高中数学必修4测试题
- 格式:docx
- 大小:27.71 KB
- 文档页数:5
高中数学必修4习题和复习参考题及对应答案A 组1、在0°~360°范围内,找出与下列各角终边相同的角,并指出它们是哪个象限的角: (1)-265°;(2)-1000°;(3)-843°10′;(4)3900°. 答案:(1)95°,第二象限; (2)80°,第一象限; (3)236°50′,第三象限; (4)300°,第四象限.说明:能在给定范围内找出与指定的角终边相同的角,并判定是第几象限角.2、写出终边在x 轴上的角的集合. 答案:S={α|α=k ·180°,k ∈Z }.说明:将终边相同的角用集合表示.3、写出与下列各角终边相同的角的集合,并把集合中适合不等式-360°≤β<360°的元素β写出来:(1)60°;(2)-75°;(3)-824°30′;(4)475°;(5)90°;(6)270°;(7)180°;(8)0°.答案:(1){β|β=60°+k ·360°,k ∈Z },-300°,60°; (2){β|β=-75°+k ·360°,k ∈Z },-75°,285°; (3){β|β=-824°30′+k ·360°,k ∈Z },-104°30′,255°30′; (4){β|β=475°+k ·360°,k ∈Z },-245°,115°; (5){β|β=90°+k ·360°,k ∈Z },-270°,90°; (6){β|β=270°+k ·360°,k ∈Z },-90°,270°; (7){β|β=180°+k ·360°,k ∈Z },-180°,180°; (8){β|β=k ·360°,k ∈Z },-360°,0°. 说明:用集合表示法和符号语言写出与指定角终边相同的角的集合,并在给定范围内找出与指定的角终边相同的角.4、分别用角度和弧度写出第一、二、三、四象限角的集合. 答案: 象限 角度制弧度制一 {β|k ·360°<β<90°+k ·360°,k ∈Z } {|22,}2k k k πβπβπ<<+∈Z二 {β|90°+k ·360°<β<180°+k ·360°,k ∈Z }{|22,}2k k k πβπβππ+<<+∈Z三 {β|180°+k ·360°<β<270°+k ·360°,k ∈Z }3{|22,}2k k k πβππβπ+<<+∈Z 四{β|270°+k ·360°<β<360°+k ·360°,k ∈Z }3{|222,}2k k k πβπβππ+<<+∈Z 说明:用角度制和弧度制写出各象限角的集合.5、选择题:(1)已知α是锐角,那么2α是( ) A .第一象限角 B .第二象限角 C .小于180°的正角 D .第一或第二象限角 (2)已知α是第一象限角,那么2α是( )、 A .第一象限角 B .第二象限角C .第一或第二象限角D .第一或第三象限角 答案:(1)C 说明:因为0°<α<90°,所以0°<2α<180°. (2)D说明:因为k ·360°<α<90°+k ·360°,k ∈Z ,所以180451802k k α︒<<︒+︒,k ∈Z .当k 为奇数时,2α是第三象限角;当k 为偶数时,2α是第一象限角.6、一条弦的长等于半径,这条弦所对的圆心角等于1弧度吗?为什么?答案:不等于1弧度.这是因为等于半径长的弧所对的圆心角为1弧度,而等于半径长的弦所对的弧比半径长.说明:了解弧度的概念.7、把下列各角度化成弧度: (1)36°;(2)-150°;(3)1095°;(4)1440°.答案:(1)5π;(2)56π;(3)7312π-;(4)8π.说明:能进行度与弧度的换算.8、把下列各弧度化成度: (1)76π-;(2)103π-;(3)1.4;(4)23. 答案:(1)-210°;(2)-600°;(3)80.21°;(4)38.2°.说明:能进行弧度与度的换算.9、要在半径OA=100cm 的圆形金属板上截取一块扇形板,使其弧AB 的长为112cm ,求圆心角∠AOB 是多少度(可用计算器,精确到1°).答案:64°说明:可以先运用弧度制下的弧长公式求出圆心角的弧度数,再将弧度换算为度,也可以直接运用角度制下的弧长公式.10、已知弧长50cm 的弧所对圆心角为200°,求这条弧所在的圆的半径(可用计算器,精确到1cm ).答案:14cm .说明:可以先将度换算为弧度,再运用弧度制下的弧长公式,也可以直接运用角度制下的弧长公式.B 组1、每人准备一把扇子,然后与本小组其他同学的对比,从中选出一把展开后看上去形状较为美观的扇子,并用计算器算出它的面积S 1.(1)假设这把扇子是从一个圆面中剪下的,而剩余部分的面积为S 2,求S 1与S 2的比值; (2)要使S 1与S 2的比值为0.618,则扇子的圆心角应为几度(精确到10°)? 答案:(1)(略)(2)设扇子的圆心角为θ,由2122120.6181(2)2r S S r θπθ==-,可得θ=0.618(2π-θ),则θ=0.764π≈140°.说明:本题是一个数学实践活动.题目对“美观的扇子”并没有给出标准,目的是让学生先去体验,然后再运用所学知识发现,大多数扇子之所以“美观”是因为基本都满足:120.618S S =(黄金分割比)的道理.2、(1)时间经过4 h (时),时针、分针各转了多少度?各等于多少弧度?(2)有人说,钟的时针和分针一天内会重合24次、你认为这种说法是否正确?请说明理由.(提示:从午夜零时算起,假设分针走了t min 会与时针重合,一天内分针和时针会重合n 次,建立t 关于n 的函数关系式,并画出其图象,然后求出每次重合的时间.)答案:(1)时针转了-120°,等于23π-弧度;分针转了-1440°,等于-8π弧度 (2)设经过t min 分针就与时针重合,n 为两针重合的次数. 因为分针旋转的角速度为2(rad /min)6030ππ=, 时针旋转的角速度为2(rad/min)1260360ππ=⨯,所以()230360t n πππ-=,即72011t n =.用计算机或计算器作出函数72011t n =的图象(如下页图)或表格,从中可清楚地看到时针与分针每次重合所需的时间.n u1 15. 981.82 16. 1047.3 17. 1112.7 18. 1178.2 19. 1243.6 20. 1309.1 21. 1374.5 22.1440.因为时针旋转一天所需的时间为24×60=1440(min ),所以720144011n ≤,于是n ≤22.故时针与分针一天内只会重合22次.说明:通过时针与分针的旋转问题进一步地认识弧度的概念,并将问题引向深入,用函数思想进行分析.在研究时针与分针一天的重合次数时,可利用计算器或计算机,从模拟的图形、表格中的数据、函数的解析式或图象等角度,不难得到正确的结论.3、已知相互啮合的两个齿轮,大轮有48齿,小轮有20齿,当大轮转动一周时,小轮转动的角是__________度,即__________rad .如果大轮的转速为180r/min (转/分),小轮的半径为10.5cm ,那么小轮周上一点每1s 转过的弧长是__________.答案:864°,245π,151.2π cm . 说明:通过齿轮的转动问题进一步地认识弧度的概念和弧长公式.当大齿轮转动一周时,小齿轮转动的角是4824360864rad.205π⨯︒=︒= 由于大齿轮的转速为3r/s ,所以小齿轮周上一点每1s 转过的弧长是483210.5151.2(cm)20ππ⨯⨯⨯=. P20习题1.2A 组1、用定义法、公式一以及计算器求下列角的三个三角函数值:(1)173π-;(2)214π;(3)236π-;(4)1500°. 答案:(1)31sin ,cos ,tan 322ααα===; (2)22sin ,cos ,tan 122ααα=-=-=; (3)133sin ,cos ,tan 223ααα===; (4)31sin ,cos ,tan 322ααα===. 说明:先利用公式一变形,再根据定义求值,非特殊角的三角函数值用计算器求.2、已知角α的终边上有一点的坐标是P (3a ,4a ),其中a ≠0,求sin α,cos α,tan α的三角函数值.答案:当a >0时,434s i n ,c o s,t a n 553ααα===;当a <0时,434s i n ,c o s ,t a n 553ααα=-=-=-. 说明:根据定义求三角函数值.3、计算:(1)6sin (-90°)+3sin0°-8sin270°+12cos180°; (2)10cos270°+4sin0°+9tan0°+15cos360°;(3)22322costantan sin cos sin2446663ππππππ-+-++; (4)2423sin cos tan 323πππ+-.答案:(1)-10;(2)15;(3)32-;(4)94-.说明:求特殊角的三角函数值.4、化简:(1)asin0°+bcos90°+ctan180°;(2)-p 2cos180°+q 2sin90°-2pqcos0°;(3)223cos 2sincos sin 22a b ab ab ππππ-+-; (4)13tan 0cos sin cos sin 222m n p q r ππππ+---.答案:(1)0;(2)(p -q )2;(3)(a -b )2;(4)0.说明:利用特殊角的三角函数值化简.5、根据下列条件求函数3()sin()2sin()4cos 23cos()444f x x x x x πππ=++--++的值.(1)4x π=;(2)34x π=. 答案:(1)-2;(2)2.说明:转化为特殊角的三角函数的求值问题.6、确定下列三角函数值的符号: (1)sin186°; (2)tan505°; (3)sin7.6π; (4)23tan()4π-; (5)cos940°;(6)59cos()17π-. 答案:(1)负;(2)负;(3)负;(4)正;(5)负;(6)负. 说明:认识不同位置的角对应的三角函数值的符号.7、确定下列式子的符号: (1)tan125°·sin273°;(2)tan108cos305︒︒;(3)5411sin cos tan 456πππ;(4)511cos tan 662sin 3πππ. 答案:(1)正;(2)负;(3)负;(4)正.说明:认识不同位置的角对应的三角函数值的符号.8、求下列三角函数值(可用计算器):(1)67sin()12π-; (2)15tan()4π-;(3)cos398°13′; (4)tan766°15′. 答案:(1)0.9659;(2)1;(3)0.7857;(4)1.045.说明:可先运用公式一转化成锐角三角函数,然后再求出三角函数值.9、求证:(1)角θ为第二或第三象限角当且仅当sin θ·tan θ<0; (2)角θ为第三或第四象限角当且仅当cos θ·tan θ<0; (3)角θ为第一或第四象限角当且仅当sin 0tan θθ>;(4)角θ为第一或第三象限角当且仅当sinθ·cosθ>0.答案:(1)先证如果角θ为第二或第三象限角,那么sinθ·tanθ<0.当角θ为第二象限角时,sinθ>0,tanθ<0,则sinθ·tanθ<0;当角θ为第三象限角时,sinθ<0,tanθ>0,则sinθ·tanθ<0,所以如果角θ为第二或第三象限角,那么sinθ·tanθ<0.再证如果sinθ·tanθ<0,那么角θ为第二或第三象限角.因为sinθ·tanθ<0,即sinθ>0且tanθ<0,或sinθ<0且tanθ>0,当sinθ>0且tanθ<0时,角θ为第二象限角;当sinθ<0且tanθ>0时,角θ为第三象限角,所以如果sinθ·tanθ<0,那么角θ为第二或第三象限角.综上所述,原命题成立.(其他小题略)说明:以证明命题的形式,认识位于不同象限的角对应的三角函数值的符号.10、(1)已知3sin2α=-,且α为第四象限角,求cosα,tanα的值;(2)已知5cos13α=-,且α为第二象限角,求sinα,tanα的值;(3)已知3tan4α=-,求sinα,cosα的值;(4)已知cosα=0.68,求sinα,tanα的值(计算结果保留两个有效数字).答案:(1)1,3 2-;(2)1212,135-;(3)当α为第二象限角时,34 sin,cos55αα==-,当α为第四象限角时,34 sin,cos55αα=-=;(4)当α为第一象限角时,sinα=0.73,tanα=1.1,当α为第四象限角时,sinα=-0.73,tanα=-1.1.说明:要注意角α是第几象限角.11、已知1sin3x=-,求cosx,tanx的值.答案:当x为第三象限角时,222 cos,tan34x x=-=;当x为第四象限角时,222 cos,tan34x x==-.说明:要分别对x是第三象限角和第四象限角进行讨论.12、已知3tan 3,2απαπ=<<,求cos α-sin α的值. 答案:1(31)2- 说明:角α是特殊角.13、求证: (1)2212sin cos 1tan 1tan cos sin x x xxx x--=+-;(2)tan 2α-sin 2α=tan 2α·sin 2α;(3)(cos β-1)2+sin 2β=2-2cos β;(4)sin 4x +cos 4x=1-2sin 2xcos 2x .答案:(1)2(cos sin )cos sin 1tan (cos sin )(cos sin )cos sin 1tan x x x x xx x x x x x x---===+-++左边; (2)222222222211cos sin sin (1)sin sin sin tan cos cos cos x x x xxx x xxx-=-===左边;(3)左边=1-2cos β+cos 2β+sin 2β=2-2cos β;(4)左边=(sin 2x +cos 2x )2-2sin 2x ·cos 2x=1-2sin 2x ·cos 2x .说明:还可以从右边变为左边,或对左右同时变形.可提倡一题多解,然后逐渐学会选择较为简单的方法.B 组1、化简(1+tan 2α)cos 2α. 答案:1说明:根据同角三角函数的基本关系,将原三角函数式转化为正余弦函数式.2、化简1sin 1sin 1sin 1sin αααα+---+,其中α为第二象限角.答案:-2tan α说明:先变形,再根据同角三角函数的基本关系进行化简.3、已知tan α=2,求sin cos sin cos αααα+-的值.答案:3说明:先转化为正切函数式.4、从本节的例7可以看出,cos 1sin 1sin cos x x x x+=-就是sin 2x +cos 2x=1的一个变形.你能利用同角三角函数的基本关系推导出更多的关系式吗?答案:又如sin 4x +cos 4x=1-2sin 2x ·cos 2x 也是sin 2x +cos 2x=1的一个变形;2211tan cos x x=+是sin 2x +cos 2x=1和sin tan cos xx x=的变形;等等. 说明:本题要求学生至少能写出每个同角关系式的一个变形.P29习题1.3A 组1、将下列三角函数转化为锐角三角函数,并填在题中横线上: (1)cos210°=__________; (2)sin263°42′=__________; (3)cos()6π-=__________;(4)5sin()3π-=__________;(5)11cos()9π-=__________;(6)cos (-104°26′)=__________; (7)tan632°24′=__________; (8)17tan6π=__________. 答案:(1)-cos30°; (2)-sin83°42′ (3)cos 6π; (4)sin3π;(5)2cos9π-; (6)-cos75°34′; (7)-tan87°36′; (8)tan6π-.说明:利用诱导公式转化为锐角三角函数.2、用诱导公式求下列三角函数值: (1)17cos()4π-; (2)sin (-1574°); (3)sin (-2160°52′); (4)cos (-1751°36′); (5)cos1615°8′;(6)26sin()3π-.答案:(1)22;(2)-0.7193;(3)-0.0151;(4)0.6639;(5)-0.9964;(6)32 -说明:先利用诱导公式转化为锐角三角函数,再求值.3、化简:(1)sin(-1071°)·sin99°+sin(-171°)·sin(-261°);(2)1+sin(α-2π)·sin(π+α)-2cos2(-α).答案:(1)0;(2)-cos2α说明:先利用诱导公式转化为角α的三角函数,再进一步化简.4、求证:(1)sin(360°-α)=-sinα;(2)cos(360°-α)=cosα;(3)tan(360°-α)=-tanα.答案:(1)sin(360°-α)=sin(-α)=-sinα;(2)略;(3)略.说明:有的书也将这组恒等式列入诱导公式,但根据公式一可知,它和公式三等价,所以本教科书未将其列入诱导公式.B组1、计算:(1)sin420°·cos750°+sin(-330°)·cos(-660°);(2)tan675°+tan765°-tan(-330°)+tan(-690°);(3)252525sin cos tan() 634πππ++-.答案:(1)1;(2)0;(3)0.说明:先利用诱导公式转化为锐角三角函数,再求值.2、已知1sin()2πα+=-,计算:(1)sin(5π-α);(2)sin()2πα+; (3)3cos()2πα-; (4)tan()2πα-.答案:(1)12; (2)3,,23,;2αα⎧⎪⎪⎨⎪-⎪⎩当为第一象限角当为第二象限角(3)12-; (4)3,,3,αα⎧⎪⎨-⎪⎩当为第一象限角当为第二象限角.说明:先用诱导公式将已知式和待求式都转化为角α的三角函数,然后再根据同角三角函数的基本关系得解. P46习题1.4A 组1、画出下列函数的简图:(1)y=1-sinx ,x ∈[0,2π]; (2)y=3cosx +1,x ∈[0,2π]. 答案:(1)(2)说明:可以直接用“五点法”作出两个函数的图象;也可以先用“五点法”作出正弦、余弦函数的图象,再通过变换得到这两个函数的图象.2、求使下列函数取得最大值、最小值的自变量x 的集合,并分别写出最大值、最小值是什么.(1)11cos ,23y x x π=-∈R ; (2)3sin(2),4y x x π=+∈R ;(3)31cos(),226y x x π=--∈R ; (4)11sin(),223y x x π=+∈R .答案:(1)使y 取得最大值的集合是{x|x=6k +3,k ∈Z },最大值是32; 使y 取得最小值的集合是{x|x=6k ,k ∈Z },最大值是12; (2)使y 取得最大值的集合是{|,}8x x k k ππ=+∈Z ,最大值是3;使y 取得最小值的集合是3{|,}8x x k k ππ=-+∈Z ,最小值是-3; (3)使y 取得最大值的集合是{|2(21),}3x x k k ππ=++∈Z ,最大值是32;使y 取得最小值的集合是{|4,}3x x k k ππ=+∈Z ,最小值是32-;(4)使y 取得最大值的集合是{|4,}3x x k k ππ=+∈Z ,最大值是12;使y 取得最小值的集合是5{|4,}3x x k k ππ=-+∈Z ,最小值是12-. 说明:利用正弦、余弦函数的最大值、最小值性质,研究所给函数的最大值、最小值性质.3、求下列函数的周期:(1)2sin 3y x =,x ∈R ; (2)1cos 42y x =,x ∈R . 答案:(1)3π;(2)2π说明:可直接由函数y=Asin (ωx +φ)和函数y=Acos (ωx +φ)的周期2T πω=得解.4、利用函数的单调性比较下列各组中两个三角函数值的大小: (1)sin103°15′与sin164°30′; (2)4744cos()cos()109ππ--与; (3)sin508°与sin144°;(4)cos760°与cos (-770°). 答案:(1)sin103°15′>sin164°130′; (2)4744cos()cos()109ππ->-; (3)sin508°<sin144°;(4)cos760°>cos (-770°).说明:解决这类问题的关键是利用诱导公式将它们转化到同一单调区间上研究.5、求下列函数的单调区间: (1)y=1+sinx ,x ∈R ; (2)y=-cosx ,x ∈R . 答案:(1)当[2,2]22x k k ππππ∈-++,k ∈Z 时,y=1+sinx 是增函数;当3[2,2]22x k k ππππ∈++,k ∈Z 时,y=1+sinx 是减函数. (2)当x ∈[(2k -1)π,2k π],k ∈Z 时,y=-cosx 是减函数; 当x ∈[2k π,(2k +1)π],k ∈Z 时,y=-cosx 是增函数. 说明:利用正弦、余弦函数的单调性研究所给函数的单调性.6、求函数tan()26y x π=-++的定义域.答案:{|,}3x x k k ππ≠+∈Z .说明:可用换元法.7、求函数5tan(2),()3122k y x x k πππ=-≠+∈Z 的周期.答案:2π. 说明:可直接由函数y=Atan (ωx +φ)的周期T πω=得解.8、利用正切函数的单调性比较下列各组中两个函数值的大小: (1)13tan()tan()57ππ--与; (2)tan1519°与tan1493°;(3)93tan 6tan(5)1111ππ-与; (4)7tan tan 86ππ与.答案:(1)13tan()tan()57ππ->-;(2)tan1519°>tan1493°;(3)93tan 6tan(5)1111ππ>-;(4)7tan tan 86ππ<.说明:解决这类问题的关键是利用诱导公式将它们转化到同一单调区间上研究.9、根据正切函数的图象,写出使下列不等式成立的x 的集合: (1)1+tanx ≥0;(2)tan 30x -≥. 答案:(1){|,}42x k x k k ππππ-+<+∈Z ≤;(2){|,}32x k x k k ππππ+<+∈Z ≤.说明:只需根据正切曲线写出结果,并不要求解三角方程或三角不等式.10、设函数f (x )(x ∈R )是以 2为最小正周期的周期函数,且x ∈[0,2]时f (x )=(x -1)2.求f (3),7()2f 的值.答案:由于f (x )以2为最小正周期,所以对任意x ∈R ,有f (x +2)=f (x ).于是:f (3)=f (1+2)=f (1)=(1-1)2=0;273331()(2)()(1)22224f f f =+==-=. 说明:利用周期函数的性质,将其他区间上的求值问题转化到区间[0,2]上的求值问题.11、容易知道,正弦函数y=sinx 是奇函数,正弦曲线关于原点对称,即原点是正弦曲线的对称中心.除原点外,正弦曲线还有其他对称中心吗?如果有,对称中心的坐标是什么?另外,正弦曲线是轴对称图形吗?如果是,对称轴的方程是什么?你能用已经学过的正弦函数性质解释上述现象吗? 对余弦函数和正切函数,讨论上述同样的问题.答案:由正弦函数的周期性可知,除原点外,正弦曲线还有其他对称中心,其对称中心坐标为(k π,0),k ∈Z .正弦曲线是轴对称图形,其对称轴的方程是,2x k k ππ=+∈Z .由余弦函数和正切的周期性可知,余弦曲线的对称中心坐标为(,0)2k ππ+,k ∈Z ,对称轴的方程是x=k π,k ∈Z ;正切曲线的对称中心坐标为(,0)2k π,k ∈Z ,正切曲线不是轴对称图形.说明:利用三角函数的图象和周期性研究其对称性.B 组1、根据正弦函数、余弦函数的图象,写出使下列不等式成立的x 的取值集合:(1)3sin ()2x x ∈R ≥; (2)22cos 0()x x +∈R ≥. 答案:(1)2{|22,}33x k x k k ππππ++∈Z ≤≤; (2)33{|22,}44x k x k k ππππ-++∈Z ≤≤. 说明:变形后直接根据正弦函数、余弦函数的图象写出结果,并不要求解三角方程或三角不等式.2、求函数3tan(2)4y x π=--的单调区间. 答案:单调递减区间5(,),2828k k k ππππ++∈Z .说明:利用正切函数的单调区间求所给函数的单调区间.3、已知函数y=f (x )的图象如图所示,试回答下列问题:(1)求函数的周期;(2)画出函数y=f (x +1)的图象;(3)你能写出函数y=f (x )的解析式吗?答案:(1)2;(2)y=f (x +1)的图象如下;(3)y=|x -2k|,x ∈[2k -1,2k +1],k ∈Z .说明:可直接由函数y=f (x )的图象得到其周期.将函数y=f (x )的图象向左平行移动1个单位长度,就得到函数y=f (x +1)的图象.求函数y=f (x )的解析式难度较高,需要较强的抽象思维能力.可先求出定义域为一个周期的函数y=f (x ),x ∈[-1,1]的解析式为y=|x|,x ∈[-1,1],再根据函数y=f (x )的图象和周期性,得到函数y=f (x )的解析式为y=|x -2k|,x ∈[2k -1,2k +1],k ∈Z . P57习题1.5A 组1、选择题:(1)为了得到函数1cos()3y x =+,x ∈R 的图象,只需把余弦曲线上所有的点( )A .向左平行移动3π个单位长度 B .向右平行移动3π个单位长度C .向左平行移动13个单位长度D .向右平行移动13个单位长度(2)为了得到函数cos 5xy =,x ∈R 的图象,只需把余弦曲线上所有的点的( )、A .横坐标伸长到原来的5倍,纵坐标不变B .横坐标缩短到原来的15倍,纵坐标不变 C .纵坐标伸长到原来的5倍,横坐标不变D .纵坐标缩短到原来的15倍,横坐标不变 (3)为了得到函数1cos 4y x =,x ∈R 的图象,只需把余弦曲线上所有的点的( ).A .横坐标伸长到原来的4倍,纵坐标不变B .横坐标缩短到原来的14倍,纵坐标不变 C .纵坐标伸长到原来的4倍,横坐标不变 D .纵坐标缩短到原来的14倍,横坐标不变 答案:(1)C ;(2)A ;(3)D .2、画出下列函数在长度为一个周期的闭区间上的简图(有条件的可用计算器或计算机作图检验):(1)14sin 2y x =,x ∈R ; (2)1cos32y x =,x ∈R ; (3)3sin(2)6y x π=+,x ∈R ; (4)112cos()24y x π=-,x ∈R .答案:(1)(2)(3)(4)说明:研究了参数A、ω、φ对函数图象的影响.3、不画图,直接写出下列函数的振幅、周期与初相,并说明这些函数的图象可由正弦曲线经过怎样的变化得到(注意定义域):(1)8sin()48x y π=-,x ∈[0,+∞); (2)1sin(3)37y x π=+,x ∈[0,+∞). 答案:(1)振幅是8,周期是8π,初相是8π-. 先把正弦曲线向右平行移动8π个单位长度,得到函数1sin()8y x π=-,x ∈R 的图象;再把函数y 1的图象上所有点的横坐标伸长到原来的4倍(纵坐标不变),得到函数2sin()48x y π=-,x ∈R 的图象;再把函数y 2的图象上所有点的纵坐标伸长到原来的8倍(横坐标不变),得到函数38sin()48x y π=-,x ∈R 的图象;最后把函数y 3的图象在y 轴左侧的部分抹去,就得到函数8sin()48x y π=-,x ∈[0,+∞)的图象.(2)振幅是13,周期是23π,初相是7π.先把正弦曲线向左平行移动7π个单位长度,得到函数1sin()7y x π=+,x ∈R 的图象;再把函数y 1的图象上所有点的横坐标缩短到原来的13倍(纵坐标不变),得到函数2sin(3)7y x π=+,x ∈R 的图象;再把函数y 2的图象上所有点的纵坐标缩短到原来的13倍(横坐标不变),得到函数31sin(3)37y x π=+,x ∈R 的图象;最后把函数y 3的图象在y 轴左侧的部分抹去,就得到函数1sin(3)37y x π=+,x ∈[0,+∞)的图象.说明:了解简谐振动的物理量与函数解析式的关系,并认识函数y=Asin (ωx +φ)的图象与正弦曲线的关系.4、图 1.5-1的电流i (单位:A )随时间t (单位:s )变化的函数关系是5sin(100),[0,)3i t t ππ=+∈+∞.(1)求电流i 变化的周期、频率、振幅及其初相; (2)当t=0,1171,,,(:s)60015060060单位时,求电流i . 答案:(1)周期为150,频率为50,振幅为5,初相为3π.(2)t=0时,532i =;1600t =时,i=5;1150t =时,i=0;7600t =时,i=-5;160t =时,i=0.说明:了解简谐振动的物理量与函数解析式的关系,并求函数值.5、一根长为l cm 的线,一端固定,另一端悬挂一个小球.小球摆动时,离开平衡位置的位移s (单位:cm )与时间t (单位:s )的函数关系是3cos(),[0,)3g s t t l π=+∈+∞. (1)求小球摆动的周期;(2)已知g ≈980cm/s 2,要使小球摆动的周期是1s ,线的长度l 应当是多少?(精确到0.1cm )答案:(1)2lgπ;(2)约24.8cm . 说明:了解简谐振的周期.B 组1、弹簧振子的振动是简谐运动.下表给出了振子在完成一次全振动的过程中的时间t 与位移s 之间的对应数据,根据这些数据求出这个振子的振动函数解析式.t 0 t 0 2t 0 3t 04t 05t 0 6t 0 7t 0 8t 0 9t 010t 0 11t 0 12t 0s-20.0-17.8-10.10.110.317.720.017.710.30.1 -10.1-17.8-20.0答案:根据已知数据作出散点图(如图).由散点图可知,振子的振动函数解析式为020sin()62x y t ππ=-,x ∈[0,+∞).说明:作出已知数据的散点图,然后选择一个函数模型来描述,并根据已知数据求出该函数模型.2、弹簧挂着的小球作上下运动,它在t 秒时相对于平衡位置的高度h 厘米由下列关系式确定:2sin()4h t π=+.以t 为横坐标,h 为纵坐标,作出这个函数在一个剧期的闭区间上的图象,并回答下列问题:(1)小球在开始振动时(即t=0)的位置在哪里?(2)小球的最高点和最低点与平衡位置的距离分别是多少? (3)经过多少时问小球往复运动一次? (4)每秒钟小球能往复振动多少次?答案:函数2sin()4h t π=+在[0,2π]上的图象为(1)小球在开始振动时的位置在(0,2); (2)最高点和最低点与平衡位置的距离都是2; (3)经过2π秒小球往复运动一次; (4)每秒钟小球能往复振动12π次. 说明:结合具体问题,了解解析式中各常数的实际意义.3、如图,点P 是半径为r cm 的砂轮边缘上的一个质点,它从初始位置P 0开始,按逆时针方向以角速度ω rad/s 做圆周运动.求点P 的纵坐标y 关于时间t 的函数关系,并求点P 的运动周期和频率.答案:点P的纵坐标关于时间t的函数关系式为y=rsin(ωt+φ),t∈[0,+∞);点P的运动周期和频率分别为2πω和2ωπ.说明:应用函数模型y=rsin(ωt+φ)解决实际问题.P65习题1.61、根据下列条件,求△ABC的内角A:(1)1sin2A=;(2)2cos2A=-;(3)tanA=1;(4)3 tan3A=-.答案:(1)30°或150°;(2)135°;(3)45°;(4)150°.说明:由角A是△ABC的内角,可知A∈(0°,180°).2、根据下列条件,求(0,2π)内的角x:(1)3sin2x=-;(2)sinx=-1;(3)cosx=0;(4)tanx=1.答案:(1)4533ππ或;(2)32π;(3)322ππ或;(4)544ππ或.说明:可让学生再变换角x的取值范围求解.3、天上有些恒星的亮度是会变化的.其中一种称为造父(型)变星,本身体积会膨胀收缩造成亮度周期性的变化、下图为一造父变星的亮度随时间的周期变化图、此变星的亮度变化的周期为多少天?最亮时是几等星?最暗时是几等星?答案:5.5天;约3.7等星;约4.4等星.说明:每个周期的图象不一定完全相同,表示视星等的坐标是由大到小.4、夏天是用电的高峰时期,特别是在晚上.为保证居民空调制冷用电,电力部门不得不对企事业拉闸限电,而到了0时以后,又出现电力过剩的情况.因此每天的用电也出现周期性的变化.为保证居民用电,电力部门提出了“消峰平谷”的想法,即提高晚上高峰时期的电价,同时降低后半夜低峰时期的电价,鼓励各单位在低峰时用电.请你调查你们地区每天的用电情况,制定一项“消峰平谷”的电价方案.答案:先收集每天的用电数据,然后作出用电量随时间变化的图象,根据图象制定“消峰平谷”的电价方案.说明:建立周期变化的模型解决实际问题.B组1、北京天安门广场的国旗每天是在日出时随太阳升起,在日落时降旗、请根据年鉴或其他的参考资料,统计过去一年不同时期的日出和日落时间.(1)在同一坐标系中,以日期为横轴,画出散点图,并用曲线去拟合这些数据,同时找到函数模型;(2)某同学准备在五一长假时去看升旗,他应当几点到达天安门广场?答案:略.说明:建立周期变化的函数模型,根据模型解决实际问题.2、一个城市所在的经度和纬度是如何影响日出和日落的时间的?收集其他有关的数据并提供理论证据支持你的结论.答案:略.说明:收集数据,建立周期变化的函数模型,根据模型提出个人意见.然后采取上网、查阅资料或走访专业人士的形式,获取这方面的信息,以此来说明自己的结论.P69复习参考题A 组1、写出与下列各角终边相同的角的集合S ,并且把S 中适合不等式-2π≤β≤4π的元素β写出来:(1)4π; (2)23π-;(3)125π;(4)0.答案:(1)79{|2,},,,4444k k ππππββπ=+∈-Z ; (2)22410{|2,},,,3333k k ββπππππ=-+∈-Z ;(3)128212{|2,},,,5555k k ββπππππ=+∈-Z ;(4){β|β=2k π,k ∈Z },-2π,0,2π. 说明:用集合表示法和符号语言写出与指定角终边相同的角的集合,并在给定范围内找出与指定的角终边相同的角.2、在半径为15cm 的圆中,一扇形的弧含有54°,求这个扇形的周长与面积(π取3.14,计算结果保留两个有效数字).答案:周长约44cm ,面积约1.1×102cm 2.说明:可先将角度转化为弧度,再利用弧度制下的弧长和面积公式求解.3、确定下列三角函数值的符号:(1)sin4; (2)cos5; (3)tan8; (4)tan (-3). 答案:(1)负;(2)正;(3)负;(4)正.说明:将角的弧度数转化为含π的形式或度,再进行判断.4、已知1cos 4ϕ=,求sin φ,tan φ. 答案:当φ为第一象限角时,15sin ,tan 154ϕϕ==; 当φ为第四象限角时,15sin ,tan 154ϕϕ=-=-. 说明:先求sin φ的值,再求tan φ的值.5、已知sinx=2cosx ,求角x 的三个三角函数值. 答案:当x 为第一象限角时,tanx=2,525cos ,sin 55x x ==;当x 为第三象限角时,tanx=2,525cos ,sin 55x x =-=-. 说明:先求tanx 的值,再求另外两个函数的值.6、用cos α表示sin 4α-sin 2α+cos 2α.答案:cos 4α.说明:先将原式变形为sin 2α(sin 2α-1)+cos 2α,再用同角三角函数的基本关系变形.7、求证:(1)2(1-sin α)(1+cos α)=(1-sin α+cos α)2;(2)sin 2α+sin 2β-sin 2α·sin 2β+cos 2α·cos 2β=1. 答案:(1)左边=2-2sin α+2cos α-2sin αcos α=1+sin 2α+cos 2α-2sin α+2cos α-2sin αcos α =右边. (2)左边=sin 2α(1-sin 2β)+sin 2β+cos 2αcos 2β=cos 2β(sin 2α+cos 2α)+sin 2β =1=右边.说明:第(1)题可先将左右两边展开,再用同角三角函数的基本关系变形.8、已知tan α=3,计算: (1)4sin 2cos 5cos 3sin αααα-+;(2)sin αcos α;(3)(sin α+cos α)2. 答案:(1)57;(2)310;(3)85. 说明:第(2)题可由222sin tan 9cos ααα==,得21c o s 10α=,所以23sin cos tan cos 10αααα==.或222s incs i n c10sin cos tan 131αααααααα====+++.9、先估计结果的符号,再进行计算. (1)252525sincos tan()634πππ++-; (2)sin2+cos3+tan4(可用计算器).答案:(1)0;(2)1.0771.说明:先根据各个角的位置比较它们的三角函数值的大小,再估计结果的符号.10、已知1sin()2πα+=-,计算:(1)cos(2π-α);(2)tan(α-7π).答案:(1)当α为第一象限角时,3 cos(2)2πα-=,当α为第二象限角时,3 cos(2)2πα-=-;(2)当α为第一象限角时,3 tan(7)3απ-=,当α为第二象限角时,3 tan(7)3απ-=-.说明:先用诱导公式转化为α的三角函数,再用同角三角函数的基本关系计算.11、先比较大小,再用计算器求值:(1)sin378°21′,tan1111°,cos642.5°;(2)sin(-879°),313t a n(),c o s()810ππ--;(3)sin3,cos(sin2).答案:(1)tan1111°=0.601,sin378°21′=0.315,cos642.5°=0.216;(2)sin(-879°)=-0.358,3313tan()0.414,cos()0.588 810ππ-=--=-;(3)sin3=0.141,cos(sin2)=0.614.说明:本题的要求是先估计各三角函数值的大小,再求值验证.12、设π<x<2π,填表:x 76π74πsinx -1cosx22-32tanx 3答案:x 76π54π43π32π74π116πsinx12-22-32--122-12-cosx32-22-12- 02232tanx3313不存在-133-说明:熟悉各特殊角的三角函数值.13、下列各式能否成立,说明理由: (1)cos 2x=1.5;(2)3sin 4x π=-.答案:(1)因为cos 1.5x =,或cos 1.5x =-,而 1.51, 1.51>-<-,所以原式不能成立;(2)因为3sin 4x π=-,而3||14π-<,所以原式有可能成立.说明:利用正弦和余弦函数的最大值和最小值性质进行判断.14、求下列函数的最大值、最小值,并且求使函数取得最大、最小值的x 的集合: (1)sin 2xy π=+,x ∈R ;(2)y=3-2cosx ,x ∈R . 答案:(1)最大值为12π+,此时x 的集合为{|2,}2x x k k ππ=+∈Z ;最小值为12π-,此时x 的集合为{|2,}2x x k k ππ=-+∈Z ;(2)最大值为5,此时x 的集合为{x|x=(2k +1)π,k ∈Z }; 最小值为1,此时x 的集合为{x|x=2k π,k ∈Z }.说明:利用正弦、余弦函数的最大值和最小值性质,研究所给函数的最大值和最小值性质.15、已知0≤x ≤2π,求适合下列条件的角x 的集合: (1)y=sinx 和y=cosx 都是增函数; (2)y=sinx 和y=cosx 都是减函数;(3)y=sinx 是增函数,而y=cosx 是减函数; (4)y=sinx 是减函数,而y=cosx 是增函数.答案:(1)3{|2}2x x ππ≤≤; (2){|}2x x ππ≤≤;(3){|0}2x x π≤≤;(4)3{|}2x x ππ≤≤. 说明:利用函数图象分析.16、画出下列函数在长度为一个周期的闭区间上的简图: (1)1sin(3),;23y x x π=-∈R (2)2sin(),;4y x x π=-+∈R (3)1sin(2),;5y x x π=--∈R(4)3sin(),.63xy x π=-∈R 答案:(1)(2)(3)(4)说明:可要求学生在作出图象后,用计算机或计算器验证.17、(1)用描点法画出函数y=sinx ,[0,]2x π∈的图象.(2)如何根据第(1)小题并运用正弦函数的性质,得出函数y=sinx ,x ∈[0,2π]的图象?(3)如何根据第(2)小题并通过平行移动坐标轴,得出函数y=sin (x +φ)+k ,x ∈[0,2π]的图象?(其中φ,k 都是常数)答案:(1)x 0 18π9π 6π 29π 518π 3π 718π 49π 2π sinx0.17 0.34 0.50 0.64 0.77 0.87 0.94 0.981(2)由sin (π-x )=sinx ,可知函数y=sinx ,x ∈[0,π]的图象关于直线2x π=对称,据此可得函数y=sinx ,[,]2x ππ∈的图象;又由sin (2π-x )=-sinx ,可知函数y=sinx ,x ∈[0,2π]的图象关于点(π,0)对称,据此可得出函数y=sinx ,x ∈[π,2π]的图象.(3)先把y 轴向右(当φ>0时)或向左(当φ<0时)平行移动|φ|个单位长度,再把x 轴向下(当k >0时)或向上(当k <0时)平行移动|k|个单位长度,最后将图象向左或向右平行移动2π个单位长度,并擦去[0,2π]之外的部分,便得出函数y=sin (x +φ)+k ,x ∈[0,2π]的图象.说明:学会用不同的方法作函数图象.18、不通过画图,写出下列函数的振幅、周期、初相,并说明如何由正弦曲线得出它们的图象:(1)sin(5),;6y x x π=+∈R(2)12sin,.6y x x =∈R 答案:(1)振幅是1,周期是25π,初相是6π. 把正弦曲线向左平行移动6π个单位长度,可以得函数sin()6y x π=+,x ∈R 的图象;再把所得图象上所有点的横坐标缩短到原来的15倍(纵坐标不变),就可得出函数sin(5)6y x π=+,x ∈R 的图象.(2)振幅是2,周期是2π,初相是0.把正弦曲线上所有点的横坐标伸长到原来的6倍(纵坐标不变),得到函数1sin6y x =,x ∈R 的图象;再把所得图象上所有点的纵坐标伸长到原来的2倍(横坐标不变),就可得到函数12sin()6y x =,x ∈R 的图象.说明:会根据解析式求各物理量,并理解如何由正弦曲线通过变换得到正弦函数的图象.。
第三章三角恒等变换综合检测题本试卷分第I 卷选择题和第U 卷非选择题两部分,满分150分,时间120 分钟。
第I 卷(选择题共60分)一、选择题(本大题共12个小题,每小题 5分,共60分,在每小题给出的四个选项中 只有一个是符合题目要求的 )n 3 41 .已知 0v av 2v 3<n 又 sin a= 5, cos (a+ ®= — 5,贝V sin ()B . 0 或 2424 C.25 24 D . ±25 [答案]Cn 3 4[解析]•/ 0v av 2 v 3v n 且 sin a= 5, COS ( a+ 3 = — 54 n3 3• cos a= 5 , 2< a+ 3v ㊁ n, • sin( a+ 3 = ±5,=sin( a+ 3cos a — cos( a+ 3)sin a才< 3v n ••• sin 3> 0•故排除 A , B , D.4 3 4⑵由 cos( a+ 3)= — 5及 Sin a= 3可得 sin 3= §(1 + cos 3)代入 sin 2 3+ cos 2 3= 1 中可解得 cos37 n=—1或一25,再结合2<仟n 可求sin 32.若sin Bv 0, cos2 0v 0,则在(0,2 内)B 的取值范围是()3 n3=0.sin3=- 5x 4-又氏才,n j, • sin 3> 0,故 sin 3= 24当 sin( a+ 3 =,sin 3= sin [( a+ a[点评](1)可用排除法求解,T=器53 245 = 25;A . n< 0< 25 nB.5T <e< ¥3 nC.y <e< 2 nD.严< 0<孕4 4[答案]B[解析]2 2 2•/ cos2 e< 0, • 1 —2sin < 0,即sin e>2或sin < —"2,又已知sin < 0, •— 1 < sin e<—亠2,2由正弦曲线得满足条件的e取值为54n<e< ¥3. 函数y= sin2x+ cos2x的图象,可由函数y= sin2x —cos2x的图象()A .向左平移f个单位得到B .向右平移f个单位得到8c.向左平移n个单位得到4D .向右平移4个单位得到[答案]C[解析]y= sin2x+ cos2x= , 2sin(2x+J=2si n2(x +》_ n _ ny= sin2x—cos2x= 2sin(2x—4)= . 2sin2(x—§)n n n其中x+8=(x+ 4)—8n•••将y= sin2x—cos2x的图象向左平移:个单位可得y= sin2x+ cos2x的图象.44. 下列各式中,值为~2的是()A . 2sin 15 cos15 °2 2B. cos 15。
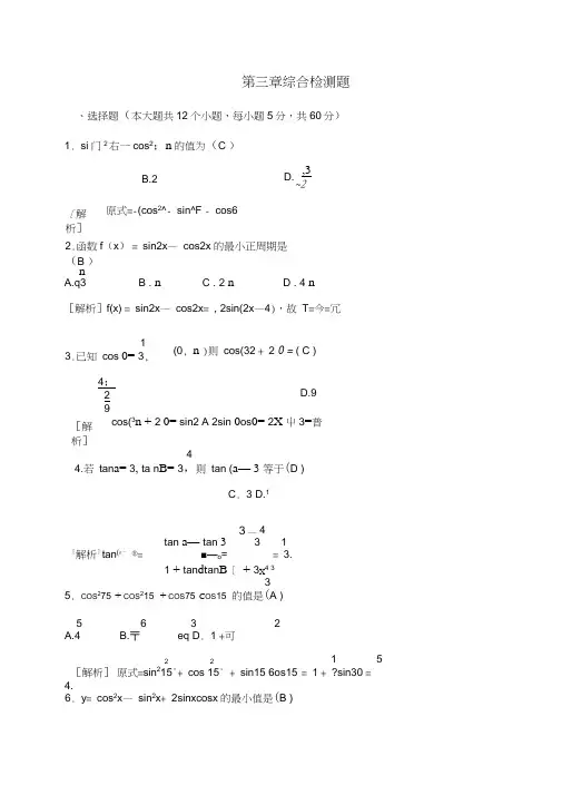
第三章综合检测题、选择题(本大题共12个小题,每小题5分,共60分)1. si门2右一cos2;n的值为(C )B.2 D. ,3~2[解析]原式=-(cos2^- sin^F - cos62.函数f(x)= sin2x—cos2x的最小正周期是(B )nA.q3 B . n C . 2 n D . 4 n[解析]f(x) = sin2x—cos2x= , 2sin(2x—4),故T=今=冗13.已知cos 0= 3,(0,n )则cos(32 + 2 0 = ( C )4;29D.9[解析]cos(3n + 2 0= sin2 A 2sin 0os0= 2X 屮3=普44.若tan a= 3, ta n B= 3,则tan (a— 3 等于(D )C. 3D.13 —4tan a—tan 3 3 1[解析]tan(a—®=■—o= = 3.1 + tan dt an B〔+ 3X4 335. COS275°+COS215°+COS75°C OS15的值是(A )5 6 3 2A.4B.〒eq D. 1 +可2 21 5 [解析]原式=sin215°+ cos 15° + sin15 6os15°= 1 + ?sin30 = 4.6. y= cos2x—sin2x+ 2sinxcosx的最小值是(B )A. 2 B2 C. 2 D2_ n _[解析]y= cos2x+ si n2x= 2si n( 2x+ 4),.,.y max=— 2.7.若tan a= 2, tan(B— M= 3,贝U tan(B—2 0)= ( D )A. —1B. —5C.7D.1tan p- a—tan a 3 —2 i[解析]tan( p—2 a = tan[( p— a) —a = = =千1 + tan p—a tan a 1 + 68.已知点P(cos a, sin M, Q(cos p, sin®,贝U |PQ| 的最大值是(B )A. 2[解析] PQ = (cos® —cos a, sin p—si n a ,贝U |PQ| = p cos®—cos a2+ sin p- sin a2='2—2cos a— p,故|PQ|的最大值为2.cos2x+ sin2x”^「十厂9.函数y= cos2x —sin2x的最小正周期为(C )n nA. 2 nB. nC.qD.41 + tan2x n n[解析]y= =tan(2x+ 4),.T=2.1 —tan2x 4 210. 若函数f(x) = sin2x —*x€ R),则f(x)是(D )A .最小正周期为訓勺奇函数B .最小正周期为n的奇函数C.最小正周期为2 n的偶函数 D .最小正周期为n的偶函数1 12 12[解析]f(x)= sin2x—2= —2(1 —2sin2x) = —^cos2x,.f(x)的周期为n的偶函数.n11. y= sin(2x —3)—sin2x 的一个单调递增区间是(B )n n n 7^ r 5 1^ _ _ _ n 5 nA . [—6, 3] B.[石,石n]c.[匚n 石n ] D . [3,石!5 n n n n n[解析] y = sin(2x — 3) — sin2x = sin2xcos^ — coshes% — sin2x =- (sin2xcos^ + cos2xsin^)=—sin(2x + 3),其增区间是函数y = sin(2x +3)的减区间,即2k n+㊁三2x + 3W 2k n+~2,「k nn7 n 「 r 「 n 7 n+12= x <k n+12,当 k = 0 时,x € [乜,乜].12. 已知 sin(a+ 3 = 2,sin(a- 3 = £,则 log • 5(器 等于 (C . 41 sin a os 3+ cos a in 23得 1sin a os 3— cos a in 3= 313. (1+ tan 17 )(1 + tan28 °tan 17 ° tan28[解析] 原式=1 + tan 17 + tan28 °tan 17 °tan28 ;又 tan(17 +28°) = ------------- =1 — tan17 )an28 0 tan45 = 1,Atan17 + tan28 = 1— tan 17 °tan28 )14. (2012全国高考江苏卷)设a 为锐角,若cosn a+6=5,贝U sin 2 a+ 的值为弋^2.n n 2 n n [解析]Ta 为锐角,.「6<a+ 6<3,v cos a- 6 =4 5, n 3 sin a+ 6 = 5;n n n 24.••sin 2 a+ 3 = 2sin a+ 6 cos a+ 6 = 25,n n 2 .2 n 7cos(2 a+ 3) = cos( a+ g) 一 sin ( a+ g) =25 . n n n . n .•sin 2 a+ 12 = sin 2 + 3— 4 = sin 2 a — 3 ncos4—cosc n . n 1A /2 2a+3 sin 4= 50 .115.已知 cos2a= 3,贝U sin 4 a+ cos 4a=[解析]由sin(a+ 3 = 2, sin(a- a 5sin ocos 3=12.tan a 1,• °tan 3cos a i n 3=徨=5,「•log ‘5(眯沪 g 552 = 4.、填空题(本大题共4个小题, 每小题5分,共20分)代入原式可得结果为2.521 2 2 2[解析]cos2o a 2cos a—1= 3 得cos a 3,由cos2o a 1 —2s in a得sin2a 3(或据sin2a2 2 1 , + cos a 1得Sin a= 3),代入计算可得.3 1 n n16.设向量a=(刃sin0, b= (cos0 3),其中0€ (0,刃,若a / b,贝U 0= ___41 n [解析]若a//b,贝U sin 0cos A2,即卩2sin(Cos B= 1 ,:sin2 A1,又(0,㊁),n 4.三、解答题(本大题共6个小题,共70分,写出文字说明,证明过程或演算步骤3 - 3 sin2 a+ 2sin a,17.(本题满分10分)已知cos a—sin a= 5^,且na^n 求—1 —t an a—的值.[解析]因为cos a—sin aa%"2,所以1 —2si n a cos a=卷,所以2si n«cos a= £又a€ ( n "2),故sin a+ CoS a=-冷 1 + 2sin0cos a= —誉,2 2sin2 a+ 2sin a 2sin a cos a+ 2sin a cos a 2sin a cos a cos a+ sin a所以=1 —tan a COS a—sin a COS a—sin aZ x4/225x一 55 28 75.18.(本题满分12分)设x€ [0 , 3],求函数y= cos(2x-3) + 2sin(x—力的最值.n n n n[解析]y = cos(2x—3) + 2si n(x—6)= cos2(x—6)+ 2sin(x—石)2n n n 1 2 3=1 —2sin (x—舌)+ 2sin(x —6)= —2[sin(x—$) —2 + 21 1 3 1 • x€ [0 , 3], —x—g[一6,6].• °sin(x—g) € [一?, 2] ,^ymax a2,ymin= —2*19.(本题满分12分)已知tan2a2tan2a+ 1,求证:cos20+ sin2a= 0.十卄2cos20- sin20 2 1 —tan20 2—2tan2a[证明] cos2 0+ sin a= 2 2 + sin a= 2 + sin a= 2cos20+ sin20 1 + tan20 1 + 2tan2a+ 1+ si n2a=.2—sin a 2 + sin a= COS a+ Sin a 2 o—sin a+ sin a 0.3x . 3xx . x »亠12分)已知向量 a = (cos^, sin_2), b = (co^,— sin^), c = (.3— 1),其中 x €R.(1)当a 丄b 时,求x 值的集合; ⑵求a —ci 的最大值.3x x 3x xk n n [解析](1)由 a 丄b 得 a b = 0,即卩 cos^cos^ —sin-^sin^a 0,贝Ucos2x = 0,得x a ^ + 4(kk n n€ Z), Ax 值的集合是{x|x = 2 + 4, « Z}.2 3x1- 2 3x 2 o 3x t -3x o 3x 3x(2)|a — c| = (cos 刁—.3) + (sin_2 + 1) = cos"^ — 2.3cos^ + 3+ sin + 2sin^ + 1=5+ 2sin^x —2 ,3。
第三章测试(时间:120分钟,满分:150分)一、选择题(本大题共12小题,每题5分,共60分.在每小题给出的四个选项中,只有一项是符合题目要求的)1.sin105°cos105°的值为( ) A.14 B .-14C.34D .-34解析 原式=12sin210°=-12sin30°=-14.答案 B2.若sin2α=14,π4<α<π2,则cos α-sin α的值是( )A.32B .-32C.34D .-34解析 (cos α-sin α)2=1-sin2α=1-14=34.又π4<α<π2, ∴cos α<sin α,cos α-sin α=-34=-32. 答案 B3.sin15°sin30°sin75°的值等于( ) A.14 B.34 C.18D.38解析 sin15°sin30°sin75° =sin15°cos15°sin30° =12sin30°sin30°=12×12×12=18. 答案 C4.在△ABC 中,∠A =15°,则 3sin A -cos(B +C )的值为( ) A. 2 B.22C.32D. 2解析 在△ABC 中,∠A +∠B +∠C =π, 3sin A -cos(B +C ) =3sin A +cos A =2(32sin A +12cos A ) =2cos(60°-A )=2cos45°= 2. 答案 A5.已知tan θ=13,则cos 2θ+12sin2θ等于( )A .-65B .-45C.45D.65解析 原式=cos 2θ+sin θcos θcos 2θ+sin 2θ=1+tan θ1+tan 2θ=65.答案 D6.在△ABC 中,已知sin A cos A =sin B cos B ,则△ABC 是( ) A .等腰三角形 B .直角三角形 C .等腰直角三角形D .等腰三角形或直角三角形解析 ∵sin2A =sin2B ,∴∠A =∠B ,或∠A +∠B =π2.答案 D 7.设a =22(sin17°+cos17°),b =2cos 213°-1,c =32,则( ) A .c <a <b B .b <c <a C .a <b <c D .b <a <c 解析 a =22sin17°+22cos17°=cos(45°-17°)=cos28°,b =2cos 213°-1=cos26°,c =32=cos30°, ∵y =cos x 在(0,90°)内是减函数, ∴cos26°>cos28°>cos30°,即b >a >c . 答案 A8.三角形ABC 中,若∠C >90°,则tan A ·tan B 与1的大小关系为( ) A .tan A ·tan B >1 B. tan A ·tan B <1 C .tan A ·tan B =1D .不能确定解析 在三角形ABC 中,∵∠C >90°,∴∠A ,∠B 分别都为锐角. 则有tan A >0,tan B >0,tan C <0. 又∵∠C =π-(∠A +∠B ),∴tan C =-tan(A +B )=-tan A +tan B1-tan A ·tan B <0,易知1-tan A ·tan B >0, 即tan A ·tan B <1. 答案 B9.函数f (x )=sin 2⎝⎛⎭⎫x +π4-sin 2⎝⎛⎭⎫x -π4是( ) A .周期为π的奇函数 B .周期为π的偶函数 C .周期为2π的奇函数 D .周期为2π的偶函数解析 f (x )=sin 2⎝⎛⎭⎫x +π4-sin 2⎝⎛⎭⎫x -π4 =cos 2⎝⎛⎭⎫π4-x -sin 2⎝⎛⎭⎫x -π4 =cos 2⎝⎛⎭⎫x -π4-sin 2⎝⎛⎭⎫x -π4 =cos ⎝⎛⎭⎫2x -π2 =sin2x . 答案 A10.y =cos x (cos x +sin x )的值域是( ) A .[-2,2] B.⎣⎢⎡⎦⎥⎤1+22,2C.⎣⎢⎡⎦⎥⎤1-22,1+22D.⎣⎡⎦⎤-12,32 解析 y =cos 2x +cos x sin x =1+cos2x 2+12sin2x=12+22⎝⎛⎭⎫22sin2x +22cos2x =12+22sin(2x +π4).∵x ∈R , ∴当sin ⎝⎛⎭⎫2x +π4=1时,y 有最大值1+22; 当sin ⎝⎛⎭⎫2x +π4=-1时,y 有最小值1-22. ∴值域为⎣⎢⎡⎦⎥⎤1-22,1+22.答案 C11.已知θ为第二象限角,sin(π-θ)=2425,则cos θ2的值为( )A.335 B.45 C .±35D .±45解析 由sin(π-θ)=2425,得sin θ=2425.∵θ为第二象限的角,∴cos θ=-725.∴cos θ2=±1+cos θ2=± 1-7252=±35. 答案 C12.若α,β为锐角,cos(α+β)=1213,cos(2α+β)=35,则cos α的值为( )A.5665 B.1665C.5665或1665D .以上都不对解析 ∵0<α+β<π,cos(α+β)=1213>0,∴0<α+β<π2,sin(α+β)=513.∵0<2α+β<π,cos(2α+β)=35>0,∴0<2α+β<π2,sin(2α+β)=45.∴cos α=cos [(2α+β)-(α+β)]=cos(2α+β)cos(α+β)+sin(2α+β)sin(α+β) =35×1213+45×513=5665. 答案 A二、填空题(本大题共4小题,每题5分,共20分.将答案填在题中横线上) 13.若1+tan α1-tan α=2012,则1cos2α+tan2α=______.解析1cos2α+tan2α=1+sin2αcos2α=sin 2α+cos 2α+2sin αcos αcos 2α-sin 2α=tan 2α+1+2tan α1-tan 2α=(tan α+1)21-tan 2α=1+tan α1-tan α=2012.答案 201214.已知cos2α=13,则sin 4α+cos 4α=________.解 ∵cos2α=13,∴sin 22α=89.∴sin 4α+cos 4α=(sin 2α+cos 2α)2-2sin 2αcos 2α =1-12sin 22α=1-12×89=59.答案 5915.sin (α+30°)+cos (α+60°)2cos α=________.解析 ∵sin(α+30°)+cos(α+60°)=sin αcos30°+cos αsin30°+cos αcos60°-sin αsin60°=cos α,∴原式=cos α2cos α=12.答案 1216.关于函数f (x )=cos(2x -π3)+cos(2x +π6),则下列命题:①y =f (x )的最大值为2; ②y =f (x )最小正周期是π;③y =f (x )在区间⎣⎡⎦⎤π24,13π24上是减函数;④将函数y =2cos2x 的图像向右平移π24个单位后,将与已知函数的图像重合.其中正确命题的序号是________. 解析 f (x )=cos ⎝⎛⎭⎫2x -π3+cos ⎝⎛⎭⎫2x +π6 =cos ⎝⎛⎭⎫2x -π3+sin ⎣⎡⎦⎤π2-⎝⎛⎭⎫2x +π6 =cos ⎝⎛⎭⎫2x -π3-sin ⎝⎛⎭⎫2x -π3 =2·⎣⎡⎦⎤22cos ⎝⎛⎭⎫2x -π3-22sin ⎝⎛⎭⎫2x -π3 =2cos ⎝⎛⎭⎫2x -π3+π4 =2cos ⎝⎛⎭⎫2x -π12, ∴y =f (x )的最大值为2,最小正周期为π,故①,②正确.又当x ∈⎣⎡⎦⎤π24,13π24时,2x -π12∈[0,π],∴y =f (x )在⎣⎡⎦⎤π24,13π24上是减函数,故③正确. 由④得y =2cos2⎝⎛⎭⎫x -π24=2cos ⎝⎛⎭⎫2x -π12,故④正确. 答案 ①②③④三、解答题(本大题共6小题,共70分.解答应写出文字说明、证明过程或演算步骤) 17.(10分)已知向量m =⎝⎛⎭⎫cos α-23,-1,n =(sin x,1),m 与n 为共线向量,且α∈⎣⎡⎦⎤-π2,0.(1)求sin α+cos α的值; (2)求sin2αsin α-cos α的值.解 (1)∵m 与n 为共线向量, ∴⎝⎛⎭⎫cos α-23×1-(-1)×sin α=0, 即sin α+cos α=23. (2)∵1+sin2α=(sin α+cos α)2=29,∴sin2α=-79.∴(sin α-cos α)2=1-sin2α=169. 又∵α∈⎣⎡⎦⎤-π2,0,∴sin α-cos α<0. ∴sin α-cos α=-43.∴sin2αsin α-cos α=712. 18.(12分)求证:2-2sin ⎝⎛⎭⎫α+3π4cos ⎝⎛⎭⎫α+π4cos 4α-sin 4α=1+tan α1-tan α. 证明 左边=2-2sin ⎝⎛⎭⎫α+π4+π2cos ⎝⎛⎭⎫α+π4(cos 2α+sin 2α)(cos 2α-sin 2α) =2-2cos 2⎝⎛⎭⎫α+π4cos 2α-sin 2α =1-cos ⎝⎛⎭⎫2α+π2cos 2α-sin 2α=1+sin2αcos 2α-sin 2α=(sin α+cos α)2cos 2α-sin 2α=cos α+sin αcos α-sin α=1+tan α1-tan α. ∴原等式成立.19.(12分)已知函数f (x )=2cos2x +sin 2x -4cos x . (1)求f ⎝⎛⎭⎫π3的值;(2)求f (x )的最大值和最小值. 解 (1)f ⎝⎛⎭⎫π3=2cos 2π3+sin 2π3-4cos π3 =2×⎝⎛⎭⎫-12+⎝⎛⎭⎫322-4×12 =-1+34-2=-94.(2)f (x )=2(2cos 2x -1)+(1-cos 2x )-4cos x =3cos 2x -4cos x -1=3⎝⎛⎭⎫cos x -232-73, ∵x ∈R ,cos x ∈[-1,1],∴当cos x =-1时,f (x )有最大值6; 当cos x =23时,f (x )有最小值-73.20.(12分)已知cos ⎝⎛⎭⎫x -π4=210,x ∈⎝⎛⎭⎫π2,3π4. (1)求sin x 的值; (2)求sin ⎝⎛⎭⎫2x +π3的值. 解 (1)解法1:∵x ∈⎝⎛⎭⎫π2,3π4, ∴x -π4∈⎝⎛⎭⎫π4,π2, 于是sin ⎝⎛⎭⎫x -π4= 1-cos 2⎝⎛⎭⎫x -π4=7210.sin x =sin ⎣⎡⎦⎤⎝⎛⎭⎫x -π4+π4=sin ⎝⎛⎭⎫x -π4cos π4+cos ⎝⎛⎭⎫x -π4sin π4 =7210×22+210×22=45. 解法2:由题设得22cos x +22sin x =210, 即cos x +sin x =15.又sin 2x +cos 2x =1, 从而25sin 2x -5sin x -12=0, 解得sin x =45,或sin x =-35,因为x ∈⎝⎛⎭⎫π2,3π4,所以sin x =45. (2)∵x ∈⎝⎛⎭⎫π2,3π4,故 cos x =-1-sin 2x =-1-⎝⎛⎭⎫452=-35. sin2x =2sin x cos x =-2425.cos2x =2cos 2x -1=-725.∴sin ⎝⎛⎭⎫2x +π3 =sin2x cos π3+cos2x sin π3=-24+7350.21.(12分)已知函数 f (x )=4cos x sin ⎝⎛⎭⎫x +π6-1. (1)求f (x )的最小正周期;(2)求f (x )在区间⎣⎡⎦⎤-π6,π4上的最大值和最小值. 解 (1)因为f (x )=4cos x sin ⎝⎛⎭⎫x +π6-1 =4cos x ⎝⎛⎭⎫32sin x +12cos x -1=3sin2x +2cos 2x -1=3sin2x +cos2x =2sin ⎝⎛⎭⎫2x +π6所以f (x )的最小正周期为π.(2)-π6≤x ≤π4,所以-π6≤2x +π6≤2π3,当2x +π6=π2时,即x =π6,f (x )取得最大值2;当2x +π6=-π6时,即x =-π6,f (x )取得最小值-1.22.(12分)已知函数f (x )=sin ⎝⎛⎭⎫x +7π4+cos ⎝⎛⎭⎫x -3π4,x ∈R . (1)求f (x )的最小正周期和最小值;(2)已知cos(β-α)=45,cos(β+α)=-45,0<α<β≤π2,求证:[f (β)]2-2=0.解 (1)∵f (x )=sin ⎝⎛⎭⎫x +7π4-2π+sin ⎝⎛⎭⎫x -3π4+π2 =sin ⎝⎛⎭⎫x -π4+sin ⎝⎛⎭⎫x -π4=2sin ⎝⎛⎭⎫x -π4, ∴T =2π,f (x )的最小值为-2.(2)证明:由已知得cos βcos α+sin βsin α=45,cos βcos α-sin βsin α=-45.两式相加,得2cos βcos α=0, ∵0<α<β≤π2,∴β=π2.∴[f (β)]2-2=4sin 2π4-2=0.。
高中数学必修4习题和复习参考题及对应答案A组1、在0°~360°范围内,找出与下列各角终边相同的角,并指出它们是哪个象限的角:(1)-265°;(2)-1000°;(3)-843°10′;(4)3900°.答案:(1)95°,第二象限;(2)80°,第一象限;(3)236°50′,第三象限;(4)300°,第四象限.说明:能在给定范围内找出与指定的角终边相同的角,并判定是第几象限角.2、写出终边在x轴上的角的集合.答案:S={α|α=k·180°,k∈Z}.说明:将终边相同的角用集合表示.3、写出与下列各角终边相同的角的集合,并把集合中适合不等式-360°≤β<360°的元素β写出来:(1)60°;(2)-75°;(3)-824°30′;(4)475°;(5)90°;(6)270°;(7)180°;(8)0°.答案:(1){β|β=60°+k·360°,k∈Z},-300°,60°;(2){β|β=-75°+k·360°,k∈Z},-75°,285°;(3){β|β=-824°30′+k·360°,k∈Z},-104°30′,255°30′;(4){β|β=475°+k·360°,k∈Z},-245°,115°;(5){β|β=90°+k·360°,k∈Z},-270°,90°;(6){β|β=270°+k·360°,k∈Z},-90°,270°;(7){β|β=180°+k·360°,k∈Z},-180°,180°;(8){β|β=k·360°,k∈Z},-360°,0°.说明:用集合表示法和符号语言写出与指定角终边相同的角的集合,并在给定范围内找出与指定的角终边相同的角.4、分别用角度和弧度写出第一、二、三、四象限角的集合.说明:用角度制和弧度制写出各象限角的集合.5、选择题:(1)已知α是锐角,那么2α是( ) A .第一象限角 B .第二象限角C .小于180°的正角D .第一或第二象限角 (2)已知α是第一象限角,那么2α是( )、 A .第一象限角 B .第二象限角C .第一或第二象限角D .第一或第三象限角 答案:(1)C说明:因为0°<α<90°,所以0°<2α<180°. (2)D说明:因为k·360°<α<90°+k·360°,k∈Z ,所以180451802k k α︒<<︒+︒,k∈Z .当k 为奇数时,2α是第三象限角;当k 为偶数时,2α是第一象限角. 6、一条弦的长等于半径,这条弦所对的圆心角等于1弧度吗?为什么?答案:不等于1弧度.这是因为等于半径长的弧所对的圆心角为1弧度,而等于半径长的弦所对的弧比半径长.说明:了解弧度的概念. 7、把下列各角度化成弧度: (1)36°;(2)-150°;(3)1095°;(4)1440°.答案:(1)5π;(2)56π;(3)7312π-;(4)8π.说明:能进行度与弧度的换算.8、把下列各弧度化成度: (1)76π-;(2)103π-;(3)1.4;(4)23. 答案:(1)-210°;(2)-600°;(3)80.21°;(4)38.2°.说明:能进行弧度与度的换算. 9、要在半径OA=100cm 的圆形金属板上截取一块扇形板,使其弧AB 的长为112cm ,求圆心角∠AOB 是多少度(可用计算器,精确到1°).答案:64°说明:可以先运用弧度制下的弧长公式求出圆心角的弧度数,再将弧度换算为度,也可以直接运用角度制下的弧长公式.10、已知弧长50cm 的弧所对圆心角为200°,求这条弧所在的圆的半径(可用计算器,精确到1cm ).答案:14cm .说明:可以先将度换算为弧度,再运用弧度制下的弧长公式,也可以直接运用角度制下的弧长公式.B 组1、每人准备一把扇子,然后与本小组其他同学的对比,从中选出一把展开后看上去形状较为美观的扇子,并用计算器算出它的面积S 1.(1)假设这把扇子是从一个圆面中剪下的,而剩余部分的面积为S 2,求S 1与S 2的比值; (2)要使S 1与S 2的比值为0.618,则扇子的圆心角应为几度(精确到10°)? 答案:(1)(略)(2)设扇子的圆心角为θ,由2122120.6181(2)2r S S r θπθ==-,可得θ=0.618(2π-θ),则θ=0.764π≈140°.说明:本题是一个数学实践活动.题目对“美观的扇子”并没有给出标准,目的是让学生先去体验,然后再运用所学知识发现,大多数扇子之所以“美观”是因为基本都满足:120.618SS =(黄金分割比)的道理.2、(1)时间经过4 h (时),时针、分针各转了多少度?各等于多少弧度?(2)有人说,钟的时针和分针一天内会重合24次、你认为这种说法是否正确?请说明理由. (提示:从午夜零时算起,假设分针走了t min 会与时针重合,一天内分针和时针会重合n 次,建立t 关于n 的函数关系式,并画出其图象,然后求出每次重合的时间.)答案:(1)时针转了-120°,等于23π-弧度;分针转了-1440°,等于-8π弧度 (2)设经过t min 分针就与时针重合,n 为两针重合的次数. 因为分针旋转的角速度为2(rad /min)6030ππ=, 时针旋转的角速度为2(rad/min)1260360ππ=⨯,所以()230360t n πππ-=,即72011t n =. 用计算机或计算器作出函数72011t n =的图象(如下页图)或表格,从中可清楚地看到时针与分针每次重合所需的时间.n u1 15. 981.82 16. 1047.3 17. 1112.7 18. 1178.2 19. 1243.6 20. 1309.1 21. 1374.5 22.1440.因为时针旋转一天所需的时间为24×60=1440(min ),所以144011n ≤,于是n≤22.故时针与分针一天内只会重合22次.说明:通过时针与分针的旋转问题进一步地认识弧度的概念,并将问题引向深入,用函数思想进行分析.在研究时针与分针一天的重合次数时,可利用计算器或计算机,从模拟的图形、表格中的数据、函数的解析式或图象等角度,不难得到正确的结论.3、已知相互啮合的两个齿轮,大轮有48齿,小轮有20齿,当大轮转动一周时,小轮转动的角是__________度,即__________rad .如果大轮的转速为180r/min (转/分),小轮的半径为10.5cm ,那么小轮周上一点每1s 转过的弧长是__________.答案:864°,245π,151.2π cm. 说明:通过齿轮的转动问题进一步地认识弧度的概念和弧长公式.当大齿轮转动一周时,小齿轮转动的角是4824360864rad.205π⨯︒=︒= 由于大齿轮的转速为3r/s ,所以小齿轮周上一点每1s 转过的弧长是483210.5151.2(cm)20ππ⨯⨯⨯=. P20习题1.2A 组1、用定义法、公式一以及计算器求下列角的三个三角函数值:(1)173π-;(2)214π;(3)236π-;(4)1500°.答案:(1)1sin ,tan 22ααα===(2)sin tan 122ααα=-=-=;(3)1sin ,cos tan 2ααα===(4)1sin ,tan 2ααα=== 说明:先利用公式一变形,再根据定义求值,非特殊角的三角函数值用计算器求.2、已知角α的终边上有一点的坐标是P (3a ,4a ),其中a≠0,求sinα,cosα,tanα的三角函数值.答案:当a >0时,434sin ,cos ,tan 553ααα===;当a <0时,434sin ,cos ,tan 553ααα=-=-=-.说明:根据定义求三角函数值. 3、计算:(1)6sin (-90°)+3sin0°-8sin270°+12cos180°; (2)10cos270°+4sin0°+9tan0°+15cos360°;(3)22322costantan sin cos sin 2446663ππππππ-+-++;(4)2423sincos tan 323πππ+-. 答案:(1)-10;(2)15;(3)32-;(4)94-.说明:求特殊角的三角函数值.4、化简:(1)asin0°+bcos90°+ctan180°;(2)-p 2cos180°+q 2sin90°-2pqcos0°;(3)223cos 2sincos sin 22a b ab ab ππππ-+-; (4)13tan 0cos sin cos sin 222m n p q r ππππ+---.答案:(1)0;(2)(p -q )2;(3)(a -b )2;(4)0.说明:利用特殊角的三角函数值化简.5、根据下列条件求函数3()sin()2sin()4cos 23cos()444f x x x x x πππ=++--++的值. (1)4x π=;(2)34x π=. 答案:(1)-2;(2)2.说明:转化为特殊角的三角函数的求值问题. 6、确定下列三角函数值的符号:(1)sin186°; (2)tan505°; (3)sin7.6π; (4)23tan()4π-; (5)cos940°;(6)59cos()17π-. 答案:(1)负;(2)负;(3)负;(4)正;(5)负;(6)负. 说明:认识不同位置的角对应的三角函数值的符号. 7、确定下列式子的符号: (1)tan125°·sin273°;(2)tan108cos305︒︒;(3)5411sin cos tan 456πππ;(4)511cos tan 662sin 3πππ. 答案:(1)正;(2)负;(3)负;(4)正.说明:认识不同位置的角对应的三角函数值的符号. 8、求下列三角函数值(可用计算器):(1)67sin()12π-; (2)15tan()4π-;(3)cos398°13′; (4)tan766°15′. 答案:(1)0.9659;(2)1;(3)0.7857;(4)1.045.说明:可先运用公式一转化成锐角三角函数,然后再求出三角函数值. 9、求证:(1)角θ为第二或第三象限角当且仅当sinθ·tanθ<0; (2)角θ为第三或第四象限角当且仅当cosθ·tanθ<0; (3)角θ为第一或第四象限角当且仅当sin 0tan θθ>;(4)角θ为第一或第三象限角当且仅当sinθ·cosθ>0. 答案:(1)先证如果角θ为第二或第三象限角,那么sinθ·tanθ<0. 当角θ为第二象限角时,sinθ>0,tanθ<0,则sinθ·tanθ<0; 当角θ为第三象限角时,sinθ<0,tanθ>0,则sinθ·tanθ<0, 所以如果角θ为第二或第三象限角,那么sinθ·tanθ<0. 再证如果sinθ·tanθ<0,那么角θ为第二或第三象限角.因为sinθ·tanθ<0,即sinθ>0且tanθ<0,或sinθ<0且tanθ>0, 当sinθ>0且tanθ<0时,角θ为第二象限角; 当sinθ<0且tanθ>0时,角θ为第三象限角,所以如果sinθ·tanθ<0,那么角θ为第二或第三象限角. 综上所述,原命题成立. (其他小题略)说明:以证明命题的形式,认识位于不同象限的角对应的三角函数值的符号.10、(1)已知sin α=,且α为第四象限角,求cosα,tanα的值; (2)已知5cos 13α=-,且α为第二象限角,求sinα,tanα的值; (3)已知3tan 4α=-,求sinα,cosα的值;(4)已知cosα=0.68,求sinα,tanα的值(计算结果保留两个有效数字).答案:(1)1,2 (2)1212,135-;(3)当α为第二象限角时,34sin ,cos 55αα==-, 当α为第四象限角时,34sin ,cos 55αα=-=;(4)当α为第一象限角时,sinα=0.73,tanα=1.1,当α为第四象限角时,sinα=-0.73,tanα=-1.1. 说明:要注意角α是第几象限角.11、已知1sin 3x =-,求cosx ,tanx 的值.答案:当x 为第三象限角时,cos tan x x ==当x 为第四象限角时,cos tan 34x x ==- 说明:要分别对x 是第三象限角和第四象限角进行讨论.12、已知3tan 2απαπ=<<,求cosα-sinα的值.答案:11)2说明:角α是特殊角. 13、求证: (1)2212sin cos 1tan 1tan cos sin x x xxx x--=+-;(2)tan 2α-sin 2α=tan 2α·sin 2α;(3)(cosβ-1)2+sin 2β=2-2cosβ;(4)sin 4x +cos 4x=1-2sin 2xcos 2x .答案:(1)2(cos sin )cos sin 1tan (cos sin )(cos sin )cos sin 1tan x x x x xx x x x x x x---===+-++左边; (2)222222222211cos sin sin (1)sin sin sin tan cos cos cos x x x xxx x xxx-=-===左边;(3)左边=1-2cosβ+cos 2β+sin 2β=2-2cosβ;(4)左边=(sin 2x +cos 2x )2-2sin 2x·cos 2x=1-2sin 2x·cos 2x .说明:还可以从右边变为左边,或对左右同时变形.可提倡一题多解,然后逐渐学会选择较为简单的方法.B 组1、化简(1+tan 2α)cos 2α. 答案:1说明:根据同角三角函数的基本关系,将原三角函数式转化为正余弦函数式.2α为第二象限角. 答案:-2t anα说明:先变形,再根据同角三角函数的基本关系进行化简. 3、已知tanα=2,求sin cos sin cos αααα+-的值.答案:3说明:先转化为正切函数式. 4、从本节的例7可以看出,cos 1sin 1sin cos x x x x+=-就是sin 2x +cos 2x=1的一个变形.你能利用同角三角函数的基本关系推导出更多的关系式吗?答案:又如sin 4x +cos 4x=1-2sin 2x·cos 2x 也是sin 2x +cos 2x=1的一个变形;2211tan cos x x=+是sin 2x +cos 2x=1和sin tan cos xx x=的变形;等等. 说明:本题要求学生至少能写出每个同角关系式的一个变形.P29习题1.3A 组1、将下列三角函数转化为锐角三角函数,并填在题中横线上: (1)cos210°=__________; (2)sin263°42′=__________; (3)cos()6π-=__________; (4)5sin()3π-=__________;(5)11cos()9π-=__________;(6)cos (-104°26′)=__________; (7)tan632°24′=__________; (8)17tan6π=__________. 答案:(1)-cos30°; (2)-sin83°42′ (3)cos 6π;(4)sin3π; (5)2cos 9π-;(6)-cos75°34′; (7)-tan87°36′; (8)tan6π-. 说明:利用诱导公式转化为锐角三角函数. 2、用诱导公式求下列三角函数值: (1)17cos()4π-; (2)sin (-1574°); (3)sin (-2160°52′); (4)cos (-1751°36′);(5)cos1615°8′;(6)26sin()3π-.答案:(1)2;(2)-0.7193;(3)-0.0151;(4)0.6639;(5)-0.9964;(6)-说明:先利用诱导公式转化为锐角三角函数,再求值.3、化简:(1)sin(-1071°)·sin99°+sin(-171°)·sin(-261°);(2)1+sin(α-2π)·sin(π+α)-2cos2(-α).答案:(1)0;(2)-cos2α说明:先利用诱导公式转化为角α的三角函数,再进一步化简.4、求证:(1)sin(360°-α)=-sinα;(2)cos(360°-α)=cosα;(3)tan(360°-α)=-tanα.答案:(1)sin(360°-α)=sin(-α)=-sinα;(2)略;(3)略.说明:有的书也将这组恒等式列入诱导公式,但根据公式一可知,它和公式三等价,所以本教科书未将其列入诱导公式.B组1、计算:(1)sin420°·cos750°+sin(-330°)·cos(-660°);(2)tan675°+tan765°-tan(-330°)+tan(-690°);(3)252525sin cos tan() 634πππ++-.答案:(1)1;(2)0;(3)0.说明:先利用诱导公式转化为锐角三角函数,再求值.2、已知1sin()2πα+=-,计算:(1)sin(5π-α);(2)sin()2πα+;(3)3cos()2πα-; (4)tan()2πα-. 答案:(1)12; (2)3,,23,;2αα⎧⎪⎪⎨⎪-⎪⎩当为第一象限角当为第二象限角(3)12-; (4)3,,3,αα⎧⎪⎨-⎪⎩当为第一象限角当为第二象限角.说明:先用诱导公式将已知式和待求式都转化为角α的三角函数,然后再根据同角三角函数的基本关系得解. P46习题1.4A 组1、画出下列函数的简图:(1)y=1-sinx ,x∈[0,2π]; (2)y=3cosx +1,x∈[0,2π]. 答案:(1)(2)说明:可以直接用“五点法”作出两个函数的图象;也可以先用“五点法”作出正弦、余弦函数的图象,再通过变换得到这两个函数的图象.2、求使下列函数取得最大值、最小值的自变量x 的集合,并分别写出最大值、最小值是什么.(1)11cos ,23y x x π=-∈R ; (2)3sin(2),4y x x π=+∈R ;(3)31cos(),226y x x π=--∈R ; (4)11sin(),223y x x π=+∈R .答案:(1)使y 取得最大值的集合是{x|x=6k +3,k∈Z },最大值是32; 使y 取得最小值的集合是{x|x=6k ,k∈Z },最大值是12; (2)使y 取得最大值的集合是{|,}8x x k k ππ=+∈Z ,最大值是3;使y 取得最小值的集合是3{|,}8x x k k ππ=-+∈Z ,最小值是-3; (3)使y 取得最大值的集合是{|2(21),}3x x k k ππ=++∈Z ,最大值是32; 使y 取得最小值的集合是{|4,}3x x k k ππ=+∈Z ,最小值是32-; (4)使y 取得最大值的集合是{|4,}3x x k k ππ=+∈Z ,最大值是12;使y 取得最小值的集合是5{|4,}3x x k k ππ=-+∈Z ,最小值是12-. 说明:利用正弦、余弦函数的最大值、最小值性质,研究所给函数的最大值、最小值性质.3、求下列函数的周期: (1)2sin 3y x =,x∈R ; (2)1cos 42y x =,x∈R . 答案:(1)3π;(2)2π说明:可直接由函数y=Asin (ωx+φ)和函数y=Acos (ωx+φ)的周期2T πω=得解.4、利用函数的单调性比较下列各组中两个三角函数值的大小: (1)sin103°15′与sin164°30′; (2)4744cos()cos()109ππ--与; (3)sin508°与sin144°;(4)cos760°与cos (-770°). 答案:(1)sin103°15′>sin164°130′; (2)4744cos()cos()109ππ->-; (3)sin508°<sin144°;(4)cos760°>cos (-770°).说明:解决这类问题的关键是利用诱导公式将它们转化到同一单调区间上研究. 5、求下列函数的单调区间: (1)y=1+sinx ,x∈R ; (2)y=-cosx ,x∈R . 答案:(1)当[2,2]22x k k ππππ∈-++,k∈Z 时,y=1+sinx 是增函数;当3[2,2]22x k k ππππ∈++,k∈Z 时,y=1+sinx 是减函数. (2)当x∈[(2k -1)π,2kπ],k∈Z 时,y=-cosx 是减函数; 当x∈[2kπ,(2k +1)π],k∈Z 时,y=-cosx 是增函数. 说明:利用正弦、余弦函数的单调性研究所给函数的单调性. 6、求函数tan()26y x π=-++的定义域.答案:{|,}3x x k k ππ≠+∈Z .说明:可用换元法.7、求函数5tan(2),()3122k y x x k πππ=-≠+∈Z 的周期. 答案:2π. 说明:可直接由函数y=Atan (ωx+φ)的周期T πω=得解. 8、利用正切函数的单调性比较下列各组中两个函数值的大小: (1)13tan()tan()57ππ--与; (2)tan1519°与tan1493°; (3)93tan 6tan(5)1111ππ-与; (4)7tantan 86ππ与. 答案:(1)13tan()tan()57ππ->-;(2)tan1519°>tan1493°;(3)93tan 6tan(5)1111ππ>-;(4)7tantan 86ππ<. 说明:解决这类问题的关键是利用诱导公式将它们转化到同一单调区间上研究.9、根据正切函数的图象,写出使下列不等式成立的x 的集合:(1)1+tanx≥0;(2)tan 0x . 答案:(1){|,}42x k x k k ππππ-+<+∈Z ≤;(2){|,}32x k x k k ππππ+<+∈Z ≤.说明:只需根据正切曲线写出结果,并不要求解三角方程或三角不等式. 10、设函数f (x )(x∈R )是以 2为最小正周期的周期函数,且x∈[0,2]时f (x )=(x -1)2.求f (3),7()2f 的值.答案:由于f (x )以2为最小正周期,所以对任意x∈R ,有f (x +2)=f (x ).于是:f (3)=f (1+2)=f (1)=(1-1)2=0;273331()(2)()(1)22224f f f =+==-=. 说明:利用周期函数的性质,将其他区间上的求值问题转化到区间[0,2]上的求值问题. 11、容易知道,正弦函数y=sinx 是奇函数,正弦曲线关于原点对称,即原点是正弦曲线的对称中心.除原点外,正弦曲线还有其他对称中心吗?如果有,对称中心的坐标是什么?另外,正弦曲线是轴对称图形吗?如果是,对称轴的方程是什么?你能用已经学过的正弦函数性质解释上述现象吗? 对余弦函数和正切函数,讨论上述同样的问题.答案:由正弦函数的周期性可知,除原点外,正弦曲线还有其他对称中心,其对称中心坐标为(kπ,0),k∈Z .正弦曲线是轴对称图形,其对称轴的方程是,2x k k ππ=+∈Z .由余弦函数和正切的周期性可知,余弦曲线的对称中心坐标为(,0)2k ππ+,k∈Z ,对称轴的方程是x=kπ,k∈Z ;正切曲线的对称中心坐标为(,0)2k π,k∈Z ,正切曲线不是轴对称图形. 说明:利用三角函数的图象和周期性研究其对称性.B 组1、根据正弦函数、余弦函数的图象,写出使下列不等式成立的x 的取值集合:(1)sin )2x x ∈R ≥;(22cos 0()x x ∈R ≥. 答案:(1)2{|22,}33x k x k k ππππ++∈Z ≤≤; (2)33{|22,}44x k x k k ππππ-++∈Z ≤≤. 说明:变形后直接根据正弦函数、余弦函数的图象写出结果,并不要求解三角方程或三角不等式.2、求函数3tan(2)4y x π=--的单调区间. 答案:单调递减区间5(,),2828k k k ππππ++∈Z . 说明:利用正切函数的单调区间求所给函数的单调区间.3、已知函数y=f (x )的图象如图所示,试回答下列问题: (1)求函数的周期;(2)画出函数y=f (x +1)的图象;(3)你能写出函数y=f (x )的解析式吗?答案:(1)2;(2)y=f (x +1)的图象如下;(3)y=|x -2k|,x∈[2k-1,2k +1],k∈Z .说明:可直接由函数y=f (x )的图象得到其周期.将函数y=f (x )的图象向左平行移动1个单位长度,就得到函数y=f (x +1)的图象.求函数y=f (x )的解析式难度较高,需要较强的抽象思维能力.可先求出定义域为一个周期的函数y=f (x ),x∈[-1,1]的解析式为y=|x|,x∈[-1,1],再根据函数y=f (x )的图象和周期性,得到函数y=f (x )的解析式为y=|x -2k|,x∈[2k-1,2k +1],k∈Z . P57习题1.5A 组1、选择题:(1)为了得到函数1cos()3y x =+,x∈R 的图象,只需把余弦曲线上所有的点( )A .向左平行移动3π个单位长度 B .向右平行移动3π个单位长度C .向左平行移动13个单位长度 D .向右平行移动13个单位长度(2)为了得到函数cos5xy =,x∈R 的图象,只需把余弦曲线上所有的点的( )、 A .横坐标伸长到原来的5倍,纵坐标不变 B .横坐标缩短到原来的15倍,纵坐标不变 C .纵坐标伸长到原来的5倍,横坐标不变D .纵坐标缩短到原来的15倍,横坐标不变 (3)为了得到函数1cos 4y x =,x∈R 的图象,只需把余弦曲线上所有的点的( ).A .横坐标伸长到原来的4倍,纵坐标不变B .横坐标缩短到原来的14倍,纵坐标不变 C .纵坐标伸长到原来的4倍,横坐标不变 D .纵坐标缩短到原来的14倍,横坐标不变 答案:(1)C ;(2)A ;(3)D .2、画出下列函数在长度为一个周期的闭区间上的简图(有条件的可用计算器或计算机作图检验):(1)14sin 2y x =,x∈R ; (2)1cos32y x =,x∈R ; (3)3sin(2)6y x π=+,x∈R ;(4)112cos()24y x π=-,x∈R .答案:(1)(2)(3)(4)说明:研究了参数A 、ω、φ对函数图象的影响.3、不画图,直接写出下列函数的振幅、周期与初相,并说明这些函数的图象可由正弦曲线经过怎样的变化得到(注意定义域):(1)8sin()48xy π=-,x∈[0,+∞);(2)1sin(3)37y x π=+,x∈[0,+∞). 答案:(1)振幅是8,周期是8π,初相是8π-.先把正弦曲线向右平行移动8π个单位长度,得到函数1sin()8y x π=-,x∈R 的图象;再把函数y 1的图象上所有点的横坐标伸长到原来的4倍(纵坐标不变),得到函数2sin()48x y π=-,x∈R的图象;再把函数y 2的图象上所有点的纵坐标伸长到原来的8倍(横坐标不变),得到函数38sin()48x y π=-,x∈R 的图象;最后把函数y 3的图象在y 轴左侧的部分抹去,就得到函数8sin()48x y π=-,x∈[0,+∞)的图象.(2)振幅是13,周期是23π,初相是7π.先把正弦曲线向左平行移动7π个单位长度,得到函数1sin()7y x π=+,x∈R 的图象;再把函数y 1的图象上所有点的横坐标缩短到原来的13倍(纵坐标不变),得到函数2sin(3)7y x π=+,x∈R的图象;再把函数y 2的图象上所有点的纵坐标缩短到原来的13倍(横坐标不变),得到函数31sin(3)37y x π=+,x∈R 的图象;最后把函数y 3的图象在y 轴左侧的部分抹去,就得到函数1sin(3)37y x π=+,x∈[0,+∞)的图象.说明:了解简谐振动的物理量与函数解析式的关系,并认识函数y=Asin (ωx+φ)的图象与正弦曲线的关系.4、图 1.5-1的电流i (单位:A )随时间t (单位:s )变化的函数关系是5sin(100),[0,)3i t t ππ=+∈+∞.(1)求电流i 变化的周期、频率、振幅及其初相; (2)当t=0,1171,,,(:s)60015060060单位时,求电流i . 答案:(1)周期为150,频率为50,振幅为5,初相为3π.(2)t=0时,2i =;1600t =时,i=5;1150t =时,i=0;7600t =时,i=-5;160t =时,i=0.说明:了解简谐振动的物理量与函数解析式的关系,并求函数值.5、一根长为l cm 的线,一端固定,另一端悬挂一个小球.小球摆动时,离开平衡位置的位移s (单位:cm )与时间t (单位:s)的函数关系是),[0,)3s t π=+∈+∞. (1)求小球摆动的周期;(2)已知g≈980cm/s 2,要使小球摆动的周期是1s ,线的长度l 应当是多少?(精确到0.1cm ) 答案:(1)2(2)约24.8cm . 说明:了解简谐振的周期.B 组1、弹簧振子的振动是简谐运动.下表给出了振子在完成一次全振动的过程中的时间t 与位移s答案:根据已知数据作出散点图(如图).由散点图可知,振子的振动函数解析式为020sin()62x y t ππ=-,x∈[0,+∞). 说明:作出已知数据的散点图,然后选择一个函数模型来描述,并根据已知数据求出该函数模型.2、弹簧挂着的小球作上下运动,它在t 秒时相对于平衡位置的高度h 厘米由下列关系式确定:2sin()4h t π=+.以t 为横坐标,h 为纵坐标,作出这个函数在一个剧期的闭区间上的图象,并回答下列问题: (1)小球在开始振动时(即t=0)的位置在哪里?(2)小球的最高点和最低点与平衡位置的距离分别是多少? (3)经过多少时问小球往复运动一次? (4)每秒钟小球能往复振动多少次?答案:函数2sin()4h t π=+在[0,2π]上的图象为(1)小球在开始振动时的位置在(0,2);(2)最高点和最低点与平衡位置的距离都是2;(3)经过2π秒小球往复运动一次;(4)每秒钟小球能往复振动12π次.说明:结合具体问题,了解解析式中各常数的实际意义.3、如图,点P是半径为r cm的砂轮边缘上的一个质点,它从初始位置P0开始,按逆时针方向以角速度ω rad/s做圆周运动.求点P的纵坐标y关于时间t的函数关系,并求点P的运动周期和频率.答案:点P的纵坐标关于时间t的函数关系式为y=rsin(ωt+φ),t∈[0,+∞);点P的运动周期和频率分别为2πω和2ωπ.说明:应用函数模型y=rsin(ωt+φ)解决实际问题.P65习题1.61、根据下列条件,求△ABC的内角A:(1)1sin2A=;(2)2cos A=-;(3)tanA=1;(4)3 tan A=-.答案:(1)30°或150°;(2)135°;(3)45°;(4)150°.说明:由角A是△ABC的内角,可知A∈(0°,180°).2、根据下列条件,求(0,2π)内的角x:(1)3sin x=-;(2)sinx=-1;(3)cosx=0;(4)tanx=1.答案:(1)4533ππ或;(2)32π;(3)322ππ或;(4)544ππ或.说明:可让学生再变换角x的取值范围求解.3、天上有些恒星的亮度是会变化的.其中一种称为造父(型)变星,本身体积会膨胀收缩造成亮度周期性的变化、下图为一造父变星的亮度随时间的周期变化图、此变星的亮度变化的周期为多少天?最亮时是几等星?最暗时是几等星?答案:5.5天;约3.7等星;约4.4等星.说明:每个周期的图象不一定完全相同,表示视星等的坐标是由大到小.4、夏天是用电的高峰时期,特别是在晚上.为保证居民空调制冷用电,电力部门不得不对企事业拉闸限电,而到了0时以后,又出现电力过剩的情况.因此每天的用电也出现周期性的变化.为保证居民用电,电力部门提出了“消峰平谷”的想法,即提高晚上高峰时期的电价,同时降低后半夜低峰时期的电价,鼓励各单位在低峰时用电.请你调查你们地区每天的用电情况,制定一项“消峰平谷”的电价方案.答案:先收集每天的用电数据,然后作出用电量随时间变化的图象,根据图象制定“消峰平谷”的电价方案.说明:建立周期变化的模型解决实际问题.B 组1、北京天安门广场的国旗每天是在日出时随太阳升起,在日落时降旗、请根据年鉴或其他的参考资料,统计过去一年不同时期的日出和日落时间.(1)在同一坐标系中,以日期为横轴,画出散点图,并用曲线去拟合这些数据,同时找到函数模型;(2)某同学准备在五一长假时去看升旗,他应当几点到达天安门广场? 答案:略.说明:建立周期变化的函数模型,根据模型解决实际问题.2、一个城市所在的经度和纬度是如何影响日出和日落的时间的?收集其他有关的数据并提供理论证据支持你的结论.答案:略.说明:收集数据,建立周期变化的函数模型,根据模型提出个人意见.然后采取上网、查阅资料或走访专业人士的形式,获取这方面的信息,以此来说明自己的结论. P69复习参考题A 组1、写出与下列各角终边相同的角的集合S ,并且把S 中适合不等式-2π≤β≤4π的元素β写出来:(1)4π; (2)23π-;(3)125π; (4)0.答案:(1)79{|2,},,,4444k k ππππββπ=+∈-Z ;(2)22410{|2,},,,3333k k ββπππππ=-+∈-Z ;(3)128212{|2,},,,5555k k ββπππππ=+∈-Z ; (4){β|β=2kπ,k∈Z },-2π,0,2π.说明:用集合表示法和符号语言写出与指定角终边相同的角的集合,并在给定范围内找出与指定的角终边相同的角.2、在半径为15cm 的圆中,一扇形的弧含有54°,求这个扇形的周长与面积(π取3.14,计算结果保留两个有效数字).答案:周长约44cm ,面积约1.1×102cm 2.说明:可先将角度转化为弧度,再利用弧度制下的弧长和面积公式求解. 3、确定下列三角函数值的符号:(1)sin4; (2)cos5; (3)tan8; (4)tan (-3). 答案:(1)负;(2)正;(3)负;(4)正.说明:将角的弧度数转化为含π的形式或度,再进行判断. 4、已知1cos 4ϕ=,求sinφ,tanφ.答案:当φ为第一象限角时,sin tan 4ϕϕ==当φ为第四象限角时,sin tan ϕϕ== 说明:先求sinφ的值,再求tanφ的值.5、已知sinx=2cosx ,求角x 的三个三角函数值.答案:当x 为第一象限角时,tanx=2,cos x x ==;当x 为第三象限角时,tanx=2,cos x x == 说明:先求tanx 的值,再求另外两个函数的值.6、用cosα表示sin 4α-sin 2α+cos 2α.答案:cos 4α.说明:先将原式变形为sin 2α(sin 2α-1)+cos 2α,再用同角三角函数的基本关系变形. 7、求证:(1)2(1-sinα)(1+cosα)=(1-sinα+cosα)2;(2)sin 2α+sin 2β-sin 2α·sin 2β+cos 2α·cos 2β=1. 答案:(1)左边=2-2sinα+2cosα-2sinαcosα=1+sin 2α+cos 2α-2sinα+2cosα-2sinαcosα =右边. (2)左边=sin 2α(1-sin 2β)+sin 2β+cos 2αcos 2β=cos 2β(sin 2α+cos 2α)+sin 2β =1=右边.说明:第(1)题可先将左右两边展开,再用同角三角函数的基本关系变形. 8、已知tanα=3,计算:(1)4sin 2cos 5cos 3sin αααα-+;(2)sinαcosα;(3)(sinα+cosα)2. 答案:(1)57;(2)310;(3)85.说明:第(2)题可由222sin tan 9cos ααα==,得21cos 10α=,所以23sin cos tan cos 10αααα==.或2222sin cos tan 33sin cos 10sin cos tan 131αααααααα====+++. 9、先估计结果的符号,再进行计算. (1)252525sincos tan()634πππ++-; (2)sin2+cos3+tan4(可用计算器).答案:(1)0;(2)1.0771.说明:先根据各个角的位置比较它们的三角函数值的大小,再估计结果的符号. 10、已知1sin()2πα+=-,计算: (1)cos (2π-α);(2)tan (α-7π).答案:(1)当α为第一象限角时,cos(2)πα-=,当α为第二象限角时,cos(2)πα-=(2)当α为第一象限角时,tan(7)3απ-=,当α为第二象限角时,tan(7)απ-= 说明:先用诱导公式转化为α的三角函数,再用同角三角函数的基本关系计算. 11、先比较大小,再用计算器求值:(1)sin378°21′,tan1111°,cos642.5°; (2)sin (-879°),3313tan(),cos()810ππ--; (3)sin3,cos (sin2).答案:(1)tan1111°=0.601,sin378°21′=0.315,cos642.5°=0.216; (2)sin (-879°)=-0.358,3313tan()0.414,cos()0.588810ππ-=--=-; (3)sin3=0.141,cos (sin2)=0.614.说明:本题的要求是先估计各三角函数值的大小,再求值验证. 12、设π<x <2π,填表:说明:熟悉各特殊角的三角函数值. 13、下列各式能否成立,说明理由: (1)cos 2x=1.5;(2)3sin 4x π=-.答案:(1)因为cos x =cos x =1,1><-,所以原式不能成立;(2)因为sin x =,而|1<,所以原式有可能成立.说明:利用正弦和余弦函数的最大值和最小值性质进行判断.14、求下列函数的最大值、最小值,并且求使函数取得最大、最小值的x 的集合:(1)sin xy π=,x∈R ;(2)y=3-2cosx ,x∈R .答案:(11π,此时x 的集合为{|2,}2x x k k ππ=+∈Z ;1π,此时x 的集合为{|2,}2x x k k ππ=-+∈Z ;(2)最大值为5,此时x 的集合为{x|x=(2k +1)π,k∈Z }; 最小值为1,此时x 的集合为{x|x=2kπ,k∈Z }.说明:利用正弦、余弦函数的最大值和最小值性质,研究所给函数的最大值和最小值性质. 15、已知0≤x≤2π,求适合下列条件的角x 的集合: (1)y=sinx 和y=cosx 都是增函数; (2)y=sinx 和y=cosx 都是减函数;(3)y=sinx 是增函数,而y=cosx 是减函数; (4)y=sinx 是减函数,而y=cosx 是增函数. 答案:(1)3{|2}2x x ππ≤≤; (2){|}2x x ππ≤≤;(3){|0}2x x π≤≤;(4)3{|}2x x ππ≤≤. 说明:利用函数图象分析.16、画出下列函数在长度为一个周期的闭区间上的简图: (1)1sin(3),;23y x x π=-∈R (2)2sin(),;4y x x π=-+∈R (3)1sin(2),;5y x x π=--∈R(4)3sin(),.63xy x π=-∈R 答案:(1)(2)(3)(4)说明:可要求学生在作出图象后,用计算机或计算器验证. 17、(1)用描点法画出函数y=sinx ,[0,]2x π∈的图象.(2)如何根据第(1)小题并运用正弦函数的性质,得出函数y=sinx ,x∈[0,2π]的图象? (3)如何根据第(2)小题并通过平行移动坐标轴,得出函数y=sin (x +φ)+k ,x∈[0,2π]的图象?(其中φ,k 都是常数)答案:(1)x 0 18π9π 6π 29π 518π 3π 718π 49π 2π sinx0.170.340.500.640.770.870.940.981(2)由sin (π-x )=sinx ,可知函数y=sinx ,x∈[0,π]的图象关于直线2x =对称,据此可得函数y=sinx ,[,]2x ππ∈的图象;又由sin (2π-x )=-sinx ,可知函数y=sinx ,x∈[0,2π]的图象关于点(π,0)对称,据此可得出函数y=sinx ,x∈[π,2π]的图象.(3)先把y 轴向右(当φ>0时)或向左(当φ<0时)平行移动|φ|个单位长度,再把x 轴向下(当k >0时)或向上(当k <0时)平行移动|k|个单位长度,最后将图象向左或向右平行移动2π个单位长度,并擦去[0,2π]之外的部分,便得出函数y=sin (x +φ)+k ,x∈[0,2π]的图象.说明:学会用不同的方法作函数图象.18、不通过画图,写出下列函数的振幅、周期、初相,并说明如何由正弦曲线得出它们的图象:(1)sin(5),;6y x x π=+∈R(2)12sin,.6y x x =∈R 答案:(1)振幅是1,周期是25π,初相是6π. 把正弦曲线向左平行移动6π个单位长度,可以得函数sin()6y x π=+,x∈R 的图象;再把所得图象上所有点的横坐标缩短到原来的15倍(纵坐标不变),就可得出函数sin(5)6y x π=+,x∈R 的图象.(2)振幅是2,周期是2π,初相是0.把正弦曲线上所有点的横坐标伸长到原来的6倍(纵坐标不变),得到函数1sin6y x =,x∈R 的图象;再把所得图象上所有点的纵坐标伸长到原来的2倍(横坐标不变),就可得到函数12sin()6y x =,x∈R 的图象.说明:会根据解析式求各物理量,并理解如何由正弦曲线通过变换得到正弦函数的图象.B 组1、已知α为第四象限角,确定下列各角的终边所在的位置:(1)2α; (2)3α; (3)2α. 答案:(1)3(1)42k k παππ+<<+,所以2α的终边在第二或第四象限; (2)9012030901203k k α︒+︒<<︒+︒+︒,所以3α的终边在第二、第三或第四象限;(3)(4k +3)π<2α<(4k +4)π,所以2α的终边在第三或第四象限,也可在y 轴的负半轴上.说明:不要求探索α分别为各象限角时,nα和nα的终边所在位置的规律.。
一、选择题1.已知非零向量,a b 满足4,2a b ==,且a 在b 方向上的投影与b 在a 方向上的投影相等,则a b -等于( ) A .1B .25C .5D .32.在AOB ∆中,0,5,25,OA OB OA OB AB ⋅===边上的高为,OD D 在AB 上,点E 位于线段OD 上,若34OE EA ⋅=,则向量EA 在向量OD 上的投影为( ) A .12或32B .1C .1或12D .323.已知1a ,2a ,1b ,2b ,()*k b k ⋅⋅⋅∈N是平面内两两互不相等的向量,121a a-=,且对任意的1,2i = 及1,2,,j k =⋅⋅⋅,{}1,2i j a b -∈,则k 最大值为( ) A .3 B .4C .5D .64.已知a ,b 是单位向量,a •b =0.若向量c 满足|c a b --|=1,则|c |的最大值为( ) A .21-B .2C .21+D .22+5.如图,在梯形ABCD 中,//AB CD ,6AB =,3AD CD ==,E 是CD 的中点,14DF DA =,若12AE BF ⋅=-,则梯形ABCD 的高为( )A .1B 6C 5D .26.已知M 、N 为单位圆22:1O x y +=上的两个动点,且满足1MN =,()3,4P ,则PM PN +的取值范围为( )A .53,53+⎡⎣B .103,103⎡-⎣C .523,523-+⎡⎣D .1023,1023-+⎡⎤⎣⎦7.如下图,四边形OABC 是边长为1的正方形,点D 在OA 的延长线上,且2OD =,点P 为BCD 内(含边界)的动点,设(,)OP OC OD R αβαβ=+∈,则αβ+的最大值等于( )A .3B .2C .52D .328.已知(),0A a ,()0,C c ,2AC =,1BC =,0AC BC ⋅=,O 为坐标原点,则OB 的取值范围是( ) A .(0,21⎤-⎦B .(0,21⎤+⎦ C .21,21⎡⎤-+⎣⎦D .)21,⎡-+∞⎣9.已知ABC ,若对任意m R ∈,BC mBA CA -≥恒成立,则ABC 为( ) A .锐角三角形B .钝角三角形C .直角三角形D .不确定10.在ABC 中,||:||:||3:4:5AB AC BC =,圆O 是ABC 的内切圆,且与BC 切于D 点,设AB a =,AC b =,则AD =( )A .2355a b + B .3255a b + C .2133a b +D .1233a b +11.设θ为两个非零向量,a b 的夹角,且6πθ=,已知对任意实数t ,b ta +的最小值为1,则b =( ) A .14B .12C .2D .412.如图所示,在ABC 中,点D 在线段BC 上,且3BD DC =,若AD AB AC λμ=+,则λμ=( )A .12B .13C .2D .23二、填空题13.已知向量(9,6),(3,)a b x ==,若//a b ,则()b a b ⋅-=___________.14.已知ABC ,点P 是平面上任意一点,且AP AB AC λμ=+(,λμ∈R ),给出以下命题: ①若1ABλ=,1ACμ=,则P 为ABC 的内心;②若1λμ==,则直线AP 经过ABC 的重心; ③若1λμ+=,且0μ>,则点P 在线段BC 上; ④若1λμ+>,则点P 在ABC 外; ⑤若01λμ<+<,则点P 在ABC 内. 其中真命题为______15.已知平面向量a ,b 的夹角为120︒,且1a b ⋅=-,则a b -的最小值为________. 16.在平面内,定点,,A B C 满足DA DB DC ==,2DA DB DB DC DC DA ⋅=⋅=⋅=-,动点,P M 满足1AP PM MC ==,则2BM 的最大值为________.17.已知非零向量m →,n →满足4m →=3n →,cos m →〈,13n →〉=.若n →⊥t m n →→⎛⎫+ ⎪⎝⎭,则实数t的值为_____________.18.已知ABC 的三边长3AC =,4BC =,5AB =,P 为AB 边上任意一点,则()CP BA BC ⋅-的最大值为______________.19.向量a ,b ,c 在正方形网格(每个小正方形的边长为1)中的位置如图所示,若向量a b λ+与c 共线,则||a b λ-=________.20.已知ABC ∆中,3AB =,5AC =,7BC =,若点D 满足1132AD AB AC =+,则DB DC ⋅=__________.三、解答题21.已知向量()sin ,cos a x x =,()3,1b =-,[]0,x π∈.(1)若a b ⊥,求x 的值;(2)记()f x a b =⋅,求()f x 的最大值和最小值以及对应的x 的值.22.如图,在扇形OAB 中,120AOB ∠=︒,半径2OA OB ==,P 为弧AB 上一点.(1)若OA OP ⊥,求PA PB ⋅的值; (2)求PA PB ⋅的最小值.23.已知向量,a b 满足:16,()2a b a b a ==⋅-=,. (1)求向量a 与b 的夹角; (2)求2a b -.24.已知向量(1,2)a =-,||25b =. (1)若b a λ=,其中0λ<,求b 的坐标; (2)若a 与b 的夹角为23π,求()(2)a b a b -⋅+的值. 25.已知||1a =,||2b =.(1)若向量a 与向量b 的夹角为135︒,求||a b +及b 在a 方向上的投影; (2)若向量a b -与向量a 垂直,求向量a 与b 的夹角. 26.已知向量a 、b 的夹角为3π,且||1a =,||3b =. (1)求||a b +的值; (2)求a 与a b +的夹角的余弦.【参考答案】***试卷处理标记,请不要删除一、选择题 1.B 解析:B【解析】因为a 在b 方向上的投影与b 在a 方向上的投影相等,设这两个向量的夹角为θ,则cos cos 4cos 2cos 2a b πθθθθθ===⇒=,又由2()a b a b -=-且4,2a b ==,所以222()225a b a b a a b b -=-=-⋅+=,故选B.2.A解析:A 【解析】Rt AOB 中,0OA OB ⋅=,∴2AOB π∠=,∵5OA =,25OB =|,∴225AB OA OB =+= , ∵AB 边上的高线为OD ,点E 位于线段OD 上,建立平面直角坐标系,如图所示; 则)5,0A、(025B ,、设(),D m n ,则OAD BAO ∽,∴OA ADAB OA=, ∴1AD =,∴15AD AB =, 即()(155,255m n =-,,求得55m =, ∴452555D ⎛⎝⎭;则45254525,,5555OE OD λλλ⎛⎛⎫=== ⎪ ⎪⎝⎭⎝⎭,45255,EA λλ⎛⎫=-- ⎪ ⎪⎭; ∵34OE EA ⋅=, ∴2454525354λλλ⎛⎫⎛⎫⋅--= ⎪ ⎪ ⎪ ⎪⎭⎝⎭, 解得34λ=或14λ=;∴向量EA 在向量OD 上的投影为()()45251,1ED OD OE λλ⎛⎫=-=-- ⎪ ⎪⎝⎭, 当34λ=时,551,2ED ⎛⎫== ⎪ ⎪⎝⎭;当14λ=时,35353,2ED ⎛⎫== ⎪ ⎪⎝⎭. 即向量EA 在向量OD 上的投影为12或32,故选A. 3.D解析:D 【分析】根据向量的几何意义把抽象问题具体化,转化到圆与圆的位置关系问题. 【详解】如图所示,设11OA a =,22OA a =,此时121A A =,由题意可知:对于任意的1,2i = 及1,2,,j k =⋅⋅⋅,{}1,2i j a b -∈, 作j j OB b =则有1j A B 等于1或2,且2j A B 等于1或2, 所以点(1,2,,)j B j k =同时在以(1,2)i A i =为圆心,半径为1或2的圆上,由图可知共有6个交点满足条件,故k 的最大值为6.故选:D. 【点睛】本题主要考查平面向量的线性运算和平面向量的应用.4.C解析:C 【分析】通过建立直角坐标系,利用向量的坐标运算和圆的方程及数形结合即可得出. 【详解】∵|a |=|b |=1,且0a b ⋅=,∴可设()10a =,,()01b =,,()c x y ,=.∴()11c a b x y --=--,. ∵1c a b --=, ∴22(1)(1)1x y -+-=x ﹣1)2+(y ﹣1)2=1.∴c 的最大值2211121=+=.故选C . 【点睛】熟练掌握向量的坐标运算和圆的方程及数形结合是解题的关键.5.C解析:C 【分析】以,AD AB 为一组基底,表示向量,AE BF ,然后利用12AE BF ⋅=-,求得2cos 3BAD ∠=,然后由梯形ABCD 的高为sin AD BAD ⋅∠求解. 【详解】因为14AE AD DE AD AB =+=+,34BF AF AB AD AB =-=-, ∴22133113444416AE BF AD AB AD AB AD AB AD AB ⎛⎫⎛⎫⋅=+⋅-=--⋅ ⎪ ⎪⎝⎭⎝⎭,223113cos 4416AD AB AD AB BAD =--⋅∠, 31117936cos 12448BAD =⨯-⨯-∠=-, ∴2cos 3BAD ∠=,∴25sin 1cos 3BAD BAD ∠=-∠=, ∴梯形ABCD 的高为sin 5AD BAD ⋅∠=. 故选:C . 【点睛】本题主要考查平面向量的数量积的运算以及平面向量的基本定理,还考查了数形结合的思想和运算求解的能力,属于中档题.6.B解析:B 【分析】作出图形,可求得线段MN 的中点Q 的轨迹方程为2234x y +=,由平面向量加法的平行四边形法则可得出2PM PN PQ +=,求得PQ 的取值范围,进而可求得PM PN +的取值范围. 【详解】由1MN =,可知OMN 为等边三角形,设Q 为MN 的中点,且3sin 602OQ OM ==,所以点Q 的轨迹为圆2234x y +=,又()3,4P ,所以,3322PO PQ PO -≤≤+,即3355PQ -≤≤+. 由平面向量加法的平行四边形法则可得2PM PN PQ +=,因此2103,103PM PN PQ ⎡⎤+=∈-+⎣⎦.故选:B. 【点睛】本题考查平面向量模长的取值范围的计算,考查了圆外一点到圆上一点距离的取值范围的计算,考查数形结合思想的应用,属于中等题.7.D解析:D 【分析】以O 为原点,边OA 和OC 所在的直线分别为x 和y 轴建立如图所示的平面直角坐标系,设(),P x y ,易得1,2y x αβ==,则12x y αβ+=+,再将原问题转化为线性规划问题,求目标函数12x y +在可行域BCD 内(含边界)的最大值,即可求出结果.【详解】以O 为原点,边OA 和OC 所在的直线分别为x 和y 轴建立如图所示的平面直角坐标系, 则()()0,1,2,0C D ,如下图所示:设(),P x y ,∵ (,)OP OC OD R αβαβ=+∈, ∴()()(),0,12,0)2,(x y αββα=+=,∴2,x y βα==,即1,2y x αβ==,∴12x y αβ+=+, 令1,2z x y =+则12y x z =-+,其中z 为直线12y x z =-+在y 轴上的截距,由图可知,当该直线经过点()1,1B 时,其在y 轴上的截距最大为32, ∴αβ+的最大值为32. 故选:D . 【点睛】本题考查平面向量在几何中的应用,建立坐标系后,可将原问题转化为线性规划中的最值问题,考查学生的转化思想、逻辑推理能力和运算能力,属于中档题.8.C解析:C 【分析】法一:将A ,C 视为定点,根据A 、C 分别在 x 轴、y 轴上,得到垂直关系, O 是AC 为直径的圆上的动点,AC 的中点为圆心M ,根据圆心M 和BO 的位置关系即可得取值范围. 法二:设B 的坐标,根据2AC =,1BC =得到224a c +=,()221x y c +-=,整理式子至()222251x a y x y ax cy -+=⇒+=++,利用均值不等式得出22OB x y d =+=,则212d d -≤即可算出距离的取值范围.【详解】解:法一:将A ,C 视为定点,OA OC ⊥,O 视为以AC 为直径的圆上的动点,AC 的中点为M ,当BO 过圆心M ,且O 在B ,M 之间时,OB 21,O 在BM 的延长线上时,OB 21. 故选:C法二:设(),B x y ,则224a c +=,()221x y c +-=,()222251x a y x y ax cy -+=⇒+=++,即221ax cy x y +=+-,()()2222222ax cy ac xy x y +≤++=+,取等号条件:ay cx =,令22OB x y d =+=,则22112{210d d d d d ≥-≤⇔--≤或201{210d d d <<⇔+-≥,解得2121d ≤≤.故选:C 【点睛】本题考查向量的坐标运算和圆的基本性质,综合性强,属于中档题.9.C解析:C 【分析】在直线AB 上取一点D ,根据向量减法运算可得到DC CA≥,由垂线段最短可确定结论. 【详解】在直线AB 上取一点D ,使得mBA BD =,则BC mBA BC BD DC -=-=,DC CA ∴≥.对于任意m R ∈,都有不等式成立,由垂线段最短可知:AC AD ⊥,即AC AB ⊥,ABC ∴为直角三角形. 故选:C . 【点睛】本题考查与平面向量结合的三角形形状的判断,关键是能够利用平面向量数乘运算和减法运算的几何意义准确化简不等式.10.B解析:B 【分析】由题得三角形是直角三角形,设3,4,5AB AC BC ===,设,=,,DB BF x AD AE y EC CF z =====求出,,x y z ,再利用平面向量的线性运算求解.【详解】因为||:||:||3:4:5AB AC BC =,所以ABC 是直角三角形,设3,4, 5.AB AC BC ===如图,设,=,,DB BF x AD AE y EC CF z =====由题得34,2,1,35x y y z x y z x z +=⎧⎪+=∴===⎨⎪+=⎩,所以2232()5555AD AB BD AB BC AB AC AB AB AC =+=+=+-=+3255a b =+. 故选:B 【点睛】本题主要考查平面向量的线性运算,意在考查学生对这些知识的理解掌握水平.11.C解析:C 【分析】由题意可知,2222()2b ta a t a bt b +=+⋅+,令222()2g t a t a bt b =+⋅+,由二次函数的性质可知,当22cos62b a b t aaπ⋅=-=-时,()g t 取得最小值1,变形可得22sin16b π=,从而可求出b 【详解】解:由题意可知,2222()2b ta a t a bt b +=+⋅+,令222()2g t a t a bt b =+⋅+, 因为2222224()44(cos 1)06a b a b a b π∆=⋅-=-<,所以()g t 恒大于零, 所以当232cos622b b a b t aaaπ⋅=-=-=-时,()g t 取得最小值1,所以2223332122bb bg a a b b a a a ⎛⎫⎛⎫⎛⎫ ⎪ ⎪ ⎪=-+⋅-+= ⎪ ⎪ ⎪⎝⎭⎝⎭⎝⎭, 化简得2114b =,所以2b =, 故选:C 【点睛】此题考查平面向量数量积的运算,涉及二次函数的最值,考查转化思想和计算能力,属于中档题12.B解析:B 【分析】由向量的运算法则,化简得1344AD AB AC =+,再由AD AB AC λμ=+,即可求得,λμ 的值,即可求解.【详解】由向量的运算法则,可得34=+=+AD AB BD AB BC 313()444AB AC AB AB AC =+-=+, 因为AD AB AC λμ=+,所以13,44λμ==,从而求得13λμ=,故选:B . 【点睛】该题考查的是有关向量的基本定理,在解题的过程中,需要利用向量直角的关系,结合三角形法则,即可求得结果,属于基础题.二、填空题13.26【分析】先由求出求出再进行的计算【详解】因为所以解得所以故答案为:26【点睛】向量类问题的常用处理方法——向量坐标化利用坐标运算比较简单解析:26 【分析】先由//a b 求出2x =,求出b ,再进行()b a b ⋅-的计算. 【详解】因为//a b ,所以9180x -=,解得2x =,所以(6,4),()362426a b b a b -=⋅-=⨯+⨯=.故答案为:26 【点睛】向量类问题的常用处理方法——向量坐标化,利用坐标运算比较简单.14.②④【分析】①可得在的角平分线上但不一定是内心;②可得在BC 边中线的延长线上;③利用向量线性运算得出可判断;④得出根据向量加法的平行四边形法则可判断;⑤令可判断【详解】①若则因为是和同向的单位向量则解析:②④ 【分析】①可得P 在BAC ∠的角平分线上,但不一定是内心;②可得P 在BC 边中线的延长线上;③利用向量线性运算得出=BP BC μ可判断;④得出()1CP CB AC λλμ=++-,根据向量加法的平行四边形法则可判断;⑤令1132=λμ=-,可判断. 【详解】①若1ABλ=,1ACμ=,则AB AC AP ABAC=+,因为,AB AC ABAC是和,AB AC 同向的单位向量,则P 在BAC ∠的角平分线上,但不一定是内心,故①错误;②若1λμ==,则AP AB AC =+,则根据平行四边形法则可得,P 在BC 边中线的延长线上,故直线AP 经过ABC 的重心,故②正确;③若1λμ+=,且0μ>,则()1=AP AB AC AB AB AC μμμμ=-+-+,即()==AP AB AB AC AC AB μμμ--+-,即=BP BC μ,则点P 在线段BC 上或BC 的延长线上,故③错误;④若1λμ+>,()()11AP AB AC AC λλλμ=+-++-,整理可得()1CP CB AC λλμ=++-,10λμ+->,根据向量加法的平行四边形法则可判断点P 在ABC 外,故④正确;⑤若01λμ<+<,则令1132=λμ=-,,则1132AP AB AC =-+,则根据向量加法的平行四边形法则可判断点P 在ABC 外,故⑤错误. 故答案为:②④. 【点睛】本题考查向量基本定理的应用,解题的关键是正确利用向量的线性运算进行判断,合理的进行转化,清楚向量加法的平行四边形法则.15.【分析】先利用平面向量的夹角为且解出然后求解的最值即可得到的最值【详解】因为所以而当且仅当时等号成立所以故答案为:【点睛】本题考查平面向量数量积的运用考查模长最值的求解难度一般【分析】先利用平面向量a ,b 的夹角为120︒,且1a b ⋅=-解出2a b ⋅=,然后求解2a b -的最值即可得到a b -的最值. 【详解】因为1·cos 12a b a a b b θ⋅=⋅=-⋅=-,所以2a b ⋅=, 而2222222226a b a a b b a b a b -=-⋅+=++≥⋅+=,当且仅当2a b ==时等号成立,所以6a b -≥. 【点睛】本题考查平面向量数量积的运用,考查模长最值的求解,难度一般.16.【分析】由可得为的外心又可得为的垂心则为的中心即为正三角形运用向量的数量积定义可得的边长以为坐标原点所在直线为轴建立直角坐标系求得的坐标再设由中点坐标公式可得的坐标运用两点的距离公式可得的长运用三角 解析:494【分析】由DA DB DC ==,可得D 为ABC ∆的外心,又DA DB DB DC DC DA ⋅=⋅=⋅,可得D 为ABC ∆的垂心,则D 为ABC ∆的中心,即ABC ∆为正三角形.运用向量的数量积定义可得ABC ∆的边长,以A 为坐标原点,AD 所在直线为x 轴建立直角坐标系xOy ,求得,B C 的坐标,再设(cos ,sin ),(02)P θθθπ≤<,由中点坐标公式可得M 的坐标,运用两点的距离公式可得BM 的长,运用三角函数的恒等变换公式,结合正弦函数的值域,即可得到最大值. 【详解】解: 由DA DB DC ==,可得D 为ABC ∆的外心, 又DA DB DB DC DC DA ⋅=⋅=⋅,可得()0,(DB DA DC DC DB ⋅-=⋅ )0DA -=,即0DB AC DC AB ⋅=⋅=, 即有,DB AC DC AB ⊥⊥,可得D 为ABC ∆的垂心, 则D 为ABC ∆的中心,即ABC ∆为正三角形, 由2DA DB ⋅=-,即有||||cos1202DA DB ︒⋅=-, 解得||2DA =,ABC∆的边长为4cos30︒=以A 为坐标原点,AD 所在直线为x 轴建立直角坐标系xOy , 可得B(3,3),C(3,D(2,0)-, 由||1AP=,可设(cos ,sin ),(02)P θθθπ≤<,由PM MC =,可得M为PC中点,即有3cos sin (,)22M θθ+, 则2223cos ||3=+2BM θ+⎛⎫- ⎪⎝⎭⎝ 2(3cos )4θ-=+=3712sin 64πθ⎛⎫+- ⎪⎝⎭=, 当sin 16πθ⎛⎫-= ⎪⎝⎭,即23πθ=时,取得最大值,且为494.故答案为:494. 【点睛】本题考查向量的定义和性质,以及模的最值的求法,注意运用坐标法,转化为三角函数的最值的求法,考查化简整理的运算能力,属于中档题.17.【分析】利用向量的数量积公式向量垂直的性质直接直解【详解】非零向量满足=⊥解得故答案为:【点睛】本题主要考查了向量的数量积公式向量垂直的性质等基础知识考查运算能力属于中档题 解析:4-【分析】利用向量的数量积公式、向量垂直的性质直接直解. 【详解】非零向量m →,n →满足4m →=3n →,cos m →〈,13n →〉=,n →⊥t m n →→⎛⎫+ ⎪⎝⎭,n →∴⋅22+||||cos ,||t m n t m n n t m n m n n →→→→→→→→→→⎛⎫+=⋅=<>+ ⎪⎝⎭223||||034t n n →→=⨯+=, 解得4t =-, 故答案为:4- 【点睛】本题主要考查了向量的数量积公式、向量垂直的性质等基础知识,考查运算能力,属于中档题.18.9【分析】根据题意建立直角坐标系用坐标法解决即可得答案【详解】解:根据题意如图建立直角坐标系∴∴∴∴的最大值为故答案为:【点睛】本题考查坐标法表示向量向量的数量积运算线性运算的坐标表示等是中档题解析:9 【分析】根据题意,建立直角坐标系,用坐标法解决即可得答案. 【详解】解:根据题意,如图建立直角坐标系,∴ ()0,3A ()4,0B ,()0,0C , ∴ ()4,3AB =-,()()()0,34,34,33CP CA AP CA AB λλλλλ=+=+=+-=-,[]0,1λ∈,∴ ()()()[]4,330,3990,9CP BA BC CP CA λλλ⋅-=⋅=-⋅=-∈∴()CP BA BC ⋅-的最大值为9.故答案为:9 . 【点睛】本题考查坐标法表示向量,向量的数量积运算,线性运算的坐标表示等,是中档题.19.【分析】建立平面直角坐标系从而得到的坐标这样即可得出的坐标根据与共线可求出从而求出的坐标即得解【详解】建立如图所示平面直角坐标系则:;与共线故答案为:【点睛】本题考查了平面向量线性运算和共线的坐标表 13【分析】建立平面直角坐标系,从而得到,,a b c 的坐标,这样即可得出a b λ+的坐标,根据a b λ+与c 共线,可求出λ,从而求出a b λ-的坐标,即得解. 【详解】建立如图所示平面直角坐标系,则:(1,1),(0,1),(2,1)a b c ==-= ;(,1)a b λλλ∴+=-a b λ+与c 共线2(1)02λλλ∴--=∴=(2,3)a b λ∴-=22||2313a b λ∴-=+=13【点睛】本题考查了平面向量线性运算和共线的坐标表示,考查了学生概念理解,数形结合,数学运算的能力,属于中档题.20.【分析】根据以为一组基底由得到再由求解【详解】因为又因为所以所以故答案为:-12【点睛】本题主要考查平面向量基本定理和向量的线性运算还考查了运算求解的能力属于中档题 解析:12-【分析】 根据1132AD AB AC =+,以,AB AC 为一组基底,由2222()2BC AC AB AC AB AB AC =-=+-⋅,得到152AB AC ⋅=-,再由2111()()3223⎛⎫⎛⎫⋅=-⋅-=-⋅- ⎪ ⎪⎝⎭⎝⎭DB DC AB AD AC AD AB AC AC AB 求解.【详解】因为2222()2BC AC AB AC AB AB AC =-=+-⋅ 又因为3AB =,5AC =,7BC = 所以152AB AC ⋅=-, 所以2111()()3223DB DC AB AD AC AD AB AC AC AB ⎛⎫⎛⎫⋅=-⋅-=-⋅-= ⎪⎪⎝⎭⎝⎭22211251521294244AB AC AB AC --+⋅=---=-. 故答案为:-12 【点睛】本题主要考查平面向量基本定理和向量的线性运算,还考查了运算求解的能力,属于中档题.三、解答题21.(1)6x π=;(2)23x π=时,()f x 取到最大值2,0x =时,()f x 取到最小值1-.【分析】(1)利用向量垂直的坐标表示可求得tan x =,结合x 的范围可求得x 的值; (2)将函数化简为()2sin 6f x x π⎛⎫=-⎪⎝⎭,根据x 的范围可求得6x π-的范围,结合正弦函数图象可确定最大值和最小值取得的点,进而求得结果. 【详解】解:(1)因为a b ⊥,所以sin co 30s b x x a =-=⋅,于是sin tan s 3co x x x ==, 又[]0,x π∈,所以6x π=;(2)()())sin ,1cos f x a x b x =⋅=⋅-cos x x =-2sin 6x π⎛⎫=- ⎪⎝⎭.因为[]0,x π∈,所以5,666x πππ⎡⎤-∈-⎢⎥⎣⎦, 从而12sin 26x π⎛⎫-≤-≤ ⎪⎝⎭于是,当62x ππ-=,即23x π=时,()f x 取到最大值2; 当66x ππ-=-,即0x =时,()f x 取到最小值1-.【点睛】本题考查平面向量垂直的坐标表示、平面向量与三角函数的综合应用,涉及到三角函数最值的求解问题;求解三角函数最值的关键是能够利用整体对应的方式,结合正弦函数的图象来进行求解.22.(1)223-;(2)2-. 【分析】(1)先通过倒角运算得出30POB ∠=︒,120APB ∠=︒,再在POB 中,由余弦定理可求得62PB =-,然后根据平面向量数量积的定义cos PA PB PA PB APB ⋅=⋅∠,代入数据进行运算即可得解;(2)以O 为原点,OA 所在直线为x 轴建立平面直角坐标系,设()2cos ,2sin P αα,其中20,3πα⎡⎤∈⎢⎥⎣⎦,结合平面向量数量积的坐标运算,用含有α的式子表示出PA PB ⋅,再利用三角恒等变换公式和正弦函数的图象即可得解. 【详解】(1)当OA OP ⊥时,如图所示,∵120AOB ∠=︒,∴1209030POB ∠=︒-︒=︒,18030752OPB ︒-︒∠==︒,∴7545120APB ∠=︒+︒=︒, 在POB 中,由余弦定理,得222222cos 22222cos30843PB OB OP OB OP POB =+-⋅∠=+-⨯⨯⨯︒=-∴84362PB =-=,又222PA OA ==,∴1cos 22622232PA PB PA PB APB ⎛⎫⋅=⋅∠=⨯-=- ⎪⎝⎭(2)以O 为原点,OA 所在直线为x 轴建立如图所示的平面直角坐标系,则()2,0A ,∵120AOB ∠=︒,2OB =,∴(3B -,设()2cos ,2sin P αα,其中20,3πα⎡⎤∈⎢⎥⎣⎦, 则()()22cos ,2sin 12cos 32sin PA PB αααα⋅=--⋅-- 2222cos 4cos 234sin αααα=--+-+2cos 2324sin 26πααα⎛⎫=--+=-++ ⎪⎝⎭. ∵20,3πα⎡⎤∈⎢⎥⎣⎦,∴5,666πππα⎡⎤+∈⎢⎥⎣⎦,1sin ,162πα⎛⎫⎡⎤+∈ ⎪⎢⎥⎝⎭⎣⎦, ∴当62ππα+=,即3πα=时,PA PB ⋅取得最小值为2-.【点睛】 本题考查平面向量的坐标表示,考查平面向量的数量积,考查余弦定理,考查三角函数的图象与性质,属于中档题.23.(1)π3;(2)27 【分析】(1)设向量a 与b 的夹角θ,利用向量的数量积公式计算()2a b a ⋅-=,可得向量的夹角;(2)利用向量的模长公式:2a a =,代入计算可得. 【详解】(1)设向量a 与b 的夹角θ,()16cos 12a b a a b θ⋅-=⋅-=-=,解得1cos 2θ=, 又[]0πθ∈,,π3θ∴= (2)由向量的模长公式可得: ()222a b a b -=-=2244a a b b -⋅+4123627-+=.【点睛】 本题主要考查向量数量积公式的应用,向量模长的计算,求向量的模长需要熟记公式2a a =,考查学生的逻辑推理与计算能力,属于基础题.24.(1)(2,4)-;(2)5-.【分析】(1)由向量模的坐标表示求出λ,可得b 的坐标;(2)根据向量数量积的运算律及数量积的定义计算.【详解】(1)由题知(,2)b λλ=-,2||(|b λλ=+==2λ=-,故(2,4)b =-;(2)21(a =+=∴222221()(2)22||||cos105220532a b a b a a b b a a b b π⎛⎫-⋅+=-⋅-=-⋅-=-⋅--=- ⎪⎝⎭.【点睛】 本题考查向量模的坐标表示,考查向量数量积的运算律,掌握数量积的运算律是解题关键.25.(1)1a b +=;-1;(2)45︒.【分析】(1)根据平面向量数量积的运算律求出||a b +,再根据平面向量的几何意义求出b 在a 方向上的投影;(2)根据向量垂直,则数量积为零,即可得到1a b ⋅=,再根据夹角公式计算可得; 【详解】解:(1)由已知得2222()2121()212a b a b a a b b +=+=+⋅+=+⨯-+=,∴1a b +=;b 在a 方向上的投影为||cos1352(12b =-=- (2)由已知得()0a b a -⋅=,即20a a b -⋅=∴1a b ⋅=,∴[]2cos ,,0,212a b a b a b a b π⋅===∈⨯,, ∴向量a 与b 的夹角为45︒.【点睛】本题考查平面向量的数量积及夹角的计算,属于中档题.26.(12 【分析】(1)利用定义得出a b ⋅,再结合模长公式求解即可;(2)先得出()a a b ⋅+,再由数量积公式得出a 与a b +的夹角的余弦.【详解】(1)313cos 32a b π⋅=⨯⨯=2223()||2||122a b a b a a b b ∴+=+=+⋅+=+⨯=(2)235()||122a a b a a b ⋅+=+⋅=+= 5()2cos ,26113a ab a a b a a b ⋅+∴+===⨯⋅+ 【点睛】 本题主要考查了利用定义求模长以及求夹角,属于中档题.。
人教版高中数学必修4综合测试试题含答案(原创,难度适中)高中数学必修4综合测试满分:150分时间:120分钟注意事项:客观题请在答题卡上用2B铅笔填涂,主观题请用黑色水笔书写在答题卡上。
一、选择题:(共12小题,每小题5分,共60分。
)1.sin300°的值为A。
-31 B。
3 C。
22 D。
1/22.角α的终边过点P(4,-3),则cosα的值为A。
4 B。
-3 C。
2/5 D。
-4/53.cos25°cos35°-sin25°sin35°的值等于A。
3/11 B。
3/4 C。
2/11 D。
-2/114.对于非零向量AB,BC,AC,下列等式中一定不成立的是A。
AB+BC=AC B。
AB-AC=BCC。
AB-BC=BC D。
AB+BC=AC5.下列区间中,使函数y=sinx为增函数的是A。
[0,π] B。
[π,2π] C。
[-π/2,π/2] D。
[-π,0]6.已知tan(α-π/3)=1/√3,则tanα的值为A。
4/3 B。
-3/5 C。
-5/3 D。
-3/47.将函数y=sinx图象上所有的点向左平移π/3个单位长度,再将图象上所有的点的横坐标伸长到原来的2倍(纵坐标不变),则所得图象的函数解析式为A。
y=sin(2x+π/3) B。
y=sin(2x+2π/3)C。
y=sin(2x-π/3) D。
y=sin(2x-2π/3)8.在函数y=sinx、y=sin(2x+π/2)、y=cos(2x+π)中,最小正周期为π的函数的个数为()A。
1个 B。
2个 C。
3个 D。
4个9.下列命题中,正确的是A。
|a|=|b|→a=b B。
|a|>|b|→a>bC。
|a|=0→a=0 D。
a=b→a∥b10.函数y=Asin(ωx+φ)在一个周期内的图象如右图所示,此函数的解析式为y=2sin(2x-π/3)11.方程sin(πx)=x的解的个数是()A。
高中数学 必修4模块 综合测试卷一.选择题(每小题5分,共60分)1、下列各角中与3π-终边相同的是( )A .35π-B .32πC .34πD .35π2、=-)611cos(π( ) A .21 B .21- C .23- D .23 3、已知),0(,53cos παα∈-=,则=αtan ( )A .34B .34-C .34±D .43±4、函数x y sin =的图象( ) A .关于点)1,2(π对称 B .关于直线π=x 对称C .关于点)0,(π对称D .关于y 轴对称 5、函数x y 2cos 21=的周期为( ) A .π B .π2 C . π4 D .4π 6、函数)4tan(π+=x y 的单调增区间为( )A .⎥⎦⎤⎢⎣⎡+-4,43ππππk k B .)4,43(ππππ+-k k C .⎥⎦⎤⎢⎣⎡+-2,2ππππk k D .)2,2(ππππ+-k k7、在△ABC 中,a=,b=B =45°,则A 等于()A .30°B .60°C .60°或120°D . 30°或150°8、9、在△ABC 中,周长为7.5cm ,且sinA :sinB :sinC =4:5:6,下列结论:①::=4:5:6a b c②::a b c ③=2,=2.5,=3a cm b cm c cm ④::=4:5:6A B C 其中成立的个数是 ( ) A .0个 B .1个 C .2个 D .3个9、化简θθ44sin cos - 的结果为( )A .θ4sinB .θ4cosC .θ2sinD .θ2cos 10、在ABC ∆中,若B A B A cos cos sin sin <,则ABC ∆一定是( )A .等边三角形B .直角三角形C .钝角三角形D .锐角三角形 二、填空题(每小题5分,共20分)11、=+167cos 43sin 77cos 43cos _______________. 12、在△ABC中,=2,=a c B 150°,则b =13、在△ABC 中,若SinA :SinB :SinC=5:7:8,则B 大小为______________.14、把函数)62s i n (π-=x y 的图象向左平移3π个单位,所得图象的函数解析式为_____________________________. 三、解答题15.已知,在△ABC 中,A=45°,C=30°,c=10cm ,求a 、b 和B 。
人教A版高中数学必修四测试题及答案全套人教A版高中数学必修四测试题及答案全套阶段质量检测(一)一、选择题(本大题共12小题,每小题5分,共60分。
在每小题给出的四个选项中,只有一项是符合题目要求的。
)1.在0°~360°的范围内,与-510°终边相同的角是()A。
330° B。
210° C。
150° D。
30°2.若sinα = 3/3,π/2 < α < π,则sin(α+π/2) = ()A。
-6/3 B。
-1/2 C。
16/2 D。
33.已知弧度数为2的圆心角所对的弦长也是2,则这个圆心角所对的弧长是()A。
2 B。
2sin1 C。
2sin1 D。
sin24.函数f(x) = sin(x-π/4)的图象的一条对称轴是()A。
x = π/4 B。
x = π/2 C。
x = -π/4 D。
x = -π/25.化简1+2sin(π-2)·cos(π-2)得()A。
sin2+cos2 B。
cos2-sin2 C。
sin2-cos2 D。
±cos2-sin26.函数f(x) = tan(x+π/4)的单调增区间为()A。
(kπ-π/2.kπ+π/2),k∈Z B。
(kπ。
(k+1)π),k∈ZC。
(kπ-4π/4.kπ+4π/4),k∈Z D。
(kπ-3π/4.kπ+3π/4),k∈Z7.已知sin(π/4+α) = 1/√2,则sin(π/4-α)的值为()A。
1/3 B。
-1/3 C。
1/2 D。
-1/28.设α是第三象限的角,且|cosα| = α/2,则α的终边所在的象限是()A。
第一象限 B。
第二象限 C。
第三象限 D。
第四象限9.函数y = cos2x+sinx在[-π/6.π/6]的最大值与最小值之和为()A。
3/4 B。
2 C。
1/3 D。
4/310.将函数y = sin(x-π/3)的图象上所有点的横坐标伸长到原来的2倍(纵坐标不变),再将所得的图象向左平移一个单位,得到的图象对应的解析式为()A。
1.已知中学生一节课的上课时间一般是45分钟,那么,经过一节课,分针旋转形成的角是( )A .120°B .-120°C .270°D .-270°解析:分针旋转形成的角是负角,每60分钟转动一周,所以一节课45分钟分针旋转形成的角是-360°×4560=-270°.答案:D2.下列叙述正确的是( )A .第一或第二象限的角都可作为三角形的内角B .始边相同而终边不同的角一定不相等C .第四象限角一定是负角D .钝角比第三象限角小解析:-330°角是第一象限角,但不能作为三角形的内角,故A 错;280°角是第四象限角,它是正角,故C 错;-100°角是第三象限角,它比钝角小,故D 错.答案:B3.若α是第四象限角,则180°-α是第________象限角. 解析:∵角α与角-α的终边关于x 轴对称, 又∵角α的终边在第四象限,∴角-α终边在第一象限,又角-α与180°-α的终边关于原点对称,∴角180°-α的终边在第三象限. 答案:三4.在0°~360°范围内:与-1 000°角终边相同的最小正角是________,是第________象限角.解析:-1 000°=-3×360°+80°,∴与-1 000°角终边相同的最小正角是80°,为第一象限角. 答案:80° 一5.在角的集合{α|α=k ·90°+45°,k ∈Z }中, (1)有几种终边不相同的角?(2)若-360°<α<360°,则集合中的α共有多少个?解:(1)在给定的角的集合中终边不相同的角共有四种,分别是与45°、135°、-135°、-45°终边相同的角.(2)令-360°<k ·90°+45°<360°,得-92<k <72. 又∵k ∈Z ,∴k =-4,-3,-2,-1,0,1,2,3, ∴满足条件的角共有8个.1.下列命题中,正确的是( ) A .1弧度是1度的圆心角所对的弧 B .1弧度是长度为半径的弧C .1弧度是长度等于半径的弧所对的圆心角D .1弧度是1度的弧与1度的角之和解析:利用弧度的概念可直接推得C 为正确选项. 答案:C2.2 100°化成弧度是( ) A.35π3 B .10π C.28π3D.25π3解析:2 100°=2 100×π180=35π3. 答案:A3.若扇形的圆心角为60°,半径为6,则扇形的面积为________. 解析:扇形的面积S =12|α|r 2=12×π3×62=6π. 答案:6π4.若θ角的终边与8π5角的终边相同,在[0,2π)内与θ4角的终边相同的角是________.解析:由题设知θ=2k π+8π5,k ∈Z ,则θ4=k π2+2π5,k ∈Z . ∴当k =0时,θ4=2π5; 当k =1时,θ4=9π10; 当k =2时,θ4=7π5; 当k =3时,θ4=19π10. 答案:2π5,9π10,7π5,19π105.已知α=-800°.(1)把α改写成β+2k π(k ∈Z,0≤β<2π)的形式,并指出α的终边在第几象限;(2)求 γ角,使γ与α角的终边相同,且γ∈⎝ ⎛⎭⎪⎫-π2,π2.解:(1)∵-800°=-3×360°+280°,280°=14π9, ∴α=14π9+(-3)×2π,α角与14π9的终边相同, ∴α是第四象限角.(2)∵与α角终边相同的角为2k π+α,k ∈Z ,α与14π9终边相同, ∴γ=2k π+14π9,k ∈Z .又∵γ∈⎝ ⎛⎭⎪⎫-π2,π2,∴-π2<2k π+14π9<π2, 当k =-1时,不等式成立, ∴γ=-2π+14π9=-4π9.1.有下列说法:①终边相同的角的同名三角函数的值相等; ②终边不同的角的同名三角函数的值不等; ③若sin α>0,则α是第一、二象限的角;④若α是第二象限的角,且P (x ,y )是其终边上一点,则cos α=-xx 2+y2, 其中不正确的个数为( ) A .0 B .1 C .2 D .3答案:D2.若点P 的坐标是(sin2,cos2),则点P 位于( ) A .第一象限 B .第二象限 C .第三象限 D .第四象限 答案:D3.sin420°=________.答案:324.使得lg(cos αtan α)有意义的角α是第________象限角. 解析:要使原式有意义,必须cos αtan α>0,即需cos α,tan α同号,所以α是第一或第二象限角.答案:一或二 5.求下列各式的值.(1)sin1 470°;(2)cos 9π4;(3)tan(-116π). 解:(1)sin1 470°=sin(4×360°+30°)=sin30°=12. (2)cos 9π4=cos(2π+π4)=cos π4=22. (3)tan(-11π6)=tan(-2π+π6)=tan π6=33.1.已知角α的正弦线的长度为单位长度,那么角α的终边( ) A .在x 轴上 B .在y 轴上 C .在直线y =x 上 D .在直线y =-x 上答案:B2.已知11π6的正弦线为MP ,正切线为AT ,则有( ) A .MP 与AT 的方向相同 B .|MP |=|AT | C .MP >0,AT <0D .MP <0,AT >0 解析:三角函数线的方向和三角函数值的符号是一致的.MP =sin 11π6<0,AT =tan 11π6<0.答案:A3.若角α的正弦线的长度为12,且方向与y 轴的正方向相反,则sin α的值为________.答案:-124.函数y =lg(sin x -cos x )的定义域为________.解析:利用三角函数线,如下图,MN 为正弦线,OM 为余弦线,要使sin x ≥cos x ,即MN ≥OM ,则π4≤x ≤54π,(在[0,2π]内).∴定义域为{x |π4+2k π≤x ≤54π+2k π,k ∈Z }. 答案:{x |π4+2k π≤x ≤54π+2k π,k ∈Z }5.在单位圆中画出满足cos α=12的角α的终边,并写出α组成的集合.解:如图所示,作直线x =12交单位圆于M ,N ,连接OM ,ON ,则OM ,ON 为α的终边.由于cos π3=12,cos 5π3=12,则M 在π3的终边上,N 在5π3的终边上,则α=π3+2k π或α=5π3+2k π,k ∈Z . 所以α组成的集合为S =⎩⎨⎧⎭⎬⎫αα=π3+2k π或α=5π3+2k π,k ∈Z .1.已知α是第二象限角,sin α=513,则cos α=( ) A .-1213 B .-513 C.513D.213解析:因为α是第二象限角,所以cos α<0, 故cos α=-1-sin 2α=-1-(513)2=-1213.答案:A2.已知cos α-sin α=-12,则sin αcos α的值为( ) A.38 B .±38 C.34D .±34解析:由已知得(cos α-sin α)2=sin 2α+cos 2α-2sin αcos α=1-2sin αcos α=14,解得sin αcos α=38,故选A.答案:A3.若sin θ=-45,tan θ>0,则cos θ=________.解析:由已知得θ是第三象限角,所以cos θ=-1-sin 2θ=-1-(-45)2=-35. 答案:-354.已知tan α=3,则2sin 2α+4sin αcos α-9cos 2α的值为________. 解析:原式=2sin 2α+4sin αcos α-9cos 2αsin 2α+cos 2α=2tan 2α+4tan α-9tan 2α+1 =2×32+4×3-932+1=2110.答案:21105.若π2<α<π,化简cos α1-cos 2α+sin α1-sin 2α1-cos 2α.解:因为π2<α<π,所以cos α=-1-sin 2α,sin α=1-cos 2α,所以原式=cos αsin α+sin α(-cos α)1-cos 2α=cos αsin α-sin αcos αsin 2α=cos αsin α-cos αsin α=0.1.cos(-20π3)等于( ) A.12 B.32 C .-12D .-32解析:cos(-20π3)=cos 20π3 =cos(6π+2π3)=cos 2π3=-12. 答案:C2.sin600°+tan240°的值是( ) A .-32 B.32 C .-12+ 3 D.12+3 解析:sin600°+tan240°=sin(360°+240°)+tan(180°+60°) =sin240°+tan60°=sin(180°+60°)+tan60° =-sin60°+tan60°=-32+3=32. 答案:B3.已知sin(45°+α)=513,则sin(135°-α)=________.解析:sin(135°-α)=sin[180°-(45°+α)] =sin(45°+α)=513. 答案:5134.已知α∈(0,π2),tan(π-α)=-34,则sin α=________. 解析:由于tan(π-α)=-tan α=-34, 则tan α=34,解方程组⎩⎨⎧sin αcos α=34,sin 2α+cos 2α=1,得sin α=±35,又α∈(0,π2),所以sin α>0. 所以sin α=35. 答案:355.化简tan (2π-θ)sin (-2π-θ)cos (6π-θ)cos (θ-π)sin (5π+θ).解:原式=tan (-θ)sin (-θ)cos (-θ)(-cos θ)(-sin θ)=(-tan θ)(-sin θ)cos θcos θsin θ=tan θ.1.已知sin40°=a ,则cos130°等于( ) A .a B .-a C.1-a 2D .-1-a 2解析:cos130°=cos(90°+40°)=-sin40°=-a .答案:B2.已知sin(α-π4)=13,则cos(π4+α)的值等于( ) A.223 B .-232 C.13D .-13解析:∵π4+α-(α-π4)=π2, ∴cos(π4+α)=cos[π2+(α-π4)] =-sin(α-π4)=-13. 答案:D3.已知sin(π6-θ)=13,则cos(π3+θ)等于________. 解析:cos(π3+θ)=cos[π2-(π6-θ)] =sin(π6-θ)=13. 答案:134.已知cos α=15,且α为第四象限角,那么cos(α+π2)等于________. 解析:∵α为第四象限角且cos α=15, ∴sin α=-1-cos 2α=-25 6. ∴cos(α+π2)=-sin α=25 6. 答案:2655.化简1+2sin (π2-2)·cos (π2+2).解:原式=1+2cos2·(-sin2)=1-2sin2cos2=(sin2-cos2)2=|sin2-cos2|. 又∵sin2>cos2,∴原式=sin2-cos2.1.函数y =-sin x ,x ∈⎣⎢⎡⎦⎥⎤-π2,3π2的简图是( )解析:用特殊点来验证.x =0时,y =-sin0=0,排除选项A ,C ;又x =-π2时,y =-sin ⎝ ⎛⎭⎪⎫-π2=1,排除选项B.答案:D2.方程x +sin x =0的根有( ) A .0个 B .1个 C .2个D .无数个解析:设f (x )=-x ,g (x )=sin x ,在同一直角坐标系中画出 f (x )和g (x )的图象,如图所示.由图知f (x )和g (x )的图象仅有一个交点,则方程x +sin x =0仅有一个根.答案:B3.用“五点法”画y =1-cos x ,x ∈[0,2π]的图象时,五个关键点的坐标是________.答案:(0,0),⎝⎛⎭⎪⎫π2,1,(π,2),⎝⎛⎭⎪⎫3π2,1,(2π,0)4.函数y =2cos x -2的定义域是________. 解析:由2cos x -2≥0得cos x ≥22, 借助y =cos x 的图象可得cos x ≥22的解集为 ⎩⎨⎧⎭⎬⎫x |2k π-π4≤x ≤2k π+π4,k ∈Z .答案:⎩⎨⎧⎭⎬⎫x |2k π-π4≤x ≤2k π+π4,k ∈Z 5.在[0,2π]内用五点法作出y =-sin x -1的简图. 解:(1)按五个关键点列表xπ2π3π22πy -1 -2 -1 0 -1(2)描点并用光滑曲线连接可得其图象,如图所示:1.函数y =2cos(π3-ωx )的最小正周期是4π,则ω等于( ) A .2 B.12 C .±2D .±12解析:4π=2π|ω|,∴ω=±12. 答案:D2.定义在R 上的周期函数f (x )的一个周期为5,则f (2 011)=( )A .f (1)B .f (2)C .f (3)D .f (4) 解析:f (2 011)=f (402×5+1)=f (1). 答案:A3.若函数f (x )=sin ωx (ω>0)的周期为π,则ω=________. 解析:由于周期T =2πω,所以2πω=π,解得ω=2. 答案:24.已知函数f (x )是定义在R 上的周期为6的奇函数,且f (1)=1,则f (5)=________.解析:由于函数f (x )是定义在R 上的周期为6的奇函数,则f (5)=f (5-6)=f (-1)=-f (1).又f (1)=1,则f (5)=-1. 答案:-15.若函数f (x )是以π2为周期的奇函数,且f (π3)=1,求 f (-176π)的值.证明:∵f (x )的周期为π2,且为奇函数, ∴f (-17π6)=f (-3π+π6)=f (-6×π2+π6) =f (π6).而f (π6)=f (π2-π3)=f (-π3)=-f (π3)=-1, ∴f (-17π6)=-1.1.函数y =sin(2x +52π)的图象的一条对称轴方程是( ) A .x =-π2 B .x =-π4 C .x =π8D .x =54π解析:y =sin(2x +52 π)=cos2x ,令2x =k π(k ∈Z ),则x =k2 π(k ∈Z ).当k =-1时,x =-π2.答案:A2.函数y =2sin(2x -π4)的一个单调递减区间是( ) A .[3π8,7π8] B .[-π8,3π8] C .[3π4,5π4]D .[-π4,π4]解析:令z =2x -π4,函数y =sin z 的单调递减区间是[π2+2k π,3π2+2k π](k ∈Z ).由π2+2k π≤2x -π4≤3π2+2k π,k ∈Z , 得3π8+k π≤x ≤7π8+k π,k ∈Z . 令k =0,3π8≤x ≤7π8. 答案:A3.下列关系式中正确的是( ) A .sin11°<cos10°<sin168° B .sin168°<sin11°<cos10° C .sin11°<sin168°<cos10° D .sin168°<cos10°<sin11°解析:∵sin168°=sin(180°-168°)=sin12°,cos10°=sin80°, ∴sin11°<sin12°<sin80°. ∴sin11°<sin168°<cos10°. 答案:C4.设ω>0,若函数f (x )=2sin ωx 在[-π3,π4]上单调递增,则ω的取值范围是________.解析:令-π2≤ωx ≤π2,-π2ω≤x ≤π2ω,则[-π2ω,π2ω]是函数的关于原点对称的递增区间中范围最大的,即[-π3,π4]⊆[-π2ω,π2ω],则⎩⎪⎨⎪⎧π4≤π2ω,-π3≥-π2ω.⇒ω≤32.答案:[0,32]5.求函数y =1-2cos 2x +5sin x 的最大值和最小值. 解:y =1-2cos 2x +5sin x =2sin 2x +5sin x -1 =2(sin x +54)2-338.∵sin x ∈[-1,1],而y 在[-1,1]上是增函数, ∴当sin x =-1时,函数取得最小值-4; 当sin x =1时,函数取得最大值6.1.y =tan(x +π)是( ) A .奇函数 B .偶函数 C .既是奇函数又是偶函数 D .非奇非偶函数答案:A2.函数y =2tan ⎝ ⎛⎭⎪⎫3x -π4的一个对称中心是( )A.⎝ ⎛⎭⎪⎫π3,0B.⎝ ⎛⎭⎪⎫π6,0 C.⎝ ⎛⎭⎪⎫-π4,0 D.⎝ ⎛⎭⎪⎫-π2,0 解析:由3x -π4=k π2,得x =k π6+π12 令k =-2得x =-π4.故选C. 答案:C3.函数y =2tan ⎝ ⎛⎭⎪⎫π3-x 2的定义域是________.解析:由π3-x 2≠k π+π2,得x ≠-2k π-π3,k ∈Z ,故函数y =2tan ⎝⎛⎭⎪⎫π3-x 2的定义域是:⎩⎨⎧⎭⎬⎫x |x ≠-π3-2k π,k ∈Z .答案:⎩⎨⎧⎭⎬⎫x |x ≠-π3-2k π,k ∈Z4.使函数y =2tan x 与y =cos x 同时为单调增的区间是________. 解析:由y =2tan x 与y =cos x 的图象知,同时为单调增的区间为(2k π-π2,2k π)(k ∈Z )和(2k π+π,2k π+3π2)(k ∈Z ).答案:⎝ ⎛⎭⎪⎫2k π-π2,2k π(k ∈Z )和(2k π+π,2k π+3π2)(k ∈Z )5.求函数y =tan(π-x ),x ∈⎝⎛⎭⎪⎫-π4,π3的值域.解:y =tan(π-x )=-tan x ,在⎝ ⎛⎭⎪⎫-π4,π3上为减函数,所以值域为(-3,1).1.把函数y =sin ⎝ ⎛⎭⎪⎫2x -π4的图象向左平移π8个单位长度,所得到的图象对应的函数是( )A .奇函数B .偶函数C .既是奇函数也是偶函数D .非奇非偶函数解析:y =sin ⎝⎛⎭⎪⎫2x -π4=sin ⎣⎢⎡⎦⎥⎤2⎝⎛⎭⎪⎫x -π8,向左平移π8个单位长度后为y =sin[2(x -π8+π8)]=sin2x ,为奇函数,故选A.答案:A2.为了得到函数y =sin ⎝ ⎛⎭⎪⎫2x -π3的图象,只需把函数y =sin ⎝ ⎛⎭⎪⎫2x +π6的图象( )A .向左平移π4个单位长度 B .向右平移π4个单位长度 C .向左平移π2个单位长度 D .向右平移π2个单位长度 解析:由y =sin ⎝ ⎛⎭⎪⎫2x +π6――→x →x +φy=sin ⎣⎢⎡⎦⎥⎤2(x +φ)+π6=sin ⎝ ⎛⎭⎪⎫2x -π3,即2x +2φ+π6=2x -π3,解得φ=-π4,即向右平移π4个单位长度.答案:B3.用“五点法”画函数y =2sin ⎝ ⎛⎭⎪⎫ωx +π3(ω>0)在一个周期内的简图时,五个关键点是(-π6,0),(π12,2),(π3,0),(712 π,-2),(5π6,0),则ω=________.解析:周期T =5π6-(-π6)=π. ∴2πω=π,ω=2. 答案:24.把函数y =2sin ⎝ ⎛⎭⎪⎫3x +π4的图象上所有的点向右平移π6个单位长度,再把所有点的横坐标伸长到原来的2倍,纵坐标不变,得到的图象对应的一个解析式为________.解析:把函数y =2sin ⎝ ⎛⎭⎪⎫3x +π4的图象上所有的点向右平移π6个单位长度,得函数y =2sin ⎣⎢⎡⎦⎥⎤3⎝ ⎛⎭⎪⎫x -π6+π4=2sin ⎝ ⎛⎭⎪⎫3x -π4的图象,再把所有点的横坐标伸长到原来的2倍,纵坐标不变,得到函数y =2sin ⎣⎢⎡⎦⎥⎤3⎝ ⎛⎭⎪⎫12x -π4的图象,即y =2sin ⎝ ⎛⎭⎪⎫32x -π4.答案:y =2sin ⎝ ⎛⎭⎪⎫32x -π45.已知函数y =sin ⎝ ⎛⎭⎪⎫2x +π4+1.(1)用“五点法”画出函数的草图.(2)函数图象可由y =sin x 的图象怎样变换得到? 解:(1)列表:2x +π4 0 π2 π 3π2 2π x -π8 π8 3π8 5π8 7π8 y1211描点、连线如图所示.将y =sin ⎝ ⎛⎭⎪⎫2x +π4+1在⎣⎢⎡⎦⎥⎤-π8,7π8上的图象向左(右)平移k π(k ∈Z )个单位,即可得到y =sin(2x +π4)+1的整个图象.1.函数y =2sin(x 2+π5)的周期、振幅依次是( ) A .4π,-2 B .4π,2 C .π,2D .π,-2解析:在y =A sin(ωx +φ)(A >0,ω>0)中,T =2πω,A 叫振幅(A >0),故y =2sin(x 2+π5)的周期T =2π12=4π,振幅为2,故选B.答案:B2.已知函数f (x )=2 sin(ωx +φ),x ∈R ,其中ω>0,-π<φ≤π.若f (x )的最小正周期为6π,且当x =π2时,f (x )取得最大值,则( )A .f (x )在区间[-2π,0]上是增函数B .f (x )在区间[-3π,-π]上是增函数C .f (x )在区间[3π,5π]上是减函数D .f (x )在区间[4π,6π]上是减函数 解析:∵函数f (x )的最小正周期为6π,∴2πω=6π,得ω=13,在x =π2时,函数f (x )取得最大值, ∴13×π2+φ=2k π+π2,k ∈Z . 又∵-π<φ≤π,∴φ=π3. ∴f (x )=2sin(13x +π3).由2k π-π2≤13x +π3≤2k π+π2(k ∈Z ), 得6k π-52π≤x ≤6k π+12π(k ∈Z ).∴f (x )的增区间是[6k π-52π,6k π+π2](k ∈Z ). 取k =0,得[-52π,π2]是f (x )的一个增区间. ∴函数f (x )在区间[-2π,0]上是增函数. 答案:A3.函数y =|5sin(2x +π3)|的最小正周期为________. 解析:∵y =5sin(2x +π3)的最小正周期为π, ∴函数y =|5sin(2x +π3)|的最小正周期为π2. 答案:π24.使函数f (x )=3sin(2x +5θ)的图象关于y 轴对称的θ为________. 解析:∵函数f (x )=3sin(2x +5θ)的图象关于y 轴对称, ∴f (-x )=f (x )恒成立,∴3sin(-2x +5θ)=3sin(2x +5θ). ∴sin(-2x +5θ)=sin(2x +5θ).∴-2x +5θ=2x +5θ+2k π(舍去)或-2x +5θ+2x +5θ=2k π+π(k ∈Z ).即10θ=2k π+π,故θ=k π5+π10(k ∈Z ). 答案:θ=k π5+π10,k ∈Z5.已知函数y =A sin(ωx +φ)(A >0,ω>0,|φ|<π2)的一段图象如图,试求这个函数的解析式.解:方法一:易知A =22,T4=6-2=4. ∴T =16,∴2πω=16,∴ω=π8. 又∵图象过点(2,22). ∴22sin(π8×2+φ)=2 2. 又∵|φ|<π2,∴φ=π4. 于是y =22sin(π8x +π4).方法二:易知A =22,由图可知,第二、第三两关键点的横坐标分别为2和6.∵⎩⎨⎧2ω+φ=π2,6ω+φ=π,∴⎩⎪⎨⎪⎧ω=π8,φ=π4.∴y =22sin(π8x +π4).1.已知某人的血压满足函数解析式f (t )=24sin(160πt )+115.其中f (t )为血压(mmHg),t 为时间(min),则此人每分钟心跳的次数为( )A .60B .70C .80D .90解析:由题意可得频率f =1T =160π2π=80(次/分),所以此人每分钟心跳的次数是80.答案:C2.如图表示电流I 与时间t 的关系I =A sin(ωt +φ)(A >0,ω>0)在一个周期内的图象,则该函数的解析式为( )A .I =300sin ⎝ ⎛⎭⎪⎫50πt +π3B .I =300sin ⎝ ⎛⎭⎪⎫50πt -π3C .I =300sin ⎝ ⎛⎭⎪⎫100πt +π3D .I =300sin(100πt -π3)解析:由图象得周期T =2(1150+1300)=150,最大值为300,图象经过点(1150,0),则ω=2πT =100π,A =300,∴I =300sin(100πt +φ). ∴0=300sin(100π×1150+φ). ∴sin(2π3+φ)=0.取φ=π3, ∴I =300sin(100πt +π3). 答案:C 3.如图为某简谐运动的图象,则这个简谐运动需要________s 往复一次.解析:由图象知周期T =0.8-0=0.8,则这个简谐运动需要0.8 s 往复一次.答案:0.84.据市场调查,某种商品每件的售价按月呈f (x )=A sin(ωx +φ)+B (A >0,ω>0,|φ|<π2)的模型波动(x 为月份),已知3月份达到最高价8千元,7月份价格最低为4千元,则f (x )=________.解析:由题意得⎩⎪⎨⎪⎧A +B =8,-A +B =4,解得A =2,B =6.周期T =2(7-3)=8,∴ω=2πT =π4,∴f (x )=2sin ⎝ ⎛⎭⎪⎫π4x +φ+6. 又当x =3时,y =8,∴8=2sin ⎝ ⎛⎭⎪⎫3π4+φ+6. ∴sin ⎝ ⎛⎭⎪⎫3π4+φ=1.由于|φ|<π2,∴φ=-π4, ∴f (x )=2sin ⎝ ⎛⎭⎪⎫π4x -π4+6.答案:2sin ⎝ ⎛⎭⎪⎫π4x -π4+65.如图所示,摩天轮的半径为40 m ,O 点距地面的高度为50 m ,摩天轮做匀速转动,每3 min 转一圈,摩天轮上的P 点的起始位置在最低点处.(1)试确定在时刻t min 时P 点距离地面的高度;(2)在摩天轮转动的一圈内,有多长时间P 点距离地面超过70 m? 解:(1)以中心O 为坐标原点建立如图所示的坐标系,设t min 时P 距地面的高度为y ,依题意得y =40sin ⎝⎛⎭⎪⎫2π3t -π2+50.(2)令40sin ⎝ ⎛⎭⎪⎫2π3t -π2+50>70,则sin ⎝ ⎛⎭⎪⎫2π3t -π2>12,∴2k π+π6<2π3t -π2<2k π+5π6(k ∈Z ),∴2k π+2π3<2π3t <2k π+4π3(k ∈Z ),∴3k +1<t <3k +2(k ∈Z ).令k =0得1<t <2. 因此,共有1 min P 点距地面超过70 m.单元综合测试一时间:120分钟 分值:150分第Ⅰ卷(选择题,共60分)一、选择题(每小题5分,共60分)1.若角600°的终边上有一点(-4,a ),则a 的值是( ) A .-4 3 B .±43 C. 3D .43解析:因为tan600°=a-4=tan(540°+60°)=tan60° =3,故a =-4 3. 答案:A2.已知cos(π2+φ)=32,且|φ|<π2,则tan φ=( ) A .-33 B.33 C .- 3D.3 解析:由cos(π2+φ)=32,得sin φ=-32,又|φ|<π2,∴cos φ=12,∴tan φ=- 3. 答案:C3.下列函数中,最小正周期为π,且图象关于直线x =π3对称的是( )A .y =sin(2x +π6) B .y =sin(x 2+π6) C .y =sin(2x -π6)D .y =sin(2x -π3)解析:∵最小正周期为π,∴ω=2,又图象关于直线x =π3对称, ∴f (π3)=±1,故只有C 符合. 答案:C4.若2k π+π<θ<2k π+5π4(k ∈Z ),则sin θ,cos θ,tan θ的大小关系是( )A .sin θ<cos θ<tan θB .cos θ<tan θ<sin θC .cos θ<sin θ<tan θD .sin θ<tan θ<cos θ解析:设π<α<54π,则有sin θ=sin α, cos θ=cos α,tan θ=tan α, ∵tan α>0,而sin α<0,cos α<0,∴B 、D 排除,又∵cos α<-22<sin α,即cos α<sin α,排除A.选C. 答案:C5.已知A 是三角形的内角,且sin A +cos A =52,则tan A 等于( )A .4+15B .4-15C .4±15D .以上均不正确解析:因为sin A +cos A =52,所以2sin A cos A =14>0.所以A 为锐角.又(sin A -cos A )2=1-2sin A cos A =1-14=34,所以sin A -cos A =±32.从而可求出sin A ,cos A 的值,从而求出tan A =4±15.答案:C6.函数y =2sin(π6-2x )(x ∈[0,π])的单调递增区间是( ) A .[0,π3] B .[π12,7π12] C .[π3,5π6]D .[5π6,π]解析:由π2+2k π≤2x -π6≤3π2+2k π 可得π3+k π≤x ≤5π6+k π(k ∈Z ).∵x ∈[0,π],∴单调递增区间为[π3,5π6]. 答案:C7.为得到函数y =cos ⎝⎛⎭⎪⎫x +π3的图象,只需将函数y =sin x 的图象( )A .向左平移π6个单位长度 B .向右平移π6个单位长度 C .向左平移5π6个单位长度D .向右平移5π6个单位长度 解析:∵y =cos ⎝ ⎛⎭⎪⎫x +π3=sin ⎝ ⎛⎭⎪⎫x +π3+π2 =sin ⎝ ⎛⎭⎪⎫x +5π6, ∴只需将y =sin x 的图象向左平移5π6个单位长度. 答案:C8.已知函数f (x )=2sin(ωx +φ)(ω>0,|φ|<π2)的部分图象如图所示,则函数f (x )的一个单调递增区间是( )A.⎣⎢⎡⎦⎥⎤-7π12,5π12 B.⎣⎢⎡⎦⎥⎤-7π12,-π12 C.⎣⎢⎡⎦⎥⎤-π4,π6 D.⎣⎢⎡⎦⎥⎤11π12,17π12 解析:由图形可得14T =23π-512π,∴T =π,则ω=2,又图象过点⎝ ⎛⎭⎪⎫512π,2.∴2sin ⎝ ⎛⎭⎪⎫2×512π+φ=2, ∴φ=-π3,∴f (x )=2sin ⎝ ⎛⎭⎪⎫2x -π3, 其单调递增区间为⎣⎢⎡⎦⎥⎤k π-π12,k π+512π(k ∈Z ), 取k =1,即得选项D. 答案:D9.设a 为常数,且a >1,0≤x ≤2π,则函数f (x )=cos 2x +2a sin x -1的最大值为( )A .2a +1B .2a -1C .-2a -1D .a 2解析:f (x )=cos 2x +2a sin x -1 =1-sin 2x +2a sin x -1 =-(sin x -a )2+a 2,∵0≤x ≤2π,∴-1≤sin x ≤1,又a >1,∴f (x )max =-(1-a )2+a 2=2a -1. 答案:B 10.函数y =cos(ωx +φ)(ω>0,0<φ<π)为奇函数,该函数的部分图象如图所示,A ,B 分别为最高点与最低点,并且两点间的距离为22,则该函数图象的一条对称轴方程为( )A .x =2π B .x =π2 C .x =1D .x =2解析:函数y =cos(ωx +φ)(ω>0,0<φ<π)的最大值为1,最小值为-1,所以周期T =2(22)2-22=4,所以ω=π2,又函数为奇函数,所以cos φ=0(0<φ<π)⇒φ=π2,所以函数解析式为y =cos(π2x +π2)=-sin π2x ,所以直线x =1为该函数图象的一条对称轴.答案:C11.中国最高的摩天轮是“南昌之星”,它的最高点离地面160米,直径为156米,并以每30分钟一周的速度匀速旋转,若从最低点开始计时,则摩天轮进行5分钟后离地面的高度为( )A .41米B .43米C .78米D .118米解析:摩天轮转轴离地面高160-⎝ ⎛⎭⎪⎫1562=82(米),ω=2πT =π15,摩天轮上某个点P 离地面的高度h 米与时间t 的函数关系是h =82-78cos π15t ,当摩天轮运行5分钟时,其离地面高度为h =82-78cos π15t =82-78×12=43(米).答案:B12.设ω>0,函数y =sin(ωx +π3)+2的图象向右平移4π3个单位后与原图象重合,则ω的最小值是( )A.23B.43C.32D .3解析:方法一:函数y =sin(ωx +π3)+2的图象向右平移4π3个单位后得到函数y =sin[ω(x -4π3)+π3]+2=sin(ωx -4π3ω+π3)+2的图象.∵两图象重合,∴ωx +π3=ωx -4π3ω+π3+2k π,k ∈Z ,解得ω=32k ,k ∈Z .又ω>0,∴当k =1时,ω的最小值是32.方法二:由题意可知,4π3是函数y =sin(ωx +π3)+2(ω>0)的最小正周期T 的正整数倍,即4π3=kT =2k πω(k ∈N *),ω=32k ,ω的最小值为32. 答案:C第Ⅱ卷(非选择题 共90分)二、填空题(本大题共4小题,每小题5分,共20分,把答案填在题中横线上)13.在扇形中,已知半径为8,弧长为12,则圆心角是________弧度,扇形面积是________.解析:圆心角α=l r =128=32, 扇形面积S =12lr =12×12×8=48.答案:32 4814.方程sin x =lg x 的解的个数为________.解析:画出函数y =sin x 和y =lg x 的图象(图略),结合图象易知这两个函数的图象有3个交点.答案:315.设f (x )=a sin(πx +α)+b cos(πx +β),其中a ,b ,α,β为非零常数.若f (2 013)=-1,则f (2 014)=________.解析:f (2 013)=a sin(2 013π+α)+b cos(2 013π+β) =-1,f (2 014)=a sin(2 014π+α)+b cos(2 014π+β) =a sin[π+(2 013π+α)]+b cos[π+(2 013π+β)] =-[a sin(2 013π+α)+b cos(2 013π+β)]=1. 答案:116.关于函数f (x )=cos ⎝⎛⎭⎪⎫2x +π3+1有以下结论:①函数f (x )的值域是[0,2];②点⎝⎛⎭⎪⎫-512π,0是函数f (x )的图象的一个对称中心;③直线x =π3是函数f (x )的图象的一条对称轴;④将函数f (x )的图象向右平移π6个单位长度后,与所得图象对应的函数是偶函数.其中,所有正确结论的序号是________.解析:①∵-1≤cos ⎝ ⎛⎭⎪⎫2x +π3≤1, ∴0≤cos ⎝⎛⎭⎪⎫2x +π3+1≤2;②∵f ⎝ ⎛⎭⎪⎫-5π12=cos ⎝ ⎛⎭⎪⎫-5π6+π3+1=cos ⎝ ⎛⎭⎪⎫-π2+1=1≠0,∴点⎝ ⎛⎭⎪⎫-512π,0不是函数f (x )图象的一个对称中心;③∵f ⎝ ⎛⎭⎪⎫π3=cos ⎝ ⎛⎭⎪⎫2π3+π3+1=cosπ+1=0,函数取得最小值,∴直线x =π3是函数f (x )的图象的一条对称轴;④将函数f (x )的图象向右平移π6个单位长度后,与所得图象对应的函数解析式为g (x )=cos ⎣⎢⎡⎦⎥⎤2⎝ ⎛⎭⎪⎫x -π6+π3+1=cos2x +1,此函数是偶函数.综上所述,①③④正确.答案:①③④三、解答题(本大题共6小题,共70分,解答应写出文字说明、证明过程或演算步骤)17.(10分)已知sin θ=45,π2<θ<π, (1)求tan θ;(2)求sin 2θ+2sin θcos θ3sin 2θ+cos 2θ的值.解:(1)∵sin 2θ+cos 2θ=1,∴cos 2θ=1-sin 2θ=925.又π2<θ<π,∴cos θ=-35. ∴tan θ=sin θcos θ=-43.(2)sin 2θ+2sin θcos θ3sin 2θ+cos 2θ=tan 2θ+2tan θ3tan 2θ+1=-857.18.(12分)(1)已知cos(75°+α)=13,其中α为第三象限角,求cos(105°-α)+sin(α-105°)的值;(2)已知π<θ<2π,cos(θ-9π)=-35,求tan(10π-θ)的值. 解:(1)cos(105°-α)=cos[180°-(75°+α)] =-cos(75°+α)=-13,sin(α-105°)=-sin[180°-(75°+α)] =-sin(75°+α). ∵α为第三象限角,∴75°+α为第三或第四象限角,又cos(75°+α)=13>0, ∴75°+α为第四象限角,∴sin(75°+α)=-1-cos 2(75°+α) =-1-⎝ ⎛⎭⎪⎫132=-223, ∴cos(105°-α)+sin(α-105°) =-13+223=22-13. (2)由已知得cos(θ-9π)=-35, ∴cos(π-θ)=-35,∴cos θ=35, ∵π<θ<2π,∴3π2<θ<2π,∴sin θ=-45, ∴tan θ=-43,∴tan(10π-θ)=tan(-θ)=-tan θ=43.19.(12分)已知函数f (x )=2cos(2x -π4),x ∈R . (1)求函数f (x )的最小正周期和单调递增区间.(2)求函数f (x )在区间[-π8,π2]上的最小值和最大值,并求出取得最值时x 的值.解:(1)因为f (x )=2cos(2x -π4),所以函数f (x )的最小正周期为T =2π2=π.由-π+2k π≤2x -π4≤2k π(k ∈Z ),得-3π8+k π≤x ≤π8+k π(k ∈Z ),故函数f (x )的单调递增区间为[-3π8+k π,π8+k π](k ∈Z ).(2)因为f (x )=2cos(2x -π4)在区间[-π8,π8]上为增函数,在区间[π8,π2]上为减函数,又f (-π8)=0,f (π8)=2,f (π2)=2cos(π-π4)=-2cos π4=-1,所以函数f (x )在区间[-π8,π2]上的最大值为2,此时x =π8;最小值为-1,此时x =π2.20.(12分)函数f 1(x )=A sin(ωx +φ)(A >0,ω>0,|φ|<π2)的一段图象过点(0,1),如图所示.(1)求函数f 1(x )的表达式;(2)把f 1(x )的图象向右平移π4个单位长度得到f 2(x )的图象,求f 2(x )取得最大值时x 的取值.解:(1)由图知,T =π,于是ω=2πT =2.将y =A sin2x 的图象向左平移π12,得y =A sin(2x +φ)的图象,于是φ=2×π12=π6.将(0,1)代入y =A sin(2x +π6),得A =2.故f 1(x )=2sin(2x +π6).(2)依题意,f 2(x )=2sin[2(x -π4)+π6] =-2cos(2x +π6),当2x +π6=2k π+π(k ∈Z ),即x =k π+5π12(k ∈Z )时, y max =2.此时x 的取值为{x |x =k π+5π12,k ∈Z }. 21.(12分)已知函数f (x )=2sin(2x +π6)-1.(1)若点P (1,-3)在角α的终边上,求f (α2-π12)的值; (2)若x ∈[-π6,π3],求f (x )的值域.解:(1)因为点P (1,-3)在角α的终边上, 所以sin α=-32,cos α=12,所以f (α2-π12)=2sin[2×(α2-π12)+π6]-1 =2sin α-1=2×(-32)-1=-3-1. (2)令t =2x +π6,因为x ∈[-π6,π3],所以-π6≤2x +π6≤5π6,而y =sin t 在[-π6,π2]上单调递增, 在[π2,5π6]上单调递减, 且sin(-π6)=-12,sin 5π6=12,所以函数y =sin t 在[-π6,5π6]上的最大值为1, 最小值为-12,即-12≤sin(2x +π6)≤1, 所以f (x )的值域是[-2,1].22.(12分)已知函数f (x )=A sin(ωx +φ)+B (A >0,ω>0)的一系列对应值如下表:(1)(2)根据(1)的结果,若函数y =f (kx )(k >0)的最小正周期为2π3,当x ∈[0,π3]时,方程f (kx )=m 恰有两个不同的解,求实数m 的取值范围. 解:(1)设f (x )的最小正周期为T , 得T =11π6-(-π6)=2π, 由T =2πω,得ω=1.又⎩⎪⎨⎪⎧ B +A =3,B -A =-1.解得⎩⎪⎨⎪⎧A =2,B =1.令ω·5π6+φ=π2,即5π6+φ=π2,解得φ=-π3, ∴f (x )=2sin(x -π3)+1.(2)∵函数y =f (kx )=2sin(kx -π3)+1的最小正周期为2π3, 又k >0,∴k =3,令t =3x -π3, ∵x ∈[0,π3],∴t ∈[-π3,2π3],若sin t =s 在[-π3,2π3]上有两个不同的解, 则s ∈[32,1),∴方程f (kx )=m 在x ∈[0,π3]时恰好有两个不同的解,则m ∈[3+1,3),即实数m的取值范围是[3+1,3).1.如图,在⊙O 中,向量OB →,OC →,AO →是( ) A .有相同起点的向量 B .共线向量 C .模相等的向量 D .相等的向量解析:由题知OB →,OC →,AO →对应的有向线段都是圆的半径,因此它们的模相等.答案:C2.下列说法中正确的是( ) A .若|a |>|b |,则a >b B .若|a |=|b |,则a =b C .若a =b ,则a ∥bD .若a ≠b ,则a 与b 不是共线向量解析:向量不能比较大小,所以A 不正确;a =b 需满足两个条件:a ,b 同向且|a |=|b |,所以B 不正确,C 正确;a 与b 是共线向量只需方向相同或相反,所以D 不正确.答案:C3.设O 是正方形ABCD 的中心,则OA →,BO →,AC →,BD →中,模相等的向量是________.解析:∵四边形ABCD 为正方形,O 为正方形的中心, ∴OA =BO ,即|OA →|=|BO →|,|AC →|=|BD →|. 答案:OA →与BO →,AC →与BD →4.如图所示,四边形ABCD 和ABDE 都是平行四边形. (1)与向量ED →相等的向量为______;(2)若|AB →|=3,则向量EC →的模等于________. 解析:(1)在平行四边形ABCD 和ABDE 中, ∵AB →=ED →,AB →=DC →,∴ED →=DC →. (2)由(1)知ED →=DC →,∴E 、D 、C 三点共线,|EC →|=|ED →|+|DC →|=2|AB →|=6. 答案:(1)AB →、DC →(2)65.一个人从点A 出发沿东北方向走了100 m 到达点B ,然后改变方向,沿南偏东15°方向又走了100 m 到达点C .(1)画出AB →,BC →,CA →. (2)求|CA →|. 解:(1)如图所示. (2)|AB →|=100 m , |BC →|=100 m ,∠ABC =45°+15°=60°, 则△ABC 为正三角形. 故|CA →|=100 m.1.在四边形ABCD 中,AC →=AB →+AD →,则( ) A .ABCD 一定是矩形 B .ABCD 一定是菱形 C .ABCD 一定是正方形D .ABCD 一定是平行四边形解析:由AC →=AB →+AD →知由A ,B ,C ,D 构成的四边形一定是平行四边形.答案:D2.下列等式不成立的是( ) A .0+a =a B .a +b =b +a C.AB →+BA →=2BA →D.AB →+BC →=AC →解析:对于C ,∵AB →与BA →是相反向量, ∴AB →+BA →=0. 答案:C3.化简(AB →+MB →)+(BO →+BC →)+OM →=________.解析:原式=(AB →+BO → )+(OM →+MB → )+BC →=AO →+OB →+BC →=AB →+BC →=AC →.答案:AC →4.若a =“向北走8 km ”,b =“向东走8 km ”,则|a +b |=________;a +b 的方向是________.解析:由向量加法的平行四边形法则,知|a +b |=82,方向为东北方向.答案:8 2 km 东北方向5.在水流速度为4 3 km/h 的河中,要使船以12 km/h 的实际航速与河岸成直角行驶,求船在静水中的航行速度的大小和方向.解:设AB →表示水流的速度,AC →表示船的实际航行速度,如图,作出AB →,AC →,连接BC ,作AD 綊BC ,连接DC ,则AD →为所求船的静水航速,且AD →+AB →=AC →.∵|AB →|=43,|AC →|=12, tan ∠ACB =4312=33. ∴∠ACB =30°=∠CAD , |AD →|=|BC →|=83,∠BAD =120°.∴船在静水中的航行速度的大小为8 3 km/h ,方向与水流速度成120°角.1.下列等式: ①0-a =-a ②-(-a )=a ③a +(-a )=0 ④a +0=a ⑤a -b =a +(-b ) ⑥a +(-a )=0正确的个数是( )A .3B .4C .5D .6解析:根据向量的加减运算易知①②③④⑤均正确. 答案:C2.设AB →,BC →,AC →是三个非零向量,且AB →+BC →=AC →,则( ) A .线段AB ,BC ,AC 一定构成一个三角形 B .线段AB ,BC 一定共线 C .线段AB ,BC 一定平行D .线段AB ,BC ,AC 构成三角形或共线解析:由于三角形法则对于共线时也成立,因此线段AB ,BC ,AC 可以构成三角形,也可以共线,但线段AB ,BC 不可能平行.答案:D3.若向量a 与b 共线,且|a |=|b |=1,则|a -b |=________. 解析:∵a 与b 共线, ∴两向量同向或反向. 又|a |=|b |=1,∴|a -b |=0或2. 答案:0或24.化简:(1)(AD →-BM →)+(BC →-MC →)=________. (2)(PQ →-MO →)+(QO →-QM →)=________. 答案:(1)AD → (2)PQ →5.如图,在五边形ABCDE 中,若四边形ACDE 是平行四边形,且AB →=a ,AC →=b ,AE →=c ,试用a ,b ,c 表示向量BD →,BE →,CE →.解:∵四边形ACDE 为平行四边形, ∴CD →=AE →=c ,BC →=AC →-AB →=b -a . ∴BD →=BC →+CD →=b -a +c , BE →=AE →-AB →=c -a , CE →=AE →-AC →=c -b .1.在四边形ABCD 中,若AB →=-12CD →,则此四边形是( ) A .平行四边形 B .菱形 C .梯形D .矩形解析:由AB →=-12CD →可得,在四边形ABCD 中有AB ∥CD ,但|AB |≠|CD |,故为梯形.答案:C2.已知非零向量a ,b 满足a =λb ,b =λa (λ∈R ),则λ=( ) A .-1 B .±1 C .0D .0解析:∵a =λb ,b =λa ,∴a =λ2a ,∴λ±1.答案:B3.化简:2(a -2b )+3(13a +b )=________. 答案:3a -b4.若|a |=5,b 与a 的方向相反,且|b |=7,则a =________b . 解析:∵b 与a 方向相反,∴设a =λb (λ<0) ∴|a |=|λ||b |,∴5=|λ|×7,∴|λ|=57, ∴λ=±57,又λ<0,∴λ=-57. 答案:-57 5.如图,在梯形ABCD 中,AB ∥CD ,且AB =2CD ,M ,N 分别是DC 和AB 的中点,若AB →=a ,AD →=b ,试用a ,b 表示BC →和MN →.解:在四边形ANMD 中,有 MN →=MD →+DA →+AN → =-12DC →-AD →+12AB → =-AD →-12(12AB →)+12AB →=-AD →+14AB →=14a -b . 在四边形ABCD 中,有BC →=BA →+AD →+DC →=-AB →+AD →+12AB → =AD →-12AB →=b -12a .1.已知e 1,e 2是表示平面内所有向量的一组基底,那么下面四组向量中,不能作为一组基底的是( )A .e 1,e 1+e 2B .e 1-2e 2,e 2-2e 1C .e 1-2e 2,4e 2-2e 1D .e 1+e 2,e 1-e 2解析:因为4e 2-2e 1=-2(e 1-2e 2),从而e 1-2e 2与4e 2-2e 1共线.答案:C2.在△ABC 中,AB →=c ,AC →=b ,若点D 满足BD →=2DC →,以b 与c 作为基底,则AD →=( )A.23b +13cB.53c -23bC.23b -13cD.13b +23c解析:∵BD →=2DC →,∴AD →-AB →=2(AC →-AD →), ∴AD →-c =2(b -AD →),∴AD →=13c +23b . 答案:A。
一、选择题1.如图,B 是AC 的中点,2BE OB =,P 是平行四边形BCDE 内(含边界)的一点,且(),OP xOA yOB x y R =+∈,则下列结论正确的个数为( )①当0x =时,[]2,3y ∈②当P 是线段CE 的中点时,12x =-,52y =③若x y +为定值1,则在平面直角坐标系中,点P 的轨迹是一条线段 ④x y -的最大值为1- A .1 B .2C .3D .42.若平面向量与的夹角为,,,则向量的模为( ) A .B .C .D .3.若12,e e 是夹角为60︒的两个单位向量,则向量1212,2a e e b e e =+=-+的夹角为( ) A .30B .60︒C .90︒D .120︒4.在AOB ∆中,0,5,25,OA OB OA OB AB ⋅===边上的高为,OD D 在AB 上,点E 位于线段OD 上,若34OE EA ⋅=,则向量EA 在向量OD 上的投影为( ) A .12或32B .1C .1或12D .325.已知1a ,2a ,1b ,2b ,()*k b k ⋅⋅⋅∈N是平面内两两互不相等的向量,121a a-=,且对任意的1,2i = 及1,2,,j k =⋅⋅⋅,{}1,2i j a b -∈,则k 最大值为( ) A .3B .4C .5D .66.在矩形ABCD 中,|AB |=6,|AD |=3.若点M 是CD 的中点,点N 是BC 的三等分点,且BN =13BC ,则AM ·MN =( ) A .6B .4C .3D .27.已知正方形ABCD 的边长为2,EF 为该正方形内切圆的直径,P 在ABCD 的四边上运动,则PE PF ⋅的最大值为( )A B .1C .2D .8.已知向量,a b 满足2(1,2),(1,)+==a b m b m ,且a 在b ,则实数m =( )A .2±B .2C .5±D 9.已知两个非零向量a ,b 的夹角为23π,且=2a b -,则·ab 的取值范围是( ) A .2,03⎛⎫- ⎪⎝⎭B .[)2,0-C .2,03⎡⎫-⎪⎢⎣⎭D .[)1,0-10.在直角梯形ABCD 中,0AD AB ⋅=,30B ∠=︒,AB =,2BC =,13BE BC =,则( )A .1163AE AB AD =+ B .1263AE AB AD =+ C .5163AE AB AD =+ D .5166AE AB AD =+ 11.已知向量a 、b 、c 满足0a b c ++=,且a b c <<,则a b ⋅、b c ⋅、a c ⋅中最小的值是( ) A .a b ⋅B .a c ⋅C .b c ⋅D .不能确定12.已知ABC 的内角A ,B ,C 所对的边分别为a ,b ,c ,向量(,)m a b b c =++,(,)n c b a =-,若//m n ,则C =( )A .56πB .23π C .3π D .6π 二、填空题13.已知平面向量a ,b ,c ,d 满足1a b ==,2c =,0a b ⋅=,1c d -=,则2a b d ++的取值范围为______.14.已知向量1e ,2e 是平面α内的一组基向量,O 为α内的定点,对于α内任意一点P ,当12OP xe ye =+时,则称有序实数对(),x y 为点P 的广义坐标,若点A 、B 的广义坐标分别为()11,x y 、()22,x y ,对于下列命题: ① 线段A 、B 的中点的广义坐标为1212,22x x y y ++⎛⎫⎪⎝⎭;② A 、B③ 向量OA 平行于向量OB 的充要条件是1221x y x y =; ④ 向量OA 垂直于向量OB 的充要条件是12120x x y y +=. 其中的真命题是________(请写出所有真命题的序号)15.如图,在Rt ABC ∆中,2,60,90AB BAC B =∠=︒∠=︒,G 是ABC ∆的重心,则GB GC ⋅=__________.16.在平面内,定点,,A B C 满足DA DB DC ==,2DA DB DB DC DC DA ⋅=⋅=⋅=-,动点,P M 满足1AP PM MC ==,则2BM 的最大值为________.17.如图,设圆M 的半径为2,点C 是圆M 上的定点,A ,B 是圆M 上的两个动点,则CA CB ⋅的最小值是________.18.如图,在等腰三角形ABC 中,已知1AB AC ==,120A ∠=︒,E F 、分别是边AB AC 、上的点,且,AE AB AF AC λμ==,其中(),0,1λμ∈且41λμ+=,若线段EF BC 、的中点分别为M N 、,则MN 的最小值是_____.19.已知O 为ABC 内一点,且满足305OA OB OC =++,延长AO 交BC 于点D .若BD DC λ=,则λ=_____.20.已知平面向量a ,b 满足3a b +=,3a b -=,则向量a 与b 夹角的取值范围是______.三、解答题21.平面内给定三个向量(3,2),(1,2),(4,1)a b c ==-=. (1)求32a b c +-;(2)求满足a mb nc =+的实数m 和n ; (3)若()(2)a kc b a +⊥-,求实数k . 22.已知向量a 与b 的夹角为3π,且1a =,2b =. (1)求a b +;(2)求向量a b +与向量a 的夹角的余弦值. 23.已知向量,a b 满足:16,()2a b a b a ==⋅-=,. (1)求向量a 与b 的夹角; (2)求2a b -.24.如图,正六边形ABCDEF 的边长为1.M ,N 分别是BC ,DE 上的动点,且满足BM DN =.(1)若M ,N 分别是BC ,DE 的中点,求AM AN ⋅的值; (2)求AM AN ⋅的取值范围.25.已知向量()1,1,3,(0)2u sin x v sin x cos x ωωωω⎛⎫=-=+> ⎪⎝⎭且函数()f x u v =⋅,若函数f (x )的图象上两个相邻的对称轴距离为2π. (1)求函数f (x )的解析式; (2)将函数y =f (x )的图象向左平移12π个单位后,得到函数y =g (x )的图象,求函数g (x )的表达式并其对称轴;(3)若方程f (x )=m (m >0)在0,2x π⎡⎤∈⎢⎥⎣⎦时,有两个不同实数根x 1,x 2,求实数m 的取值范围,并求出x 1+x 2的值.26.在ABC 中,D 是线段AB 上靠近B 的一个三等分点,E 是线段AC 上靠近A 的一个四等分点,4DF FE =,设AB m =,BC n =. (1)用m ,n 表示AF ;(2)设G 是线段BC 上一点,且使//EG AF ,求CG CB的值.【参考答案】***试卷处理标记,请不要删除一、选择题 1.C 解析:C 【分析】利用向量共线的充要条件判断出①错,③正确;利用向量的运算法则求出OP ,求出x ,y 判断出②正确,利用三点共线解得④正确 【详解】当0x =时,OP yOB =,则P 在线段BE 上,故13y ≤≤,故①错 当P 是线段CE 的中点时,13()2OP OE EP OB EB BC =+=++ ()11153(2)32222OB OB AB OB OB OB OA OA OB =+-+=-+-=-+,故②对x y +为定值1时,A ,B ,P 三点共线,又P 是平行四边形BCDE 内(含边界)的一点,故P 的轨迹是线段,故③对如图,过P 作//PM AO ,交OE 于M ,作//PN OE ,交AO 的延长线于N , 则:OP ON OM =+;又OP xOA yOB =+;0x ∴≤,1y ≥;由图形看出,当P 与B 重合时:01OP OA OB =⋅+⋅;此时x 取最大值0,y 取最小值1;所以x y -取最大值1-,故④正确 所以选项②③④正确. 故选:C 【点睛】结论点睛:若OC xOA yOB =+,则,,A B C 三点共线1x y ⇔+=.2.C解析:C 【解析】,,又,,则,故选3.B解析:B 【分析】首先分别求出12a e e =+与122b e e =-+的数量积以及各自的模,利用数量积公式求之. 【详解】 由已知,1212e e ⋅=,所以(()1212)2e e e e +-+=32,|12e e +3,|122e e -+3, 设向量1212,2a e e b e e =+=-+的夹角为α,则312cos ,2333παα==∴=⋅.故答案为B 【点睛】(1)本题主要考查向量的夹角的求法,意在考查学生对该知识的掌握水平和分析推理计算能力.(2) 求两个向量的夹角一般有两种方法,方法一:·cos ,ab a b a b=,方法二:设a =11(,)x y ,b =22(,)x y ,θ为向量a 与b 的夹角,则121222221122cos x y x yθ=+⋅+.4.A解析:A 【解析】Rt AOB 中,0OA OB ⋅=,∴2AOB π∠=,∵5OA =,25OB =,∴225AB OA OB += , ∵AB 边上的高线为OD ,点E 位于线段OD 上,建立平面直角坐标系,如图所示; 则)5,0A、(025B ,、设(),D m n ,则OAD BAO ∽,∴OA ADAB OA=, ∴1AD =,∴15AD AB =, 即()(155,255m n =-,,求得45m =, ∴4525D ⎝⎭;则45254525OE OD λλ⎫===⎪⎪⎝⎭⎝⎭, 45255,EA ⎛⎫= ⎪ ⎪⎭;∵34OE EA ⋅=, ∴2454525354⎫⎫⋅-=⎪⎪⎪⎪⎭⎝⎭, 解得34λ=或14λ=;∴向量EA 在向量OD 上的投影为))452511ED OD OE λλ⎛⎫=-=-- ⎪⎪⎝⎭, 当34λ=时,5512ED ⎛== ⎝⎭;当14λ=时,353532ED ==⎝⎭. 即向量EA 在向量OD 上的投影为12或32,故选A.5.D解析:D 【分析】根据向量的几何意义把抽象问题具体化,转化到圆与圆的位置关系问题. 【详解】如图所示,设11OA a =,22OA a =,此时121A A =,由题意可知:对于任意的1,2i = 及1,2,,j k =⋅⋅⋅,{}1,2i j a b -∈, 作j j OB b =则有1j A B 等于1或2,且2j A B 等于1或2, 所以点(1,2,,)j B j k =同时在以(1,2)i A i =为圆心,半径为1或2的圆上,由图可知共有6个交点满足条件,故k 的最大值为6.故选:D. 【点睛】本题主要考查平面向量的线性运算和平面向量的应用.6.C解析:C 【分析】根据向量的运算法则,求得12AM AD AB =+,2132MN AD AB =-+,再结合向量的数量积的运算公式,即可求解. 【详解】由题意,作出图形,如图所示:由图及题意,根据向量的运算法则,可得12AM AD DM AD AB =+=+, 2132MN CN CM CB CD =-=-21213232BC DC AD AB =-+=-+,所以2212121||||23234AM MN AD AB AD AB AD AB ⎛⎫⎛⎫⋅=+⋅-+=-⋅+⋅ ⎪ ⎪⎝⎭⎝⎭21936334=-⨯+⨯=.故选C .【点睛】本题主要考查了向量的运算法则,以及平面向量的数量积的运算,其中解答中熟练应用向量的运算法则和向量的数量积的运算公式是解答的关键,着重考查推理与运算能力.7.B解析:B 【分析】作出图形,利用平面向量的线性运算以及数量积的运算性质可得出21P OP E PF =⋅-,求得OP 的最大值,由此可求得PE PF ⋅的最大值. 【详解】 如下图所示:由题可知正方形ABCD 的内切圆的半径为1,设该内切圆的圆心为O ,()()()()2221PE PF OE OP OF OP OP OE OP OE OP OE OP ⋅=-⋅-=-+⋅--=-=-,由图象可知,当点P 为ABCD 的顶点时,2OP 取得最大值2,所以PE PF ⋅的最大值为1.故选:B. 【点睛】本题考查平面向量数量积最值的计算,考查计算能力,属于中等题.8.A解析:A 【分析】根据2(1,2),(1,)+==a b m b m 可得0,2m a ⎛⎫= ⎪⎝⎭,结合||cos a θ=,列出等式,即可解出答案. 【详解】因为向量,a b 满足2(1,2),(1,)a b m b m +==,22(0,)a a b b m =+-=,所以20,,22m m a a b ⎛⎫=⋅= ⎪⎝⎭,若向量,a b 的夹角为θ,则2225||(||cos )152m b a m a b θ=+⋅=⋅=, 所以42516160m m --=,即()()225440m m +-=,解得2m =±. 故选:A . 【点睛】本题主要考查向量的投影及平面向量数量积公式,属于中档题.平面向量数量积公式有两种形式,一是||||cos a b a b θ⋅=,二是1212a b x x y y ⋅=+,主要应用以下几个方面:(1)求向量的夹角,cos ||||a ba b θ⋅=⋅(此时a b ⋅往往用坐标形式求解);(2)求投影,a 在b 上的投影是||a bb ⋅;(3),a b 向量垂直则0a b ⋅=;(4)求向量ma nb +的模(平方后需求a b ⋅). 9.C解析:C 【分析】对=2a b -两边平方后,结合2·cos 3a b a b π=⋅进行化简可得:224a b b +⋅+=;由基本不等式可得222a b a b +⋅,于是推出403a b<⋅,再结合平面向量数量积即可得解. 【详解】因为2a b -=,所以 2224a a b b -⋅+=,所以2222cos 43b b a a π-⋅+=,即224a a b b +⋅+=, 由基本不等式的性质可知,222a ba b +⋅,403a b∴<⋅, 所以212·cos ,0323a b a b a b π⎡⎫=⋅⋅=-⋅∈-⎪⎢⎣⎭. 故选:C . 【点睛】本题主要考查平面向量数量积运算,考查利用基本不等式求最值,难度一般.对于平面向量的模长问题,一般采用平方处理,然后结合平面向量数量积的运算公式求解即可.10.C解析:C 【分析】先根据题意得1AD =,CD =2AB DC =,再结合已知和向量的加减法运算求解即可得的答案. 【详解】由题意可求得1AD =,CD =所以2AB DC =, 又13BE BC =, 则()1133AE AB BE AB BC AB BA AD DC =+=+=+++ 1111333AB AD DC ⎛⎫=-++ ⎪⎝⎭1111336AB AD AB ⎛⎫=-++ ⎪⎝⎭115116363AB AD AB AD ⎛⎫=-+=+ ⎪⎝⎭.故选:C. 【点睛】本题考查用基底表示向量,考查运算能力,是基础题.11.C解析:C 【分析】由0a b c ++=,可得2222222().2()a b c a b b c a b c =-+=-+、2222()a c b a c =-+,利用||||||a b c <<,即可比较. 【详解】解:由0a b c ++=,可得()c a b =-+,平方可得2222()a b c a b =-+. 同理可得2222()b c a b c =-+、2222()a c b a c =-+,||||||a b c <<,∴222a b c <<则a b 、b c 、a c 中最小的值是b c . 故选:C . 【点睛】本题考查了向量的数量积运算,属于中档题.12.B解析:B 【分析】由//m n ,可得()()()0a b a c b b c +⨯--⨯+=.结合余弦定理,可求角C . 【详解】(,),(,)m a b b c n c b a =++=-,且//m n ,()()()0a b a c b b c ∴+⨯--⨯+=,整理得222c a b ab =++. 又22212cos ,cos 2c a b ab C C =+-∴=-.()20,,3C C ππ∈∴=.故选:B. 【点睛】本题考查向量共线的坐标表示和余弦定理,属于基础题.二、填空题13.【分析】用几何意义求解不妨设则在圆心在原点半径为2的圆上设则在以为圆心半径为1的圆上运动后形成的轨迹是圆心在原点大圆半径为3小圆半径为1的圆环表示圆环内的点与定点的距离由图形可得最大值和最小值【详解解析:3⎡⎤⎣⎦【分析】用几何意义求解.不妨设()1,0a =,()0,1b =,(),c x y =,则(,)C x y 在圆心在原点,半径为2的圆上,设(),d x y '=',则(,)D x y ''在以C 为圆心半径为1的圆上,C 运动后,D 形成的轨迹是圆心在原点,大圆半径为3,小圆半径为1的圆环,2a b d ++表示圆环内的点D 与定点()2,1P --的距离,由图形可得最大值和最小值.【详解】令()1,0a =,()0,1b =,(),c x y =,设C 的坐标为(),x y ,C 的轨迹为圆心在原点,半径为2的圆上.设(),d x y '=',D 的坐标为(),x y '',D 的轨迹为圆心在原点,大圆半径为3,小圆半径为1的圆环上.()22,1a b d d ++=---表示D 与点()2,1P --的距离,由图可知,故2a b d ++的取值范围为0,53⎡⎤+⎣⎦. 故答案为:0,53⎡⎤+⎣⎦【点睛】本题考查向量模的几何意义,考查模的最值,解题关键是设()1,0a =,()0,1b =,(),c x y =,(),d x y '=',固定,a b 后得出了,C D 的轨迹,然后由模2a b d ++的几何意义得出最值.14.①③【分析】根据点的广义坐标分别为利用向量的运算公式分别计算①②③④得出结论【详解】点的广义坐标分别为对于①线段的中点设为M 根据=()=中点的广义坐标为故①正确对于②∵(x2﹣x1)A 两点间的距离为解析:①③ 【分析】根据点A 、B 的广义坐标分别为()11,x y 、()22,x y ,1112OA x e y e ∴=+,2122OB x e y e =+,利用向量的运算公式分别计算①②③④,得出结论.【详解】点A 、B 的广义坐标分别为()11,x y 、()22,x y ,1112OA x e y e ∴=+,2122OB x e y e =+,对于①,线段A 、B 的中点设为M ,根据OM =12(OA OB +)=12112211()()22x x e y y e +++∴中点的广义坐标为1212,22x x y y ++⎛⎫⎪⎝⎭,故①正确. 对于②,∵AB =(x 2﹣x 1)()1212e y y e +-,∴A 、B 12e ,故②不一定正确.对于③,向量OA 平行于向量OB ,则t OA OB =,即(11,x y )=t ()22,x y ,1221x y x y ∴=,故③正确.对于④,向量OA 垂直于向量OB ,则OA OB =0,221211221121220x x e x y x y e e y y e ∴+++=(),故④不一定正确.故答案为①③. 【点睛】本题在新情境下考查了数量积运算性质、数量积定义,考查了推理能力与计算能力,属于中档题.15.【解析】分析:建立平面直角坐标系结合平面向量数量积的坐标运算整理计算即可求得最终结果详解:建立如图所示的平面直角坐标系则:由中心坐标公式可得:即据此有:结合平面向量数量积的坐标运算法则可得:点睛:求 解析:209-【解析】分析:建立平面直角坐标系,结合平面向量数量积的坐标运算整理计算即可求得最终结果.详解:建立如图所示的平面直角坐标系,则:()0,2A ,()0,0B ,()C ,由中心坐标公式可得:2003G ⎫++⎪⎪⎝⎭,即23G ⎫⎪⎭, 据此有:233GB ⎛⎫=-- ⎪⎝⎭,4233GC ⎛⎫=-⎪⎭, 结合平面向量数量积的坐标运算法则可得:222203339GB GC ⎛⎛⎫⎛⎫⋅=--⨯-=- ⎪ ⎪⎝⎝⎭⎝⎭.点睛:求两个向量的数量积有三种方法:利用定义;利用向量的坐标运算;利用数量积的几何意义.具体应用时可根据已知条件的特征来选择,同时要注意数量积运算律的应用.16.【分析】由可得为的外心又可得为的垂心则为的中心即为正三角形运用向量的数量积定义可得的边长以为坐标原点所在直线为轴建立直角坐标系求得的坐标再设由中点坐标公式可得的坐标运用两点的距离公式可得的长运用三角 解析:494【分析】由DA DB DC ==,可得D 为ABC ∆的外心,又DA DB DB DC DC DA ⋅=⋅=⋅,可得D 为ABC ∆的垂心,则D 为ABC ∆的中心,即ABC ∆为正三角形.运用向量的数量积定义可得ABC ∆的边长,以A 为坐标原点,AD 所在直线为x 轴建立直角坐标系xOy ,求得,B C 的坐标,再设(cos ,sin ),(02)P θθθπ≤<,由中点坐标公式可得M 的坐标,运用两点的距离公式可得BM 的长,运用三角函数的恒等变换公式,结合正弦函数的值域,即可得到最大值. 【详解】解: 由DA DB DC ==,可得D 为ABC ∆的外心, 又DA DB DB DC DC DA ⋅=⋅=⋅,可得()0,(DB DA DC DC DB ⋅-=⋅ )0DA -=,即0DB AC DC AB ⋅=⋅=, 即有,DB AC DC AB ⊥⊥,可得D 为ABC ∆的垂心, 则D 为ABC ∆的中心,即ABC ∆为正三角形, 由2DA DB ⋅=-,即有||||cos1202DA DB ︒⋅=-, 解得||2DA =,ABC ∆的边长为4cos3023︒=以A 为坐标原点,AD 所在直线为x 轴建立直角坐标系xOy , 可得B(3,3),C(3,3),D(2,0)-, 由||1AP =,可设(cos ,sin ),(02)P θθθπ≤<,由PM MC =,可得M 为PC 中点,即有3cos 3sin (2M θθ++,则2223cos3sin||3=3+2BMθθ⎛⎫++⎛⎫-+⎪⎪ ⎪⎝⎭⎝22(3cos)(33sin)376cos63sin4θθθθ-+-+=+=3712sin64πθ⎛⎫+-⎪⎝⎭=,当sin16πθ⎛⎫-=⎪⎝⎭,即23πθ=时,取得最大值,且为494.故答案为:494.【点睛】本题考查向量的定义和性质,以及模的最值的求法,注意运用坐标法,转化为三角函数的最值的求法,考查化简整理的运算能力,属于中档题.17.【分析】延长BC作圆M的切线设切点为A1切线与BD的交点D结合数量积的几何意义可得点A运动到A1时在上的投影最小设将结果表示为关于的二次函数求出最值即可【详解】如图延长BC作圆M的切线设切点为A1切解析:2-【分析】延长BC,作圆M的切线,设切点为A1,切线与BD的交点D,结合数量积的几何意义可得点A运动到A1时,CA在CB上的投影最小,设CP x=,将结果表示为关于x的二次函数,求出最值即可.【详解】如图,延长BC,作圆M的切线,设切点为A1,切线与BD的交点D,由数量积的几何意义,CA CB⋅等于CA在CB上的投影与CB之积,当点A运动到A1时,CA在CB上的投影最小;设BC中点P,连MP,MA1,则四边形MPDA1为矩形;设CP=x,则CD=2-x,CB=2x,CA CB⋅=()()222224212x x x x x--⋅=-=--,[]02x∈,,所以当1x =时,CA CB ⋅最小,最小值为2-, 故答案为:2-. 【点睛】本题考查平面向量数量积的几何意义,考查了学生的作图能力以及分析问题解决问题的能力,属于中档题.18.【分析】根据条件及向量数量积运算求得连接由三角形中线的性质表示出根据向量的线性运算及数量积公式表示出结合二次函数性质即可求得最小值【详解】根据题意连接如下图所示:在等腰三角形中已知则由向量数量积运算 解析:77【分析】根据条件及向量数量积运算求得AB AC ⋅,连接,AM AN ,由三角形中线的性质表示出,AM AN .根据向量的线性运算及数量积公式表示出2MN ,结合二次函数性质即可求得最小值. 【详解】根据题意,连接,AM AN ,如下图所示:在等腰三角形ABC 中,已知1AB AC ==,120A ∠=︒则由向量数量积运算可知1cos 11cos1202AB AC AB AC A ⋅=⋅=⨯⨯=- 线段EF BC 、的中点分别为M N 、则()()1122AM AE AF AB AC λμ=+=+ ()12AN AB AC =+ 由向量减法的线性运算可得11112222MN AN AM AB AC λμ⎛⎫⎛⎫=-=-+-⎪ ⎪⎝⎭⎝⎭所以2211112222MN AB AC λμ⎡⎤⎛⎫⎛⎫=-+- ⎪ ⎪⎢⎥⎝⎭⎝⎭⎣⎦222211111111222222222AB AC AB AC λμλμ⎛⎫⎛⎫⎛⎫⎛⎫=-+-+⨯-⨯-⨯⋅ ⎪ ⎪ ⎪ ⎪⎝⎭⎝⎭⎝⎭⎝⎭221111111112222222222λμλμ⎛⎫⎛⎫⎛⎫⎛⎫⎛⎫=-+-+⨯-⨯-⨯- ⎪ ⎪ ⎪ ⎪ ⎪⎝⎭⎝⎭⎝⎭⎝⎭⎝⎭因为41λμ+=,代入化简可得22221312111424477MN μμμ⎛⎫=-+=-+ ⎪⎝⎭因为(),0,1λμ∈且41λμ+=10,4μ⎛⎫∴∈ ⎪⎝⎭所以当17μ=时, 2MN 取得最小值17因而minMN==故答案为: 7【点睛】本题考查了平面向量数量积的综合应用,向量的线性运算及模的求法,二次函数最值的应用,属于中档题.19.【分析】将已知条件转化为结合得到设列出关于的方程组由此求得【详解】由于所以所以即因为即化简得设所以解得故答案为:【点睛】本小题主要考查平面向量的基本定理考查平面向量的线性运算考查化归与转化的数学思想解析:53【分析】将已知条件转化为1539AO AB AC =+,结合BD DC λ=,得到111AD AB AC λλλ=+++,设AO k AD =,列出关于,k λ的方程组,由此求得λ. 【详解】 由于305OA OB OC =++,所以()()350OA AB AO AC AO +-+-=,所以935AO AB AC =+,即1539AO AB AC =+. 因为BD DC λ=,即()AD AB AC AD λ-=-, 化简得111AD AB AC λλλ=+++, 设11k k AO k AD AB AC λλλ==+++,所以1 13519kkλλλ⎧=⎪⎪+⎨⎪=⎪+⎩,解得53λ=.故答案为:53【点睛】本小题主要考查平面向量的基本定理,考查平面向量的线性运算,考查化归与转化的数学思想方法,属于中档题.20.【分析】由已知得由得由不等式可知再由得最后由可得解【详解】由得即由得即由得由得所以故答案为:【点睛】本题考查了向量及其模的运算考查了向量的夹角公式和基本不等式考查了计算能力属于中档题解析:0,3π⎡⎤⎢⎥⎣⎦【分析】由已知,得22222923a ab ba ab b+⋅⎧⎪⎨⎪+=-⋅+=⎩②①,由+①②,得226a b+=,由不等式可知3a b ≤,再由-①②,得32a b⋅=,最后由cos,a ba ba b⋅=可得解.【详解】由3a b+=,3a b-=,得()()2239baab⎧⎪⎨⎪-==+⎩,即22222923a ab ba ab b+⋅⎧⎪⎨⎪+=-⋅+=⎩②①由+①②,得226a b+=,即226a b+=由-①②,得32a b⋅=由222a b a b +≥,得3a b ≤1cos ,2a b a b a b⋅=≥所以,0,3a b π≤≤.故答案为:0,3π⎡⎤⎢⎥⎣⎦【点睛】本题考查了向量及其模的运算,考查了向量的夹角公式和基本不等式,考查了计算能力,属于中档题.三、解答题21.(1)6;(2)58,99m n ==;(3)1118k =-.【分析】(1)利用向量加法的坐标运算得到()320,6a b c +-=,再求模长即可;(2)先写mb nc +的坐标,再根据a mb nc =+使对应横纵坐标相等列方程组,解方程组即得结果;(3)利用向量垂直则数量积为零,再利用数量积的坐标运算列关系求出参数即可. 【详解】解:(1)由(3,2),(1,2),(4,1)a b c ==-=,得3(9,6),(1,2),2(8,2)a b c ==-=∴()()32918,6220,6a b c +-=--+-=,∴23206a b c +-=+=;(2)()(),2,4,mb m m nc n n =-=, ∴()4,2mb nc n m m n +=-+,a mb nc =+,∴()4,2(3,2)a n m m n ==-+,故4322n m m n -=⎧⎨+=⎩,解得58,99m n ==;(3)(3,2),(4,)a kc k k ==,∴()34,2a kc k k +=++,(3,2),2(2,4)a b ==-,∴()25,2b a -=-,()()2a kc b a +⊥-,∴()()20a kc b a +⋅-=,即()()534220k k -+++=,解得1118k =-. 【点睛】 结论点睛:若()()1122,,,a x y b x y == ,则//a b 等价于12210x y x y -=;a b ⊥等价于12120x x y y +=.22.(1;(2. 【分析】(1)由已知利用平面向量数量积公式可得1a b ⋅=,平方后根据向量数量积的运算可求||a b +的值.(2)结合(1),根据已知条件,由向量夹角的余弦公式即可求解.【详解】(1)向量a 与b 的夹角为3π,且||1a =,||2b =, ∴||||cos a b a b a ⋅=<,112cos12132b π>=⨯⨯=⨯⨯=.222||()2142a b a b a b a b ∴+=+=++⋅=++=.(2)设向量a b +与向量a 的夹角θ,22()||27cos ||||||||||||71a b a a a b a a b a b a a b a a b a θ+⋅+⋅+⋅∴=====+⋅+⋅+⋅⨯. 【点睛】本题主要考查了向量数量积的运算及计算公式,向量夹角的余弦公式,属于中档题.23.(1)π3;(2) 【分析】(1)设向量a 与b 的夹角θ,利用向量的数量积公式计算()2a b a ⋅-=,可得向量的夹角;(2)利用向量的模长公式:2a a =,代入计算可得. 【详解】 (1)设向量a 与b 的夹角θ, ()16cos 12a b a a b θ⋅-=⋅-=-=,解得1cos 2θ=, 又[]0πθ∈,,π3θ∴= (2)由向量的模长公式可得:()222a b a b -=-==. 【点睛】 本题主要考查向量数量积公式的应用,向量模长的计算,求向量的模长需要熟记公式2a a =,考查学生的逻辑推理与计算能力,属于基础题.24.(1)118;(2)31.2⎡⎤⎢⎥⎣⎦. 【分析】 (1)首先以点A 为坐标原点建立平面直角坐标系.求AM ,AN 的坐标,再求数量积;(2)首先利用BM DN =,设BM DN t ==,表示向量AM ,AN ,利用数量积的坐标表示转化为二次函数求取值范围. 【详解】 (1)如图,以AB 所在直线为x 轴,以A 为坐标原点建立平面直角坐标系.因为ABCDEF 是边长为1的正六边形,且M ,N 分别是BC ,DE 的中点, 所以53,44M ⎛⎫ ⎪ ⎪⎝⎭,132N ⎛ ⎝, 所以5311848AM AN ⋅=+=. (2)设BM DN t ==,则[]0,1t ∈.所以31,22t M ⎛⎫+ ⎪ ⎪⎝⎭,(13N t -. 所以()()223113*********t AM AN t t t t t ⎛⎫⋅=+⋅-+=-++=--+ ⎪⎝⎭. 当0t =时,AM AN ⋅取得最小值1;当1t =时,AM AN ⋅取得最大值32. 所以AM AN ⋅的取值范围为31.2⎡⎤⎢⎥⎣⎦. 【点睛】本题考查数量积的坐标表示,重点考查计算能力,属于基础题型.25.(1)()26f x sin x π⎛⎫=- ⎪⎝⎭;(2)()2g x sin x =, 对称轴为,42k x k Z ππ=+∈;(3)112m ≤<,,1223x x π+=. 【分析】 (1) 根据向量()1,1,3,(0)2u sin x v sin x cos x ωωωω⎛⎫=-=+> ⎪⎝⎭和函数()f x u v =⋅,利用数量积结合倍角公式和辅助角法得到,()26πω⎛⎫=-⎪⎝⎭f x sin x ,再根据函数f (x )的图象上两个相邻的对称轴距离为2π求解. (2)依据左加右减,将函数y =f (x )的图象向左平移12π个单位后,得到函数()22126g x sin x sin x ππ⎡⎤⎛⎫=+-= ⎪⎢⎥⎝⎭⎣⎦,令2,2ππ=+∈x k k Z 求其对称轴. (3)作出函数f (x )在0,2π⎡⎤⎢⎥⎣⎦上图象,根据函数y =f (x )与直线y =m 在0,2π⎡⎤⎢⎥⎣⎦上有两个交点求解.再令2,62x k k Z πππ-=+∈,求对称轴. 【详解】(1)()()21122ωωωωωω=-=-f x sin x sin x x sin x xcos x ,1222226πωωω⎛⎫=-=- ⎪⎝⎭sin x cos x sin x ∵函数f (x )的图象上两个相邻的对称轴距离为2π, ∴22T π=, ∴2(0)2ππωω=>, ∴ω=1, 故函数f (x )的解析式为()sin 26f x x π⎛⎫=-⎪⎝⎭; (2)依题意,()22126g x sin x sin x ππ⎡⎤⎛⎫=+-= ⎪⎢⎥⎝⎭⎣⎦, 令2,2ππ=+∈x k k Z ,则,42ππ=+∈k x k Z , ∴函数g (x )的对称轴为,42ππ=+∈k x k Z ;(3)∵0,2x π⎡⎤∈⎢⎥⎣⎦, ∴52,666x πππ⎡⎤-∈-⎢⎥⎣⎦, ∴12,162sin x π⎛⎫⎡⎤-∈- ⎪⎢⎥⎝⎭⎣⎦, 函数f (x )在0,2π⎡⎤⎢⎥⎣⎦上的草图如下,依题意,函数y =f (x )与直线y =m 在0,2π⎡⎤⎢⎥⎣⎦上有两个交点,则112m ≤<, 令2,62x k k Z πππ-=+∈,则,32k x k Z ππ=+∈, ∴函数f (x )在0,2π⎡⎤⎢⎥⎣⎦上的对称轴为3x π=,则1223x x π+=. 【点睛】 本题主要考查了平面向量和三角函数,三角函数的图象和性质及其应用,还考查了数形结合的思想和运算求解的能力,属于中档题.26.(1)1135AF m n =+(2)310CG CB = 【分析】(1)依题意可得23AD AB =、14AE AC =,再根据DE AE AD =-,AF AD DF =+计算可得;(2)设存在实数λ,使得(01)CG CB λλ=<<,由因为//EG AF ,所以存在实数μ, 使AF EG μ=,再根据向量相等的充要条件得到方程组,解得即可;【详解】解:(1)因为D 是线段AB 上靠近B 的一个三等分点,所以23AD AB =.因为E 是线段AC 上靠近A 的一个四等分点,所以14AE AC =, 所以1243DE AE AD AC AB =-=-. 因为4DF FE =,所以4185515DF DE AC AB ==-, 则2183515AF AD DF AB AC AB =+=+- 2111()15535AB AB BC AB BC =++=+. 又AB m =,BC n =. 所以11113535AF AB BC m n =+=+. (2)因为G 是线段BC 上一点,所以存在实数λ,使得(01)CG CB λλ=<<, 则33()44EG EC CG AC CB AB BC BC λλ=+=+=+- 3333()()4444AB BC m n λλ=+-=+- 因为//EG AF ,所以存在实数μ,使AF EG μ=,即1133[()]3544m n m n μλ+=+-, 整理得31,4331(),45μμλ⎧=⎪⎪⎨⎪-=⎪⎩解得310λ=, 故310CGCB =. 【点睛】本题考查平面向量的线性运算及平面向量共线定理的应用,属于中档题.。
阶段性测试题三(第一、二章综合测试题)本试卷分第Ⅰ卷选择题和第Ⅱ卷非选择题两部分,满分150分,时间120分钟。
第Ⅰ卷(选择题 共60分)一、选择题(本大题共12小题,每小题5分,共60分.在每小题给出的四个选项中,其中有且仅有一个是正确的.)1.下列各式中,不能化简为AD →的是( ) A .(AB →+CD →)+BC →B .(AD →+MB →)+(BC →+CM →) C .MB →+AD →-BM → D .OC →-OA →+CD →[答案] C[解析] A 中,(AB →+CD →)+BC →=AB →+BC →+CD →=AD →; B 中,(AD →+MB →)+(BC →+CM →)=AD →+MB →+BM →=AD →. C 中,MB →+AD →-BM →=MB →+AD →+MB →=2MB →+AD →; D 中,OC →-OA →+CD →=AC →+CD →=AD →,故选C. 2.设a 、b 、c 是非零向量,下列命题正确的是( ) A .(a·b )·c =a·(b·c )B .|a -b|2=|a|2-2|a||b|+|b|2C .若|a|=|b|=|a +b|,则a 与b 的夹角为60°D .若|a|=|b|=|a -b|,则a 与b 的夹角为60° [答案] D[解析] 对于A ,数量积的运算不满足结合律,A 错;对于B ,|a -b|2=|a|2-2a ·b +|b |2=|a |2-2|a||b |·cos<a ,b>+|b |2,B 错,对于C 、D ,由三角形法则知|a |=|b |=|a -b |组成的三角形为正三角形,则<a ,b >=60°,∴D 正确.3.(2014·山东曲阜师范附属中学高一模块测试)已知一个扇形的半径为1,弧长为4,则该扇形的面积为( )A .1B .2C .3D .4[答案] B[解析] 扇形的面积S =12lR =12×4×1=2.4.(2014·湖北长阳一中高一月考)下列说法正确的是( ) A .第三象限的角比第二象限的角大B .若sin α=12,则α=π6C .三角形的内角是第一象限角或第二象限角D .不论用角度制还是弧度制度量一个角,它们与扇形所对应的半径的大小无关 [答案] D[解析] -120°是第三象限角,120°是第二象限角,而-120°<120,排除A ;若sin α=12,则α=π6+2k π或α=5π6+2k π(k ∈Z ),排除B ;当三角的内角等于90°时,它既不是第一象限,也不是第二象限,排除C ,故选D.5.已知△ABC 中,点D 在BC 边上,且CD →=2DB →,CD →=rAB →+sAC →,则r +s 的值是( ) A .23B .43C .-3D .0[答案] D[解析] CD →=AD →-AC →,DB →=AB →-AD →, ∴CD →=AB →-DB →-AC →=AB →-12CD →-AC →,∴32CD →=AB →-AC →, ∴CD →=23AB →-23AC →,又AC →=rAB →+sAC →,∴r =23,s =-23,∴r +s =0,故选D.6.在△ABC 中,D 、E 、F 分别是BC 、CA 、AB 的中点,点M 是△ABC 的重心,则MA →+MB →-MC →等于( )A .0B .4MD →C .4MF →D .4ME →[答案] C [解析] 如图,由已知得,MA →+MB →=2MF →,又∵M 为△ABC 的重心, ∴|MC |=2|MF |,∴-MC →=CM →=2MF →, ∴MA →+MB →-MC →=4MF →.7.如图所示,点P 在∠AOB 的对角区域MON 内,且满足OP →=xOA →+yOB →,则实数对(x ,y )可以是( )A .(12,-13)B .(14,12)C .(-23,-13)D .(-34,25)[答案] C[解析] 向量OP →用基底OA →、OB →表示具有惟一性,结合图形知x <0,y <0,故选C. 8.(2014·江西九江外国语高一月考)已知sin(α+75°)=12,则cos(α-15°)=( )A .32B .-32 C .12D .-12[答案] C[解析] ∵cos(15°-α)=sin(α+75°)=12,∴cos(α-15°)=cos(15°-α)=12.9.函数f (x )=sin ⎝⎛⎭⎫32x +π4的图象相邻的两个零点之间的距离是( ) A .π3B .2π3C .4π3D .2π[答案] B[解析] 函数y =sin ⎝⎛⎭⎫32x +π4的图象相邻的两个零 点之间的距离为半个周期,又T =2π32=4π3,∴T 2=2π3.10.函数y =cos ⎝⎛⎭⎫-3x +π3的一个对称中心为( ) A .⎝⎛⎭⎫π6,0 B .⎝⎛⎭⎫π3,0 C .⎝⎛⎭⎫5π18,0 D .⎝⎛⎭⎫π2,0[答案] C[解析] y =cos ⎝⎛⎭⎫-3x +π3=cos ⎝⎛⎭⎫3x -π3, 令3x -π3=k π+π2(k ∈Z ),∴x =k π3+5π18(k ∈Z ).当k =0时,x =5π18,故选C.11.已知向量OA →=(4,6),OB →=(3,5),且OC →⊥OA →,AC →∥OB →,则向量OC →等于( ) A .(-37,27)B .(-27,421)C .(37,-27)D .(27,-421)[答案] D[解析] 设OC →=(x ,y ),则AC →=OC →-OA →=(x -4,y -6).∵OC →⊥OA →,AC →∥OB →,∴⎩⎪⎨⎪⎧4x +6y =0x -43=y -65,解得⎩⎨⎧x =27y =-421.∴OC →=(27,-421).12.△ABC 为等边三角形,且边长为2,点M 满足BM →=2AM →,则CM →·CA →=( ) A .6 B .3 C .15 D .12[答案] A [解析] 如图,∵BM →=2AM →,∴AB =AM =2, 又∵△ABC 为等边三角形, ∴∠BAC =60°,即∠CAM =120°.又AM =AC ,∴∠AMC =∠ACM =30°,∴∠BCM =90°. ∴CM =BM 2-BC 2=16-4=2 3. ∴CM →·CA →=|CM →|·|CA →|cos30°=23×2×32=6.第Ⅱ卷(非选择题 共90分)二、填空题(本大题共4个小题,每空4分,共16分,把正确答案填在题中横线上) 13.已知sin α、cos α是方程2x 2-x -m =0的两根,则m =________. [答案] 34[解析] 由题意,得⎩⎨⎧sin α+cos α=12sin αcos α=-m2,解得m =34,又m =34时满足方程2x 2-x -m =0有两根.14.已知向量a =(1,0),b =(1,1),则(1)与2a +b 同向的单位向量的坐标表示为________; (2)向量b -3a 与向量a 夹角的余弦值为________. [答案] (1)(31010,1010) (2)-255[解析] (1)2a +b =2(1,0)+(1,1)=(3,1),∴与2a +b 同向的单位向量为(31010,1010).(2)cos 〈a ,b -3a 〉=a ·(b -3a )|a |·|b -3a |=(1,0)·(-2,1)5=-255.15.已知函数f (x )=a sin2x +cos2x (a ∈R )的图象的一条对称轴方程为x =π12,则a 的值为________.[答案]33[解析] 由题意,得f (0)=f ⎝⎛⎭⎫π6,即a sin0+cos0=a sin π3+cos π3,∴32a =12,∴a =33. 16.设单位向量m =(x ,y ),b =(2,-1).若m ⊥b ,则|x +2y |=________. [答案]5[解析] 本题考查了向量垂直,坐标运算、数量积等.由m ⊥b 知m ·b =0,即2x -y =0①,又由m 为单位向量,所以|m |=1,即x 2+y 2=1 ②,由①②联立解得⎩⎨⎧x =55y =255或⎩⎨⎧x =-55y =-255,所以|x +2y |= 5.三、解答题(本大题共6个大题,共74分,解答应写出文字说明,证明过程或演算步骤) 17.(本小题满分12分)(2014·安徽合肥市撮镇中学高一月考) (1)已知A (1,2)、B (3,5)、C (9,14),求证:A 、B 、C 三点共线; (2)已知|a |=2,|b |=3,(a -2b )·(2a +b )=-1,求a 与b 的夹角. [解析] (1)AB →=(2,3),AC →=(8,12), ∴AC →=4AB →, ∴AC →与AB →共线. 又∵AC →与AB →有公共点A , ∴A 、B 、C 三点共线. (2)设a 与b 的夹角为θ,则(a -2b )·(2a +b )=2a 2-3a ·b -2b 2=2×4-3×2×3×cos θ-2×9=-10-18cos θ=-1,∴cos θ=-12.∵θ∈[0,π],∴θ=2π3.18.(本小题满分12分)已知两个非零向量a 、b 满足(a +b )⊥(2a -b ),(a -2b )⊥(2a +b ),求a 与b 的夹角的余弦值.[解析] 由(a +b )⊥(2a -b ),(a -2b )⊥(2a +b ),得⎩⎪⎨⎪⎧(a +b )·(2a -b )=0,(a -2b )·(2a +b )=0,即⎩⎪⎨⎪⎧2a 2+a ·b -b 2=0,①2a 2-3a ·b -2b 2=0.② 由①×3+②得a 2=58b 2,∴|a |2=58|b |2,即|a |=58|b |.③由①得a ·b =b 2-2a 2=|b |2-2×58|b |2=-14b 2,④由③④可得cos θ=a ·b|a |·|b |=-14|b |258|b |·|b |=-1010.∴a 、b 的夹角的余弦值为-1010. 19.(本小题满分12分)函数f (x )=A sin(ωx -π6)+1(A >0,ω>0)的最大值为3,其图象相邻两条对称轴之间的距离为π2.(1)求函数f (x )的解析式;(2)设α∈(0,π2),f (α2)=2,求α的值.[解析] (1)∵函数f (x )的最大值为3, ∴A +1=3,即A =2.∵函数图象的相邻两条对称轴之间的距离为π2,∴最小正周期T =π,∴ω=2.故函数f (x )的解析式为y =2sin(2x -π6)+1.(2)∵f (α2)=2sin(α-π6)+1=2,即sin(α-π6)=12,∵0<α<π2,∴-π6<α-π6<π3,∴α-π6=π6,故α=π3.20.(本小题满分12分)已知a =3i -4j ,a +b =4i -3j , (1)求向量a 、b 的夹角;(2)对非零向量p 、q ,如果存在不为零的常数α、β使αp +βq =0,那么称向量p 、q 是线性相关的,否则称向量p 、q 是线性无关的.向量a 、b 是线性相关还是线性无关的?为什么?[解析] (1)b =(a +b )-a =i +j ,设a 与b 夹角为θ,根据两向量夹角公式: cos θ=a ·b |a ||b |=3-452=-210.故夹角θ=π-arccos210. (2)设常数α,β使得αa +βb =0,那么⎩⎪⎨⎪⎧ 3α+β=0-4α+β=0⇒⎩⎪⎨⎪⎧α=0β=0,所以不存在非零常数α,β,使得αa +βb =0成立.故a 和b 线性无关.21.(本小题满分12分)如图所示,函数y =A sin(ωx +φ)(A >0,ω>0,|φ|≤π2)的图象上相邻的最高点与最低点的坐标分别为⎝⎛⎭⎫5π12,3和⎝⎛⎭⎫11π12,-3,求该函数的解析式.[解析] 由题意知A =3,设最小正周期为T , 则T 2=11π12-5π12=π2, ∴T =π,又T =2πω,∴ω=2.∴函数解析式为y =3sin(2x +φ). ∵点⎝⎛⎭⎫5π12,3在图象上, ∴3=3sin ⎝⎛⎭⎫2×5π12+φ, ∴sin ⎝⎛⎭⎫5π6+φ=1. ∴5π6+φ=2k π+π2, ∴φ=2k π-π3,k ∈Z .∵|φ|≤π2,∴φ=-π3.∴函数的解析式为y =3sin ⎝⎛⎭⎫2x -π3.22.(本小题满分14分)已知函数f (x )=23sin(3ωx +π3),其中ω>0.(1)若f (x +θ)是周期为2π的偶函数,求ω及θ的值; (2)若f (x )在(0,π3]上是增函数,求ω的最大值.[解析] (1)由函数解析式f (x )=23sin(3ωx +π3),ω>0整理可得f (x +θ)=23sin[3ω(x +θ)+π3]=23sin(3ωx +3ωθ+π3),由f (x +θ)的周期为2π,根据周期公式2π=2π3ω,且ω>0,得ω=13,∴f (x +θ)=23sin(x +θ+π3), ∵f (x +θ)为偶函数,定义域x ∈R 关于原点对称, 令g (x )=f (x +θ)=23sin(x +θ+π3),∴g (-x )=g (x ),23sin(x +θ+π3)=23sin(-x +θ+π3),∴x +θ+π3=π-(-x +θ+π3)+2k π,k ∈Z ,∴θ=k π+π6,k ∈Z .∴ω=13,θ=k π+π6,k ∈Z .(2)∵ω>0,∴2k π-π2≤3ωx +π3≤π2+2k π,k ∈Z ,∴2k π3ω-15π18ω≤x ≤π18ω+2k π3ω,k ∈Z ,若f (x )在(0,π3]上是增函数,∴(0,π3]为函数f (x )的增区间的子区间,∴π18ω≥π3,∴ω≤16,∴ωmax =16.。
2017-高中数学必修4期末考试2017年高一数学必修4模块期末考试一、选择题1.若向量OO=(-5,4),OO=(7,9),则与向量OO同向的单位向量坐标是()A.(−13,−13)B.(13,13)C.(−13,13)D.(13,−13)2.下列各式中值等于125的是()A。
5^3 B。
25^2/5 C。
3^5 D。
125^1/33.已知O(O)=OOOO+3OOOO(O∈O),函数y=f(x+φ)的图象关于直线x=0对称,则φ的值可以是()A。
2 B。
3 C。
4 D。
64.在四边形ABCD中,则四边形ABCD OO=O+2O,OO=−4O−O,OO=−5O−3O,的形状是()A。
长方形 B。
平行四边形 C。
菱形 D。
梯形5.如图所示,在△ABC中,AD=DB,F在线段CD上,设OO=O,OO=O,则O+O的最小值为()A。
6+2√2 B。
9/4 C。
9 D。
6+4√26.在△ABC中,OO=O,OO=O.若点D满足OO=(O+3O)/3=2OOOO,则O的坐标为()A。
(2b/3.c/3) B。
(b/3.2c/3) C。
(2c/3.b/3) D。
(c/3.2b/3)7.在△ABC中,tanAsin2B=tanBsin2A,则△ABC一定是()三角形.A。
锐角 B。
直角 C。
等腰 D。
等腰或直角8.将函数f(x)=cos2ωx的图象向右平移4π个单位,得到函数y=g(x)的图象,若y=g(x)在[−4,6]上为减函数,则正实数ω的最大值为()A。
2 B。
1 C。
2/π D。
39.cos555°的值为()A。
6+2√13/2 B。
2-6√13/2 C。
6-2√13/2 D。
-6+2√13/210.满足条件a=4,b=5,A=45°的△ABC的个数是()A。
1 B。
2 C。
无数个 D。
不存在11.已知角α是第四象限角,角α的终边经过点P(4,y),且sinα=5/13,则tanα的值是()A。
一、选择题1.已知函数()sin()f x A x ωϕ=+(0A >,0>ω,2πϕ<)的部分图像如图所示,则()f x 的解析式为( )A .()2sin 26f x x π⎛⎫=- ⎪⎝⎭B .()2sin 26f x x π⎛⎫=+ ⎪⎝⎭C .()3sin 26f x x π⎛⎫=-⎪⎝⎭D .1()3sin 26f x x π⎛⎫=-⎪⎝⎭ 2.已知关于x 的方程2cos ||2sin ||20(0)+-+=≠a x x a a 在(2,2)x ππ∈-有四个不同的实数解,则实数a 的取值范围为( ) A .(,0)(2,)-∞+∞B .(4,)+∞C .(0,2)D .(0,4)3.已知角α顶点在坐标原点,始边与x 轴非负半轴重合,终边过点()3,4P -,将α的终边逆时针旋转180︒,这时终边所对应的角是β,则cos β=( ) A .45-B .35C .35D .454.《九章算术》是我国古代数学成就的杰出代表作,其中《方田》章给出计算弧田面积所用的经验方式为:弧田面积12=(弦⨯矢+矢2),弧田(如图)由圆弧和其所对弦所围成,公式中“弦”指圆弧所对弦长,“矢”等于半径长与圆心到弦的距离之差,现有弧AB 长为83π,半径等于4米的弧田,按照上述经验公式计算所得弧田面积约是( )3 1.73≈)A .6平方米B .9平方米C .12平方米D .15平方米5.函数1sin3y x =-的图像与直线3x π=,53x π=及x 轴所围成的图形的面积是( ) A .23π B .πC .43π D .53π 6.已知奇函数()f x 满足()(2)f x f x =+,当(0,1)x ∈时,函数()2x f x =,则12log 23f ⎛⎫= ⎪⎝⎭( ) A .1623-B .2316-C .1623D .23167.《九章算术》中《方田》章有弧田面积计算问题,术日:以弦乘矢,矢又自乘,并之,二而一.其大意是弧田面积计算公式为:弧田面积12=(弦×矢+矢×矢).弧田是由圆弧(弧田弧)及圆弧两端点的弦(弧田弦)围成的平面图形,公式中的“弦”指的是弧田弦的长,“矢”指的是弧田所在圆的半径与圆心到孤田弦的距离之差,现有一弧田,其矢长等于8米,若用上述弧田面积计算公式算得该弧田的面积为128平方米,则其弧田弧所对圆心角的正弦值为( ) A .60169B .120169C .119169D .591698.已知函数()[][]sin cos cos sin f x x x =+,其中[]x 表示不超过实数x 的最大整数,则( )A .()f x 是奇函数B .π2π33f f ⎛⎫⎛⎫<⎪ ⎪⎝⎭⎝⎭C .()f x 的一个周期是πD .()f x 的最小值小于09.下列函数中,既是偶函数,又在(),0-∞上是增函数的是( ) A .()22xxf x -=- B .()23f x x =-C .()2ln =-f x xD .()cos3=f x x x10.现有四个函数:①y =x |sin x |,②y =x 2cos x ,③y =x ·e x ;④1y x x=+的图象(部分)如下,但顺序被打乱,则按照从左到右将图象对应的函数序号安排正确的一组是( )A .①②③④B .①③②④C .②①③④D .③②①④11.若函数()22()sin 23cos sin f x x x x =+-的图像为E ,则下列结论正确的是( ) A .()f x 的最小正周期为2π B .对任意的x ∈R ,都有()()3f x f x π=-C .()f x 在7(,)1212ππ上是减函数D .由2sin 2y x =的图像向左平移3π个单位长度可以得到图像E 12.函数22y cos x sinx =- 的最大值与最小值分别为( ) A .3,-1 B .3,-2 C .2,-1D .2,-2二、填空题13.下列判断正确的是___________(将你认为所有正确的情况的代号填入横线上). ①函数1tan 21tan 2xy x+=-的最小正周期为π;②若函数()lg f x x =,且()()f a f b =,则1ab =; ③若22tan 3tan 2αβ=+,则223sin sin 2αβ-=;④若函数()2221sin 41x xy x ++=+的最大值为M ,最小值为N ,则2M N +=.14.函数()()sin f x x ωϕ=+的部分图象如图所示,则()f x 的单调递增区间为___________.15.sin 75=______.16.如图,从气球A 上测得正前方的B ,C 两点的俯角分别为75︒,30,此时气球的高是60m ,则BC 的距离等于__________m .17.如图,游乐场所的摩天轮匀速旋转,每转一周需要l2min ,其中心O 离地面45米,半径40米.如果你从最低处登上摩天轮,那么你与地面的距离将随时间的变化而变化,以你登上摩天轮的时刻开始计时,请问:当你第六次距离地面65米时,用了________分钟?18.函数251612()sin (0)236x x f x x x x ππ-+⎛⎫=--> ⎪⎝⎭的最小值为_______. 19.关于函数()4sin(2)(),3f x x x R π=+∈有下列命题:①由12()()0f x f x ==可得12x x -必是π的整数倍;②()y f x =的图象关于点(,0)6π-对称;③()y f x =的表达式可改写为4cos(2);6y x π=-④()y f x =的图象关于直线6x π=-对称.其中正确命题的序号是_________. 20.给出下列命题: ①函数()4cos 23f x x π⎛⎫=+⎪⎝⎭的一个对称中心为5,012π⎛⎫-⎪⎝⎭; ②若α,β为第一象限角,且αβ>,则tan tan αβ>;③在ABC ∆中,内角A ,B ,C 所对的边分别为a ,b ,c ,若40a =,20b =,25B =︒,则ABC ∆必有两解.④函数sin 2y x =的图象向左平移4π个单位长度,得到sin 24y x π⎛⎫=+ ⎪⎝⎭的图象.其中正确命题的序号是 _________(把你认为正确的序号都填上).三、解答题21.已知函数()()1sin 226f x x x R π⎛⎫=+∈ ⎪⎝⎭. (1)填写下表,并用“五点法”画出()f x 在[0,]π上的图象;26x π+6π 136πxπ ()f x(2)将()y f x =的图象向上平移1个单位,横坐标缩短为原来的2,再将得到的图象上所有点向右平移4π个单位后,得到()g x 的图象,求()g x 的对称轴方程. 22.现给出以下三个条件:①()f x 的图象与x 轴的交点中,相邻两个交点之间的距离为2π;②()f x 的图象上的一个最低点为2,23A π⎛⎫- ⎪⎝⎭; ③()01f =.请从上述三个条件中任选两个,补充到下面试题中的横线上,并解答该试题. 已知函数()()2sin 05,02f x x πωϕωϕ⎛⎫=+<<<< ⎪⎝⎭,满足________,________. (1)根据你所选的条件,求()f x 的解析式; (2)将()f x 的图象向左平移6π个单位长度,得到()g x 的图象求函数()()1y f x g x =-的单调递增区间.23.函数()cos()0,02f x x πωϕωϕ⎛⎫=+><<⎪⎝⎭的部分图象如图所示.(1)写出()f x 的解析式; (2)将函数()f x 的图象向右平移12π个单位后得到函数()g x 的图象,讨论关于x 的方程()3()0f x g x m -=(11)m -<≤在区间,2ππ⎡⎤-⎢⎥⎣⎦上的实数解的个数.24.已知函数π()3sin 26f x x ⎛⎫=+⎪⎝⎭. (1)用“五点法”画出函数()y f x =在一个周期内的简图;(2)说明函数()y f x =的图像可以通过sin y x =的图像经过怎样的变换得到?(3)若003()[2π3π]2f x x =∈,,,写出0x 的值. 25.已知函数()sin()0,0,||2f x A x A πωϕωϕ⎛⎫=+>>< ⎪⎝⎭,,28M π⎛⎫⎪⎝⎭、5,28N π⎛⎫- ⎪⎝⎭分别为其图象上相邻的最高点、最低点. (1)求函数()f x 的解析式; (2)求函数()f x 在0,2π⎡⎤⎢⎥⎣⎦上的单调区间和值域. 26.已知函数()2sin(2)(0)6f x x πωω=+>.(1)若点5(,0)8π是函数()f x 图像的一个对称中心,且(0,1)ω∈,求函数()f x 在3[0,]4π上的值域; (2)若函数()f x 在(,)33π2π上单调递增,求实数ω的取值范围.【参考答案】***试卷处理标记,请不要删除一、选择题 1.C解析:C 【分析】 本题首先可根据33π44T 求出ω,然后根据当43x π=时函数()f x 取最大值求出ϕ,最后代入30,2⎛⎫- ⎪⎝⎭,即可求出A 的值. 【详解】因为4π7π3π3124,所以33π44T ,T π=,因为2T πω=,所以2ω=,()sin(2)f x A x ϕ=+,因为当43x π=时函数()sin(2)f x A x ϕ=+取最大值, 所以()42232k k Z ππϕπ⨯+=+∈,()26k k Z πϕπ=-+∈,因为2πϕ<,所以6πϕ=-,()sin 26f x A x π⎛⎫=-⎪⎝⎭, 代入30,2⎛⎫- ⎪⎝⎭,3sin 26A π⎛⎫-=- ⎪⎝⎭,解得3A =,()3sin 26f x x π⎛⎫=- ⎪⎝⎭, 故选:C. 【点睛】关键点点睛:本题考查根据函数图像求函数解析式,对于()sin()f x A x ωϕ=+,可通过周期求出ω,通过最值求出A ,通过代入点坐标求出ϕ,考查数形结合思想,是中档题.2.D解析:D 【分析】令2()cos ||2sin ||2(0)=+-+≠f x a x x a a ,易知函数()f x 是偶函数,将问题转化为研究当(0,2)x π∈时,2()cos 2sin 2=+-+f x a x x a 有两个零点,令sin t x =,则转化为2()22(0)=--≠h t at t a 有一个根(1,1)t ∈-求解.【详解】当(2,2)x ππ∈-,2()cos ||2sin ||2(0)=+-+≠f x a x x a a ,则()()f x f x -=,函数()f x 是偶函数,由偶函数的对称性,只需研究当(0,2)x π∈时,2()cos 2sin 2=+-+f x a x x a 有两个零点,设sin t x =,则2()22(0)=--≠h t at t a 有一个根(1,1)t ∈- ①当0a <时,2()22=--h t at t 是开口向下,对称轴为10t a=<的二次函数,(0)20h =-<则(1)0->=h a ,这与0a <矛盾,舍去;②当0a >时,2()22=--h t at t 是开口向上,对称轴为10t a=>的二次函数, 因为(0)20h =-<,(1)220-=+->=h a a , 则存在(1,0)t ∈-,只需(1)220=--<h a ,解得4a <, 所以04a <<.综上,非零实数a 的取值范围为04a <<. 故选:D . 【点睛】方法点睛:已知函数有零点(方程有根)求参数值(取值范围)常用的方法: (1)直接法:直接求解方程得到方程的根,再通过解不等式确定参数范围; (2)分离参数法:先将参数分离,转化成求函数的值域问题加以解决;(3)数形结合法:先对解析式变形,进而构造两个函数,然后在同一平面直角坐标系中画出函数的图象,利用数形结合的方法求解3.B解析:B 【分析】先根据已知条件求解出cos α的值,然后根据,αβ之间的关系结合诱导公式求解出cos β的值. 【详解】 因为3cos 5α==,且180βα=+︒, 所以()3cos cos 180cos 5βαα=+︒=-=-, 故选:B. 【点睛】结论点睛:三角函数定义有如下推广:设点(),P x y 为角α终边上任意一点且不与原点重合,r OP =,则()sin ,cos ,tan 0y x yx r r xααα===≠. 4.B解析:B 【分析】根据已知求出矢2=,弦2AD ==. 【详解】由题意可得:823=43AOB ππ∠=,4OA =,在Rt AOD 中,可得:3AOD π∠=,6DAO π∠=,114222OD AO ==⨯=, 可得:矢422=-=, 由3sin4233AD AO π==⨯=, 可得:弦243AD ==, 所以:弧田面积12=(弦⨯矢+矢221)(4322)43292=⨯+=+≈平方米.故选:B 【点睛】方法点睛:有关扇形的计算,一般是利用弧长公式l r α=、扇形面积公式12S lr =及直角三角函数求解.5.C解析:C 【分析】作出函数1sin3y x =-的图像,利用割补法,补成长方形,计算面积即可. 【详解】作出函数1sin3y x =-的图象,如图所示,利用割补法,将23π到π部分的图象与x 轴围成的图形补到图中3π到23π处阴影部分,凑成一个长为3π,宽为2的长方形,后面π到53π,同理;∴1sin3y x =-的图象与直线3x π=,53x π=及x 轴所围成的面积为24233ππ⨯=,故选:C. 【点睛】用“五点法”作()sin y A ωx φ=+的简图,主要是通过变量代换,设z x ωϕ=+,由z 取0,2π,π,32π,2π来求出相应的x ,通过列表,计算得出五点坐标,描点后得出图象. 6.B解析:B【分析】由已知得到(2)()f x f x +=,即得函数的周期是2,把12(log 23)f 进行变形得到223()16f log -, 由223(0,1)16log ∈满足()2x f x =,求出即可. 【详解】(2)()f x f x +=,所以函数的周期是2.根据对数函数的图象可知12log 230<,且122log 23log 23=-;奇函数()f x 满足(2)()f x f x +=和()()f x f x -=-则2312222223(log 23)(log )(log 23)(log 234)()16f f f f f log =-=-=--=-, 因为223(0,1)16log ∈ 2231622323()21616log f log ∴-=-=-,故选:B . 【点睛】考查学生应用函数奇偶性的能力,函数的周期性的掌握能力,以及运用对数的运算性质能力.7.B解析:B 【分析】求出弦长,再求出圆的半径,然后利用三角形面积求解. 【详解】如图,由题意8CD =,弓琖ACB 的面积为128,1(8)81282AB ⨯+⨯=,24AB =, 设所在圆半径为R ,即OA OB R ==,则22224(8)2R R ⎛⎫=-+ ⎪⎝⎭,解得13R =, 5OD =,由211sin 22AB OD OA AOB ⨯=∠得 2245120sin 13169AOB ⨯∠==. 故选:B .【点睛】关键点点睛:本题考查扇形与弓形的的有关计算问题,解题关键是读懂题意,在读懂题意基础上求出弦长AB ,然后求得半径R ,从而可解决扇形中的所有问题.8.D解析:D 【分析】利用奇函数的性质判断A ,分别求3f π⎛⎫⎪⎝⎭和23f π⎛⎫⎪⎝⎭判断大小,取特殊值验证的方法判断C ,分区间计算一个周期内的最小值,判断选项D 。
第一章章末检测班级____ 姓名____ 考号____ 分数____本试卷满分150分,考试时间120分钟.一、选择题:本大题共12题,每题5分,共60分.在下列各题的四个选项中,只有一个选项是符合题目要求的.1.下列命题中正确的是( )A .终边相同的角一定相等B .锐角都是第一象限角C .第一象限角都是锐角D .小于90°的角都是锐角答案:B2.已知sin(2π-α)=45,α∈⎝⎛⎭⎫3π2,2π,则sin α+cos αsin α-cos α等于( ) A.17 B .-17C .-7D .7答案:A解析:∵sin(2π-α)=sin(-α)=-sin α=45, ∴sin α=-45. ∵α∈⎝⎛⎭⎫3π2,2π,∴cos α=1-sin 2α=35. ∴sin α+cos αsin α-cos α=-45+35-45-35=-15-75=17. 3.已知角α的终边经过点(3,-1),则角α的最小正值是( )A.2π3B.11π6C.5π6D.3π4答案:B解析:∵sin α=-12=-12,且α的终边在第四象限,∴α=116π. 4.若函数y =2cos ωx 在区间⎣⎡⎦⎤0,2π3上递减,且有最小值1,则ω的值可以是( ) A .2 B.12C .3 D.13答案:B解析:由y =2cos ωx 在⎣⎡⎦⎤0,2π3上是递减的,且有最小值为1,则有f ⎝⎛⎭⎫2π3=1,即2×cos ⎝⎛⎭⎫ω×2π3=1,cos ⎝⎛⎭⎫2π3ω=12,检验各选项,得出B 项符合. 5.sin(-1740°)的值是( )A .-32B .-12C.12D.32答案:D解析:sin(-1740°)=sin60°=32. 6.函数f (x )=3sin ⎝⎛⎭⎫2x -π6在区间⎣⎡⎦⎤0,π2上的值域为( ) A.⎣⎡⎦⎤-32,32 B.⎣⎡⎦⎤-32,3 C.⎣⎡⎦⎤-332,332 D.⎣⎡⎦⎤-332,3 答案:B解析:当x ∈⎣⎡⎦⎤0,π2时,2x -π6∈⎣⎡⎦⎤-π6,5π6,sin ⎝⎛⎭⎫2x -π6∈⎣⎡⎦⎤-12,1,故3sin ⎝⎛⎭⎫2x -π6∈⎣⎡⎦⎤-32,3,即此时函数f (x )的值域是⎣⎡⎦⎤-32,3. 7.下列函数中,在⎝⎛⎭⎫0,π2上是增函数的偶函数是( ) A .y =|sin x | B .y =|sin2x |C .y =|cos x |D .y =tan x答案:A解析:作图比较可知.8.要得到函数y =cos(3x +2)的图象,只要将函数y =cos3x 的图象( )A .向左平移2个单位B .向右平移2个单位C .向左平移23个单位 D .向右平移23个单位 答案:C解析:∵y =cos(3x +2)=cos3⎝⎛⎭⎫x +23, ∴只要将函数y =cos3x 的图象向左平移23个单位即可. 9.定义在R 上的函数f (x )既是偶函数又是周期函数,若f (x )的最小正周期是π,且当x ∈⎣⎡⎦⎤0,π2时,f (x )=sin x ,则f ⎝⎛⎭⎫5π3的值为( ) A .-12 B.32C .-32 D.12答案:B解析:f ⎝⎛⎭⎫5π3=f ⎝⎛⎭⎫π3=sin π3=32. 10.若函数f (x )=2sin ⎝⎛⎭⎫ax +π4(a >0)的最小正周期为1,且g (x )=⎩⎪⎨⎪⎧sin ax (x <0)g (x -1)(x ≥0),则g ⎝⎛⎭⎫56等于( )A .-12 B.12C .-32 D.32答案:C解析:由条件得f (x )=2sin ⎝⎛⎭⎫ax +π4,又函数的最小正周期为1,故2πa=1,∴a =2π,∴g ⎝⎛⎭⎫56=g ⎝⎛⎭⎫-16=sin ⎝⎛⎭⎫-a 6= sin ⎝⎛⎭⎫-π3=-32. 11.已知ω>0,函数f (x )=sin(ωx +π4)在⎝⎛⎭⎫π2,π上单调递减,则ω的取值范围是( ) A.⎣⎡⎦⎤12,54 B.⎣⎡⎦⎤12,34 C.⎝⎛⎦⎤0,12 D .(0,2] 答案:A解析:因为ω>0,函数f (x )=sin ⎝⎛⎭⎫ωx +π4在⎝⎛⎭⎫π2,π上单调递减,所以ωπ2+π4≤ωx +π4≤ωπ+π4,所以⎩⎨⎧ωπ2+π4≥π2,ωπ+π4≤3π2,解得12≤ω≤54,故选A. 12.下图为一半径为3m 的水轮,水轮圆心O 距离水面2m ,已知水轮自点A 开始旋转,15s 旋转一圈.水轮上的点P 到水面距离y (m)与时间x (s)满足函数关系式y =A sin(ωx +φ)+2,则有( )A .ω=2π15,A =3B .ω=152π,A =3 C .ω=2π15,A =5 D .ω=152π,A =5 答案:A解析:∵T =15,故ω=2πT =2π15,显然y max -y min 的值等于圆O 的直径长,即y max -y min =6,故A =y max -y min 2=62=3. 二、填空题:本大题共4小题,每小题5分,共20分.把答案填在题中横线上.13.已知sin ⎝⎛⎭⎫π4-α=m ,则cos ⎝⎛⎭⎫π4+α=________. 答案:m解析:cos ⎝⎛⎭⎫π4+α=cos ⎣⎡⎦⎤π2-⎝⎛⎭⎫π4-α=sin ⎝⎛⎭⎫π4-α=m . 14.已知f (x )的定义域为(0,1],则f (sin x )的定义域是________.答案:(2k π,2k π+π),k ∈Z解析:由0<sin x ≤1得2k π<x <2k π+π(k ∈Z ).15.函数y =sin x +cos x -12的定义域为________. 答案:{x |2k π≤x ≤2k π+π3,k ∈Z }.解析:由题意知⎩⎪⎨⎪⎧ sin x ≥0cos x -12≥0, 即⎩⎪⎨⎪⎧sin x ≥0cos x ≥12, 如图,结合三角函数线知: ⎩⎪⎨⎪⎧2k π≤x ≤2k π+π (k ∈Z )2k π-π3≤x ≤2k π+π3 (k ∈Z ), 解得2k π≤x ≤2k π+π3(k ∈Z ), ∴函数的定义域为{x |2k π≤x ≤2k π+π3,k ∈Z }. 16.关于函数f (x )=4sin ⎝⎛⎭⎫2x +π3(x ∈R )有下列命题,其中正确的是________. ①y =f (x )的表达式可改写为y =4cos ⎝⎛⎭⎫2x -π6; ②y =f (x )的图象关于点⎝⎛⎭⎫-π6,0对称; ③y =f (x )的最小正周期为2π;④y =f (x )的图象的一条对称轴为x =-π6. 答案:①②解析:4sin ⎝⎛⎭⎫2x +π3=4cos ⎝⎛⎭⎫2x -π6,故①②正确,③④错误. 三、解答题:本大题共6小题,共70分.解答应写出文字说明、证明过程或演算步骤.17.(10分)已知角α的终边经过点P ⎝⎛⎭⎫45,-35. (1)求sin α的值;(2)求sin ⎝⎛⎭⎫π2-αsin (α+π)·tan (α-π)cos (3π-α)的值. 解:(1)∵|OP |=1,∴点P 在单位圆上.由正弦函数的定义得sin α=-35. (2)原式=cos α-sin α·tan α-cos α=sin αsin α·cos α=1cos α. 由余弦函数的定义得cos α=45,故所求式子的值为54. 18.(12分)已知sin θ,cos θ是关于x 的方程x 2-2 2ax +a =0的两个根.(1)求实数a 的值;(2)若θ∈⎝⎛⎭⎫-π2,0,求sin θ-cos θ的值. 解:(1)∵(sin θ+cos θ)2-2sin θcos θ=1, 又∵⎩⎨⎧sin θ+cos θ=2 2a ,sin θ·cos θ=a , ∴a =12或a =-14,经检验Δ≥0都成立, ∴a =12或a =-14.(2)∵θ∈⎝⎛⎭⎫-π2,0,∴a <0, ∴a =-14且sin θ-cos θ<0, ∴sin θ-cos θ=-62. 19.(12分)若函数f (x )=a -b cos x 的最大值为52,最小值为-12,求函数g (x )=-4a sin bx 的最值和最小正周期.解:当b >0时,⎩⎨⎧ a +b =52a -b =-12⇒⎩⎪⎨⎪⎧ a =1,b =32, g (x )=-4sin 32x . 最大值为4,最小值为-4,最小正周期为4π3. 当b <0时,⎩⎨⎧ a -b =52a +b =-12⇒⎩⎪⎨⎪⎧a =1,b =-32, g (x )=-4sin(-32x )=4sin 32x . 最大值为4,最小值为-4,最小正周期为4π3. b =0时不符合题意.综上所述,函数g (x )的最大值为4,最小值为-4,最小正周期为4π3. 20.(12分)如图,单摆从某点开始来回摆动,离开平衡位置的距离s (cm)和时间t (s)的函数关系是s =A sin(ω t +φ),0<φ<π2,根据图象,求:(1)函数解析式;(2)单摆摆动到最右边时,离开平衡位置的距离是多少?(3)单摆来回摆动一次需要多长时间?解:(1)由图象知,34T =1112-16=34,所以T =1.所以ω=2πT=2π. 又因为当t =16时取得最大值,所以令2π·16+φ=π2+2k π, ∵φ∈⎝⎛⎭⎫0,π2. 所以φ=π6.又因为当t =0时,s =3, 所以3=A sin π6,所以A =6,所以函数解析式为s =6sin ⎝⎛⎭⎫2πt +π6. (2)因为A =6,所以单摆摆动到最右边时,离开平衡位置6cm.(3)因为T =1,所以单摆来回摆动一次需要 1s.21.(12分)设函数f (x )=3sin(ωx +π6),ω>0,x ∈(-∞,+∞),且以π2为最小正周期. (1)求f (0);(2)求f (x )的解析式;(3)已知f ⎝⎛⎭⎫α4+π12=95,求sin α的值.解:(1)f (0)=3sin ⎝⎛⎭⎫ω×0+π6=3sin π6=32. (2)∵T =2πω=π2,∴ω=4,所以f (x )的解析式为:f (x )=3sin(4x +π6). (3)由f ⎝⎛⎭⎫α4+π12=95得3sin ⎣⎡⎦⎤4⎝⎛⎭⎫α4+π12+π6=95,即sin ⎝⎛⎭⎫α+π2=35,∴cos α=35, ∴sin α=±1-cos 2α=± 1-⎝⎛⎭⎫352=±45. 22.(12分)已知函数f (x )=2cos ⎝⎛⎭⎫2x -π4,x ∈R . (1)求函数f (x )的最小正周期和单调递增区间;(2)当x ∈⎣⎡⎦⎤-π8,π2时,方程f (x )=k 恰有两个不同的实数根,求实数k 的取值范围; (3)将函数f (x )=2cos ⎝⎛⎭⎫2x -π4的图象向右平移m (m >0)个单位后所得函数g (x )的图象关于原点中心对称,求m 的最小值.解:(1)因为f (x )=2cos ⎝⎛⎭⎫2x -π4,所以函数f (x )的最小正周期为T =2π2=π, 由-π+2k π≤2x -π4≤2k π,得-3π8+k π≤x ≤π8+k π,故函数f (x )的递增区间为⎣⎡⎦⎤-3π8+k π,π8+k π(k ∈Z ); (2)因为f (x )=2cos ⎝⎛⎭⎫2x -π4在区间⎣⎡⎦⎤-π8,π8上为增函数,在区间⎣⎡⎦⎤π8,π2上为减函数 又f ⎝⎛⎭⎫-π8=0,f ⎝⎛⎭⎫π8=2,f ⎝⎛⎭⎫π2=2cos ⎝⎛⎭⎫π-π4=-2cos π4=-1, ∴当k ∈[0,2)时方程f (x )=k 恰有两个不同实根.(3)∵f (x )=2sin ⎝⎛⎭⎫-2x +3π4=2sin ⎝⎛⎭⎫2x +π4=2sin2⎝⎛⎭⎫x +π8 ∴g (x )=2sin2⎝⎛⎭⎫x +π8-m = 2sin ⎝⎛⎭⎫2x +π4-2m 由题意得π4-2m =2k π,∴m =-k π+π8,k ∈Z 当k =0时,m =π8,此时g (x )=2sin2x 关于原点中心对称.。
一、选择题1.若函数()sin 2f x x =与()2cos g x x =都在区间(),a b 上单调递减,则b a -的最大值是( ) A .π4B .π3C .π2D .2π32.斐波那契螺线又叫黄金螺线,广泛应用于绘画、建筑等,这种螺线可以按下列方法画出:如图,在黄金矩形ABCD (512AB BC -=)中作正方形ABFE ,以F 为圆心,AB 长为半径作圆弧BE ;然后在矩形CDEF 中作正方形DEHG ,以H 为圆心,DE 长为半径作圆弧EG ;……;如此继续下去,这些圆弧就连成了斐波那契螺线.记圆弧BE ,EG ,GI 的长度分别为,,l m n ,对于以下四个命题:①l m n =+;②2m l n =⋅;③2m l n =+;④211m l n=+.其中正确的是( )A .①②B .①④C .②③D .③④3.函数()sin()(0||)2,f x x πωϕωϕ=+><的部分函数图象如图所示,将函数()f x 的图象先向右平移3π个单位长度,然后向上平移1个单位长度,得到函数()g x 的解析式为( )A .()sin 21g x x =-B .()sin 21g x x =+C .()sin(2)13g x x π=--D .()sin(2)13g x x π=-+4.一观览车的主架示意图如图所示,其中O 为轮轴的中心,距地面32m (即OM 长),巨轮的半径长为30m ,2AM BP m ==,巨轮逆时针旋转且每12分钟转一圈,若点M 为吊舱P 的初始位置,经过t 分钟,该吊舱P 距离地面的高度为( )A .30sin 30122t ππ⎛⎫-+ ⎪⎝⎭B .30sin 3062t ππ⎛⎫-+⎪⎝⎭ C .30sin 3262t ππ⎛⎫-+⎪⎝⎭D .30sin 62t ππ⎛⎫-⎪⎝⎭ 5.设函数()3sin()10,2f x x πωϕωϕ⎛⎫=++><⎪⎝⎭的最小正周期为π,其图象关于直线3x π=对称,则下列说法正确是( )A .()f x 的图象过点30,2⎛⎫ ⎪⎝⎭; B .()f x 在2,123ππ⎡⎤⎢⎥⎣⎦上单调递减; C .()f x 的一个对称中心是7,012π⎛⎫⎪⎝⎭; D .将()f x 的图象向左平移12ϕ个单位长度得到函数3sin 21y x =+ 的图象. 6.若函数()()sin 0f x x ωω=>在区间0,3π⎡⎤⎢⎥⎣⎦上单调递增,在区间,32ππ⎡⎤⎢⎥⎣⎦上单调递减,则ω=( ) A .34B .14C .32D .127.已知函数sin()0,0,||2y A x b A πωϕωϕ⎛⎫=++>>< ⎪⎝⎭的图象上相邻的一个最大值点与对称中心分别为2,39π⎛⎫⎪⎝⎭,,018π⎛⎫⎪⎝⎭,则函数()f x 的单调增区间为( )A .222,3939k k ππππ⎛⎫-+ ⎪⎝⎭,k Z ∈ B .242,3939k k ππππ⎛⎫--⎪⎝⎭,k Z ∈ C .227,318318k k ππππ⎛⎫++⎪⎝⎭,k Z ∈ D .272,318318k k ππππ⎛⎫--⎪⎝⎭,k Z ∈ 8.函数3cos 2cos 2sin cos cos510y x x x ππ=-的递增区间是( ) A .2[,]105k k ππππ-+(k Z ∈) B .2[,]510k k ππππ-+ (k Z ∈) C .3[,]510k k ππππ-- (k Z ∈) D .37[,]2020k k ππππ-+ (k Z ∈) 9.设函数()sin()(0,||)f x x ωϕωϕπ=+><.若5()8f x f π⎛⎫≤ ⎪⎝⎭对任意的实数x 都成立,且1108f π⎛⎫=⎪⎝⎭,()f x 在443,ππ⎛⎫-⎪⎝⎭单调,则( ) A .23ω=,12πϕ=B .23ω=,1112πϕ=- C .13ω=,1124πϕ=-D .13ω=,724πϕ= 10.已知函数()sin()f x A x ωϕ=+(0A >,0>ω,0ϕπ≤≤)的部分图象如图所示,则()f x 的解析式是( )A .()2sin 6f x x π⎛⎫=+⎪⎝⎭B .()2sin 3f x x π⎛⎫=+⎪⎝⎭C .()2sin 26f x x π⎛⎫=+ ⎪⎝⎭D .2n 2)3(si f x x π⎛⎫=+ ⎪⎝⎭11.函数()()sin 0,2f x x πωϕωϕ⎛⎫=+>< ⎪⎝⎭的部分图象如图所示,为了得sin 26y x π⎛⎫=- ⎪⎝⎭的图象,只需将()f x 的图象( )A .向右平移3π个单位长度 B .向右平移4π个单位长度 C .向左平移3π个单位长度D .向左平移4π个单位长度 12.函数22y cos x sinx =- 的最大值与最小值分别为( )A .3,-1B .3,-2C .2,-1D .2,-2二、填空题13.当ϕ=___________时,函数()()sin f x x ϕ=+在区间4,33ππ⎛⎫⎪⎝⎭上单调(写出一个值即可).14.“一湾如月弦初上,半壁澄波镜比明”描述的是敦煌八景之一的月牙泉.如图所示,月牙泉由两段在同一平面内的圆弧形岸连接围成.两岸连接点间距离为603米.其中外岸为半圆形,内岸圆弧所在圆的半径为60米.某游客绕着月牙泉的岸边步行一周,则该游客步行的路程为_______米.15.函数()()sin f x x ωϕ=+的部分图象如图所示,则()f x 的单调递增区间为___________.16.sin 75=______.17.如图,从气球A 上测得正前方的B ,C 两点的俯角分别为75︒,30,此时气球的高是60m ,则BC 的距离等于__________m .18.关于函数()sin |||sin |f x x x =+有下述四个结论: ①()f x 是偶函数;②()f x 在区间,2ππ⎛⎫⎪⎝⎭单调递增; ③()f x 在[],ππ-有4个零点;④()f x 的最大值为2; 其中所有正确结论的编号是_________. 19.已知将函数()sin()(06,)22f x x ππωθωθ=+<<-<<的图象向右平移3π个单位长度得到画()g x 的图象,若()f x 和()g x 的图象都关于4x π=对称,则ωθ⋅=________.20.已知函数()3)cos(2)(0)f x x x ϕϕϕπ=+-+<<是定义在R 上的奇函数,则()8f π-的值为______.三、解答题21.已知()2sin 216f x x a π⎛⎫=-++⎪⎝⎭(a 为常数). (1)求()f x 的最小正周期和单调递增区间;(2)若当0,2x π⎡⎤∈⎢⎥⎣⎦时,()f x 的最大值为4,求a 的值. 22.如图,某公园摩天轮的半径为40m ,圆心O 距地面的高度为50m ,摩天轮做匀速转动,每3min 转一圈,摩天轮上的点P 的起始位置在距地面最近处.(1)已知在(min)t 时点P 距离地面的高度为()sin()0,0,||2f t A t h A πωϕωϕ⎛⎫=++>>≤ ⎪⎝⎭,求2020t =时,点P 距离地面的高度;(2)当离地面(50203)m +以上时,可以看到公园的全貌,求转一圈中在点P 处有多少时间可以看到公园的全貌.23.把()cos()(0,||)2f x x πωϕωϕ=+><的图象纵坐标保持不变,横坐标变为原来的2倍得()g x 的图象,已知()g x 图象如图所示(1)求函数()f x 的解析式; (2)若()()2()6h x f x g x π=-+,求()h x 在0,2π⎡⎤⎢⎥⎣⎦上的值域. 24.海水受日月的引力,在一定的时候发生涨落的现象叫潮,一般地,早潮叫潮,晚潮叫汐.在通常情况下,船在涨潮时驶进航道,靠近码头;在落潮时返回海洋.下面是某港口在某季节每天的时间和水深关系表: 时刻 2:00 5:00 8:00 11:00 14:00 17:00 20:00 23:00 水深/米7.05.03.05.07.05.03.05.0()()sin ,0,2f t A t B A πωϕωϕ⎛⎫=++>< ⎪⎝⎭来描述.(1)根据以上数据,求出函数()()sin f t A t B ωϕ=++的表达式;(2)一条货船的吃水深度(船底与水面的距离)为4.0米,安全条例规定至少要有2米的安全间隙(船底与洋底的距离),该船在一天内(0:00~24:00)何时能进入港口然后离开港口?每次在港口能停留多久?25.函数()sin()f x A x ωϕ=+(0,0,[0,2))A ωϕπ>>∈的图象如图所示:(1)求()f x 的解析式; (2)()f x 向左平移12π个单位后得到函数()g x ,求()g x 的单调递减区间;(3)若,2x ππ⎡⎤∈-⎢⎥⎣⎦且()32f x ≥,求x 的取值范围.26.已知函数()2sin 1f x x =-.(1)求函数f (x )的最大值,并求此时x 的值; (2)写出()0f x >的解集.【参考答案】***试卷处理标记,请不要删除一、选择题 1.C 解析:C 【分析】根据题意求出(),()f x g x 原点附近的单调递减区间,根据递减区间分析可得max 3π4b =,min π4a =,相减即可. 【详解】解:由题意函数()sin 2f x x =在π3π,44⎛⎫⎪⎝⎭上单调递减,函数()2cos g x x =在()0,π上单调递减, 所以则max 3π4b =,min π4a =,所以b a -的最大值为3πππ442-=. 故选:C. 【点睛】求三角函数单调区间的2种方法:(1)代换法:就是将比较复杂的三角函数处理后的整体当作一个角u (或t ),利用基本三角函数的单调性来求所要求的三角函数的单调区间;(2)图象法:函数的单调性表现在图象上是从左到右,图象上升趋势的区间为单调递增区间,图象下降趋势的区间为单调递减区间,画出三角函数的图象,结合图象易求它的单调区间.2.A解析:A 【分析】设1AB =,则2BC =,再由14圆弧分别求出,,l m n ,再逐项判断即可得正确选项. 【详解】不妨设1AB =,则2BC =,所以)12l BE π==⨯,)213ED =-=所以(32m EG π==⨯,(134CG =-=,所以())422n GI ππ==⨯=,所以(())341222m n l πππ⨯+⨯=⨯==+,故①正确;(222234m π⨯==,))2122l n ππ⨯⨯=⋅=, 所以2m l n =⋅,故②正确;))122l n ππ⨯++==,((22332m ππ=⨯⨯-=-, 所以2m l n ≠+,故③不正确;11l nl n l n++===⋅(1132mπ==⨯,所以211m l n≠+,故④不正确;所以①②正确,故选:A【点睛】关键点点睛:本题解题的关键是读懂题意,正确求出扇形的半径,利用弧长公式求出弧长即,,l m n的值.3.D解析:D【分析】由周期求出ω,由五点法作图求出ϕ的值,可得()f x的解析式,再根据函数sin()y A xωϕ=+的图象变换规律,得出结论.【详解】根据函数()sin()(0f x xωϕω=+>,||)2πϕ<的部分函数图象,1274123πππω⋅=-,2ω∴=.再根据五点法作图,23πϕπ⨯+=,3πϕ∴=,()sin(2)3f x xπ=+.将函数()f x的图象先向右平移3π个单位长度,可得sin(2)3y xπ=-的图象.然后向上平移1个单位长度,得到函数()g x的解析式为()sin(2)13g x xπ=-+,故选:D【点睛】关键点睛:解答本题的关键在于准确地根据三角函数的图象求出三角函数sin()y A xωϕ=+的解析式,一般根据周期求出ω的值,根据最值求出A的值,根据最值点求出ϕ的值. 4.B解析:B【分析】先通过计算得出转动的角速度,然后利用三角函数模型表示在转动的过程中点B的纵坐标满足的关系式,则吊舱到底面的距离为点B的纵坐标减2.【详解】如图所示,以点M为坐标原点,以水平方向为x轴,以OM所在直线为y轴建立平面直角坐标系.因为巨轮逆时针旋转且每12分钟转一圈,则转动的角速度为6π每分钟, 经过t 分钟之后,转过的角度为6BOA t π∠=,所以,在转动的过程中,点B 的纵坐标满足:3230sin 30sin 322662y t t ππππ⎛⎫⎛⎫=--=-+ ⎪ ⎪⎝⎭⎝⎭则吊舱距离地面的距离30sin 32230sin 306262h t t ππππ⎛⎫⎛⎫=-+-=-+ ⎪ ⎪⎝⎭⎝⎭. 故选:B . 【点睛】建立三角函数模型解决实际问题的一般步骤: (1)审题:审清楚题目条件、要求、理解数学关系; (2)建模:分析题目变化趋势,选择合适的三角函数模型; (3)求解:对所建立的数学模型进行分析研究,从而得到结论.5.D解析:D 【分析】先根据对称轴及最小正周期,求得函数()f x 的解析式,再结合正弦函数的图象与性质,判断点是否在函数图象上可判断A ,求得函数的单调区间及对称中心即可判断选项BC ,由平移变换求得变化后的解析式并对比即可判断D. 【详解】函数()3sin()10,2f x x πωϕωϕ⎛⎫=++>< ⎪⎝⎭的最小正周期是π 所以22πωπ==,则()()3sin 21f x x ϕ=++,()()3sin 21f x x ϕ=++图象关于直线3x π=对称,对称轴为2,2x k k Z πϕπ+=+∈,代入可得2,32k k Z ππϕπ⨯+=+∈,解得,6k k Z πϕπ=-+∈,因为,22ππϕ⎛⎫∈- ⎪⎝⎭,所以当0k =时, 6πϕ=-, 则()3sin 216f x x π⎛⎫=-+ ⎪⎝⎭,对于A,当0x =时,()3103sin 11622f π=-+=-+=- ,所以错误; 对于B,()3sin 216f x x π⎛⎫=-+ ⎪⎝⎭的单调递减区间为3222,262k x k k πππππ+-+∈Z ≤≤, 解得5,36k x k k Z ππππ+≤≤+∈,因为123ππ<,则()f x 在2,123ππ⎡⎤⎢⎥⎣⎦上不是减函数,所以错误; 对于C ,773sin 213sin 11012126f ππππ⎛⎫⎛⎫=⨯-+=+=≠⎪ ⎪⎝⎭⎝⎭,所以7,012π⎛⎫ ⎪⎝⎭不是()f x 的一个对称中心,所以错误; 对于D ,1212πϕ=,将()3sin 216f x x π⎛⎫=-+ ⎪⎝⎭的图象向左平移12π个单位长度得到可得3sin 213sin 21126y x x ππ⎡⎤⎛⎫=-++=+ ⎪⎢⎥⎝⎭⎣⎦,所以能得到3sin 21y x =+的图象,所以正确. 故选: D. 【点睛】本题考查了正弦函数的图象与性质的综合应用,关键点是根据已知条件先求出正弦函数的解析式,还要熟练掌握三角函数的性质才能正确的解题,属于中档题.6.C解析:C 【分析】由0,3x π⎡⎤∈⎢⎥⎣⎦计算出x ω的取值范围,可得出0,0,32πωπ⎡⎤⎡⎤⊆⎢⎥⎢⎥⎣⎦⎣⎦,再由函数()f x 在区间,32ππ⎡⎤⎢⎥⎣⎦上单调递减可得出关于ω的等式,由此可解得实数ω的值. 【详解】0ω>,当0,3x π⎡⎤∈⎢⎥⎣⎦时,0,3x πωω⎡⎤∈⎢⎥⎣⎦, 由于函数()()sin 0f x x ωω=>在区间0,3π⎡⎤⎢⎥⎣⎦上单调递增,则0,0,32πωπ⎡⎤⎡⎤⊆⎢⎥⎢⎥⎣⎦⎣⎦,所以,032πωπ<≤,由于函数()f x 在区间,32ππ⎡⎤⎢⎥⎣⎦上单调递减,所以,函数()f x 在3x π=处取得最大值,则()232k k N πωππ=+∈,又032πωπ<≤,所以,32πωπ=,解得32ω=. 故选:C. 【点睛】关键点点睛:本题通过正弦型函数在区间上的单调性求参数值,解题的就是将函数在区间上的单调性转化为两个区间的包含关系,并且分析出函数()f x 的一个最大值点,进而列出关于ω的等式求解.7.A解析:A 【分析】由最大值点和对称中心的坐标可以求出()f x 的解析式,利用三角函数的性质,整体代换得出该复合函数的单调增区间. 【详解】图像上相邻的一个最大值点与对称中心分别为2,39π⎛⎫⎪⎝⎭,,018π⎛⎫⎪⎝⎭, 3A ∴=,0b =且124918T ππ=-,可得23T π=, 23Tπω∴==, 3sin(3)y x ϕ∴=+ 将2,39π⎛⎫⎪⎝⎭代入可得3sin(3)3y x ϕ=+=, 可得22,32k k Z ππϕπ+=+∈,且2πϕ<, 6πϕ∴=-,可得()3sin(3)6f x x π=-,令6232,22k x k k Z πππππ-+≤-≤+∈,可得222+9393k x k ππππ-≤≤, 故选:A.【点睛】方法点睛:根据图像求函数()sin()f x A x k ωϕ=++的解析式,根据最高点和对称中心的纵坐标可求出A 和k ,根据横坐标可求出周期T ,进而求出ω.求该函数的单调区间时,用整体代换的思想,借助正弦函数的单调区间,用解不等式的方法求复合函数的单调区间.8.C解析:C 【分析】利用三角恒等变换的公式,化简得由函数cos(2)5y x π=+,再根据余弦型函数的性质,即可求解函数的单调递增区间,得到答案. 【详解】由函数3cos 2cos2sin cos cos cos 2cos sin 2sin cos(2)510555y x x x x x x πππππ=-=-=+, 令222,5k x k k Z ππππ-+≤+≤∈,整理得3,510k x k k Z ππππ-+≤≤-+∈, 所以函数的单调递增区间为3[,],510k k k Z ππππ-+-+∈,故选C. 【点睛】本题主要考查了三角恒等变换的化简,以及三角函数的性质的应用,其中解答中根据三角恒等变换的公式,化简得到函数的解析式,再利用三角函数的性质求解是解答的关键,着重考查了运算与求解能力,属于基础题.9.A解析:A 【分析】5()8f x f π⎛⎫≤⎪⎝⎭对任意的实数x 都成立,可得 58x π=时函数取得最大值,则函数满足518f π⎛⎫= ⎪⎝⎭,1108f π⎛⎫= ⎪⎝⎭,且()f x 在443,ππ⎛⎫-⎪⎝⎭单调,再利用排除法可得答案. 【详解】 因为5()8f x f π⎛⎫≤⎪⎝⎭对任意的实数x 都成立,则58x π=时函数取得最大值, 所以函数满足518f π⎛⎫= ⎪⎝⎭,1108f π⎛⎫= ⎪⎝⎭,且()f x 在443,ππ⎛⎫-⎪⎝⎭单调, 对于A ,若23ω=,12πϕ=,可得2()sin 312f x x π⎛⎫=+ ⎪⎝⎭,5sin 182f ππ⎛⎫== ⎪⎝⎭,11sin 08f ππ⎛⎫== ⎪⎝⎭,3254412,,4,31222x x πππππππ⎛⎫⎛⎫⎡⎤∈-⇒+∈-⊆- ⎪⎪⎢⎥⎝⎭⎝⎭⎣⎦,则2()sin 312f x x π⎛⎫=+ ⎪⎝⎭在443,ππ⎛⎫- ⎪⎝⎭单调递增,故A 符合题意; 对于B ,若23ω=,1112πϕ=-,可得211()sin 312f x x π⎛⎫=- ⎪⎝⎭,5sin 1182f ππ⎛⎫⎛⎫=-=-≠ ⎪ ⎪⎝⎭⎝⎭,故B 不符合题意; 对于C ,若13ω=,1124πϕ=-,可得111()sin 324f x x π⎛⎫=-⎪⎝⎭,5sin 1842f ππ⎛⎫⎛⎫=-=-≠ ⎪ ⎪⎝⎭⎝⎭,故C 不符合题意; 对于D ,若13ω=,724πϕ=,可得17()sin 324f x x π⎛⎫=+ ⎪⎝⎭,113sin 0842f ππ⎛⎫==≠ ⎪⎝⎭,故D 不符合题意; 故选:A. 【点睛】方法点睛:特殊法是“小题小做”的重要策略,排除法解答选择题是高中数学一种常见的解题思路和方法,这种方法即可以提高做题速度和效率,又能提高准确性,这种方法主要适合下列题型:(1)求值问题(可将选项逐个验证);(2)求范围问题(可在选项中取特殊值,逐一排除);(3)图象问题(可以用函数性质及特殊点排除);(4)解方程、求解析式、求通项、求前n 项和公式问题等等.10.D解析:D 【分析】结合图象,依次求得,,A ωϕ的值. 【详解】 由图象可知2A =,2,,22362T T πππππωω⎛⎫=--==== ⎪⎝⎭,所以()()2sin 2f x x ϕ=+,依题意0ϕπ≤≤,则2333πππϕ-≤-≤, 2sin 0,0,6333f ππππϕϕϕ⎛⎫⎛⎫-=-+=-+== ⎪ ⎪⎝⎭⎝⎭,所以2n 2)3(si f x x π⎛⎫=+ ⎪⎝⎭.故选:D. 【点睛】方法点睛:根据三角函数()()sin f x A x b ωϕ=++或的部分图象求函数解析式的方法:(1)求A 、()()max min:2f x f x b A -=,()()max min2f x f x b +=;(2)求出函数的最小正周期T ,进而得出2Tπω=; (3)取特殊点代入函数可求得ϕ的值.11.B解析:B 【分析】首先根据图象求函数的解析式,再根据左右平移规律判断选项. 【详解】 由图象可知37341264T T ππππ⎛⎫=--=⇒= ⎪⎝⎭, 即22ππωω=⇒=,当6x π=-时,22,6k k Z πϕπ⎛⎫⨯-+=∈ ⎪⎝⎭, 解得:2,3k k Z πϕπ=+∈,2πϕ<,3πϕ∴=,()sin 23f x x π⎛⎫∴=+⎪⎝⎭, 22643x x πππ⎛⎫-=-+ ⎪⎝⎭, ∴ 要得到sin 26y x π⎛⎫=- ⎪⎝⎭的图象,只需将()sin 23f x x π⎛⎫=+ ⎪⎝⎭的图象向右平移4π个单位. 故选:B 【点睛】方法点睛:本题考查函数的图象变换,以及()sin y A ωx φ=+的性质,属于中档题型,()sin y A x ϕ=+的横坐标伸长(或缩短)到原来的1ω倍,得到函数的解析式是()sin y A ωx φ=+,若sin y A x ω=向右(或左)平移ϕ(0ϕ>)个单位,得到函数的解析式是()sin y A x ωϕ=-⎡⎤⎣⎦或()sin y A x ωϕ=+⎡⎤⎣⎦.12.D解析:D 【解析】分析:将2cos x 化为21sin x -,令()sin 11x t t =-≤≤,可得关于t 的二次函数,根据t的取值范围,求二次函数的最值即可.详解:利用同角三角函数关系化简,22cos 2sin sin 2sin 1y x x x x =-=--+ 设()sin 11x t t =-≤≤,则()()22211211y t t t t =--+=-++-≤≤,根据二次函数性质当1t =-时,y 取最大值2,当1t =时,y 取最小值2-. 故选D.点睛:本题考查三角函数有关的最值问题,此类问题一般分为两类,一种是解析式化为2sin sin y A x B x C =++的形式,用换元法求解;另一种是将解析式化为()sin y A x k ωϕ=++的形式,根据角的范围求解.二、填空题13.(集合或中的任何一个值都行)【分析】由函数的周期和区间长度可以确定和是单调区间的端点值由此列式求值【详解】的周期是而区间的长度是个单位长度则一个周期内完整的一个单调增区间或减区间当时所以解得:或解得解析:6π(集合5{26k πϕϕπ=-+或2,}6k k Z πϕπ=+∈中的任何一个值都行 ) 【分析】由函数的周期,和区间长度可以确定3π和43π是单调区间的端点值,由此列式,求ϕ值. 【详解】()f x 的周期是2π,而区间4,33ππ⎛⎫ ⎪⎝⎭的长度是π个单位长度,则4,33ππ⎛⎫⎪⎝⎭一个周期内完整的一个单调增区间或减区间, 当433x ππ<<时,433x ππϕϕϕ+<+<+, 所以2324232k k ππϕπππϕπ⎧+=-+⎪⎪⎨⎪+=+⎪⎩ ,解得:52,6k k Z πϕπ=-+∈, 或23243232k k ππϕπππϕπ⎧+=+⎪⎪⎨⎪+=+⎪⎩,解得:26k πϕπ=+,k Z ∈,所以其中一个6π=ϕ, 故答案为:6π(集合5{26k πϕϕπ=-+或2,}6k k Z πϕπ=+∈中的任何一个值都行 ) 【点睛】关键点点睛:本题考查三角函数的性质,求参数的取值范围,本题的关键是确定3π和43π是单调区间的端点值,列式后就比较容易求解.14.【分析】如图作出月牙湖的示意图由题意可得可求的值进而由图利用扇形的弧长公式可计算得解【详解】如图是月牙湖的示意图是的中点连结可得由条件可知所以所以所以月牙泉的周长故答案为:【点睛】关键点点睛:本题的 解析:(40303)π+【分析】如图,作出月牙湖的示意图,由题意可得3sin QPO ∠=,可求,QPO QPT ∠∠的值,进而由图利用扇形的弧长公式可计算得解. 【详解】如图,是月牙湖的示意图,O 是QT 的中点,连结PO ,可得PO QT ⊥,由条件可知603QT =,60PQ = 所以3sin 2QPO ∠=,所以3QPO π∠=,23QPT π∠=,所以月牙泉的周长(260303403033l πππ=⨯+⨯=+. 故答案为:(40303π+ 【点睛】关键点点睛:本题的关键是根据实际问题抽象出图象,再根据数形结合分析问题.15.【分析】由图象知三角函数的周期结合函数图象及写出单调递增区间【详解】由图象知:∴的单调递增区间为故答案为:【点睛】思路点睛:1看图定周期特殊函数值:2结合图象由周期对称轴写出增区间解析:37[2,2],44k k k Z ++∈【分析】由图象知,三角函数的周期2T =,结合函数图象及15()()044f f ==,写出单调递增区间.【详解】 由图象知:22||T πω==, 15()()044f f ==, ∴()f x 的单调递增区间为37[2,2],44k k k Z ++∈, 故答案为:37[2,2],44k k k Z ++∈ 【点睛】 思路点睛:1、看图定周期、特殊函数值:2T =,15()()044f f ==.2、结合图象,由周期、对称轴写出增区间. 16.【解析】试题分析:将非特殊角化为特殊角的和与差是求三角函数值的一个有效方法考点:两角和的正弦 解析:【解析】 试题分析:232162sin 75sin(4530)sin 45cos30cos 45sin 3022224︒︒︒︒︒︒︒=+=+=⨯+=将非特殊角化为特殊角的和与差,是求三角函数值的一个有效方法. 考点:两角和的正弦17.【分析】由题意画出图形由两角差的正切求出的正切值然后通过求解两个直角三角形得到和的长度作差后可得答案【详解】由图可知在中在中河流的宽度等于故答案为:【点睛】本题给出实际应用问题求河流在两地的宽度着重 解析:120(31)【分析】由题意画出图形,由两角差的正切求出15︒的正切值,然后通过求解两个直角三角形得到DC 和DB 的长度,作差后可得答案. 【详解】由图可知,15DAB ∠=︒()tan 45tan 30tan15tan 4530231tan 45tan 30︒-︒︒=︒-︒==-+︒︒在Rt ADB 中,60AD =(tan156023120603DB AD ∴=⋅︒=⨯=-在Rt ADC 中,60,60DAC AD ∠=︒=tan 60603DC AD ∴=⋅︒=()()1201201BC DC DB m ∴=-=-=∴河流的宽度BC 等于)1201m故答案为:1) 【点睛】本题给出实际应用问题,求河流在,B C 两地的宽度,着重考查了三角函数的定义、正余弦定理解三角形的知识,属于中档题.18.①④【分析】结合题意得出函数的奇偶性根据奇偶性研究函数在时的性质对结论逐一判断即可【详解】解:∵定义域为∴∴函数是偶函数故①对;当时∴由正弦函数的单调性可知函数在区间上单调递减故②错;当时由得根据偶解析:①④ 【分析】结合题意,得出函数的奇偶性,根据奇偶性研究函数在0x >时的性质对结论逐一判断即可. 【详解】解:∵()sin |||sin |f x x x =+,定义域为R ,∴()()sin |||sin |f x x x -=-+-sin sin ()x x f x =+=, ∴函数()f x 是偶函数,故①对;当[]0,x π∈时,()sin |||sin |f x x x =+sin sin 2sin x x x =+=, ∴由正弦函数的单调性可知,函数()f x 在区间,2ππ⎛⎫⎪⎝⎭上单调递减,故②错; 当[]0,x π∈时,由()2sin 0f x x ==得0x =,x π=,根据偶函数的图象和性质可得,()f x 在[),0π-上有1个零点x π=- , ∴()f x 在[],ππ-有3个零点,故③错;当0x ≥时,()sin |||sin |f x x x =+sin sin x x =+2sin ,sin 00,sin 0x x x ≥⎧=⎨<⎩, 根据奇偶性可得函数()f x 的图象如图,∴当sin 1x =时,函数()f x 有最大值()max 2f x =,故④对; 故答案为:①④. 【点睛】本题主要考查与三角函数有关的命题的真假判断,结合绝对值的应用以及利用三角函数的性质是解决本题的关键,属于中档题.19.【分析】和的图象都关于对称所以①②由①②结合即可得到答案【详解】由题意因为和的图象都关于对称所以①②由①②得又所以将代入①得注意到所以所以故答案为:【点睛】本题考查正弦型函数的性质涉及到函数图象的平解析:34π-【分析】()f x 和()g x 的图象都关于4x π=对称,所以11,42k k Z ππωθπ+=+∈①,22,432k k Z πππωωθπ-+=+∈②,由①②结合06,22ππωθ<<-<<即可得到答案.【详解】由题意,()()sin()33g x f x x ππωωθ=-=-+,因为()f x 和()g x 的图象都关于4x π=对 称,所以11,42k k Z ππωθπ+=+∈①,22,432k k Z πππωωθπ-+=+∈②,由①②,得12123(),,k k k k Z ω=-∈,又06ω<<,所以3ω=,将3ω=代入①,得11,4k k Z πθπ=-∈,注意到22ππθ-<<,所以4πθ=-,所以34ωθπ⋅=-.故答案为:34π- 【点睛】本题考查正弦型函数的性质,涉及到函数图象的平移、函数的对称性,考查学生的运算求解能力,是一道中档题.20.【分析】利用辅助角公式化简根据正弦型函数为奇函数可构造方程求得进而得到解析式代入即可求得结果【详解】为上的奇函数解得:又故答案为:【点睛】本题考查根据正弦型函数的奇偶性求解参数值已知解析式求解三角函解析:【分析】利用辅助角公式化简()f x ,根据正弦型函数为奇函数可构造方程求得ϕ,进而得到()f x 解析式,代入8x π=-即可求得结果.【详解】()()()2cos 22sin 26f x x x x πϕϕϕ⎛⎫=+-+=-+ ⎪⎝⎭,()f x 为R 上的奇函数,()6k k Z πϕπ∴-=∈,解得:()6k k Z πϕπ=+∈,又0ϕπ<<,6πϕ∴=,()2sin 2f x x ∴=,2sin 84f ππ⎛⎫⎛⎫∴-=-= ⎪ ⎪⎝⎭⎝⎭故答案为:. 【点睛】本题考查根据正弦型函数的奇偶性求解参数值、已知解析式求解三角函数值的问题;关键是能够通过辅助角公式将函数化简为正弦型函数,进而利用奇偶性构造方程求得参数.三、解答题21.(1)π,5,,36k k k ππππ⎡⎤++∈⎢⎥⎣⎦Z ;(2)2a =. 【分析】(1)利用诱导公式化简函数的解析式,再根据正弦函数的周期性和单调性求解. (2)根据0,2x π⎡⎤∈⎢⎥⎣⎦得到52,666x πππ⎡⎤-∈-⎢⎥⎣⎦,然后利用正弦函数的性质求解. 【详解】 (1)()2sin 212sin 2166f x x a x a ππ⎛⎫⎛⎫=-++=--++ ⎪ ⎪⎝⎭⎝⎭,它的最小正周期为22ππ=. 令3222262k x k πππππ+≤-≤+,解得536k x k ππππ+≤≤+, 所以函数的单调递增区间为5,,36k k k ππππ⎡⎤++∈⎢⎥⎣⎦Z . (2)因为0,2x π⎡⎤∈⎢⎥⎣⎦时, 所以52,666x πππ⎡⎤-∈-⎢⎥⎣⎦, 所以()f x 的最大值为42sin 16a π⎡⎤⎛⎫=-⨯-++ ⎪⎢⎥⎝⎭⎣⎦, 解得2a =. 【点睛】方法点睛:1.讨论三角函数性质,应先把函数式化成y =A sin(ωx +φ)(ω>0)的形式; 2.函数y =A sin(ωx +φ)和y =A cos(ωx +φ)的最小正周期为2πω,y =tan(ωx +φ)的最小正周期为πω;3.对于函数的性质(定义域、值域、单调性、对称性、最值等)可以通过换元的方法令t =ωx +φ,将其转化为研究y =sin t 的性质. 22.(1)70m ;(2)0.5min . 【分析】(1)根据题意,确定()sin()f t A t h ωϕ=++的表达式,代入2020t =运算即可;(2)要求()50f t >+2cos 3t π<,解不等式即可. 【详解】(1)依题意,40A =,50h =,3T =, 由23πω=得23πω=,所以2()40sin 503f t t πϕ⎛⎫=++⎪⎝⎭. 因为(0)10f =,所以sin 1ϕ=-,又||2πϕ≤,所以2πϕ=-.所以2()40sin 50(0)32f t t t ππ⎛⎫=-+≥ ⎪⎝⎭,所以2(2020)40sin 2020507032f ππ⎛⎫=⨯-+= ⎪⎝⎭.即2020t =时点P 距离地面的高度为70m .(2)由(1)知22()40sin 505040cos (0)323f t t t t πππ⎛⎫=-+=-≥ ⎪⎝⎭.令()50f t >+2cos 32t π<-, 从而()*52722N 636k t k k πππππ+<<+∈, ∴()*5733N 44k t k k +<<+∈. ∵()*751330.5N 442k k k ⎛⎫+-+==∈ ⎪⎝⎭, ∴转一圈中在点P 处有0.5min 的时间可以看到公园的全貌. 【点睛】本题考查了已知三角函数模型的应用问题,解答本题的关键是能根据题目条件,得出相应的函数模型,作出正确的示意图,然后再由三角函数中的相关知识进行求解,解题时要注意综合利用所学知识与题中的条件,是中档题. 23.(1)1()cos(2)3f x x π=-;(2)3,12⎡⎤--⎢⎥⎣⎦. 【分析】(1)由伸缩变换得1()cos()2g x x ωϕ=+,由()g x 的图像的周期为54()263T πππ=-=,解得2ω=,由()g x 图像过点(,1)3π,求得ϕ,进而得到()g x ,()f x 的解析式.(2)易得()22cos ()2cos()166h x x x ππ=----,令cos()6t x π=-,利用二次函数的性质求解. 【详解】(1)由题意1()cos()2g x x ωϕ=+, 由()g x 的图像可得:函数()g x 的周期为54()263T πππ=-=, 解得2ω=, ∴()cos )(g x x ϕ=+, 由图知()g x 图像过点(,1)3π,所以cos()13πϕ+=,则23k πϕπ=-+,k Z ∈,因为||2ϕπ<,取0k =得3πϕ=-,所以()cos()3g x x π=-,从而函数()f x 的解析式为()cos(2)3f x x π=-.(2)()()2()cos(2)2cos()636h x f x g x x x πππ=-+=---, 22cos ()2cos()166x x ππ=----,令cos()6t x π=-,由0,2x π⎡⎤∈⎢⎥⎣⎦,得,663x πππ⎡⎤-∈-⎢⎥⎣⎦, 所以1,12t ⎡⎤∈⎢⎥⎣⎦, 则22132212()22y t t t =--=--,1,12t ⎡⎤∈⎢⎥⎣⎦, 当12t =时,y 有最小值32-,此时,1cos()62x π-=,63x ππ-=,即2x π=,当1t =时有最大值1-,此时cos()16x π-=,06x π-=,即6x π=.所以函数()h x 的值域为3,12⎡⎤--⎢⎥⎣⎦. 【点睛】方法点睛:求解三角函数的值域(最值)常见到以下几种类型:①形如y =a sin x +b cos x +c 的三角函数化为y =A sin(ωx +φ)+k 的形式,再求最值(值域);②形如y =a sin 2x +b sin x +c 的三角函数,可先设sin x =t ,化为关于t 的二次函数求值域(最值);③形如y =a sin x cos x +b (sin x ±cos x )+c 的三角函数,可先设t =sin x ±cos x ,化为关于t 的二次函数求值域(最值). 24.(1)()2sin 566f t t ππ⎛⎫=++⎪⎝⎭;(2)在0时进港4时出港或12时进港16时出港,每次在港内可停留4个小时. 【分析】由表格易知()()max min 7,3f t f t ==,由()()()()max minmax min,22f t f t f t f t A B -+==,求得A ,B ,再根据14212T =-=和2t =时,函数取得最大值,分别求得,ωϕ即可.(2)根据货船需要的安全水深度为6,由()2sin 5666f t t ππ⎛⎫=++≥ ⎪⎝⎭求解. 【详解】由表格可知()()max min 7,3f t f t ==,, 则()()()()max minmax min2,522f t f t f t f t A B -+====,又214212,6T T ππω=-===, 当2t =时,()22sin 2576f πϕ⎛⎫=⨯++= ⎪⎝⎭, 即sin 13πϕ⎛⎫+= ⎪⎝⎭, 所以232k ππϕπ+=+,又2πϕ<,所以6π=ϕ, 所以()2sin 566f t t ππ⎛⎫=++ ⎪⎝⎭.(2)因为货船需要的安全水深度为6,所以()2sin 5666f t t ππ⎛⎫=++≥ ⎪⎝⎭,即1sin 662t ππ⎛⎫+≥ ⎪⎝⎭, 所以5226666k t k ππππππ+≤+≤+, 即12412k t k ≤≤+, 又因为[]0,24t ∈,当0k =时,[]0,4t ∈,当1k =时,[]12,16t ∈,所以在0时进港4时出港或12时进港16时出港,每次在港内可停留4个小时. 【点睛】方法点睛:由函数y =A sin(ωx +φ)的图象或表格确定A ,ω,φ的题型,常常以“五点法”中的五个点作为突破口,要从图象的升降情况找准“零点”或“最大(小)值点”的位置.要善于抓住特殊量和特殊点.25.(1)()23f x x π⎛⎫=+⎪⎝⎭;(2),,2πππ⎡⎤+∈⎢⎥⎣⎦k k k Z ;(3){},66πππ⎡⎤-⋃⎢⎥⎣⎦. 【分析】(1)利用题中图象可知A =,44T π=,结合周期公式求得=2ω,再由3x π=代入计算得=3πϕ即得解析式;(2)根据三角函数平移的方法求得()g x ,再利用整体代入法求单调递减区间即可;(3)先由()32fx ≥可得sin 232x π⎛⎫+≥ ⎪⎝⎭,再由,2x ππ⎡⎤∈-⎢⎥⎣⎦得到23x π+的前提范围,结合正弦函数性质得到不等式中23x π+的范围,再计算x 范围即可.【详解】解:(1)由题中图象可知:A =,741234T πππ=-=, 2T ππω∴==,即2ω=,又由图象知,3x π=时,223k πϕππ⋅+=+,即23k πϕπ=+,k Z ∈,又02ϕπ≤<,∴=3πϕ,()23f x x π⎛⎫∴=+ ⎪⎝⎭;(2)()f x 向左平移12π个单位后得到函数()g x ,故()2221232g x x x x πππ⎡⎤⎛⎫⎛⎫=++=+= ⎪ ⎪⎢⎥⎝⎭⎝⎭⎣⎦,由余弦函数性质知,令222,k x k k Z πππ≤≤+∈,得减区间,,2πππ⎡⎤+∈⎢⎥⎣⎦k k k Z , ∴()g x 的单调递减区间为,,2πππ⎡⎤+∈⎢⎥⎣⎦k k k Z ;(3)由题意知:()3232fx x π⎛⎫=+≥ ⎪⎝⎭,即sin 23x π⎛⎫+≥ ⎪⎝⎭,由,2x ππ⎡⎤∈-⎢⎥⎣⎦,知[]0,x π∈,2,2333x ππππ⎡⎤+∈+⎢⎥⎣⎦,由正弦函数图象性质可知,22333x πππ≤+≤或2233x πππ+=+ 即06x π≤≤或x =π,又,2x ππ⎡⎤∈-⎢⎥⎣⎦,得x 的取值范围为{},66x πππ⎡⎤∈-⋃⎢⎥⎣⎦.【点睛】 方法点睛:求三角函数()()sin f x A x b ωϕ=++性质问题时,通常利用整体代入法求解单调性、对称性,最值等性质,或者整体法求三角不等式的解. 26.(1)最大值1,2,2x k k Z ππ=+∈;(2)5{|22,}66x k x k k Z ππππ+≤≤+∈. 【分析】(1)当sin 1x =时,函数取最大值得解; (2)根据三角函数的图象解不等式得解集. 【详解】(1)当sin 1x =即2,2x k k Z ππ=+∈时,()2111max f x =⨯-=;(2)由题得1sin 2x >,所以不等式的解集为5{|22,}66x k x k k Z ππππ+≤≤+∈. 【点睛】关键点睛:解答这类题的关键是熟练掌握三角函数的图象和性质,再灵活利用其解题.。
高一周末考试数学试题
(必修4部分,2018年3月31 日)
一、选择题 (本大题共12小题,每小题5分,共60分.)
1.已知点P (tan ,cos )在第三象限,则角 在( )
A .第一象限
B .第二象限
C .第三象限
D .第四象限
2 .函数 y
sin2x , x R 是(
)
A .最小正周期为 的奇函数
B .最小正周期为 的偶函数
C .最小正周期为2的奇函数
D .最小正周期为2的偶函数 3 .已知a 与b 均为单位向量,它们的夹角为60,那么I ; 3b|等于( )
A .
7
B .
10
C .
.13
D . 4
4.已知M 是厶ABC 的BC 边上的中点,若向量AB =a,AC = b ,则向量AM 等
于( )
1
A .丄(a — b)
2
1
B . - (b — a)
2
1
C . -( a + b)
2 D . 1
-(a + b)
2
5 .若 是厶ABC 的一个内角,且sin
cos 1 ,贝卩
sin
8
cos 的值为(
)
<3 A.—
B .仝
C .
三
D. ■■- 5
2
2
2
2
6.已知
—,贝S (1 tan )(1
4
tan )的值是(
)
A . — 1
B . 1
C . 2
D . 4
7.在ABC 中,有如下四个命题:
iuu iuu uu
① AB AC BC ; ② AB BC CA 0 ;
③ 若(AB AC ) (AB AC ) 0,则ABC 为等腰三角形; ④ 若
AC AB 0
,贝S ABC 为锐角三角形.其中正确的命题序号是( )
B .①③④
D .②④
)在一个周期内的图象如下,
( )
B . y 2sin (2x )
3
A .①② C .②③ 8 .函数 y Asin( x
此函数的解析式为
2
A . y 2sin(2x )
3
x
A . ,-
B .、2
C . 2
D . 1
二、填空题 (共4小题,每小题5分,共20分.)
13. ____________________________________ cos20° cos40°cos80° 的值为 . 14. 已知tan — = 2,则tan 的值为
:
2
型
2°匚的值为 ________________________ . 3sin 2cos
15 .已知向量a= 2,4, b= 1,1 .若向量b (a+ b ),则实数 的值是
2
16 .若 sin( ) -,且 (一,0),则 tan 的值是
.
3
2
高一周末考试数学答题卡
一、选择题
(本大题共12小题,每小题5分,共60分.)
1 2 3 4 5 6 7 8 9 10 11 12
C
. y 2si n (2 -)
9.下列各式中,值为 A . sin 150 cos150
1 cos
2 6
D . y 2 si n(2x
) 3
-的是(
)
2
B 2
・2
.cos sin —
12 12
D tan 22.50
10. A .
11. A . 12.
已知,为锐角,且cos 2 - 已
知
1
18
tan(a + B )=-
5
C .
的值是(
,tan (p
—
2-
4
,那么 tan( a
+-
4
D.-
sin 500
(1 .. - tan1O 0)的值为
1
二、填空题 (共4小题,每小题5分,共20分.)
13. _______________ ; 14. _____________;
15. _______________ ; 16. _____________。
三、解答题(共6小题,共70分).
17.(10分)设ei , e2是两个相互垂直的单位向量,且a (2^ e2) , b e e2.
(1)若a〃b,求的值;(2)若a b,求的值.
1 T2COS(2X—)
4
(I)求f(x)的定义域;
18. (12分)已知函数f(x)
sin(x -)
(H)若角是第四象限角,且COS3,求f().
5
19. (12 分)已知函数y sin2x 2sinxcosx 3cos2 x , X R,那么
(I)函数的最小正周期是什么?(H)函数在什么区间上是增函数?
20. (12 分)已知向量a=(cos , sin ), b 二(cos , sin ), |a b |
(I)求cos (—)的值;
(H)若Ov v——v vO,且sin =——,求sin
2 2 13—2/5 —5
的值.
21. ( 12 分)已知函数 f (x) 2cos2 x、、3s in2x a (x€ R).
⑴若f(x)有最大值2,求实数a的值;⑵求函数f(x)的单调递增区间.
3 3 x x
22. (12 分)已知向量 a (cos-x,sin-x),b (cos—, sin-),且x [0,?],求
(I) a b 及| a b | ;
(H)若f(x) a b 2 |a b|的最小值是I,求实数的值.。