七年级上学期数学计算题练习
- 格式:doc
- 大小:70.00 KB
- 文档页数:5
七年级上册100道计算题作为一名老师或家长,帮助七年级上册学生巩固数学计算能力是非常重要的。
为了帮助学生更好地掌握基础计算能力,我准备了一份包含100道计算题的练习题。
以下是具体的练习内容:一、加法计算1. 15 + 24 = _________2. 36 + 12 = _________3. 50 + 28 = _________4. 83 + 19 = _________5. 97 + 41 = _________6. 62 + 96 = _________7. 125 + 75 = _________8. 184 + 72 = _________9. 205 + 91 = _________10. 249 + 103 = _________二、减法计算11. 85 - 29 = _________12. 137 - 63 = _________13. 82 - 17 = _________15. 124 - 89 = _________16. 178 - 47 = _________17. 200 - 103 = _________18. 214 - 69 = _________19. 259 - 186 = _________20. 311 - 204 = _________三、乘法计算21. 6 × 9 = _________22. 8 × 7 = _________23. 9 × 5 = _________24. 12 × 4 = _________25. 7 × 9 = _________26. 6 × 13 = _________27. 11 × 8 = _________28. 9 × 15 = _________29. 14 × 12 = _________30. 16 × 11 = _________四、除法计算32. 72 ÷ 8 = _________33. 45 ÷ 9 = _________34. 81 ÷ 9 = _________35. 63 ÷ 7 = _________36. 72 ÷ 6 = _________37. 56 ÷ 8 = _________38. 99 ÷ 11 = _________39. 100 ÷ 10 = _________40. 168 ÷ 12 = _________五、混合运算41. 10 + 6 - 4 = _________42. 9 + 12 - 7 = _________43. 14 - 6 + 2 = _________44. 15 - 7 + 9 = _________45. 8 × 7 + 3 = _________46. 9 × 5 - 4 = _________47. 12 ÷ 6 + 3 = _________48. 8 ÷ 2 + 4 = _________50. 30 - 9 × 2 = _________六、括号计算51. (8 + 4) × 3 = _________52. 6 + (12 - 3) = _________53. (10 - 2) × 4 = _________54. 5 × (9 + 3) = _________55. (15 + 6) - 9 = _________56. 12 - (5 - 2) = _________57. 8 + 6 × (15 - 9) = _________58. (9 + 3) × 4 + 2 = _________59. 7 + 6 × (15 + 4) - 8 = _________60. (11 + 8) - (5 - 3) = _________七、带小数计算61. 1.5 + 0.8 = _________62. 2.7 - 1.3 = _________63. 3.6 × 0.4 = _________64. 4.2 ÷ 0.7 = _________65. 1.2 + 0.6 × 1.5 = _________67. 0.8 × (2.5 + 1.5) = _________68. 1.6 + 0.3 × (4.2 - 1.4) = _________69. 1.2 - 0.4 × (2.4 - 0.3) = _________70. (3.3 + 1.5) ÷ (1.1 - 0.3) = _________八、整数运算71. 12 × 3 ÷ 4 = _________72. 7 - 3 + 6 = _________73. 15 + 16 - 8 = _________74. 14 ÷ 7 × 6 = _________75. 24 - 12 + 9 = _________76. 18 + 14 - 11 = _________77. 40 ÷ 5 × 4 = _________78. 36 - 15 + 8 = _________79. 42 × 7 ÷ 6 = _________80. 32 ÷ 8 × 3 = _________九、分数计算81. 1/4 + 1/6 = _________82. 2/5 - 1/3 = _________83. 3/8 × 1/4 = _________84. 2/3 ÷ 3/5 = _________85. 1/2 + 3/4 - 1/8 = _________86. 3/5 - 1/2 + 1/10 = _________87. 2/3 × 3/4 + 1/5 = _________88. 1/4 ÷ 1/2 × 2/3 = _________89. 5/6 + 2/3 × 1/2 = _________90. 3/8 - 1/4 ÷ 1/2 = _________十、应用题91. 一箱苹果有32斤,小明买了4箱,他一共买了多少斤的苹果?92. 3个相同的书架一共有27本书,每个书架上有几本书?93. 若一根绳子长5/6米,若要将其等分为3段,每段长多少米?94. 李华去买东西,一共花了50元。
17.计算:(1) (-5)×2+20÷(-4) (2) -32-[-5+(10-0.6÷53)÷(-3)2] 18.解方程:(1) 7x -8=5x +4 (2) 16323221-⨯=+-b b b 19.先化简,后求值:2(x 2y +xy )-3(x 2y -xy )-4x 2y ,其中x =1,y =-120.若a 、b 互为相反数,c 、d 互为倒数,m 的绝对值是3,n 在有理数王国里既不是正数也不是负数,求)()()(201322012d c b a n cd m mb a ++++-++的值 17.(16分) 计算:(1)-17-(-23)+(-13)-(+23)(2)12)1216143(⨯--(3)220122013)2()41(4-÷⨯ (4)21(14---)2×35--÷(21-)3.18.计算(8分)(1)(2a -1)+2(1-a ); (2)3 (3x +2)- 2(3+x ).19.(6分) 解方程:(1)13)12(3-=-x x (2)231221=--+x x 20.(6分)先化简.再求值. -2(ab -a 2)-3ab -1+(6ab -2a 2),其中a =1,b =-1. 19. 15218()263⨯-+ 20. 2232)(--- 21. 431(1)(1)3(22)2-+-÷⨯- 22. 744-+-x x四.解下列方程(每题5分,共15分).23. 5x 3-= 24. 5476-=-x x 25.212132x x -+=+ 五.先化简,再求值(本题6分)26.222225(3)(3)2a b ab ab a b ab --++,其中21=a ,3b =. 19计算(1). 5)4()16(12--+-- (2). 2111941836⎛⎫⎛⎫--+÷- ⎪ ⎪⎝⎭⎝⎭(4).4211(10.5)2(3)3⎡⎤---⨯⨯--⎣⎦(1). )32(4)8(2222-+--+-xy y x y x xy 9221441254-⨯⎪⎭⎫ ⎝⎛-÷⨯--(2). 5ab 2-[a 2b +2(a 2b -3ab 2)]21(8分)先化简求值:()()2221234,,12x y xy x y xy x y x y +---==-其中 (1))16(2317-++- (2)18.0)25()5(124-+-⨯-÷-(1)x x x 24-+- (2))104(3)72(5b a b a ---(1))5(4)3(2+-=-x x (2)362143-=-+x x 24.(10分)已知关于x 的方程1312=--x ax 的解是4=x ,求代数式12--a a 的值. 17.化简:3(2x 2﹣y 2)﹣2(3y 2﹣2x 2)18.已知|a ﹣2|+(b ﹣3)2=0,求b a ﹣a b 的值.19.解方程:.20.已知三角形第一边长为2a+b ,第二边比第一边长a ﹣b ,第三边比第二边短a ,求这个三角形的周长.21.先化简,再求值:(﹣x 2+5x+4)+(5x ﹣4+2x 2),其中x=﹣2. (1)312 +(-12 )-(-13 )+223 (2)()()[]2421315.011--⨯⨯--- (3)2222735xy y x xy y x --+ (4)5(a 2b ﹣3ab 2)﹣2(a 2b ﹣7ab 2)(1) 1647=+--y y y (2)3332x x =- (1)3-(-6+32)÷(-1+4) (2)6-4×(-21)-〔(-2)3+(-9)÷(-31)〕 (1)(2xy-5x )-2(xy-3x) (2)a 3-3(1-a)+(1-a+a 2)-(1-a+a 2+a 3)18、(本小题5分)先化简,再求值。
数学计算题七年级上册一、有理数运算。
1. 计算:(-2)+3 - (-5)- 解析:- 首先去括号,根据去括号法则,−(−5)=5,所以原式变为-2 + 3+5。
- 然后按照从左到右的顺序计算,-2+3 = 1,1 + 5=6。
2. 计算:(-3)×(-4)÷(-2)- 解析:- 先计算乘法,根据有理数乘法法则,两数相乘,同号得正,异号得负,并把绝对值相乘,所以(-3)×(-4)=12。
- 再计算除法,12÷(-2)= - 6。
3. 计算:-2^2+(-3)^3÷(-1)^2023- 解析:- 先计算指数运算,根据幂的运算法则,−2^2=-4(这里要注意指数运算的优先级高于负号),(-3)^3=-27,(-1)^2023=-1。
- 然后计算除法,-27÷(-1)=27。
- 最后计算加法,-4 + 27 = 23。
4. 计算:<=ft((1)/(2)-(2)/(3)+(5)/(6))×(-18)- 解析:- 根据乘法分配律a(b + c)=ab+ac,这里a=-18,b=(1)/(2),c =-(2)/(3),d=(5)/(6)。
- 则原式=(1)/(2)×(-18)-(2)/(3)×(-18)+(5)/(6)×(-18)。
- 计算可得:-9+12 - 15=-12。
5. 计算:0.25×(-2)^3-<=ft[4÷<=ft(-(2)/(3))^2+1]- 解析:- 先计算指数运算,(-2)^3=-8,<=ft(-(2)/(3))^2=(4)/(9)。
- 然后计算乘法和除法,0.25×(-8)=-2,4÷(4)/(9)=4×(9)/(4)=9。
- 最后计算括号内的式子和减法,-(9 + 1)=-10,-2-10=-12。
二、整式的加减。
七年级数学计算题的强化训练一、有理数混合运算的运算顺序①从高级到低级:先算乘方,再算乘除,最后算加减; 1 )- 1 例 1:计算: 3+50÷ 22× ( 5 解: ②从内向外:如果有括号,就先算小括号里的,再算中括号里的, 最后算大括号里的 . 1 3 2 例 2:计算: 1 1 0.5 2 3 解: ③从左向右:同级运算,按照从左至右的顺序进行; 3 4 7 8 7 12 7 8 8 3 例 3:计算: 1 解: 2÷( - 1 ) 2 4 -(-1) 101+ (-2) 2× (-3) 2 例 2 计算: -0.25 解:二、掌握运算技巧(1)、归类组合:将不同类数( 如分母相同或易于通分的数将同类数( 如正数或负数) 归类计算。
) 分别组合;(2)、凑整:将相加可得整数的数凑整,将相加得零的数(如互为相反数)相消。
(3)、分解:将一个数分解成几个数和的形式乘的形式。
, 或分解为它的因数相(4)、约简:将互为倒数的数或有倍数关系的数约简。
(5)、倒序相加:利用运算律,改变运算顺序例3 计算:, 简化计算。
16 -32251 2 3-411-12 2(1) ÷(- 8×4)+2.5+(2 +3) ×2431115 321315321415(2)( -) ×( -) -×( -) +×( -)23x 21x33414(1) 1; ( 2) x (1 2x).2、解方程。
七年级上册计算题数学一、有理数运算。
1. 计算:(-3)+5 - (-2)- 解析:- 首先去括号,根据去括号法则,-(-2)=2。
- 则原式变为-3 + 5+2。
- 按照从左到右的顺序计算,-3+5 = 2,2 + 2=4。
2. 计算:-2×(-3)÷(1)/(2)- 解析:- 先计算乘法,-2×(-3)=6。
- 再计算除法,6÷(1)/(2)=6×2 = 12。
3. 计算:(-2)^3+(-3)×[(-4)^2 - 2]- 解析:- 先计算指数运算,(-2)^3=-8,(-4)^2 = 16。
- 则(-4)^2-2=16 - 2=14。
- 再计算乘法-3×14=-42。
- 最后计算加法-8+(-42)=-8-42=-50。
4. 计算:(1)/(2)-<=ft(-(1)/(3))+<=ft(-(1)/(4))- 解析:- 去括号得(1)/(2)+(1)/(3)-(1)/(4)。
- 通分,分母的最小公倍数是12,(1)/(2)=(6)/(12),(1)/(3)=(4)/(12),(1)/(4)=(3)/(12)。
- 则原式变为(6 + 4-3)/(12)=(7)/(12)。
5. 计算:-1^2023-(1 - 0.5)×(1)/(3)×[2 - (-3)^2]- 解析:- 先计算指数运算,1^2023=1,所以-1^2023=-1。
- 再计算括号内的式子,1-0.5 = 0.5=(1)/(2),(-3)^2 = 9,2-9=-7。
- 然后计算乘法(1)/(2)×(1)/(3)×(-7)=-(7)/(6)。
- 最后计算减法-1-<=ft(-(7)/(6))=-1+(7)/(6)=(1)/(6)。
二、整式的加减。
6. 化简:3a + 2b-5a - b- 解析:- 合并同类项,3a-5a=-2a,2b - b=b。
七年级上册数学计算题34道带答案1.为节约能源,某单位按以下规定收取每月电费:用电不超过140度,按每度0.43元收费;如果超过140度,超过部分按每度0.57元收费。
若墨用电户四月费的电费平均每度0.5元,问该用电户四月份应缴电费多少元?设总用电x度:[(x-140)*0.57+140*0.43]/x=0.50.57x-79.8+60.2=0.5x0.07x=19.6x=280再分步算:140*0.43=60.2(280-140)*0.57=79.879.8+60.2=1402.某大商场家电部送货人员与销售人员人数之比为1:8。
今年夏天由于家电购买量明显增多,家电部经理从销售人员中抽调了22人去送货。
结果送货人员与销售人数之比为2:5。
求这个商场家电部原来各有多少名送货人员和销售人员?设送货人员有X人,则销售人员为8X人。
(X+22)/(8X-22)=2/55*(X+22)=2*(8X-22)5X+110=16X-4411X=154X=148X=8*14=112这个商场家电部原来有14名送货人员,112名销售人员3.现对某商品降价10%促销,为了使销售金额不变,销售量要比按原价销售时增加百分之几?设:增加x%90%*(1+x%)=1解得:x=1/9所以,销售量要比按原价销售时增加11.11%4.甲.乙两种商品的原单价和为100元,因市场变化,甲商品降10%,乙商品提价5%调价后两商品的单价和比原单价和提高2%,甲.乙两商品原单价各是多少/设甲商品原单价为X元,那么乙为100-X(1-10%)X+(1+5%)(100-X)=100(1+2%)结果X=20元甲100-20=80 乙5.甲车间人数比乙车间人数的4/5少30人,如果从乙车间调10人到甲车间去,那么甲车间的人数就是乙车间的3/4。
求原来每个车间的人数。
设乙车间有X人,根据总人数相等,列出方程:X+4/5X-30=X-10+3/4(X-10)X=250所以甲车间人数为250*4/5-30=170.6.甲骑自行车从A地到B地,乙骑自行车从B地到A地,两人都均速前进,以知两人在上午8时同时出发,到上午10时,两人还相距36千米,到中午12时,两人又相距36千米,求A.B两地间的路程?(列方程)设A,B两地路程为Xx-(x/4)=x-72x=288答:A,B两地路程为2887.甲、乙两车长度均为180米,若两列车相对行驶,从车头相遇到车尾离开共12秒;若同向行驶,从甲车头遇到乙车尾,到甲车尾超过乙车头需60秒,车的速度不变,求甲、乙两车的速度。
七年级上册数学计算题大全第一章:整数运算1. 计算并写出结果:a) 26 + (-17)b) (-35) - (-12)c) 14 - (-5)d) 45 + 18 - (-21)e) (-54) - 18 + 292. 在数轴上表示下列数,并判断它们的大小关系:a) -9, -5, 0, 4, 7b) -12, 2, -6, -10, 03. 对下列加法算式进行变形,并计算答案:a) (-12) + (-5) + (-19) + (-3)b) 17 + 42 + 6 + (-29)4. 一架飞机的高度为6000米,它依次上升1000米,下降1200米,再上升800米,最后下降1000米。
求飞机结束时的高度。
第二章:有理数的加法和减法1. 计算并写出结果:a) (-15) + 20b) (-48) + (-32)c) 62 + (-37)d) (-50) - 18e) 75 - (-20)f) (-42) + (-13) - (-9) + (-5)2. 将运算式化简:a) 5 + 6 - (3 - 2)b) 4 - (5 - 6) + 9c) (-7) + 8 - (-6) - 10d) 12 - 4 + (-8) + (-9)3. 某商品原价100元,现在打8折,请计算打折后的价格是多少。
4. 小明在一家商店买了一支笔,原价10元,现在打了5折。
小明买了2支笔,请计算他一共付了多少钱。
第三章:有理数的乘法和除法1. 计算并写出结果:a) (-3) × (-7)b) (-5) × 0c) 15 ÷ (-3)d) (-30) ÷ 5e) (-24) ÷ (-8)2. 计算并化简结果:a) 3 + (-4) × 5b) 10 - (-3) × 2 + 6c) (-5) × (-7) + (-3) × 4d) (-20) ÷ (-5) - 33. 小明的体重是60kg,他减去1/4的体重后的体重是多少?4. 某商场举行打折活动,某商品原价为200元,现在打85折,请计算打折后的价格是多少。
七年级上册数学整式加减计算题一、整式加减基础运算题(1 - 10)1. 计算:(3a + 2b)-(a - b)- 解析:- 去括号法则:括号前是正号,把括号和它前面的正号去掉后,原括号里各项的符号都不改变;括号前是负号,把括号和它前面的负号去掉后,原括号里各项的符号都要改变。
- 所以(3a + 2b)-(a - b)=3a + 2b - a + b。
- 然后合并同类项,3a - a+2b + b = 2a+3b。
2. 计算:2(x^2-3x + 1)-3(2x^2+x - 4)- 解析:- 先使用乘法分配律去括号,2(x^2-3x + 1)=2x^2-6x + 2,3(2x^2+x -4)=6x^2+3x - 12。
- 然后进行整式的减法:(2x^2-6x + 2)-(6x^2+3x - 12)=2x^2-6x + 2 - 6x^2-3x + 12。
- 合并同类项得(2x^2-6x^2)+(-6x - 3x)+(2 + 12)= - 4x^2-9x + 14。
3. 计算:(5a^2-3b^2)+(a^2+b^2)-(5a^2+3b^2)- 解析:- 先去括号,(5a^2-3b^2)+(a^2+b^2)-(5a^2+3b^2) = 5a^2-3b^2+a^2+b^2-5a^2-3b^2。
- 再合并同类项,(5a^2+a^2-5a^2)+(-3b^2+b^2-3b^2)=a^2-5b^2。
4. 计算:3x^2y-(2xy - 2(xy-(3)/(2)x^2y)+xy)- 解析:- 先去小括号,3x^2y-(2xy - 2(xy-(3)/(2)x^2y)+xy)=3x^2y-(2xy-2xy +3x^2y+xy)。
- 再去中括号,3x^2y - 2xy + 2xy - 3x^2y - xy=-xy。
5. 计算:(4m^3-2m^2+m - 1)-(2m^3+3m^2-m + 2)- 解析:- 去括号得4m^3-2m^2+m - 1 - 2m^3-3m^2+m - 2。
七年级上册数学计算题专练一、有理数运算类。
1. 计算:(-3)+5 - (-2)- 解析:- 根据有理数加减法法则,减去一个数等于加上这个数的相反数。
- 所以(-3)+5 - (-2)=(-3)+5 + 2。
- 先计算(-3)+5 = 2,再计算2+2 = 4。
2. 计算:-2×(-3)÷(1)/(2)- 解析:- 根据有理数乘除法法则,先算乘法-2×(-3)=6。
- 再算除法6÷(1)/(2)=6×2 = 12。
3. 计算:(-2)^3+(-3)×[(-4)^2 - 2]- 解析:- 先计算指数运算,(-2)^3=-8,(-4)^2 = 16。
- 然后计算括号内的式子(-4)^2-2 = 16 - 2=14。
- 接着计算乘法-3×14=-42。
- 最后计算加法-8+(-42)=-8 - 42=-50。
二、整式加减类。
4. 化简:3a + 2b-5a - b- 解析:- 合并同类项,对于a的同类项3a-5a=(3 - 5)a=-2a。
- 对于b的同类项2b - b=(2 - 1)b = b。
- 所以化简结果为-2a + b。
5. 计算:(2x^2 - 3x + 1)-(3x^2 - 5x - 2)- 解析:- 去括号,得到2x^2-3x + 1-3x^2 + 5x+2。
- 合并同类项,2x^2-3x^2=(2 - 3)x^2=-x^2,-3x+5x=( - 3+5)x = 2x,1 + 2=3。
- 所以结果为-x^2+2x + 3。
三、一元一次方程类。
6. 解方程:2x+3 = 5x - 1- 解析:- 移项,将含x的项移到一边,常数项移到另一边,得到2x-5x=-1 - 3。
- 合并同类项-3x=-4。
- 系数化为1,x=(4)/(3)。
7. 解方程:(x+1)/(2)-(2x - 1)/(3)=1- 解析:- 先去分母,等式两边同时乘以6,得到3(x + 1)-2(2x - 1)=6。
七年级上册数学计算题专项训练题目 1。
计算:(-5) + 8解析:异号两数相加,取绝对值较大的符号,并用较大的绝对值减去较小的绝对值。
-5 = 5,8 = 8,8 > 5,所以结果为正,8 - 5 = 3。
答案:3题目 2。
计算:(-3) - (-5)解析:减去一个数,等于加上这个数的相反数。
-(-5) = 5,所以(-3) - (-5) = -3 + 5 = 2答案:2题目 3。
计算:(-2)×(-3)解析:两数相乘,同号得正,异号得负,并把绝对值相乘。
所以(-2)×(-3) = 6答案:6题目 4。
计算:12÷(-4)解析:两数相除,同号得正,异号得负,并把绝对值相除。
所以12÷(-4) = -3答案:-3题目 5。
计算:-10 + 6解析:异号两数相加,取绝对值较大的符号,并用较大的绝对值减去较小的绝对值。
-10 = 10,6 = 6,10 > 6,所以结果为负,10 - 6 = 4,结果为-4。
答案:-4题目 6。
计算:(-7)×4解析:两数相乘,异号得负,并把绝对值相乘。
所以(-7)×4 = -28答案:-28题目 7。
计算:-18÷(-6)解析:两数相除,同号得正,并把绝对值相除。
所以-18÷(-6) = 3答案:3题目 8。
计算:(-5)×(-8)解析:两数相乘,同号得正,并把绝对值相乘。
所以(-5)×(-8) = 40答案:40题目 9。
计算:25÷(-5)解析:两数相除,异号得负,并把绝对值相除。
所以25÷(-5) = -5答案:-5计算:(-12) + (-3)解析:同号两数相加,取相同的符号,并把绝对值相加。
所以(-12) + (-3) = -15答案:-15题目 11。
计算:0 - (-9)解析:减去一个数,等于加上这个数的相反数。
-(-9) = 9,所以0 - (-9) = 0 + 9 = 9答案:9题目 12。
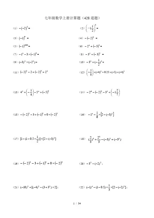
七年级数学上册计算题(428道题)(1)()22--= (2)3112⎛⎫⎪⎝⎭-=(3)()91- = (4)()42-- =(5)()20031-= (6)()2332-+-=(7)()33131-⨯--= (8)()2233-÷- =(9))2()3(32-⨯-= (10)22)21(3-÷-=(11)()()3322222+-+-- (12)235(4)0.25(5)(4)8⎛⎫-⨯--⨯-⨯- ⎪⎝⎭(13)()34255414-÷-⎪⎭⎫ ⎝⎛-÷ (14)()⎪⎭⎫ ⎝⎛-÷----721322246(15)()()()33220132-⨯+-÷--- (16) []24)3(2611--⨯--(17)])3(2[)]215.01(1[2--⨯⨯-- (18)(19)()()()33220132-⨯+-÷--- (20)22)2(3---;(21)]2)33()4[()10(222⨯+--+-; (22)])2(2[31)5.01()1(24--⨯⨯---;332222()(3)(3)33÷--+-(23)94)211(42415.0322⨯-----+-; (24)20022003)2()2(-+-;(25))2()3(]2)4[(3)2(223-÷--+-⨯--; (26)200420094)25.0(⨯-.(27)()0252423132.⨯--÷-⎛⎝ ⎫⎭⎪+⎡⎣⎢⎢⎤⎦⎥⎥ (28)()()----⨯-221410222(29)()()()-⨯÷-+-⎛⎝ ⎫⎭⎪⨯-÷-3120313312232325.. (30)()()()-⎛⎝ ⎫⎭⎪⨯-⨯-⨯-212052832.(31) (32)(56)(79)---(33)(3)(9)(8)(5)-⨯---⨯- (34)3515()26÷-+(35)5231591736342--+- (36)()()22431)4(2-+-⨯---(37)411)8()54()4()125.0(25⨯-⨯-⨯-⨯-⨯33182(4)8-÷--(38)如果0)2(12=-++b a ,求20112010()-3ab a b a a ++-()的值(39)已知|1|a +与|4|b -互为相反数,求b a 的值。
初一數學上冊計算題(400道題)(1)()22--= (2)3112⎛⎫⎪⎝⎭-=(3)()91- = (4)()42-- =(5)()20031-= (6)()2332-+-=(7)()33131-⨯--= (8)()2233-÷- =(9))2()3(32-⨯-= (10)22)21(3-÷-=(11)()()3322222+-+-- (12)235(4)0.25(5)(4)8⎛⎫-⨯--⨯-⨯- ⎪⎝⎭(13)()34255414-÷-⎪⎭⎫ ⎝⎛-÷ (14)()⎪⎭⎫ ⎝⎛-÷----721322246(15)()()()33220132-⨯+-÷--- (16) []24)3(2611--⨯--(17)])3(2[)]215.01(1[2--⨯⨯-- (18) (19)()()()33220132-⨯+-÷--- (20)22)2(3---;(21)]2)33()4[()10(222⨯+--+-; (22)])2(2[31)5.01()1(24--⨯⨯---; 332222()(3)(3)33÷--+-(23)94)211(42415.0322⨯-----+-; (24)20022003)2()2(-+-;(25))2()3(]2)4[(3)2(223-÷--+-⨯--; (26)200420094)25.0(⨯-.(27)()0252423132.⨯--÷-⎛⎝ ⎫⎭⎪+⎡⎣⎢⎢⎤⎦⎥⎥ (28)()()----⨯-221410222(29)()()()-⨯÷-+-⎛⎝ ⎫⎭⎪⨯-÷-3120313312232325.. (30)()()()-⎛⎝ ⎫⎭⎪⨯-⨯-⨯-212052832.(31) (32)(56)(79)---(33)(3)(9)(8)(5)-⨯---⨯- (34)3515()26÷-+(35)5231591736342--+- (36)(37)411)8()54()4()125.0(25⨯-⨯-⨯-⨯-⨯ ()()22431)4(2-+-⨯---33182(4)8-÷--(38)如果0)2(12=-++b a ,求20112010()-3ab a b a a ++-()の值(39)已知|1|a +與|4|b -互為相反數,求b a の值。
七年级上册数学有理数计算题1. 计算:(-5) + 8解析:异号两数相加,取绝对值较大的符号,并用较大的绝对值减去较小的绝对值。
(-5) + 8=8 - 5 =32. 计算:12 + (-7)解析:异号两数相加,取绝对值较大的符号,并用较大的绝对值减去较小的绝对值。
12 + (-7)=12 - 7 =53. 计算:(-9) + 9解析:互为相反数的两个数相加得 0。
(-9) + 9 = 04. 计算:(-13) + (-18)解析:同号两数相加,取相同的符号,并把绝对值相加。
(-13) + (-18)=-(13 + 18) =-315. 计算:25 + (-35)解析:异号两数相加,取绝对值较大的符号,并用较大的绝对值减去较小的绝对值。
25 + (-35)=-(35 - 25) =-106. 计算:(-4.7) + 3.9解析:异号两数相加,取绝对值较大的符号,并用较大的绝对值减去较小的绝对值。
(-4.7) + 3.9=-(4.7 - 3.9) =-0.87. 计算:(-1.25) + (-3.75)解析:同号两数相加,取相同的符号,并把绝对值相加。
(-1.25) + (-3.75)=-(1.25 + 3.75) =-58. 计算:18 - 21解析:减去一个数,等于加上这个数的相反数。
18 - 21=18 + (-21) =-(21 - 18) =-39. 计算:(-15) - (-8)解析:减去一个数,等于加上这个数的相反数。
(-15) - (-8)=(-15) + 8 =-(15 - 8) =-710. 计算:0 - (-6)解析:减去一个数,等于加上这个数的相反数。
0 - (-6)=0 + 6 =611. 计算:(-25) × 3解析:两数相乘,同号得正,异号得负,并把绝对值相乘。
(-25) × 3 = -7512. 计算:(-12) × (-5)解析:两数相乘,同号得正,异号得负,并把绝对值相乘。
七年级数学上册计算题一、有理数加法1.计算:(-8)+5。
-解析:异号两数相加,取绝对值较大的符号,并用较大的绝对值减去较小的绝对值。
|-8|>|5|,所以取负号,8 - 5 = 3,结果为-3。
2.计算:3+(-7)。
-解析:异号两数相加,取绝对值较大的符号,并用较大的绝对值减去较小的绝对值。
|-7|>|3|,所以取负号,7 - 3 = 4,结果为-4。
二、有理数减法3.计算:6 - (-4)。
-解析:减去一个数等于加上这个数的相反数。
6 - (-4)=6 + 4 = 10。
4.计算:(-9) - 2。
-解析:直接相减,(-9) - 2 = -11。
三、有理数乘法5.计算:(-4)×3。
-解析:两数相乘,异号得负。
(-4)×3 = -12。
6.计算:5×(-2)。
-解析:两数相乘,异号得负。
5×(-2) = -10。
四、有理数除法7.计算:(-15)÷(-3)。
-解析:两数相除,同号得正。
(-15)÷(-3)=5。
8.计算:12÷(-4)。
-解析:两数相除,异号得负。
12÷(-4)= -3。
五、有理数混合运算9.计算:(-2)×4 - 3÷(-1)。
-解析:先算乘法和除法,(-2)×4 = -8,3÷(-1)= -3,再算减法,-8 - (-3)= -8 + 3 = -5。
10.计算:3×(-2)+4÷2。
-解析:先算乘法和除法,3×(-2)= -6,4÷2 = 2,再算加法,-6 + 2 = -4。
六、整式的加减11.化简:4x + 3x。
-解析:同类项相加,字母和指数不变,系数相加。
4x + 3x = 7x。
12.化简:6y - 4y + 3y。
-解析:6y - 4y = 2y,2y + 3y = 5y。
13.化简:2a - 3a + 5a。
17.计算:(1) (-5)×2+20÷(-4) (2) -32-[-5+(10-0.6÷53
)÷(-3)2]
18.解方程:(1) 7x -8=5x +4 (2) 1632
3221-⨯=+-b b b
19.先化简,后求值:2(x2y +xy)-3(x2y -xy)-4x2y ,其中x =1,y =-1
20.若a 、b 互为相反数,c 、d 互为倒数,m 的绝对值是3,n 在有理数王国里既不是正数也不是负数,求
)()()(
201322012
d c b a n cd m m b a ++++-++的值
17.(16分) 计算:(1)-17-(-23)+(-13)-(+23)
(2) 12
)1216143(⨯--(3)220122013)2()41(4-÷⨯
(4)21(14-
--)2×35--÷(21
-
)3.
18.计算(8分)(1)(2a-1)+2(1-a);(2)3 (3x+2)-2(3+x).
19.(6分) 解方程:(1)
1
3
)1
2(3-
=
-x
x(2)
2
3
1
2
2
1
=
-
-
+x
x
20.(6分)先化简.再求值.-2(ab-a2)-3ab-1+(6ab-2a2),其中a=1,b=-1.
19.
152
18()
263
⨯-+
20. 2
23
2)
(-
-
-
21.
43
1
(1)(1)3(22)
2
-+-÷⨯-
22. 7
4
4-
+
-x
x
四.解下列方程(每题5分,共15分).
23. 5x 3-=
24. 5476-=-x x 25. 212
1
32x x -+=+
五.先化简,再求值(本题6分)
26.2
2
2
2
2
5(3)(3)2a b ab ab a b ab --++,其中21
=
a ,3
b =.
19计算(1). 5)4()16(12--+--
(2). 2111941836⎛⎫⎛⎫--+÷- ⎪ ⎪⎝⎭⎝⎭
(4).42
11(10.5)2(3)3⎡⎤---⨯⨯--⎣⎦
9
2214412
54-⨯⎪⎭⎫ ⎝⎛-÷⨯--
(1).
)32(4)8(2222-+--+-xy y x y x xy
(2). 5ab2-[a2b +2(a2b -3ab2)]
()()2221
234,,1
2x y xy x y xy x y x y +---==-其中
21(8分)先化简求值:
(1))16(2317-++- (2)1
8.0)25
()5(124-+-⨯-÷-
(1)x x x 24-+- (2))104(3)72(5b a b a ---
(1))5(4)3(2+-=-x x (2)36
214
3-=
-+x x 24.(10分)已知关于x 的方程131
2=--x ax 的解是4=x ,求代数式12
--a a 的值.
17.化简:3(2x2﹣y2)﹣2(3y2﹣2x2)18.已知|a ﹣2|+(b ﹣3)2=0,求ba ﹣ab 的值.
19.解方程:.
20.已知三角形第一边长为2a+b ,第二边比第一边长a ﹣b ,第三边比第二边短a ,求这个三角形的周长.
21.先化简,再求值:(﹣x2+5x+4)+(5x ﹣4+2x2),其中x=﹣2.
(1)312 +(-12 )-(-13 )+22
3
(2)
()()[]
2
421315.011--⨯⨯
---
(3)2
222735xy y x xy y x --+ (4)5(a2b ﹣3ab2)﹣2(a2b ﹣7ab2)
(1) 1647=+--y y y (2)333
2x
x =
- (1)3-(-6+32)÷(-1+4) (2)6-4×(-21)-〔(-2)3+(-9)÷(-31
)〕
(1)(2xy-5x )-2(xy-3x) (2)a3-3(1-a)+(1-a+a2)-(1-a+a2+a3)
18、(本小题5分)先化简,再求值。
(6x2+4xy)-2(3x2+xy-21
y2)其中x=2,y=-3.。