高中数学必修四平面向量测试题及答案
- 格式:doc
- 大小:268.50 KB
- 文档页数:7
必修4 第二章平面向量检测参考答案一、选择题:1C、2C、3A、4C、5D、6B、7C、8B、9D、10A、11C、12C、二. 填空题6 5 3 5 6 5 3 513 (1,3).14 28 15 (,)或(,)5 5 5 516 (5,3)17 2 35三. 解答题:18、(1)∵AB =(0-1,1-0)=(-1,1),AC =(2-1,5-0)=(1,5).∴ 2 AB +AC =2(-1,1)+(1,5)=(-1,7)∴|2 AB +AC | = 2 7 2( 1) =50 .(2)∵| AB| =( 1)2 12 = 2 .| AC | =12 52 =26,AB·AC =(-1)×1+1×5=4.∴cos =AB AC| AB | | AC | =42=2 261313.(3)设所求向量为m =(x,y),则x2+y2=1.①又BC =(2-0,5-1)=(2,4),由BC⊥m ,得2 x +4 y =0.②2 5 2 5x x-5 5 由①、②,得或∴(5 55 5y.y.255,-52)或(-555,55)即为所求.19.由题设, 设b= , 则由, 得. ∴,解得sin α=1 或当sin α=1 时,cosα=0;当时,。
故所求的向量或。
2 b ka t b20.解:(1), 0. [( 3) ] ( ) 0.x y x y 即 a t2 22a b 0,a 4,b 1,4k t(t 3) 0,即k 142t(t 3).(2)由f(t)>0, 得1 2t(t 3) 0,即t(t 3) (t 3)0,则 3 t 0或4t 3.必修4 第二章平面向量检测参考答案一、选择题:1C、2C、3A、4C、5D、6B、7C、8B、9D、10A、11C、12C、二. 填空题6 5 3 5 6 5 3 513 (1,3).14 28 15 (,)或(,)5 5 5 516 (5,3)17 2 35三. 解答题:18、(1)∵AB =(0-1,1-0)=(-1,1),AC =(2-1,5-0)=(1,5).∴ 2 AB +AC =2(-1,1)+(1,5)=(-1,7)∴|2 AB +AC | = 2 7 2( 1) =50 .(2)∵| AB| =( 1)2 12 = 2 .| AC | =12 52 =26,AB·AC =(-1)×1+1×5=4.∴cos =AB AC| AB | | AC | =42=2 261313.(3)设所求向量为m =(x,y),则x2+y2=1.①又BC =(2-0,5-1)=(2,4),由BC⊥m ,得2 x +4 y =0.②2 5 2 5x x-5 5 由①、②,得或∴(5 55 5y.y.255,-52)或(-555,55)即为所求.19.由题设, 设b= , 则由, 得. ∴,解得sin α=1 或当sin α=1 时,cosα=0;当时,。
平面向量练习题一、选择题1、若向量a= (1,1), b= (1,-1), c =(-1,2),则 c等于( )A 、21 a +23bB 、21a 23 bC 、23a 21 bD 、23 a + 21b2、已知,A (2,3),B (-4,5),则与AB 共线的单位向量是( )A 、)1010,10103(e B 、)1010,10103()1010,10103(或e C 、)2,6( eD 、)2,6()2,6(或 e3、已知b a b a k b a 3),2,3(),2,1( 与垂直时k 值为 ( )A 、17B 、18C 、19D 、204、已知向量OP =(2,1),OA =(1,7),OB =(5,1),设X 是直线OP 上的一点(O 为坐标原点),那么XB XA 的最小值是 ( )A 、-16B 、-8C 、0D 、45、若向量)1,2(),2,1( n m 分别是直线ax+(b -a)y -a=0和ax+4by+b=0的方向向量,则 a, b 的值分别可以是 ( )A 、 -1 ,2B 、 -2 ,1C 、 1 ,2D 、 2,1 6、若向量a =(cos ,sin ),b =(cos,sin),则a 与b 一定满足 ( )A 、a 与b 的夹角等于 -B 、(a +b )⊥(a -b )C 、a ∥bD 、a ⊥b7、设j i ,分别是x 轴,y 轴正方向上的单位向量,j i OP sin 3cos 3 ,i OQ ),2,0(。
若用来表示OP与OQ 的夹角,则等于 ( ) A 、B 、2C 、2D 、8、设 20 ,已知两个向量 sin ,cos 1 OP , cos 2,sin 22 OP ,则向量21P P 长度的最大值是( ) A 、2B 、3C 、23D 、二、填空题9、已知点A(2,0),B(4,0),动点P 在抛物线y 2=-4x 运动,则使BP AP 取得最小值的点P 的坐标是 、10、把函数sin y x x的图象,按向量 ,a m n v(m>0)平移后所得的图象关于y 轴对称,则m 的最小正值为__________________、11、已知向量 m m 则若,),,3(),2,1( 、 三、解答题12、求点A (-3,5)关于点P (-1,2)的对称点/A 、13、平面直角坐标系有点].4,4[),1,(cos ),cos ,1(x x Q x P (1)求向量和的夹角 的余弦用x 表示的函数)(x f ; (2)求 的最值、14、设,)2cos ,sin 2(x x ,x ,)1cos ( 其中x ∈[0,2]、 (1)求f(x)=·的最大值和最小值; (2)当 OA u u u r ⊥OB uuu r ,求|AB u u u r|、15、已知定点)1,0(A 、)1,0( B 、)0,1(C ,动点P 满足:2||PC k BP AP 、(1)求动点P 的轨迹方程,并说明方程表示的图形; (2)当2 k 时,求||BP AP 的最大值和最小值、参考答案一、选择题1、B ;2、B ;3、C ;4、B ;5、D ;6、B ;7、D ;8、C 二、填空题9、(0,0) 10、56m 11、4 三、解答题12、解:设/A (x,y),则有312522xy ,解得11x y 、所以/A (1,-1)。
必修4第二章平面向量单元测试班级 座位号 姓名 分数一、选择题:本大题共有10小题,每小题5分,共50分. 题号 1 2 3 4 5 6 7 8 9 10 答案一、选择题(每题5分,共50分)1.若向量a =(1,1),b =(2,5),c =(3,x ),满足条件(8a -b )·c =30,则x =( )A.6B.5C.4D.3 2.已知两个力1F 、2F 的夹角为90°,它们的合力F 的大小为10 N ,合力F 与1F 的夹角为60°,则1F 的大小为( )A.35 NB.5 NC.10ND.25 N 3.下列命题:①两个向量相等,则它们的起点相同,终点相同;②若不平行的两个非零向量b a ,,满足||||b a =,则0)()(=-⋅+b a b a ; ③若|a|=|b|,则a =b 或a =-b ; ④若a ∥b ,b ∥c ,则a ∥c ;⑤若非零向量a ,b 满足||a +b =||a -b ,则a ⊥b ; ⑥对于任意向量a ,b ,有|a +b|≥|a -b|; 其中正确的个数是( ) A .2B .3C .4D .54.若平面向量b 与向量)2,1(-=a 的夹角是o 180,且53||=b ,则=b ( )A )6,3(-B )6,3(-C )3,6(-D )3,6(-5.设点(2,0)A ,(4,2)B ,若点P 在直线AB 上,且AB =2AP ,则点P 的坐标为( )A (3,1)B (1,1)-C (3,1)或(1,1)- D 无数多个6.已知向量03≠=b a ,且关于x 的方程03222=⋅++b a a x x 有实根,则a 与b 夹角的取值范围是( )A.⎥⎦⎤⎢⎣⎡6π,0B. ⎥⎦⎤⎢⎣⎡π,3πC. ⎥⎦⎤⎢⎣⎡32π,3π D. ⎥⎦⎤⎢⎣⎡π,6π 7.已知平面向量a =(1,-3),b =(4,-2),b a +λ与b 垂直,则λ等于( )A.-1B.1C.-2D.2 8.向量(2,3)a =,(1,2)b =-,若ma b +与2a b -平行,则m 等于A 2-B 2 C.21 D 12-9.已知O 为原点,点A 、B 的坐标分别为A (a ,0)、B (0,a ),其中常数a >0,点P 在线段AB 上,且有AB t AP = (0≤t ≤1),则OP OA ⋅的最大值为( )A.aB.2aC.3aD.2a10.在△ABC 中,D 是BC 的中点,AB=4,AC=3,则=⋅BC AD ( ) A 7- B 2 C 27-D 72二、填空题(每题5分,共20分)11.已知a =(2,3),b =(-4,7),则b 在a 方向上的投影为 . 12.已知向量(1,2)a →=,(2,3)b →=-,(4,1)c →=,若用→a 和→b 表示→c ,则→c =13.若||1,||2,a b c a b ===+,且c a ⊥,则向量a 与b 的夹角为14.已知)1,2(=a 与)2,1(=b ,要使b t a +最小,则实数t 的值为___________三、解答题(每题15分,共30分) 15.已知(1,2)a =,)2,3(-=b ,当k 为何值时, (1)ka b +与3a b -垂直?(2)ka +b 与3a -b 平行?平行时它们是同向还是反向?16.如图2,在平行四边形ABCD , CD CF CB CE AD AB 32,31,====b a ,. (1)用a ,b 表示EF ;(2)若4,1==b a ,∠DAB =60°,分别求EF 和FE AC ⋅的值.图2参考答案及点拨一、1.C 点拨:()()()30318,33,68=+=⋅=⋅-x x c b a , ∴x =4.故选C. 2.B 点拨:1F =⋅F cos60°=5 N. 3.A4. A 设(,2),0b ka k k k ==-<,而53||=b ,则2535,3,(3,6)k k b ==-=-5.C 设(,)P x y ,由AB =2AP得2AB AP =,或2AB AP =-,(2,2),(2,)AB AP x y ==-,即(2,2)2(2,),3,1,x y x y =-==(3,1)P ;(2,2)2(2,),1,1,x y x y =--==-(1,1)P -6.B 点拨:设a ,b 的夹角为θ,∵关于x 的方程03222=⋅++b a a x x 有实根,∴∆=b a a ⋅-2442≥0,即b a a ⋅≥62.∴θcos 62b a a ⋅≥,又∵03≠=b a .∴21cos ≤θ,∵π≤≤θ0,∴ππ≤≤θ3. 7.C 点拨:()23,4--+=+λλλb a , ∵b a +λ与b 垂直,∴()()()()020********,423,4=+=---+=-⋅--+λλλλλ, ∴2-=λ.8.D (2,3)(1,2)(21,32)ma b m m m m +=+-=-+2(2,3)(2,4)(4,1)a b -=--=-,则121128,2m m m -+=+=-9.D 点拨: ∵AB t AP =,∴ ()()OB t OA t OA OB t OA AP OA OP +-=-+=+=1(),,at at a -=∴()t a OP OA -=⋅12,∵10≤≤t ,∴2a OP OA ≤⋅.10.c二、9.13 点拨: b 在a 方向上的投影为a b a ⋅=1313=13. 10. →→-b a 2 设c x a y b →=+,则(,2)(2,3)(2,23)x x y y x y x y +-=-+= 24,231,2,x y x y x y -=+===- 11.0120 221()0,0,cos 2a b a a b a a a b a ba bθ-+=+====-,或画图来做12.45-22222()2585a t b a t b a t a bt b t t +=+=++=++,当45t =-时即可三、13.解:(1,2)(3,2)(3,22)ka b k k k +=+-=-+3(1,2)3(3,2)(10,4)a b -=--=-(1)()ka b +⊥(3)a b -,得()ka b +(3)10(3)4(22)2380,19a b k k k k -=--+=-== (2)()//ka b +(3)a b -,得14(3)10(22),3k k k --=+=- 此时1041(,)(10,4)333ka b +=-=--,所以方向相反 14.答图2分析:(1)利用向量的三角形法则和向量相等及其运算即可得出; (2)利用数量积运算法则和性质即可得出. 解:(1)如答图2所示,.313231323132b a +-=+-=-=-=AD AB CB CD CE CF EF(2) ∵,60,4,1︒=∠==DAB b a ∴.260cos =︒⋅⋅=⋅b a b a∴3329194943132222=+⋅-=⎪⎭⎫⎝⎛+-=b b a a b a EF . 易知b a +=+=AD AB AC ,∴()43163232313132313222-=-+=-⋅+=⎪⎭⎫ ⎝⎛-⋅+=⋅b b a a b a b a FE AC .。
高中数学必修四平面向量测试题一、选择题: (本大题共10小题,每小题4分,共40分.在每小题给出的四个选项中,只有一项是符合题目要求的.)1.设点P(3,-6),Q(-5,2),R的纵坐标为-9,且P、Q、R三点共线,则R点的横坐标为()。
A、-9B、-6C、9D、6bb上的投影为()。
=(-4,7),则 2.已知 =(2,3), 在 D、、B、 CA、 =(-1按向量,-1),B(3,5,将向量)平移后得 3.设点A(1,2)。
向量)为(A、(2,3) B、(1,2) C、(3,4) D、(4,7)4.若(a+b+c)(b+c-a)=3bc,且sinA=sinBcosC,那么ΔABC是()。
A、直角三角形B、等边三角形C、等腰三角形D、等腰直角三角形bbb|等于()。
的夹角为60°,则5.已知| |=4, | | |=3, 与+D C、、 A、 B、所成的比为2,则()。
、已知OA、B为平面上三点,点C分有向线段 6.B、 A、、DC、 ABC所在平面上一点,且满足条件.O是Δ,7则点O是ΔABC的()。
A、重心B、垂心C、内心D、外心b均为平面内任意非零向量且互不共线,则下列4、个命题:、 8.设22222bbbbbb)+-|| =( (3)| (1)( ·)= · +(2)| +|≥|bb a不一定垂直。
其中真命题的个数是(-() ))。
与(4)(4、 D 3 、 C 2 、 B 1 、A.等中,A=60°,b=1,,则 9.在ΔABC 。
于() D、A、、B C、2bb=0的解的情况是(、不共线,则关于x的方程) x+。
x+ 10.设A、至少有一个实数解 B、至多只有一个实数解 D、可能有无数个实数解、至多有两个实数解 C.).分,满分16分二、填空题:(本大题共4小题,每小题4CAAB 22=_________AC=ABC中,斜边,则11.在等腰直角三角形ACABAD babABCDEFa为.已知则用为正六边形,______.且,=表示=,,12速度为的小船要从河的一边驶向,.有一两岸平行的河流,水速为113对岸,为使所行路程最短,小船应朝________方向行驶。
《平面向量》综合测试题班级___________姓名____________学号____________得分____________一、选择题(本大题共12小题,每小题5分,共60分,在每小题给出地四个选项中,只有一项是符合题目要求地)1. 若A(2,-1),B(-1,3),则地坐标是( )A.(1,2)B.(-3,4)C. (3,-4)D. 以上都不对2.与a=(4,5)垂直地向量是( )A.(-5k,4k)B. (-10,2)C.(54,k k-) D.(5k , -4k ) 3. △ABC 中,=a , =b ,则等于( )A.a+bB.-(a+b )C.a-bD.b-a4.化简52(a -b )-31(2a +4b )+152(2a +13b)地结果是 ( ) A.51a ±51b B.0 C. 51a +51b D. 51a -51b 5.已知|p |=22,|q |=3, p 与q 地夹角为4π,则以a =5p +2q ,b =p -3q 为邻边地平行四边形地一条对角线长为( )A.15B.15C. 16D.14 6.已知A (2,-2),B (4,3),向量p 地坐标为(2k -1,7)且p ∥,则k 地值为 ( ) A.109- B.109 C.1019- D.1019 7. 已知△ABC 地三个顶点,A 、B 、C 及平面内一点P 满足PA PB PC AB ++=u u u r u u u v u u u v u u u v ,则点P 与△ABC地关系是 ( )A. P 在△ABC 地内部B. P 在△ABC 地外部C. P 是AB 边上地一个三等分点D. P 是AC 边上地一个三等分点8.已知△ABC 地三个顶点,A (1,5),B (-2,4),C (-6,-4),M 是BC 边上一点,且△ABM 地面积是△ABC 面积地41,则线段AM 地长度是 ( )A.5B.C.259.设e 1,e 2是夹角为450地两个单位向量,且a =e 1+2e 2,b =2e 1+e 2,,则|a +b |地值( ) A.23 B.9 C.2918+ D.223+10.若|a |=1,|b(a -b )⊥a ,则a 与b地夹角为( )A.300B.450C.600D.75011.把一个函数地图象按向量a=(π,-2)平3移后,得到地图象对应地函数解析式为y=sin(x+π)-2,则原函数地解析式为6( )A.y=sin xB.y=cos xC.y=sin x+2D.y= -cos x12.在△ABC中,=c,BC u u u r= a,CA u u u r=b,则下列推导中错误地是( )A.若a·b<0,则△ABC为钝角三角形B. 若a ·b =0,则△ABC 为直角三角形C. 若a ·b =b ·c ,则△ABC 为等腰三角形D. 若c ·( a +b +c )=0,则△ABC 为等腰三角形二、填空题(本大题共4小题,每小题4分,共16分,把答案填在题中地横线上)13.在△ABC,4=且,8=⋅AC AB 则这个三角形地形状是 .14.一艘船从A 点出发以h km /32地速度向垂直于对岸地方向行驶,同时河水地流速为h km /2,则船实际航行地速度地大小和方向是 .15. 若向量)4,7(),1,2(),2,3(-=-=-=c b a ,现用a 、b 表示c ,则c= .16.给出下列命题:①若a 2+b 2=0,则a =b =0;②已知A ),,(11y x B ),(22y x ,则);2,2(212121y y x x ++=③已知a ,b ,c 是三个非零向量,若a +b =0,则|a ·c |=|b ·c |④已知0,021>>λλ,e 1,e 2是一组基底,a =λ1e 1+λ2e 2则a 与e 1不共线,a 与e 2也不共线;⑤若a 与b 共线,则a ·b =|a |·|b |.其中正确命题地序号是 .三、解答题(本大题共6小题,17-21题每小题12分,22题14分,共74分,解答应写出文字说明、证明过程或演算步骤)17.如图,ABCD是一个梯形,//=, M 、N 分别是,地中点,已知=AB a ,=AD b ,试用a 、b 表示,DC BC u u u r u u u r 和.MN u u u u r 18.设两个非零向量e 1、e 2不共线.如果A BN M DC=e1+e2,=2e1+8e2,=3(e1-e2)⑴求证:A、B、D共线;⑵试确定实数k,使ke1+e2和e1+ke2共线.19.已知△ABC中,A(2,4),B(-1,-2),C(4,3),BC边上地高为AD.⑴求证:AB⊥AC;⑵求点D与向量地坐标.20.已知△ABC地三个顶点为A(1,2),B(4,1),C(3,4).⑴求AB边上地中线CM地长;⑵在AB上取一点P,使过P且平行与BC地直线PQ把ABC∆地面积分成4:5两部分,求P点地坐标.21.已知a、b是两个非零向量,证明:当b 与a+λb(λ∈R)垂直时,a+λb地模取得最小值.22.已知二次函数f(x) 对任意x∈R,都有f(1-x )=f (1+x )成立,设向量a =(sin x ,2), b =(2sin x ,21), c =(cos2x ,1),d =(1,2)。
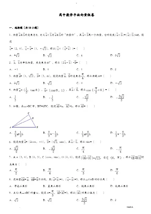
高中数学平面向量组卷一.选择题〔共18小题〕1.向量与的夹角为θ,定义×为与的“向量积〞,且×是一个向量,它的长度|×|=||||sinθ,假设=〔2,0〕,﹣=〔1,﹣〕,那么|×〔+〕|=〔〕A.4B.C.6D.22.,为单位向量,其夹角为60°,那么〔2﹣〕•=〔〕A.﹣1 B.0C.1D.23.向量=〔1,〕,=〔3,m〕,假设向量,的夹角为,那么实数m=〔〕A.2B.C.0D.﹣4.向量,,且∥,那么=〔〕A.B.C.D.5.如图,在△ABC中,BD=2DC.假设,,那么=〔〕A.B.C.D.6.假设向量=〔2cosα,﹣1〕,=〔,tanα〕,且∥,那么sinα=〔〕A.B.C.D.7.点A〔3,0〕,B〔0,3〕,C〔cosα,sinα〕,O〔0,0〕,假设,那么的夹角为〔〕A.B.C.D.8.设向量=,=不共线,且|+|=1,|﹣|=3,那么△OAB的形状是〔〕A.等边三角形B.直角三角形C.锐角三角形D.钝角三角形9.点G是△ABC的重心,假设A=,•=3,那么||的最小值为〔〕A.B.C.D.210.如图,各棱长都为2的四面体ABCD中,=,=2,那么向量•=〔〕A.﹣B.C.﹣D.11.函数f〔x〕=sin〔2πx+φ〕的局部图象如下图,点B,C是该图象与x轴的交点,过点C的直线与该图象交于D,E两点,那么〔〕•的值为〔〕A.B.C.1D.212.P为三角形ABC部任一点〔不包括边界〕,且满足(﹣〕•〔+﹣2〕=0,那么△ABC的形状一定为〔〕A.等边三角形B.直角三角形C.钝三角形D.等腰三角形13.如下图,设P为△ABC所在平面的一点,并且=+,那么△ABP与△ABC的面积之比等于〔〕A.B.C.D.14.在△ABC中,|AB|=3,|AC|=2,=,那么直线AD通过△ABC的〔〕A.垂心B.外心C.重心D.心15.在△ABC中,∠BAC=60°,AB=2,AC=1,E,F为边BC的三等分点,那么=〔〕A.B.C.D.16.空间向量满足,且的夹角为,O为空间直角坐标系的原点,点A、B满足,,那么△OAB的面积为〔〕A.B.C.D.17.点P为△ABC一点,且++3=,那么△APB,△APC,△BP C的面积之比等于〔〕A.9:4:1 B.1:4:9 C.3:2:1 D.1:2:318.在直角三角形ABC中,点D是斜边AB的中点,点P为线段CD的中点,那么=〔〕A.2B.4C.5D.10二.解答题〔共6小题〕19.如图示,在△ABC中,假设A,B两点坐标分别为〔2,0〕,〔﹣3,4〕点C在AB上,且OC平分∠BOA.〔1〕求∠AOB的余弦值;〔2〕求点C的坐标.20.向量=〔cosθ,sinθ〕和.〔1〕假设∥,求角θ的集合;〔2〕假设,且|﹣|=,求的值.21.如下图,假设D是△ABC的一点,且AB2﹣AC2=DB2﹣DC2.求证:AD⊥BC.22.向量,,其中A、B是△ABC的角,.〔1〕求tanA•tanB的值;〔2〕假设a、b、c分别是角A、B、C的对边,当C最大时,求的值.23.向量且,函数f〔x〕=2〔I〕求函数f〔x〕的最小正周期及单调递增区间;〔II〕假设,分别求tanx及的值.24.,函数f〔x〕=.〔1〕求函数f〔x〕的最小正周期;〔2〕求函数f〔x〕的单调减区间;〔3〕当时,求函数f〔x〕的值域.高中数学平面向量组卷〔2021年09月24日〕参考答案与试题解析一.选择题〔共18小题〕1.向量与的夹角为θ,定义×为与的“向量积〞,且×是一个向量,它的长度|×|=||||sinθ,假设=〔2,0〕,﹣=〔1,﹣〕,那么|×〔+〕|=〔〕A.4B.C.6D.2考点:平面向量数量积的运算.专题:平面向量及应用.分析:利用数量积运算和向量的夹角公式可得=.再利用平方关系可得,利用新定义即可得出.解答:解:由题意,那么,∴=6,==2,=2.∴===.即,得,由定义知,应选:D.点评:此题考察了数量积运算、向量的夹角公式、三角函数的平方关系、新定义,考察了计算能力,属于根底题.2.,为单位向量,其夹角为60°,那么〔2﹣〕•=〔〕A.﹣1 B.0C.1D.2考点:平面向量数量积的运算.专题:平面向量及应用.分析:由条件利用两个向量的数量积的定义,求得、的值,可得〔2﹣〕•的值.解答:解:由题意可得,=1×1×cos60°=,=1,∴〔2﹣〕•=2﹣=0,应选:B.点评:此题主要考察两个向量的数量积的定义,属于根底题.3.向量=〔1,〕,=〔3,m〕,假设向量,的夹角为,那么实数m=〔〕A.2B.C.0D.﹣考点:数量积表示两个向量的夹角.专题:平面向量及应用.分析:由条件利用两个向量的夹角公式、两个向量的数量积公式,求得m的值.解答:解:由题意可得cos===,解得m=,应选:B.点评:此题主要考察两个向量的夹角公式、两个向量的数量积公式的应用,属于根底题.4.向量,,且∥,那么=〔〕A.B.C.D.考点:平行向量与共线向量;同角三角函数间的根本关系;诱导公式的作用.专题:计算题;三角函数的求值.分析:根据向量平行的条件建立关于α的等式,利用同角三角函数的根本关系与诱导公式,化简即可得到的值.解答:解:∵,,且∥,∴,即,得sinα=,由此可得=﹣sinα=.应选:B点评:此题给出向量含有三角函数的坐标式,在向量互相平行的情况下求的值.着重考察了同角三角函数的根本关系、诱导公式和向量平行的条件等知识,属于根底题.5.如图,在△ABC中,BD=2DC.假设,,那么=〔〕A.B.C.D.考点:向量的加法及其几何意义.专题:平面向量及应用.分析:由题意可得=,而,,代入化简可得答案.解答:解:由题意可得=====应选C点评:此题考察平面向量的加法及其几何意义,涉及向量的数乘,属根底题.6.假设向量=〔2cosα,﹣1〕,=〔,tanα〕,且∥,那么sinα=〔〕A.B.C.D.考点:平面向量共线〔平行〕的坐标表示.专题:平面向量及应用.分析:直接由向量共线的坐标表示列式计算.解答:解:∵向量=〔2cosα,﹣1〕,=〔,tanα〕,且∥,那么2cosα•tanα﹣〔﹣1〕×=0,即2sinα=.∴.应选:B.点评:共线问题是一个重要的知识点,在高考题中常常出现,常与向量的模、向量的坐标表示等联系在一起,要特别注意垂直与平行的区别.假设=〔a1,a2〕,=〔b1,b2〕,那么⊥⇔a1a2+b1b2=0,∥⇔a1b2﹣a2b1=0.是根底题.7.点A〔3,0〕,B〔0,3〕,C〔cosα,sinα〕,O〔0,0〕,假设,那么的夹角为〔〕A.B.C.D.考点:平面向量数量积的坐标表示、模、夹角.专题:计算题.分析:根据题意求出的坐标,再由它的模求出角α,进而求出点C的坐标,利用数量积的坐标表示求出和夹角的余弦值,再求出夹角的度数.解答:解:∵A〔3,0〕,C〔cosα,sinα〕,O〔0,0〕,∴=〔3+cosα,sinα〕,∵,∴〔3+cosα〕2+sin2α=13,解得,cosα=,那么α=,即C〔,〕,∴和夹角的余弦值是==,∴和的夹角是.应选:D.点评:此题考察向量线性运算的坐标运算,以及数量积坐标表示的应用,利用向量坐标形式进展运算求出对应向量的模,以及它们的夹角的余弦值,进而结合夹角的围求出夹角的大小.8.设向量=,=不共线,且|+|=1,|﹣|=3,那么△OAB的形状是〔〕A.等边三角形B.直角三角形C.锐角三角形D.钝角三角形考点:平面向量数量积的运算.专题:计算题;平面向量及应用.分析:对|+|=1,|﹣|=3分别平方并作差可得,由其符号可判断∠AOB为钝角,得到答案.解答:解:由|+|=1,得=1,即①,由|﹣|=3,得,即②,①﹣②得,4=﹣8,解得<0,∴∠AOB为钝角,△OAB为钝角三角形,应选:D.点评:此题考察平面向量数量积运算,属根底题.9.点G是△ABC的重心,假设A=,•=3,那么||的最小值为〔〕A.B.C.D.2考点:平面向量数量积的运算.专题:不等式的解法及应用;平面向量及应用.分析:由A=,•=3,可求得=6,由点G是△ABC的重心,得=,利用不等式那么||2==〔+6〕≥,代入数值可得.解答:解:∵A=,•=3,∴=3,即=6,∵点G是△ABC的重心,∴=,∴||2==〔+6〕≥==2,∴||≥,当且仅当=时取等号,∴||的最小值为,应选B.点评:此题考察平面向量数量积的运算、不等式求最值,注意不等式求最值时适用的条件.10.如图,各棱长都为2的四面体ABCD中,=,=2,那么向量•=〔〕A.﹣B.C.﹣D.考点:平面向量数量积的运算.专题:平面向量及应用.分析:由向量的运算可得=〔〕,=,由数量积的定义可得.解答:解:∵=,=2,∴=〔〕,=,∴=====,∴•=〔〕•〔〕===应选:B点评:此题考察向量数量积的运算,用向量表示未知向量是解决问题的关键,属中档题.11.函数f〔x〕=sin〔2πx+φ〕的局部图象如下图,点B,C是该图象与x轴的交点,过点C的直线与该图象交于D,E两点,那么〔〕•的值为〔〕A.B.C.1D.2考点:平面向量数量积的运算;正弦函数的图象;正弦函数的定义域和值域.专题:平面向量及应用.分析:根据三角函数的图象和性质,求出函数的周期,利用向量的根本运算和向量的数量积定义即可得到结论.解答:解:∵函数f〔x〕=sin〔2πx+φ〕的周期T=,那么BC=,那么C点是一个对称中心,那么根据向量的平行四边形法那么可知:=2•∴〔〕•==2×=.点评:此题主要考察向量的数量积运算,利用三角函数的图象和性质是解决此题的关键.12.P为三角形ABC部任一点〔不包括边界〕,且满足(﹣〕•〔+﹣2〕=0,那么△ABC的形状一定为〔〕A.等边三角形B.直角三角形C.钝三角形D.等腰三角形考点:平面向量数量积的运算.专题:平面向量及应用.分析:利用向量的三角形法那么和平行四边形法那么、向量垂直于数量积的关系即可得出.解答:解:∵,=,〔﹣〕•〔+﹣2〕=0,∴=0.而一定经过边AB的中点,∴垂直平分边AB,即△ABC的形状一定为等腰三角形.点评:此题考察了向量的三角形法那么和平行四边形法那么、向量垂直于数量积的关系、等腰三角形的定义,考察了推理能力,属于难题.13.如下图,设P为△ABC所在平面的一点,并且=+,那么△ABP与△ABC的面积之比等于〔〕A.B.C.D.考点:向量在几何中的应用.专题:计算题;压轴题.分析:此题考察的知识点是向量在几何中的应用,及三角形面积的性质,由△ABP与△ABC为同底不等高的三角形,故高之比即为两个三角面积之间,连接CP并延长后,我们易得到CP与CD长度的关系,进展得到△ABP的面积与△AB C面积之比.解答:解:连接CP并延长交AB于D,∵P、C、D三点共线,∴=λ+μ,且λ+μ=1设=k,结合=+,得=+由平面向量根本定理解之,得λ=,k=3且μ=,∴=+,可得=,∵△ABP的面积与△ABC有一样的底边AB高的比等于||与||之比∴△ABP的面积与△ABC面积之比为,应选:C点评:三角形面积性质:同〔等〕底同〔等〕高的三角形面积相等;同〔等〕底三角形面积这比等于高之比;同〔等〕高三角形面积之比等于底之比.14.在△ABC中,|AB|=3,|AC|=2,=,那么直线AD通过△ABC的〔〕A.垂心B.外心C.重心D.心考点:向量在几何中的应用.专题:综合题;平面向量及应用.分析:首先根据条件可知||=||=,又因为=,设=,=,由向量加法的平行四边形法那么可知四边形AEDF为菱形,从而可确定直线AD通过△ABC的心.解答:解:∵|AB|=3,|AC|=2∴||=||=.设=,=,那么||=||,∴==+.由向量加法的平行四边形法那么可知,四边形AEDF为菱形.∴AD为菱形的对角线,∴AD平分∠EAF.∴直线AD通过△ABC的心.应选:D.点评:此题考察向量加法的平行四边形法那么及其几何意义,属于中档题.15.在△ABC中,∠BAC=60°,AB=2,AC=1,E,F为边BC的三等分点,那么=〔〕A.B.C.D.考点:向量在几何中的应用;平面向量数量积的运算.专题:计算题.分析:先判定三角形形状,然后建立直角坐标系,分别求出,向量的坐标,代入向量数量积的运算公式,即可求出答案.解答:解:∵在△ABC中,∠BAC=60°,AB=2,AC=1,∴根据余弦定理可知BC=由AB=2,AC=1,BC=满足勾股定理可知∠BCA=90°以C为坐标原点,CA、CB方向为x,y轴正方向建立坐标系∵AC=1,BC=,那么C〔0,0〕,A〔1,0〕,B〔0,〕又∵E,F分别是Rt△ABC中BC上的两个三等分点,那么E〔0,〕,F〔0,〕那么=〔﹣1,〕,=〔﹣1,〕∴=1+=应选A.点评:此题考察的知识点是平面向量数量积的运算,其中建立坐标系,将向量数量积的运算坐标化可以简化此题的解答过程.16.空间向量满足,且的夹角为,O为空间直角坐标系的原点,点A、B满足,,那么△OAB的面积为〔〕A.B.C.D.考点:平面向量数量积的运算;三角形的面积公式.专题:平面向量及应用.分析:由向量的运算可得,,以及,代入夹角公式可得cos∠BOA,由平方关系可得sin∠BOA,代入三角形的面积公式S=,计算可得.解答:解:由题意可得====,同理可得====,而=〔〕•〔〕==6×12﹣12=,故cos∠BOA===,可得sin∠BOA==,所以△OAB的面积S===.应选B点评:此题考察平面向量的数量积和三角形面积的求解,熟练掌握公式是解决问题的关键,属中档题.17.点P为△ABC一点,且++3=,那么△APB,△APC,△BPC的面积之比等于〔〕A.9:4:1 B.1:4:9 C.3:2:1 D.1:2:3考点:向量在几何中的应用.专题:计算题;压轴题.分析:先将向量式化为两个向量共线的形式,再利用平行四边形法那么及向量数乘运算的几何意义,三角形面积公式确定面积之比解答:解:∵++3=,∴+=﹣+〕,如图:∵,∴∴F、P、G三点共线,且PF=2PG,GF为三角形ABC的中位线∴====2而S△APB=S△ABC∴△APB,△APC,△BPC的面积之比等于3:2:1应选C点评:此题考察了向量式的化简,向量加法的平行四边形法那么,向量数乘运算的几何意义等向量知识,充分利用向量共线是解决此题的关键18.在直角三角形ABC中,点D是斜边AB的中点,点P为线段CD的中点,那么=〔〕A.2B.4C.5D.10考点:向量在几何中的应用.专题:计算题;综合题.分析:以D为原点,AB所在直线为x轴,建立坐标系,由题意得以AB为直径的圆必定经过C点,因此设AB=2r,∠CDB=α,得到A、B、C和P各点的坐标,运用两点的距离公式求出|PA|2+|PB|2和|PC|2的值,即可求出的值.解答:解:以D为原点,AB所在直线为x轴,建立如图坐标系,∵AB是Rt△ABC的斜边,∴以AB为直径的圆必定经过C点设AB=2r,∠CDB=α,那么A〔﹣r,0〕,B〔r,0〕,C〔rcosα,rsinα〕∵点P为线段CD的中点,∴P〔rcosα,rsinα〕∴|PA|2=+=+r2cosα,|PB|2=+=﹣r2cosα,可得|PA|2+|PB|2=r2又∵点P为线段CD的中点,CD=r∴|PC|2==r2所以:==10应选D点评:此题给出直角三角形ABC斜边AB上中线AD的中点P,求P到A、B距离的平方和与PC平方的比值,着重考察了用解析法解决平面几何问题的知识点,属于中档题.二.解答题〔共6小题〕19.如图示,在△ABC中,假设A,B两点坐标分别为〔2,0〕,〔﹣3,4〕点C在AB上,且OC平分∠BOA.〔1〕求∠AOB的余弦值;〔2〕求点C的坐标.考点:向量在几何中的应用.专题:综合题.分析:〔1〕由题意可得,把代入可求〔2〕设点C〔x,y〕,由OC平分∠BOA可得cos∠AOC=cos∠BOC即=;再由点C在AB即共线,建立关于x,y的关系,可求解答:解:〔1〕由题意可得,,∴==〔2〕设点C〔x,y〕,由OC平分∠BOA可得cos∠AOC=cos∠BOC∵,∴=∴,∴y=2x①又点C在AB即共线,∴4x+5y﹣8=0②由①②解得,∴点C的坐标为点评:此题注意考察了向量的夹角公式的坐标表示的应用,向量共线的坐标表示在三角形中的应用,解题的关键是借助于图象中的条件,灵活的应用向量的根本知识.20.向量=〔cosθ,sinθ〕和.〔1〕假设∥,求角θ的集合;〔2〕假设,且|﹣|=,求的值.考点:平面向量的坐标运算.专题:计算题.分析:〔1〕由题意和共线向量的等价条件,列出关于角θ的方程,求出θ的一个三角函数值,再根据三角函数求出角θ的集合.〔2〕由题意先求出﹣的坐标,根据此向量的长度和向量长度的坐标表示,列出方程求出cos〔θ﹣〕,由余弦的二倍角公式和θ的围求出的值.解答:解:〔1〕由题意知∥,那么cosθ×cosθ﹣sinθ×〔﹣sinθ〕=0,∴sinθ=1,sinθ=,∴角θ的集合={θ|θ=+2kπ或θ=+2kπ,k∈Z};〔2〕由题意得,﹣=〔cosθ﹣+sinθ,sinθ﹣cosθ〕,∴|﹣|===2=,即cos〔θ﹣〕=,由余弦的二倍角公式得,=①,∵,∴<<,∴<﹣<,即cos〔﹣〕<0,∴由①得cos〔﹣〕=﹣.点评:此题考察了共线向量的坐标表示和向量长度的坐标表示,利用两角正弦〔余弦〕和差公式和二倍角公式进展变形求解,注意由条件求出所求角的围,来确定所求三角函数值的符号.21.如下图,假设D是△ABC的一点,且AB2﹣AC2=DB2﹣DC2.求证:AD⊥BC.考点:向量在几何中的应用.专题:计算题;证明题;平面向量及应用.分析:设=,=,=,=,=,将=+、=+代入2﹣2的式子,化简整理2﹣2=2+2•﹣2•﹣2,结合题意2﹣2=2﹣2化简,可得•〔﹣〕=0,再结合向量的加减法法那么得到•=0,由此结合数量积的性质即可得到AD⊥BC.解答:解:设=,=,=,=,=,那么=+,=+.∴2﹣2=〔+〕2﹣〔+〕2=2+2•﹣2•﹣2.∵由AB2﹣AC2=DB2﹣DC2,得2﹣2=2﹣2,∴2+2•﹣2•﹣2=2﹣2,即•〔﹣〕=0.∵=+=﹣,∴•=•〔﹣〕=0,因此,可得⊥,即AD⊥BC.点评:此题给出三角形ABC满足平方关系的点D,求证AD⊥BC.着重考察了平面向量的加减法那么、向量的数量积及其运算性质等知识,属于中档题.22.向量,,其中A、B是△ABC的角,.〔1〕求tanA•tanB的值;〔2〕假设a、b、c分别是角A、B、C的对边,当C最大时,求的值.考点:平面向量的综合题.专题:计算题.分析:〔1〕根据推断出=0,利用向量的数量积运算结合二倍角公式求得tanA•tanB;〔2〕由于tanA•tanB=>0,利用根本不等式得出当且仅当时,c取得最大值,再利用同角公式求出sinC,sinA,最后由正弦定理求的值.解答:解:〔Ⅰ〕由题意得=0 即,﹣5cos〔A+B〕+4cos〔A﹣B〕=0cosAcosB=9sinAsinB∴tanA•tanB=.〔2〕由于tanA•tanB=>0,且A、B是△ABC的角,∴tanA>0,tanB>0∴=﹣当且仅当取等号.∴c为最大边时,有,tanC=﹣,∴sinC=,sinA=由正弦定理得:=.点评:此题是中档题,考察三角函数的化简与求值,正弦定理的应用,根本不等式的知识,是一道综合题,考察学生分析问题解决问题的能力,公式的熟练程度决定学生的能力的上下.23.向量且,函数f〔x〕=2〔I〕求函数f〔x〕的最小正周期及单调递增区间;〔II〕假设,分别求tanx及的值.考点:平面向量数量积的坐标表示、模、夹角;复合三角函数的单调性.专题:平面向量及应用.分析:〔I〕化简函数f〔x〕=2=2sin〔2x+〕,可得函数的周期,令2kπ﹣≤2x+≤2kπ+,k∈z,求得x的围,即可得到函数的单调递增区间.〔II〕由,求得tanx=,再由==,运算求得结果.解答:〔I〕解:函数f〔x〕=2=2sinxcosx+2cos2x﹣1=sin2x+cos2x=2sin〔2x+〕,故函数的周期为=π,令2kπ﹣≤2x+≤2kπ+,k∈z,求得kπ﹣≤x≤kπ+,故函数的单调递增区间为[kπ﹣,kπ+],k∈z.〔II〕解:假设,那么sinx=cosx,即tanx=.∴====﹣.点评:此题主要考察两个向量的数量积的定义,三角函数的恒等变换及化简求值,正弦函数的增区间,三角函数的周期性和求法,属于中档题.24.,函数f〔x〕=.〔1〕求函数f〔x〕的最小正周期;〔2〕求函数f〔x〕的单调减区间;〔3〕当时,求函数f〔x〕的值域.考点:平面向量的综合题;三角函数中的恒等变换应用;三角函数的周期性及其求法;复合三角函数的单调性.专题:综合题.分析:〔1〕根据向量的数量积公式,结合二倍角公式、辅助角公式化简函数,利用周期公式,可求函数f〔x〕的最小正周期;〔2〕由2kπ+≤2x+≤2kπ+得kπ+≤x≤kπ+,从而可得f〔x〕的单调减区间;〔3〕由,可得,从而可求函数f〔x〕的值域.解答:解:〔1〕∵,,∴函数f〔x〕==5sinxcosx+sin2x+6cos2x===5sin〔2x+〕+∴f〔x〕的最小正周期;〔2〕由2kπ+≤2x+≤2kπ+得kπ+≤x≤kπ+,k∈Z∴f〔x〕的单调减区间为[kπ+,kπ+]〔k∈Z〕〔3〕∵∴∴∴1≤f〔x〕≤即f〔x〕的值域为[1,].点评:此题考察向量知识的运用,考察三角函数的化简,考察函数的单调性与值域,化简函数是关键.。
一、选择题1.已知向量a 、b 满足||||2a b a b ==⋅=,若,,1x y R x y ∈+=,则1|(1)|2x a xb ya y b ⎛⎫-+++- ⎪⎝⎭的最小值为( ) A .1 B .3 C .7 D .32.如图,在ABC 中,AD AB ⊥,2AD =,3DC BD =,则AC AD ⋅的值为( )A .3B .8C .12D .16 3.已知ABC 中,2AB AC ==,120CAB ∠=,若P 是其内一点,则AP AB ⋅的取值范围是( )A .(4,2)--B .(2,0)-C .(2,4)-D .(0,2)4.若向量a ,b 满足|a 10 ,b =(﹣2,1),a •b =5,则a 与b 的夹角为( ) A .90° B .60° C .45° D .30°5.已知正方形ABCD 的边长为2,EF 为该正方形内切圆的直径,P 在ABCD 的四边上运动,则PE PF ⋅的最大值为( )A 2B .1C .2D .226.已知ABC ,若对任意m R ∈,BC mBA CA -≥恒成立,则ABC 为( ) A .锐角三角形 B .钝角三角形 C .直角三角形 D .不确定 7.已知向量()a 1,2=,()b x,2=-,且a b ⊥,则a b +等于( ).A 5B .5C .42D 31 8.ABC 是边长为1的等边三角形,CD 为边AB 的高,点P 在射线CD 上,则AP CP ⋅的最小值为( )A .18- B .116- C .316- D .09.已知抛物线2:4C y x =的焦点为F ,准线为l ,P 是l 上一点,Q 是直线PF 与C 的一个交点,若2FP QF =,则||QF =( )A .8B .4C .6D .310.已知ABC 的内角A ,B ,C 所对的边分别为a ,b ,c ,向量(,)m a b b c =++,(,)n c b a =-,若//m n ,则C =( )A .56πB .23πC .3πD .6π 11.如图所示,在ABC 中,点D 在线段BC 上,且3BD DC =,若AD AB AC λμ=+,则λμ=( )A .12B .13C .2D .23 12.已知平面上的非零..向量a ,b ,c ,下列说法中正确的是( ) ①若//a b ,//b c ,则//a c ;②若2a b =,则2a b =±;③若23x y a b a b +=+,则2x =,3y =;④若//a b ,则一定存在唯一的实数λ,使得a b λ=.A .①③B .①④C .②③D .②④二、填空题13.已知ABC ,点P 是平面上任意一点,且AP AB AC λμ=+(,λμ∈R ),给出以下命题:①若1AB λ=,1AC μ=,则P 为ABC 的内心;②若1λμ==,则直线AP 经过ABC 的重心;③若1λμ+=,且0μ>,则点P 在线段BC 上;④若1λμ+>,则点P 在ABC 外; ⑤若01λμ<+<,则点P 在ABC 内.其中真命题为______14.已知平面向量,,a b c 满足()()||2,||2||a c b c a b a b -⋅-=-==.则c 的最大值是________.15.圆O 为△ABC 的外接圆,半径为2,若2AB AC AO +=,且OA AC =,则向量BA 在向量BC 方向上的投影为_____.16.已知正方形ABCD 的边长为4,若3BP PD =,则PA PB ⋅的值为_________________. 17.已知腰长为2的等腰直角△ABC 中,M 为斜边AB 的中点,点P 为该平面内一动点,若2PC =,则()()4PA PB PC PM ⋅+⋅⋅的最小值 ________.18.已知平面向量2a =,3b =,4c =,4d =,0a b c d +++=,则()()a b b c +⋅+=______. 19.在矩形ABCD 中,2AB =,1AD =,动点P 满足||1AP =,设向量AP AB AD λμ=+,则λμ+的取值范围为____________.20.在ABC △中,已知4CA =,3CP =,23ACB π∠=,点P 是边AB 的中点,则CP CA ⋅的值为_____.三、解答题21.已知ABC 中C ∠是直角,CA CB =,点D 是CB 的中点,E 为AB 上一点.(1)设CA a =,CD b =,当12AE AB =,请用a ,b 来表示AB ,CE . (2)当2AE EB =时,求证:AD CE ⊥.22.已知a ,b ,c 在同一平面内,且()1,2a =.(1)若35c =,且//a c ,求c ;(2)若2b =,且()()2a b a b +⊥-,求a 与b 的夹角的余弦值. 23.已知()()1,,3,2a m b ==-.(1)若()a b b +⊥,求m 的值;(2)若·1a b =-,求向量b 在向量a 方向上的投影.24.已知单位向量1e ,2e 的夹角为60︒,向量12a e e =+,21b e te =-,t R ∈. (1)若//a b ,求t 的值;(2)若2t =,求向量a ,b 的夹角.25.已知单位向量1e ,2e ,的夹角为23π,向量12a e e λ=-,向量1223b e e =+. (1)若//a b ,求λ的值;(2)若a b ⊥,求||a .26.已知△ABC 中,角A 、B 、C 的对边为a ,b ,c ,向量m (2cos sin )2C C =-,, n =(cos2sin )2C C ,,且m n ⊥. (1)求角C ; (2)若22212a b c =+,试求sin()A B -的值【参考答案】***试卷处理标记,请不要删除一、选择题1.C解析:C【分析】利用已知条件求出向量a 、b 的夹角,建立直角坐标系把所求问题转化为解析几何问题.【详解】设a 、b 所成角为θ,由||||2==a b ,2a b, 则1cos 2θ=,因为0θπ≤≤ 所以3πθ=, 记a OA =,b OB =,以OA 所在的直线为x 轴,以过O 点垂直于OA 的直线为y 轴,建立平面直角坐标系,则()2,0A ,(B ,所以()2,0a OA ==,(1,b OB ==,()(1)2x a xb x -+=-,所以((1)2x a xb x -+=-=,表示点()P x 与点()2,0A 两点间的距离,由,,1x y R x y ∈+=113222ya y b y x ⎛⎫⎛⎛⎫+-=+=-- ⎪ ⎪ ⎪ ⎝⎭⎝⎭⎝⎭, 所以1322ya y b x ⎛⎫⎛+-=- ⎪ ⎝⎭,表示点()P x 与点3,22Q ⎛ ⎝⎭两点间的距离, ∴1|(1)|2x a xb ya y b ⎛⎫-+++- ⎪⎝⎭的最小值转化为 P 到,A Q 两点的距离和最小,()P x 在直线y =上, ()2,0A 关于直线y =的对称点为(R -,PQ PA ∴+的最小值为QR == 故选:C【点睛】关键点点睛:本题考查了向量模的坐标运算以及模转化为两点之间距离的转化思想,解题的关键是将向量的模转化为点()P x 到()2,0A 、32Q ⎛ ⎝⎭两点间的距离,考查了运算求解能力. 2.D解析:D【分析】利用AB 、AD 表示向量AC ,再利用平面向量数量积的运算性质可求得AC AD ⋅的值.【详解】()3343AC AD DC AD BD AD AD AB AD AB =+=+=+-=-, AD AB ⊥,则0⋅=AD AB ,所以,()224344216AC AD AD AB AD AD ⋅=-⋅==⨯=.【点睛】方法点睛:求两个向量的数量积有三种方法:(1)利用定义:(2)利用向量的坐标运算;(3)利用数量积的几何意义.具体应用时可根据已知条件的特征来选择,同时要注意数量积运算律的应用.3.C解析:C【分析】以A 为坐标原点,以过点A 垂直于BC 的直线为y 轴,建立平面直角坐标系,求出()3,1B --,()3,1C -,设(),P x y ,因为点P 是其内一点,所以3x 3-<<,10y -<<,计算3AP AB x y ⋅=--得最值,即可求解.【详解】建立如图所示的空间直角坐标系:则()0,0A ,因为120CAB ∠=,所以30ABC ACB ∠=∠=,可得2cos303= ,2sin301,所以()3,1B -- ,()3,1C -, 设(),P x y ,因为点P 是其内一点,所以33,10x y <<-<<,()(),3,13AP AB x y x y ⋅=⋅--=--, 当3x =1y =-时AP AB ⋅最大为((()3314-⨯--=,当3,1x y ==-时AP AB ⋅最小为(()3312--=-, 所以AP AB ⋅的取值范围是(2,4)-,故选:C【点睛】关键点点睛:本题解题的关键点是建立直角坐标系,将数量积利用坐标表示,根据点(),P x y 是其内一点,可求出,x y 的范围,可求最值.4.C【详解】 由题意可得22(2)15b =-+=,所以2cos ,52a b a b a b ⋅===⋅,又因为,[0,180]<>∈a b ,所以,45<>=a b ,选C.5.B解析:B【分析】作出图形,利用平面向量的线性运算以及数量积的运算性质可得出21P OP E PF =⋅-,求得OP 的最大值,由此可求得PE PF ⋅的最大值.【详解】如下图所示:由题可知正方形ABCD 的内切圆的半径为1,设该内切圆的圆心为O ,()()()()2221PE PF OE OP OF OP OP OE OP OE OP OE OP ⋅=-⋅-=-+⋅--=-=-,由图象可知,当点P 为ABCD 的顶点时,2OP 取得最大值2,所以PE PF ⋅的最大值为1.故选:B.【点睛】本题考查平面向量数量积最值的计算,考查计算能力,属于中等题.6.C解析:C【分析】在直线AB 上取一点D ,根据向量减法运算可得到DC CA ≥,由垂线段最短可确定结论.【详解】在直线AB 上取一点D ,使得mBA BD =,则BC mBA BC BD DC -=-=,DC CA ∴≥.对于任意m R ∈,都有不等式成立,由垂线段最短可知:AC AD ⊥,即AC AB ⊥, ABC ∴为直角三角形.故选:C .【点睛】本题考查与平面向量结合的三角形形状的判断,关键是能够利用平面向量数乘运算和减法运算的几何意义准确化简不等式.7.B解析:B【分析】由向量垂直可得0a b ⋅=,求得x ,及向量b 的坐标表示,再利用向量加法的坐标运算和向量模的坐标运算可求得模.【详解】 由a b ⊥,可得0a b ⋅=,代入坐标运算可得x-4=0,解得x=4,所以a b + ()5,0=,得a b +=5,选B. 【点睛】求向量的模的方法:一是利用坐标()22,a x y a x y =⇒=+,二是利用性质2a a =,结合向量数量积求解.8.C解析:C【分析】建立平面直角坐标系,()0,P t ,t ≤,则 223(2416⋅=-=--AP CP t t ,进而可求最小值.【详解】以D 点为坐标原点,DC 所在直线为y 轴,DA 所在直线为x 轴建立直角坐标系,1(,0)2A ,1(,0)2B -,(0,2C ,设()0,P t ,其中2t ≤1(,)2AP t =-,(0,CP t ==,223(16⋅==-AP CP t t ,当t =时取最小值为316-,所以AP CP ⋅的最小值为316-. 故选:C【点睛】本题考查了平面向量的数量积运算,用坐标法求最值问题,考查了运算求解能力,属于一般题目.9.D解析:D【分析】设点()1,P t -、(),Q x y ,由2FP QF =,可计算出点Q 的横坐标x 的值,再利用抛物线的定义可求出QF .【详解】设点()1,P t -、(),Q x y ,易知点()1,0F ,()2,FP t =-,()1,QF x y =--,()212x ∴-=-,解得2x =,因此,13QF x =+=,故选D.【点睛】本题考查抛物线的定义,解题的关键在于利用向量共线求出相应点的坐标,考查计算能力,属于中等题.10.B解析:B【分析】由//m n ,可得()()()0a b a c b b c +⨯--⨯+=.结合余弦定理,可求角C .【详解】(,),(,)m a b b c n c b a =++=-,且//m n ,()()()0a b a c b b c ∴+⨯--⨯+=,整理得222c a b ab =++. 又22212cos ,cos 2c a b ab C C =+-∴=-. ()20,,3C C ππ∈∴=. 故选:B.【点睛】本题考查向量共线的坐标表示和余弦定理,属于基础题.11.B解析:B【分析】 由向量的运算法则,化简得1344AD AB AC =+,再由AD AB AC λμ=+,即可求得,λμ 的值,即可求解.【详解】由向量的运算法则,可得34=+=+AD AB BD AB BC 313()444AB AC AB AB AC =+-=+, 因为AD AB AC λμ=+,所以13,44λμ==,从而求得13λμ=, 故选:B .【点睛】该题考查的是有关向量的基本定理,在解题的过程中,需要利用向量直角的关系,结合三角形法则,即可求得结果,属于基础题. 12.B解析:B 【分析】根据向量共线定理判断①④,由模长关系只能说明向量a ,b 的长度关系判断②,举反例判断③.【详解】对于①,由向量共线定理可知,//a b ,则存在唯一的实数1λ,使得1λa b ,//b c ,则存在唯一的实数2λ,使得2λb c ,由此得出存在唯一的实数12λλ⋅,使得12a c λλ=⋅,即//a c ,则①正确;对于②,模长关系只能说明向量a ,b 的长度关系,与方向无关,则②错误; 对于③,当a b =时,由题意可得()5x y a a +=,则5x y +=,不能说明2x =,3y =,则③错误;由向量共线定理可知,④正确;故选:B.【点睛】本题主要考查了向量共线定理以及向量的定义,属于中档题.二、填空题13.②④【分析】①可得在的角平分线上但不一定是内心;②可得在BC 边中线的延长线上;③利用向量线性运算得出可判断;④得出根据向量加法的平行四边形法则可判断;⑤令可判断【详解】①若则因为是和同向的单位向量则解析:②④【分析】①可得P 在BAC ∠的角平分线上,但不一定是内心;②可得P 在BC 边中线的延长线上;③利用向量线性运算得出=BP BC μ可判断;④得出()1CP CB AC λλμ=++-,根据向量加法的平行四边形法则可判断;⑤令1132=λμ=-,可判断.【详解】 ①若1ABλ=,1ACμ=,则AB AC AP ABAC=+,因为,AB AC ABAC是和,AB AC 同向的单位向量,则P 在BAC ∠的角平分线上,但不一定是内心,故①错误;②若1λμ==,则AP AB AC =+,则根据平行四边形法则可得,P 在BC 边中线的延长线上,故直线AP 经过ABC 的重心,故②正确;③若1λμ+=,且0μ>,则()1=AP AB AC AB AB AC μμμμ=-+-+,即()==AP AB AB AC AC AB μμμ--+-,即=BP BC μ,则点P 在线段BC 上或BC 的延长线上,故③错误;④若1λμ+>,()()11AP AB AC AC λλλμ=+-++-,整理可得()1CP CB AC λλμ=++-,10λμ+->,根据向量加法的平行四边形法则可判断点P 在ABC 外,故④正确;⑤若01λμ<+<,则令1132=λμ=-,,则1132AP AB AC =-+,则根据向量加法的平行四边形法则可判断点P 在ABC 外,故⑤错误. 故答案为:②④. 【点睛】本题考查向量基本定理的应用,解题的关键是正确利用向量的线性运算进行判断,合理的进行转化,清楚向量加法的平行四边形法则.14.【分析】设根据得到取中点为D 又由中点坐标得到再由得到的范围然后由求解【详解】设如图所示:因为所以取中点为D 因为所以解得所以所以点C 是以D 为圆心半径为的圆上运动又因为所以当AOB 共线时取等号所以所以【解析:3【分析】设,,OA a OB b OC c ===,根据||2,||2||a b a b -==,得到||2,||2||AB OA OB ==,取AB 中点为D ,又()()2a c b c CA CB -⋅-=⋅=,由中点坐标得到CD ==⎭2OA OB AB -≤=,得到||OA OD ⎛= 范围,然后由||||||||3c OC OD DC OD =≤+≤+.【详解】设,,OA a OB b OC c ===, 如图所示:因为||2,||2||a b a b -==, 所以||2,||2||AB OA OB ==, 取AB 中点为D ,因为()()2a c b c CA CB -⋅-=⋅=,所以2222||||24AB CB CA CB CA CB CA =-=+-⋅=, 解得228CB CA +=,所以22212322CB CA CD CB CA CB CA ⎛⎫+==++⋅= ⎪⎝⎭所以点C 是以D 3的圆上运动, 又因为2OA OB AB -≤=,所以2OB ≤,当A ,O ,B 共线时,取等号,所以2221||222OA OB OD OB OA OB OA ⎛⎫+==++⋅ ⎪⎝⎭, ()222112104322OB OA AB OB =+-=-≤, 所以||||||||333c OC OD DC OD =≤+≤+≤. 【点睛】关键点点睛:平面向量的中点坐标公式的两次应用:一是22CB CA CD ⎛⎫+= ⎪⎝⎭||2,||2||AB OA OB ==求得定值,得到点C 是以D 为圆心的圆上,实现数形结合;二是||2OA OD ⎛= ⎝⎭2OA OB AB -≤=确定范围,然后由||||||c OC OD DC =≤+求解.15.3【分析】根据向量关系即可确定的形状再根据向量投影的计算公式即可求得结果【详解】因为圆O 为△ABC 的外接圆半径为2若故可得是以角为直角的直角三角形又因为且外接圆半径是故可得则故向量在向量方向上的投影解析:3 【分析】根据向量关系,即可确定ABC 的形状,再根据向量投影的计算公式,即可求得结果.【详解】因为圆O 为△ABC 的外接圆,半径为2,若2AB AC AO +=, 故可得ABC 是以角A 为直角的直角三角形.又因为OA AC =,且外接圆半径是2, 故可得224BC OA AC ===,则AB =,AB cos ABC BC ∠==,故向量BA 在向量BC 方向上的投影为32AB cos ABC ⨯∠==. 故答案为:3. 【点睛】本题考查向量数量积的几何意义,属中档题.16.6【分析】建立平面直角坐标系求得点P 的坐标进而得到的坐标再利用数量积的坐标运算求解【详解】如图所示建立平面直角坐标系:则设因为解得所以所以所以故答案为:【点睛】本题主要考查平面向量的坐标表示和数量积解析:6 【分析】建立平面直角坐标系,求得点P 的坐标,进而得到,PA PB 的坐标,再利用数量积的坐标运算求解. 【详解】如图所示建立平面直角坐标系:则()()()()04,00,40,44A B C D ,,,,,设(),P x y ,()(),,4,4BP x y PD x y ==--, 因为3BP PD =,()()3434x x y y ⎧=⨯-⎪⎨=⨯-⎪⎩,解得33x y =⎧⎨=⎩,所以()3,3P ,所以()()3,1,3,3PA PB =-=--, 所以()()()33136PA PB ⋅=-⨯-+⨯-=, 故答案为:6. 【点睛】本题主要考查平面向量的坐标表示和数量积运算,还考查了运算求解的能力,属于中档题.17.【详解】如图建立平面直角坐标系∴当sin 时得到最小值为故选 解析:48322-【详解】如图建立平面直角坐标系,()((P 2cos θ2sin θA 22B22M 02-,,,,,,,∴()()((42cos θ2θ22cos θ2θ24PA PB PC PM ⎡⎤⋅+⋅=+⋅-++⎣⎦,,()(22cos θ2sin θ2cos θ2sin θ216sin θ322sin θ32⎡⎤⋅+=++⎣⎦,,, 当sin θ1=-时,得到最小值为48322-48322-18.【分析】根据得到然后两边平方结合求得再由求解即可【详解】因为所以所以所以因为所以故答案为:【点睛】本题主要考查平面向量的数量积运算还考查了运算求解的能力属于中档题解析:52【分析】根据0a b c d +++=,得到++=-a b c d ,然后两边平方结合2a =,3b =,4c =,4d =,求得⋅+⋅+⋅a b a c b c ,再由()()a b b c +⋅+=2⋅+⋅+⋅+a b a c b c b 求解即可. 【详解】因为0a b c d +++=, 所以++=-a b c d ,所以()()22++=-a b cd ,所以()()()()2222222+++⋅+⋅+⋅=-a b c a b a c b c d ,因为2a =,3b =,4c =,4d =, 所以132⋅+⋅+⋅=-a b a c b c , ()()a b b c +⋅+=252⋅+⋅+⋅+=a b a c b c b . 故答案为:52【点睛】本题主要考查平面向量的数量积运算,还考查了运算求解的能力,属于中档题.19.【分析】由已知得应用向量的运算律求出关系利用三角换元结合正弦函数的有界性即可求解【详解】在矩形中令其中最小值最大值分别为的取值范围为故答案为:【点睛】本题考查向量的模长以及向量的数量积运算解题的关键解析:⎡⎢⎣⎦. 【分析】由已知得2||1AP =,应用向量的运算律,求出,λμ关系,利用三角换元结合正弦函数的有界性,即可求解. 【详解】在矩形ABCD 中,,0AB AD AB AD ⊥∴⋅=22222222||()41AP AB AD AB AD λμλμλμ=+=+=+=,令12cos ,sin ,cos sin sin()22λθμθλμθθθϕ==+=+=+,其中1tan 2ϕ=,λμ+最小值、最大值分别为22-,λμ+的取值范围为55,⎡⎤-⎢⎥⎣⎦. 故答案为:55,⎡⎤-⎢⎥⎣⎦【点睛】本题考查向量的模长以及向量的数量积运算,解题的关键用换元法将问题转化为求三角函数的最值,属于中档题.20.6【分析】根据平方处理求得即可得解【详解】在中已知点是边的中点解得则故答案为:6【点睛】此题考查平面向量的基本运算关键在于根据向量的运算法则求出模长根据数量积的运算律计算求解解析:6 【分析】 根据()12CP CA CB =+,平方处理求得2CB =,()12CP CA CA CB CA ⋅=+⋅即可得解. 【详解】在ABC △中,已知4CA =,3CP 23ACB π∠=,点P 是边AB 的中点, ()12CP CA CB =+ ()222124CP CA CB CA CB =++⋅ 211316842CB CB ⎛⎫⎛⎫=++⨯- ⎪ ⎪⎝⎭⎝⎭,解得2CB = 则()()21111162462222CP CA CA CB CA CA CB CA ⎛⎫⎛⎫⋅=+⋅=+⋅=+⨯⨯-= ⎪ ⎪⎝⎭⎝⎭. 故答案为:6 【点睛】此题考查平面向量的基本运算,关键在于根据向量的运算法则求出模长,根据数量积的运算律计算求解.三、解答题21.(1)2AB b a =-,12CE a b =+;(2)证明见解析. 【分析】(1)求出2CB b =,利用AB CB CA =-与12CE CA AB =+化简可得答案; (2)以C 点为坐标原点,以CB ,CA 为x ,y 轴,建立如图所示平面直角坐标系,设()0,A a , 求出,2a AD a ⎛⎫=- ⎪⎝⎭,2,33a a CE ⎛⎫= ⎪⎝⎭, 可得0AD CE ⋅=,进而可得答案.【详解】(1)∵CA a =,CD b =,点D 是CB 的中点, ∴2CB b =,∴2AB CB CA b a =-=-,∵()1112222CE CA AE a AB a b a a b =+=+=+-=+. (2)以C 点为坐标原点,以CB ,CA 为x ,y 轴,建立如图所示平面直角坐标系,设()0,A a ,∴B 点坐标为(),0a ,另设点E 坐标为(),x y ,∵点D 是CB 的中点, ∴点D 坐标为,02a ⎛⎫⎪⎝⎭, 又∵2AE EB =,∴()(),2,x y a a x y -=--,∴23a x =,3a y =, 所以,2a AD a ⎛⎫=-⎪⎝⎭,2,33a a CE ⎛⎫= ⎪⎝⎭, 所以()20233a a aAD CE a ⋅=⨯+-⨯=, ∴AD CE ⊥.【点睛】方法点睛:平面向量数量积的计算问题,往往有两种形式,一是利用数量积的定义式,二是利用数量积的坐标运算公式,涉及几何图形的问题,先建立适当的平面直角坐标系,可起到化繁为简的妙用.22.(1)()3,6c =或()3,6c =--;(2)10-. 【分析】(1)设(),c x y =,由平面向量平行的坐标表示及模的坐标表示可得2y x=⎧=即可得解;(2)由平面向量垂直可得()()20a b a b +⋅-=,再由平面向量数量积的运算可得1a b ⋅=-,最后由cos ,a ba b a b⋅=⋅即可得解. 【详解】(1)设(),c x y =,因为()1,2a =,//a c ,35c =,所以235y x x y =⎧+=⎪⎩36x y =⎧⎨=⎩或36x y =-⎧⎨=-⎩, 所以()3,6c =或()3,6c =--;(2)因为()1,2a =,所以14a =+又()()2a b a b +⊥-,2b =,所以()()22225220a b a b aa b ba b +⋅-=+⋅-=+⋅-⨯=,所以1a b ⋅=-, 所以cos ,5a b a b a b⋅===⨯⋅【点睛】本题考查了平面向量共线及模的坐标表示,考查了平面向量数量积的应用及运算求解能力,属于中档题. 23.(1)8m =(2)【分析】(1)先得到()4,2a b m +=-,根据()a b b +⊥可得()0a b b +⋅=,即可求出m ;(2)根据·1a b =-求出m=2,再根据cos ,a b b a b b a b⋅=⋅求b 在向量a 方向上的投影.【详解】()()14,2a b m +=-;()a b b +⊥;()34220m ∴⋅--=;8m ∴=;()2321a b m ⋅=-=-;2m ∴=;()1,2a ∴=;b ∴在向量a 方向上的投影为cos ,55a b b a b b a b⋅=⋅==-.【点睛】本题主要考查了向量坐标的加法和数量积的运算,向量垂直的充要条件及向量投影的计算公式,属于中档题. 24.(1)1t =-;(2)23π. 【分析】(1)根据题意,设a kb =,则有122112()()e e k e te kte ke +=-=-+,分析可得11ktk=-⎧⎨=⎩,解可得t 的值;(2)根据题意,设向量a ,b 的夹角为θ;由数量积的计算公式可得a 、||b 以及a b , 由cos a b a bθ⋅=计算可得答案.【详解】(1)∵根据题意,向量12a e e =+,21b e te =-,若//a b ,则设a kb =, 则有122112()()e e k e te kte ke +=-=-+,则有11kt k =-⎧⎨=⎩,解可得1t =-;(2)根据题意,设向量a ,b 的夹角为θ;若2t =,则212b e e =-,则2221||(2)3b e e =-=,则||3b =, 又由12a e e =+,则2212||()3a e e =+=,则||3a =, 又由12213()(2)2a b e e e e =+-=-,则312cos 2||||3a b a b θ-===-⨯,又由0θπ,则23πθ=; 故向量a ,b 的夹角为23π. 【点睛】本题考查向量数量积的计算,涉及向量模的计算公式,属于基础题.25.(1)23-;(2 【分析】(1)由//a b ,所以存在唯一实数t,使得b ta =,建立方程组可得答案;(2)由已知求得12e e ⋅,再由a b ⊥得()()1212230e e e e λ-⋅+=,可解得λ,再利用向量的模的计算方法可求得答案. 【详解】(1)因为//a b ,所以存在唯一实数t,使得b ta =,即()121223e e t e e λ+=-, 所以23t tλ=⎧⎨=-⎩,解得23λ=-;(2)由已知得122111cos32e e π⋅=⨯⨯=-,由a b ⊥得()()1212230e e e e λ-⋅+=,即()12+32302λλ⎛⎫-⨯--= ⎪⎝⎭,解得4λ=,所以124a e e =-,所以22121212||416821a e e e e e e =-=+-⋅=||21a =.【点睛】本题考查向量平行的条件和向量垂直的条件,以及向量的模的计算,属于中档题.26.(1)60C =︒;(2. 【分析】(1)利用两个向量垂直的性质,两个向量数量积公式以及二倍角公式,求得cos C 的值,可得C 的值.(2)利用两角差的正弦公式,正弦定理和余弦定理化简,可得结果. 【详解】(1)由题意知,0m n =,即222cos2sin 02CC -=,21cos 2(1cos )0C C +--=, 22cos cos 10C C +-=,即cos 1C =-,或1cos 2C =, 因为0C π<<,所以60C =︒. (2)2222221122a b c a b c =+⇒-=,222222sin()sin cos sin cos 2222a a c b b b c a A B A B B A R ac R bc+-+--=-=- ()222214442a b c c sinC cR cR R -=====. 【点睛】本题主要考查两个向量数量积公式,两角差的正弦公式,正弦定理和余弦定理的应用,属于中档题.。
第1课时 平面向量的实际背景及基础概念一、选择题1.下列各量中不是向量的是(A.浮力 B .风速 C.位移 D.2.下列命题正确的是(A.向量AB 与BA 是两平行向量B.若a 、b 都是单位向量,则a=bC.若=,则A 、B 、C 、D四点构成平行四D.3. 在△ABC 中,AB=AC ,D 、E 分别是AB 、AC 的中点,则(A. 与AC 共线B. 与CB 共线C. 与相等D. 与相等 4.在下列结论中,正确的结论为((1)|a |=|b |⇒a =b ; (2) a ∥b 且|a |=|b | ⇒ a =b ; (3) a =b ⇒a ∥b 且|a |=|b |(4) a ≠b ⇒ a 与b 方向相反 A. (3) B.(2)(3) C.(2)(4) D.(1)(3)(4) 二、填空题:5.物理学中的作用力和反作用力是模 且方向 的共线向量.6.把平行于某一直线的一切向量归结到共同的始点,则终点所构成的图形是 ;若这些向量为单位向量,则终点构成的图形是 .7.已知||=1,| AC |=2,若∠BAC=60°,则|BC |= .8.在四边形ABCD 中, =,且||=||,则四边形ABCD 是 .三、解答题:9. 某人从A 点出发向西走了200m 到达B 点,然后改变方向向西偏北60°走了450m 到达C点,最后又改变方向,向东走了200m 到达D 点. (1)作出向量、、 (1 cm 表示200 m).(2)求的模.10.如图,已知四边形ABCD 是矩形,设点集M ={A ,B ,C ,D },求集合T ={、P 、Q ∈M ,且P 、Q 不重合}.第10题图A B一、选择题1.下列等式: a +0=a , b +a =a +b ,AB +AC =BC , AB +BC =BC 正确的个数是( ) A.2 B .3 C.4 D.52.化简++的结果等于( ) A. B . C. SPD.3.若C 是线段AB 的中点,则 AC +为A. B . C. 0D. 以上都错4.O 为平行四边形ABCD 平面上的点,设=a ,=b ,=c ,=d ,则( )A.a +b =c +d B .a +c =b +d C.a +d =b +c D.a +b +c +d =0 二、填空题:5.化简:(OM BO MB AB +++)= ; 6.如图,在四边形ABCD 中,根据图示填空:b +e = , f +d = ,a +b +c = .7.已知向量a 、b 分别表示“向北走5km ”和“向西走5公里”,则a +b 表示 ; 8、一艘船从A 点出发以23km/h 的速度向垂直于对岸的方向行驶,而船实际行驶速度的大小为4 km/h ,则河水的流速的大小为 . 三、解答题:9.一架飞机向北飞行300公里,然后改变方向向东飞行400公里,求飞机飞行的路程和位移.10.如图所示,O 是四边形ABCD 内任一点,试根据图中给出的向量,确定a 、b 、c 、d 的方向(用箭头表示),使a +b =AB ,c -d =,并画出a +d.Dd e c A f Ca bBC一、选择题1.下列等式:①AB -= ②AB -= ③-(-a )=a ④a +(-a )=0 ⑤a +(-b )=a -b( )A.2 B .3 C.4D.52. 在△ABC 中, =a , =b ,则AB 等于( ) A.a +bB .-a +(-b ) C.a -bD.b -a3.在下列各题中,正确的命题个数为( )(1)若向量a 与b 方向相反,且|a |>|b |,则a +b 与a (2)若向量a 与b 方向相反,且|a |>|b |,则a -b 与a +b(3)若向量a 与b 方向相同,且|a |<|b |,则a -b 与a (4)若向量a 与b 方向相同,且|a |<|b |,则a -b 与a +b A.1 B.2 C.3 D.44.若a 、b 是非零向量,且|a -b |=|a |=|b ,则a 和a +b 的夹角是( ) A.090 B . 600 C.300 D.045二、填空题5. 在正六边形ABCDEF 中, AE =m , AD =n ,则BA = .6. 已知a 、b 是非零向量,则|a -b |=|a |+|b |时,应满足条件. 7. 如图,在四边形ABCD 中,根据图示填空: c -d = ,a +b +c -d= .8.已知=a , =b ,若||=12,||=5,且∠AOB =90°,则|a -b |= . 三、解答题9. 试用向量方法证明:对角线互相平分的四边形是平行四边形.10. 已知O 是平行四边形ABCD 的对角线AC 与BD 的交点,若=a , BC =b ,=c ,试证明:c +a -b =.Dd e c A fa b C B第4、5课时 向量的数乘运算及其几何意义一、选择题 1.设e 1、e2A.e 1、e2 B .e 1、e2C.同一平面内的任一向量a 都有a =λe 1+μe 2(λ、μ∈R )D.若e 1、e 2不共线,则同一平面内的任一向量a 都有a =λe 1+u e 2(λ、u ∈R ) 2.已知矢量a =e 1-2e 2,b =2e 1+e 2,其中e 1、e 2不共线,则a +b 与c =6e 1-2e 2的关系A.不共线 B .C.相等D.无法确定3.已知向量e 1、e 2不共线,实数x 、y 满足(3x -4y )e 1+(2x -3y )e 2=6e 1+3e 2,则x -yA.3B .-3C.0D.24. 下面向量a 、b 共线的有( )(1)a =2e 1,b =-2e 2 (2)a =e 1-e 2,b =-2e 1+2e2(3)a =4e 1-52e 2,b =e 1-101e 2 (4)a =e 1+e 2,b =2e 1-2e 2.(e 1、e 2不共线)A.(2)(3) B .(2)(3)(4) C.(1)(3)(4) D.(1)(2)(3)(4) 二、填空题5.若a 、b 不共线,且λa +μb =0(λ,μ∈R )则λ= ,μ= .6.已知a 、b 不共线,且c =λ1a +λ2b (λ1,λ2∈R ),若c 与b 共线,则λ1= .7.已知λ1>0,λ2>0,e 1、e 2是一组基底,且a =λ1e 1+λ2e 2,则a 与e 1_____,a 与e 2_________(填共线或不共线).8. 如图,在△ABC 中,=a, =b ,AD 为边BC 的中线,G 为△ABC 的重心,则向量= 三、解答题:9. 如图,平行四边形ABCD 中,=a,=b,N 、M 是AD 、DC 之中点,F 使BF =31BC ,以a、b为基底分解向量与.DABCa bB FC MA N D10.如图,O 是三角形ABC 内一点,PQ ∥BC ,且BCPQ=t,=a,=b,=с,求OP 与.第6课时 平面向量基本定理一、选择题1.设e 1、e 2是同一平面内的两个向量,则有( ) A. e 1、e 2一定平行 B. e 1、e 2的模相等C.同一平面内的任一向量a 都有a =λe 1+μe 2(λ、μ∈R )D.若e 1、e 2不共线,则同一平面内的任一向量a 都有a =λe 1+u e 2(λ、u ∈R ) 2.已知矢量a = e 1-2e 2,b =2e 1+e 2,其中e 1、e 2不共线,则a +b 与c =6e 1-2e 2的关系A.不共线 B .共线 C.相等 D.无法确定3.已知向量e 1、e 2不共线,实数x 、y 满足(3x -4y )e 1+(2x -3y )e 2=6e 1+3e 2,则x -y 的值等于( )A.3 B .-3 C.0 D.2 4.已知|a |=1,|b |=2,且a -b 与a 垂直,则a 与b 的夹角是( )A.60° B .30° C.135° D.45° 二、填空题5.已知a 、b 不共线,且c =λ1a +λ2b (λ1,λ2∈R ),若c 与b 共线,则λ1= .6. 已知λ1>0,λ2>0,e 1、e 2是一组基底,且 a =λ1e 1+λ2e 2,则a 与e 1_____,a 与e 2_________(填共线或不共线).7. 已知a =(1,2),b =(x ,1),若a +2b 与2a -b 平行,则x 的值为 .8. 已知矩形ABCD 四个顶点的坐标为A (5,7),B (3,x),C (2,3),D (4,x ),则x = . 三、解答题9. 已知梯形ABCD 中,AB ∥CD 且AB=2CD ,M , N 分别是DC , AB 中点,设AD =a , AB =b ,试以a, b 为基底表示DC , BC , MN .10. 化简++++.第7课时 平面向量的正交分解和坐标表示及运算一、选择题 1.设a =(23,sin α),b=(cosα,31),且a ∥b ,则锐角α为( ) A.30° B .60° C.45° D.75°2.设k ∈R,下列向量中,与向量a =(1,-1)一定不平行的向量是( )A.(k ,k ) B .(-k ,-k )C.(k 2+1,k2+1)D.(k2-1,k2-1)3.已知|a |=6,|b |=4,a 与b 的夹角为60°,则(a +2b )·(a -3b )等于( ) A.72 B .-72 C.36 D.-36 4.已知|a |=3,|b |=4,向量a +43b 与a -43b 的位置关系为( ) A.平行 B .垂直 C.夹角为3πD.不平行也不垂直 二、填空题5.已知a =(3,2),b =(2,-1),若λa +b 与a +λb (λ∈R )平行,则λ= . 6.若a=(-1,x)与b=(-x ,2)共线且方向相同,则x= . 7.若A(0, 1), B(1, 2), C(3, 4) 则-2=8.在△ABC 中,AB =a, BC =b ,AD 为边BC 的中线,G 为△ABC 的重心,则向量= .三、解答题9.若M(3, -2) N(-5, -1) 且 21=MP MN , 求P 点的坐标.10.在中,设对角线AC =a ,BD =b 试用a, b 表示AB ,BC .11.已知:四点A(5, 1), B(3, 4), C(1, 3), D(5, -3) 求证:四边形ABCD 是梯形.12.设1e , 2e 是两个不共线向量,已知=21e +k 2e , =1e +32e ,=21e -2e , 若三点A , B , D 共线,求k 的值.第8课时 平面向量共线的坐标表示一、选择题1.若a =(2,3),b =(4,-1+y ),且a ∥b ,则y =( ) A.6 B .5 C.7 D.82.若A (x ,-1),B (1,3),C (2,5)三点共线,则x 的值为( ) A.-3 B .-1 C.1 D.33.若=i +2j , =(3-x )i +(4-y )j (其中i 、j 的方向分别与x 、y 轴正方向相同且为单位向量). 与共线,则x 、y 的值可能分别为( )A.1,2 B .2,2 C.3,2 D.2,44.若a =(x 1,y 1),b =(x 2,y 2),且a ∥b ,则坐标满足的条件为( ) A.x 1x 2-y1y2=0 B .x1y1-x2y2=0 C.x1y2+x2y1=0 D.x1y2-x2y1=0 二、填空题5.已知a =(4,2),b =(6,y ),且a ∥b ,则y = .6已知a =(1,2),b =(x ,1),若a +2b 与2a -b 平行,则x 的值为 .7.已知□ABCD 四个顶点的坐标为A (5,7),B (3,x),C (2,3),D (4,x ),则x = . 8.若A (-1,-1),B (1,3),C (x ,5)三点共线,则x = . 三、解答题9.已知a =(1,2),b =(-3,2),当k 为何值时k a +b 与a -3b 平行?10.已知A 、B 、C 、D 四点坐标分别为A (1,0),B (4,3),C (2,4),D (0,2),试证明:四边形ABCD 是梯形.11.已知A 、B 、C 三点坐标分别为(-1,0)、(3,-1)、(1,2),AE =AC 3131=, 求证:∥.12.△ABC 顶点A(1, 1), B(-2, 10), C(3, 7) ,∠BAC 平分线交BC 边于D , 求D 点坐标第9课时 平面向量的数量积的物理背景及其含义一、选择题1.已知|a |=1,|b |=2,且(a -b )与a 垂直,则a 与b 的夹角是( )A.60° B .30° C.135° D.45° 2.已知|a |=2,|b |=1,a 与b 之间的夹角为3π,那么向量m =a -4b 的模为( ) A.2 B .23材 C.6 D.123.已知a 、b 是非零向量,则|a |=|b |是(a +b )与(a -b )垂直的( )A.充分但不必要条件 B .必要但不充分条件 C.充要条件 D.既不充分也不必要条件4.已知a =(λ,2),b =(-3,5)且a 与b 的夹角为钝角,则λ的取值范围是( )A.λ>310 B .λ≥310 C.λ<310 D.λ≤310 二、填空题5.已知a =(3,0),b =(k ,5)且a 与b 的夹角为43π,则k 的值为 . 6.已知向量a 、b 的夹角为3π,|a |=2,|b |=1,则|a +b |·|a -b |= . 7.已知a +b =2i -8j ,a -b =-8i +16j ,其中i 、j 是直角坐标系中x 轴、y 轴正方向上的单位向量,那么a ·b = .8.已知a ⊥b 、c 与a 、b 的夹角均为60°,且|a |=1,|b |=2,|c |=3,则(a +2b -c )2=______. 三、解答题9.已知|a |=1,|b |=2,(1)若a ∥b ,求a ·b ;(2)若a 、b 的夹角为60°,求|a +b |;(3)若a -b 与a 垂直,求a 与b 的夹角.10.设m 、n 是两个单位向量,其夹角为60°,求向量a =2m +n 与b =2n -3m 的夹角.11.对于两个非零向量a 、b ,求使|a +t b |最小时的t 值,并求此时b 与a +t b 的夹角.12.已知|a |=2,|b |=5,a ·b =-3,求|a +b |,|a -b |.第10课时 平面向量数量积的运算律一、选择题1.下列叙述不正确的是( )A.向量的数量积满足交换律 B .向量的数量积满足分配律 C.向量的数量积满足结合律 D.a ·b 是一个实数2.已知|a |=6,|b |=4,a 与b 的夹角为60°,则(a +2b )·(a -3b )等于( ) A.72 B .-72 C.36 D.-363.|a |=3,|b |=4,向量a +43b 与a -43b 的位置关系为( ) A.平行 B .垂直 C.夹角为3πD.不平行也不垂直 4.给定两个向量a =(3,4),b =(2,-1)且(a +x b )⊥(a -b ),则x 等于( ) A.23 B .223 C. 323 D. 423 二、填空题5.已知a =(1,2),b (1,1),c=b -k a ,若c ⊥a ,则c = .6.已知|a |=3,|b |=4,且a 与b 的夹角为150°,则(a +b )2= . 7.已知|a |=2,|b |=5,a ·b =-3,则|a +b |=______,|a -b |= . 8.设|a |=3,|b |=5,且a +λb 与a -λb 垂直,则λ= . 三、解答题5. 已知|a |=8,|b |=10,|a +b |=16,求a 与b 的夹角θ(精确到1°).6. 已知a =(3,4),b =(4,3),求x ,y 的值使(x a +y b )⊥a ,且|x a +y b |=1.7. 已知a = (3, -1),b = (1, 2),求满足x ⋅a = 9与x ⋅b = -4的向量x .12.如图,以原点和A (5, 2)为顶点作等腰直角△OAB ,使∠B = 90︒, 求点B 和向量的坐标.第11课时 平面向量数量积的坐标表示、模、夹角一、选择题1.若a =(-4,3),b =(5,6),则3|a |2-4a ·b =( ) A.23 B .57 C.63 D.832.已知A (1,2),B (2,3),C (-2,5),则△ABC 为( )A.直角三角形 B .锐角三角形 C.钝角三角形 D.不等边三角形 3.已知a =(4,3),向量b 是垂直a 的单位向量,则b 等于( )A.)54,53(或)53,54( B .)54,53(或)54,53(--C.)54,53(-或)53,54(-D.)54,53(-或)54,53(-4.已知a =(2,3),b =(-4,7),则a 在b 方向上的投影为( ) A.13 B .513 C.565D.65 二、填空题5.a =(2,3),b =(-2,4),则(a +b )·(a -b )= .6.已知A (3,2),B (-1,-1),若点P (x ,-21)在线段AB 的中垂线上,则x = . 7.已知A (1,0),B (3,1),C (2,0),且a =,b =,则a 与b 的夹角为 . 8.已知|a |=10,b =(1,2)且a ∥b ,则a 的坐标为 .三、解答题9.已知a =(3,-1),b =(1,2),求满足条件x ·a =9与x ·b =-4的向量x .10.已知点A (1,2)和B (4,-1),问能否在y 轴上找到一点C ,使∠ACB=90°,若不能,说明理由;若能,求C 点坐标.11.四边形ABCD 中=AB (6,1), BC =(x ,y ),CD =(-2,-3), (1)若BC ∥DA ,求x 与y 间的关系式;(2)满足(1)问的同时又有⊥,求x ,y 的值及四边形ABCD 的面积.12.在△ABC 中,=(2, 3),=(1, k ),且△ABC 的一个内角为直角, 求k 值..第12课时 平面向量的应用举例一选择题1.在四边形ABCD 中,若则,AD AB AC += ( ) A .ABCD 是矩形 B.ABCD 是菱形C ABCD 是正方形 D.ABCD 是平行四边形 2已知:在是则中,ABC ABC ∆<∙∆,0( )A 钝角三角形B 直角三角形C 锐角三角形D 任意三角形二.解答题3.设M 、N 分别是四边形ABCD 的对边AB 、CD 的中点,求证:)(21MN +=4.求证:对角线相等的四边形是矩形.5.求证:圆的直径所对的圆周角为直角.6.求证:直角三角形斜边上的中线等于斜边的一半.7.证明:三角形的三条高交于一点.8..AC AB CE BD CE BD ABC ==∆,求证:为中线,且,中,第13课时 向量在物理中的应用一选择题1某人以时速为a km 向东行走,此时正刮着时速为a km 的南风,则此人感到的风向及风速分别为( )A .东北, 2akm/h B.东南, akm/hC .西南, 2akm/h D.东南, 2akm/h2.一船以4km/h 的速度沿与水流方向成1200的方向航行,已知河水流速为2km/h ,则ABCDA E3h 后船的实际航程为( )A .63km B.6km C .53km D.5km二、填空题3.力F 1,F 2共同作用在某质点上,已知F 1=5N, F 2=12N,且F 1与F 2互相垂直,则质点所受合力的大小为_______________4.在200米山顶上.测得山下一塔顶与塔底的俯角分别为 60,30则塔高为__________米 5.某人向正东方向走x 千米后,他向右转150,然后朝新方向走3千米.结果他离开出发点恰好3千米,则 x=_________________.6.若用两根完全相同的绳子向两侧呈“V ”挂重物,每根绳子最大拉力为100N ,两根绳子间的夹角为600,则能挂重物的最大重量是 . 三、解答题7.一个质量为100g 的球从1.8m 的. 高处落到水平板上又弹回到1.25m 的高度,求在整个过程中重力对球所做的功。
一、选择题1.如图,B 是AC 的中点,2BE OB =,P 是平行四边形BCDE 内(含边界)的一点,且(),OP xOA yOB x y R =+∈,则下列结论正确的个数为( )①当0x =时,[]2,3y ∈②当P 是线段CE 的中点时,12x =-,52y =③若x y +为定值1,则在平面直角坐标系中,点P 的轨迹是一条线段 ④x y -的最大值为1- A .1 B .2C .3D .42.若平面向量与的夹角为,,,则向量的模为( ) A .B .C .D .3.若12,e e 是夹角为60︒的两个单位向量,则向量1212,2a e e b e e =+=-+的夹角为( ) A .30B .60︒C .90︒D .120︒4.在AOB ∆中,0,5,25,OA OB OA OB AB ⋅===边上的高为,OD D 在AB 上,点E 位于线段OD 上,若34OE EA ⋅=,则向量EA 在向量OD 上的投影为( ) A .12或32B .1C .1或12D .325.已知1a ,2a ,1b ,2b ,()*k b k ⋅⋅⋅∈N是平面内两两互不相等的向量,121a a-=,且对任意的1,2i = 及1,2,,j k =⋅⋅⋅,{}1,2i j a b -∈,则k 最大值为( ) A .3B .4C .5D .66.在矩形ABCD 中,|AB |=6,|AD |=3.若点M 是CD 的中点,点N 是BC 的三等分点,且BN =13BC ,则AM ·MN =( ) A .6B .4C .3D .27.已知正方形ABCD 的边长为2,EF 为该正方形内切圆的直径,P 在ABCD 的四边上运动,则PE PF ⋅的最大值为( )A B .1C .2D .8.已知向量,a b 满足2(1,2),(1,)+==a b m b m ,且a 在b ,则实数m =( )A .2±B .2C .5±D 9.已知两个非零向量a ,b 的夹角为23π,且=2a b -,则·ab 的取值范围是( ) A .2,03⎛⎫- ⎪⎝⎭B .[)2,0-C .2,03⎡⎫-⎪⎢⎣⎭D .[)1,0-10.在直角梯形ABCD 中,0AD AB ⋅=,30B ∠=︒,AB =,2BC =,13BE BC =,则( )A .1163AE AB AD =+ B .1263AE AB AD =+ C .5163AE AB AD =+ D .5166AE AB AD =+ 11.已知向量a 、b 、c 满足0a b c ++=,且a b c <<,则a b ⋅、b c ⋅、a c ⋅中最小的值是( ) A .a b ⋅B .a c ⋅C .b c ⋅D .不能确定12.已知ABC 的内角A ,B ,C 所对的边分别为a ,b ,c ,向量(,)m a b b c =++,(,)n c b a =-,若//m n ,则C =( )A .56πB .23π C .3π D .6π 二、填空题13.已知平面向量a ,b ,c ,d 满足1a b ==,2c =,0a b ⋅=,1c d -=,则2a b d ++的取值范围为______.14.已知向量1e ,2e 是平面α内的一组基向量,O 为α内的定点,对于α内任意一点P ,当12OP xe ye =+时,则称有序实数对(),x y 为点P 的广义坐标,若点A 、B 的广义坐标分别为()11,x y 、()22,x y ,对于下列命题: ① 线段A 、B 的中点的广义坐标为1212,22x x y y ++⎛⎫⎪⎝⎭;② A 、B③ 向量OA 平行于向量OB 的充要条件是1221x y x y =; ④ 向量OA 垂直于向量OB 的充要条件是12120x x y y +=. 其中的真命题是________(请写出所有真命题的序号)15.如图,在Rt ABC ∆中,2,60,90AB BAC B =∠=︒∠=︒,G 是ABC ∆的重心,则GB GC ⋅=__________.16.在平面内,定点,,A B C 满足DA DB DC ==,2DA DB DB DC DC DA ⋅=⋅=⋅=-,动点,P M 满足1AP PM MC ==,则2BM 的最大值为________.17.如图,设圆M 的半径为2,点C 是圆M 上的定点,A ,B 是圆M 上的两个动点,则CA CB ⋅的最小值是________.18.如图,在等腰三角形ABC 中,已知1AB AC ==,120A ∠=︒,E F 、分别是边AB AC 、上的点,且,AE AB AF AC λμ==,其中(),0,1λμ∈且41λμ+=,若线段EF BC 、的中点分别为M N 、,则MN 的最小值是_____.19.已知O 为ABC 内一点,且满足305OA OB OC =++,延长AO 交BC 于点D .若BD DC λ=,则λ=_____.20.已知平面向量a ,b 满足3a b +=,3a b -=,则向量a 与b 夹角的取值范围是______.三、解答题21.平面内给定三个向量(3,2),(1,2),(4,1)a b c ==-=. (1)求32a b c +-;(2)求满足a mb nc =+的实数m 和n ; (3)若()(2)a kc b a +⊥-,求实数k . 22.已知向量a 与b 的夹角为3π,且1a =,2b =. (1)求a b +;(2)求向量a b +与向量a 的夹角的余弦值. 23.已知向量,a b 满足:16,()2a b a b a ==⋅-=,. (1)求向量a 与b 的夹角; (2)求2a b -.24.如图,正六边形ABCDEF 的边长为1.M ,N 分别是BC ,DE 上的动点,且满足BM DN =.(1)若M ,N 分别是BC ,DE 的中点,求AM AN ⋅的值; (2)求AM AN ⋅的取值范围.25.已知向量()1,1,3,(0)2u sin x v sin x cos x ωωωω⎛⎫=-=+> ⎪⎝⎭且函数()f x u v =⋅,若函数f (x )的图象上两个相邻的对称轴距离为2π. (1)求函数f (x )的解析式; (2)将函数y =f (x )的图象向左平移12π个单位后,得到函数y =g (x )的图象,求函数g (x )的表达式并其对称轴;(3)若方程f (x )=m (m >0)在0,2x π⎡⎤∈⎢⎥⎣⎦时,有两个不同实数根x 1,x 2,求实数m 的取值范围,并求出x 1+x 2的值.26.在ABC 中,D 是线段AB 上靠近B 的一个三等分点,E 是线段AC 上靠近A 的一个四等分点,4DF FE =,设AB m =,BC n =. (1)用m ,n 表示AF ;(2)设G 是线段BC 上一点,且使//EG AF ,求CG CB的值.【参考答案】***试卷处理标记,请不要删除一、选择题 1.C 解析:C 【分析】利用向量共线的充要条件判断出①错,③正确;利用向量的运算法则求出OP ,求出x ,y 判断出②正确,利用三点共线解得④正确 【详解】当0x =时,OP yOB =,则P 在线段BE 上,故13y ≤≤,故①错 当P 是线段CE 的中点时,13()2OP OE EP OB EB BC =+=++ ()11153(2)32222OB OB AB OB OB OB OA OA OB =+-+=-+-=-+,故②对x y +为定值1时,A ,B ,P 三点共线,又P 是平行四边形BCDE 内(含边界)的一点,故P 的轨迹是线段,故③对如图,过P 作//PM AO ,交OE 于M ,作//PN OE ,交AO 的延长线于N , 则:OP ON OM =+;又OP xOA yOB =+;0x ∴≤,1y ≥;由图形看出,当P 与B 重合时:01OP OA OB =⋅+⋅;此时x 取最大值0,y 取最小值1;所以x y -取最大值1-,故④正确 所以选项②③④正确. 故选:C 【点睛】结论点睛:若OC xOA yOB =+,则,,A B C 三点共线1x y ⇔+=.2.C解析:C 【解析】,,又,,则,故选3.B解析:B 【分析】首先分别求出12a e e =+与122b e e =-+的数量积以及各自的模,利用数量积公式求之. 【详解】 由已知,1212e e ⋅=,所以(()1212)2e e e e +-+=32,|12e e +3,|122e e -+3, 设向量1212,2a e e b e e =+=-+的夹角为α,则312cos ,2333παα==∴=⋅.故答案为B 【点睛】(1)本题主要考查向量的夹角的求法,意在考查学生对该知识的掌握水平和分析推理计算能力.(2) 求两个向量的夹角一般有两种方法,方法一:·cos ,ab a b a b=,方法二:设a =11(,)x y ,b =22(,)x y ,θ为向量a 与b 的夹角,则121222221122cos x y x yθ=+⋅+.4.A解析:A 【解析】Rt AOB 中,0OA OB ⋅=,∴2AOB π∠=,∵5OA =,25OB =,∴225AB OA OB += , ∵AB 边上的高线为OD ,点E 位于线段OD 上,建立平面直角坐标系,如图所示; 则)5,0A、(025B ,、设(),D m n ,则OAD BAO ∽,∴OA ADAB OA=, ∴1AD =,∴15AD AB =, 即()(155,255m n =-,,求得45m =, ∴4525D ⎝⎭;则45254525OE OD λλ⎫===⎪⎪⎝⎭⎝⎭, 45255,EA ⎛⎫= ⎪ ⎪⎭;∵34OE EA ⋅=, ∴2454525354⎫⎫⋅-=⎪⎪⎪⎪⎭⎝⎭, 解得34λ=或14λ=;∴向量EA 在向量OD 上的投影为))452511ED OD OE λλ⎛⎫=-=-- ⎪⎪⎝⎭, 当34λ=时,5512ED ⎛== ⎝⎭;当14λ=时,353532ED ==⎝⎭. 即向量EA 在向量OD 上的投影为12或32,故选A.5.D解析:D 【分析】根据向量的几何意义把抽象问题具体化,转化到圆与圆的位置关系问题. 【详解】如图所示,设11OA a =,22OA a =,此时121A A =,由题意可知:对于任意的1,2i = 及1,2,,j k =⋅⋅⋅,{}1,2i j a b -∈, 作j j OB b =则有1j A B 等于1或2,且2j A B 等于1或2, 所以点(1,2,,)j B j k =同时在以(1,2)i A i =为圆心,半径为1或2的圆上,由图可知共有6个交点满足条件,故k 的最大值为6.故选:D. 【点睛】本题主要考查平面向量的线性运算和平面向量的应用.6.C解析:C 【分析】根据向量的运算法则,求得12AM AD AB =+,2132MN AD AB =-+,再结合向量的数量积的运算公式,即可求解. 【详解】由题意,作出图形,如图所示:由图及题意,根据向量的运算法则,可得12AM AD DM AD AB =+=+, 2132MN CN CM CB CD =-=-21213232BC DC AD AB =-+=-+,所以2212121||||23234AM MN AD AB AD AB AD AB ⎛⎫⎛⎫⋅=+⋅-+=-⋅+⋅ ⎪ ⎪⎝⎭⎝⎭21936334=-⨯+⨯=.故选C .【点睛】本题主要考查了向量的运算法则,以及平面向量的数量积的运算,其中解答中熟练应用向量的运算法则和向量的数量积的运算公式是解答的关键,着重考查推理与运算能力.7.B解析:B 【分析】作出图形,利用平面向量的线性运算以及数量积的运算性质可得出21P OP E PF =⋅-,求得OP 的最大值,由此可求得PE PF ⋅的最大值. 【详解】 如下图所示:由题可知正方形ABCD 的内切圆的半径为1,设该内切圆的圆心为O ,()()()()2221PE PF OE OP OF OP OP OE OP OE OP OE OP ⋅=-⋅-=-+⋅--=-=-,由图象可知,当点P 为ABCD 的顶点时,2OP 取得最大值2,所以PE PF ⋅的最大值为1.故选:B. 【点睛】本题考查平面向量数量积最值的计算,考查计算能力,属于中等题.8.A解析:A 【分析】根据2(1,2),(1,)+==a b m b m 可得0,2m a ⎛⎫= ⎪⎝⎭,结合||cos a θ=,列出等式,即可解出答案. 【详解】因为向量,a b 满足2(1,2),(1,)a b m b m +==,22(0,)a a b b m =+-=,所以20,,22m m a a b ⎛⎫=⋅= ⎪⎝⎭,若向量,a b 的夹角为θ,则2225||(||cos )152m b a m a b θ=+⋅=⋅=, 所以42516160m m --=,即()()225440m m +-=,解得2m =±. 故选:A . 【点睛】本题主要考查向量的投影及平面向量数量积公式,属于中档题.平面向量数量积公式有两种形式,一是||||cos a b a b θ⋅=,二是1212a b x x y y ⋅=+,主要应用以下几个方面:(1)求向量的夹角,cos ||||a ba b θ⋅=⋅(此时a b ⋅往往用坐标形式求解);(2)求投影,a 在b 上的投影是||a bb ⋅;(3),a b 向量垂直则0a b ⋅=;(4)求向量ma nb +的模(平方后需求a b ⋅). 9.C解析:C 【分析】对=2a b -两边平方后,结合2·cos 3a b a b π=⋅进行化简可得:224a b b +⋅+=;由基本不等式可得222a b a b +⋅,于是推出403a b<⋅,再结合平面向量数量积即可得解. 【详解】因为2a b -=,所以 2224a a b b -⋅+=,所以2222cos 43b b a a π-⋅+=,即224a a b b +⋅+=, 由基本不等式的性质可知,222a ba b +⋅,403a b∴<⋅, 所以212·cos ,0323a b a b a b π⎡⎫=⋅⋅=-⋅∈-⎪⎢⎣⎭. 故选:C . 【点睛】本题主要考查平面向量数量积运算,考查利用基本不等式求最值,难度一般.对于平面向量的模长问题,一般采用平方处理,然后结合平面向量数量积的运算公式求解即可.10.C解析:C 【分析】先根据题意得1AD =,CD =2AB DC =,再结合已知和向量的加减法运算求解即可得的答案. 【详解】由题意可求得1AD =,CD =所以2AB DC =, 又13BE BC =, 则()1133AE AB BE AB BC AB BA AD DC =+=+=+++ 1111333AB AD DC ⎛⎫=-++ ⎪⎝⎭1111336AB AD AB ⎛⎫=-++ ⎪⎝⎭115116363AB AD AB AD ⎛⎫=-+=+ ⎪⎝⎭.故选:C. 【点睛】本题考查用基底表示向量,考查运算能力,是基础题.11.C解析:C 【分析】由0a b c ++=,可得2222222().2()a b c a b b c a b c =-+=-+、2222()a c b a c =-+,利用||||||a b c <<,即可比较. 【详解】解:由0a b c ++=,可得()c a b =-+,平方可得2222()a b c a b =-+. 同理可得2222()b c a b c =-+、2222()a c b a c =-+,||||||a b c <<,∴222a b c <<则a b 、b c 、a c 中最小的值是b c . 故选:C . 【点睛】本题考查了向量的数量积运算,属于中档题.12.B解析:B 【分析】由//m n ,可得()()()0a b a c b b c +⨯--⨯+=.结合余弦定理,可求角C . 【详解】(,),(,)m a b b c n c b a =++=-,且//m n ,()()()0a b a c b b c ∴+⨯--⨯+=,整理得222c a b ab =++. 又22212cos ,cos 2c a b ab C C =+-∴=-.()20,,3C C ππ∈∴=.故选:B. 【点睛】本题考查向量共线的坐标表示和余弦定理,属于基础题.二、填空题13.【分析】用几何意义求解不妨设则在圆心在原点半径为2的圆上设则在以为圆心半径为1的圆上运动后形成的轨迹是圆心在原点大圆半径为3小圆半径为1的圆环表示圆环内的点与定点的距离由图形可得最大值和最小值【详解解析:3⎡⎤⎣⎦【分析】用几何意义求解.不妨设()1,0a =,()0,1b =,(),c x y =,则(,)C x y 在圆心在原点,半径为2的圆上,设(),d x y '=',则(,)D x y ''在以C 为圆心半径为1的圆上,C 运动后,D 形成的轨迹是圆心在原点,大圆半径为3,小圆半径为1的圆环,2a b d ++表示圆环内的点D 与定点()2,1P --的距离,由图形可得最大值和最小值.【详解】令()1,0a =,()0,1b =,(),c x y =,设C 的坐标为(),x y ,C 的轨迹为圆心在原点,半径为2的圆上.设(),d x y '=',D 的坐标为(),x y '',D 的轨迹为圆心在原点,大圆半径为3,小圆半径为1的圆环上.()22,1a b d d ++=---表示D 与点()2,1P --的距离,由图可知,故2a b d ++的取值范围为0,53⎡⎤+⎣⎦. 故答案为:0,53⎡⎤+⎣⎦【点睛】本题考查向量模的几何意义,考查模的最值,解题关键是设()1,0a =,()0,1b =,(),c x y =,(),d x y '=',固定,a b 后得出了,C D 的轨迹,然后由模2a b d ++的几何意义得出最值.14.①③【分析】根据点的广义坐标分别为利用向量的运算公式分别计算①②③④得出结论【详解】点的广义坐标分别为对于①线段的中点设为M 根据=()=中点的广义坐标为故①正确对于②∵(x2﹣x1)A 两点间的距离为解析:①③ 【分析】根据点A 、B 的广义坐标分别为()11,x y 、()22,x y ,1112OA x e y e ∴=+,2122OB x e y e =+,利用向量的运算公式分别计算①②③④,得出结论.【详解】点A 、B 的广义坐标分别为()11,x y 、()22,x y ,1112OA x e y e ∴=+,2122OB x e y e =+,对于①,线段A 、B 的中点设为M ,根据OM =12(OA OB +)=12112211()()22x x e y y e +++∴中点的广义坐标为1212,22x x y y ++⎛⎫⎪⎝⎭,故①正确. 对于②,∵AB =(x 2﹣x 1)()1212e y y e +-,∴A 、B 12e ,故②不一定正确.对于③,向量OA 平行于向量OB ,则t OA OB =,即(11,x y )=t ()22,x y ,1221x y x y ∴=,故③正确.对于④,向量OA 垂直于向量OB ,则OA OB =0,221211221121220x x e x y x y e e y y e ∴+++=(),故④不一定正确.故答案为①③. 【点睛】本题在新情境下考查了数量积运算性质、数量积定义,考查了推理能力与计算能力,属于中档题.15.【解析】分析:建立平面直角坐标系结合平面向量数量积的坐标运算整理计算即可求得最终结果详解:建立如图所示的平面直角坐标系则:由中心坐标公式可得:即据此有:结合平面向量数量积的坐标运算法则可得:点睛:求 解析:209-【解析】分析:建立平面直角坐标系,结合平面向量数量积的坐标运算整理计算即可求得最终结果.详解:建立如图所示的平面直角坐标系,则:()0,2A ,()0,0B ,()C ,由中心坐标公式可得:2003G ⎫++⎪⎪⎝⎭,即23G ⎫⎪⎭, 据此有:233GB ⎛⎫=-- ⎪⎝⎭,4233GC ⎛⎫=-⎪⎭, 结合平面向量数量积的坐标运算法则可得:222203339GB GC ⎛⎛⎫⎛⎫⋅=--⨯-=- ⎪ ⎪⎝⎝⎭⎝⎭.点睛:求两个向量的数量积有三种方法:利用定义;利用向量的坐标运算;利用数量积的几何意义.具体应用时可根据已知条件的特征来选择,同时要注意数量积运算律的应用.16.【分析】由可得为的外心又可得为的垂心则为的中心即为正三角形运用向量的数量积定义可得的边长以为坐标原点所在直线为轴建立直角坐标系求得的坐标再设由中点坐标公式可得的坐标运用两点的距离公式可得的长运用三角 解析:494【分析】由DA DB DC ==,可得D 为ABC ∆的外心,又DA DB DB DC DC DA ⋅=⋅=⋅,可得D 为ABC ∆的垂心,则D 为ABC ∆的中心,即ABC ∆为正三角形.运用向量的数量积定义可得ABC ∆的边长,以A 为坐标原点,AD 所在直线为x 轴建立直角坐标系xOy ,求得,B C 的坐标,再设(cos ,sin ),(02)P θθθπ≤<,由中点坐标公式可得M 的坐标,运用两点的距离公式可得BM 的长,运用三角函数的恒等变换公式,结合正弦函数的值域,即可得到最大值. 【详解】解: 由DA DB DC ==,可得D 为ABC ∆的外心, 又DA DB DB DC DC DA ⋅=⋅=⋅,可得()0,(DB DA DC DC DB ⋅-=⋅ )0DA -=,即0DB AC DC AB ⋅=⋅=, 即有,DB AC DC AB ⊥⊥,可得D 为ABC ∆的垂心, 则D 为ABC ∆的中心,即ABC ∆为正三角形, 由2DA DB ⋅=-,即有||||cos1202DA DB ︒⋅=-, 解得||2DA =,ABC ∆的边长为4cos3023︒=以A 为坐标原点,AD 所在直线为x 轴建立直角坐标系xOy , 可得B(3,3),C(3,3),D(2,0)-, 由||1AP =,可设(cos ,sin ),(02)P θθθπ≤<,由PM MC =,可得M 为PC 中点,即有3cos 3sin (2M θθ++,则2223cos3sin||3=3+2BMθθ⎛⎫++⎛⎫-+⎪⎪ ⎪⎝⎭⎝22(3cos)(33sin)376cos63sin4θθθθ-+-+=+=3712sin64πθ⎛⎫+-⎪⎝⎭=,当sin16πθ⎛⎫-=⎪⎝⎭,即23πθ=时,取得最大值,且为494.故答案为:494.【点睛】本题考查向量的定义和性质,以及模的最值的求法,注意运用坐标法,转化为三角函数的最值的求法,考查化简整理的运算能力,属于中档题.17.【分析】延长BC作圆M的切线设切点为A1切线与BD的交点D结合数量积的几何意义可得点A运动到A1时在上的投影最小设将结果表示为关于的二次函数求出最值即可【详解】如图延长BC作圆M的切线设切点为A1切解析:2-【分析】延长BC,作圆M的切线,设切点为A1,切线与BD的交点D,结合数量积的几何意义可得点A运动到A1时,CA在CB上的投影最小,设CP x=,将结果表示为关于x的二次函数,求出最值即可.【详解】如图,延长BC,作圆M的切线,设切点为A1,切线与BD的交点D,由数量积的几何意义,CA CB⋅等于CA在CB上的投影与CB之积,当点A运动到A1时,CA在CB上的投影最小;设BC中点P,连MP,MA1,则四边形MPDA1为矩形;设CP=x,则CD=2-x,CB=2x,CA CB⋅=()()222224212x x x x x--⋅=-=--,[]02x∈,,所以当1x =时,CA CB ⋅最小,最小值为2-, 故答案为:2-. 【点睛】本题考查平面向量数量积的几何意义,考查了学生的作图能力以及分析问题解决问题的能力,属于中档题.18.【分析】根据条件及向量数量积运算求得连接由三角形中线的性质表示出根据向量的线性运算及数量积公式表示出结合二次函数性质即可求得最小值【详解】根据题意连接如下图所示:在等腰三角形中已知则由向量数量积运算 解析:77【分析】根据条件及向量数量积运算求得AB AC ⋅,连接,AM AN ,由三角形中线的性质表示出,AM AN .根据向量的线性运算及数量积公式表示出2MN ,结合二次函数性质即可求得最小值. 【详解】根据题意,连接,AM AN ,如下图所示:在等腰三角形ABC 中,已知1AB AC ==,120A ∠=︒则由向量数量积运算可知1cos 11cos1202AB AC AB AC A ⋅=⋅=⨯⨯=- 线段EF BC 、的中点分别为M N 、则()()1122AM AE AF AB AC λμ=+=+ ()12AN AB AC =+ 由向量减法的线性运算可得11112222MN AN AM AB AC λμ⎛⎫⎛⎫=-=-+-⎪ ⎪⎝⎭⎝⎭所以2211112222MN AB AC λμ⎡⎤⎛⎫⎛⎫=-+- ⎪ ⎪⎢⎥⎝⎭⎝⎭⎣⎦222211111111222222222AB AC AB AC λμλμ⎛⎫⎛⎫⎛⎫⎛⎫=-+-+⨯-⨯-⨯⋅ ⎪ ⎪ ⎪ ⎪⎝⎭⎝⎭⎝⎭⎝⎭221111111112222222222λμλμ⎛⎫⎛⎫⎛⎫⎛⎫⎛⎫=-+-+⨯-⨯-⨯- ⎪ ⎪ ⎪ ⎪ ⎪⎝⎭⎝⎭⎝⎭⎝⎭⎝⎭因为41λμ+=,代入化简可得22221312111424477MN μμμ⎛⎫=-+=-+ ⎪⎝⎭因为(),0,1λμ∈且41λμ+=10,4μ⎛⎫∴∈ ⎪⎝⎭所以当17μ=时, 2MN 取得最小值17因而minMN==故答案为: 7【点睛】本题考查了平面向量数量积的综合应用,向量的线性运算及模的求法,二次函数最值的应用,属于中档题.19.【分析】将已知条件转化为结合得到设列出关于的方程组由此求得【详解】由于所以所以即因为即化简得设所以解得故答案为:【点睛】本小题主要考查平面向量的基本定理考查平面向量的线性运算考查化归与转化的数学思想解析:53【分析】将已知条件转化为1539AO AB AC =+,结合BD DC λ=,得到111AD AB AC λλλ=+++,设AO k AD =,列出关于,k λ的方程组,由此求得λ. 【详解】 由于305OA OB OC =++,所以()()350OA AB AO AC AO +-+-=,所以935AO AB AC =+,即1539AO AB AC =+. 因为BD DC λ=,即()AD AB AC AD λ-=-, 化简得111AD AB AC λλλ=+++, 设11k k AO k AD AB AC λλλ==+++,所以1 13519kkλλλ⎧=⎪⎪+⎨⎪=⎪+⎩,解得53λ=.故答案为:53【点睛】本小题主要考查平面向量的基本定理,考查平面向量的线性运算,考查化归与转化的数学思想方法,属于中档题.20.【分析】由已知得由得由不等式可知再由得最后由可得解【详解】由得即由得即由得由得所以故答案为:【点睛】本题考查了向量及其模的运算考查了向量的夹角公式和基本不等式考查了计算能力属于中档题解析:0,3π⎡⎤⎢⎥⎣⎦【分析】由已知,得22222923a ab ba ab b+⋅⎧⎪⎨⎪+=-⋅+=⎩②①,由+①②,得226a b+=,由不等式可知3a b ≤,再由-①②,得32a b⋅=,最后由cos,a ba ba b⋅=可得解.【详解】由3a b+=,3a b-=,得()()2239baab⎧⎪⎨⎪-==+⎩,即22222923a ab ba ab b+⋅⎧⎪⎨⎪+=-⋅+=⎩②①由+①②,得226a b+=,即226a b+=由-①②,得32a b⋅=由222a b a b +≥,得3a b ≤1cos ,2a b a b a b⋅=≥所以,0,3a b π≤≤.故答案为:0,3π⎡⎤⎢⎥⎣⎦【点睛】本题考查了向量及其模的运算,考查了向量的夹角公式和基本不等式,考查了计算能力,属于中档题.三、解答题21.(1)6;(2)58,99m n ==;(3)1118k =-.【分析】(1)利用向量加法的坐标运算得到()320,6a b c +-=,再求模长即可;(2)先写mb nc +的坐标,再根据a mb nc =+使对应横纵坐标相等列方程组,解方程组即得结果;(3)利用向量垂直则数量积为零,再利用数量积的坐标运算列关系求出参数即可. 【详解】解:(1)由(3,2),(1,2),(4,1)a b c ==-=,得3(9,6),(1,2),2(8,2)a b c ==-=∴()()32918,6220,6a b c +-=--+-=,∴23206a b c +-=+=;(2)()(),2,4,mb m m nc n n =-=, ∴()4,2mb nc n m m n +=-+,a mb nc =+,∴()4,2(3,2)a n m m n ==-+,故4322n m m n -=⎧⎨+=⎩,解得58,99m n ==;(3)(3,2),(4,)a kc k k ==,∴()34,2a kc k k +=++,(3,2),2(2,4)a b ==-,∴()25,2b a -=-,()()2a kc b a +⊥-,∴()()20a kc b a +⋅-=,即()()534220k k -+++=,解得1118k =-. 【点睛】 结论点睛:若()()1122,,,a x y b x y == ,则//a b 等价于12210x y x y -=;a b ⊥等价于12120x x y y +=.22.(1;(2. 【分析】(1)由已知利用平面向量数量积公式可得1a b ⋅=,平方后根据向量数量积的运算可求||a b +的值.(2)结合(1),根据已知条件,由向量夹角的余弦公式即可求解.【详解】(1)向量a 与b 的夹角为3π,且||1a =,||2b =, ∴||||cos a b a b a ⋅=<,112cos12132b π>=⨯⨯=⨯⨯=.222||()2142a b a b a b a b ∴+=+=++⋅=++=.(2)设向量a b +与向量a 的夹角θ,22()||27cos ||||||||||||71a b a a a b a a b a b a a b a a b a θ+⋅+⋅+⋅∴=====+⋅+⋅+⋅⨯. 【点睛】本题主要考查了向量数量积的运算及计算公式,向量夹角的余弦公式,属于中档题.23.(1)π3;(2) 【分析】(1)设向量a 与b 的夹角θ,利用向量的数量积公式计算()2a b a ⋅-=,可得向量的夹角;(2)利用向量的模长公式:2a a =,代入计算可得. 【详解】 (1)设向量a 与b 的夹角θ, ()16cos 12a b a a b θ⋅-=⋅-=-=,解得1cos 2θ=, 又[]0πθ∈,,π3θ∴= (2)由向量的模长公式可得:()222a b a b -=-==. 【点睛】 本题主要考查向量数量积公式的应用,向量模长的计算,求向量的模长需要熟记公式2a a =,考查学生的逻辑推理与计算能力,属于基础题.24.(1)118;(2)31.2⎡⎤⎢⎥⎣⎦. 【分析】 (1)首先以点A 为坐标原点建立平面直角坐标系.求AM ,AN 的坐标,再求数量积;(2)首先利用BM DN =,设BM DN t ==,表示向量AM ,AN ,利用数量积的坐标表示转化为二次函数求取值范围. 【详解】 (1)如图,以AB 所在直线为x 轴,以A 为坐标原点建立平面直角坐标系.因为ABCDEF 是边长为1的正六边形,且M ,N 分别是BC ,DE 的中点, 所以53,44M ⎛⎫ ⎪ ⎪⎝⎭,132N ⎛ ⎝, 所以5311848AM AN ⋅=+=. (2)设BM DN t ==,则[]0,1t ∈.所以31,22t M ⎛⎫+ ⎪ ⎪⎝⎭,(13N t -. 所以()()223113*********t AM AN t t t t t ⎛⎫⋅=+⋅-+=-++=--+ ⎪⎝⎭. 当0t =时,AM AN ⋅取得最小值1;当1t =时,AM AN ⋅取得最大值32. 所以AM AN ⋅的取值范围为31.2⎡⎤⎢⎥⎣⎦. 【点睛】本题考查数量积的坐标表示,重点考查计算能力,属于基础题型.25.(1)()26f x sin x π⎛⎫=- ⎪⎝⎭;(2)()2g x sin x =, 对称轴为,42k x k Z ππ=+∈;(3)112m ≤<,,1223x x π+=. 【分析】 (1) 根据向量()1,1,3,(0)2u sin x v sin x cos x ωωωω⎛⎫=-=+> ⎪⎝⎭和函数()f x u v =⋅,利用数量积结合倍角公式和辅助角法得到,()26πω⎛⎫=-⎪⎝⎭f x sin x ,再根据函数f (x )的图象上两个相邻的对称轴距离为2π求解. (2)依据左加右减,将函数y =f (x )的图象向左平移12π个单位后,得到函数()22126g x sin x sin x ππ⎡⎤⎛⎫=+-= ⎪⎢⎥⎝⎭⎣⎦,令2,2ππ=+∈x k k Z 求其对称轴. (3)作出函数f (x )在0,2π⎡⎤⎢⎥⎣⎦上图象,根据函数y =f (x )与直线y =m 在0,2π⎡⎤⎢⎥⎣⎦上有两个交点求解.再令2,62x k k Z πππ-=+∈,求对称轴. 【详解】(1)()()21122ωωωωωω=-=-f x sin x sin x x sin x xcos x ,1222226πωωω⎛⎫=-=- ⎪⎝⎭sin x cos x sin x ∵函数f (x )的图象上两个相邻的对称轴距离为2π, ∴22T π=, ∴2(0)2ππωω=>, ∴ω=1, 故函数f (x )的解析式为()sin 26f x x π⎛⎫=-⎪⎝⎭; (2)依题意,()22126g x sin x sin x ππ⎡⎤⎛⎫=+-= ⎪⎢⎥⎝⎭⎣⎦, 令2,2ππ=+∈x k k Z ,则,42ππ=+∈k x k Z , ∴函数g (x )的对称轴为,42ππ=+∈k x k Z ;(3)∵0,2x π⎡⎤∈⎢⎥⎣⎦, ∴52,666x πππ⎡⎤-∈-⎢⎥⎣⎦, ∴12,162sin x π⎛⎫⎡⎤-∈- ⎪⎢⎥⎝⎭⎣⎦, 函数f (x )在0,2π⎡⎤⎢⎥⎣⎦上的草图如下,依题意,函数y =f (x )与直线y =m 在0,2π⎡⎤⎢⎥⎣⎦上有两个交点,则112m ≤<, 令2,62x k k Z πππ-=+∈,则,32k x k Z ππ=+∈, ∴函数f (x )在0,2π⎡⎤⎢⎥⎣⎦上的对称轴为3x π=,则1223x x π+=. 【点睛】 本题主要考查了平面向量和三角函数,三角函数的图象和性质及其应用,还考查了数形结合的思想和运算求解的能力,属于中档题.26.(1)1135AF m n =+(2)310CG CB = 【分析】(1)依题意可得23AD AB =、14AE AC =,再根据DE AE AD =-,AF AD DF =+计算可得;(2)设存在实数λ,使得(01)CG CB λλ=<<,由因为//EG AF ,所以存在实数μ, 使AF EG μ=,再根据向量相等的充要条件得到方程组,解得即可;【详解】解:(1)因为D 是线段AB 上靠近B 的一个三等分点,所以23AD AB =.因为E 是线段AC 上靠近A 的一个四等分点,所以14AE AC =, 所以1243DE AE AD AC AB =-=-. 因为4DF FE =,所以4185515DF DE AC AB ==-, 则2183515AF AD DF AB AC AB =+=+- 2111()15535AB AB BC AB BC =++=+. 又AB m =,BC n =. 所以11113535AF AB BC m n =+=+. (2)因为G 是线段BC 上一点,所以存在实数λ,使得(01)CG CB λλ=<<, 则33()44EG EC CG AC CB AB BC BC λλ=+=+=+- 3333()()4444AB BC m n λλ=+-=+- 因为//EG AF ,所以存在实数μ,使AF EG μ=,即1133[()]3544m n m n μλ+=+-, 整理得31,4331(),45μμλ⎧=⎪⎪⎨⎪-=⎪⎩解得310λ=, 故310CGCB =. 【点睛】本题考查平面向量的线性运算及平面向量共线定理的应用,属于中档题.。
《平面向量》测试卷考试时间:120分钟满分:150分一.选择题.(本大题共12小题,每小题5分,共60分) 1.对于任意向量a b 和,下列命题中正确的是()A.若,a b 满足a b >,且a b 与同向,则a b >B.a b a b +≤+ C .a b a b ⋅≥ D.a b a b -≤-2.已知平面向量(1,1),(1,1)a b ==-,则向量1322a b -等于()A .(2,1)--ﻩ B.(2,1)- C.(1,0)- D.(1,2)- 3.下列各组向量中,可以作为基底的是() A .12(0,0),(1,2)e e ==-B .12(1,2),(5,7)e e =-=C .12(3,5),(6,10)e e ==D .1213(2,3),(,)24e e =-=-4.已知5,28,3()AB a b BC a b CD a b =+=-+=-,则( ) A.A B D 、、三点共线B.A B C 、、三点共线 C.B C D 、、三点共线D.A C D 、、三点共线5.已知正方形ABCD 的边长为1,,,,AB a BC b AC c ===则a b c ++等于() A.0B.32D.226.已知,,,,OA a OB b OC c OD d ====且四边形ABCD 为平行四边形,则() A.0a b c d +++=B.0a b c d -+-= C.0a b c d +--=D .0a b c d --+=7.若(2,3),(4,7)a b ==-,则b a 在方向上的投影为()365135658.在三角形ABC 中,,AB c AC b ==,若点D 满足2BD DC =,则AD =( )A.2133b c + B.5233b c - C.2133b c - D.1233b c + 9.如图,正六边形ABCDEF 中,BA CD EF ++=() A.0B.BE C.AD D .CF10.已知点O N P 、、在三角形ABC 所在平面内,且OA OB OC ==,0NA NB NC ++=,PA PB PB PC PC PA ⋅=⋅=⋅,则点O N P 、、依次是三角形ABC 的( )A.重心、外心、垂心B.重心、外心、内心C.外心、重心、垂心D .外心、重心、内心 11.如图,三角形OAB 中,3,2ON NA OM MB ==,AM 和BN 交于点G ,OG mOA nOB =+,则()AA.11,23m n ==B.11,32m n ==C.11,63m n ==D.11,26m n ==12.定义平面向量之间的一种运算“⊗”如下:对任意的(,),(,)a m n b p q ==,令a b mq np ⊗=-.下列说法错误的是( )A.若a b 与共线,则0a b ⊗= B.a b b a ⊗=⊗C.,R λ∈∀都有()()a b a b λλ⊗=⊗D.2222()()a b a b a b ⊗+⋅= 二.填空题.(本大题共4小题,每小题5分,共20分)13.已知向量(2,1),(1,),(1,2)a b m c =-=-=-,若a b +平行于c ,则m =.14.已知三角形ABC 的三个顶点坐标分别为(1,1)A ,(4,1)B ,(4,5)C ,则tan A 的值为. 15.我们知道,(1,0),(0,1)a b ==是一组单位正交基底.请再任意写出一组单位正交基底.16.已知正方形ABCD 的边长为1,点E 是AB 边上的动点,则DE CB ⋅的值为,DE DC ⋅的最大值为.三.解答题.(本大题共6小题,其中17题10分,其余5个小题每题12分,共70分)17.平面向量的数量积a b ⋅是一个非常重要的概念,利用它可以容易地证明平面几何的许多命题,例如勾股定理、菱形的对角线相互垂直、长方形对角线相等、正方形的对角线垂直平分等、三角形的三条中线交于一点、三角形的三条垂线交于一点、三角形的三条角平分线交于一点等.请选择其中一个命题,给出具体证明.18.已知平面直角坐标系中,点O 为原点,(3,4),(5,12)A B ---. (1)求AB 的坐标及AB ;(2)若,OC OA OB OD OA OB =+=-,求OC 及OD 的坐标; (3)求OA OB ⋅.19.在平面直角坐标系xOy 中,已知点(1,2),(2,3),(2,1)A B C ----. (1)求以线段,AB AC (2)设实数t 满足()0AB tOC OC -⋅=,求实数t 的值 20.如图,在矩形ABCD 中,2AB BC ==, 点E 为BC 的中点,点F 在边CD 上, 若2AB AF ⋅=AE BF ⋅的值.21.已知,m n 为单位向量,夹角为3π. (1)求cos 35,2m n m n 〈+-〉;(2)若22,3m n km n π〈-+〉=,求实数k 的值.22.已知(2,1),(3,2),(1,4)A B D -.(1)求证:AB AD ⊥;(2)若四边形ABCD 是矩形,试确定C 点的坐标;(3)若点M 为直线OD 上的一个动点,当MA MB ⋅取最小值时,求OM 的坐标.《平面向量》答案解析一.选择题.(本大题共12小题,每小题5分,共60分)BDBAD BAADC AB二.填空题.(本大题共4小题,每小题5分,共20分)13.1- 14.4315.(cos ,sin ),(sin ,cos )a b θθθθ==-(答案不唯一) 16.1,1三.解答题.(本大题共6小题,其中17题10分,其余5个小题每题12分,共70分)22222222=,2=+==(+)2ABC C AB AC CBAB AC CBAB AB AC CB AC CB AC CB AC CBAC π=+∴=++⋅⊥∴17.解:勾股定理:三角形中,不妨设则有 证明: 又2220CB AB AC CB⋅=∴=+18.(1)(8,8),82(2)(3,4)(5,12)(2,16)(3,4)(5,12)(8,8)(3)(3,4)(5,12)33AB AB OC OD OAOB =-==--+-=-=----=-⋅=--⋅-=解:19.(1)(3,5),(1,1),(2,6),(4,4)210,42(2)(2,1)AB AC AB AC AB AC AB AC AB AC OC AB tOC ==-+=-=∴+=-=∴=--∴-=解:由题意知则 所求的两条对角线长分别为 (3,5)(2,)(23,5)()(23,5)(2,1)511()05110115t t t t AB tOC OC t t t AB tOC OC t t ---=++∴-⋅=++⋅--=---⋅=∴--=∴=-220.,(1)()()222(1)2DF xAB CF x ABAB AF AB AD DF AB AD xAB xAB xxBF BC CF BC ABAE==-⋅=⋅+=⋅+==∴=∴=+=+-∴解:方法一:设则222()(1)212()(1)2211)2211)2422BF AB BE BC ABAB BC BCABAB BC⎡⎤⋅=+⋅+-⎢⎥⎣⎦⎡⎤=+⋅+-⎢⎥⎣⎦=-+=-⨯+⨯=方法二:以(0,0),(2,0),(2,1),(,2)(2,0),(,2),(2,1),(2)2(,2)1(2A AB x AD yA B E F xAB AF x AE BF xAB AFxxAE BF∴====-⋅=∴⋅=∴=∴⋅=为坐标原点,所在直线为轴,所在直线为轴,建立平面直角坐标系,则(12)⋅-=121.(1)29(35)(2),357,232(35)(2)33cos35,2143523(2)(2)(),223,a bm n m n m n m nm n m nm n m nm n m nm n km n km n km⋅=∴+⋅-=+=-=+⋅-∴〈+-〉==+--⋅+=-=解:由题意知232cos31,1()2n k kkk kπ+=+∴=∴=-=或舍(1)(1,1),(3,3),0(2)(,),(3,3)(3,2)0,5(0,5)(3)(,),(,),(AB AD AB AD AB ADC x y AD BC x y x y C M a b OM a b OD ==-∴⋅=∴⊥=-=--∴==∴==-22.解:由题意得 设则由得 设则21,4),,144(2,1)(3,2)(2,14)(3,24)1778714,3417O M D a bb aMA MB a b a b a a a a a a a MA MB b ∴=-∴=-∴⋅=--⋅--=-+⋅-+=++∴=-⋅=三点共线 当,时可取得最小值,此时 714(,)3417OM ∴=-。
高中数学必修四平面向量测试题一、选择题: (本大题共10小题,每小题4分,共40分.在每小题给出的四个选项中,只有一项是符合题目要求的.)1.设点P(3,-6),Q(-5,2),R的纵坐标为-9,且P、Q、R三点共线,则R点的横坐标为()。
A、-9B、-6C、9D、62.已知=(2,3), b=(-4,7),则在b上的投影为()。
A、 B、C、D、3.设点A(1,2),B(3,5),将向量按向量=(-1,-1)平移后得向量为()。
A、(2,3)B、(1,2)C、(3,4)D、(4,7)4.若(a+b+c)(b+c-a)=3bc,且sinA=sinBcosC,那么ΔABC是()。
A、直角三角形B、等边三角形C、等腰三角形D、等腰直角三角形5.已知| |=4, |b|=3, 与b的夹角为60°,则| +b|等于()。
A、 B、 C、 D、6.已知O、A、B为平面上三点,点C分有向线段所成的比为2,则()。
A、 B、C、 D、7.O是ΔABC所在平面上一点,且满足条件,则点O是ΔABC的()。
A、重心B、垂心C、内心D、外心8.设、b、均为平面内任意非零向量且互不共线,则下列4个命题:(1)( ·b)2= 2·b2(2)| +b|≥| -b| (3)| +b|2=( +b)2(4)(b) -(a)b与不一定垂直。
其中真命题的个数是()。
A、1B、2C、3D、49.在ΔABC 中,A=60°,b=1, ,则 等于( )。
A 、B 、C 、D 、10.设 、b 不共线,则关于x 的方程 x 2+b x+ =0的解的情况是( )。
A 、至少有一个实数解 B 、至多只有一个实数解 C 、至多有两个实数解 D 、可能有无数个实数解 二、填空题:(本大题共4小题,每小题4分,满分16分.).11.在等腰直角三角形ABC 中,斜边AC=22,则CA AB =_________12.已知ABCDEF 为正六边形,且AC =a ,AD =b ,则用a ,b 表示AB 为______.13.有一两岸平行的河流,水速为1,速度为的小船要从河的一边驶向对岸,为使所行路程最短,小船应朝________方向行驶。
一 .选择题1.以下说法错误的选项是()A .零向量与任一非零向量平行 B.零向量与单位向量的模不相等C.平行向量方向同样D.平行向量必定是共线向量2.以下四式不可以化简为AD的是()A .(AB+CD)+BC;B .(AD+MB)+(BC+CM);C.MB+AD-BM; D .OC-OA+CD;3.已知a =( 3, 4),b =( 5, 12),a与b则夹角的余弦为()A.63B.65C.13D.13 6554.已知 a、 b 均为单位向量 ,它们的夹角为60°,那么 |a+ 3b| =()A.7B.10C.13D.45.已知 ABCDEF 是正六边形,且AB = a , AE = b ,则BC=()( A )12( a b) (B)12(b a ) (C) a +12b(D)12(a b)6.设a,b为不共线向量,AB=a+2b,BC=-4a-b,CD=-5 a- 3 b , 则以下关系式中正确的选项是()(A)AD=BC(B)AD=2BC(C)AD=-BC(D)AD=-2BC7.设e1与e2是不共线的非零向量,且k e1+e2与e1+ k e2共线,则 k 的值是()( A) 1(B)-1(C)1(D)随意不为零的实数8.在四边形ABCD中,AB=DC,且AC·BD= 0,则四边形ABCD是()( A)矩形(B)菱形(C)直角梯形(D)等腰梯形9.已知 M (- 2, 7)、 N( 10,- 2),点 P 是线段 MN 上的点,且PN =-2PM,则P点的坐标为()( A )(-14,16)(B)(22,-11)(C)(6,1)(D)(2,4)10.已知a=( 1,2),b=(- 2,3),且 k a + b与a- k b垂直,则k=()(A)1 2 (B) 2 1(C) 2 3(D)3211、若平面向量r r(2 x3, x) 相互平行,此中r r)a (1, x) 和 b x R .则a b (A.2或0;B.25;C. 2或2 5;D. 2或10.12、下边给出的关系式中正确的个数是()① 0 a0 ② a b b a ③a2 a 2④(a b )c a (b c)⑤a b a b(A) 0(B) 1(C) 2(D) 3二. 填空题 :13.若AB(3,4), A点的坐标为(-2,-1),则B点的坐标为.14.已知a(3,4), b(2,3),则 2 | a | 3a b.15、已知向量a3, b(1,2) ,且a b ,则a的坐标是_________________。
(完整word版)高一数学必修4平面向量测试题(含答案)(word版可编辑修改) 编辑整理:尊敬的读者朋友们:这里是精品文档编辑中心,本文档内容是由我和我的同事精心编辑整理后发布的,发布之前我们对文中内容进行仔细校对,但是难免会有疏漏的地方,但是任然希望((完整word版)高一数学必修4平面向量测试题(含答案)(word版可编辑修改))的内容能够给您的工作和学习带来便利。
同时也真诚的希望收到您的建议和反馈,这将是我们进步的源泉,前进的动力。
本文可编辑可修改,如果觉得对您有帮助请收藏以便随时查阅,最后祝您生活愉快业绩进步,以下为(完整word版)高一数学必修4平面向量测试题(含答案)(word版可编辑修改)的全部内容。
一。
选择题1.以下说法错误的是( )A .零向量与任一非零向量平行B 。
零向量与单位向量的模不相等C 。
平行向量方向相同D 。
平行向量一定是共线向量2.下列四式不能化简为AD 的是( )A .;)+(B .+(MC .;-+BM AD M B D .;+-CD OA OC3.已知a =(3,4),b =(5,12),a 与b 则夹角的余弦为( )A .6563B .65C .513D .134. 已知a 、b 均为单位向量,它们的夹角为60°,那么|a + 3b | =( )A .7B .10C .13D .45.已知ABCDEF 是正六边形,且−→−AB =→a ,−→−AE =→b ,则−→−BC =( ) (A) )(21→→-b a (B ) )(21→→-a b (C ) →a +→b 21 (D ) )(21→→+b a 6.设→a ,→b 为不共线向量,−→−AB =→a +2→b ,−→−BC =-4→a -→b ,−→−CD =-5→a -3→b ,则下列关系式中正确的是 ( )(A)−→−AD =−→−BC (B )−→−AD =2−→−BC (C)−→−AD =-−→−BC (D )−→−AD =-2−→−BC7.设→1e 与→2e 是不共线的非零向量,且k →1e +→2e 与→1e +k →2e 共线,则k 的值是( )(A ) 1 (B) -1 (C ) 1± (D ) 任意不为零的实数8.在四边形ABCD 中,−→−AB =−→−DC ,且−→−AC ·−→−BD =0,则四边形ABCD 是( )(A ) 矩形 (B ) 菱形 (C) 直角梯形 (D ) 等腰梯形9.已知M (-2,7)、N (10,-2),点P 是线段MN 上的点,且−→−PN =-2−→−PM ,则P 点的坐标为( )(A ) (-14,16)(B) (22,-11)(C) (6,1) (D) (2,4)10.已知→a =(1,2),→b =(-2,3),且k →a +→b 与→a -k →b 垂直,则k =( )(A) 21±-(B) 12±(C) 32±(D ) 23±11、若平面向量(1,)a x =和(23,)b x x =+-互相平行,其中x R ∈.则a b -=( )A 。
a an t 1平面向量练习题一、选择题1、若向量= (1,1), = (1,-1), =(-1,2),则 等于()abc cA 、+B 、C 、D 、+ 21-a 23b 21a 23-b 23a 21-b23-a 21b2、已知,A (2,3),B (-4,5),则与共线的单位向量是( )AB A 、B 、)1010,10103(-=e 1010,10103()1010,10103(--=或e C 、D 、)2,6(-=e )2,6()2,6(或-=e 3、已知垂直时k 值为()b a b a k b a 3),2,3(),2,1(-+-==与A 、17B 、18C 、19D 、204、已知向量=(2,1), =(1,7), =(5,1),设X 是直线OP 上的一点(O 为坐标原点),那么的最OP OA OB XB XA ⋅小值是 ( )A 、-16B 、-8C 、0D 、45、若向量分别是直线ax+(b -a)y -a=0和ax+4by+b=0的方向向量,则 a,b 的值分别可以是)1,2(),2,1(-==n m ( )A 、 -1 ,2B 、 -2 ,1C 、 1 ,2D 、 2,16、若向量a =(cos ,sin ),b =(cos ,sin ),则a 与b 一定满足 ()αβαβA 、a 与b 的夹角等于-B 、(a +b )⊥(a -b )αβC 、a ∥bD 、a ⊥b7、设分别是轴,轴正方向上的单位向量,,。
若用 来表示j i ,x y j i OP θθsin 3cos 3+=i OQ -=∈),2,0(πθ与的夹角,则 等于()OP OQ A 、B 、C 、D 、θθπ+2θπ-2θπ-8、设,已知两个向量,,则向量长度的最大值是πθ20<≤()θθsin ,cos 1=OP ()θθcos 2,sin 22-+=OP 21P P ()A 、B 、C 、D 、2323二、填空题9、已知点A(2,0),B(4,0),动点P 在抛物线y 2=-4x 运动,则使取得最小值的点P 的坐标是BP AP ⋅i r t 2、10、把函数的图象,按向量(m>0)平移后所得的图象关于轴对称,则m 的最sin y x x =-(),a m n =-y 小正值为__________________、11、已知向量 、=⊥=-=m AB OA m OB OA 则若,),,3(),2,1(三、解答题12、求点A (-3,5)关于点P (-1,2)的对称点、/A 13、平面直角坐标系有点].4,4[),1,(cos ),cos ,1(ππ-∈=x x Q x P (1)求向量的夹角的余弦用x 表示的函数;OQ OP 和θ)(x f (2)求的最值、θ14、设其中x ∈[0,]、,)2cos ,sin 2(x x OA =,x ,OB )1cos (-=2π(1)求f(x)=的最大值和最小值;OB OA ·(2)当 ⊥,求||、OA OB AB 15、已知定点、)1,0(-B 、,动点P 满足:、)1,0(A )0,1(C 2||−→−−→−−→−=⋅PC k BP AP (1)求动点的轨迹方程,并说明方程表示的图形;P (2)当时,求的最大值和最小值、2=k ||−→−−→−+BP APa t i me l i ng i nt e n t 3参考答案一、选择题1、B ;2、B ;3、C ;4、B ;5、D ;6、B ;7、D ;8、C 二、填空题9、(0,0)10、56m π=11、4三、解答题12、解:设(x,y),则有,解得、所以(1,-1)。
高中数学必修四第二章单元测试题《平面向量》(时间:120分钟 满分:150分)第Ⅰ卷(共60分)一、选择题:本大题共12个小题,每小题5分,共60分.在每小题给出的四个选项中,只有一项是符合题目要求的.1.已知向量a 与b 的夹角是120︒,且5a =, 4b =,则 a b ⋅=( ).A. 20B. 10C. 10-D. 20-2.已知向量31,22BA ⎛⎫=⎪ ⎪⎝⎭, ()0,1BC =,则向量BA 与BC 夹角的大小为( ) A. π6 B. π4 C. π3 D. 2π33.已知向量()11a =-,, ()12b =-,,则()2a b a +⋅=( )A. 1-B. 0C. 1D. 24.已知向量,若,则实数m 的值为 ( ) A. 0 B. 2 C. D. 2或 5.如上图,向量1e , 2e , a 的起点与终点均在正方形网格的格点上,则向量a 用基底1e , 2e 表示为( )A. 1e +2eB. 21e -2eC. -21e +2eD. 21e +2e6.若三点()1,2A --、()0,1B -、()5,C a 共线,则a 的值为( )A. 4B. 4-C. 2D. 2-7.已知平面向量,a b 的夹角为60°,()1,3a =, 1b =,则a b +=( )A. 2B. 37 D. 48.已知向量a 与b 的夹角是120︒,且5a =, 4b =,则 a b ⋅=( ).A. 20B. 10C. 10-D. 20-9.已知向量()()()3,1,0,1,,3a b c k ==-=,若(2a b -)与c 互相垂直,则k 的值为 A. 1 B. 1- C. 3 D. 3-10.已知点()0,1A , ()1,2B , ()2,1C --, ()3,4D ,则向量AB 在CD 方向上的投影为( ) A. 322 B. 2 C. 322- D. 3152- 11.在矩形ABCD 中, 3AB =, 3BC =, 2BE EC =,点F 在边CD 上,若•3AB AF =,则•AE BF 的值为( )A. 0B. 833C. 4-D. 4 12.已知ABC ∆是边长为4的等边三角形, P 为平面ABC 内一点,则()PA PB PC ⋅+的最小值为 ( )A. 3-B. 6-C. 2-D. 83-第Ⅱ卷(共90分)二、填空题(每题5分,满分20分,将答案填在答题纸上)13.设a 与b 是两个不共线向量,且向量a b λ+与2a b -共线,则λ=__________.14.已知单位向量a , b 满足()1•232a ab -=,则向量a 与b 的夹角为__________. 15.在平行四边形ABCD 中, AC 与BD 交于点O , E 是线段OD 的中点, AE 的延长线与CD 交于点F . 若AC a =, BD b =,则AF 等于_______(用a , b 表示).16.已知正方形ABCD 的边长为1,点E 在线段AB 边上运动(包含线段端点),则DE CB ⋅的值为__________; DE DB ⋅的取值范围为__________.三、解答题 (本大题共6小题,共70分.解答应写出文字说明、证明过程或演算步骤.)17.(本小题10分)已知四点A (-3,1),B (-1,-2),C (2,0),D (23,4m m +)(1)求证: AB BC ⊥;(2) //AD BC ,求实数m 的值.18.(本小题12分)已知向量()1,2a =,()3,4b =-.(1)求a b +与a b -的夹角;(2)若()a ab λ⊥+,求实数λ的值.19.(本小题12分)已知是夹角为的两个单位向量,,.(1)求;(2)求与的夹角.20.(本小题12分)如图,在平行四边形中,,是上一点,且. (1)求实数的值;(2)记,,试用表示向量,,.21.(本小题12分)已知向量a 与b 的夹角为120︒, 2,3a b ==, 32,2m a b n a kb =-=+. (I )若m n ⊥,求实数k 的值; (II )是否存在实数k ,使得//m n ?说明理由.22.(本小题12分)已知点(1,0),(0,1)A B -,点(,)P x y 为直线1y x =-上的一个动点.(1)求证:APB ∠恒为锐角;(2)若四边形ABPQ 为菱形,求BQ AQ ⋅的值.高中数学必修四第二章单元测试题《平面向量》参考答案(时间:120分钟 满分:150分)第Ⅰ卷(共60分)一、选择题:本大题共12个小题,每小题5分,共60分.在每小题给出的四个选项中,只有一项是符合题目要求的.1.已知向量a 与b 的夹角是120︒,且5a =, 4b =,则 a b ⋅=( ).A. 20B. 10C. 10-D. 20- 【答案】C【解析】向量a 与b 的夹角是120︒,且5a =, 4b =,则a b a b ⋅=⨯ 1cos12054102⎛⎫︒=⨯⨯-=- ⎪⎝⎭. 故选:C .2.【2017届北京房山高三上期末】已知向量31,22BA ⎛⎫=⎪ ⎪⎝⎭, ()0,1BC =,则向量BA 与BC 夹角的大小为( )A. π6B. π4C. π3D. 2π3【答案】C3.【2018届四川省成都市郫都区高三上期中】已知向量()11a =-,, ()12b =-,,则()2a b a +⋅=( ) A. 1- B. 0 C. 1 D. 2【答案】C【解析】()()()21,01,11a b a +⋅=-=,故选:C.4.已知向量,若,则实数m 的值为 ( ) A. 0 B. 2 C.D. 2或 【答案】C 【解析】∵向量,且 ∴, ∴.选C. 5.如上图,向量1e , 2e , a 的起点与终点均在正方形网格的格点上,则向量a 用基底1e , 2e 表示为( )A. 1e +2eB. 21e -2eC. -21e +2eD. 21e +2e【答案】C6.若三点()1,2A --、()0,1B -、()5,C a 共线,则a 的值为( )A. 4B. 4-C. 2D. 2-【答案】A【解析】()1,2A --, ()()0,1,5B C a -,三点共线ABAC λ∴→=→即()()1162a λ=+,,()16{ 12a λλ==+ 16λ∴=, 4a = 故答案选A .7.【2018届全国名校大联考高三第二次联考】已知平面向量,a b 的夹角为60°,()1,3a =, 1b =,则a b +=( ) A. 2 B. 23 C. 7 D. 4 【答案】C 8.已知向量a 与b 的夹角是120︒,且5a =, 4b =,则 a b ⋅=( ).A. 20B. 10C. 10-D. 20-【答案】C【解析】向量a 与b 的夹角是120︒,且5a =, 4b =,则a b a b ⋅=⨯ 1cos12054102⎛⎫︒=⨯⨯-=- ⎪⎝⎭. 故选:C .9.【2018届福建省福安市一中上学期高三期中】已知向量()()()3,1,0,1,,3a b c k ==-=,若(2a b -)与c 互相垂直,则k 的值为A. 1B. 1-C. 3D. 3-【答案】D【解析】()23,3a b -=,因为(2a b -)与c 互相垂直,则()233303a b c k k -⋅=+=⇒=-,选D. 10.【2018届河南省中原名校高三第三次考评】已知点()0,1A , ()1,2B , ()2,1C --, ()3,4D ,则向量AB 在CD 方向上的投影为( )A. 322B. 2C. 322-D. 3152-【答案】B【解析】()()1,1.5,5AB CD ==则向量AB 在CD 方向上的投影为10cos ,252AB CDAB AB CD AB AB CD ⋅=⋅==故选B.11.【2018届黑龙江省齐齐哈尔地区八校高三期中联考】在矩形ABCD 中, 3AB =,3BC =, 2BE EC =,点F 在边CD 上,若•3AB AF =,则•AE BF 的值为( )A. 0B. 833 C. 4- D. 4【答案】C【解析】12.【2018届河南省漯河市高级中学高三上期中】已知ABC ∆是边长为4的等边三角形, P 为平面ABC 内一点,则()PA PB PC ⋅+的最小值为 ( )A. 3-B. 6-C. 2-D. 83-【答案】B【解析】如图建立坐标系, (()()0,23,2,0,2,0A B C -,设(),P x y ,则()()(),23,2,,2,PA x y PB x y PC x y =--=---=--,()()()22,232,22243PA PB PC x y x y x y ∴⋅+=-⋅--=+-(222366x y ⎡⎤=+--≥-⎢⎥⎣⎦,∴最小值为6-,故选B.第Ⅱ卷(共90分)二、填空题(每题5分,满分20分,将答案填在答题纸上)13.设a 与b 是两个不共线向量,且向量a b λ+与2a b -共线,则λ=__________.【答案】12-【解析】由题意得()11:2:12λλ=-∴=- .14.【2018届河北省邢台市高三上学期第二次月考】已知单位向量a , b 满足()1•232a ab -=,则向量a 与b 的夹角为__________. 【答案】60°(或3π) 【解析】因为()1232a a b ⋅-=,化简得: 2123232a a b a b -⋅=-⋅=,即12a b ⋅=,所以1cos ,2a b a b a b⋅==⋅,又0,a b π≤≤,所以,3a b π=,故填3π. 15.【2018届福建省三明市第一中学高三上学期期中】在平行四边形ABCD 中, AC 与BD 交于点O ,E 是线段OD 的中点, AE 的延长线与CD 交于点F . 若AC a =, BD b =,则AF 等于_______(用a ,b 表示).【答案】2133a b + 【解析】∵AC a =, BD b =,∴11112222AD AC BD a b =+=+. ∵E 是OD 的中点,∴=,∴DF=AB .∴111111332266DF AB AC BD a b ⎛⎫==-=- ⎪⎝⎭, ∴111121226633AF AD DF a b a b a b =+=++-=+. 16.已知正方形ABCD 的边长为1,点E 在线段AB 边上运动(包含线段端点),则DE CB ⋅的值为__________; DE DB ⋅的取值范围为__________. 【答案】 1 []1,2【解析】如图,以D 为坐标原点,以DC , DA 分别为x , y 轴,建立平面直角坐标系, ()0,0D , ()0,1DE x , ()1,1B , ()0,1CB ,()1,0C , ()1,1DB , ()0,1E x , []00,1x ∈,∴1DE CB ⋅=, 01DE DB x ⋅=+,∵001x ≤≤,0112x ≤+≤,∴DE DB ⋅的取值范围为[]1,2,故答案为1, []1,2.三、解答题 (本大题共6小题,共70分.解答应写出文字说明、证明过程或演算步骤.) 17.(本小题10分)已知四点A (-3,1),B (-1,-2),C (2,0),D (23,4m m +) (1)求证: AB BC ⊥; (2) //AD BC ,求实数m 的值. 【答案】(1)见解析(2) 12-或1 【解析】试题分析:(1)分别根据向量的坐标运算得出AB BC ,算出AB BC ⋅(2)由向量的平行进行坐标运算即可. 试题解析:(1)依题意得, ()()2,3,3,2AB BC =-= 所以()23320AB BC ⋅=⨯+-⨯= 所以AB BC ⊥.18.(本小题12分)已知向量()1,2a =,()3,4b =-. (1)求a b +与a b -的夹角; (2)若()a ab λ⊥+,求实数λ的值. 【答案】(1)34π;(2)1-. 【解析】(1)因为()1,2a =,()3,4b =-,所以()2,6a b +=-,()4,2a b -=- 所以()()2,64,2202cos ,240204020a b a b -⋅--+-===-⨯⨯,由[],0,a b a b π+-∈,则3,4a b a b π+-=; (2)当()a ab λ⊥+时,()0a a b λ⋅+=,又()13,24a b λλλ+=-+,所以13480λλ-++=,解得:1λ=-.19.(本小题12分)已知是夹角为的两个单位向量,,.(1)求; (2)求与的夹角. 【答案】(1);(2)与的夹角为.【解析】试题分析:(1)向量点积的运算规律可得到再展开根据向量点积公式得最终结果;(2)同第一问,由向量点积公式展开=0.∵是夹角为的两个单位向量,∴,(1)(2) ,,∴,∴与的夹角为.20.(本小题12分)如图,在平行四边形中,,是上一点,且. (1)求实数的值;(2)记,,试用表示向量,,.【答案】(1);(2),,.【解析】试题分析:(1)根据平面向量共线定理得到,由系数和等于1,得到即。
一、选择题【共 12 道小题】1、以下说法中正确的选项是 ()A. 两个单位向量的数目积为1B. 若 a·b=a·c且 a≠0, 则 b=cC. D. 若 b⊥c, 则(a+c) ·b=a·b参照答案与分析 : 分析: A 中两向量的夹角不确立;B 中若 a⊥b,a ⊥c,b与 c 反方向则不建立 ;C 中应为;D 中 b⊥c b·c=0, 因此 (a+c) ·b=a·b+c·b=a·b.答案: D主要观察知识点 : 向量、向量的运算2、设 e 是单位向量 ,=2e,=-2e,||=2, 则四边形 ABCD是 ()A.梯形B.菱形C. 矩形D. 正方形参照答案与分析 : 分析:, 因此||=||, 且 AB∥CD,因此四边形 ABCD是平行四边形 .又因为 ||=||=2,因此四边形 ABCD是菱形 .答案: B主要观察知识点 : 向量、向量的运算3、已知 |a|=|b|=1,a 与 b 的夹角为 90°, 且 c=2a+3b ,d=ka-4b, 若 c⊥d, 则实数 k 的值为 ()A.6B.-6C.3D.-3参照答案与分析 : 分析:∵ c⊥d, ∴c·d=(2a+3b) ·(ka-4b)=0, 即 2k- 12=0, ∴k=6.答案: A主要观察知识点 : 向量、向量的运算4、设 0≤θ< 2π, 已知两个向量=(cos θ, sin θ),=(2+sin θ, 2- cosθ) ,则向量长度的最大值是 ()A. B. C.D .参照答案与分析: 分析:=(2+sin θ - cosθ,2 - cosθ - sin θ),因此||=答案: C主要观察知识点: 向量与向量运算的坐标表示5、设向量a=(1,-3),b=(-2,4),c=(-1,-2)相接能组成四边形,则向量 d 为 () A.(2,6) B.(-2,6),若表示向量≤4a、 4b-2c 、 2(a-c)C.(2,-6)=、d.的有向线段首尾D.(-2,-6)参照答案与分析: 分析:依题意,4a+4b-2c+2(a-c)+d=0,因此d=-6a+4b-4c=(-2, -6).主要观察知识点: 向量与向量运算的坐标表示6、已知向量a=(3 , 4) , b=(-3 ,1) , a 与 b 的夹角为θ,则tan θ等于 ()A. B.- C.3 D.-3参照答案与分析: 分析:由已知得a·b=3×(- 3)+4 ×1= -5 , |a|=5 , |b|=,因此 cosθ=.因为θ∈[ 0,π] ,因此 sin θ=.因此 tan θ==-3.答案: D主要观察知识点: 向量与向量运算的坐标表示7、向量 a 与b 不共线,=a+kb,=la+b(k、l ∈R),且与共线,则k、l 应知足()A.k+l=0B.k-l=0C.kl+1=0D.kl-1=0参照答案与分析:分析:因为与共线,所以设=λ( λ∈ R),即la+b= λ(a+kb)= λa+λkb, 因此(l- λ)a+(1 - λk)b=0.因为 a 与 b 不共线 , 因此 l- λ=0 且 1- λk=0, 消去λ得 1-lk=0,即kl-1=0.答案: D主要观察知识点: 向量、向量的运算8、已知平面内三点A(-1,0),B(5,6),P(3,4),且AP=λPB,则λ 的值为()A.3B.2C.D.参照答案与分析: 分析:因为=λ, 因此 (4 ,4)= λ(2 ,2).因此λ=.答案: C主要观察知识点: 向量与向量运算的坐标表示9、设平面向量a1,a2,a3 的和 a1+a2+a3=0,假如平面向量时针旋转30°后与bi 同向,此中i=1 , 2, 3,则 ()b1,b2,b3知足 |bi|=2|ai|,且ai顺A.-b1+b2+b3=0B.b1-b2+b3=0C.b1+b2-b3=0D.b1+b2+b3=0参照答案与分析: 分析:依据题意顺时针旋转30°后协力为本来的, 由向量的物理意义2 倍 , 本来的协力为零, 共点的向量模伸长为本来的, 因此由 a1+a2+a3=0, 可得2 倍, 三个向量都b1+b2+b3=0.主要观察知识点: 向量、向量的运算10、设过点P(x , y) 的直线分别与x 轴的正半轴和y 轴的正半轴交于A、 B两点,点Q与点 P 对于 y轴对称, O为坐标原点,若, 且·=1, 则 P 点的轨迹方程是()A.3x2+y2=1(x > 0,y >0)B.3x2y2=1(x > 0,y > 0)C. x2-3y2=1(x > 0,y >0)D.x2+3y2=1(x >0,y > 0)参考答案与解析 : 解析:设P(x,y),则Q(-x,y).设A(xA),xA,B(0,yByB0,=(x,y-yB)=(xAx,-y).∵=2PA,∴x=2(xA,x),y -yB=2y,xA=x,yB=3y(x >0,y > 0).又∵·=1,(- x,y) ·(-xA,yB)=1,∴(- x,y) ·(x,3y)=1,即 x2+3y2=1(x > 0,y >0).答案: D主要观察知识点: 向量、向量的运算11、已知△ ABC 中,点 D 在 BC边上,且,若, 则 r+s 的值是 ()A. B.0 C.D.-3参照答案与分析: 分析:△ ABC 中,== ()=-,故r+s=0.答案: B主要观察知识点: 向量、向量的运算12、定义 a※b=|a||b|sinθ,θ 是向量a和b的夹角,|a|、|b|分别为a、b的模,已知点A(-3,2)、B(2,3),O是坐标原点,则※等于()A.-2B.0D.13参照答案与分析: 分析:由题意可知=(-3,2),=(2,3),计算得·=- 3×2+2×3=0,另一方面·=||||cos θ,∴c osθ=0,又θ∈ (0,π) ,进而sin θ=1,∴※=||||sinθ=13.答案: D主要观察知识点: 向量与向量运算的坐标表示二、填空题【共 4 道小题】1、已知 a+b+c=0, 且 |a|=3,|b|=5,|c|=7,则向量a与参照答案与分析: 分析:由已知得a+b=-c, 两边平方得b 的夹角是 ____________.a2+2a·b+b2=c2,因此2a·b=72 -32-52=15.设a 与b 的夹角为θ,则cosθ===,因此θ=60°.答案: 60°主要观察知识点: 向量、向量的运算2、若=2e1+e2,=e1-3e2,=5e1+λe2, 且 B、 C、 D 三点共线 , 则实数λ=___________.参照答案与分析: 分析:由已知可得=(e1-3e2)-(2e1+e2)=-e1-4e2,=(5e1+λe2) -(e1- 3e2)=4e1+( λ+3)e2.因为 B、 C、 D 三点共线 , 因此存在实数m使得,即 -e1-4e2=m [4e1+(λ+3)e2] . 因此 -1=4m 且 - 4=m(λ+3), 消去 m得λ=13.答案: 13主要观察知识点: 向量、向量的运算3、已知 e1、 e2 是夹角为60°的两个单位向量, 则 a=2e1+e2 和 b=2e2-3e1 的夹角是 __________.参照答案与分析: 分析:运用夹角公式cosθ=,代入数据即可获得结果.答案: 120°主要观察知识点4 、如图2-1: 向量、向量的运算所示,两射线OA与OB交于O,则以下选项中向量的终点落在暗影地区内的是_________________.①②+③④+⑤-参照答案与分析: 分析:由向量减法法例可知③⑤不切合条件, ①②明显知足,④不知足.答案:①②主要观察知识点: 向量、向量的运算三、解答题【共 6 道小题】1、如图 2-2 所示,在△ ABC 中 ,=c,=a,=b, 且 a·b=b·c=c·a,试判断△ ABC 的形状 .图 2-2参照答案与分析: 解:∵ a·b=b·c, ∴b·(a -c)=0.又 b=-(a+c),∴- (a+c) ·(a -c)=0, 即 c2-a2=0.∴|c|=|a|. 同理 ,|b|=|a|,故 |a|=|b|=|c|,因此△ ABC为等边三角形.主要观察知识点: 向量、向量的运算2、如图 2-3 所示 , 已知 ||=||=1 ,、的夹角为120°,与的夹角为45°,||=5, 用,表示.( 注: cos75°=)图 2-3参照答案与分析: 解:设=λ+μ,则·=( λ+μ) ·=λ+μ·=λ+μcos120°=λμ.又·=||||cos45 °=5cos45°=,∴λμ=,·=( λ+μ) ·=λ·+μ=λcos120°+μ=λ+μ.又·=|| ·||cos(120 ° - 45°)=5cos75 °=,∴λ+μ=.∴λ=, μ=.∴=+.主要观察知识点 : 向量、向量的运算3、在四边形ABCD中 (A 、 B、 C、 D 顺时针摆列 ),=(6 ,1) ,=(-2 , -3).如有∥,又有⊥, 求的坐标 .参照答案与分析: 解:设=(x,y),则=(6+x,1+y),=(4+x,y-2),=(-x-4,2-y),=(x-2,y-3).又∥及⊥,因此 x(2-y)-(-x-4)y=0,①(6+x)(x-2)+(1+y)(y-3)=0.②解得或∴=(-6,3) 或(2,-1).主要观察知识点: 向量与向量运算的坐标表示4、已知平面向量a=(,-1),b=(,).(1)证明 a⊥b;(2) 若存在不一样时为零的实数k、t, 使得 x=a+(t2-3)b,y=-ka+tb,且x⊥y,求函数关系式k=f(t).参照答案与分析:(1)证明:因为a·b=(,- 1)·(,)=+(- 1) ×=0,因此 a⊥b.(2) 解:由已知得 |a|==2, |b|==1,因为 x⊥y, 因此 x·y=0, 即[ a+(t2-3)b]·(-ka+tb)=0.因此 - ka2+ta ·b-k(t2- 3)b ·a+t(t2 -3)b2=0.因为 a·b=0, 因此 -4k+t(t2-3)=0.因此 k=t(t2-3).由已知 k, t 不一样时为零得 k= t(t2- 3)(t ≠0).主要观察知识点: 向量与向量运算的坐标表示5、已知 a、 b、 c 是同一平面内的三个向量, 此中 a=(1,2).(1) 若 |c|=, 且 c∥a, 求 c 的坐标 ;(2) 若 |b|=, 且 a+2b 与 2a-b 垂直 , 求 a 与 b 的夹角θ.参照答案与分析: 解:(1) 设 c=(x ,y), ∵|c|=, ∴, 即 x2+y2=20,①∵c∥a,a=(1,2), ∴2x -y=0,即y=2x.②联立①②得或∴c=(2,4) 或 (-2,-4).(2) ∵(a+2b) ⊥(2a - b), ∴(a+2b) ·(2a -b)=0,即 2a2+3a·b-2b2=0.∴2|a|2+3a ·b-2|b|2=0.①∵|a|2=5 , |b|2=, 代入①式得a·b=.∴cosθ==-1.又∵θ∈[ 0,π],∴θ =π.主要观察知识点: 向量与向量运算的坐标表示6、如图 2-4 所示 , 已知△ AOB,此中=a,=b, 而 M、N分别是△ AOB 的两边 OA、OB上的点 , 且=λa(0 <λ< 1),=μb(0 <μ< 1), 设 BM与 AN订交于 P, 试将向量=p 用 a、 b 表示出来 .图 2-4参照答案与分析: 解:由题图可知p=或p=, 而=λa,设=m()=m(b- λa),又∵=μb,设=n()=n(a-μb),∴p==λa+m(b- λa)= λ(1 -m)a+mb,p==μb+n(a - μb)=na+μ(1 -n)b.∵a、 b 不共线 , 且表示方法独一,∴解得∴p=λ[]a+,即 p=.主要观察知识点: 向量、向量的运算。
高中数学必修四平面向量测试题
一、选择题: (本大题共10小题,每小题4分,共40分.在每小题给出的四个选项中,只有一项是符合题目要求的.)
1.设点P(3,-6),Q(-5,2),R的纵坐标为-9,且P、Q、R三点共线,则R点的横坐标为()。
A、-9
B、-6
C、9
D、6 2.已知=(2,3), b=(-4,7),则在b上的投影为()。
A、 B、C、D、
3.设点A(1,2),B(3,5),将向量按向量=(-1,-1)平移后得
向量为()。
A、(2,3)
B、(1,2)
C、(3,4)
D、(4,7)4.若(a+b+c)(b+c-a)=3bc,且sinA=sinBcosC,那么ΔABC是()。
A、直角三角形
B、等边三角形
C、等腰三角形
D、等腰直角三角形5.已知| |=4, |b|=3, 与b的夹角为60°,则| +b|等于()。
A、 B、 C、 D、
6.已知O、A、B为平面上三点,点C分有向线段所成的比为2,则()。
A、 B、
C、 D、
7.O是ΔABC所在平面上一点,且满足条件,则点O是ΔABC的()。
A、重心
B、垂心
C、内心
D、外心8.设、b、均为平面内任意非零向量且互不共线,则下列4个命题:(1)( ·b)2= 2·b2(2)| +b|≥| -b| (3)| +b|2=( +b)2
(4)(b) -(a)b与不一定垂直。
其中真命题的个数是()。
A、1
B、2
C、3
D、4
9.在ΔABC 中,A=60°,b=1, ,则 等
于( )。
A 、
B 、
C 、
D 、
10.设 、b 不共线,则关于x 的方程 x 2
+b x+ =0的解的情况是( )。
A 、至少有一个实数解 B 、至多只有一个实数解 C 、至多有两个实数解 D 、可能有无数个实数解 二、填空题:(本大题共4小题,每小题4分,满分16分.).
11.在等腰直角三角形ABC 中,斜边AC=22,则CA AB =_________
12.已知ABCDEF 为正六边形,且AC =a ,AD =b ,则用a ,b 表示AB 为______.
13.有一两岸平行的河流,水速为1,速度为
的小船要从河的一边驶向
对岸,为使所行路程最短,小船应朝________方向行驶。
14.如果向量 与b 的夹角为θ,那么我们称 ×b 为向量 与b 的“向量积”, ×b 是一个向量,它的长度| ×b |=| ||b |sin θ,如果| |=3, |b |=2, ·b =-2,则| ×b |=______。
三、解答题:(本大题共4小题,满分44分.) 15.已知向量 =
, 求向量b ,使|b |=2| |,并且 与b 的夹
角为。
(10分)
16、已知平面上3个向量 、b 、 的模均为1,它们相互之间的夹角均
为120。
(1) 求证:( -b)⊥;
(2)若|k +b+ |>1 (k∈R), 求k的取值范围。
(12分)
17.(本小题满分12分)
已知e1,e2是两个不共线的向量,AB=e1+e2,CB=-λe1-8e2, CD=3e1-3e2,若A、B、D三点在同一条直线上,求实数λ的值.
18.某人在静水中游泳,速度为43公里/小时,他在水流速度为4公里/
小时的河中游泳.
(1)若他垂直游向河对岸,则他实际沿什么方向前进?实际前进的速度为多少?
(2)他必须朝哪个方向游,才能沿与水流垂直的方向前进?实际前进的速度为多少?
参考答案
一、选择题:
1. D. 设R(x, -9), 则由得(x+5)(-8)=-11×8, x=6.
2. C. ∵|b| , ∴ | | = .
3. A. 平移后所得向量与原向量相等。
4.A.由(a+b+c)(b+c-a)=3bc, 得a2=b2+c2-bc, A=60°.
sinA=sin(B+C)=sinBcosC+cosBsinC=sinBcosC,得cosBsinC=0, ∴ΔABC是直角三角形。
5.D..
6. B
7. B. 由,得OB⊥CA,同理OA⊥BC,∴O是ΔABC的垂心。
8.A.(1)(2)(4)均错。
9.B.由,得c=4, 又a2=b2+c2-2bccosA=13,
∴.
10.B.- =x2+x b,根据平面向量基本定理,有且仅有一对实数λ和μ,使- =λ+μb。
故λ=x2, 且μ=x,
∴λ=μ2,故原方程至多有一个实数解。
二、填空题
11. 4
12.. 13. 与水流方向成135°角。
14.。
·b=| ||b|cosθ,
∴, | ×b|=| ||b|sin
三、解答题
15.由题设
, 设 b =
, 则由
,得
. ∴ ,
解得 sin α=1或 。
当sin α=1时,cos α=0;当 时, 。
故所求的向量
或。
16.(1) ∵向量 、b 、 的模均为1,且它们之间的夹角均为
120°。
∴
, ∴( -b )⊥ .
(2) ∵|k +b + |>1, ∴ |k +b + |2
>1,
∴k 2 2+b 2+ 2
+2k ·b +2k · +2b · >1,
∵
,
∴k 2
-2k>0, ∴k<0或k>2。
17.解法一:∵A 、B 、D 三点共线
∴AB 与AD 共线,∴存在实数k ,使AB =k ·AD 又∵CD CB AB CD BC AB AD +-=++= =(λ+4)e 1+6e 2.
∴有e 1+e 2=k (λ+4)e 1+6k e 2
∴有⎩⎨⎧==+161)4(k k λ ∴⎪⎩⎪⎨⎧
==2
61λk
解法二:∵A 、B 、D 三点共线 ∴AB 与BD 共线,
∴存在实数m ,使BD m AB = 又∵CB CD BD -==(3+λ)e 1+5e 2 ∴(3+λ)m e 1+5m e 2=e 1+e 2
∴有⎩⎨⎧==+151)3(m m λ ∴⎪⎩⎪⎨⎧
==2
51λm
18、解:(1)如图①,设人游泳的速度为OB ,水流的速度为OA ,以OA 、
OB 为邻边作OACB ,则此人的实际速度为OC OB OA =+
图① 图②
由勾股定理知|OC |=8
且在Rt △ACO 中,∠COA =60°,故此人沿与河岸成60°的夹角顺着水流的方向前进,速度大小为8公里/小时.
(2)如图②,设此人的实际速度为OD ,水流速度为OA ,则游速为
OA
OD AD -=,在Rt △AOD 中,
3
3
cos ,24||,4||,34||=
===DAO OD OA AD . ∴∠DAO =arccos
3
3
.
故此人沿与河岸成arccos
3
3
的夹角逆着水流方向前进,实际前进的速度大小为42公里/小时.。