本科复变函数考试作业2参考答案
- 格式:docx
- 大小:114.57 KB
- 文档页数:4
东北大学东大奥鹏远程教育东北大学20秋学期《复变函数与积分变换》在线平时作业2参考答案试读一页20秋学期《复变函数与积分变换》在线平时作业21.【选项】:A AB BC CD D【答案】:B B |2.【选项】:A AB BC CD D【答案】:B B |3.【选项】:A AB BC CD D【答案】:D4.【选项】:A AB BC CD D【答案】:B B |5.【选项】:A AB BC CD D【答案】:A6.【选项】:A AB BC CD D【答案】:C C |7.【选项】:A AB BC CD D【答案】:C C |8.【选项】:A AB BC CD D【答案】:C9.【选项】:A AB BC CD D【答案】:B B |10.【选项】:A AC CD D【答案】:D D |11.【选项】:A AB BC CD D【答案】:C12.【选项】:A AB BC CD D【答案】:A13.【选项】:A AB BC CD D【答案】:C C |【选项】:A AB BC CD D【答案】:B B |15.【选项】:A AB BC CD D【答案】:B16.【选项】:A AB BC CD D【答案】:B B |17.【选项】:A AB BC CD D【答案】:A A |18.【选项】:A AB BC CD D【答案】:C C |19.【选项】:A AB BC CD D【答案】:A A |20.【选项】:A AB BC CD D【答案】:A A |21.【选项】:A 错误【答案】:A 错误 |22.【选项】:A 错误B 正确【答案】:A 错误 |23.【选项】:A 错误B 正确【答案】:B 正确 |24.【选项】:A 错误B 正确【答案】:B 正确 |25.【选项】:A 错误B 正确【答案】:B 正确 |【选项】:A 错误B 正确【答案】:B27. 每一个幂级数在它的收敛圆上处处收敛;【选项】:A 错误B 正确【答案】:A 错误 |28.【选项】:A 错误B 正确【答案】:A 错误 |29.【选项】:A 错误B 正确【答案】:A 错误 |30.【选项】:A 错误【答案】:B 正确 |。
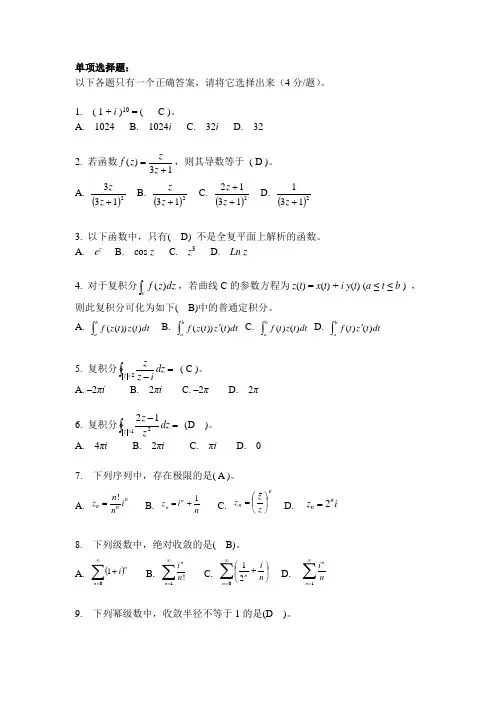
单项选择题:以下各题只有一个正确答案,请将它选择出来(4分/题)。
1. ( 1 + i )10 = ( C )。
A. 1024B. 1024iC. 32iD. 322. 若函数13)(+=z zz f ,则其导数等于 ( D )。
A.()2133+z zB.()213+z zC.()21312++z z D.()2131+z3. 以下函数中,只有( D) 不是全复平面上解析的函数。
A. e z B. cos z C. z 3 D. Ln z4. 对于复积分⎰cdz z f )(,若曲线C 的参数方程为z (t ) = x (t ) + i y (t ) (a ≤ t ≤ b ) ,则此复积分可化为如下( B)中的普通定积分。
A. ⎰badt t z t z f )())(( B.⎰'badt t z t z f )())((C.⎰badt t z t f )()(D.⎰'badt t z t f )()(5. 复积分⎰==-2z dz iz z( C )。
A. –2πiB. 2πiC. –2πD. 2π6. 复积分⎰==-1212z dz z z (D )。
A. 4πiB. 2πiC. πiD. 07. 下列序列中,存在极限的是( A )。
A. n n n i n n z !=B. n i z n n 1+=C. nn z z z ⎪⎭⎫ ⎝⎛= D. i z n n 2=8. 下列级数中,绝对收敛的是( B)。
A. ()∑∞=+01n ni B.∑∞=1!n nn i C. ∑∞=⎪⎭⎫ ⎝⎛+021n n n i D.∑∞=1n nni9. 下列幂级数中,收敛半径不等于1的是(D )。
A.∑∞=-11n n zn B.∑∞=1n nn z C.∑∞=-1)1(n nnz D. nn n z n ∑∞=-1!)1(10. 以下说法中,正确的是(A )。
A. 函数在一点解析的充分必要条件是它在这点的邻域内可以展开为幂级数B. 求幂级数收敛半径的方法有比值法、根值法和代换法C. 收敛幂级数的和函数不一定是解析函数D. 洛朗级数不包含负次幂项,而泰勒级数包含负次幂项11. 若|z | < 1,则=++++ 321z z z ( C)。
---《复变函数》考试试题(一)一、判断题( 20 分):1. 若 f(z) 在 z 0 的某个邻域内可导,则函数f(z) 在 z 0 解析 .2. 有界整函数必在整个复平面为常数.3. 若{ z n }收敛,则{Re z n } 与{Im z n }都收敛 .4. 若 f(z) 在区域 D 内解析,且f '( z),则f ( z) C(常数) 5. 若函数 f(z) 在 z 0 处解析,则它在该点的某个邻域内可以展开为幂级数6. 若 z 0 是 f ( z)的 m 阶零点,则 z 0 是 1/f (z)的 m 阶极点 .lim f ( z)7. 若 zz 0存在且有限,则 z 0 是函数 f(z) 的可去奇点 .( ) ( ) ( ). ( ).( )()()8. 若函数 f(z) 在是区域 D 内的单叶函数,则f ' (z) 0( zD ).()9. 若 f(z)在区域 D 内解析 , 则对 D 内任一简单闭曲线Cf z dz.( )C( )10. 若函数 f(z) 在区域 D 内的某个圆内恒等于常数,则 f(z)在区域 D 内恒等于常数 . ()二. 填空题( 20 分)1、|z z 0 |dz__________. ( n 为自然数)1 ( z z )n2.sin 2zcos 2z_________.3. 函数sin z的周期为 ___________.f (z)z 2 11,则f ( z)的孤立奇点有 __________.4.设5. 幂级数nz n 的收敛半径为 __________.n 06. 若函数 f(z) 在整个平面上处处解析,则称它是__________.lim z nlimz 1z 2 ...z n7. 若 n,则 nn______________.Res(e z8.n,0)________,其中 n 为自然数 .z---9.sin z的孤立奇点为 ________ .z若z 0 是 f (z)lim f (z)___10. 的极点,则z z.三. 计算题( 40 分):f (z)11. 设(z 1)( z 2) ,求 f ( z) 在 D { z : 0 | z | 1} 内的罗朗展式 .1dz.|z| 1cos z2.3. 设f ( z)3 271d{ z :| z | 3} ,试求 f ' (1 i ).Cz,其中 Cz 1w1 的实部与虚部 .4.求复数z四 . 证明题 .(20 分 )1. 函数f (z)在区域 D 内解析 . 证明:如果 | f ( z) |在 D 内为常数,那么它在D 内为常数 .2. 试证 : f ( z) z(1 z) 在割去线段 0Re z 1 的 z 平面内能分出两个单值解析分支,并求出支割线0 Re z 1上岸取正值的那支在 z 1的值 .《复变函数》考试试题(一)参考答案一. 判断题1.× 2.√ 3.√ 4.√5.√6.√ 7.×8.×9.× 10.×二.填空题2 in1 2.1 ;3. 2k , ( k z) ;4.z i ; 5.11.n;16. 整函数;7. ; 1 ; 9. 0; 10..8.(n 1)!三.计算题 .1. 解因为 0 z 1, 所以 0 z 1f ( z)1 1 1 z zn1 ( z )n.( z 1)(z 2) 1 z 2(1 )n 02 n 0 22---2.解因为z21Re s f (z)lim lim,cosz sin z1 z z z222Re s f (z)lim z2lim1 1 . cosz sin zz z z2 22所以1dz2i(Re s f (z)Re s f (z)0. z2 cosz z2z23.解令 ()3271,则它在 z 平面解析,由柯西公式有在z 3内,f (z)c ()dz2i(z) . z所以 f (1i )2i( z) z 1 i2i (136i )2(613i ) .4.解令 z a bi ,则w z 11212( a1bi )12( a1)2b2. z 1z 1222b22b( a 1) b( a 1)(a 1)z12(a1)z12bb2 .故 Re( z1)1( a1)2b2,Im(z1)(a1)2四. 证明题 .1.证明设在 D 内 f (z) C .令 f ( z) u iv ,2u2v2c2.则 f ( z)两边分别对 x, y 求偏导数,得uu x vv x0(1) uu y vv y0(2)因为函数在 D 内解析,所以 u x v y ,u y v x.代入 (2)则上述方程组变为uu x vv x0 .消去 u x得,(u2v2 )v x0 .vu x uv x01)若 u2v20 ,则 f (z)0 为常数.2)若 v x0,由方程(1) (2) 及C.R.方程有u x0,u y0 , v y0 .所以 u c1, v c2. ( c1 ,c2为常数).---所以 f ( z) c 1 ic 2 为常数 .2. 证明 f ( z)z(1 z) 的支点为 z 0,1 . 于是割去线段 0 Re z 1 的 z 平面内变点就不可能单绕 0 或 1 转一周 , 故能分出两个单值解析分支 .由于当 z 从支割线上岸一点出发 ,连续变动到 z0,1 时 , 只有 z 的幅角增加. 所以f ( z)z(1 z) 的幅角共增加. 由已知所取分支在支割线上岸取正值 , 于是可认为该分2z1的幅角为, 故 f ( 1)i2i .支在上岸之幅角为 0,因而此分支在2e22《复变函数》考试试题(二)一. 判断题 . (20 分)1. 若函数 f ( z)u( x, y) iv ( x, y) 在 D 内连续,则 u(x,y)与 v(x,y)都在 D 内连续 .( ) 2. cos z 与 sin z 在复平面内有界 .()3.若函数 f(z)在 z 解析,则 f(z)在 z 连续 .()0 04. 有界整函数必为常数 .一定不存在 .()5. 如 0是函数f(z)的本性奇点,则 lim f ( z) ()zz z 06. 若函数 f(z)在 z 0 可导,则 f(z)在 z 0 解析 .()7.若 f(z)在区域 D 内解析 , 则对 D 内任一简单闭曲线 Cf (z)dz0 .C( ) 8. 若数列 { z n } 收敛,则 {Re z n } 与 {Im z n } 都收敛 .() 9. 若 f(z)在区域 D 内解析,则 |f(z)|也在 D 内解析 .()10. 存在一个在零点解析的函数1 ) 0 1 1 1,2,... .f(z) 使 f (且 f ( ) ,nn 1 2n 2n( )二 . 填空题 . (20 分)1. 设 zi ,则 | z | __,arg z__, z __2.设 f (z) ( x 22xy) i(1 sin( x 2y 2 ), z x iy C ,则 limf ( z) ________.z 1i3.|z z 0| 1(zdz_________.z )n( n 为自然数)---4.幂级数 nz n的收敛半径为__________ .n05.若 z0是 f(z)的 m 阶零点且 m>0,则 z0是f '( z)的 _____零点 .6.函数 e z的周期为 __________.7.方程 2z5z33z 8 0 在单位圆内的零点个数为________.8.设 f ( z)1,则 f (z) 的孤立奇点有_________.21z9.函数 f ( z) | z | 的不解析点之集为________.10. Res(z41,1) ____ . z三. 计算题 . (40 分)1.求函数sin( 2z3)的幂级数展开式 .2.在复平面上取上半虚轴作割线 . 试在所得的区域内取定函数z在正实轴取正实值的一个解析分支,并求它在上半虚轴左沿的点及右沿的点 z i 处的值.i3.计算积分: I| z | dz,积分路径为(1)单位圆( | z | 1)i的右半圆 .sin z dzz 2(z) 24.求2.四. 证明题 . (20 分)1. 设函数 f(z)在区域 D 内解析,试证: f(z)在 D 内为常数的充要条件是 f (z) 在D内解析 .2.试用儒歇定理证明代数基本定理 .《复变函数》考试试题(二)参考答案一.判断题 .1.√2.×3.√4.√ 5.× 6.×7.×8.√9.× 10.× .二.填空题---1.1 ,, i ;2. 3(1sin 2)i ;3.2 i n14. 1;5. m 1 . 0n;216.2k i ,( k z) .7. 0;8. i;9.R ;10. 0.三.计算题1.解 sin(2 z3 )( 1)n (2 z3 )2 n 1(1)n 22n 1 z6n3.n 0(2 n1)!n 0(2n1)!2.解令 z re i.2 ki则 f ( z)z re2,(k0,1).又因为在正实轴去正实值,所以k0 .所以 f (i)ie 4.3.单位圆的右半圆周为z e i,ide i e i 所以 zdz22i22 4.解.2 2 2i .即 u, v 满足 C.R.,且u x , v y , u y ,v x连续 , 故f ( z)在D内解析 .( 充分性 ) 令f ( z)u iv, 则 f ( z)u iv ,因为 f ( z) 与 f ( z) 在D内解析,所以u x v y , u y v x,且 u x ( v) y v y , u y( v x )v x.比较等式两边得u x v y u y v x0 .从而在 D 内 u, v 均为常数,故f ( z)在 D 内为常数.2. 即要证“任一n次方程a0 z n a1z n1a n 1z a n0(a00) 有且只有n 个根”.证明令 f (z)a0 z n a1z n 1a n1za n0 ,取 R max a1a n,1 ,当 za0在 C : z R 上时,有(z)a1 R n 1an 1R a n( a1a n )R n 1a0R n.f ( z) .由儒歇定理知在圆z R 内,方程 a0 z n a1z n 1a n 1z a n0与 a0 z n0有相---同个数的根 . 而 a 0 z n 0 在 z R 内有一个 n 重根 z 0 . 因此 n 次方程在 z R 内有 n 个根 .《复变函数》考试试题(三)一 . 判断题 . (20 分).1. cos z 与 sin z 的周期均为 2k .( )2. 若 f ( z) 在 z 0 处满足柯西 - 黎曼条件 , 则 f ( z) 在 z 0 解析 . ( )3. 若函数 f ( z) 在 z 0 处解析,则 f ( z) 在 z 0 连续 . ( )4. 若数列 { z n } 收敛,则 {Re z n } 与 {Im z n } 都收敛 .( )5.若函数 f ( z) 是区域 D 内解析且在 D 内的某个圆内恒为常数,则数 f ( z) 在区域 D 内为常数 . ( )6. 若函数 f ( z) 在 z 0 解析,则 f ( z) 在 z 0 的某个邻域内可导 . ()7.如果函数 f ( z) 在 D{ z :| z | 1} 上解析 , 且 | f (z) | 1(| z | 1) , 则| f ( z) | 1(| z | 1) .( )8.若函数 f ( z) 在 z 0处解析,则它在该点的某个邻域内可以展开为幂级数.( ) 9. 若 z 0 是 f ( z) 的 m 阶零点 , 则 z 0 是 1/ f ( z) 的 m 阶极点 . ( )10.若z 0 是 f (z)的可去奇点,则 Res( f ( z), z 0 ) 0. ( )二 . 填空题 . (20 分)1. 设 f ( z)1 ,则 f ( z) 的定义域为 ___________.2 z 12. 函数 e z 的周期为 _________.3. 若 z nn 2 i (1 1) n ,则 lim z n__________.1 nnn4. sin 2 z cos 2 z___________.dz5.|z z 0 | 1(z z )n( n 为自然数)_________.6. 幂级数nx n 的收敛半径为 __________.n设 f (z) 1f z 的孤立奇点有z 2 1,则7.( ) __________.ez---9.若 z 是 f (z)的极点,则 lim f (z) ___ .z z 0z10.Res(en ,0) ____ .z三 . 计算题 . (40 分)11. 将函数 f ( z) z 2e z 在圆环域 0 z内展为 Laurent 级数 .2. 试求幂级数n!z n的收敛半径 .n nn3. 算下列积分:e zdz,其中 C是| z |1.Cz 2 (z29)4. 求 z92z6z 28z 2 0 在| z|<1内根的个数 .四 . 证明题 . (20 分)1.函数 f (z) 在区域 D 内解析 . 证明:如果 | f ( z) |在 D 内为常数,那么它在D 内为常数 .2.设 f (z) 是一整函数,并且假定存在着一个正整数 n ,以及两个正数 R 及 M ,使得当 | z|R 时| f ( z) |M | z |n,证明 f (z) 是一个至多 n 次的多项式或一常数。
复变函数与积分变换同步练习参考答案中北大学复变函数教研室编印1复变函数同步练习第一章参考答案三、作业题1、(1)设23412i z i +⎛⎞=⎜⎟−⎝⎠,则z = 5 ,辐角主值为4arctan()3π−。
(2)设55(1)1(1)1i z i −−=++,则其实部为125−,虚部为3225−。
提示:本题注意到2(1)2i i −=−,2(1)2i i +=。
则52225222(1)1[(1)](1)1(2)(1)1132(1)1[(1)](1)1(2)(1)12525i i i i i z i i i i i i −−−−−−−−====−−+++++++ 。
(3)一复数对应的向量按逆时针方向旋转23π时对应的复数为1i +,则原复数为1122−+−+。
提示:本题相当于解23111(1)()(1)2222i z ei i i i π−−+−=+=−−+=+。
(4)设1z =2z i =−,则12z z 的指数式i122e π,12zz 的三角式为 155[cos sin 21212i ππ+。
(5)2122lim1z zz z z z →+−−=−32。
提示:211122(2)(1)23limlim lim 1(1)(1)12z z z zz z z z z z z z z z →→→+−−+−+===−−++。
(6)设复数z 满足arg(2)3z π+=,5arg(2)6z π−=,那么z=1−+。
提示:(利用复数的几何意义)向量2z −与向量2z +夹角为5632πππ−=,在复平面上,代表复数2z −、z 、2z +的点在平行于x 轴的直线上(由于此三点的虚轴没有发生变2化)。
连接0,2z +,2z −的三角形为Rt Δ。
因此推出向量2z =,2arg 3z π=,即1z =−+。
本题也可以利用代数法来做。
2、把复数πααα≤≤+−=0,sin cos 1i z 化为三角表示式与指数表示式,并求z 的辐角主值。
复变函数习题答案,南昌大学,单元练习部分复变函数部分习题解答分析作业卷(一)一判断题1.复数7+6i1+3i.×.两个复数,只有都是实数时,才可比较大小.2.若z为纯虚数,则z=z.√.按书上定义,纯虚数指yi,y=0,若z=yi,则z= yi.3.函数w=arg(z)在z= 3处不连续.√.当z从下方→ 3时,w=arg(z)的极限为π;当z从上方→ 3时,w=arg(z)的极限为π.4.f(z)=u+iv在z0=x0+iy0点连续的充分必要条件是u(x,y),v(x,y)在(x0,y0)点连续.√.Th1.4.3.5.参数方程z=t2+ti(t为实参数)所表示的曲线是抛物线y=x2.×.x=y2.二填空题1.若等式i(5 7i)=(x+i)(y i)成立,则x=分析:两复数相等的定义.x= 6,y= 1,2.方程Im(i z)=3表示的曲线是3.方程z3+27=0的根为4.复变函数w=z 2,y=.或x=1,y=6.分析:由复数相等,Im(i z)=Im[i (x iy)]=Im[ x+(1+y)i]=1+y=3,故填y=2.kππ+2kπ分析:z3=27eiπ,z=271/3(cos(π+2)+sin()),k=0,1,2,z= 3, 3±3√的实部u(x,y)=,虚部v(x,y)=x22,π.v(x,y)=.3y.分析:将z=x+iy代入,分离实部、虚部,得u(x,y)=5.设z1=2i,z2=1 i,则Arg(z1z2)=π分析:arg(z1)=π,arg(z2)= ,Arg(z1z2)=√6.复数z= 2i的三角表示式为i( π)5分析:4[cos( 5.π)+isin( π)],4e5ππ+2kπ=+2kπ,(k=0,±1,±2,).,指数表示式为三计算、证明题√1.求出复数z=( 1+i)4的模和辐角.√48πππ4解z=( 1+i)=24(cos2+isin2)=16ei,|z|=16,Arg(z)=2.设z=x+iy满足Re(z2+3)=4,求x与y的关系式.解Re(z2+4)=Re(x2 y2+3+2xyi)=4,x2 y2=1.3.求f(z)=解由w=112π+2kπ,k=0,±1,±2,.将平面上的直线y=1所映射成w平面上的曲线方程.1,x得z=+iy=uvi.v又由y=1得=1,u2+v2+v=0.π4.求角形域0arg(z)解arg(w)=arg(z),解将x=一判断题z+z,yπ而π在映射w=z下的象.arg(z)0,角形域0arg(z)在映射w=z下的象为πarg(w)0.5.将直线方程2x+3y=1化为复数形式.=z z3代入2x+3y=1并整理得(1 3z=1.i)z+(1+i)作业卷(二)1.若f′(z)在区域D内处处为零,则f(z)在D内必恒为常数.√.在D内f′(z)=ux+ivx≡0,ux=vx=0.从而vy=ux=0,uy= vx=0.综上结论成立.2.若u(x,y)和v(x,y)可导,则f(z)=u+iv也可导.×.若u(x,y)和v(x,y)可导,则u,v之间一般没有什么直接关系.f(z)=u+iv可导,u,v之间一个几乎完全确定另一个(活动的余地只是一个常数).3.若f(z)在z0点不解析,则f(z)在点z0必不可导.×.参见三2.4.|sinz|≤1.×.复变函数中,sinz无界.如|sinik|=|eiik iik|=|ek k|→+∞(k→+∞,k0).5.函数f(z)=u(x,y)+iv(x,y)在点z0=x0+iy0可微等价于u(x,y)和v(x,y)在点(x0,y0)可微.×.函数f(z)=u(x,y)+iv(x,y)在点z0=x0+iy0可微等价于u(x,y)和v(x,y)在点(x0,y0)可微且满足 C R条件.反例u=x,v= y.du=dx+0dy,dv=0dx dy,u,v都可微但f(z)=u+iv=x iy无处可微.6.函数ez是周期函数.√.2πi为其周期.二填空题1.设ez= 3+4i,则Re(iz)=分析:对z= 3+4i两边取自然对数,有z=Ln( 3+4i)=ln| 3+4i|+iarg( 3+4i)+2kπi,从4而Re(iz)=i[iarg( 3+4i)+2kπi]=arctan+(2k+1)π.(注:这里是从集合角度说)2.3i=分析:3i=eiLn3=ei[ln3+iarg(3)+2kπi]=ei[ln3+2kπi]=e2kπ(cosln3+isinln3).3.( 1+i)i=分析:(1+4.cos2i=分析:cos2i=5.方程eiz=ei2i+e i2ie2+e 2=e iz的解为z=i)i=eiLn(1+i)=ei[ln|1+i|+iarg(1+i)+2kπi]=ei[ln√iπ+2kπi]=e2kπ π(cosln√+isinln√=cosh2.(注:后两结果都可)分析:两边同乘以eiz,得e2iz=1.两边取自然对数,得2iz=Ln1=ln|1|+iarg(1)+2kπi=2kπi,z=kπ.6.设z=x+iy,则ei 2z的模为分析:|ei 2z|=|ei 2(x+iy)|=e 2x.7.函数f(z)=u+iv在z0=x0+iy0点连续是f(z)在该点解析的三计算、证明题y在域x0内是解析函数.1.问k取何值时,f(z)=kln(x2+y2)+iarctan 条件.分析:f(z)在该点解析,则f(z)在该点的某一个邻域内可导,在该点当然连续。
《复变函数》考试试题(二)一. 判断题.(20分)1. 若函数),(),()(y x iv y x u z f +=在D 内连续,则u (x,y )与v (x,y )都在D 内连续.( )2. cos z 与sin z 在复平面内有界. ( )3. 若函数f (z )在z 0解析,则f (z )在z 0连续. ( )4. 有界整函数必为常数. ( )5. 如z 0是函数f (z )的本性奇点,则)(lim 0z f z z →一定不存在. ( ) 6. 若函数f (z )在z 0可导,则f (z )在z 0解析. ( )7. 若f (z )在区域D 内解析, 则对D 内任一简单闭曲线C 0)(=⎰Cdz z f . ( )8. 若数列}{n z 收敛,则}{Re n z 与}{Im n z 都收敛. ( )9. 若f (z )在区域D 内解析,则|f (z )|也在D 内解析. ( )10. 存在一个在零点解析的函数f (z )使0)11(=+n f 且,...2,1,21)21(==n nn f . ( )二. 填空题. (20分)1. 设i z -=,则____,arg __,||===z z z2.设C iy x z y x i xy x z f ∈+=∀+-++=),sin(1()2()(222,则=+→)(lim 1z f i z ________.3. =-⎰=-1||00)(z z n z z dz _________.(n 为自然数)4. 幂级数0n n nz ∞=∑的收敛半径为__________ .5. 若z 0是f (z )的m 阶零点且m >0,则z 0是)('z f 的_____零点.6. 函数e z 的周期为__________.7. 方程083235=++-z z z 在单位圆内的零点个数为________.8. 设211)(z z f +=,则)(z f 的孤立奇点有_________. 9. 函数||)(z z f =的不解析点之集为________.10. ____)1,1(Res 4=-zz . 三. 计算题. (40分)1. 求函数)2sin(3z 的幂级数展开式. 2. 在复平面上取上半虚轴作割线. 试在所得的区域内取定函数z 在正实轴取正实值的一个解析分支,并求它在上半虚轴左沿的点及右沿的点i z =处的值.3. 计算积分:⎰-=ii z z I d ||,积分路径为(1)单位圆(1||=z )的右半圆.4. 求 dz z z z ⎰=-22)2(sin π.四. 证明题. (20分)1. 设函数f (z )在区域D 内解析,试证:f (z )在D 内为常数的充要条件是)(z f 在D 内解析.2. 试用儒歇定理证明代数基本定理.《复变函数》考试试题(二)参考答案一. 判断题.1.√ 2.×3.√ 4.√ 5.×6.×7.×8.√ 9.×10.×.二. 填空题1.1,2π-, i ;2. 3(1sin 2)i +-;3. 2101i n n π=⎧⎨≠⎩; 4. 1; 5. 1m -. 6. 2k i π,()k z ∈. 7. 0; 8. i ±; 9. R ; 10. 0.三. 计算题1. 解 3212163300(1)(2)(1)2sin(2)(21)!(21)!n n n n n n n z z z n n +++∞∞==--==++∑∑. 2. 解 令i z re θ=.则22(),(0,1)k i f z k θπ+===.又因为在正实轴去正实值,所以0k =.所以4()i f i e π=.3. 单位圆的右半圆周为i z e θ=, 22ππθ-≤≤.所以22222i i i i z dz de e i ππθθππ---===⎰⎰.4. 解 dz z zz ⎰=-22)2(sin π2)(sin 2ππ='=z z i 2cos 2ππ==z zi =0.四. 证明题.1. 证明 (必要性) 令12()f z c ic =+,则12()f z c ic =-. (12,c c 为实常数). 令12(,),(,)u x y c v x y c ==-. 则0x y y x u v u v ====. 即,u v 满足..C R -, 且,,,x y y x u v u v 连续, 故()f z 在D 内解析. (充分性) 令()f z u iv =+, 则 ()f z u iv =-,因为()f z 与()f z 在D 内解析, 所以,x y y x u v u v ==-, 且(),()x y y y x x u v v u v v =-=-=--=-. 比较等式两边得 0x y y x u v u v ====. 从而在D 内,u v 均为常数,故()f z 在D 内为常数.2. 即要证“任一 n 次方程 101100(0)n n n n a z a z a z a a --++⋅⋅⋅++=≠ 有且只有 n 个根”.证明 令1011()0n n n n f z a z a z a z a --=++⋅⋅⋅++=, 取10max ,1n a a R a ⎧⎫+⋅⋅⋅+⎪⎪>⎨⎬⎪⎪⎩⎭, 当z 在:C z R =上时, 有 111110()()n n n n n n z a R a R a a a R a R ϕ---≤+⋅⋅⋅++<+⋅⋅⋅+<. ()f z =.由儒歇定理知在圆 z R < 内, 方程10110n n n n a z a z a z a --++⋅⋅⋅++= 与 00n a z = 有相同个数的根. 而 00n a z = 在 z R < 内有一个 n 重根 0z =. 因此n 次方程在z R <内有n 个根.。
第二章习题详解1. 利用导数定义推出: 1)()1-=n n nzz '(n 为正整数)解: ()()()()()z z z z z n n z nz z z z z z z nn n n n z n n z n∆∆∆∆∆∆∆∆-⎥⎦⎤⎢⎣⎡++-++=-+=--→→Λ22100121limlim '()()11210121----→=⎥⎦⎤⎢⎣⎡++-+=n n n n z nz z z z n n nz ∆∆∆Λlim 2) 211z z -=⎪⎭⎫⎝⎛'解: ()()2000111111z zz z z z z z z z z z z z z z z -=+-=+-=-+=⎪⎭⎫ ⎝⎛→→→∆∆∆∆∆∆∆∆∆lim lim lim '2. 下列函数何处可导?何处解析? 1)()iy x z f -=2解:设()iv u z f +=,则2x u =,y v -=x x u 2=∂∂,0=∂∂y u ,0=∂∂xv,1-=∂∂y v 都是连续函数。
只有12-=x ,即21-=x 时才满足柯西—黎曼方程。
()iy x z f -=∴2在直线21-=x 上可导,在复平面内处处不解析。
2)()3332y i x z f +=解:设()iv u z f +=,则32x u =,33y v =26x x u =∂∂,0=∂∂y u ,0=∂∂xv ,29y y v =∂∂都是连续函数。
只有2296y x =,即032=±y x 时才满足柯西—黎曼方程。
()3332y i x z f +=∴在直线032=±y x 上可导,在复平面内处处不解析。
3)()y ix xy z f 22+=解:设()iv u z f +=,则2xy u =,y x v 2=2y x u =∂∂,xy y u 2=∂∂,xy xv 2=∂∂,2x y v =∂∂都是连续函数。
国开电大 复变函数 形考任务2答案一、选择题1. 2x+2yi2.3. 处处解析4. 连续二、填空题5. 不解析6. 的某个邻域内处处可导7. 2z+28. -三、计算题 9. 解: =10. 解:f(z)=e x cosy+ie x siny=e z,z=x+iy u=e x cosy v=e x sinyf(z)=u+iv∴f(z)在复平面解析,且 =e x cosy+ie x siny∆Z-∆Z +→∆)0()0(lim 0f f z ∆Z ∆Z ∆Z →∆)Re(lim 0z 0)Re(lim 0=∆Z =→∆z y e y v x u x cos =∂∂=∂∂y e yv y u x sin =∂∂-=∂∂iey e z f x +='cos )()(z f '11. 解:依C-R 条件有Vy=ux=3x 2-3y 2则V (x1y )=3x 2y-y 3+c(c 为常数)故f(z)=x 3-3xy 2+i(3x 2y-y 3+c)=x 3-3xy 2+i(cx 2y-y 3)+ic =z 3+ic ,为使f(i)=0, 当x=0,y=1时,f(i)=0, 有f(0)=-i+ic=0∴c=1 ∴f(z)=Z 3+i12. 解:依C-R 条件有Vy=ux=2y∴V= =y 2+ϕ(x) ∴Vx= ∴ϕ(x)= V=y 2-x 2+2x+c(c 为常数)∴f(z)=2(x-1)y+i(y 2-x 2+2x+c)为使f(z)=-i,当x=2 y=0时,f(2)=ci=-i ∴c=-1 ∴f(z)=2(x-1)y+i(y 2-x 2+2x-1)=-(z-1)2i四、证明题13. 解:令f(z)=u+iv z=x+iy则iz=i(x+iy)=-y+ix∴u=-y v=x于是ux=0 uy=-1Vx=1 Vy=0∵ux、uy 、vx 在复平面内处处连接cx Q xyuy x Q xy v x Q y y x dy y x v x =∴=-='+=∴+-=-=∴⎰)(6)(6)(3)33(3222⎰ydy 2z x uy x +-=-='2)(ϕ⎰++-=+-cx x dx x 2)22(2又Ux=Vy Uy=-Vx。
习题一1. 用复数的代数形式a +ib 表示下列复数π/43513;;(2)(43);711i i e i i i i i-++++++. ①解:i 4πππecos isin 44-⎛⎫⎛⎫⎛⎫=-+-== ⎪ ⎪ ⎪ ⎪⎝⎭⎝⎭⎝⎭②解:()()()()35i 17i 35i 1613i 7i 11+7i 17i 2525+-+==-++- ③解: ()()2i 43i 834i 6i 510i ++=-++=+ ④解:()31i 1335=i i i 1i 222-+-+=-+2.求下列各复数的实部和虚部(z =x +iy )(z a a z a -∈+); 333;;;.n z i①解: ∵设z =x +iy 则()()()()()()()22i i i i i i x a y x a y x y a x a y z a z a x y a x a y x a y -++-⎡⎤⎡⎤+--+-⎣⎦⎣⎦===+++++++∴()22222Re z a x a y z a x a y ---⎛⎫= ⎪+⎝⎭++, ()222Im z a xy z a x a y -⎛⎫= ⎪+⎝⎭++. ②解: 设z =x +iy∵()()()()()()()()323222222223223i i i 2i i 22i33iz x y x y x y x y xy x y x x y xy y x y x y x xy x y y =+=++=-++⎡⎤=--+-+⎣⎦=-+-∴()332Re 3z x xy =-,()323Im 3z x y y =-.③解:∵(()(){}33232111313188-+⎡⎤⎡⎤==--⋅-⋅+⋅-⎢⎥⎢⎥⎣⎦⎣⎦⎝⎭()180i 18=+=∴Re 1=⎝⎭, Im 0=⎝⎭.④解:∵()()(()2332313131i 8⎡⎤--⋅-⋅+⋅-⎢⎥⎣⎦=⎝⎭()180i 18=+=∴Re 1=⎝⎭, Im 0=⎝⎭. ⑤解: ∵()()1,2i 211i,kn kn k k n k ⎧-=⎪=∈⎨=+-⋅⎪⎩ . ∴当2n k =时,()()Re i 1kn =-,()Im i 0n =;当21n k =+时,()Re i 0n =,()()Im i 1kn =-.3.求下列复数的模和共轭复数12;3;(2)(32);.2ii i i +-+-++①解:2i -+2i 2i -+=--②解:33-=33-=-③解:()()2i 32i 2i 32i ++=++=.()()()()()()2i 32i 2i 32i 2i 32i 47i ++=+⋅+=-⋅-=-④解:1i 1i 22++==()1i 11i222i ++-⎛⎫== ⎪⎝⎭4、证明:当且仅当z z =时,z 才是实数. 证明:若z z =,设i z x y =+,则有 i i x y x y +=-,从而有()2i 0y =,即y =0∴z =x 为实数.若z =x ,x ∈ ,则z x x ==. ∴z z =.命题成立.5、设z ,w ∈ ,证明: z w z w ++≤证明:∵()()()()2z w z w z w z w z w +=+⋅+=++()()22222Re z z z w w z w wz zw z w w z wz w =⋅+⋅+⋅+⋅=++⋅+=++⋅()2222222z w z wz w z w z w ++⋅=++⋅=+≤∴z w z w ++≤.6、设z ,w ∈ ,证明下列不等式. ()2222Re z w z z w w +=+⋅+ ()2222Re z w z z w w -=-⋅+()22222z w z w z w++-=+并给出最后一个等式的几何解释.证明:()2222Re z w z z w w +=+⋅+在上面第五题的证明已经证明了. 下面证()2222Re z w z z w w -=-⋅+.∵()()()()222z w z w z w z w z w z z w w z w-=-⋅-=--=-⋅-⋅+()222Re z z w w =-⋅+.从而得证.∴()22222z w z w z w++-=+几何意义:平行四边形两对角线平方的和等于各边的平方的和.7.将下列复数表示为指数形式或三角形式3352π2π;;1;8π(1);.cos sin 7199i i i i +⎛⎫--++ ⎪+⎝⎭ ①解:()()()()35i 17i 35i 7i 117i 17i +-+=++-3816i 198i e 5025i θ⋅--=== 其中8πarctan 19θ=-. ②解:e i i θ⋅=其中π2θ=.π2e ii =③解:ππi i 1e e -==④解:()28π116ππ3θ-==-.∴()2πi 38π116πe--=⋅⑤解:32π2πcos isin 99⎛⎫+ ⎪⎝⎭ 解:∵32π2πcos isin 199⎛⎫+= ⎪⎝⎭.∴322πi π.3i 932π2πcos isin 1e e 99⋅⎛⎫+=⋅= ⎪⎝⎭8.计算:(1)i 的三次根;(2)-1的三次根;(3)的平方根. ⑴i 的三次根.()13ππ2π2πππ22cos sin cosisin 0,1,22233++⎛⎫+=+= ⎪⎝⎭k k i k∴1ππ1cosisin i 662=+=z .2551cos πi sin πi 662=+=z3991cos πi sin πi 662=+=-z ⑵-1的三次根()()132π+π2ππcos πisin πcos isin 0,1,233k k k ++=+=∴1ππ1cosisin 332=+=z 2cos πisin π1=+=-z3551cos πi sin π332=+=--z的平方根.解:πi 4e ⎫=⎪⎪⎝⎭)()1π12i 44ππ2π2π44e6cos isin 0,122k k k ⎛⎫++ ⎪=⋅+= ⎪⎝⎭∴π11i 8441ππ6cos isin 6e 88⎛⎫=⋅+=⋅ ⎪⎝⎭z911πi 8442996cos πisin π6e 88⎛⎫=⋅+=⋅ ⎪⎝⎭z .9.设2πe ,2inz n =≥. 证明:110n z z -+++=证明:∵2πi e nz ⋅= ∴1n z =,即10n z -=.∴()()1110n z z z --+++=又∵n ≥2. ∴z ≠1 从而211+0n z z z -+++=11.设Γ是圆周{:},0,e .i z r r a c r z c α=>=+-令:Im 0z a L z b β⎧-⎫⎛⎫==⎨⎬⎪⎝⎭⎩⎭, 其中e i b β=.求出L β在a 切于圆周Γ的关于β的充分必要条件.解:如图所示.因为L β={z : Im z a b -⎛⎫⎪⎝⎭=0}表示通过点a 且方向与b 同向的直线,要使得直线在a 处与圆相切,则CA ⊥L β.过C 作直线平行L β,则有∠BCD =β,∠ACB =90° 故α-β=90°所以L β在α处切于圆周T 的关于β的充要条件是α-β=90°.12.指出下列各式中点z 所确定的平面图形,并作出草图.(1)arg π;(2);1(3)1|2;(4)Re Im ;(5)Im 1 2.z z z z i z z z z ==-<+<>><且解:(1)、argz =π.表示负实轴.(2)、|z -1|=|z |.表示直线z =12.(3)、1<|z +i|<2解:表示以-i 为圆心,以1和2为半径的周圆所组成的圆环域。
习题一答案1.求下列复数的实部、虚部、模、幅角主值及共轭复数:(1)132i+(2)(1)(2)ii i--(3)131ii i--(4)8214i i i-+-解:(1)1323213i zi-==+,因此:32 Re, Im1313 z z==-,232arg arctan,31313z z z i==-=+(2)3(1)(2)1310i i izi i i-+===---,因此,31Re, Im1010z z=-=,131arg arctan,31010z z z iπ==-=--(3)133335122i i iz ii i--=-=-+=-,因此,35Re, Im32z z==-,535,arg arctan,232iz z z+==-=(4)82141413z i i i i i i=-+-=-+-=-+因此,Re1,Im3z z=-=,arg arctan3,13z z z iπ==-=--2.将下列复数化为三角表达式和指数表达式:(1)i(2)1-+(3)(sin cos)r iθθ+(4)(cos sin)r iθθ-(5)1cos sin (02)iθθθπ-+≤≤解:(1)2cos sin22ii i eπππ=+=(2)1-+23222(cos sin )233i i e πππ=+=(3)(sin cos )r i θθ+()2[cos()sin()]22ir i reπθππθθ-=-+-=(4)(cos sin )r i θθ-[cos()sin()]i r i re θθθ-=-+-=(5)21cos sin 2sin 2sin cos 222i i θθθθθ-+=+ 22sin [cossin]2sin 2222ii eπθθπθπθθ---=+=3. 求下列各式的值:(1)5)i - (2)100100(1)(1)i i ++-(3)(1)(cos sin )(1)(cos sin )i i i θθθθ-+-- (4)23(cos5sin 5)(cos3sin 3)i i ϕϕϕϕ+-(5(6解:(1)5)i -5[2(cos()sin())]66i ππ=-+-5552(cos()sin()))66i i ππ=-+-=-+(2)100100(1)(1)i i ++-50505051(2)(2)2(2)2i i =+-=-=-(3)(1)(cos sin )(1)(cos sin )i i i θθθθ-+--2[cos()sin()](cos sin )33)sin()][cos()sin()]44i i i i ππθθππθθ-+-+=-+--+-)sin()](cos2sin 2)1212i i ππθθ=-+-+(2)12)sin(2)]1212ii πθππθθ-=-+-=(4)23(cos5sin 5)(cos3sin 3)i i ϕϕϕϕ+- cos10sin10cos19sin19cos(9)sin(9)i i i ϕϕϕϕϕϕ+==+-+- (5=11cos (2)sin (2)3232k i k ππππ=+++1, 0221, 122, 2i k i k i k +=⎪⎪⎪=-+=⎨⎪-=⎪⎪⎩(6=11(2)sin (2)]2424k i k ππππ=+++88, 0, 1i i e k e k ππ==⎪=⎩4.设12 ,z z i ==-试用三角形式表示12z z 与12z z解:12cossin, 2[cos()sin()]4466z i z i ππππ=+=-+-,所以12z z 2[cos()sin()]2(cos sin )46461212i i ππππππ=-+-=+,12z z 1155[cos()sin()](cos sin )2464621212i i ππππππ=+++=+ 5. 解下列方程: (1)5()1z i += (2)440 (0)z a a +=>解:(1)z i += 由此25k iz i e iπ=-=-,(0,1,2,3,4)k=(2)z==11[cos(2)sin(2)]44a k i kππππ=+++,当0,1,2,3k=时,对应的4(1),1),1),)i i i i+-+---6.证明下列各题:(1)设,z x iy=+z x y≤≤+证明:首先,显然有z x y=≤+;其次,因222,x y x y+≥固此有2222()(),x y x y+≥+从而z=≥。
(含答案)复变函数与积分变换习题解析2习题2.11. 判断下列命题的真假,若真,给出证明;若假,请举例说明.(1)如果()f z 在0z 连续,那么0()f z '存在.(2)如果0()f z '存在,那么)(z f 在0z 解析.(3)如果0z 是()f z 的奇点,那么()f z 在0z 不可导.(4)如果0z 是()f z和()g z 的⼀个奇点,那么0z 也是()()f z g z +和()()f z g z ?的奇点.(5)如果(,)u x y 和(,)v x y 可导,那么()(,)(,)f z u x y iv x y =+亦可导.2.应⽤导数定义讨论函数)Re()(z z f =的可导性,并说明其解析性.3.证明函数在0z =处不可导.习题2.21. 设试证)(z f 在原点满⾜柯西-黎曼⽅程,但却不可导.(提⽰:沿抛物线x y =2趋向于原点)2. 判断下列函数在何处可导,何处解析,并在可导处求出其导数.(1)y ix xy z f222)(+=;(2)i y x y x z f 22332)(+-=;(3)=)(z f232z z -+;(4)22()2(1(2)f z x y i x y y =-+-+). 3.(1 (2 (3)iy x z f 2)(+=;(4 4. (1)iz z z f 2)(3+=;(25. 讨论下列各函数的解析性.(1)3223()33f z x x yi xy y i =+--;(2 (0)z ≠;(3)1(33)x iy ω-=-;(4习题2.31. 证明下列u 或v 为某区域的调和函数,并求解析函数()f z u iv =+.(1)2(1)u x y =-;(2)3223u x x xy =-+;(3)323u x xy =-;(4)23v xy x =+;(5)x y x v 222+-=;(62. 求k 值使22ky x u +=为调和函数,并求满⾜1)(-=i f 的解析函数iv u z f +=)(.3. 设函数iv u z f +=)(是⼀个解析函数,且y x xy y x y x v u 22332233---+-=+,求iv u z f +=)(.4. 证明:如果函数iv u z f +=)(在区域D 内解析,并满⾜下列条件之⼀,则)(z f 是常数.(1(2(3(4(5.5.(1(2)u -是v 的共轭调和函数.6. 如果iv u z f +=)(是z 的解析函数,证明:(1(2习题2.41.(2 (3(4(5(6)()i Ln e ;(7)i 3;(8)i i )1(+;(9)1(34)i i ++;(10))1sin(i +;(11)cos(5)i π+;(12)i ei cos 1++π.2(1 (2)0cos sin =+z z .3. (1 (2 (34.证明:(1)121212sin()sin cos cos sin z z z z z z +=+,212121sin sin cos cos )cos(z z z z z z -=+;2)1cos sin 22=+z z ;(3(4 (55.证明:(1)122=-z sh z ch ;(2)z ch z sh z ch 222=+;(3)cos sin shz shx y ichx y =+,cos sin chz chx y ishx y =+;(4)212121)(shz chz chz shz z z sh +=+,212121)(shz shz chz chz z z ch +=+.复习题⼆⼀、单项选择题1.D2.C3.B4.A5.C6.C7.A8.A9.D 10.C 11.C 12.B⼀、单项选择题1. ). D.z sin2. 下列说法正确的是().A.函数的连续点⼀定不是奇点B.可微的点⼀定不是奇点C.)(z f 在区域D 内解析,则)(z f 在D 内⽆奇点D.不存在处处不可导的函数3. 下列说法错误的是(). A.如果)(z f 在点0z 解析,则)(z f 在点0z 可导B.如果0z 是)(z f 的奇点,则)(0z f '不存在C.如果)(z f 在区域D 内可导,则)(z f 在D 内解析D.如果)(z f 在点0z 可导,则)(z f 在点0z 连续 4. 下列说法正确的是().A.iv u z f +=)(在区域D内解析,则v u ,都是调和函数B.如果v u ,都是区域D 内的调和函数,则iv u +是D 内的解析函数C.如果v u ,满⾜C-R ⽅程,则v u ,都是调和函数D.iv u +是解析函数的充要条件是v u ,都是调和函数5. 设函数iv u z f +=)(解析,则下列命题中错误的是().A.v u ,均为调和函数B.v 是u 的共轭调和函数C.u 是v 的共轭调和函数D.u -是v 的共轭调和函数6. 设函数iv u z f +=)(在区域D 内解析,下列等式中错误的是().7. 设在区域D 内v 为u 的共轭调和函数,则下列函数中为D 内解析函数的是(). A.iu v - B.iu v + C.iv u - D.x x iv u -8. 函数z z z f Im )(2=在0=z 处的导数(). A. 等于0 B. 等于1 C. 等于 -1 D. 不存在9. 下列数中为实数的是().A. 3)1(i -B. i sinC. LniD. i e π-310. 下列函数中是解析函数的是().A.xyi y x 222--B.xyi x +2 C. )2()1(222x x y i y x +-+- D. 33iy x + 11. 设z z f cos )(=,则下列命题中,不正确的是(). A. )(z f 在复平⾯上处处解析 B. )(z f 以π2为周期12. 设Lnz =ω是对数函数,则下列命题正确的是().A. nLnz Lnz n =B. 2121Lnz Lnz z Lnz +=因为x z =是实常数,所以x Lnx Lnz ln ==⼆、填空题在区域D 内三、计算题1. 指出下列函数的解析区域和奇点,并求出其导数.(1)zzezf z sincos)(+-=;(2(3(4(5(62..(1(3(53. 试证下列函数为调和函数,并求出相应的解析函数ivu)(.(1)xu=;(2)xy u=;(3)3223236yxyyxxu+--=;(4(5)yev x sin2=;(64. 已知22y=-,试确定解析函数ivuzf+=)(.5. 函数yxv+=是yxu+=的共轭调和函数吗?为什么?6.(1(2)ie43+;(3)Lni;(4(5(6)i-13;(7(8四、证明题1. 若函数xu和),(yxv都具有⼆阶连续偏导数,且满⾜拉普拉斯⽅程,现令x yvus-=,yxvut+=,则2. 设)(zf与)(zg都在,0()0g z'≠,证明第⼆章习题、复习题参考答案习题2.11.(1)假(2)假(3)假(4)假(5)假2. 函数)zf=处处不可导,处处不解析.习题2.22.(1)在0z =处可导,处处不解析,导数(0)0f '=;(2)在点)0,0(和处可导,处处不解析,导数0)0(='f ,(3)处处可导,(44.(1(25.(1(3.习题2.31.(1)ci iz z z f ++=22)(;(2)ci z z z f +-=32)(;(3)=)(z f 3z ci +;(4)=)(z f 23z iz c ++;(5)c iz iz z f ++=2)(2;(62.1k =-;2()f z z =.3.c y y x y v c x xy x u --+-=+--=23,232323,c i z z z f )1(2)(3-+-=. 习题2.41.(1 (2 (3)k )1(-)(Z k ∈;((5(6(7)3ln 2i k e e π-)(Zk ∈;(9 ((2.(1 (23.(1)正确;(2)正确;(3)正确.复习题⼆⼆、填空题2.0;3.c uv +2(c 为实常数);4.3,1,3-==-=n m l ;5.i +1;6.常数;8.ic ixy y x ++-222或ic z +2(c 为常数);9.i -; 10.πk e 2-),2,1,0(Λ±±=k .三、计算题1.(1(2(3(4(5(6z z z f cot csc )(-='.2.(1)在复平⾯内处处不可导,处处不解析;(2)在0=z 处可导,但在复平⾯内处处不解析,0)0(='f ;(3)在复平⾯内处处不可导,处处不解析;6.(1)4e -;(2))4sin 4(cos 3i e +;(3(4(6 (7。
复习题二一、 判断题(正确打∨,错误打⨯,把判断结果填入下表。
):1、若函数f (z )在z 0解析,则f (z )在z 0的某个邻域内解析。
( )2、如果z 0是f (z )的本性奇点,则)(lim 0z f z z →一定不存在。
( )3、若函数),(),()(y x iv y x u z f +=在D 内连续,则u (x,y )与v (x,y )都在D 内连续。
( )4、cos z 与sin z 在复平面内有界。
( )5、若z 0是)(z f 的m 阶零点,则z 0是1/)(z f 的m 阶极点。
( )6、若f (z )在z 0处满足柯西-黎曼条件,则f (z )在z 0解析。
( )7、若0z 为)(z f 的孤立奇点,且)(lim 0z f z z →存在且有限,则z 0是函数f (z )的可去奇点。
( )8、若f (z )在单连通区域D 内解析,则对D 内任一简单闭曲线C 都有0)(=⎰Cdz z f 。
( )9、若函数f (z )是单连通区域D 内的解析函数,则它在D 内有任意阶导数。
( )10、若函数f (z )在区域D 内的解析,且在D 内某个圆内恒为常数,则在区域D 内恒等于常数。
( )二、 单项选择题(将选择结果填入下表。
).)Re()Re()(;)(;)(;)()(,12121212121z z D z z C z z B z z A z z =====则必有若、.)2,3,2()()2,3,2()(;)2,3,2()(;)2,2,3()()(),,()23()()(222----=+++++-=D C B A c b a y x cxy i by ax y x z f 处处解析,则若、.2)(;2)(;)12()(;)()12()()(13ππππk D i k z C k z B k i k z A e z =-=+==为整数,则此方程解为方程、.0)(;0)(;)(;)()(4122但发散,通项趋于通项不趋于绝对收敛条件收敛为级数、D C B A ne n in ∑∞=.)(;)(;)(;)()(0sin 52二级极点一级极点可去奇点本性奇点是在点函数、D C B A z zz =三、填空题.,2,1,0,23,2311 ±±=+-=-=k k Argz iz ππ则设、2、=+-++→11lim 22z iz z i z _21i -_________。
1-6题中:(1)只要不满足C-R 条件,肯定不可导、不可微、不解析 (2)可导、可微的证明:求出一阶偏导y x y x v v u u ,,,,只要一阶偏导存在且连续,同时满足C-R 条件。
(3)解析两种情况:第一种函数在区域内解析,只要在区域内处处可导,就处处解析;第二种情况函数在某一点解析,只要函数在该点及其邻域内处处可导则在该点解析,如果只在该点可导,而在其邻域不可导则在该点不解析。
(4)解析函数的虚部和实部是调和函数,而且实部和虚部守C-R 条件的制约,证明函数区域内解析的另一个方法为:其实部和虚部满足调和函数和C-R 条件,反过来,如果函数实部或者虚部不满足调和函数或者C-R 条件则肯定不是解析函数。
解析函数求导:x x iv u z f +=')(4、若函数)(z f 在区域D 上解析,并满足下列的条件,证明)(z f 必为常数。
(1)证明:因为)(z f 在区域上解析,所以。
令),(),()(y x iv y x u z f +=,即x v y u y v x u ∂∂-=∂∂∂∂=∂∂,0=∂∂+∂∂='yv i x u z f )(。
由复数相等的定义得:00=∂∂-=∂∂=∂∂=∂∂xv y u y v x u ,。
所以,1C y x u =),((常数),2C y x v =),((常数),即21iC C z f +=)(为常数。
5、证明函数在平面上解析,并求出其导数。
(1) 证明:设=则,;; 满足xv y u y v x u ∂∂-=∂∂∂∂=∂∂,。
即函数在平面上),(y x 可微且满足C-R 条件,故函数在平面上解析。
8、(1)由已知条件求解析函数iv u z f +=)(,xy y x u +-=22,i i f +-=1)(。
解:由于函数解析,根据C-R 条件得y x v u y x +==2于是)(x y xy v ψ++=222其中)(x ψ是x 的待定函数,再由C —R 条件的另一个方程得x y u x y v y x -=-='+=22)(ψ,所以x x -=')(ψ,即c x x +-=22)(ψ。
第二章部分习题解答1 •试证下列函数在7平面上任何点都不解析。
(2) /(z ) = Rez o色=1色=0空=o 勿’金 >,知1爪)在刁平面上任何点都不解析。
2.下列函数何处可导?何处解析?(1)旳“+的解 (1)由于OXf(z) = xy 2+ix 2y 仅在点“0处可导,在?平面处处不解析。
3•证明:如果函数/(z )=w + /v在区域D 内解析,并满足下列条件之一,那么/⑴ 是常数。
仃)在。
内广^ =°; ⑵雨在D 内解析。
⑶"(z)l 在D 内是一个常数。
解(1)的证明由于/⑵P+必丸,故由引理得纵"=°,根据C.R 条件 即有亏9 = 于是讥乙刃、风兀丿)恒为常数,即/⑵在D 内恒为常数。
(2)若7U) = ^ = u-iv 在区域D 内解析,贝I 」du _ d(- v) _ dv _ d(— v) _ Sudx dy dy ? dy dx dx又f(z) = u^iv 在区域D 内解析,贝IJdu du __dx , 5y dx dy知/(z)在z 平面上任何点都不解析。
du dx(1)在Z 平面上处处连续,且当且仅当 沪0时,6 才满足C~R 条件,故du dv du dv—=— —— --------- dx dy, dy dx结合(1)、(2)两式,有du _ du _dv _dv dx dy dx vy故以在〃内均为常数,分別记之为均=C 19u 2=C 2(C l9C 2为实常数), 则 /(Z ) = M+ ,V =C] +iC 2 =C 为一复常数。
(3)若1%)1在D 内为一常数,记为G,则两边分别对于x 和y 求 偏导,得由于/C)在〃内解析,满足C-R 条件du dv dudv II■I■,dx dy ?dx代入上式又可写得duu---- dx du v ——+ dxSv dv c——=——=U同理,可解得% 巧 故均为常数,分别记为U = C^V = C 29 则 /(z) = u + iv=C {+iC 2=C 为一复常数。
单项选择题:
以下各题只有一个正确答案,请将它选择出来(4分/题)。
1. ( 1 + i )10 = ( C )。
A. 1024
B. 1024i
C. 32i
D. 32
2. 若函数1
3)(+=z z
z f ,则其导数等于 ( D )。
A. ()
2
133+z z
B.
()
2
13+z z
C.
()
2
131
2++z z D.
()
2
131
+z
3. 以下函数中,只有( D) 不是全复平面上解析的函数。
A. e z B. cos z C. z 3D. Ln z
4. 对于复积分
⎰
c
dz z f )(,若曲线C 的参数方程为z (t ) = x (t ) + iy (t ) (a ≤ t ≤ b ) ,则此复积分
可化为如下( B)中的普通定积分。
A. ⎰
b
a
dt t z t z f )())(( B.
⎰
'b
a
dt t z t z f )())(( C.
⎰
b
a
dt t z t f )()( D.
⎰
'b
a
dt t z t f )()(
5. 复积分
⎰==-2z dz i z z
( C )。
A. –2πi
B. 2πi
C. –2π
D. 2π 6. 复积分
⎰==-121
2z dz z z (D )。
A. 4πi
B. 2πi
C. πi
D. 0
7. 下列序列中,存在极限的是( A )。
A. n n n i n n z !=
B. n i z n
n 1+= C. n
n z z z ⎪⎭
⎫ ⎝⎛= D. i z n n 2=
8. 下列级数中,绝对收敛的是( B)。
A. ()
∑∞
=+0
1n n
i B.
∑
∞
=1
!n n
n i C. ∑
∞
=⎪⎭⎫ ⎝⎛+0
2
1
n n n i D.
∑
∞
=1
n n
n
i
9. 下列幂级数中,收敛半径不等于1的是(D )。
A. ∑∞
=-1
1
n n z
n B.
∑
∞
=1
n n
n z C.
∑
∞
=-1
)1(n n
n
z D. n
n n z n ∑
∞
=-1
!
)1(
10. 以下说法中,正确的是(A )。
A. 函数在一点解析的充分必要条件是它在这点的邻域内可以展开为幂级数
B. 求幂级数收敛半径的方法有比值法、根值法和代换法
C. 收敛幂级数的和函数不一定是解析函数
D. 洛朗级数不包含负次幂项,而泰勒级数包含负次幂项
11. 若|z | < 1,则=++++ 3
21z z z ( C)。
A. z z -1
B. z z +1
C. z -11
D. z
+11
12. 函数cos(2z ) 在z = 0处的泰勒展开式为( B )。
A.
()+∞<+-+-=-∑
∞
=z z z z n z n n n
,
!
62!42!221!)2(216
40
22
B.
()
+∞<+-+-=-∑∞
=z z z z n z n n n
,!
664!416!241!)2()2(16
4022
C.
()+∞<+-+-=+-∑
∞
=+z z z z z n z n n n
,
!
72!52!322!)12(217
50312
D. ()+∞<+-+-=+-∑
∞
=+z z z z z n z n n n
,
!
7128!532!382!)12()2(17
50
312
13. 函数z
e z 12在圆环域0 < |z | < ∞ 内的洛朗展开式为( D )。
A.
,!
4!3!21!)2(2
+++=+∑
∞
=z z n z n n
B.
,!
4!3!21!)2(2
10
+++=+--∞
=-∑
z z n z n n
C.
,!
4!3!21!)2(22
1
2 +++++=+∑
∞
-=--z z z z n z n n
D.
,!
4!3!21!)2(212
2
+++++=+--∞
-=-∑
z z z z n z n n
14. 以下关于函数)2)(1(1
)(--=z z z f 的说法中,正确的是( C )。
A. 它在圆环域0 < |z | < 1内的展开式是
∑
∞
=+0
12n n n z
B. 它在圆环域0 < |z | < 1内的展开式是
∑
∑
∞
=∞
=+--
1
1
12
n n n n n
z z
C. 它在圆环域0 < |z – 1| < 1内的展开式是∑∞
=---
1
)
1(n n z
D. 它在圆环域0 < |z – 1| < 1内的展开式是∑
∞
=+⎪⎭
⎫ ⎝⎛-0
2
11n n z
15. 将函数)0,(1
)(≠+=
b a b
z a z f 在z = 0处进行泰勒展开,则收敛区域为 ( B)。
A. |z | < |a /b | B. |z | < |b /a | C. |z | > |a /b | D. |z | > |b /a |
16. 以下说法中不正确的是( B )。
A. 一个不恒为零的解析函数的奇点是孤立的
B. 一个不恒为零的解析函数的零点是孤立的
C. 函数在其可去奇点的留数等于零
D. f (z )在其孤立奇点z 0处的洛朗展开式中负一次幂项的系数就是f (z )在z 0的留数
17. 关于函数21
11sin
)(z
z z f +-=的孤立奇点,以下说法正确的是 ( D )。
A. z = 0是可去奇点 B. z = 0是单阶极点 C. z = 1是单阶极点 D. z = 1是本性奇点
18. 以下函数中,z = 0不是其二阶极点的是 ( C )。
A. 4cos 1z z -
B. 2
-z C. )
2(12
2++z z z D. 2)(sin z z
19. 留数=⎥⎦
⎤⎢⎣⎡-0,1Re z e s z (B )。
A. 1
B. 0
C. e
D. –1
20. 留数=⎥⎦
⎤⎢⎣⎡+-2,)2)(2(Re 2
3
z z z s ( C)。
A. –1 B. –0.5 C. 0.5D. 1
21. 留数=⎥⎦
⎤⎢⎣⎡-+-2,)2)(2(Re 2
3
z z z s ( D )。
A. –3.5 B. 3.5 C. 2.5D. –2.5
22. 留数=⎥⎦
⎤
⎢⎣⎡0,1sin
Re 2z z s ( A )。
A. –1/6 B. 1/3 C. –1/2D. 1/120
23. 函数w = i z 2在z = i 处的伸缩率为 (C )。
A. –2 B. 0 C. 2 D. 1
24. 下列映射中,能将z =1映射为w = ∞ 的分式线性映射是 ( B )。
A. z
w 1= B. 1-=z z
w C. z i w )1(+= D. i z i z w +-=22
25. 下列映射中,能将一、三象限的角平分线y = x 映射为虚轴的分式线性映射是 ( C )。
A. z
w 1= B. 1-=z z
w C. z i w )1(+= D. i z i z w +-=22。