换元法解分式方程
- 格式:ppt
- 大小:160.50 KB
- 文档页数:12
分式方程的几种解法分式方程是初中数学教材重点内容之一,它是一元二次方程的应用和深化,同时又是列分式方程解应用题及解分式方程组的基础,所以分式方程有承上启下的作用,至关重要,它的解法很多,这里略谈一二。
一、 去分母法方法导析:它是分式方程的基本解法,即:方程两边同乘以各分母的最简公分母,化分式方程为整式方程,解出这个整式方程,最后把所得结果代入最简公分母中检验,便得分式方程的根。
例1:解方程:4121235222---=++-x x x x x 解:方程两边同乘以)2)(2)(1(-++x x x 去分母得:)1(4)2)(1()2)(52(+-++=--x x x x x整理得:01282=+-x x 解之得:6,221==x x检验:把2=x 代入)2)(2)(1(-++x x x ,它等于0,所以2=x 不是原方程的根。
把6=x 代入)2)(2)(1(-++x x x ,它不等于0,所以6=x 是原方程的根。
∴原方程的根为6=x 。
二、 换元法方法导析:根据方程特点用另一字母代替方程中的未知项式,得到一个关于这一字母的新方程,再进行解方程,其宗旨是换得的方程较原方程简单。
例2:解方程:21333322=-+-x x x x 解,设a x x =-32,则ax x 13332⨯=-,原方程变形为: 2133=+a a 去分母,得:061322=+-a a 解之得:61=a 212=a当6=a ,即632=-x x ,去分母,整理得0362=--x x 323±=∴x 当21=a ,即2132=-x x ,去分母,整理得0622=--x x 23,221-==∴x x 检验,把323+=x ,323-=x ,2=x , 23-=x 分别代入原方程分母中其计算结果都不为0,所以他们都是原方程的根。
∴原方程的根是323±=∴x ,2=x , 23-=x 三、 通分法方法导析:根据方程特点,原方程式适当变形后,两边进行通分,再结合分式性质解题。
1、(2009•滨州)解方程时,若设,则方程可化为2y﹣=2 .考点:换元法解分式方程。
专题:换元法。
分析:本题考查用换元法整理分式方程的能力,关键是明确方程各部分与y的关系,再用y 代替即可.解答:解:因为,所以原方程可变形为2y﹣=2.点评:用换元法解分式方程是常用方法之一,要注意总结能用换元法解的方程的特点.2、(2007•天津)方程的整数解x= 2 .考点:换元法解分式方程;解一元二次方程-因式分解法。
专题:换元法。
分析:当分式方程比较复杂时,通常采用换元法使分式方程简化,可设y=.解答:解:设y=,则y2﹣5y+6=0,解得y=2或3,∴或,解得x=2或x=1.5,经检验:x=2或1.5是原方程的解.但整数解是:x=2.故本题答案为:x=2.点评:当分式方程比较复杂时,通常采用换元法使分式方程简化.本题需注意所求的是整数解.3、(2006•宜宾)(按非课改要求命制)用换元法解方程,设,则原方程可变形为4y2+5y+1=0 .考点:换元法解分式方程。
专题:换元法。
分析:换元法即是整体思想的考查,解题的关键是找到这个整体,此题的整体是,设,换元后整理即可求得.解答:解:设y=,则原方程可变为(2y)2+5y+1=0,整理得4y2+5y+1=0,故本题答案为:4y2+5y+1=0.点评:本题考查了用换元法解方程,解题关键是能准确的找出可用替换的代数式,再用字母y代替解方程.4、(2006•沈阳)用换元法解分式方程2x2﹣x=﹣3,若设2x2﹣x=y,则原方程可化为关于y的整式方程是y2+3y﹣4=0 .考点:换元法解分式方程。
专题:换元法。
分析:设2x2﹣x=y,则,故原方程可化为整式方程.解答:解:设2x2﹣x=y,则原方程可化为y=﹣3,两边都乘最简公分母得:y2=4﹣3y,整理得:y2+3y﹣4=0.故本题答案为:y2+3y﹣4=0.点评:当分式方程比较复杂时,通常采用换元法使分式方程简化,但应注意换元后互为倒数的元的系数.5、(2006•韶关)用换元法解方程,如果设,那么原方程化为关于y的整式方程是2y2﹣5y+2=0 .考点:换元法解分式方程。
换元法解方程西安市第八十五中学江树基换元法是用新元代替方程中含有未知数的某个部分,达到化简的目的.换元的方法是以所讨论方程的特有性质为依据的,不同的方程就有不同的换元方法,因此,这种方法灵活性大,技巧性强.恰当地换元,可将复杂方程化简,以便寻求解题的途径.常用方法有均值代换、多元代换、常数代换等.解分式方程、无理方程、高次方程的基本思想是将分式方程化为整式方程、无理方程化为有理方程、高次方程逐步降次,实现这一基本思想的方法有多种,其中换元法是常用的一种重要方法,本文注重研究用换元法解方程的技能、技巧.一、分式方程分析:这个方程左边两个分式互为倒数关系,抓住这一特点,可设∴(y-1)2=0,解得y=1.经检验,x1,x2都是原方程的根.分析:观察方程的分母,发现各分母均是关于x的二次三项式,仅常数项不同,抓住这一特点,可设y=x2+2x.解:设y=x2+2x,则原方程可化为即y2-y-12=0,解得y1=4,y2=-3.x2+2x=-3,无实数解.例3 解方程分析:观察方程的分母,发现三个分母都是关于x的二次三项式,仅一次项不同,抓住这一特点,可设y=x2+2x+10.解:设y=x2+2x+10,则原方程可化为=9x,y2=-5x.解得y1由x2+2x+10=9x,解得x=5,x2=2.1=-5,x4=-2.由x2+2x+10=-5x,解得x3经检验知,它们都是原方程的解.注:以上三个例子可看出,换元时必须对原方程进行仔细观察、分析,抓住方程的特点,恰当换元,化繁为简,达到解方程的目的.二、无理方程两边立方,并整理得y3-2y2+3y=0,即y(y2-2y+3)=0,∴y=0或y2-2y+3=0,无解.经检验知x=-1是原方程的解.可设两个未知数,利用韦达定理解.原方程为m+n=1,又∵(m+n)3=m3+n3+3mn·(m+n)=4+3mn=1,∴mn=-1.(x+1)(3-x)=-1,即x2-2x-4=0,解得经检验知,x1,x2是原方程的解.(y-1)2+(y+1)2=52,解得y=±5.经检验知,x=10,x=-510是原方程的解.∴|y+2|+|y-2|=4,当y<-2时,-y-2-y+2=4,∴y=-2(舍去).当-2≤y<2时,y+2+2-y=4,∴4=4,当y≥2时,y+2+y-2=4,y=2.∴-2≤y≤2,又y≥0,∴0≤y≤2,经检验知,1≤x≤2是原方程的解.再把上边方程两边平方整理得x4-2ax2+a2-a-x=0,∴a2-(2x2+1)a+(x4-x)=0,解得由②得-x=a-x2,∵a-x2>0,-x<0,方程②无解.故选(C).注:此例中把字母a视为变量,反而把x看成常量,这种反客为主的替代法称为“常数代换”法.三、高次方程例9 解方程(x+3)4+(x+1)4=82.原方程变为(y+1)4+(y-1)4=82,整理得y4+6y2-40=0,解得y=2,y2=-2.1=0.由x+2=2,得x1由x+2=-2,得x=-4.2所以原方程的解是x=0,x2=-4.1注:一般地形如(x+a)4+(x+b)4=c的方程可用均值法,设y例10 解方程6x4+5x3-38x2+5x+6=0.解:显然x=0不是方程的解,故用x2除方程两边,整理得6(x2+38=0,解得注:1.形如ax4+bx3+cx2+bx+a=0的方程称倒数方程.其特点是,与首末两端等距离的项的系数相等.其解法是,用x2除各项.并按下述化为a(y2-2)+by+c=0使问题得解.2.形如ax4+bx3+cx2+bx+a=0的方程称第二类倒数方程,其特点是:与首末两项等距离的偶次幂的项的系数相等,奇次幂项的系数的绝对值相等而符号相反,用x2除方程两边,并按下述方法并项,得a(x2+=0,即可求解,。
1.一般法所谓一般法,就是先去分母,将分式方程转化为一个整式方程。
然后解这个整式方程。
解原方程就是方程两边同乘以(x+3)(x-3),约去分母,得4(x-3)+x(x+3)=x2-9-2x。
2.换元法换元法就是恰当地利用换元,将复杂的分式简单化。
分析本方程若去分母,则原方程会变成高次方程,很难求出方程的解设x2+x=y,原方程可变形为解这个方程,得y1=-2,y2=1。
当y=-2时,x2+x=-2。
∵Δ<0,∴该方程无实根;当y=1时,x2+x=1,∴经检验,是原方程的根,所以原方程的根是。
3.分组结合法就是把分式方程中各项适当结合,再利用因式分解法或换元法来简化解答过程。
4.拆项法拆项法就是根据分式方程的特点,将组成分式方程的各项或部分项拆项,然后将同分母的项合并使原方程简化。
特别值得指出的是,用此法解分式方程很少有增根现象。
例4 解方程解将方程两边拆项,得即x=-3是原方程的根。
5.因式分解法因式分解法就是将分式方程中的各分式或部分分式的分子、分母分解因式,从而简化解题过程。
解将各分式的分子、分母分解因式,得∵x-1≠0,∴两边同乘以x-1,得检验知,它们都是原方程的根。
所以,原方程的根为x1=-1,x2=0。
6.配方法配方法就是先把分式方程中的常数项移到方程的左边,再把左边配成一个完全平方式,进而可以用直接开平方法求解。
∴x2±6x+5=0,解这个方程,得x=±5,或x=±1。
检验知,它们都是原方程的根。
所以,原方程的根是x1=5,x2=-5,x3=1,x4=-1。
7.应用比例定理上述例5,除了用因式分解法外,还可以应用合比和等比定理来解。
认识简单的解方程方法分式方程的求解在数学学科中,方程是一个基本概念,解方程是数学问题的核心之一。
在初中阶段学习数学时,我们接触到了一些简单的解方程方法,其中包括解一元一次方程、解一元二次方程等。
而在高中数学中,我们还需要学习解分式方程。
本文将介绍一些简单的解分式方程的方法。
首先,我们来看一下什么是分式方程。
分式方程指的是方程中含有分式的方程。
一个典型的分式方程可以写作:$\frac{a}{x}+\frac{b}{y}=c$,其中$a, b, c, x, y$都是实数。
解分式方程的核心是找到使得等式成立的$x$和$y$的值。
对于一些简单的分式方程,我们可以使用以下几种方法来求解。
一、通分法:对于只有一个分式的分式方程,我们可以使用通分法来求解。
具体步骤如下:Step 1: 将分式方程的分母相乘,得到一个无分母的方程。
Step 2: 解这个无分母的方程,得到$x$和$y$的值。
Step 3: 检验解是否符合原分式方程,如果符合,则解得正确。
例如,考虑以下分式方程:$\frac{3}{x}+\frac{5}{2}=4$我们可以通过通分法来求解。
首先将方程两边的分式的分母相乘,得到$2(3)+5x=4x$。
再继续化简得到$6+5x=4x$。
然后移项得到$5x-4x=6$,进一步得到$x=6$。
最后,我们可以将$x=6$代入原方程验证解的正确性,发现$x=6$确实是方程的解。
二、换元法:对于一些复杂的分式方程,我们可以使用换元法来求解。
具体步骤如下:Step 1: 选择合适的变量替换分母较大的分式。
Step 2: 对原分式方程进行变量替换,得到一个只含有一个变量的方程。
Step 3: 解这个只含一个变量的方程,得到该变量的值。
Step 4: 将得到的变量值代入原分式方程中,求解另一个变量的值。
Step 5: 检验解的正确性。
例如,考虑以下分式方程:$\frac{1}{x}+\frac{2}{y}=3$我们可以使用换元法来求解。
巧用换元法解分式方程(施嘉玮)例1. 解分式方程:解析:若单纯去分母,解答过程将会变得很繁琐.于是可以尝试令,原式就变为,得.解上述方程,得,又.虽然过程中解了两次方程,但是较之于去分母解原方程,计算更为方便。
但部分情况下用换元法不能直接将分母全部换掉,此时就需要灵活变通,如下题例2.解析:本题中分母看似没有规律,但是发现都是的形式,此时就可令,.总结:在解某些分式方程时,会出现分母/分子形式复杂的情况,此时可以寻找分母/分子的规律,并且利用换元法使得分母/分子变得更为简洁,再行解答。
虽然此过程需要解两次甚至多次方程,但是运算量以及运算难度都大为减小,因此有必要熟练掌握。
情景应用题(黄贞琪)【例题】某中学本学期前三周每周都组织六年级学生进行一次体育活动,全年级400名学生每人每次都只参加球类或田径类中一个项目的活动。
假设每次参加球类活动的学生中,有20%改为参加田径类活动;同时每次参加田径类活动的学生中,有30%改为参加球类活动。
(1)如果第一次与第二次参加球类活动的学生人数相等,那么第一次参加球类活动的学生应有多少名?(2)如果第三次参加球类活动的学生不少于200名,那么第一次参加球类活动的学生最少有多少名?【解析】(1)设第一次参加球类活动的学生为x 名,则第一次参加田径类活动的学生为)400(x -名,第二次参加球类活动的学生为%30)400(%)201(⋅-+-⋅x x 名。
由题意得:%30)400(%)201(⋅-+-⋅=x x x 解之得:240=x(2)第二次参加球类活动的学生为:12021%30)400(%)201(+=⋅-+-⋅x x x 。
第三次参加球类活动的学生为:18041%30)]12021(400[%)201()12021(+=⋅+-+-⋅+x x x 。
由20018041≥+x ,得80≥x ,又当80=x 时,第二次、第三次参加球类活动与田径类活动的人数均为整数。
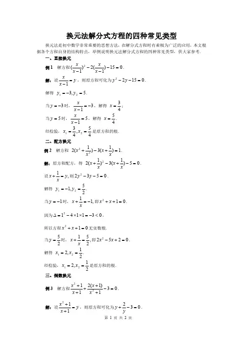
换元法解分式方程的四种常见类型换元法是初中数学非常重要的思想方法,在解分式方程时有着极为广泛的应用,本文根据各个方程自身的结构特点,举例说明换元法解分式方程的四种常见类型,供大家参考.一、直接换元例1解方程015)1(21(2=----x x x x .解:设y x x =-1,则原方程可化为01522=--y y .解得5,321=-=y y .当3-=y 时,31-=-x x ,解得43=x ;当5=y 时,51=-x x ,解得45=x .经检验,45,4321==x x 是原方程的根.二、配方换元例2解方程11(31(222=+-+x x x x .解:原方程配方,得05)1(31(22=-+-+x x x x .设,1y x x =+则05322=--y y .解得25,121=-=y y .当1-=y 时,,11-=+x x 即012=++x x .因为0311412<-=⨯⨯-=∆,所以方程012=++x x 无实数根.当25=y 时,,251=+x x 即02522=+-x x .解得21,221==x x .经检验,21,221==x x 是原方程的根.三、倒数换元例3解方程031)1(21122=-+++++x x x x .解:设y x x =+112,则原方程可化为032=-+yy .去分母,整理,得0232=+-y y ,解得2,121==y y .当1=y 时,1112=++x x ,即02=-x x .解得1,021==x x .当2=y 时,2112=++x x ,即0122=--x x .解得21,2143-=+=x x .经检验,,1,021==x x 21,2143-=+=x x 都是原方程的根.四、变形换元例4解方程12222422=+-+-x x x x .解:原方程可变形为05222)22(222=-+-++-x x x x .设y x x =+-222,则原方程可化为0522=-+y y .去分母,整理,得02522=+-y y .解得21,221==y y .当2=y 时,2222=+-x x ,即022=-x x .解得21,021==x x .当21=y 时,21222=+-x x ,即03242=+-x x .因为044344)2(2<-=⨯⨯--=∆,所以方程03242=+-x x 无实数根.经检验,21,021==x x 是原方程的根.。
换元法解分式方程的四种常见类型换元法是初中数学非常重要的思想方法,在解分式方程时有着极为广泛的应用,本文根据各个方程自身的结构特点,举例说明换元法解分式方程的四种常见类型,供大家参考.一、直接换元例1 解方程015)1(2)1(2=----x x x x . 解:设y x x =-1,则原方程可化为01522=--y y . 解得 5,321=-=y y .当3-=y 时,31-=-x x ,解得 43=x ; 当5=y 时,51=-x x ,解得 45=x . 经检验,45,4321==x x 是原方程的根. 二、配方换元例2 解方程 1)1(3)1(222=+-+x x xx . 解:原方程配方,得 05)1(3)1(22=-+-+xx x x . 设,1y xx =+则05322=--y y . 解得 25,121=-=y y . 当1-=y 时,,11-=+x x 即012=++x x . 因为0311412<-=⨯⨯-=∆,所以方程012=++x x 无实数根. 当25=y 时,,251=+x x 即02522=+-x x . 解得 21,221==x x . 经检验,21,221==x x 是原方程的根. 三、倒数换元例3 解方程031)1(21122=-+++++x x x x . 解:设y x x =++112,则原方程可化为032=-+y y .去分母,整理,得0232=+-y y ,解得 2,121==y y . 当1=y 时,1112=++x x ,即02=-x x . 解得 1,021==x x .当2=y 时,2112=++x x ,即0122=--x x . 解得 21,2143-=+=x x .经检验,,1,021==x x 21,2143-=+=x x 都是原方程的根.四、变形换元例4 解方程12222422=+-+-x x x x . 解:原方程可变形为05222)22(222=-+-++-x x x x . 设y x x =+-222,则原方程可化为0522=-+y y . 去分母,整理,得02522=+-y y .解得 21,221==y y . 当2=y 时,2222=+-x x ,即022=-x x .解得 21,021==x x . 当21=y 时,21222=+-x x ,即03242=+-x x . 因为044344)2(2<-=⨯⨯--=∆,所以方程03242=+-x x 无实数根. 经检验,21,021==x x 是原方程的根.。
根据换元法解分式方程
介绍
分式方程是数学中常见的类型之一。
为了解决分式方程,可以使用换元法,这是一个有用的策略。
本文将介绍如何根据换元法解分式方程。
步骤
以下是使用换元法解分式方程的基本步骤:
1. 首先,观察给定的分式方程。
确定方程中的分数项、变量和常数项。
2. 接下来,选择一个合适的代换变量。
这个代换变量应该能够简化方程并使其更易解。
3. 将代换变量代入原方程中,然后进行简化和化简。
这样可以消除分母,并得到只包含代换变量的新方程。
4. 解这个新方程,得出代换变量的值。
5. 最后,将代换变量的值代入原始方程中,求解原始方程,得到最终的解。
例子
以下是一个使用换元法解分式方程的例子:
假设我们有一个分式方程:$\frac{3x+2}{2x-1} = \frac{7}{4}$
我们可以选择代换变量 $u = 2x-1$。
将代换变量代入原方程,我们得到:$\frac{3u+8}{u} = \frac{7}{4}$。
然后我们会简化和化简这个新方程,得到:$12u + 32 = 7u$。
解这个新方程,我们得到 $u = -\frac{32}{5}$。
将代换变量的值代入原始方程,我们得到 $2x-1 = -
\frac{32}{5}$。
最终解得 $x = \frac{1}{10}$。
总结
换元法是解决分式方程的一种简单而有用的方法。
通过选择合适的代换变量,并跟随一系列步骤,我们可以找到分式方程的解。
然后将代换变量的值代入原始方程,我们最终可以得到分式方程的解。
1、(2010•苏州)解方程:.考点:换元法解分式方程;解一元二次方程-因式分解法。
专题:换元法。
分析:方程的两个分式具备平方关系,设=t,则原方程化为t2﹣t﹣2=0.用换元法转化为关于t的一元二次方程.先求t,再求x.解答:解:令=t,则原方程可化为t2﹣t﹣2=0,解得,t1=2,t2=﹣1,当t=2时,=2,解得x1=﹣1,当t=﹣1时,=﹣1,解得x2=,经检验,x1=﹣1,x2=是原方程的解.点评:换元法是解分式方程的常用方法之一,它能够把一些分式方程化繁为简,化难为易,对此应注意总结能用换元法求解的分式方程的特点,寻找解题技巧.2、(2010•嘉兴)(1)解不等式:3x﹣2>x+4;(2)解方程:+=2.考点:换元法解分式方程;解一元一次不等式。
分析:(1)按解一元一次不等式的步骤进行;(2)方程的两个部分具备倒数关系,设y=,则原方程另一个分式为.可用换元法转化为关于y的分式方程.先求y,再求x.结果需检验.解答:解:(1)3x﹣2>x+4,3x﹣x>4+22x>6x>3;(2)设=y,则原方程化为y+=2.整理得,y2﹣2y+1=0,解之得,y=1.当y=1时,=1,此方程无解.故原方程无解.点评:(1)移项时注意符号的变化.(2)用换元法解分式方程时常用方法之一,它能够把一些分式方程化繁为简,化难为易,对此应注意总结能用换元法解的分式方程的特点,寻找解题技巧.3、(2008•苏州)解方程:考点:换元法解分式方程;解一元二次方程-因式分解法。
专题:计算题;换元法。
分析:本题考查用换元法解分式方程的能力.观察方程由方程特点设=y,则可得:=y2.然后整理原方程化成整式方程求解.解答:解:设=y,则=y2,所以原方程可化为2y2+y﹣6=0.解得y1=﹣2,y2=.即:=﹣2或=.解得x1=2,.经检验,x1=2,是原方程的根.点评:换元法解分式方程可将方程化繁为简,化难为易,是解分式方程的常用方法之一,换元法的应用要根据方程特点来决定,因此要注意总结能够应用换元法解的分式方程的特点.4、(2008•上海)解方程:考点:换元法解分式方程;解一元二次方程-因式分解法。
解分式方程的方法分式方程是数学中常见的一类方程,它的特点是方程中含有分式形式的未知数。
解分式方程需要运用一些特定的方法和技巧,下面我将为大家介绍几种常见的解分式方程的方法。
一、通分法通分法是解分式方程的常用方法之一。
当方程中含有多个分式时,我们可以通过通分的方式将分母统一,从而简化方程的形式。
例如,对于方程$\frac{1}{x+1}+\frac{2}{x-1}=3$,我们可以通过通分得到$\frac{x-1}{x+1}+\frac{2(x+1)}{x+1}=3$,进一步化简为$\frac{x-1+2(x+1)}{x+1}=3$,最终得到$3x+1=3(x+1)$。
通过这种方法,我们可以将原方程转化为含有整式的方程,从而更容易求解。
二、消去法消去法是解分式方程的另一种常用方法。
当方程中含有分式形式的未知数时,我们可以通过消去分式的方式将方程转化为含有整式的方程。
例如,对于方程$\frac{2}{x}+\frac{3}{x-1}=1$,我们可以通过消去分式的方式得到$2(x-1)+3x=x(x-1)$,进一步化简为$2x-2+3x=x^2-x$,最终得到$x^2-6x+2=0$。
通过这种方法,我们可以将原方程转化为二次方程,进而求解出未知数的值。
三、分离变量法分离变量法是解分式方程的一种特殊方法,适用于含有分式形式的未知数和其他整式的方程。
例如,对于方程$\frac{x}{x+1}+2=3$,我们可以通过分离变量的方式将方程分解为$\frac{x}{x+1}=1$和$2=3$两个方程。
进一步化简后可得$x=x+1$和$2=3$,显然第二个方程无解,而第一个方程则表示$x$可以取任意实数。
通过这种方法,我们可以得到方程的解集。
四、换元法换元法是解分式方程的一种常见方法,通过引入新的变量来简化方程的形式。
例如,对于方程$\frac{1}{x}+\frac{1}{y}=1$,我们可以引入新的变量$t=x+y$,从而将方程转化为$\frac{1}{t}=1$。
换元法解分式方程初三( )班 姓名______ 学号__1. 已知方程03)12(2)12(2=-+++x x x x ,若把12+x x 看作y ,则原方程变为___________________.看老师用新的形式解这个方程.2. 用换元法解方程: ⑴06)1(5)1(2=+-+-x x x x ⑵3. 432324-++-x x x x 与有何关系?若设._________432 , 324=-+=+-x x y x x 则 4. ________111171)1(61)1(22222=++=++=+++++x x y x x x x x x ,则,若设已知,原方程变为_______________,去分母整理成一般形式为__________. 5. .351243222 ),则原方程变为( ,若设已知y x x x x x x =-=-+- A.012=-y B.0542=--y y C.0452=+-y y D.0152=+-y y小结(笔记):⑴当分式方程中含有较复杂的相同(或互为倒数)的式子时,用换元法求解可简化运算.⑵使用换元法时,注意被换的式子是完全一样还是只有倒数关系还是附带其它系数差异.6. 已知方程06215)215(2=-++-++x x x x ,设y x x =++215,则原方程变为________. 7. ,换元后原方程变为,设方程y x x x x x x =+=+++1 315 )1(2222_______,所得的方程化成整式方程为___________. 8. ,用换元法解时,设方程y x x x x ==-+-_________ 42331222换元后的方程化成.. 整式方程....为______________. 9. .____________2 112242222=-=-+-x x xx x x ,则已知 10. 用换元法解方程:⑴ 05)12(4)12(2=-+++x x x x ⑵ 8320322=+-+xx x x⑶选做:322222=-+-x x x x。
1、(2010•苏州)解方程:.考点:换元法解分式方程;解一元二次方程-因式分解法。
专题:换元法。
分析:方程的两个分式具备平方关系,设=t,则原方程化为t2﹣t﹣2=0.用换元法转化为关于t的一元二次方程.先求t,再求x.解答:解:令=t,则原方程可化为t2﹣t﹣2=0,解得,t1=2,t2=﹣1,当t=2时,=2,解得x1=﹣1,当t=﹣1时,=﹣1,解得x2=,经检验,x1=﹣1,x2=是原方程的解.点评:换元法是解分式方程的常用方法之一,它能够把一些分式方程化繁为简,化难为易,对此应注意总结能用换元法求解的分式方程的特点,寻找解题技巧.2、(2010•嘉兴)(1)解不等式:3x﹣2>x+4;(2)解方程:+=2.考点:换元法解分式方程;解一元一次不等式。
分析:(1)按解一元一次不等式的步骤进行;(2)方程的两个部分具备倒数关系,设y=,则原方程另一个分式为.可用换元法转化为关于y的分式方程.先求y,再求x.结果需检验.解答:解:(1)3x﹣2>x+4,3x﹣x>4+22x>6x>3;(2)设=y,则原方程化为y+=2.整理得,y2﹣2y+1=0,解之得,y=1.当y=1时,=1,此方程无解.故原方程无解.点评:(1)移项时注意符号的变化.(2)用换元法解分式方程时常用方法之一,它能够把一些分式方程化繁为简,化难为易,对此应注意总结能用换元法解的分式方程的特点,寻找解题技巧.3、(2008•苏州)解方程:考点:换元法解分式方程;解一元二次方程-因式分解法。
专题:计算题;换元法。
分析:本题考查用换元法解分式方程的能力.观察方程由方程特点设=y,则可得:=y2.然后整理原方程化成整式方程求解.解答:解:设=y,则=y2,所以原方程可化为2y2+y﹣6=0.解得y1=﹣2,y2=.即:=﹣2或=.解得x1=2,.经检验,x1=2,是原方程的根.点评:换元法解分式方程可将方程化繁为简,化难为易,是解分式方程的常用方法之一,换元法的应用要根据方程特点来决定,因此要注意总结能够应用换元法解的分式方程的特点.4、(2008•上海)解方程:考点:换元法解分式方程;解一元二次方程-因式分解法。
多角度运用换元法求解分式方程
吕敬敬
【期刊名称】《数理天地(初中版)》
【年(卷),期】2024()10
【摘要】解分式方程的常规方法是去分母或通分,但对一些特殊的分式方程往往不能奏效,换元法对此类分式方程能大显身手.本文列举三例分式方程,从多角度换元并进行求解.
【总页数】2页(P18-19)
【作者】吕敬敬
【作者单位】山东省文登第二中学
【正文语种】中文
【中图分类】G63
【相关文献】
1.换元法解分式方程、根式方程的检验问题
2.巧用换元法妙解分式方程
3.从一道竞赛题的求解看重积分换元法的重要性
4.局部换元法求解一类多元“根式和”问题
因版权原因,仅展示原文概要,查看原文内容请购买。