乙车间调10人到甲车间去,那么甲车间的人数就是乙车间的3/4。
求原来每个车间的人数。
设乙车间有X人,根据总人数相等,列出方程:X+4/5X-30=X-10+3/4(X-10)X=250所以甲车间人数为250*4/5-30=170.6.甲骑自行车从A地到B地,乙骑自行车从B地到A地,两人都均速前进,以知两人在上午8时同时出发,到上午10时,两人还相距36千米,到中午12时,两人又相距36千米,求A.B两地间的路程?(列方程)设A,B两地路程为Xx-(x/4)=x-72x=288答:A,B两地路程为2887.甲、乙两车长度均为180米,若两列车相对行驶,从车头相遇到车尾离开共12秒;若同向行驶,从甲车头遇到乙车尾,到甲车尾超过乙车头需60秒,车的速度不变,求甲、乙两车的速度。
七年级上计算题80道题一、不带解析的60道计算题。
(一)有理数运算。
1. (-3)+52. 4 (-2)3. (-2)×(-3)4. 6÷(-2)5. (-2)^26. -3^27. (-1)^20238. 2×(-3)+(-4)÷29. (-5)×( 2 3)10. (-2)^3÷(-4)11. 3×(-2)+4×(-3)12. (-1)×(-2)×(-3)13. (-2)^2×(-3)^214. 4 3×(-2)15. (-(1)/(2))+(-(1)/(3))16. (-(3)/(4))×(2)/(3)17. (-(4)/(5))÷(-(2)/(3))18. (-2(1)/(3))+1(1)/(2)19. 3.5+(-2.5)20. (-4.5)×0.2(二)整式运算。
21. 3a + 2a22. 5x 3x23. 2a + 3b 5a + 2b24. 3(x + 2)25. -2(3x 1)26. 4x^2+3x 2x^2 x27. 3a^2b 2ab^2+5a^2b 3ab^228. (2x + 3y)(3x 2y)29. (x + 2)^230. (3x 1)^231. x(x 3)32. 2x(3x + 1)33. -3x(2x 5)34. (a + b)(a b)35. (2a + 3)(2a 3)36. 3x^2y×(-2xy^3)37. (-2a^2b)^338. 4x^3÷2x39. (12x^3 8x^2)÷4x40. (3x^2y 6xy^2)÷3xy (三)一元一次方程。
41. 2x + 3 = 742. 3x 1 = 543. 4 x=244. 2(x + 1)=645. 3(x 2)=946. (x)/(2)+1 = 347. (2x 1)/(3)=148. 5x+2 = 3x 449. 2x 3(x + 1)= 150. 3x 2(2x 1)=551. 4x 3 = 2x + 152. 5(x + 3)=3(x 1)53. (3x + 1)/(2)-(x 1)/(3)=154. x-(1)/(3)(x + 1)=155. 2x+(1)/(2)(x 1)=356. 3x (1)/(4)(2x 3)=557. 4x (2)/(3)(3x + 1)=258. x + 3=(1)/(2)(2x 1)59. 2x 1=(1)/(3)(6x 3)60. 3x+5=(1)/(4)(12x + 20)二、带解析的20道计算题。
七年级上计算题800题七年级上计算题综合一本全有理数1、 111117(113)(2)92844⨯-+⨯-2、419932(4)(1416)41313⎡⎤--⨯-÷-⎢⎥⎣⎦3、 33221121(5533)22⎡⎤⎛⎫⎛⎫--÷+⨯+⎢⎥ ⎪ ⎪⎝⎭⎝⎭⎢⎥⎣⎦4、2335(2)(10.8)114⎡⎤---+-⨯÷--⎢⎥⎣⎦5、(—315)÷(—16)÷(—2) 6、 –4 + 2 ×(-3) –6÷0.257、(—5)÷[1.85—(2—431)×7] 8、 18÷{1-[0.4+ (1-0.4)]×0.49、1÷( 61-31)×61 10、 –3-[4-(4-3.5×31)]×[-2+(-3) ]11、 8+(-41)- 5- (- 0.25) 12、 99 × 2613、 (3.5-7.75-4.25)÷1.114、|])21((|31)322(|)2(41[|)116(21523---÷-⨯-+----15、13611754136227231++-; 16、20012002200336353⨯+⨯-17、()5.5-+()2.3-()5.2---4.8 18、()8-)02.0()25(-⨯-⨯19、21+()23-⎪⎭⎫ ⎝⎛-⨯21 20、81)4(2833--÷-21、100()()222---÷⎪⎭⎫ ⎝⎛-÷3222、(-371)÷(461-1221)÷(-2511)×(-143)23、(-2)14×(-3)15×(-61)1424、-42+5×(-4)2-(-1)51×(-61)+(-221)÷(-241)25、-11312×3152-11513×41312-3×(-11513)26、41+3265+2131--27、()()4+×733×250)-(.-28、=++-)3()12( 29、=-++)4()15( 30、=-+-)8()16( 31、=+++)24()23( 32、=+-132)102( 33、=+(-11)(-32) 34、=+-0)35( 35、=-+)85(78 36、)3()26()2()4()14(-+++-+-++ 37、)15()41()26()83(++-+++-38、)2.0(3.1)9.0()7.0()8.1(-++-+++- 39、)326()434()313(41-+++-+40、=+--)15()14( 41、=---)16()14( 42、=--+)9()12( 43、=+-)17(12 44、=+-)52(0 45、=--)11(10846、=+-)3.2(8.4 47、=--)213(248、)5()]7()4[(--+-- 49、]12)3[(3--- 50、)109(8-- 51、)106()53(--- 52、543210-+-+- 53、2.104.87.52.4+-+-54、18)12()10(1130+-+----55、)61(41)31()412(213+---+--56、2111943+-+-- 57、31211+-58、)]18()21(26[13-+--- 59、2111)43(412--+---60、=⨯(-4)3 61、=⨯(-6)2 62、=⨯0(-6)63、=-⨯)43(32 64、=-⨯-)21()2( 65、=-⨯-)25.0()4(66、)25()7()4(-⨯-⨯- 67、)34(8)53(-⨯⨯-68、)1514348(43--⨯ 69、)8(45)201(-⨯⨯-70、53)8()92()4()52(8⨯-+-⨯---⨯71、)8(12)11(9-⨯-+⨯-72、=÷(-3)36 73、=÷21(-2) 74、=÷(-5)0 75、=÷(-0.2)8 76、=÷)43(-)87(- 77、6.018÷-78、)412()21()43(-÷-⨯- 79、2411)25.0(6⨯-÷-80、)21(31)32(-÷÷- 81、)2(48-÷+-82、)51(250-⨯÷- 83、)3(4)2(817-⨯+-÷-84、1)101(250322-⨯÷+ 85、911)325.0(321÷-⨯-86、1)51(25032--⨯÷+ 87、])3(2[)]215.01(1[2--⨯⨯--88、)145()2(52825-⨯-÷+-89、6)3(5)3(42+-⨯--⨯90、)25.0(5)41(8----+ 91、)48()1214361(-⨯-+-92、31)321()1(⨯-÷- 93、)199(41212+-÷⨯94、)16(94412)81(-÷+÷- 95、)]21541(43[21----96、13+(+7)-(-20)-(-40)-(+6)97、)2(9449344-÷+÷-98、22)36()33(24)12581(÷-÷---⨯-99、13)18()14(20----+-100、 8+(―41)―5―(―0.25) 101、 (-12)÷4×(-6)÷2102、 )1279543(+--÷361103、 2)5()2(10-⨯-+104、 (7)(5)90-⨯--÷(15)-105、 721×143÷(-9+19)106 、25×43―(―25)×21+25×(-41)107、 ()1-⎪⎭⎫⎝⎛-÷2131108、(-81)÷241+94÷(-16)109、 2(x-3)-3(-x+1)110、-4÷32-(-32)×(-30)111、 3223121213+⎪⎭⎫ ⎝⎛--⎪⎭⎫ ⎝⎛-+112、47÷)6(3287-⨯-113、48245834132⨯⎪⎭⎫⎝⎛+--114、|97|-÷2)4(31)5132(-⨯--115、 -22 -〔-32 + (- 2)4 ÷23 〕116、235(4)0.25(5)(4)8⎛⎫-⨯--⨯-⨯- ⎪⎝⎭117、 200423)1()2(161)1()21()21(-÷-⨯⎥⎦⎤⎢⎣⎡--÷--118、 100()()222---÷3)2(32-+⎪⎭⎫ ⎝⎛-÷ 119、 ―22+41×(-2)2120、 322)43(6)12(7311-⨯⎥⎦⎤⎢⎣⎡÷-+-- 121、 111117(113)(2)92844⨯-+⨯-122、419932(4)(1416)41313⎡⎤--⨯-÷-⎢⎥⎣⎦123、(-36)-[(-54)-(+32)]124、 (+3.74)-[(-5.91)-(-2.74)+(-2.78)] 125、 (-0.4)÷0.02×(-5)126、)—()—)+(—(25.0433242÷⨯ 127、 75)21(212)75(75211⨯-+⨯--⨯128、11)()+(2532.015[3-÷⨯----] 129 、12(4)4⎡⎤-|-16|-⨯-⎢⎥⎣⎦÷⎥⎦⎤⎢⎣⎡--)813(41130、 2335(2)(10.8)114⎡⎤---+-⨯÷--⎢⎥⎣⎦131、多项式计算一、合并同类项1、-5ab+3ab2、18p-9q+5-9q-10p3、-31a b 2+65a b 2-21b2a 4、3(a+b)2-4(a+b)25、2ab-5ab+3ab6、5x 2y-12y 2x 4+3x 4y 2-6yx 27、18p-9q+5+9q-16p 8、5a-(3b-2c+a)9、(3m-5)-(n-3m) 10、-(2m-3)10、n-3(4-2m) 12、a+5(-b-1)13、-(5m+n)-7(a-3b) 14、2ab-(3ab-5a 2b)15、6a 2-4ab-4(2a 2+21ab) 16、3x-[5x-(21x-4)]17、3x-5x+(3x-1) 18、4(xyz-2xy)-(xyz-3z)+3(2xy-z)19、A=x 2+xy+y 2, B=-3xy-x 2,求B-A 、2A-3B20、2a 2-(a+2b-3c) 21、-(2a-b)+(c-1)22、x 2+(3x-y+y 2) 23、-(a+b)-(c-d)24、-{-[-(5x-4y)]} 25、3(m-1)-4(1-m)26、-3(2x2-xy)+4(x2+xy+6)27、-{+[-(x-y)]}+{-[-(x+y)]}1(xy-x2)-8xy 29.-2(ab-3a2)-[2b2-(5ab+a2)+2ab]28、2x2-230、y2-(6x-y+3z) 31、9x2-[x-(5z+4)]32、x+[-6y+(5z-1)] 33、-(7x+y)+(z+4)34、4(x2+xy-6)-3(2x2-xy) 35、x+[(3x+1)-(4-x)]36、-(2x-y) 37、-3a+(4a2+2)38、-[-(2a-3y)] 39、-3(a-7)40、A=4a2+5b,B=-3a2-2b,求2A-B41、(a+b)+2(a+b)-4(a+b) 42、(7x-3y)-(10y-5x)43、-(m-2n)+4(m+5n)-2(-3m-n) 44、-xy2+3xy245、7a+3a2+2a-a2+3 46、3a+2b-5a-b47、-4ab+8-2b2-9ab-8 48、3b-3a3+1+a3-2b49、2y+6y+2xy-5 50、3f+2f-7f51、x-f+5x-4f 52、2a+3b+6a+9b-8a+12b53、3pq+7pq+4pq+pq 54、30a2b+2b2c-15a2b-4b2c55、7xy-8wx+5xy-12xy 56、4+3(x-1) 57、4x-(x-1) 58、4a-(a-3b)59、a+(5a-3b)-(a-2b) 60、3(2xy-y)-2xy61、8x-(-3x-5) 62、(3x-1)-(2-5x)63、(-4y+3)-(-5y-2) 64、3x+1-2(4-x)65、-(2m-3) 66、n-3(4-2m)67、16a-8(3b+4c) 68、t+32(12-9v)69、-(5m+n)-7(a-3b)70、-21(x+y)+41(p+q)71、-8(3a-2ab+4) 72、4(m+p)-7(n-2q)73、-2n-(3n-1) 74、a-(5a-3b)+(2b-a)75、-3(2s-5)+6s 76、1-(2a-1)-(3a+3)77、3(-ab+2a)-(3a-b)78、14(abc-2a)+3(6a-2abc)79、3(xy-2z)+(-xy+3z)80、-4(pq+pr)+(4pq+pr)81、5x 4+3x 2y-10-3x 2y+x 4-1 82、p 2+3pq+6-8p 2+pq83、(7y-3z)-(8y-5z) 84、-(a 5-6b)-3(-5a-4b)85、2(2a 2+9b)+3(-5a 2-4b) 86、-3(2x 2-xy)+4(x 2+xy-6)87、3b 2-(a 2+b 2)-b 2 88、x+(2x-1)-(3x +3)89、-2(ab-3a 2)+(5ab-a 2) 90、2a 2-(ab+a 2)-8ab91、-(b-4)+4(-b-3) 92、21(x 2-y)+31(x-y 2)+61(x 2+y 2)93、5x 3+3x 2y-10-3x 2y+x 3-1 94、-3(2x 2+xy)-4(2x 2-xy-7)二、先化简,再求值1、当x=2时,求代数式-3x 2+5x-0.5x 2+x-1的值2、当p=3,q=3时,求代数式8p 2-7q+6q-7p 2-7的值3、当x=-5时,求代数式6x+2x 2-3x+2x+1的值4、当x=2,y=-3时,求代数式4x 2+3xy-x 2-9的值5、当m=6,n=2时,求代数式31m-23n-65n-61m 的值6、当m=5,p=31,q=-23时,求代数式3pq-54m-4pq 的值7、当x=-2时,求代数式9x+6x 2-3(x-32x 2)的值8、当x=21时,求代数式41(-4x 2+2x-8)-(21x-1)的值9、当a=-1,b=1时,求代数式(5a 2-3b 2)+(a 2+b 2)-(5a 2+3b 2)的值10、当a=-2,b=2时,求代数式2(a 2b+ab 2)-2(a 2b-1)-2ab 2-2的值11、当x=-21,y=-1时,求代数式2x 2y+1的值12、当x=-2时,求代数式x+x1的值13、当x=-1,y=-2时,求代数式2xy+3x 2y-6xy-4x 2y 的值14、当m=5,p=31,q=-23时,求代数式3pq-54m-4pq+m 的值15、当m 2-mn=1,4mn-3n 2=-2时,求代数式m 2+3mn-3n 2的值16、当x=-1,y=-2时,求代数式3-2xy+3yx 2+6xy-4x 2y 的值17、当x 2-xy=3a,xy-y 2=-2a 时,求代数式x 2-y 2的值18、当x=2004,y=-1时,求代数式A=x 2-xy+y 2,B=-x 2+2xy+y 2,A+B 的值19、当a=5时,求代数式(6a+2a 2+1)-(a 2-3a)的值20、当x=-2时,求代数式9x+6x 2-3(x-32x 2)的值21、当x=5时,求代数式21(2x 2-6x-4)-4(-1+x+41x 2)的值22、当x=21,时,求代数式(2x 2-x-1)-(x 2-x-31)+(3x 2-331)的值23、当x 2+xy=2,y 2+xy=5时,求代数式x 2+2xy+y 2的值24、当a-b=4,c+d=-6时,求代数式(b+c)-(a-d)的值25、当a=21,b=1时,求代数式a 2+3ab-b 2的值26、当a=71,b=314时,求代数式4(b+1)+4(1-a)-4(a+b)的值27、当a=6,b=3时,求代数式42b ab 的值28、当a=-2,b=32时,求代数式21a-2(a-31b 2)-(23a-31b 2)的值29、当a=,时,求代数式1-(2a-1)-3(a+1)的值30、当(x+2)2+|y+1|=0时,求代数式5xy 2-[2x 2y-(2x 2y-xy 2)]的值31、当x+y=1521,xy=-1051时,求代数式6x+5xy+6y 的值32、当b a b a +-=3时,求代数式ba b a +-)(2-)(3)(4b a b a -+的值33、已知:a 2+2a+1=0,求2a 2+4a-3的值 三、填空1、当x=-221,y=-4时,代数式x 2-2xy+y 2的值是( )2、在代数式2x 2y 3-52x 3y+y 4-5x 4y 3中,其中x=0,y=-2,这个代数式的值为( )3、x=-2时,代数式x+x 1的值是( )4、当x=5时,代数式52x+4=( )5、代数式x 2+2008的最小值是( ),此时x=( )6、已知:a 2+3a+5=7,求3a 2+9a-2的值7、已知3a 2-a-2=0,则5+2a-6a 2=( )8、已知:a,b 互为相反数,c,d 互为倒数,m =2,求代数式mba 10++m 2-cd 的值 9、当a=-121,b=-6时,代数式a(b 2+ab)的值是( ) 10、当a=4,b=5,c=41时,代数式cb ba 22++=( )一元一次方程1、7(2-3y)-5(12-y)=8(1-7y)2、(z-4)-7(7-z)-9=12-3(9-z);3、3(x-7)-2[9-4(2-x)]=22;4、2(x+3)-5(1-x)=3(x -1)5、3(1)2(2)23x x x +-+=+6、 3(2)1(21)x x x -+=--7、576132x x -=-+ 8、143321=---mm9、52221+-=--y y y 10、12136x x x -+-=-11、38123x x ---= 12、12(x-3)=2-12(x-3)13、431261345x ⎡⎤⎛⎫--= ⎪⎢⎥⎝⎭⎣⎦14、4 1.550.8 1.230.50.20.1x x x----=+15、 0.1230.710.30.4x x--+= 16、 2(1)0.4(1)3430.24x x -+-=-17、-2(x -1)=4.18、5.0102.02.01.0+--x x =319.、5(x+8)-5=6(2x -7) 20、3x532x 35-=-21、 5(x+8)-5=-6(2x -7) 22.、 )1x (32)]1x (21x [21-=--牛刀小试——有理数和多项式满分100分(90分及格)一、 速算填空(每题1分,共20分):(1)、___)9()6(=-++ , (2)、___)9()6(=--+, (3)、___)9()6(=-⨯+, (4)、___)14()56(=-÷-, (5)、___4716=-, (6)、___46=+-,(7)、____)3(3=-, (8)、____)2(4=-, (9)、____24=-, (10)、____)1(2008=-, (11)、____)2(3=--, (12)、___565=--,(13)、___2131=-, (14)、___)103()65(=-⨯-,(15)、___8325.0=÷-, (16)、____5.04=, (17)、___55=+-,(18)、___1020=--, (19)、___)1.6()9.5(=---, (20)、___)13(0)56()7(=-÷⨯-⨯-。
七年级上册每天20道计算题一、有理数运算(1 - 10题)1. 计算:(-3)+5- 解析:异号两数相加,取绝对值较大的符号,并用较大的绝对值减去较小的绝对值。
|5| = 5,| - 3|=3,5>3,所以结果为正,5 - 3=2。
- 答案:22. 计算:4 - (-2)- 解析:减去一个数等于加上这个数的相反数,所以4-(-2)=4 + 2 = 6。
- 答案:63. 计算:(-2)×(-3)- 解析:两数相乘,同号得正,异号得负,并把绝对值相乘。
(-2)×(-3)=2×3 = 6。
- 答案:64. 计算:6÷(-2)- 解析:两数相除,异号得负,并把绝对值相除,6÷(-2)=-(6÷2)= - 3。
- 答案:-35. 计算:(-1)^2- 解析:负数的偶次幂是正数,(-1)^2 = 1。
- 答案:16. 计算:-2^2- 解析:先计算指数运算,这里2^2 = 4,再加上负号,所以-2^2=-4。
- 答案:-47. 计算:(-3)+(-4)-(-5)- 解析:先去括号,-3-4 + 5,然后按照顺序计算,-7 + 5=-2。
- 答案:-28. 计算:2×(-3)+4- 解析:先算乘法2×(-3)=-6,再算加法-6 + 4=-2。
- 答案:-29. 计算:(-4)÷2×(-3)- 解析:按照从左到右的顺序计算,(-4)÷2=-2,-2×(-3)=6。
- 答案:610. 计算:3×[4+(-2)]- 解析:先算小括号里的4+(-2)=2,再算乘法3×2 = 6。
- 答案:6二、整式运算(11 - 20题)11. 计算:3x+2x- 解析:同类项相加,字母和指数不变,系数相加,3x+2x=(3 + 2)x=5x。
- 答案:5x12. 计算:5a - 3a- 解析:同类项相减,字母和指数不变,系数相减,5a-3a=(5 - 3)a = 2a。
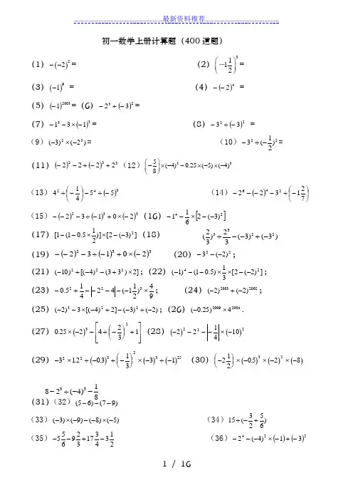
初一数学上册计算题(400道题)(1)()22--= (2)3112⎛⎫⎪⎝⎭-=(3)()91- = (4)()42-- =(5)()20031-= (6)()2332-+-=(7)()33131-⨯--= (8)()2233-÷- =(9))2()3(32-⨯-= (10)22)21(3-÷-=(11)()()3322222+-+-- (12)235(4)0.25(5)(4)8⎛⎫-⨯--⨯-⨯- ⎪⎝⎭(13)()34255414-÷-⎪⎭⎫ ⎝⎛-÷ (14)()⎪⎭⎫ ⎝⎛-÷----721322246(15)()()()33220132-⨯+-÷--- (16) []24)3(2611--⨯--(17)])3(2[)]215.01(1[2--⨯⨯-- (18)(19)()()()33220132-⨯+-÷--- (20)22)2(3---;(21)]2)33()4[()10(222⨯+--+-; (22)])2(2[31)5.01()1(24--⨯⨯---;332222()(3)(3)33÷--+-(23)94)211(42415.0322⨯-----+-; (24)20022003)2()2(-+-;(25))2()3(]2)4[(3)2(223-÷--+-⨯--; (26)200420094)25.0(⨯-.(27)()0252423132.⨯--÷-⎛⎝ ⎫⎭⎪+⎡⎣⎢⎢⎤⎦⎥⎥ (28)()()----⨯-221410222(29)()()()-⨯÷-+-⎛⎝ ⎫⎭⎪⨯-÷-3120313312232325.. (30)()()()-⎛⎝ ⎫⎭⎪⨯-⨯-⨯-212052832.(31) (32)(56)(79)---(33)(3)(9)(8)(5)-⨯---⨯- (34)3515()26÷-+(35)5231591736342--+- (36)()()22431)4(2-+-⨯---(37)411)8()54()4()125.0(25⨯-⨯-⨯-⨯-⨯33182(4)8-÷--(38)如果0)2(12=-++b a ,求20112010()-3ab a b a a ++-()的值(39)已知|1|a +与|4|b -互为相反数,求b a 的值。
初一数学上册计算题(400道题)(1)()22--= (2)3112⎛⎫⎪⎝⎭-= (3)()91- = (4)()42-- = (5)()20031-=(6)()2332-+-=(7)()33131-⨯--= (8)()2233-÷- = (9))2()3(32-⨯-= (10)22)21(3-÷-= (11)()()3322222+-+--(12)235(4)0.25(5)(4)8⎛⎫-⨯--⨯-⨯- ⎪⎝⎭(13)()34255414-÷-⎪⎭⎫ ⎝⎛-÷ (14)()⎪⎭⎫ ⎝⎛-÷----721322246(15)()()()33220132-⨯+-÷---(16)[]24)3(2611--⨯--(17)])3(2[)]215.01(1[2--⨯⨯--(18)(19)()()()33220132-⨯+-÷--- (20)22)2(3---;(21)]2)33()4[()10(222⨯+--+-;(22)])2(2[31)5.01()1(24--⨯⨯---; (23)94)211(42415.0322⨯-----+-; (24)20022003)2()2(-+-; (25))2()3(]2)4[(3)2(223-÷--+-⨯--;(26)200420094)25.0(⨯-. (27)()0252423132.⨯--÷-⎛⎝ ⎫⎭⎪+⎡⎣⎢⎢⎤⎦⎥⎥(28)()()----⨯-221410222(29)()()()-⨯÷-+-⎛⎝ ⎫⎭⎪⨯-÷-3120313312232325.. (30)()()()-⎛⎝ ⎫⎭⎪⨯-⨯-⨯-212052832.(31)(32)(56)(79)---(33)(3)(9)(8)(5)-⨯---⨯- (34)3515()26÷-+(35)5231591736342--+- (36)()()22431)4(2-+-⨯---332222()(3)(3)33÷--+-33182(4)8-÷--(37)411)8()54()4()125.0(25⨯-⨯-⨯-⨯-⨯(38)如果0)2(12=-++b a ,求20112010()-3ab a b a a ++-()的值 (39)已知|1|a +与|4|b -互为相反数,求b a 的值。
七年级上册100道计算题第一篇:七年级上册100道计算题一元一次方程专项练习题库(1)2x+8=16(2)x/5=10(3)x+7x=8(4)9x-3x=6(5)6x-8=4(6)5x+x=9(7)x-8=6x(8)4/5x=20(9)2x-6=12(10)7x+7=14(11)6x-6=0(12)5x+6=11(13)2x-8=10(14)1/2x-8=4(15)x-5/6=7(16)3x+7=28(17)3x-7=26(18)9x-x=16(19)24x+x=50(20)6/7x-8=4(30)3x-8=30(31)6x+6=12(32)3x-3=1(33)5x-3x=4(34)2x+16=19(35)5x+8=19(36)14-6x=8(37)15+6x=27(38)5-8x=4(39)7x+8=15(40)9-2x=1(41)4+5x=9(42)10-x=8(43)8x+9=17(44)9+6x=14(45)x+9x=4+7(46)2x+9=17(47)8-4x=6(48)6x-7=12(49)7x-9=8(50)x-56=1(51)8-7x=1(52)x-30=12(53)6x-21=21(54)6x-3=6(55)9x=18(56)4x-18=13(57)5x+9=11(58)6-2x=11(59)x+4+8=23(60)7x-12=8(61)X-5.7=2.15(62)15.5X-2X=18(62)3X-0.7=5(63)3.5×2= 4.2x(64)26×1.5= 2x(65)0.5×16―16×0.2=4x(66)9.25-X=0.403(67)16.9÷X=0.3(68)X÷0.5=2.6(69)x+13=33(70)3 -5x =80(71)1.8-6x=54(72)6.7x -60.3=6.7(73)9 +4x =40(74)0.2x-0.4+0.5=3.7(75)9.4x-0.4x=16.2(76)12 -4x=20(77)1/3 x+5/6 x=1.4(78)12 x+34 x=1(81)12 +34 x=56(79)18x-14 x= 12(80)23 x-5×14 = 14(82)22-14 x= 12(83)23 x-14 x= 14(84)x+14 x= 65(85)23 x=14 x +14(86)30 x-12 x -14 x=1⎛1⎝31⎫⎪2⎭(87)-1.5+1.4-4.3-5.2+3.6(88)(-6)÷⎛⎝13-(89) -0.5++1⎫⎛1⎫⎪÷⎪(90)3(x-2)=2-5(x-2)6⎭⎝24⎭(91)2(x+3)-5(1-x)=3(x-1)(92)3(x+1)-2(x+2)=2x+3(93)3(x-2)+1=x-(2x-1)(94)2x-1x+21x-1 = +1(95)-=1 3232x+83=-x(97)3-1.2x=(96)45x-12(98)3x-0.4=1x+0.3(99)3x-1=4x+2-142(100)3y+12y-7(101)4=2-53(102)1-m2-3-3m4=1(103)(104 )x-1-x3=x+26-1(105)(106)112(x-3)=2-2(x-3)(107)(108)x+10.2-x+30.01=3(109)(110)x-1x+23-4-x6=2(111)(112)1[x-1222(x-1)]=3(x-1)255-6x=-732x+1y-y-1+22=2-y53-x-x-823=1x-2x+10.2-0.5=3x+234-2x-6=13⎡⎛1⎫2⎢4 x-⎣⎝3⎪-2⎤⎥=2x ⎭3⎦113)2(3y+7)=2-372y(第二篇:三年级上册计算题150道蒲缥小学三(1)班2013寒假作业289+365= 1254-879= 87+250= 456×5= 89÷9= 689+965= 3254-2879= 498+2509= 856×3= 77÷7= 779+965= 1254-879= 987+259= 526×9= 56÷8= 289+3965= 5654-3879= 872+6250= 256×4= 88÷6= 389+320= 5400-5219= 875+1260= 469×9= 51÷7= 452+364= 5254-879= 87+125= 256×8=56÷3= 1520+2235= 9254-8790= 987+250= 555×5= 44÷7= 2089+3605= 6554-2790= 6987+3332= 56×3= 74÷9= 89+265= 854-279= 4387+784= 462×5= 22÷3= 230+888= 354-89= 4127+1850= 46×8= 63÷7= 4289+4365= 884-79= 2987+150= 856×7= 56÷4= 459+123= 5444-3546= 852+123= 1230×3= 49÷7= 3829+35= 5562-2354= 222+333= 888×8= 80÷5= 781+784= 1114-822= 4512+654= 25×9= 54÷3= 289+3635= 2254-879= 498+6650= 368×3= 72÷8= 5412+3214= 3654-379=6254+3897= 542×8= 75÷3= 444+365= 5554-879= 1210×5= 4989÷9= 53÷7= 3112+321= 258-205= 3387+1234= 1549×3= 29÷4= 560+587= 1200-321= 6547+1240= 889×9= 99÷6= 3215+481= 6581-1234= 654+1980= 400×8= 60÷7= 6541+3258= 3365-2210= 465+250= 3552×3= 56÷8= 289+365= 1984-889= 1972+1212= 325×9= 72÷3= 3652+3652= 3693-2879= 2301+1450= 445×2= 44÷8= 5632+215= 456-79= 1487+2541= 332×8= 91÷9= 6520+1201= 5478-2561= 6548+2540= 336×8= 49÷8= 887+333= 2148-982= 6654+1214= 885×5= 15÷3= 8884+388= 5462-1547= 2361+2541= 1203×7= 45÷9= 9999+369= 5641-654= 2569+1980= 999×9= 33÷5= 1189+1125= 8754-2229= 2927+3335= 445×3= 65÷5= 3658+223= 6214-210= 6523+50= 410×8= 39÷8=注:为了加强同学们的计算能力,请同学们每天做5题,把题目抄在算术作业本上,开学检查。
初一数学上册计算题大全及答案目录1.分数的加减法2.分数的乘除法3.百分数的概念与运算4.有理数的加减法5.有理数的乘除法6.相交角的性质7.三角形的面积与周长8.长方形与正方形的面积与周长9.运动与速度10.简单方程与应用1. 分数的加减法题目 1:计算: 1/2 + 1/3 = ?解答:1/2 + 1/3 = (13 + 12)/(2*3) = 5/6题目 2:计算: 3/4 - 1/5 = ?解答:3/4 - 1/5 = (35 - 14)/(4*5) = 11/20题目 3:计算: 2/3 + 5/6 - 1/2 = ?解答:2/3 + 5/6 - 1/2 = (26 + 51 - 13)/(36) = 11/18…2. 分数的乘除法题目 1:计算: 2/3 × 3/4 = ?解答:2/3 × 3/4 = (2×3)/(3×4) = 6/12 = 1/2题目 2:计算: 4/5 ÷ 2/3 = ?解答:4/5 ÷ 2/3 = (4/5) × (3/2) = (4×3)/(5×2) = 12/10 = 6/5题目 3:计算: 5/6 × 2/3 ÷ 1/2 = ?解答:5/6 × 2/3 ÷ 1/2 = (5/6) × (2/3) ÷ (1/2) = (5×2×2)/(6×3×1) = 20/18 = 10/93. 百分数的概念与运算题目 1:将16/25 转换为百分数。
解答:16/25 = (16/25) × 100% = 64%题目 2:将36% 转换为小数形式。
解答:36% = 36/100 = 0.36题目 3:计算45% × 80。
解答:45% × 80 = (45/100) × 80 = 364. 有理数的加减法题目 1:计算: -3 + 5 = ?解答:-3 + 5 = 2题目 2:计算: 3 + (-5) = ?解答:3 + (-5) = -2题目 3:计算: -3 - 5 = ?解答:-3 - 5 = -85. 有理数的乘除法题目 1:计算: (-2) × 3 = ?解答:(-2) × 3 = -6题目 2:计算: 6 ÷ (-3) = ?解答:6 ÷ (-3) = -2题目 3:计算: (-4) × (-5) = ?解答:(-4) × (-5) = 206. 相交角的性质题目 1:已知∠A = 30°,∠B = 45°,求∠C的度数。
317.计算:(1)(-5)×2+20÷(-4) (2)-32-[-5+(10-÷5)÷(-3)2]1b261 b18.解方程:(1)7x-8=5x+4(2)2319.先化简,后求值:2(x2y+xy)-3(x2y-xy)-4x2y,其中x=1,y=-120.假设a、b互为相反数,c、d互为倒数,m的绝对值是3,n在有理数王国里既不是正数也不是a20212(cd)2021n(abcd)(负数,求m的值17.(16分)计算:(1)-17-(-23)+(-13)-(+23)(311)1242021(1)2021(2)2(2)4612(3)4(4)4(112)2×53÷(2)3.18.计算(8分)〔1〕(2a-1)+2(1-a);(2)3(3x+2)-2(3+x).x12x1解方程:〔1〕3(2x1)3x219.(6分)〔2〕2320.(6分)先化简.再求值.-2(ab-a2)-3ab-1+(6ab-2a2),其中a=1,b=-1.1521 9.18(6)20.2 23〔3〕(1)4(11)3(223)4x4x721.22 2.四.解以下方程〔每题5分,共15分〕.2x1x212 3.3x524.6x74x525.2五.先化简,再求值〔此题6分〕26.5(3a2bab2)(ab23a2b)2ab2,其中a2,b3.19计算(1).12(16)4)52111( 2).9418365421412429来源于网络14(10.5)12(3)2〔4).3( 1).(8xyx2y2)4(x2y22xy3) (2).5ab2-[a2b+2(a2b-3ab2)]21〔8分〕先化简求值:1 723(16)14(5)2(5)〔1〕〔〕22〔1〕x4x2x〔〕5(2a7b)3(4a2x312x6〔1〕2(3x)4(x5)〔〕432ax x124.〔10分〕关于x的方程214,求代数式a2 3的解是x17.化简:3〔2x2﹣y2〕﹣2〔3y2﹣2x2〕18.|a﹣2|+〔b﹣3〕2=0,求ba﹣ab的值.19.解方程:.20.三角形第一边长为2a+b,第二边比第一边长a﹣b,第三边比第二边短a,求这个三角形的周长.21.先化简,再求值:〔﹣x2+5x+4〕+〔5x﹣4+2x2〕,其中x=﹣2.111214.51122〔1〕32+(-2)-(-3)+23〔2〕3〔3〕5x 2y xy 2 3x 2y 7xy 2〔〕〔﹣〕﹣〔 ﹣ 〕45a2b3ab22a2b7ab2y7y4y162x3x〔1〕〔2〕3311〔1〕3-〔-6+32〕÷〔-1+4〕〔2〕6-4×〔-2〕-〔〔-2〕3+〔-9〕÷〔-3〕〕〔1〕〔2xy-5x 〕-2(xy-3x)(2)a3-3(1-a)+(1-a+a2)-(1-a+a2+a3)118、(本小题5分)先化简,再求值。
有理数计算(要求:认真、仔细、准确率高)1、6.32.53.44.15.1+--+-2、()⎪⎭⎫ ⎝⎛-÷-213163、⎪⎭⎫⎝⎛÷⎪⎭⎫ ⎝⎛++-24161315.0 4、)7.1(5.2)4.2(5.23.75.2-⨯--⨯+⨯-5、()⎥⎦⎤⎢⎣⎡-÷⎪⎭⎫ ⎝⎛÷-+---2532.0153 6、⎪⎭⎫ ⎝⎛-÷⎥⎦⎤⎢⎣⎡⎪⎭⎫⎝⎛-⨯----35132211|5|7、()⎥⎥⎦⎤⎢⎢⎣⎡-⎪⎭⎫ ⎝⎛-⨯-⨯-214124322 8、-9+5×(-6) -(-4)2÷(-8)9、()2313133.0121-÷⎪⎭⎫ ⎝⎛+⨯+- 10、321264+-=-x x11、133221=+++xx 12、 15+(―41)―15―(―0.25)13、)32(9449)81(-÷⨯÷- 14、 —48 × )1216136141(+--15、()⎥⎦⎤⎢⎣⎡⎪⎭⎫ ⎝⎛-+-⨯-85434216、(2m +2)×4m 217、(2x +y)2-(2x -y)218、(31xy)2·(-12x 2y 2)÷(-34x 3y)19、[(3x +2y)(3x -2y)-(x +2y)(3x -2y)]÷3x 20、先化简后求值m(m -3)-(m +3)(m -3),其中m =-4.1、)3()26()2()4()14(-+++-+-++2、)15()41()26()83(++-+++-3、)2.0(3.1)9.0()7.0()8.1(-++-+++-4、)326()434()313(41-+++-+4、)5()]7()4[(--+--5、2.104.87.52.4+-+-6、 8+(―41)―5―(―0.25) 7、18)12()10(1130+-+----8、)61(41)31()412(213+---+-- 9、)]18()21(26[13-+---10、2111)43(412--+---11、)25()7()4(-⨯-⨯-12、)34(8)53(-⨯⨯- 13、)1514348(43--⨯ 14、)8(45)201(-⨯⨯-15、53)8()92()4()52(8⨯-+-⨯---⨯16、)8(12)11(9-⨯-+⨯-17、)412()21()43(-÷-⨯-18、2411)25.0(6⨯-÷- 19.)21(31)32(-÷÷-20、)51(250-⨯÷-21、)3(4)2(817-⨯+-÷-22、1)101(250322-⨯÷+23、911)325.0(321÷-⨯-24、1)51(25032--⨯÷+25、])3(2[)]215.01(1[2--⨯⨯--26、)145()2(52825-⨯-÷+-27、6)3(5)3(42+-⨯--⨯28、)25.0(5)41(8----+29、)48()1214361(-⨯-+-30、31)321()1(⨯-÷-31、)199(41212+-÷⨯32、)16(94412)81(-÷+÷- 33、)]21541(43[21----34、)2(9449344-÷+÷-35、22)36()33(24)12581(÷-÷---⨯-36、3223121213+⎪⎭⎫ ⎝⎛--⎪⎭⎫ ⎝⎛-+ 37、 (-12)÷4×(-6)÷238、 )1279543(+--÷36139、 2)5()2(10-⨯-+40、 (7)(5)90-⨯--÷(15)-41、 721×143÷(-9+19)42、 ()1-⎪⎭⎫⎝⎛-÷213143 、25×43―(―25)×21+25×(-41)44、(-81)÷241+94÷(-16) 45、-4÷32-(-32)×(-30)46、(-0.4)÷0.02×(-5)47、47÷)6(3287-⨯- 48、48245834132⨯⎪⎭⎫⎝⎛+--49、|97|-÷2)4(31)5132(-⨯--50、―22+41×(-2)251、 -22 -〔-32 + (- 2)4 ÷23〕52、235(4)0.25(5)(4)8⎛⎫-⨯--⨯-⨯- ⎪⎝⎭53、 200423)1()2(161)1()21()21(-÷-⨯⎥⎦⎤⎢⎣⎡--÷--54、 100()()222---÷3)2(32-+⎪⎭⎫ ⎝⎛-÷ 55、322)43(6)12(7311-⨯⎥⎦⎤⎢⎣⎡÷-+--56、111117(113)(2)92844⨯-+⨯- 57、419932(4)(1416)41313⎡⎤--⨯-÷-⎢⎥⎣⎦58、)—()—)+(—(25.0433242÷⨯ 59、 75)21(212)75(75211⨯-+⨯--⨯60、11)()+(2532.015[3-÷⨯----]61、12(4)4⎡⎤-|-16|-⨯-⎢⎥⎣⎦÷⎥⎦⎤⎢⎣⎡--)813(4162、 2335(2)(10.8)114⎡⎤---+-⨯÷--⎢⎥⎣⎦63、111117(113)(2)92844⨯-+⨯-64、419932(4)(1416)41313⎡⎤--⨯-÷-⎢⎥⎣⎦65、33221121(5533)22⎡⎤⎛⎫⎛⎫--÷+⨯+⎢⎥ ⎪ ⎪⎝⎭⎝⎭⎢⎥⎣⎦66、2335(2)(10.8)114⎡⎤---+-⨯÷--⎢⎥⎣⎦67、(—315)÷(—16)÷(—2)68、 –4 + 2 ×(-3) –6÷0.2569、(—5)÷[1.85—(2—431)×7]70、 18÷{1-[0.4+ (1-0.4)]×0.4 71、1÷(61-31)×6172、 –3-[4-(4-3.5×31)]×[-2+(-3) ] 73、-42+5×(-4)2-(-1)51×(-61)+(-221)÷(-241) 74、20012002200336353⨯+⨯-75、()5.5-+()2.3-()5.2---4.876、21+()23-⎪⎭⎫⎝⎛-⨯2177、81)4(2833--÷-78、100()()222---÷⎪⎭⎫⎝⎛-÷32 79、(-2)14×(-3)15×(-61)14整式的加减计算训练1、222225533y y x y y x x +-++-- 2、()()22224354ab b a ab b a ---3、2(2ab +3a )-3(2a -ab )4、2a -[-4ab +(ab -2a )]-2ab5、3a 2-[5a -(21a -3)+2a 2]+4 6、(2x 2-3x 3-4x 4-1)+(1+5x 3-3x 2+4x 4); 7、3[34a -(32a -31)]-23a ; 8、(7m 2n -5mn )-(4m 2n -5mn ).9、2213[5(3)2]42a a a a ---++ 10、)1()21(1)31(61-+-+---x x x11、{}])([22y x ----- 12、2237(43)2x x x x ⎡⎤----⎣⎦;13、22225(3)2(7)a b ab a b ab ---.整式化简与求值训练1、)4(2)3(22x x x x +++-,其中2-=x2、)(3)(3)22(22222222y y x x y x y x +++--,其中1-=x ,2=y3、已知122-=x A ,223x B -=,求A B 2-的值。