复变函数习题及解答
- 格式:docx
- 大小:121.75 KB
- 文档页数:8
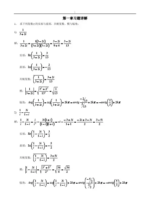
第一篇 复变函数第一章 复数与复变函数1. 求下列复数的实部、虚部、共轭复数、模与幅角.(1) 72)52)(43(ii i −+;(2) .4218i i i +−2. 当x ,y 等于什么实数时,等式i iiy x +=+−++135)3(1 成立?3.证明:(1);2z z z = (2)1122,z z z z = .02≠z4.求下列各式的值: (1)();35i −(2)().131i +−5.求方程083=+z 的所有根.6.设1z ,2z ,3z 三点适合条件0321=++z z z ,证明1z ,2z ,3z 是内接于单位圆1=z 的一个正三角形的顶点.7.指出下列各题中点z 的轨迹或所在的范围:(1);65=−z(2);12≥+i z(3).i z i z −=+8.描述下列不等式所确定的区域,并指出它是有界的还是无界的: (1);32≤≤z(2).141+<−z z9.将方程tt z 1+=(t 为实参数)给出的曲线用一个实直角坐标方程表出.第一章 复习题1.单项选择题(1)设iy x z +=,y x ≠||,4z 为实数,则( ).A .0=xy B.0=+y x C .0=−y x D.022=−y x(2)关于复数幅角的运算,下列等式中正确的是( ). A .Argz Argz 22= B.z z arg 2arg 2=C .2121arg arg )arg(z z z z += D.2121)(Argz Argz z z Arg += (3)=+31i ( ).A .ie 62πB.ie 62π−C .ie 62π± D.i e62π±(4)2210<++<i z 表示( ). A .开集、非区域 B.单连通区域 C .多连通区域 D.闭区域(5)z i z f =−1,则()=+i f 1( ).A .1 B.21i+ C .21i− D.i −1 (6)若方程1−=z e ,则此方程的解集为( ).A .空集 B.π)12(−=k z ,(k 为整数) C .i k z π)12(−= D. πi z =2.对任何复数22,z z z =是否一定成立?3. 解方程.0)1(22=−++i z z4. 求)(i Ln −,)43(i Ln +−和它们的主值.5. 求i e 21π−,i i e41π+,i 3和ii )1(+值.第二章 导数1.下列函数何处可导?何处解析? (1) ();2iy x z f −=(2) ().22y ix xy z f +=2.指出下列函数()z f 的解析性区域,并指出其导数.(1) ();22iz z z f +=(2) ();112−=z z f(3)(),dcz baz z f ++=(d c ,中至少有一个不为0).3.设()2323lxy x i y nx my +++为解析函数,试确定l 、m 、n 的值.4.证明:如果()z f 在区域D 内解析,并满足下列条件之一,那么是常数. (1)()z f 恒取实值. (2))(z f 在区域D 内解析. (3)()z f 在区域D 内是一个常数.5.应用导数的定义讨论下列函数的是否存在?(1)())Re(z z f =;(2)())Im(z z f =.6.证明;,sin z e z 在复平面上任一点都不解析.第二章 复习题1.单项选择题(1)函数()z f w =在点0z 可导是可微的( ).A .必要但非充分条件 B. 充分但非必要条件 C .充分必要条件D. 既非充分也非必要条件(2)函数()z f w =在点0z 可导是连续的( ).A .必要但非充分条件 B. 充分但非必要条件 C .充分必要条件D. 既非充分也非必要条件(3)函数()),(),(y x iv y x u z f +=,则在()00,y x 点,v u ,均可微是函数()z f 在点0z 可微的( ).A .必要但非充分条件 B. 充分但非必要条件 C .充分必要条件D. 既非充分也非必要条件(4)函数()22ix xy z f −=,那么( ). A .()z f 处处可微 B. ()z f 处处不可导 C .()z f 仅在原点可导 D. ()z f 仅在x 轴上可导(5)若,0,,00,),(222222=+≠++=y x y x y x xy y x u ,,),(xy y x v =()iv u z f +=,则()z f ( ).A .()z f 仅在原点可导 B. ()z f 处处不可导C .()z f 除原点外处处可导 D. ()z f 处处可微(6)若()()y x y i xy x z f 233333+−+−=, 那么()z f ( ).A .()z f 仅在原点可导且()00=′f B. ()z f 处处解析且()xy i y x z f 63322+−=′ C .()z f 处处解析且()xy i y x z f 63322−−=′ D. ()z f 处处解析且()xy i x y z f 63322+−=′ (7)函数()z z z f = ,则( ). A .()z f 在全平面解析 B. ()z f 仅在原点解析C .()z f 仅在原点可导但不解析 D. ()z f 处处不可导(8)设()34−=′z z f ,且()i i f 31−=+,则()=z f ( ).A . i z z −−322 B. i z z 3322+− C .i z z 43322+−+ D. i z z 43322−+− 2.指出函数112+z 的解析性区域,并求导数.3.如果0z 是()z f 的奇点,而()z g 在0z 解析,那么0z 是否是())(z g z f +和())(z g z f 的奇点.4.若()iv u z f +=是区域D 内的解析函数,那么在D 内v +iu 是否也是解析函数.第三章 积分1.沿下列路径计算积分∫Czdz Re .(1)自原点至1+i 的直线段;(2)自原点沿实轴至1,再由1铅直向上至1+i ;(3)自原点沿虚轴至i ,再由i 沿水平向右至1+i .2.分别沿y =x 与2x y =计算积分()∫++i dz iy x102的值.3计算积分dz zzC∫,其中C 为正向圆周,2=z .4.计算下列积分 ,其中C 为正向圆周,1=z . (1);21dz z C ∫− (2);4212dz z z C ∫++(3);cos 1dz zC ∫ (4);211dz z C∫−(5);dz ze Cz ∫(6)().)2(21dz i z z C∫−+5.沿指定曲线正向计算下列积分:(1)dz z C ∫−21,C :12=−z ;(2)dz a z C ∫−221,C: a a z =−;(3),3dz z zC ∫− C :2=z ;(4)()()dz z z C∫++41122,C :23=z ;(5)dz zzC ∫sin ,C :1=z ; (6)dz z zC∫−22sin π,C :2=z .6.计算下列各题: (1)∫−ii z dz e ππ32;(2)∫−iizdz ππ2sin ;(3).)(0∫−−iz dz e i z7.计算下列积分:(1)dz i z z C ∫+++2314,C :4=z ,正向; (2)dz z iC ∫+122,C :61=−z ,正向; (3),cos 213dz z zC C C ∫+= 1C :2=z ,正向,2C :3=z ,负向;(4)dz i z C ∫−1,C 为以i 56,21±±为顶点的正向菱形; (5)()dz a z eC z∫−3;其中a 为1≠a 的任何复数,C :1=z ,正向.9. 设C 为不经过a 与a −的简单正向闭曲线,a 为不等于0的任何复数,试就a 与a −跟C 的各种不同位置,计算积分dz a z zC ∫−22的值.第三章 复习题1.单项选择题.(1)设C 为θi e z =,θ从2π−到2π的一段,则=∫Cdz z ( ).A .i B.2i C .-2i D.- i(2)设C 是从0=z 到i z +=1的直线段,则=∫Cdz z ( ).A .1+i B.21i+ C .i e4π− D. ie 4π(3)设C 为θi e z =,θ从0到π的一段,则=∫Czdz arg ( ).A .i 2−−π B. π− C .i 2+π D. i 2−π(4)设C 为t i z )1(−=,t 从1到0的一段,则=∫Cdz z ( ).A .1 B.-1 C .i D.- i(5)设C 为1=z 的上半部分逆时针方向,则=−∫Cdz z )1(( ).A .2i B.2 C .-2i D.- 2(6)设C 为θi e z 21=,正向,则=−∫C z dz e e zsin ( ).A .sin1 B.e i 1sin 2π C .e i 1sin 2π− D.0(7)=++∫=dz z z z 12221( ).A .i π2 B.i π2− C .0 D.π2 (8)设C 为沿抛物线12−=x y 从()0,1−到()0,1的弧度,则=+∫C dz z )1sin(( ).A .0 B.2cos − C .12cos − D. 12cos − (9)=++∫=+dz z z e z z 232)1(232( ). A .0 B.i π32C .i π2 D. i π2−(10)=++∫=dz z z zz 121682cos π( )A .0 B.i π C .i π− D. i π2.(11)=+∫=dz z zz 221( ).A .0 B.i π2 C .i π2− D. i π(12)=∫=dz z e z z12( ).A .i π2 B. i π C .0 D. π (13)1322z z z e dz ==∫( ).A .i π2 B. i π16 C .i π8 D. i π4 2.计算()∫Γ−=dz z z e I z12,其中Γ是圆环域:221≤≤z 的边界.3.(1)证明:当C 为任何不经过原点的闭曲线时,则;012=∫dz zC(2)沿怎样的简单闭曲线有;012=∫dz z C(3)沿怎样的简单闭曲线有.0112=++∫dz z z C4.设(),4ζζζπd ze zf C ∫−=其中C :2=z ,试求()i f ,()i f −及()i f 43−的值.5.计算()22,2z Ce z I dz z =+∫其中C :.1=z6.()()∫=−=12,ζζζdz z e z f z()1≠z ,求().z f ′第四章 级数1.判别下列级数的绝对收敛性与收敛性:();11∑∞=n nni()∑∞=2;ln 2n nni();8)56(30∑∞=+n n ni().2cos 40∑∞=n n in2.求下列幂级数的收敛半径:()为正整数);p nz n p n(,11∑∞=()∑∞=12;)!(2n nn z nn()∑∞=+0;)1(3n nnz i().41∑∞=n n n iz e π3.把下列各函数展开成z 的幂级数,并指出它们的收敛半径: ();1113z +();)1(1223z +();cos 32z();4shz();5chz().sin 622z e z4.求下列各函数在指定点0z 处的泰勒展开式,并指出它们的收敛半径: ();1,1110=+−z z z()();110,10,1122<−<<<−z z z z()()(),2113−−z z;21,110+∞<−<<−<z z()()为中心的圆环域内;在以i z i z z =−,142第四章 复习题1.单项选择题:()().112的收敛半径为幂级数∑∞=n nin z e0.A 1.B 2.C ∞.D()()∑∞=1.1sin 2n nnz n 的收敛半径为幂级数0.A 1.B e C . ∞.D()()()∑∞=−1.13n n n z i 的收敛半径为幂级数1.A 21.B 2.C 21.D()()()∑∞=+12.434n n n z i 的收敛半径为幂级数5.A 51.B 5.C 51.D ()()∑∞=1.!5n nn z n 的收敛半径为幂级数1.A ∞.B 0.C e D .()()∑∞−∞=−=>=n nne a z za z z.,0,6721则设!71.A !71.−B !91.C !91.−D()∑∞==−10,2.2n nn z z a 收敛,能否在幂级数 .3发散而在=z().1.32的和函数求n n z n n ∑∞=−.0cos 1.40处的泰勒展开式在求=−∫z d zζζζ上的罗朗展开在求函数11sin .512>−∫=ζζζζz d z .式第五章 留数1.判断下列函数奇点的类型,如果是极点,指出它的阶数:()();11122+z z();sin 23z z();11323+−−z z z()();1ln 4zz +();511−z e()().1162−z e z()..2在有限奇点处的留数求下列各函数z f();2112zz z −+();1242z e z −()();113224++zz();cos 4zz();11cos5z−().1sin 62zz3.计算下列各积分(利用留数,圆周均取正向).();sin 123∫=z dz z z()();12222dz z e z z∫=−()();,cos 1323为整数m dz z zz m∫=−();tan 43∫=z zdz π().521111∫=−−z z dz ze点?并是下列各函数的什么奇判断∞=z .4.的留数求出在∞();121z e();sin cos 2z z −().3232zz+()[]的值,如果:求∞,Re 5.z f s()();112−=z ez f z()()()().41124−+=z z z z f6.计算下列各积分,C 为正向圆周:()()()∫=++Cz C dz zzz ;3:,211342215().2:,1213=+∫z C dz e z z zC7.计算下列积分:();sin 351120θθπd ∫+()();0,cos sin 2202>>+∫b a d b a θθθπ()()∫+∞∞−+;11322dx x()∫+∞∞−++.54cos 42dx x x x第五章 复习题1.单项选择题:()().1sin101的是函数zz = 本性奇点.A 可去奇点.B 一级奇点.C 非孤立奇点.D()().0,1cos Re 2=z z s0.A 1.B 21.C 21.−D()()()().,11Re 32=+−i z i z s 4.i A 4.i B − 41.C 41.−D()().0,1Re 44=−−z e s z !31.A !31.−B !41.C !41.−D()()()∫=−=+21.,15z n n n dz z z 为正整数0.A i B π2. i n C π2. niD π2.()()∫=−=11.6z zz dz zei e A 1.−π i B π2. i e C 12.−π i D π2.−()()∫==−25.117z dz z 0.A i B π2. i C π25. i D π52.2.判断zz e 1+的孤立奇点的类型,并求其留数.3.计算n dz z z z n,1cos 1∫=是正整数.4.计算积分∫=−+114.1z z dz5.计算积分∫+πθθ20.cos 2d6.计算∫+∞+04.11dx x7.计算∫+∞+02.42cos dx x x复变函数总复习题一、单项选择题:(1) 函数z w ln =在i e z =处的值为(). (k 为整数)A. ()i k 12+πB. ()i k π12+C. i k π2D. i k π+212(2) 设积分路径C 为从原点到i +2的直线段, 则积分()=∫Cydz .A. 21i− B. 21i +C. i +1D. i −1(3) 1=z 是函数1ln 2−z z的( ).A. 可去奇点B. 极点C. 本性奇点D. 非孤立奇点 (4) 设()33iy x z f −=, 则()z f 在复平面上( ).A. 处处可导 B. 仅在0=z 处解析 C. 处处不可导 D. 仅在0=z 处可导(5) ()()=−∫=−dz z e z iz211221. A.21i+ B. i +1 C. ()i e i +−12π D. 2π−(6) 函数21z e z+以∞=z 为( ).A. 可去奇点 B. 极点 C. 本性奇点 D. 解析点(7) 0=z 是ze z 111−−的( ).A. 可去奇点 B. 极点 C. 本性奇点 D. 解析点(8) 由2121>−z 与2123>−i z 所确定的点集是( ).A. 开集、非区域 B. 单连通区域 C. 多连通区域 D. 闭区域(9) ()=+−∫=dz z z z z z 122sin cos 1. A. 0 B. i π2 C. i π D. i π3二、填空题:1. =i e π9 .2.=+∫=dz z z 12121. 3. 设()()z z z f Im =, 则()=′0f .4. 级数()()()∑∞=+−+−0124121n n nz n 的收敛范围为 .5. 函数z 211−在+∞<<z 21内的罗朗展式为 . 6.()=−∫=dz z z 12 .7. 级数()∑∑∞=∞=+−12121n n n n n nn z z 的收敛范围是 .8. ()2236z z z z z f ++−=, ()()=∞,Re z f s .9. =−1,1sin Re z z s ;=−1,11sin Re z z s .三、解答下列各题:1. 已知()(),21i i z −+= 求()Re z .2. 求2122lim 1z zz z z z →+−−−.3. 讨论()2z z f =在0=z 处的可导性及解析性.4. 讨论()()yx i x y x z f 322322−++−−=的解析性, 并求出在解析点处的导数.5. 计算()12CIi z dz =+−∫, 其中C 为连接01=z , 12=z 和i z +=13, 从1z 至2z 至3z 的折线段.6. 将z 2sin 展开为z 的幂级数.7. 求级数()n n nn z n 214302+++∑∞=的收敛圆, 并讨论在47−=z 和49−=z 处的收敛性.8. 求()242−=z z z f 在3<z 内所有留数之和.9. 求函数z cot 在它所有有限孤立奇点处的留数.10. 求()()222aze zf ibz+=在ai −处的留数,(a , b 为实数).11. 计算积分()()dz z e z zI z z∫=−+−=232189.12. 计算积分dz z z I z ∫=++=2365112.13. 计算积分dz z z I z ∫=+−=22211.14. 计算积分dz z z e i I z z∫=++=2241221π.15. 计算积分()dx axx I ∫∞++=02222, ()0>a .四、证明题:1. 证明()=≠+=0,00,22z z yx xyz f 在0=z 处不连续.2. 证明0→z 时, 函数()()22Re zz z f =的极限不存在.第二篇 积分变换1. 设() >≤=1,01,1t t t f , 试算出()ωF , 并推证:>=<=∫∞+1,01,41,2cos sin 0t t t d t ππωωωω. (提示()t f 为偶函数)2. 求矩形脉冲函数()≤≤=其它,00,τt A t f 的傅氏变换.3. 求()><−=1,01,1222t t t t f 的傅氏积分. 4. 求()2sin tt f = 的拉氏变换.5. 求()≥<≤−<≤=4,042,120,3t t t t f 的拉氏变换.6. 求下列函数的拉氏逆变换:(1) ()221as s F +=;(2) ()441a s s F −=答案第一章:,2295,135.3,13Im ,5.3Re )1.(1=+−=−=−=z i z z z ).(,23arctan ,10||,31,3Im ,1Re )2();(,)12()726arctan(arg Z k k Argz z i z z z Z k k z ∈+−==+=−==∈++=ππ.11,1.2==y x().2,1,0,2)2(;16316)1.(43275.06=−−+k ei k iπ5..31,2,31i i −−+7.(1)以z =5为圆心,6为半径的圆;(2)以z =-2i 为圆心,1为半径的圆周及圆周的外部;(3)i 和i 两点的连线的中垂线. 8.(1)圆环形闭区域,有界; (2)中心在,1517−=z 半径为158的圆周的外部区域,无界. 9.xy =1。
《复变函数》考试试题(一) 1、 =-⎰=-1||00)(z z nz z dz__________.(n 为自然数)2.=+z z 22cos sin_________.3.函数z sin 的周期为___________.4.设11)(2+=z z f ,则)(z f 的孤立奇点有__________.5.幂级数n n nz ∞=∑的收敛半径为__________.6.若函数f(z)在整个平面上处处解析,则称它是__________.7.若ξ=∞→n n z lim ,则=+++∞→n z z z nn (i)21______________.8.=)0,(Re n zz es ________,其中n 为自然数.9. zz sin 的孤立奇点为________ .10.若0z 是)(z f 的极点,则___)(lim 0=→z f z z .三.计算题(40分):1. 设)2)(1(1)(--=z z z f ,求)(z f 在}1||0:{<<=z z D 内的罗朗展式.2. .cos 11||⎰=z dz z3. 设⎰-++=C d z z f λλλλ173)(2,其中}3|:|{==z z C ,试求).1('i f +4. 求复数11+-=z z w 的实部与虚部.四. 证明题.(20分) 1. 函数)(z f 在区域D 内解析. 证明:如果|)(|z f 在D 内为常数,那么它在D 内为常数.2. 试证: ()f z =在割去线段0Re 1z ≤≤的z 平面内能分出两个单值解析分支, 并求出支割线0Re 1z ≤≤上岸取正值的那支在1z =-的值.《复变函数》考试试题(二)二. 填空题. (20分)1. 设i z -=,则____,arg __,||===z z z2.设Ciy x z y x i xy x z f ∈+=∀+-++=),sin(1()2()(222,则=+→)(l i m 1z f iz ________.3.=-⎰=-1||00)(z z n z z dz_________.(n 为自然数)4. 幂级数nn nz∞=∑的收敛半径为__________ .5. 若z 0是f (z )的m 阶零点且m >0,则z 0是)('z f 的_____零点.6. 函数e z 的周期为__________.7. 方程083235=++-z z z 在单位圆内的零点个数为________.8. 设211)(z z f +=,则)(z f 的孤立奇点有_________.9. 函数||)(z z f =的不解析点之集为________.10. ____)1,1(Res 4=-zz .三. 计算题. (40分)1. 求函数)2sin(3z 的幂级数展开式. 2. 在复平面上取上半虚轴作割线. 试在所得的区域内取定函数z 在正实轴取正实值的一个解析分支,并求它在上半虚轴左沿的点及右沿的点i z =处的值.3. 计算积分:⎰-=iiz z I d ||,积分路径为(1)单位圆(1||=z )的右半圆.4. 求dzz zz ⎰=-22)2(sin π.四. 证明题. (20分)1. 设函数f (z )在区域D 内解析,试证:f (z )在D 内为常数的充要条件是)(z f 在D 内解析.2. 试用儒歇定理证明代数基本定理.《复变函数》考试试题(三)二. 填空题. (20分) 1. 设11)(2+=z z f ,则f (z )的定义域为___________. 2. 函数e z的周期为_________.3. 若n n ni n n z )11(12++-+=,则=∞→n z n lim __________.4. =+z z 22cos sin ___________.5. =-⎰=-1||00)(z z n z z dz_________.(n 为自然数) 6. 幂级数∑∞=0n nnx的收敛半径为__________.7. 设11)(2+=z z f ,则f (z )的孤立奇点有__________.8. 设1-=z e ,则___=z . 9. 若0z是)(z f 的极点,则___)(lim 0=→z f z z .10. ____)0,(Res =n zze.三. 计算题. (40分)1. 将函数12()zf z z e =在圆环域0z <<∞内展为Laurent 级数.2. 试求幂级数nn nz nn ∑+∞=!的收敛半径. 3. 算下列积分:⎰-C z z z ze )9(d 22,其中C 是1||=z .4. 求0282269=--+-z z z z在|z |<1内根的个数.四. 证明题. (20分) 1. 函数)(z f 在区域D 内解析. 证明:如果|)(|z f 在D 内为常数,那么它在D 内为常数.2. 设)(z f 是一整函数,并且假定存在着一个正整数n ,以及两个正数R 及M ,使得当R z ≥||时n z M z f |||)(|≤,证明)(z f 是一个至多n 次的多项式或一常数。
创作编号:BG7531400019813488897SX创作者:别如克*习题一答案1.求下列复数的实部、虚部、模、幅角主值及共轭复数:(1)132i+(2)(1)(2)ii i--(3)131ii i--(4)8214i i i-+-解:(1)1323213i zi-==+,因此:32 Re, Im1313 z z==-,232arg arctan,31313z z z i==-=+(2)3(1)(2)1310i i izi i i-+===---,因此,31Re, Im1010z z=-=,131arg arctan,31010 z z z iπ==-=--(3)133335122i i iz ii i--=-=-+=-,因此,35Re, Im32z z==-,535,arg arctan,232iz z z+ ==-=(4)82141413z i i i i i i=-+-=-+-=-+因此,Re1,Im3z z=-=,arg arctan3,13z z z iπ==-=--2. 将下列复数化为三角表达式和指数表达式: (1)i (2)1-+ (3)(sin cos )r i θθ+(4)(cos sin )r i θθ-(5)1cos sin (02)i θθθπ-+≤≤解:(1)2cossin22iii e πππ=+=(2)1-+23222(cos sin )233i i e πππ=+=(3)(sin cos )r i θθ+()2[cos()sin()]22ir i reπθππθθ-=-+-=(4)(cos sin )r i θθ-[cos()sin()]i r i re θθθ-=-+-=(5)21cos sin 2sin 2sin cos 222i i θθθθθ-+=+ 22sin [cossin]2sin 2222ii eπθθπθπθθ---=+=3. 求下列各式的值:(1)5)i - (2)100100(1)(1)i i ++-(3)(1)(cos sin )(1)(cos sin )i i i θθθθ-+-- (4)23(cos5sin 5)(cos3sin 3)i i ϕϕϕϕ+-(5(6解:(1)5)i -5[2(cos()sin())]66i ππ=-+-5552(cos()sin()))66i i ππ=-+-=-+(2)100100(1)(1)i i ++-50505051(2)(2)2(2)2i i =+-=-=-(3)(1)(cos sin )(1)(cos sin )i i i θθθθ-+--2[cos()sin()](cos sin)33)sin()][cos()sin()]44i ii iππθθππθθ-+-+=-+--+-)sin()](cos2sin2)1212i iππθθ=-+-+(2)12)sin(2)]1212iiπθππθθ-=-+-=(4)23(cos5sin5)(cos3sin3)iiϕϕϕϕ+-cos10sin10cos19sin19cos(9)sin(9)iiiϕϕϕϕϕϕ+==+-+-(5=11cos(2)sin(2)3232k i kππππ=+++1,0221,122,2i ki ki k+=⎪⎪⎪=-+=⎨⎪-=⎪⎪⎩(6=11(2)sin(2)]2424k i kππππ=+++88,0,1iie ke kππ==⎪=⎩4.设12,z z i==-试用三角形式表示12z z与12zz解:12cos sin, 2[cos()sin()]4466 z i z iππππ=+=-+-,所以12z z 2[cos()sin()]2(cos sin )46461212i i ππππππ=-+-=+,12z z 1155[cos()sin()](cos sin )2464621212i i ππππππ=+++=+ 5. 解下列方程: (1)5()1z i += (2)440 (0)z a a +=>解:(1)z i += 由此25k i z i ei π=-=-, (0,1,2,3,4)k =(2)z==11[cos (2)sin (2)]44a k i k ππππ=+++,当0,1,2,3k =时,对应的4个根分别为:(1), 1), 1), )i i i i +-+--- 6. 证明下列各题:(1)设,zx iy =+z x y≤≤+证明:首先,显然有z x y =≤+;创作编号:BG7531400019813488897SX创作者: 别如克*其次,因222,x y x y +≥ 固此有2222()(),x y x y +≥+从而z =≥。
第一章习题1.设12z -=,求||z 及Arg z .2.设12z z i ==,试用指数形式表 z 1 z 2及12z z .3.解二项方程440(0).z a a +=> 4.证明2222121212||||2(||||)z z z z z z ++-=+,并说明其几何意义。
5.设z 1、z 2、z 3三点适合条件: 1231230 |z ||||| 1.z z z z z ++=++=及试证明z 1、z 2、z 3是一个内接于单位圆周||1z =的正三角形的顶点。
6.下列关系表示的点z 的轨迹的图形是什么?它是不是区域? (1)1|212|||,()z z z z z z -=-≠;(2)|||4|z z ≤-;(3)111z z -<+;(4)0arg(1) 2Re 34z z π<-<≤≤且;(5)|| 2 z >且|3|1z ->; (6)Im 1 ||2z z ><且;(7)||2 0arg 4z z π<<<且;(8)131 2222i i z z ->->且.7.证明:z 平面上的直线方程可以写成 .az az c += (a 是非零复常数,c 是实常数)8.证明:z 平面上的圆周可以写成0Azz z z C ββ+++=.其中A 、C 为实数,0,A β≠为复数,且2||.AC β> 9.试证:复平面上的三点1,0,a bi a bi +-+共直线。
10.求下列方程(t 是实参数)给出的曲线: (1)(1)z i t =+; (2)cos sin z a t ib t =+;(3)i z t t =+; (4)22i z t t =+.11.函数1w z =将z 平面上的下列曲线变成w 平面上的什么曲线(,z x iy w u iv =+=+)?(1)224;x y +=(2)y x =;(3)x = 1; (4)( x -1)2+y 2=1. 12.试证:(1)多项式1010()(0)n n n p z a z a z a a -=+++≠在z 平面上连续;(2)有理分式函数101101()n n nm m m a z a z a f z b z b z b --+++=+++(000,0a b ≠≠)在z 平面上除分母为的点外都连续。
1复变函数综合练习题及答案第一部分 习题一. 判断下列命题是否正确,如正确, 在题后括号内填√,否则填⨯.(共20题) 1. 在复数范围内31有唯一值1.( ) 2. 设z=x+iy , 则=z z 22y x +.()3. 设,2321i z -=则.32arg π=z ( ) 4. z cos =ω是有界函数.( ) 5. 方程1=ze 有唯一解z=0.( ) 6.设函数z g z f (),()在0z 处可导,则)()(z g z f 在点0z 处必可导.()7.设函数),(),()(y x iv y x u z f +=在00iy x z +=处可导,则)(00,0)()(y x yui y v z f ∂∂-∂∂='.( )8. 设函数)(z f 在区域D 内一阶可导,则)(z f 在D 内二阶导数必存在. ( ) 9.设函数)(z f 在0z 处可导, 则)(z f 在0z 处必解析.( ) 10. 设函数)(z f 在区域D 内可导, 则)(z f 在D 内必解析.()11. 设),(),,(y x v y x u 都是区域D 内的调和函数,则),(),()(y x iv y x u z f +=是D 内的解析函数.( ) 12. 设n 为自然数,r 为正实数,则0)(00=-⎰=-r z z n z z dz.()13. 设)(z f 为连续函数,则⎰⎰'=1)()]([)(t t cdt t z t z f dz z f ,其中10,),(t t t z z =分别为曲线c 的起点,终点对应的t 值.( )214. 设函数)(z f 在区域D 内解析,c 是D 内的任意闭曲线,则0)(=⎰cdz z f .( )15. 设函数)(z f 在单连通区域D 内解析, c 是D 内的闭曲线,则对于c D z ∈0有)(2)(00z if dz z z z f cπ=-⎰. ( )16. 设幂级数∑+∞=0n n nz c在R z ≤(R 为正实数)内收敛,则R 为此级数的收敛半径. ( )17. 设函数)(z f 在区域D 内解析,D z ∈0,则n n n z z n z fz f )(!)()(000)(-=∑+∞=. ( )18. 设级数n n nz z c)(0-∑+∞-∞=在园环域)(0R r R z z r <<-<内收敛于函数)(z f ,则它是)(z f 在此环域内的罗朗级数.( ) 19. 设0z 是)(z f 的孤立奇点,如果∞=→)(lim 0z f z z ,则0z 是)(z f 的极点.()20. 设函数)(z f 在圆周1<z 内解析,0=z 为其唯一零点,则⎰==1].0),([Re 2)(z z f s i z f dzπ ( )二. 单项选择题.(请把题后结果中唯一正确的答案题号填入空白处,共20题)1. 设复数3)22(i z -=,则z 的模和幅角的主值分别为____________.A. 45,8πB. 4,24πC. 47,22π2.)Re(1z z -<是__________区域.A. 有界区域B. 单连通区域C. 多连通区域3.下列命题中, 正确的是_____________. A. 零的幅角为零B. 仅存在一个z 使z z-=1C.iz z i=14.在复数域内,下列数中为实数的是__________.A. i cosB. 2)1(i -C.38-35.设i z +=1,则=)Im(sin z _________.A. sin1ch1B. cos1sh1C. cos1ch16.函数)(z f =2z 将区域Re(z)<1映射成___________.A. 412v u -<B. 412v u -≤C. 214v u -<7.函数)(z f =z 在0=z 处____________. A. 连续 B. 可导C. 解析8. 下列函数中为解析函数的是_____________.A. )(z f =iy x -2B.)(z f =xshy i xchy cos sin + C.)(z f =3332y i x -9. 设函数),(),()(y x iv y x u z f +=且),(y x u 是区域D 内的调和函数,则当),(y x v 在D 内是_____________时, )(z f 在D 内解析.A. 可导函数B. 调和函数C. 共轭调和函数10. 设0z 是闭曲线c 内一点, n 为自然数,则⎰-cn z z dz)(0=________________. A. 0B. i π2C. 0或i π211. 积分dz z zz ⎰=-22)1(sin =_______________. A. 1cos B. i π21cos C. i π2sin112. 下列积分中,其积分值不为零的是___________________. A.⎰=-23z dz z zB. 1sin z zdz z =⎰C.⎰=15z zdz ze 13. 复数项级数∑+∞=13n nnz 的收敛范围是________________.A. 1≤zB.1<zC.1>z14. 设函数)(z f 在多连域D 内解析,210,,c c c 均为D 内闭曲线且210c c c ⋃⋃组成4复合闭路Γ且D D ⊂Γ,则___________________. A. 0)()()(21=++⎰⎰⎰c c c dz z f dz z f dz z fB. 0)(=⎰Γdz z fC.⎰⎰⎰-=21)()()(c c c dz z f dz z f dz z f15.函数)(z f =221ze z-在z=0的展开式是_______________________. A. 泰勒级数B. 罗朗级数C. 都不是16. 0=z 是4)(zshzz f =的极点的阶数是_____________. A. 1B. 3C. 417. 0=z 是411)(zez f z-=的____________________. A. 本性奇点B. 极点C. 可去奇点18. 设)(z f 在环域)0(0R r R z z r <<<-<内解析,则n n nz z cz f )()(0∑+∞-∞=-=,其中系数n c =______________________.A.!)(0)(n z fn , ,2,1,0=nB.!)(0)(n z fn ,,2,1,0±±=nC.,,2,1,0,)()(2110 ±±=-⎰+n d z f i c n ζζζπc 为环域内绕0z 的任意闭曲线. 19. 设函数)(z f =1-ze z,则]2),([Re i z f s π=__________________. A. 0B. 1C. i π2 20. 设函数)(z f =)1(cos -z e z z,则积分⎰=1)(z dz z f =________________.5A. i π2B. ]0),([Re 2z f s i πC. .2,0,]),([231i z zz f ik k kππ±=∑=三. 填空题 (共14题)1. 复数方程31i e z-=的解为____________________________________. 2. 设i z 22-=,则z arg =_____________,z ln =___________________________. 3.411<++-z z 表示的区域是___________________________________.4. 设,sin )(z z z f =则由)(z f 所确定的 ),(y x u =____________________,),(y x v =_______________________.5. 设函数)(z f =⎩⎨⎧=≠+-0,00,sin z z A e z z 在0=z 处连续,则常数A=____________.6. 设函数)(z f =ζζζζd z z ⎰=-++22173,则)1(+'i f =________________________.若)(z f =ζζζζd z z ⎰=-+2353,则)(i f ''=________________________. 7. 设函数)(z f 在单连域D 内解析,G(z )是它的一个原函数,且D z z ∈10,,则⎰1)(z z dz z f =_______________________.8. 当a =________时,xyiarctgy x a z f ++=)ln()(22在区域x>0内解析. 9. 若z=a 为f(z )的m 阶极点,为g(z)的n 阶极点(m>n ),则z=a 为f(z)g(z)的__________阶极点,为)()(z g z f 的____________阶极点. 10. 函数)(z f =tgz 在z=0处的泰勒展开式的收敛半经为_________________. 11. 函数)(z f =zzsin 在z=0处的罗朗展开式的最小成立范围为_____________.612. 设∑+∞-∞==n nn z c z z 3sin ,则______________________,02==-c c .13. 积分dz zez z⎰=11=________________________.14. 留数__________]0,1[Re _,__________]0,1[Re 2sin sin =-=-z e s z e s z z . 四. 求解下列各题(共6题)1. 设函数)(z f =)(2323lxy x i y nx my +++在复平面可导,试确定常数l n m ,,并求)(z f '.2. 已知,33),(22y x y x u -=试求),(y x v 使),(),()(y x iv y x u z f +=为解析函数且满足i f =)0(.3. 试讨论定义于复平面内的函数2)(z z f =的可导性. 4. 试证22),(y x yy x u +=是在不包含原点的复平面内的调和函数, 并求),(y x v 使),(),()(y x iv y x u z f +=为解析函数且满足1)(=i f .5. 证明z e z f =)(在复平面内可导且zz e e =')(.6. 证明⎰⎩⎨⎧>==-c n n n i z z dz1,01,2)(0π,其中n 为正整数,c 是以0z 为圆心,半径为r 的圆周.五. 求下列积分 (共24题)1. 计算dz z c⎰sin ,其中c 是从原点沿x 轴至)0,1(0z ,然后由0z 沿直线x=1至)1,1(1z 的折线段.2.⎰+cdz z z )]Re(2[,其中c 是从点A(1,0)到点B(-1,0)的上半个圆周.73.⎰+-cdz z z)652(2, 其中c 为连接A(1,-1),B(0,0)的任意曲线.4.dz ze iz ⎰+π11. 5.dz z z i z ⎰=-++21)4)(1(122 6.dz z z zz ⎰=--ππ2)1(cos 2.7.⎰=-232)(sin z dz z zπ. 8.⎰-+=cz z dzI )2()1(2,其中c 为r r z ,=为不等于1,2的正常数. 9.⎰++=cz z dzI )1)(12(2,其中曲线c 分别为1)1=-i z2)23=+i z 10. 设c 为任意不通过z =0和z =1的闭曲线,求dz z z e cz⎰-3)1(. 11. 23cos sin [](2)zzz e z e I dz z z z ==+-⎰. 12.⎰=--2)1(12z dz z z z . 用留数定理计算下列各题.13. dz z z e z z⎰=-1302)(,其中0z 为10≠z 的任意复数.14. dz z e z z⎰=+222)1(π.815.⎰=-24)1(sin z dz z zπ. 16.dz z z zz ⎰=-+12)12)(2(sin π. 17.⎰=1z zdz tg π.18.dz z zz ⎰=22sin . 19.⎰=+-122521z dz z z . 20.dz z z z ⎰=+-14141. 21.dz iz z z ⎰=-+122521.22. dz z z z c ⎰++)4)(1(222,其中c 为实轴与上半圆周)0(3>=y z 所围的闭曲线.23. dz z z c ⎰++1142,其中c 同上.24.⎰++c dz z z )1)(9(122,其中c 为实轴与上半圆周)0(4>=y z 所围的闭曲线. 六. 求下列函数在奇点处的留数 (共8题)1.421)(z e z f z-=.2. 1sin )(-=z z z f .3.3)1(sin )(z zz f +=.94.224)1(1)(++=z z z f . 5.1)(-=z e z z f . 6.2)1()(-=z z e z f z. 7. 11)(23+--=z z z z f .8.z zz f sin 1)(+=. 七. 将下列函数在指定区域内展成泰勒级数或罗朗级数 (共10题)1.)2()1(1)(22z z z z f --=110<-<z2.13232)(2+--=z z zz f231<+z 3.1)(-=z e z f z+∞<-<10z4. 21)(2--=z z z f1)1<z ,2). 1<z <2,3). 2<∞<z5.)1(1)(2z z z f -=110<-<z 6.z z f cos )(=+∞<-πz 7.2)1(1)(z z f +=1<z8.zzz f sin 1)(+=π<<z 0 (写出不为零的前四项)9.)1(cos )(2-=z e z z z f+∞<<z 0 (写出不为零的前三项)1010. zz z f sin )(=π<<z 0 (写出不为零的前三项)11第二部分解答一、判断题.(共20题)1. ×2. √3. ×4. ×5. ×6. ×7. √8. √9. × 10. √ 11. × 12. × 13. √ 14. × 15. √ 16. × 17. × 18. √ 19. √ 20. √二、单项选择题.(共20题)1. A.2. B.3. C.4. A.5. B.6. A.7. A.8. B.9. C. 10. C. 11. B. 12. C. 13. A. 14. B. 15. B. 16. B. 17. A. 18. C. 19. C. 20. B.三、填空题 1.,210)(235(2ln ±±=++,,k k i ππ) 2.47π ,i 472ln 23π+ 3. 13422<+y x 4. xshy y xchy x cos sin - , xchy y xchy x sin cos +5. 16. i ππ2612+- ,π36-7.)()(01z G z G -8.21 9.n m + ,n m -10.2π 11. π<<z 01212. 1 ,-61 13.i π14. 0 ,1四、求解下列各题1. 由题意得⎪⎩⎪⎨⎧+=+=2323),(),(lxyx y x v ynx my y x u利用yv nxy x u ∂∂==∂∂2 ,得l n =222233ly x xvnx my y u --=∂∂-=+=∂∂,得3-=n ,3-=l ,1=m 则 )33(6)(22y x i xy xvi x u z f -+-=∂∂+∂∂='23iz =2. 由于x xu y v 6=∂∂=∂∂ 所以 ⎰+==)(66),(x xy xdy y x v ϕ,)(6x y xvϕ'+=∂∂ 又由yux v ∂∂-=∂∂,即y x y 6)(6='+ϕ 所以 0)(='x ϕ,C x =)(ϕ(C 为常数)故 c xy y x v +=6),(,ci z i c xy y x z f +=++-=2223)6(33)(将条件 i f =)0(代入可得1=C ,因此,满足条件i f =)0(的函数i z z f +=23)(3. 由题意知⎩⎨⎧=+=0),(),(22y x v y x y x u ,由于1302=∂∂==∂∂y v x x u ,02=∂∂-==∂∂x v y y u 可得⎩⎨⎧==00y x 由函数可导条件知,2)(z z f =仅在0=z 处可导。
《复变函数》考试试题(一) 1、 =-⎰=-1||00)(z z nz z dz__________.(n 为自然数)2.=+z z 22cos sin_________.3.函数z sin 的周期为___________.4.设11)(2+=z z f ,则)(z f 的孤立奇点有__________.5.幂级数n n nz ∞=∑的收敛半径为__________.6.若函数f(z)在整个平面上处处解析,则称它是__________.7.若ξ=∞→n n z lim ,则=+++∞→n z z z nn (i)21______________.8.=)0,(Re n zz es ________,其中n 为自然数.9. zz sin 的孤立奇点为________ .10.若0z 是)(z f 的极点,则___)(lim 0=→z f z z .三.计算题(40分):1. 设)2)(1(1)(--=z z z f ,求)(z f 在}1||0:{<<=z z D 内的罗朗展式.2. .cos 11||⎰=z dz z3. 设⎰-++=C d z z f λλλλ173)(2,其中}3|:|{==z z C ,试求).1('i f +4. 求复数11+-=z z w 的实部与虚部.四. 证明题.(20分) 1. 函数)(z f 在区域D 内解析. 证明:如果|)(|z f 在D 内为常数,那么它在D 内为常数.2. 试证: ()f z =在割去线段0Re 1z ≤≤的z 平面内能分出两个单值解析分支, 并求出支割线0Re 1z ≤≤上岸取正值的那支在1z =-的值.《复变函数》考试试题(二)二. 填空题. (20分)1. 设i z -=,则____,arg __,||===z z z2.设Ciy x z y x i xy x z f ∈+=∀+-++=),sin(1()2()(222,则=+→)(l i m 1z f iz ________.3.=-⎰=-1||00)(z z n z z dz_________.(n 为自然数)4. 幂级数nn nz∞=∑的收敛半径为__________ .5. 若z 0是f (z )的m 阶零点且m >0,则z 0是)('z f 的_____零点.6. 函数e z 的周期为__________.7. 方程083235=++-z z z 在单位圆内的零点个数为________.8. 设211)(z z f +=,则)(z f 的孤立奇点有_________.9. 函数||)(z z f =的不解析点之集为________.10. ____)1,1(Res 4=-zz .三. 计算题. (40分)1. 求函数)2sin(3z 的幂级数展开式. 2. 在复平面上取上半虚轴作割线. 试在所得的区域内取定函数z 在正实轴取正实值的一个解析分支,并求它在上半虚轴左沿的点及右沿的点i z =处的值.3. 计算积分:⎰-=iiz z I d ||,积分路径为(1)单位圆(1||=z )的右半圆.4. 求dzz zz ⎰=-22)2(sin π.四. 证明题. (20分)1. 设函数f (z )在区域D 内解析,试证:f (z )在D 内为常数的充要条件是)(z f 在D 内解析.2. 试用儒歇定理证明代数基本定理.《复变函数》考试试题(三)二. 填空题. (20分) 1. 设11)(2+=z z f ,则f (z )的定义域为___________. 2. 函数e z的周期为_________.3. 若n n ni n n z )11(12++-+=,则=∞→n z n lim __________.4. =+z z 22cos sin ___________.5. =-⎰=-1||00)(z z n z z dz_________.(n 为自然数) 6. 幂级数∑∞=0n nnx的收敛半径为__________.7. 设11)(2+=z z f ,则f (z )的孤立奇点有__________.8. 设1-=z e ,则___=z . 9. 若0z是)(z f 的极点,则___)(lim 0=→z f z z .10. ____)0,(Res =n zze.三. 计算题. (40分)1. 将函数12()zf z z e =在圆环域0z <<∞内展为Laurent 级数.2. 试求幂级数nn nz nn ∑+∞=!的收敛半径. 3. 算下列积分:⎰-C z z z ze )9(d 22,其中C 是1||=z .4. 求0282269=--+-z z z z在|z |<1内根的个数.四. 证明题. (20分) 1. 函数)(z f 在区域D 内解析. 证明:如果|)(|z f 在D 内为常数,那么它在D 内为常数.2. 设)(z f 是一整函数,并且假定存在着一个正整数n ,以及两个正数R 及M ,使得当R z ≥||时n z M z f |||)(|≤,证明)(z f 是一个至多n 次的多项式或一常数。
(1);(2);(3);(4);(5);(6)答案(1)实部-1;虚部;模为2;辐角为;主辐角为;原题即为代数形式;三角形式为;指数形式为.(2)略为(3)略为(4)略为(5)略为:(6)该复数取两个值略为计算下列复数1);2);答案1);2);计算下列复数(1);(2);答案(1)(2)已知为实数,求复数的实部和虚部.【解】令,即为实数域(Real).平方得到,根据复数相等,所以即实部为虚部为说明已考虑根式函数是两个值,即为值.如果试证明对于任何复常数有【证明】因为,所以如果复数是实系数方程的根,则一定也是该方程的根.证因为,,…,均为实数,故,,…,.且,故由共轭复数性质有:.则由已知.两端取共轭得即.故也是之根.注此题仅通过共轭的运算的简单性质及实数的共轭为其本身即得证.此结论说明实系数多项式的复零点是成对出现的.这一点在代数学中早已被大家认识.特别地,奇次实系数多项式至少有一个实零点.证明:,并说明其几何意义.若,试求的值.【解】因为所以即为所以将下列复数表为的幂的形式(1);(2)答案证明:如果是1的n次方根中的一个复数根,但是即不是主根,则必有对于复数,证明复数形式的柯西(Cauchy)不等式:成立。
【证明】对任意n个复数,由三角不等式知再由关于实数的柯西不等式得,证毕。
证明成立.下列不等式在复数平面上表示怎样的点集1);2);3);4);5)(答 1)平面上由与所构成的宽度为1的铅直带形域;2)以为心,内半径为2,外半径为3的圆环域;3)顶点在原点,开度为的角形区域;4)宽度为的说平带形域,边界为,;5)以为心,为半径的圆之外部区域)指出下列关系表示的点之轨迹或范围;并说明是何种点集1)2)解 1)令,由知且即这样的点为平面上从点出发(但不含点)与实轴倾角为的射线.此射线所形成的点集既非开集,也非闭集.2)设,则原条件即为即由模的定义得化简得这是一椭圆,长半轴为,短半轴为,中心在原点,它是有界闭集(全部为边界点).描述下列不等式所确定的点集,并指出是区域还是闭区域,有界还是无界,单连通还是多(或复)连通.(1)(2)(3)(4)(5)(6)(7)(8)解(1)是以i为圆心、在以2为半径的圆外,3为半径的圆内的圆环,是有界闭区域、多连通.(图形略)(2)即是下半平面,无界单连通闭区域.(3)到3的距离比到2的距离大,因此,它是左半平面,去掉一点,是无界的多连通的区域.(4)在直线的上方,其中.无界单连通区域(5)即或是无界多连通区域(6)此不等是焦点在和初,长半轴为5/2的椭圆内部,为有界单连通闭区域).(7)这是半支双曲线:,部分是无界单连通区域.(8)不等式即,或,只有当,成立,因此,只代表复平面上一个点.已知映射,求(1) 圆周的象;(2)直线的象;(3)区域的象.答案 (1) ,为圆周(2)直线(3)先看直线 x=1的象,而 z=0 的象在圆的外部,因此的象是圆的内部即为讨论下列函数在指定点的极限存在性,若存在求出其值,并判断在该点的连续性.1), 2),解 1),则,,,又注意即在点处极限存在且连续.2)设,则显然,在点极限存在且连续.但注意不存在,事实上,令,有,对不同值有不同结果,故知不存在.所以,不存在.由连续与极限的关系知在处极限不存在、不连续.注这两个问题均通过极限存在的充要条件将问题转化为两个二元实函数在对应点处极限存在性的判断问题,这是最常用的方法.在问题1)中,又根据连徐的另一等价定义,立即得到在处不仅极限存在,而且在该点连续的结论;在2)中,实际上是一复变量实值函数,即,所以由充要条件只需判断一个二元实函数在点的极限存在性.由该二元实函数在点极限不存在即得在处极限的不存在性.若函数在点点连续,证明(1)在该点连续;(2)的模在该点连续.本章计算机编程实践与思考(说明:读者可参考第五部分计算机仿真编程实践)使用Matlab,或Mathcad,或Mathmatic计算机仿真求解下列复数的实部、虚部;共轭复数;模与辐角;计算机仿真计算:计算机仿真求解方程计算机仿真编程实践:若对应为的根,其中且取整数.试用计算机仿真编程验证下列数学恒等式成立.用计算机编程实践方法(Matlab,Mathcad,Mathmatic,C/C++)实现:(1)绘出单位圆及其内接正十七边形;(2)计算机编程求出边长;(3)能否对多变形进行推广,得出相应的计算机仿真计算方法.计算机仿真编程验证对复平面任意两个以上的不重合的有限远点,(即保证分母不为零),恒等式是否还成立呢注意式中自然数,而m, k为1至N的整数.(提示:利用随机函数产生随机数,从而验证恒等式是否成立)。
《复变函数》考试试题(一)1、__________.(为自然数)2。
_________。
3.函数的周期为___________.4.设,则的孤立奇点有__________。
5.幂级数的收敛半径为__________.6.若函数f(z)在整个平面上处处解析,则称它是__________。
7.若,则______________.8。
________,其中n为自然数.9。
的孤立奇点为________。
10.若是的极点,则。
三.计算题(40分):1. 设,求在内的罗朗展式.2.3. 设,其中,试求4. 求复数的实部与虚部.四。
证明题.(20分)1。
函数在区域内解析. 证明:如果在内为常数,那么它在内为常数。
2。
试证:在割去线段的平面内能分出两个单值解析分支,并求出支割线上岸取正值的那支在的值.《复变函数》考试试题(二)二。
填空题. (20分)1。
设,则2。
设,则________。
3. _________。
(为自然数)4. 幂级数的收敛半径为__________ 。
5. 若z0是f(z)的m阶零点且m>0,则z0是的_____零点。
6. 函数e z的周期为__________.7. 方程在单位圆内的零点个数为________.8. 设,则的孤立奇点有_________。
9。
函数的不解析点之集为________。
10. .三。
计算题. (40分)1。
求函数的幂级数展开式。
2. 在复平面上取上半虚轴作割线. 试在所得的区域内取定函数在正实轴取正实值的一个解析分支,并求它在上半虚轴左沿的点及右沿的点处的值。
3。
计算积分:,积分路径为(1)单位圆()的右半圆。
4. 求。
四。
证明题。
(20分)1. 设函数f(z)在区域D内解析,试证:f(z)在D内为常数的充要条件是在D内解析。
2. 试用儒歇定理证明代数基本定理.《复变函数》考试试题(三)二. 填空题. (20分)1. 设,则f(z)的定义域为___________.2。
复变函数习题总汇与参考答案第1章 复数与复变函数一、单项选择题1、假设Z 1=〔a, b 〕,Z 2=(c, d),那么Z 1·Z 2=〔C 〕 A 〔ac+bd, a 〕 B (ac-bd, b) C 〔ac-bd, ac+bd 〕 D (ac+bd, bc-ad)2、假设R>0,那么N 〔∞,R 〕={ z :〔D 〕} A |z|<R B 0<|z|<R C R<|z|<+∞ D |z|>R3、假设z=x+iy, 那么y=(D)A B C D4、假设A= ,那么|A|=〔C 〕A 3B 0C 1D 2二、填空题1、假设z=x+iy, w=z 2=u+iv, 那么v=〔 2xy 〕2、复平面上满足Rez=4的点集为〔 {z=x+iy|x=4} 〕3、〔 设E 为点集,假设它是开集,且是连通的,那么E 〕称为区域。
2zz +2z z -iz z 2+iz z 2-)1)(4()1)(4(i i i i +--+4、设z 0=x 0+iy 0, z n =x n +iy n (n=1,2,……),那么{z n }以z o 为极限的充分必要条件是 x n =x 0,且 y n =y 0。
三、计算题1、求复数-1-i 的实部、虚部、模与主辐角。
解:Re(-1-i)=-1 Im(-1-i)=-1 |-1-i|=2、写出复数-i 的三角式。
解:3、写出复数 的代数式。
解:4、求根式 的值。
+∞→n lim +∞→n limππ45|11|arctan ),1(12)1()1(=--+=--∴--=-+-i ary i 在第三象限 ππ23sin 23cos i i +=-i i i i i i i i i i i i i i i 212312121)1()1)(1()1(11--=--+-=⋅-++-+=-+-ii i i -+-11327-解:四、证明题1、证明假设 ,那么a 2+b 2=1。
第 1 页 共 10 页《复变函数》习题及答案一、 判断题1、若函数f (z )在z 0解析,则f (z )在z 0的某个邻域内可导。
( )2、如果z 0是f (z )的本性奇点,则)(lim 0z f z z →一定不存在。
( )3、若函数),(),()(y x iv y x u z f +=在D 内连续,则u (x,y )与v (x,y )都在D 内连续。
( )4、cos z 与sin z 在复平面内有界。
( )5、若z 0是)(z f 的m 阶零点,则z 0是1/)(z f 的m 阶极点。
( )6、若f (z )在z 0处满足柯西-黎曼条件,则f (z )在z 0解析。
( )7、若)(lim 0z f z z →存在且有限,则z 0是函数的可去奇点。
( )8、若f (z )在单连通区域D 内解析,则对D 内任一简单闭曲线C 都有0)(=⎰Cdz z f 。
( )9、若函数f (z )是单连通区域D 内的解析函数,则它在D 内有任意阶导数。
( )10、若函数f (z )在区域D 内的解析,且在D 内某个圆内恒为常数,则在区域D 内恒等于常数。
( )11、若函数f (z )在z 0解析,则f (z )在z 0连续。
( ) 12、有界整函数必为常数。
( ) 13、若}{n z 收敛,则} {Re n z 与} {Im n z 都收敛。
( )14、若f (z )在区域D 内解析,且0)('≡z f ,则C z f ≡)((常数)。
( ) 15、若函数f (z )在z 0处解析,则它在该点的某个邻域内可以展开为幂级数。
( ) 16、若f (z )在z 0解析,则f (z )在z 0处满足柯西-黎曼条件。
( ) 17、若函数f (z )在z 0可导,则f (z )在z 0解析。
( ) 18、若f (z )在区域D 内解析,则|f (z )|也在D 内解析。
( )19、若幂级数的收敛半径大于零,则其和函数必在收敛圆内解析。
习题一答案1.求以下复数的实部、虚部、模、幅角主值及共轭复数:( 1)1(2)i2i1)(i2)3(i(3)13i(4)i84i 21i i1i解:( 1)z132i 32i13,所以: Re z 3,Im z2,13 13( 2)z(ii2)1i3i ,1)(i3i10所以, Re z 3 ,Im z1,1010( 3)z 13ii33i35i i1i2,2所以, Re z 3 ,Im z5,32( 4)z i 84i 21i 1 4i i 1 3i 所以, Re z1,Im z3,2.将以下复数化为三角表达式和指数表达式:( 1)i ()13i() r (sin i cos ) 23( 4)r (cos i sin) (5)1 cos i sin(02)解:( 1)i cos i sini e2222(cos 2i sin22(2)13i)i 2e333( 3)r (sin i cos) r[cos()i sin()]() i re 222( ) r (cosi sin )r[cos( ) i sin( )] rei4(5) 1 cosi sin2sin 22i sin cos2 2 23. 求以下各式的值:(1)( 3i)5( 2) (1 i )100(1 i)100(13i )(cosi sin)(cos5 i sin 5 )2 (3)i )(cosi sin ) (4)(cos3 i sin 3 )3(1(5) 3i ( 6)1 i解:( 1) ( 3 i )5[2(cos() i sin())] 56 6(2) (1 i )100(1i)100(2i )50( 2i )502(2)50251(1 3i )(cos i sin )(3)i )(cosi sin )(1(4) (cos5i sin 5 ) 2 (cos3i sin 3 )3(5) 3i3cosi sin22(6) 1i2(cosi sin )444. 设z 1 1i, z 23 i, 试用三角形式表示 z z 与z 121 2z 2解: zcos i sin, z 22[cos() i sin( )] ,所以14466z 1z 2 2[cos(4) i sin(4)] 2(cos i sin ) ,6 612 125. 解以下方程:(1) (z i )51z4a 40 ( a 0)( 2)解:( 1) zi51,由此z51i2k ii , (k0,1,2,3,4)e5( 2)z4a44 a4 (cos i sin)a[cos 1(2k)i sin1(2k)] ,当 k0,1,2,3 时,对应的4个根分别为:44a(1i ),a(1i),a( 1 i ),a(1i)22226.证明以下各题:( 1)设z x iy, 则x yz x y 2证明:第一,明显有z x2y2x y ;其次,因 x2y2 2 x y , 固此有 2( x2y2 )( x y )2 ,进而 z x2y2x y2。
第一章 复变函数习题及解答写出下列复数的实部、虚部;模和辐角以及辐角的主值;并分别写成代数形式,三角形式和指数形式.(其中,,R αθ为实常数)(1)1-; (2)ππ2(cosisin )33-; (3)1cos isin αα-+;(4)1ie +; (5)i sin R e θ; (6)i +答案 (1)实部-1;虚部 2;辐角为 4π2π,0,1,2,3k k +=±±L;主辐角为4π3;原题即为代数形式;三角形式为4π4π2(cosisin )33+;指数形式为4πi 32e .(2)略为 5πi 35π5π2[cos sin ], 233i e +(3)略为 i arctan[tan(/2)][2sin()]2c e αα(4)略为 i;(cos1isin1)ee e +(5)略为:cos(sin )isin(sin )R R θθ+(6)该复数取两个值略为 i i isin ),arctan(1isin ),πarctan(1θθθθθθθθ+=+=+计算下列复数 1)()103i 1+-;2)()31i 1+-;答案 1)3512i 512+-;2)()13π/42k πi632e 0,1,2k +=;计算下列复数(1 (2答案 (1(2)(/62/3)i n eππ+已知x【解】令i ,(,)p q p q R =+∈,即,p q 为实数域(Real).平方得到2212()2i x p q xy +=-+,根据复数相等,所以即实部为 ,x ±虚部为 说明 已考虑根式函数是两个值,即为±值.如果 ||1,z =试证明对于任何复常数,a b 有||1az bbz a +=+【证明】 因为||1,11/z zz z z =∴=∴=,所以如果复数b a i +是实系数方程()01110=++++=--n n n n a z a z a z a z P Λ的根,则b a i -一定也是该方程的根.证 因为0a ,1a ,… ,n a 均为实数,故00a a =,11a a =,… ,n n a a =.且()()kkz z =,故由共轭复数性质有:()()z P z P =.则由已知()0i ≡+b a P .两端取共轭得 即()0i ≡-b a P .故b a i -也是()0=z P 之根.注 此题仅通过共轭的运算的简单性质及实数的共轭为其本身即得证.此结论说明实系数多项式的复零点是成对出现的.这一点在代数学中早已被大家认识.特别地,奇次实系数多项式至少有一个实零点.证明:2222121212||||2(||||)z z z z z z ++-=+,并说明其几何意义. 若 (1)(1)n n i i +=-,试求n 的值.【解】 因为222244444444(1)2(cos sin )2(cos sin )(1)2(cos sin )2(cos sin )n nnnn n n n n n n n i i i i i i ππππππππ+=+=+-=-=- 所以 44sin sin n n ππ=- 即为4sin 0n π=所以4,4,(0,1,2,)n k n k k ππ===±±L将下列复数表为sin ,cos θθ的幂的形式 (1) cos5θ; (2)sin5θ答案 53244235(1) cos 10cos sin 5cos sin (2) 5cos sin 10cos sin sin θθθθθθθθθθ-+-+证明:如果 w 是1的n 次方根中的一个复数根,但是1≠w 即不是主根,则必有 对于复数,k k αβ,证明复数形式的柯西(Cauchy)不等式:22221111||(||||)||||n n nnk k k k k kk k k k αβαβαβ====≤≤∑∑∑∑ 成立。
【证明】 对任意n 个复数,由三角不等式知 再由关于实数的柯西不等式得22221111||(||||)||||n n nnk k k k k kk k k k αβαβαβ====≤≤∑∑∑∑,证毕。
证明 1sin()sin22cos cos 2cos3cos ;2sin2n n θθθθθθθ+-++++=L1coscos()22sin sin 2sin 3sin 2sin2n n θθθθθθθ-+++++=L 成立.下列不等式在复数平面上表示怎样的点集? 1)()1Re 0<<z ;2)320<-<z z ;3)10arg ϕϕ<<z ;4)()0Im πz <<;5)211<+-z z(答 1)平面上由0=x 与1=x 所构成的宽度为1的铅直带形域;2)以0z 为心,内半径为2,外半径为3的圆环域;3)顶点在原点,开度为()01ϕϕ-的角形区域;4)宽度为π的说平带形域,边界为0=y ,π=y ;5)以035z =-为心,34=R 为半径的圆之外部区域)指出下列关系表示的点之轨迹或范围;并说明是何种点集?1)()πarg i 4z -=2)522=++-z z解 1)令y x z i +=,由()πarg i 4z -=知()()⎩⎨⎧>-=->=-01i Im 0i Re y z x z 且1πarctan 4y x -=即 ⎩⎨⎧>+=01x x y这样的点为z 平面上从点i 0=z 出发(但不含0z 点)与实轴倾角为π4的射线.此射线所形成的点集既非开集,也非闭集. 2)设y x z i +=,则原条件即为即210252222+=-+--z z z由模的定义得 化简得这是一椭圆,长半轴为25,短半轴为23,中心在原点,它是有界闭集(全部为边界点).描述下列不等式所确定的点集,并指出是区域还是闭区域,有界还是无界,单连通还是多(或复)连通. (1)2i 3z ≤-≤ (2)()2i Re ≥z(3)123>--z z (4)()1arg 1πz -<<-+ (5)121+<-z z (6)521≤++-z z (7)122>+--z z (8)1i i ≤-+z z z z解 (1)是以i 为圆心、在以2为半径的圆外,3为半径的圆内的圆环,是有界闭区域、多连通.(图形略)(2)即2-≤y 是下半平面,无界单连通闭区域.(3)z 到3的距离比z 到2的距离大,因此,它是左半平面212<z ,去掉2=z 一点,是无界的多连通的区域.(4)在直线kx y =的上方,其中1tan -=k .无界单连通区域 (5)即()()()()11411++<--z z z z或0135222>+++x y x9163522>+⎪⎭⎫ ⎝⎛+y x 是无界多连通区域 (6)此不等是焦点在1=z 和2-=z 初,长半轴为5/2的椭圆内部,为有界单连通闭区域).(7)这是半支双曲线:1174422>-y x ,⎪⎭⎫ ⎝⎛-<21x 部分是无界单连通区域. (8)不等式即1222≤-+y y x ,或()0122≤-+y x ,只有当0=x ,1=y 成立,因此,只代表复平面上一个点i =z . 已知映射1z =w ,求(1) 圆周的象; (2)直线y x =的象; (3)区域1x >的象. 答案 (1) ||211|||||2z z ===w ,为圆周(2)直线111i 11,,,(1i)22u u z x x x x-====∴=-+-w v =v2(3) 先看直线 x=1的象,2222211i 1,,1i 111y yu u u y y y y --==∴==∴+=++++w v v而 z =0 的象=∞w 在圆的外部,因此1x >的象是圆的内部即为22u u +<v讨论下列函数在指定点的极限存在性,若存在求出其值,并判断在该点的连续性.1)()2i 2y x z f +=,i 20=z 2)()⎪⎪⎭⎫⎝⎛-=z z z z z f i 21,00=z解 1)()()()y x v y x u z f ,i ,+=,000i y x z +=则()x y x u 2,=,()2,y y x v =,()()2,0,00=y x ,又注意 ()()()i 4,i ,00000=+=y x v y x u z f即()2i 2y x z f +=在点i 20=z 处极限存在且连续.2)设y x z i +=,则显然,()0,≡y x v 在()0,0点极限存在且连续.但注意()()220,0,2lim y x xy y x +→不存在,事实上,令kx y =,有220022001212lim 2lim k kk k y x xy kx y x kx y x +=+=+→=→→=→,对不同k 值有不同结果,故知()()220,0,2lim y x xyy x +→不存在.所以,⎪⎪⎭⎫ ⎝⎛-→z z z z z i 21lim0不存在.由连续与极限的关系知()z f 在0=z 处极限不存在、不连续.注 这两个问题均通过极限存在的充要条件将问题转化为两个二元实函数在对应点()00,y x 处极限存在性的判断问题,这是最常用的方法.在问题1)中,又根据连徐的另一等价定义()()00lim z f z f z z =→,立即得到()z f 在i 20=z 处不仅极限存在,而且在该点连续的结论;在2)中,()z f 实际上是一复变量实值函数,即()0,≡y x v ,所以由充要条件只需判断一个二元实函数()22,y x xyy x u +=在()0,0点的极限存在性.由该二元实函数在()0,0点极限不存在即得()z f 在0=z 处极限的不存在性. 若函数()f z 在点000i z x y =+点连续,证明 (1)()f z 在该点连续; (2)|()|f z 的模在该点连续.本章计算机编程实践与思考(说明:读者可参考第五部分 计算机仿真编程实践)使用Matlab,或Mathcad,或Mathmatic 计算机仿真求解下列复数的实部、虚部;共轭复数;模与辐角;计算机仿真计算: 计算机仿真求解方程 计算机仿真编程实践:若 (1,2,,)l z l n =⋅⋅⋅对应为10nz -=的根,其中2n ≥且取整数.试用计算机仿真编程验证下列数学恒等式 11()10,()nnk km m m k zz ==≠=-∑∏成立.用计算机编程实践方法(Matlab,Mathcad,Mathmatic,C/C++)实现: (1)绘出单位圆及其内接正十七边形; (2)计算机编程求出边长;(3)能否对多变形进行推广,得出相应的计算机仿真计算方法. 计算机仿真编程验证对复平面任意两个以上的不重合的有限远点,k m Z Z ,(即保证分母不为零),恒等式1110()NNk km m m kZZ ==≠=-∑∏ 是否还成立呢?注意式中自然数2N ≥,而m, k 为1至N 的整数.(提示:利用随机函数产生随机数k N ,从而验证恒等式是否成立)。