复变函数第二章习题答案精编版.doc
- 格式:doc
- 大小:291.02 KB
- 文档页数:5
p90第二章习题(一)[ 1, 6, 9, 14(3), 26 ]1. 设连续曲线C : z = z(t), t∈[α, β],有z’(t0) ≠ 0 (t0∈[α, β]),试证曲线C在点z(t0)有切线.【解】首先,因为当t →t0时,(z(t) -z(t0))/(t-t0) →z’(t0) ≠ 0,故| (z(t) -z(t0))/(t-t0) | → | z’(t0)| ≠ 0,因此存在δ> 0,使得∀t∈[α, β],当0 < | t-t0 | < δ时,有| (z(t) -z(t0))/(t-t0) |≠ 0,故| z(t) -z(t0) |≠ 0,即z(t) ≠z(t0).此时,存在唯一确定的过点z(t0)以及点z(t) (t ≠t0)的割线:(y(t) -y(t0))(X-x(t0)) + (x(t) -x(t0))(Y-y(t0)) = 0.此方程等价于(y(t) -y(t0))/(t-t0) · (X-x(t0)) + (x(t) -x(t0))/(t-t0) · (Y-y(t0)) = 0.当t→t0时,有y’(t0) (X-x(t0)) + x’(t0)) (Y-y(t0)) = 0.因为z’(t0) ≠ 0,故y’(t0)2 + x’(t0)2≠ 0.直线y’(t0) (X-x(t0)) + x’(t0)) (Y-y(t0)) = 0就是曲线C在点z(t0)处的切线.[这里采用的切线的定义:切线是指割线的极限位置的直线.在这个题目的证明中,我们主要说明两点:第一,当t充分接近t0 (t≠t0),有唯一确定的割线过点z(t0)和z(t);第二,当t →t0 (t≠t0)时,过z(t0)和z(t)的割线确实有“极限位置”] 6. 若函数f(z)在区域D内解析,且满足下述条件之一,试证f(z)在D内为常数.(6.1) 在D内f’(z) = 0;【解】设f(z) = u(x, y) + i v(x, y),(x, y)∈D.由f’(z) = 0及f’(z) = u x + i v x,知u x = v x = 0;由Cauchy-Riemann方程,v y = u x = 0,u y = -v x = 0;因u x = u y = 0,故u在区域D内为常数.因v x = v y = 0,故v在区域D内为常数.所以,f(z) = u(x, y) + i v(x, y)在区域D内为常数.(6.2) ( f(z))*在D内解析;【解】因f(z) = u(x, y) + i v(x, y)在区域D内解析,由Cauchy-Riemann方程,u x = v y,v x = -u y;因( f(z))* = u(x, y) -i v(x, y)在区域D内解析,由Cauchy-Riemann方程,u x = -v y,v x = u y;因此得到u x = u y = v x = v y = 0,所以u, v都在区域D内为常数.所以,f(z) = u(x, y) + i v(x, y)在区域D内为常数.(6.3) | f(z) |在D内为常数;【解】若| f(z) |在D内恒为零,则在D内f(z) = 0 (常数).若在D内| f(z) | = c > 0,则f(z) · ( f(z))* = c2.因f(z)在D内解析且f(z) ≠ 0,故( f(z))* = c2/ f(z)在D内解析.由(2)知f(z)在区域D内为常数.(6.4) Re( f(z))或Im( f(z))在D内为常数.【解】设f(z) = u(x, y) + i v(x, y).若u(x, y) = Re( f(z))在D内为常数,则u x = u y = 0.由Cauchy-Riemann方程,v x = -u y = 0,v y = u x = 0;所以v(x, y) = Im( f(z))也在D内为常数.故f(z)在区域D内为常数.9. 试证下面的定理:设f(z) = u(r, θ) + i v(r, θ),z = r e iθ,若u(r, θ), v(r, θ)在点(r, θ)是可微的,且满足极坐标的Cauchy-Riemann方程:∂u/∂r = (1/r)∂v/∂θ,∂v/∂r = (-1/r)∂u/∂θ(r > 0),则f(z)在点z是可微的,并且f’(z) = (cosθ-i sinθ)(∂u/∂r + i∂v/∂r) = (r/z)(∂u/∂r + i∂v/∂r).【解】注意到在点(r, θ)处,因为r > 0,r, θ也是(x, y)的可微函数,并且,r x = x/r = cosθ,r y = y/r = sinθ;θx = -y/r2 = - sinθ/r,θy = x/r2 = cosθ /r.所以u, v也是(x, y)的可微函数.由求导的链锁法则,我们有u x = u r·r x + uθ·θx = ((1/r)vθ)· cosθ + (-r v r) · (- sinθ/r)= vθ · (cosθ /r) + v r · sinθ= vθ ·θy + v r ·r y= v y;以及v x = v r·r x + vθ·θx = ((-1/r)uθ)· cosθ + (r u r) · (- sinθ/r)= uθ · (- cosθ /r) + u r · (- sinθ)= - (uθ ·θy + u r ·r y)= -u y;即满足Cauchy-Riemann方程,故f(z)在点z是可微的,且f’(a) = u x + i v x = (vθ · (cosθ /r) + v r · sinθ) + i (uθ · (- cosθ /r) + u r · (- sinθ))= (r u r · (cosθ /r) + v r · sinθ) + i ((-r v r) · (- cosθ /r) + u r · (- sinθ))= (cosθ-i sinθ)(∂u/∂r + i∂v/∂r)= (r/z)(∂u/∂r + i∂v/∂r).[ r = √(x2 + y2)在(x, y) ≠ (0, 0)处有连续的偏导数,所以是可微的.θ作为(x, y)函数在(x, y) ≠ (0, 0)处的可微性的证明如下(参考第一章习题13的解答):设D1 = { z∈ | Re(z) > 0},D2 = { z∈ | Im(z) > 0},D3 = { z∈ | Im(z) < 0},D4 = { z∈ | Re(z) < 0}.则 \{0} = D1⋂D2⋂D3⋂D4.在D1上,θ = arctan(y/x) + 2k1π;在D2上,θ = arccot(x/y) + 2k2π;在D3上,θ = arccot(x/y) -π + 2k3π;在D4上,θ = arctan(y/x) + π + 2k4π.不论在那个区域D j上,θ都有连续的偏导数,因此θ在 \{0}上是可微的.] 14. 试验证:(3) lim z→ 0 ( z–z cos z )/( z– sin z ) = 3.【解】因分母z– sin z的一阶导数1 – cos z在原点处的值为0,故此题不能直接用L’Hospital法则(第2题的结论).但可对lim z→ 0 sin z / z用L’Hospital法则.开始以为这个题目应该放在后面的章节,可是终究不甘心,考虑再三,退到sin z 最原始的定义,发现可以以它的实部和虚部为实变量展开.先用L’Hospital法则,lim z→ 0 sin z / z = cos 0 = 1,得到sin z = z + o(z),z→ 0.所以1 – cos z = 2 sin 2(z/2) = 2 ( z/2 + o(z) )2 = z2/2 + o(z2),z→ 0.而sin z = sin(x + i y) = exp( i (x + i y) ) – exp( –i (x + i y) )/(2 i)= (exp(–y)(cos x + i sin x) – exp(y)(cos x–i sin x))/(2 i)= (exp(y) + exp(–y)) sin x + i (exp(y) – exp(–y)) cos x )/2注意到当k + m≥ 3时,o(x k y m) = o(| z |3),z→ 0;故sin z = (1 + y2/2 + o(y3)) (x–x3/6 + o(x4) ) + i (y + y3/6 + o(y4)) (1 –x2/2 + o(x3))= (x + i y ) – (x3 + i 3x2y– 3xy2/2 –i y3 )/6 + o(z3) = z–z3/6 + o(z3),z→ 0.所以,( z–z cos z )/( z– sin z ) = z (1 – cos z )/( z– sin z )= z (z2/2 + o(z2))/(z3/6 + o(z3)) → 3,z→ 0.26. 试证:在将z平面适当割开后,函数f(z) = ( (1 – z ) z2 )1/3能分出三个单值解析分支.并求出在点z = 2取负值的那个分支在z = i处的值.【解】根据课本p83的结论,1和0是仅有的支点,∞不是支点.所以,将z平面沿从0到1的直线段I = { z∈ | Im(z) = 0, 0 ≤ Re(z) ≤ 1 }割开后,就能保证变点z不会单绕0或1转一周,因此在G= \I上函数f(z)就能分出三个单值解析分支.设g(z) = ((1 – z ) z2 )1/3是在点z = 2取负值的那个分支.设arg g(2) = π + 2kπ ( k∈ ).又设C是G内一条从2到i的任一曲线,当变点z沿着曲线C从2到i时,z的辐角的连续增量为∆C arg z = π/2 + 2k0π ( k0∈ ),因此∆C arg (z2 )= π + 4k0π,相应地,1 –z的辐角的连续增量为∆C arg (1 –z )= 3π/2 + 2k0π ( m∈ ),所以g(z)的辐角的连续增量为∆C arg g(z) = (π + 3π/4 + 6k0π)/3 = 7π/12 + 2k0π.根据课本p84的结论,g(i) = | g(i) | · exp( i ∆C arg g(z)) · exp( i arg g(2))= | ((1 –i )i2 )1/3 | · exp( i (7π/12 + 2k0π)) · exp( i (π + 2kπ))= - 21/6 · exp( 7πi/12 ).[从上述的做法中可以看出,我们不妨(事实上也常常地)取k, k0 = 0,并不会造成任何影响.这类题目用辐角的连续增量来考虑是方便的,否则就有可能陷入辐角难以选择的困境,因为那时我们已经忘记了要求辐角是随着变点z连续变化的.设z = r1 exp( iθ1),1 –z = r2 exp( iθ2),那么g(z) = (r12 r2 )1/3 exp( i (2θ1 + θ2 + 2kπ)/3) (k是0, 1, 2之一).当z = 2时,r1(2)= 2,r2(2)= 1;θ1(2) = 0,θ2(2)= π.由于g(2) = 21/3 exp( i (π + 2kπ)/3) < 0,故只能k = 1.当z = i时,r1(i)= 1,r2(i)= 21/2;θ1(i) = π/2,θ2(i) = 7π/4.所以g(i) = (21/2)1/3 exp( i (2(π/2) + 7π/4 + 2π)/3) = - 21/6 · exp( 7πi/12 ).但是,为什么θ2(i) = 7π/4而不是θ2(i) = –π/4 ?事实上,当初的θ1(2)和θ2(2)一旦选定,就决定了其这个单值解析分支中其他点的辐角选择,因为我们要求辐角是连续变化的.确定i的辐角θ1(i)时,要保证z从2到i的过程中,θ1(z)是连续变化的.故应该取θ1(i) = π/2.(增加了π/2)但1 –i的辐角θ2(i),则应该是从z = 2时θ2(2)= π开始连续变化到z = i时所得到的辐角θ2(i),也就是说,θ2从π开始增加了3π/4,因此θ2(i) = π + 3π/4 = 7π/4.特别强调的是:这里的θj(z)的连续变化,应该是随着同一个变点z来变化的.比如,如果我们认为z绕割线I反向地从2转到i,那么,θ1(i) = - 3π/2,这时,θ2(i) = π- 5π/4 = -π/4,显然,如此计算g(i)也会得到上述的结果.至此,我们应该可以看出,两种做法的本质是相同的.]∀∃∅-⨯±≠≥·◦≤≡⊕⊗≅αβχδεφγηιϕκλμνοπθρστυϖωξψζ∞∙︒ℵℜ℘∇∏∑⎰ ⊥∠ √§ψ∈∉⊆⊂⊃⊇⊄⊄∠⇒♣♦♥♠§ #↔→←↑↓⌝∨∧⋃⋂⇔⇒⇐∆∑ΓΦΛΩ∂∀m∈ +,∃m∈ +,★〈α1, α2, ..., αn〉lim n→∞,+n→∞∀ε > 0,∑u n,∑n≥ 1u n,m∈ ,∀ε > 0,∃δ> 0,【解】⎰[0, 2π]l 2 dx,f(x) = (-∞, +∞)[-π, π]∑1 ≤k≤n u n,[0, 2π]。
第二章习题详解1. 利用导数定义推出: 1)()1-=n n nzz '(n 为正整数)解: ()()()()()z z z z z n n z nz z z z z z z nn n n n z n n z n∆∆∆∆∆∆∆∆-⎥⎦⎤⎢⎣⎡++-++=-+=--→→ 22100121limlim '()()11210121----→=⎥⎦⎤⎢⎣⎡++-+=n n n n z nz z z z n n nz ∆∆∆ lim 2) 211z z -=⎪⎭⎫⎝⎛'解: ()()2000111111z zz z z z z z z z z z z z z z z -=+-=+-=-+=⎪⎭⎫ ⎝⎛→→→∆∆∆∆∆∆∆∆∆lim lim lim '2. 下列函数何处可导?何处解析? 1)()iy x z f -=2解:设()iv u z f +=,则2x u =,y v -=x x u 2=∂∂,0=∂∂y u ,0=∂∂xv,1-=∂∂y v 都是连续函数。
只有12-=x ,即21-=x 时才满足柯西—黎曼方程。
()iy x z f -=∴2在直线21-=x 上可导,在复平面内处处不解析。
2)()3332y i x z f +=解:设()iv u z f +=,则32x u =,33y v =26x x u =∂∂,0=∂∂y u ,0=∂∂xv ,29y y v =∂∂都是连续函数。
只有2296y x =,即032=±y x 时才满足柯西—黎曼方程。
()3332y i x z f +=∴在直线032=±y x 上可导,在复平面内处处不解析。
3)()y ix xy z f 22+=解:设()iv u z f +=,则2xy u =,y x v 2=2y x u =∂∂,xy y u 2=∂∂,xy xv 2=∂∂,2x y v =∂∂都是连续函数。
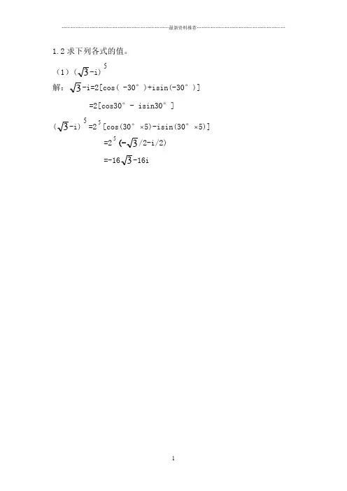
(1)(3-i)5解:3-i=2[cos( -30°)+isin(-30°)] =2[cos30°- isin30°](3-i)5=25[cos(30°⨯5)-isin(30°⨯5)]=25(-3/2-i/2) =-163-16i(2)(1+i )6解:令z=1+i 则x=Re (z )=1,y=Im (z )=1 r=z =22y x +=2tan θ=x y =1x>0,y>0∴θ属于第一象限角∴θ=4π ∴1+i=2(cos4π+isin 4π) ∴(1+i )6=(2)6(cos 46π+isin 46π) =8(0-i )=-8i1.2求下式的值 (3)61-因为-1=(cos π+sin π)所以61-=[cos(ππk 2+/6)+sin(ππk 2+/6)] (k=0,1,2,3,4,5,6).习题一1.2(4)求(1-i)31的值。
解:(1-i)31 =[2(cos-4∏+isin-4∏)]31=62[cos(12)18(-k ∏)+isin(12)18(-k ∏)](k=0,1,2)1.3求方程3z +8=0的所有根。
解:所求方程的根就是w=38-因为-8=8(cos π+isin π) 所以38-= ρ [cos(π+2k π)/3+isin(π+2k π)/3] k=0,1,2其中ρ=3r=38=2即w=2[cosπ/3+isinπ/3]=1—3i1w=2[cos(π+2π)/3+isin(π+2π)/3]=-22w=2[cos(π+4π)/3+isin(π+4π)/3]= 1—3i3习题二1.5 描出下列不等式所确定的区域或者闭区域,并指明它是有界还是无界的,单连通还是多连通的。
(1) Im(z)>0解:设z=x+iy因为Im(z)>0,即,y>0而)x-∞∈,(∞所以,不等式所确定的区域D为:不包括实轴的上半平面。
复变函数第二章习题答案第二章 解析函数1-6题中:(1)只要不满足C-R 条件,肯定不可导、不可微、不解析 (2)可导、可微的证明:求出一阶偏导y x y x v v u u ,,,,只要一阶偏导存在且连续,同时满足C-R 条件。
(3)解析两种情况:第一种函数在区域内解析,只要在区域内处处可导,就处处解析;第二种情况函数在某一点解析,只要函数在该点及其邻域内处处可导则在该点解析,如果只在该点可导,而在其邻域不可导则在该点不解析。
(4)解析函数的虚部和实部是调和函数,而且实部和虚部守C-R 条件的制约,证明函数区域内解析的另一个方法为:其实部和虚部满足调和函数和C-R 条件,反过来,如果函数实部或者虚部不满足调和函数或者C-R 条件则肯定不是解析函数。
解析函数求导:x x iv u z f +=')(4、若函数)(z f 在区域D 上解析,并满足下列的条件,证明)(z f 必为常数。
(1)证明:因为)(z f 在区域上解析,所以。
令),(),()(y x iv y x u z f +=,即x v y u y v x u ∂∂-=∂∂∂∂=∂∂,0=∂∂+∂∂='yvi x u z f )(。
由复数相等的定义得:00=∂∂-=∂∂=∂∂=∂∂xv y u y v x u ,。
所以,1C y x u =),((常数),2C y x v =),((常数),即21iC C z f +=)(为常数。
5、证明函数在平面上解析,并求出其导数。
(1)()()0f z z D '=∈z (cos sin )(cos sin ).x xe x y y y ie y y x y -++证明:设=则,;;满足xvy u y v x u ∂∂-=∂∂∂∂=∂∂,。
即函数在平面上),(y x 可微且满足C-R 条件,故函数在平面上解析。
8、(1)由已知条件求解析函数iv u z f +=)(,xy y x u +-=22,i i f +-=1)(。
第二章 解析函数(一)1.证明:0>∃δ,使{}0001/),(t t t t δδ+-∈∀,有)()(01t z t z ≠,即C 在)(0t z 的对应去心邻域内无重点,即能够联结割线)()(10t z t z ,是否就存在数列{}01t t n →,使)()(01t z t z n =,于是有 0)()(lim)(0101001=--='→t t t z t z t z n n t t n此与假设矛盾. 01001),(t t t t t >⇒+∈δ 因为 [])()(arg )()(arg010101t z t z t t t z t z -=--所以 []])()(lim arg[)()(arglim )()(arg lim 0101010101010101t t t z t z t t t z t z t z t z t t t t t t --=--=-→→→因此,割线确实有其极限位置,即曲线C 在点)(0t z 的切线存在,其倾角为)(arg 0t z '.2.证明:因)(),(z g z f 在0z 点解析,则)(),(00z g z f ''均存在.所以 )()()()()()(lim )()()()(lim )()(lim 00000000000z g z f z z z g z g z z z f z f z g z g z f z f z g z f z z z z z z ''=----=--=→→→ 3.证明:()()()()()3322,0,0,,0,00x y x y u x y x y x y ≠⎧-⎪=+⎨⎪=⎩()()()()()3322,0,0,,0,00x y x y v x y x y x y ≠⎧+⎪=+⎨⎪=⎩于是()()()00,00,00,0limlim 1x x x u x u xu xx →→-===,从而在原点()f z 满足C R -条件,但在原点,()()()()()'0,00,0x x u iv u iv f f z z z +-+-=()()()()()()333311i x y i zx y z ⎡⎤+--+⎣⎦=⎡⎤+⎣⎦当z 沿0y x =→时,有()()()'212f f z i z x --+= 故()f z 在原点不可微.4.证明:(1)当0≠z 时,即y x ,至少有一个不等于0时,或有y x u u ≠,,或有y x u u ≠-,故z 至多在原点可微. (2)在C 上处处不满足C R -条件.(3)在C 上处处不满足C R -条件. (4)221yx yix z z z z ++==,除原点外, 在C 上处处不满足C R -条件. 5.解:(1) y x y x v xy y x u 22),(,),(==,此时仅当0==y x 时有 xy v xy u x v y u x y y x 22,22-=-===== 且这四个偏导数在原点连续,故)(z f 只在原点可微. (2) 22),(,),(y y x v x y x u ==,此时仅当y x =这条直线上时有 00,22=-=====x y y x v u y v x u且在y x =这四个偏导数连续,故)(z f 只在y x =可微但不解析. (3) 333),(,2),(y y x v x y x u ==,且 00,9622=-=====x y y x v u y v x u 故只在曲线0212312=-x y 上可微但不解析.(4) 32233),(,3),(y y x y x v xy x y x u -=-=在全平面上有 xy v xy u y x v y x u x y y x 66,33332222-=-=-=-==-=且在全平面上这四个偏导数连续,故可微且解析. 6.证明:(1)y y x x iu v iv u z f D yi x z -=+='=∈+=∀)(0,(2)设().f z u iv =+则()f z u iv =-,由()f z 与()f z 均在D 内解析知,,x y y x u v u v ==-,,x y y x u v u v =-=结合此两式得0x y x y u u v v ====,故,u v 均为常数,故)(z f 亦为常数. (3)若0)(=≡C z f ,则显然0)(≡z f ,若0)(≠≡C z f ,则此时有0)(≠z f ,且2)()(C z f z f ≡,即)()(2z f C z f ≡也时解析函数,由(2)知)(z f 为常数. (4)设().f z u iv =+,若C y x u ≡),(,则0,0≡≡y x u u ,由C R -条件得 0,0≡=≡-=x y y x u v u v 因此v u ,为常数, 则)(z f 亦为常数.7.证明:设,f u iv g i f p iQ =+==+则,,f u iv g v iu =-=-由 ()f z 在D 内解析知,x y y x u v u v ==-从而 ,x x y v y y x p v u Q p v u Qx ==-====- 因而()g z 亦D 内解析.8.解:(1)由32233),(,3),(y y x y x v xy x y x u -=-=,则有 222233,6,6,33y x v xy v xy u y x u y x y x -==-=-=故y x y x v v u u ,,,为连续的,且满足C R -条件,所以()z f 在z 平面上解析,且 22236)33()(z xyi y x i v u z f x x =+-=+='(2) ()()()(),cos sin ,cos sin x x u x y e x y y y v x y e y y x y =-⋅=- ()cos sin cos x x y u e x y y y y v =-+= ()sin sin cos x y x u e x y y y y v =--+=- 故()f z 在z 平面上解析,且()()()'cos 1sin sin 1cos x xf z e y x y y ie y x y y =⋅+-+⋅+-⎡⎤⎡⎤⎣⎦⎣⎦(3)由xshy y x v xchy y x u cos ),(,sin ),(==,则有xchy v xshy v xshy u xchy u y x y x cos ,sin ,sin ,cos =-===故y x y x v v u u ,,,为连续的,且满足C R -条件,所以()z f 在z 平面上解析,且 z xshyi xchy i v u z f x x cos sin cos )(=-=+=' (4)由xshy y x v xchy y x u sin ),(,cos ),(-==,则有xchy v xshy v xshy u xchy u y x y x sin ,cos ,cos ,sin -=-==-=故y x y x v v u u ,,,为连续的,且满足C R -条件,所以()z f 在z 平面上解析,且 z xshyi xchy i v u z f x x sin cos sin )(-=--=+=' 9.证明:设,i z x yi re θ=+=则cos ,sin ,x r y r θθ== 从而cos sin ,sin cos r x y x y u u u u u r u r θθθθθ=+=-+cos sin ,sin cos ,r x y x y v u v v v r v r θθθθθ=+=-+再由11,r r u v v u r rθθ==-,可得,x y y x u v u v ==-,因此可得()f z 在点z 可微且()()()'11cos sin sin cos x y r r f z u iu r u u i r u u r r θθθθθθ=-=--+()()1cos sin sin cos r i u i u rθθθθθ=--+()()cos sin sin cos r r i u i v θθθθ=-++ ()()cos sin r r i u iv θθ=-+ ()()1cos sin r r r r ru iv u iv i zθθ=+=++10.解:(1)x y i x z i e e e 2)21(22--+--== (2)222222y zxyiy zz e e e -+-==(3) 22222211x yi xy ix iyx yx yx y ze eeee--++++===⋅所以22221Re cos x yx y x y z e e ++⎛⎫= ⎪⎝⎭11.证明:(1)因为)sin (cos y i y e e e e e x yi x yi z z +=⋅==+ 因此 )sin (cos y i y e e x z -=而)sin (cos y i y e e e e e x yi x yi z z -=⋅==--,得证.(2)因为 ie e z iziz 2sin --=所以 z ie e i e e z iziz z i z i sin 22sin =+=-=---(3)因为2cos iziz e e z -+=所以z e e e e z iziz z i z i cos 22cos =+=+=--12.证明:分别就m 为正整数,零,负整数的情形证明,仅以正整数为例当1=m 时,等式自然成立. 假设当1-=k m 时,等式成立.那么当k m =时,kz z k z k z e e e e =⋅=-1)()(,等式任成立. 故结论正确.13.解:(1) )1sin 1(cos 333i e e e e i i +=⋅=+(2) ()()()11cos 12i i i i e e i ---+-=()112i i i e e-+++=cos11sin1122e i e e e ⎛⎫⎛⎫=++- ⎪ ⎪⎝⎭⎝⎭14.证明:(1)由于z z g z z f ==)(,sin )(在点0=z 解析 且01)0(,0)0()0(≠='==g g f 因此 11cos sin lim0===→z z zz z(2)由于0)(,1)(=-=z g e z f z 在点0=z 解析,且01)0(,0)0()0(≠='==g g f因此 11lim0==-=→z z z z e ze(3)由于z z z g z z z z f sin )(,cos )(-=-=在点0=z 解析, 且1)0(,0)0()0(,0)0()0(,0)0()0(='''=''=''='='==g g f g f g f 因此 3cos 1sin cos 1lim sin cos lim00=-+-=--→→zzz z z z z z z z z 15.证明:2cos iziz e e z -+=)cos()cos(cos nb a b a a +++-+=222)()()()(nb a i nb a i b a i b a i ia ia e e e e e e +-++-+-++++++ =⎥⎦⎤⎢⎣⎡--⋅+--⋅+-+ib bn i ia ib b n i ia e e e e e e 111121)1()1(=)2cos(2sin 21sinnb a b bn ++=右边同理证明(2).16.证明:(1) z i e e i i e e i e e iz zz z z iz i iz i sinh 222)sin()()(=-⋅=-=-=--- (2) z e e e e iz z z iz i iz i cosh 22)cos()()(=+=+=-- (3) z i ie e i e e iz iziz iz iz sin 22)sinh(=-⋅=-=-- (4) z z iz i iz cos )cos()cos()cosh(=-=⋅=(5) z i zz i iz iz iz tanh cosh sinh )cos()sin()tan(===(6) z i zzi iz iz iz tan cos sin )cosh()sinh()tanh(===17.证明:(1) 1)(sin )(cos )(222222=+=+=-iz iz ishz z ch z sh z ch(2) 111sec 2222222=+=+=+zch zsh z ch z sh z ch z th z h (3) )sin()sin()cos()cos()cos()(21212121iz iz iz iz iz iz z z ch -=+=+ 2121shz shz chz chz +=18.证明:(1) xshy i xchy iy x yi x yi x z cos sin )sin(cos )cos(sin )sin(sin +=+=+= (2) xshy i xchy iy x yi x yi x z sin cos )sin(sin )cos(cos )cos(cos +=-=+= (3) y x y xsh y xch xshy i xchy z 22222222sinh sin cos sin cos sin sin +=+=+= (4) y x y xsh y xch xshyi xchy z 22222222sinh cos sin cos sin cos cos +=+=-=19.证明: chz e e e e shz zz z z =+='-='--2)2()( shz e e e e chz zz z z =-='+='--2)2()( 20.解:(1) )31arg(31ln )31ln(i i i i z +++=+= )23(2ln ππk i ++= ),1,0( ±=k(2)由于2ln iz π=,则有i i e z i=+==2sin2cos2πππ(3)由于)2(1ππk e e i z +=-=,故)2(ππk i z +=(4)z z sin cos -=,即1tan -=z ,所以ππk i i i z +-=+-=411ln21 (5) 设,z x iy =+由12tgz i =+得()()sin 122cos iz iz iz iz zi e e i e e z--=+→-=-+ 2255iz i e →=-+22cos 25y e x -→=-,1sin 25x =41ln 5,54y e y -→==且1112,222tg x x arctg π⎡⎤⎛⎫=-=-+ ⎪⎢⎥⎝⎭⎣⎦11ln 5224z arctg i π⎡⎤⎛⎫→=-++ ⎪⎢⎥⎝⎭⎣⎦21.证明:因)1arg(1ln )1ln()1ln(-+-=-=-θθθi i i re i re re z ,所以)cos 21ln(21)sin ()1(ln 1ln )]1Re[ln(222θθθθr r r re re z i i -+=+-=-=- 22.解: 32)(3)()(πθk z ik ez r z w +=,)2,1,0;2)(0;(=<<∈k z G z πθ利用i i w -=)(定2,=k k ,再计算)(2i w -23.解: 2,22ππii e i e ==-,由32)2(-=-w 定1,=k k ,再计算i e i w π451)(=24.解: )24(2ln )]2)1(arg(1[ln )1ln()1(πππk i k i i i i i i ieeei +-+++++===+)24(2ln ππk i ee+-⋅= ),2,1,0( ±±=kππk i k i i i i e e e e 23ln )]23(arg 3[ln 3ln 3-++⋅=== ),2,1,0( ±±=k25.解:z 在z 平面上沿0=z 为圆心,1>R 为半径的圆周C 从A 走到B ,经过变换4z w =,其象点w 在w 平面上沿以0=w 为心,14>R 为半径的象圆周从A '走到B ',刚好绕1+=w w 的支点-1转一整周,故它在B '的值为B w '+1.因此 1)()(4+-=-=R z f z f AB.26.证明:()f z = 0,1,∞由于 3|12+,故()f z 的支点为0,1z =,因此在将z 平面沿实轴从0到期割开后,就可保证变点z 不会单绕0或者说转一周,于是在这样割开后的z 平面上()f z 就可以分出三个单值解析分支. 另由已知 ()arg f z π=得()()arg c i f z i f i e π∆=()2arg 1arg 3c c i z z ⎡⎤∆-+∆⎣⎦=32342i ππ⎡⎤+⋅⎢⎥⎣⎦=712i π=.(二)1.证明:由()21z f z z =-得()()2'2211z f z z +=-,从而于是()f z 在D 必常数()()()()()()22'2222111111z z f z z z f z z z z+-+⋅==---()4242121Re mz I z i z z-+=+- 所以 ()()4'421Re 12Re zf z z f z z z ⎛⎫-⋅= ⎪ ⎪+-⎝⎭由于1z <,因此410,z ->且()24422212Re 1210z z z z z+-≥+-=->故()()'Re 0f z z f z ⎛⎫⋅> ⎪ ⎪⎝⎭.2.证明:同第一题221Im 2111)()(1zzi z z z z f z f z -+-=-+='''+. 3.证明:题目等价域以下命题:设1,E E 为关于实轴对称的区域,则函数在E 内解析)(z f ⇒在1E 内解析.设)(z f 在E 内解析,对任意的10E z ∈,当1E z ∈时,有E z E z ∈∈,0,所以 )()()(lim )()(lim0000000z f z z z f z f z z z f z f z z z z '=--=--→→ 这是因为)(z f 在E 内解析,从而有)()()(lim0000z f z z z f z f z z '=--→,由0z 的任意性可知, )(z f 在1E 内解析. 4.证明:(1)由于)(21),(21z z iy z z x -=+=,根据复合函数求偏导数的法则,即可得证. (2))(21)(21x vy u i yv x u z v i z u z f ∂∂+∂∂+∂∂-∂∂=∂∂+∂∂=∂∂所以x vy u y v x u ∂∂-=∂∂∂∂=∂∂,,得0=∂∂zf 5.证明: x y sh y sh x y xch yi x z 222222sin )sin 1(sin )sin(sin +=-+=+= 所以 z x y sh shy sin sin 22=+≤ 而 z y shy Im =≥ ,故左边成立.右边证明可应用z sin 的定义及三角不等式来证明. 6.证明:有 R ch y ch y sh y sh x z 2222221sin sin ≤=+≤+= 即 chR t ≤sin又有 R ch y ch y sh y x z 2222221sinh cos cos ≤=+≤+= 7.证明:据定义,任两相异点21,z z 为单位圆1<z ,有212221212121)32()32()()(z z z z z z z z z f z f -++-++=--0112222121=-->--≥++=z z z z 故函数)(z f 在1<z 内是单叶的.8.证明:因为)(z f 有支点-1,1,取其割线[-1,1],有 (1) 10182)(,8)(arg ie c ei f z f ππ-=-=∆(2) i c c e i f z f i z f 852)(,85)(arg ,811)(arg 32πππ=--=∆-=∆ 9.解: 因为)(z f 有支点∞±,,1i ,此时支割线可取为:沿虚轴割开],[i i -,沿实轴割开],1[+∞,线路未穿过支割线,记线路为C ,)]arg())(arg()1arg([21)(arg i z i z z z f c c c c ⋅∆+--∆+-∆=∆2]0[21ππ-=-=故 i z f 5)(-=.10.证明:因为()f z =0,1,z =∞,由题知()f z 的支点为0,1,z =于是在割去线段0Re 1≤≤的平面上变点就不可能性单绕0或1转一周,故此时可出两二个单值解析分支,由于当z 从支割线上岸一点出发,连续变动到1z =-时,只z 的幅角共增加2π,由已知所取分支在支割线上岸取正值,于是可认为该分支在上岸之幅角为0,因而此分支在1z =-的幅角为2π,故()21i f π-==,i f 162)1(-=-''.。
第二章习题详解1. 利用导数定义推出: 1)()1-=n n nzz '(n 为正整数)解: ()()()()()z z z z z n n z nz z z z z z z nn n n n z n n z n∆∆∆∆∆∆∆∆-⎥⎦⎤⎢⎣⎡++-++=-+=--→→Λ22100121limlim '()()11210121----→=⎥⎦⎤⎢⎣⎡++-+=n n n n z nz z z z n n nz ∆∆∆Λlim 2) 211z z -=⎪⎭⎫⎝⎛'解: ()()2000111111z zz z z z z z z z z z z z z z z -=+-=+-=-+=⎪⎭⎫ ⎝⎛→→→∆∆∆∆∆∆∆∆∆lim lim lim '2. 下列函数何处可导?何处解析? 1)()iy x z f -=2解:设()iv u z f +=,则2x u =,y v -=x x u 2=∂∂,0=∂∂y u ,0=∂∂xv,1-=∂∂y v 都是连续函数。
只有12-=x ,即21-=x 时才满足柯西—黎曼方程。
()iy x z f -=∴2在直线21-=x 上可导,在复平面内处处不解析。
2)()3332y i x z f +=解:设()iv u z f +=,则32x u =,33y v =26x x u =∂∂,0=∂∂y u ,0=∂∂xv ,29y y v =∂∂都是连续函数。
只有2296y x =,即032=±y x 时才满足柯西—黎曼方程。
()3332y i x z f +=∴在直线032=±y x 上可导,在复平面内处处不解析。
3)()y ix xy z f 22+=解:设()iv u z f +=,则2xy u =,y x v 2=2y x u =∂∂,xy y u 2=∂∂,xy xv 2=∂∂,2x y v =∂∂都是连续函数。
11 27、第二章 解析函数习题详解1、(1) f 1(z )= z 4在定义域(-,+) 内连续;2) f 2(z ) =4z +5在定义域(-,+)内连续; 1在定义域-, 3,3, +内连续。
- 4, v = 16u + 64, 为一抛物线。
4、(1)w = z 3,则w = (2i )3= -8i , w =( 2+2i )3=2 2+12i -12 2-8i =-10 2+4i ;5、 f (z )=Re z =x ,当 y →0时, f (z )→1;当x →0时, f (z )→0,因为极限不等, z x + iy 所以当z →0时, f (z )极限不存在。
1在原点处不连续,故 w =i arg z +1 在负实轴上与原点 zz3) f 3 (z )= 22、w = z2u =x 2-y 2v = 2 xy u =x 2 -4,把直线C :y =2映射成:u =x -4v = 4 xvx = ,代入第一个式子,4u =3、1zw = = = z zzx - iy22,x + yv =x 22 x + y-y 22 x + y把直线C :x =1映射成,:vu =v =1 1+y 2-y 1+y 21-u u 2u= (1- u ) u v 2 + u 22)w = z 3,像域为0arg w 26、i arg z 在负实轴上与原点处不连续, 处不连续。
f (z +z )- f (z )z →0z= limz →0(z +z )2zy 2 = 1 -1 = u为一个圆周。
uz 2-(z +z )2z 2(z +z )2z 2 -z 2 -2z z -z 22= lim = lim = - 。
z →0 z z →0z 2(z +z )2zz 38、(1) f (z ) =5-3z +5z 2,在(-,+)内解析,且导数为 f (z ) = -3+10z ;12、(1) z =e 1-2i =ecos -i sin=-ei ;1222) f (z )=1 1 1z 4 -1 (z 2 -1)(z 2 +1) (z -1)(z +1)(z +i )(z -i )在(-,+)内除z =1,5z +431 1 5 3) f (z )= z +4,在(-,+)内除z = - 3外解析, f (z )=1+ 2 =1+ 52z + 32 2 2z +32 2(2z +3)且导数为: f(z )= 1(2z +3)-2(-2)=-5 (2z +3)29、(1) f (z )=Im z = y 在z 平面上的点点不可导,不解析(因柯西-黎曼条件不满足);2) f (z )= z 4 ,在平面上的点解析。
习题二解答1、解:1)连续 令iyx z zy x iv y x u z f +=+=+=,11),(),()(2则由222222222212111111zxy izy x zz z+-++-+=++=+显然,),(),,(y x v y x u 在1<z 内连续2)不一致连续 因为取⎪⎭⎫ ⎝⎛>-=+=>∀=δδεδδ11'',1',0,51n inn z i n n z 取显然,()δδδ<+=--+=-1111'''n n nn n n z z但()()()()222222111111''11'11nn n n z z ---⎪⎪⎭⎫⎝⎛+-=+-+δδ()()ε>=->--=-+-=41421412121212222222nn n n n n n n2、()iyx z y x zz f +=+==,222则,0),(,),(22=+=y x v y x y x u0,2,2====y x y x v v y u x u显然上述四个偏导在整个复平面上连续 由R C-条件⎩⎨⎧==⇒⎩⎨⎧==00202y x y x22222222)2()1(2),(,)2()1(1),(xy y x xyy x v xy y x yx y x u +-+-=+-+-+=∴()2zz f =∴只在0=z 处可导,而处处不解析3、证明:()yy x xziUV R C iV U z f D iy x V--+='=∈+=0,0====∴y x yx V V UU),(),,(y x V y x U 在D 内为常数 故)(z f 在D 内为常数 4、证明(1)令()),(),(y x iv y x u z f +=若),(y x u 在D 内为常数,则在D 内,0==y xu u由C-R 条件知,对),(y x v 有在D 内0==y xv v∴),(),,(y x v y x u 在D 内为常数 )(z f在D 内为常数对),(y x v 于D 内为常数时,同理可证得结论 (2)由()222v u z f +=在D 内为常数设()*22cv u =+若0=c 知()0=z f 于D若0≠c ,此时:对()*求偏微分得22022=+=+y y x x vv uu vv uu再由C-R 条件,并讨论二元一次方程组的解,可解出====y x y x v v u u ,由此可得)(z f 在D 内为常数5、证明:若∈z 上半平面,则∈z 下半平面 设()),(),(y x iv y x u z f +=,则()),(),(),(),(y x i y x y x iv y x u z f ψϕ+∆---=)(z f 在上半平面解析),(),,(y x v y x u ⇔在上半平面解析且满足RC -方程x y y x v u v u -==,又()()),(,),,(,y x v y x y x u y x --=-=ψϕ()()()()yy x v y x y x v x yy x u y x y x u x x ∂-∂=∂∂∂-∂-=∂∂∂-∂-=∂∂∂-∂=∂∂,,,,,,ψψϕϕ∴当)(z f 在半平面解析时,),(,,y x y )(x ψϕ在下半平面可微,且满足R C -方程xyy x2222,2222ψϕψϕ-==)(z f ∴在下半平面解析6、证明:(1)xyi y x iy )(x z 2.2222+-=+=xv y v y uy x ux xy y x v y x y x u y x 2,2,2,22),(,),(22==-===-=显然y x y xv v u u,,,在整个复平面连续,且xy x v uy v u -==,2z ∴在复平面解析 (2)yie y e ee xx iyx zsin cos +==-ye v y e v y e u y e u yie y x v y e y x u xy xx xy xx xxcos ,sin ,sin ,cos sin ),(,cos ),(==-====显然,yx y xv v u u,,,在整个复平面上解析,且x y y xv v v u-==,满足C-R 方程z e ∴在整个复平面上解析()()()()[]()xee y x v x ee y x u xeei x e e xe ei x eeieei z yyyyyyyyy yyyizizcos 2),(,sin 2),(cos 2sin 2sin cos 2121sin3--------=+=--+=++-=-=xee u x ee u yyy yyx sin 2,cos 2---=+=x eev x ee v yyy yyx cos 2,sin 2++=--=--yx y x v v u u ,,,在复平面上连续,且满足x y y xv u v u-==,zsin ∴在整个复平面上解析(4)同理z cos 在整个复平面上解析 (5)()xyi y x iy x z 222--=+=xv y v y u x u xy y x v y x y x u y x y x 2,2,2,22),(,),(22-=-=-==-=-=yx y x v v u u ,,,在复平面上连续由得xy y x v u v u ⎪⎩⎪⎨⎧-==⎩⎨⎧==⇒⎩⎨⎧+=--=02222y x y y x x所以2z 只在0=z 处可导,而在整个复平面上均不解析 同理可证z z e z cos ,sin ,在复平面上不解析、7、证明()θθθθθθθθθθθθ∂∂⋅=∂∂∴⎪⎪⎭⎫⎝⎛∂∂+∂∂-∂∂+⋅-=∂∂⋅∂∂+∂∂⋅∂∂=∂∂∂∂+⋅∂∂=∂∂⋅∂∂+∂∂⋅∂∂=∂∂-===vr ru x uy u r R C r yv r xv y y vxx v v y u x u r yy u r x x u ru r y r x y x iv y x u z f 1cos sin cos sin 22sin cos sin ,cos ),,(),(条件则设()()rv ru y u xu y v x v r yy v r x x v rv x u y u r r yu r xu y yu x x u u ∂∂-=∂∂∴⋅∂∂-⋅∂∂=⋅∂∂+⋅∂∂=∂∂⋅∂∂+∂∂⋅∂∂=∂∂⎥⎦⎤⎢⎣⎡∂∂-∂∂=∂∂+-⋅∂∂=∂∂⋅∂∂+∂∂⋅∂∂=∂∂θθθθθθθθθθθθcos sin sin cos sin cos cos sinrv ru vr ru :∂∂-=∂∂∂∂⋅=∂∂∴θθ,1条件是极坐标下的柯西一黎曼8、证明:(1)如同证明)(z f 存在则),(),,(y x v y x u 的偏导数也存在一样归纳可证明:)(z f 的实部和虚部在D 内也有任意阶导数 而xy y xv u u u-==,xy yy xy xxv u v u -==∴,=+∴yy xxv u,同理0=+yy xxv v(2)设()()),(,y x iv y x u z f +=,则()222vu z f +=()()⎥⎥⎦⎤⎢⎢⎣⎡∂∂+⎪⎪⎭⎫ ⎝⎛∂∂+∂∂⋅+⎪⎪⎭⎫⎝⎛∂∂=∂∂⎥⎥⎦⎤⎢⎢⎣⎡∂∂+⎪⎭⎫ ⎝⎛∂∂+∂∂+⎪⎭⎫ ⎝⎛∂∂=∂∂∴22222222222222222222y v vy v y u u y uyz f x v v x v x u u x u xz f又0,022222222=∂∂+∂∂=∂∂+∂∂yv xv yu xu且,,xv yu yv xu ∂∂-=∂∂∂∂=∂∂代入整理得:()()()22222222244z f x v x u yz f xz f '=⎥⎥⎦⎤⎢⎢⎣⎡⎪⎭⎫ ⎝⎛∂∂+⎪⎭⎫ ⎝⎛∂∂=∂∂+∂∂9、()()()()()[]()[]()()()()()()()()()()()()()()(),1,0,122sin122cos 2122sin 122cos2,1,022ln 22cos 1,1,0,,2,1,0,242ln 2121arg 1ln 11sin 1cos 2122ln 222arg 2ln 2222222221arg 1ln 2122222202arg ln 222ln 2±=+++=+++====-±=+=====±=====+±+⎪⎭⎫⎝⎛++=++++=++==+++-+--++⎪⎭⎫⎝⎛+-⎥⎦⎤⎢⎣⎡++++k k i k k i k e e e e k k is k e eeek e eee i k k i k i i i i Ln i ee e ek i k i Ln k i k i k i i Ln k k i i k i i i i iLnii i ziπππππππππππππππππππ10、()()()()()1111221cos 22222-+-=-+=∴-+==+-+==-z z iLn w z z Ln iw z z ezee eez w ziwiwiwiwiw即故11、证明:()()()()()zz eeiz ee z iz i z e e ieeiee i iz ee z zzzzzzzziz i izi zzcosh cosh 21cos 2cosh sin sinh 212121sin 2sinh =∴+=+=-=∴-⋅-=-=-=-=---+---()()()()()()()222221ln 1ln 11ln 101221sin 1z iz i iiz i w iiz iw iiz eizee eeiz w ziwiwiwiwiw-+-=-+=-+=∴-+==---==-即故()()()()212112212121222222sinh cosh cosh sinh cos sin cos sin )sin()(1sin cos sin cos sinhcoshz z z z iz iz i iz iz i iz iz i z z son iz iz z i iz z z +=--=+-=+=+=--=-212121212121212121sinh sinh coshcosh )sin )(sin (cos cos sin sin cos cos )cos()(cos )cosh(z z z z iz i iz i z iz z iz iz iz iz iz z z i z z +=--+=-=+=+=+yz i y z z siyiy i i iy z ziy iy z iy x sinh cos cosh cos cos )(cos sin cos sin cos sin )sin(+=-+=+=+yx i y x iy i x i iy z iyx iy z iy x sinh sin cosh cos sin )(sin cos cos sin sin cos cos )cos(-=--=-=+ziz i iz dzd z dzd z iz iz i i iz i dz d z dz d sinh sin )(cos cosh cosh cos cos )sin (sinh =-====⋅-=-=12、证明()()⎪⎪⎭⎫⎝⎛∂∂+∂∂=∂∂⎪⎪⎭⎫ ⎝⎛∂∂+∂∂=⎪⎭⎫ ⎝⎛-⋅∂∂+⋅∂∂=∂∂⋅∂∂+∂∂⋅∂∂=∂∂⎪⎪⎭⎫⎝⎛∂∂-∂∂=⋅∂∂+⋅∂∂=∂∂⋅∂∂+∂∂⋅∂∂=∂∂-+=-=∂∂=∂∂=∂∂=∂∂-=+=-=+=y u i x u zv y u i xui zux u zy y u zx xu z u y u i x u i y u x u z y y u y x x u z u i zz z z u y x u izy zx izy zx z z iy ,z z x iy x z iy x z 21212121212121)2,2(),(21,21,21,21,2121,同理于是得由),(0,2121212121=∂∂+∂∂=∂∂∴=∂∂+∂∂=∂∂∂∂-=∂∂∂∂=∂∂⎪⎪⎭⎫⎝⎛∂∂+∂∂⋅+∂∂⋅-∂∂⋅=⎪⎪⎭⎫ ⎝⎛∂∂+∂∂+⎪⎪⎭⎫ ⎝⎛∂∂+∂∂=∂∂+∂∂=∂∂+=zv iz u zf z f zv izu zf y ux v y v x u:x v y u i y v x u y v i x v i y u i x u zv i z u zf ivu f 成柯西一黎曼条件可以写对于得由柯西一黎曼条件13、解:()()()⎪⎭⎫ ⎝⎛-+=⎪⎪⎪⎪⎭⎫ ⎝⎛-+=⎪⎭⎫ ⎝⎛-+====z z Ln z z Ln z f z z Ln z f ,z e zf e z f z z111111)11(20)1(,)(11从而不解析点无定义在。
第二章 解析函数一、选择题:1.函数在点处是( )23)(z z f =0=z (A )解析的 (B )可导的(C )不可导的 (D )既不解析也不可导2.函数在点可导是在点解析的( ))(z f z )(z f z (A )充分不必要条件 (B )必要不充分条件(C )充分必要条件 (D )既非充分条件也非必要条件3.下列命题中,正确的是( )(A )设为实数,则y x ,1)cos(≤+iy x (B )若是函数的奇点,则在点不可导0z )(z f )(z f 0z (C )若在区域内满足柯西-黎曼方程,则在内解析v u ,D iv u z f +=)(D (D )若在区域内也解析)(z f D )(z if D 4.下列函数中,为解析函数的是( )(A ) (B )xyi y x 222--xyi x +2(C ) (D ))2()1(222x x y i y x +-+-33iy x +5.函数在处的导数( ))Im()(2z z z f =0=z (A )等于0 (B )等于1 (C )等于 (D )不存在1-6.若函数在复平面内处处解析,那么实常)(2)(2222x axy y i y xy x z f -++-+=数( )=a (A ) (B ) (C ) (D )0122-7.如果在单位圆内处处为零,且,那么在内( ))(z f '1<z 1)0(-=f 1<z ≡)(z f (A ) (B ) (C ) (D )任意常数011-8.设函数在区域内有定义,则下列命题中,正确的是)(z f D(A )若在内是一常数,则在内是一常数)(z f D )(z f D (B )若在内是一常数,则在内是一常数))(Re(z f D )(z f D (C )若与在内解析,则在内是一常数)(z f )(z f D )(z f D (D )若在内是一常数,则在内是一常数)(arg z f D )(z f D 9.设,则( )22)(iy x z f +==+')1(i f (A ) (B ) (C ) (D )2i 2i +1i 22+10.的主值为( )i i (A ) (B ) (C ) (D )012πe 2π-e 11.在复平面上( )z e (A )无可导点 (B )有可导点,但不解析(C )有可导点,且在可导点集上解析 (D )处处解析12.设,则下列命题中,不正确的是( )z z f sin )(=(A )在复平面上处处解析 (B )以为周期)(z f )(z f π2(C ) (D )是无界的2)(iziz e e z f --=)(z f 13.设为任意实数,则( )αα1(A )无定义 (B )等于1(C )是复数,其实部等于1 (D )是复数,其模等于114.下列数中,为实数的是( )(A ) (B ) (C ) (D )3)1(i -i cos i ln e23π-15.设是复数,则( )α(A )在复平面上处处解析 (B )的模为αz αz αz(C )一般是多值函数 (D )的辐角为的辐角的倍αz αz z α二、填空题1.设,则 i f f +='=1)0(,1)0(=-→zz f z 1)(lim2.设在区域内是解析的,如果是实常数,那么在内是 iv u z f +=)(D v u +)(z f D 3.导函数在区域内解析的充要条件为 xv i x u z f ∂∂+∂∂=')(D 4.设,则 2233)(y ix y x z f ++==+-')2323(i f 5.若解析函数的实部,那么 iv u z f +=)(22y x u -==)(z f 6.函数仅在点 处可导)Re()Im()(z z z z f -==z 7.设,则方程的所有根为 z i z z f )1(51)(5+-=0)(='z f 8.复数的模为 i i 9.=-)}43Im{ln(i 10.方程的全部解为01=--z e 三、设为的解析函数,若记),(),()(y x iv y x u z f +=iy x z +=,则.)2,2(2,2(,(i z z z z iv i z z z z u z z w -++-+=0=∂∂zw四、试证下列函数在平面上解析,并分别求出其导数z 1.;sinh sin cosh cos )(y x i y x z f -=2.);sin cos ()sin cos ()(y ix y y ie y y y x e z f xx++-=五、设,求.023=+-ze zw w 22,dz wd dz dw六、设试证在原点满足柯西-黎曼方程,但却不可导.⎪⎩⎪⎨⎧=≠++=0,00,)()(422z z y x iy x xy z f )(z f 七、已知,试确定解析函数.22y x v u -=-iv u z f +=)(八、设和为平面向量,将按逆时针方向旋转即得.如果为解析函数,s n s2πniv u z f +=)(则有(与分别表示沿,的方向导数).s v n u n v s u ∂∂-=∂∂∂∂=∂∂,s ∂∂n∂∂s n 九、若函数在上半平面内解析,试证函数在下半平面内解析.)(z f )(z f 十、解方程.i z i z 4cos sin =+答案第二章 解析函数一、1.(B ) 2.(B ) 3.(D ) 4.(C ) 5.(A ) 6.(C ) 7.(C ) 8.(C ) 9.(A ) 10.(D ) 11.(A ) 12.(C ) 13.(D ) 14.(B ) 15.(C )二、填空题1.2.常数3.可微且满足i +1x vx u ∂∂∂∂,222222,xv y x u y x v x u ∂∂-=∂∂∂∂∂∂=∂∂4.5.或,为实常数6.i 827427-ic xyi y x ++-222ic z +2c i7.8.3,2,1,0),424sin 424(cos 28=π+π+π+πk k i k ),2,1,0(2 ±±=π-k ek 9. 10.34arctan-),2,1,0(2 ±±=πk ik 四、1.2.;sin )(z z f -='.)1()(ze z zf +='五、,zw e w dz dw z2322--=.22222222)23(2431268234)(6z w z e e w e w w e w z w e dzdw dz dw w dzwd z z z z z-+---+=--+-=七、.为任意实常数.c i z i z f )1(21)(2++-=c 十、.),2,1,0(4ln 2 ±±=+π-=k i k z。
第二章部分习题解答1 •试证下列函数在7平面上任何点都不解析。
(2) /(z ) = Rez o色=1色=0空=o 勿’金 >,知1爪)在刁平面上任何点都不解析。
2.下列函数何处可导?何处解析?(1)旳“+的解 (1)由于OXf(z) = xy 2+ix 2y 仅在点“0处可导,在?平面处处不解析。
3•证明:如果函数/(z )=w + /v在区域D 内解析,并满足下列条件之一,那么/⑴ 是常数。
仃)在。
内广^ =°; ⑵雨在D 内解析。
⑶"(z)l 在D 内是一个常数。
解(1)的证明由于/⑵P+必丸,故由引理得纵"=°,根据C.R 条件 即有亏9 = 于是讥乙刃、风兀丿)恒为常数,即/⑵在D 内恒为常数。
(2)若7U) = ^ = u-iv 在区域D 内解析,贝I 」du _ d(- v) _ dv _ d(— v) _ Sudx dy dy ? dy dx dx又f(z) = u^iv 在区域D 内解析,贝IJdu du __dx , 5y dx dy知/(z)在z 平面上任何点都不解析。
du dx(1)在Z 平面上处处连续,且当且仅当 沪0时,6 才满足C~R 条件,故du dv du dv—=— —— --------- dx dy, dy dx结合(1)、(2)两式,有du _ du _dv _dv dx dy dx vy故以在〃内均为常数,分別记之为均=C 19u 2=C 2(C l9C 2为实常数), 则 /(Z ) = M+ ,V =C] +iC 2 =C 为一复常数。
(3)若1%)1在D 内为一常数,记为G,则两边分别对于x 和y 求 偏导,得由于/C)在〃内解析,满足C-R 条件du dv dudv II■I■,dx dy ?dx代入上式又可写得duu---- dx du v ——+ dxSv dv c——=——=U同理,可解得% 巧 故均为常数,分别记为U = C^V = C 29 则 /(z) = u + iv=C {+iC 2=C 为一复常数。
第二章解析函数
1-6 题中:
(1)只要不满足 C-R 条件,肯定不可导、不可微、不解析
(2)可导、可微的证明:求出一阶偏导u x, u y, v x, v y,只要一阶偏导存在且连续,同时满足C-R 条件。
(3)解析两种情况:第一种函数在区域内解析,只要在区域内处处可导,就处处解析;第二种情况函数在某一点解析,只要函数在该点及其邻域内处处可导则在该点解析,如果只在该点可导,而在其邻域不可导则在该点不解析。
(4)解析函数的虚部和实部是调和函数,而且实部和虚部守C-R 条件的制约,证明函数区域内解析的另一个方法为:其实部和虚部满足调和函数和C-R 条件,反过来,如果函数实部或者虚部不满足调和函数或者C-R 条件则肯定不是解析函数。
解析函数求导: f ( z) u x iv x
4、若函数f ( z)在区域 D上解析,并满足下列的条件,证明 f ( z) 必为常数。
(1)f z 0
z D 证明:因为 f ( z) 在区域上解析,所以。
令 f (z) u( x, y) iv ( x, y) ,即
u
v , u
v
f (z) u i
v
0 。
x y y x x y
由复数相等的定义得:u v u v
x y
0, 0 。
y x
所以, u( x, y) C1(常数),v( x, y) C2(常数),即 f (z) C1 iC2为
常数。
5、证明函数在z
平面上解析,并求出其导数。
(1) e x ( xcos y y sin y) ie x ( y cos y x sin y).
证明:设 f z u x, y
iv x, y
=
e x ( x cos y y sin y) ie x ( y cos y xsin y).
则 u ,
y
x
( x cos y y sin y ) , v
x, y x
x e
e ( y cos y x sin y)
u e x ( x cos y ysin y) e x
cos y
v e x cos y y sin ye
x
x cos ye x x
;
y
u
e x ( x sin y sin y y cos y)
;
v e x ( y cos y x sin y sin y)
y
x
满足
u
v , u
v 。
x
y y
x
即函数在 z
平面上 ( x, y) 可微且满足 C-R 条件,故函数在 z
平面上
解析。
f (z)
u i
v
e x (x cos y y sin y cos y) ie x ( y cos y x sin y sin y)
x
x
8、(1)由已知条件求解析函数 f ( z)
u iv u x 2 y 2
xy f (i )
1 i。
,
,
解: u
x 2x y, u y 2 y x
由于函数解析,根据 C-R 条件得
u x v y 2x y
于是
y 2 v
2xy
(x)
2
其中 ( x) 是 x 的待定函数,再由 C —R 条件的另一个方程得
v x
2y
( x)
u y 2y
x ,
x 2
所以
(x)
x ,即
(x)
c 。
2
于是
v
y 2 x 2 c
2xy
2
2
又因为 f (i )
1 i ,所以当 x
0, y 1 ,时 u
1 1 1 , v
c 1得 c
2
2
所以
2
2 1
f (z) x
2 y 2
y
x
)
xy i(2xy
2 2 。
2
9、提示:解析函数的实部和虚部为调和函数,只要该函数不是调和
函数则它就不能做为解析函数的实部或虚部。
10、提示:求出实部和虚部对 x ,y 的一阶偏导,若不满足
C-R 条件
则肯定不是解析函数, 若满足 C-R 条件,同时满足一阶偏导存在且连
续则为解析函数。
14. 若 z x iy ,试证:(1) sin z sin xchy i cosxshy 。
证: sin z
sin( x iy ) sin xcosiy cos x sin iy
sin x e iiy e i (iy ) cos x e iiy e iiy
= 2
2i
sin x e y e y
e i (iy )
e y
2
i cos x
2
=
sin xchy i cos xshy
18、解方程
(1) e z 1 i 3
解: e z 1 i 3
i ( 2 k
)
其中 k 0, 1, 2,......
2e 3
则
z i ( 2 k )
ln 2 i(
2k ) Ln[2e
3
]
3
(2) ln z i。
2
解:
ln z ln z
i arg z 0
i
2
即
z 1,arg z
2
设
z x iy
x 2
y
2
1
arg x iy
, 2
得x 0, y 1
,即 z i 。
20、
(2)3i e iLn 3 e i ln 3 cos(ln 3) i sin(ln 3) 试求 (1 i) i ,3i ,i i , e2 i及 Ln (1 i) 。
解:(1)(1 i )i e Ln[( 1 i )i ] e iLn (1 i)
因为
i (
4 2 k )
Ln (1 i ) Ln [ 2e ] ln 2 i ( 4 2k ) 所以
(1 i ) i e iLn ( 1 i )
i ln 2 ( 2k ) ( 2k ) e 4 e2 ln 2 e 4
k 0, 1, 2,...... (3)i i e iLni
Lni Lne i ( 2k )
i ( 2k )
2
2
i i e iLni
(
2
2 k ) e
k 0, 1, 2,...... (4)e2 i e2 e i e2 (cos 1 i sin 1)
(5)Ln (1 i ) i ( 2k ) i ( 2k )
Ln[ 2e 4 ] ln 2
4
22,求证lim sin z
1
z 0 z
证: z x iy
(x,y,
lim sin z lim sin( x iy )
均为实数 ) ,所以z z
x, y x iy
当x
lim sin iy e iy e iy 1 0
则极限趋近于 z 轴,有y iy iyz i
当y 0
时,则极限趋于 z 轴,有lim
sin x
1 ,
x 0 x
故 lim sin z
1 。
z 0 z。