2014年吉林省政法干警考试录用公告
- 格式:doc
- 大小:36.00 KB
- 文档页数:8
根据《中华⼈民共和国公务员法》和《吉林省公务员录⽤实施办法》的有关规定,省委组织部、省公务员局决定,2014年全省各级机关⾯向社会考试录⽤担任主任科员以下⾮领导职务公务员。
现将有关事项公告如下: ⼀、录⽤计划 2014年全省各级机关考试录⽤公务员计划3748名,具体招考职位及职位资格条件等以吉林省公务员考试/公布信息为准。
⼆、报考条件 (⼀)具有下列资格条件的⼈员可以报考: 1.具有中华⼈民共和国国籍。
2.拥护中华⼈民共和国宪法。
3.具有良好的品⾏。
4.具有正常履⾏职责的⾝体条件。
5.获得⾼中⾄硕⼠研究⽣(含在职)学历⼈员年龄在18周岁以上、35周岁以下(1978年3⽉5⽇⾄1996年3⽉5⽇期间出⽣),获得博⼠研究⽣(含在职)学历⼈员年龄可放宽到40周岁以下(1973年3⽉5⽇以后出⽣)。
其中,报考乡镇录⽤优秀村⼲部和街道办事处录⽤优秀居委会⼲部职位的考⽣年龄在25周岁以上、40周岁以下(1973年3⽉5⽇⾄1989年3⽉5⽇期间出⽣);报考乡镇机关选调⽣(⼤学⽣村官)的考⽣年龄在18周岁以上、30周岁以下(1983年3⽉5⽇⾄1996年3⽉5⽇期间出⽣)。
报考⼈民警察职位的考⽣年龄按照《关于调整公安机关和监狱及劳动教养管理机关录⽤⼈民警察招考年龄的通知》(⼈社部发〔2011〕115号)规定执⾏。
对年龄有特殊要求的职位,须符合该职位设置的年龄条件。
6. 乡镇机关⾯向优秀村⼲部和街道办事处⾯向优秀社区居委会⼲部招录的职位,报名考⽣应为本县(市、区)现任的村(社区居委会)党组织书记、副书记,村委会(社区居委会)主任、副主任,且截⽌2014年3⽉5⽇正职任职满两年、副职任职满三年的优秀村(居委会)⼲部,经乡镇(街道)党委推荐,县(市、区)党委组织部、政府⼈⼒资源和社会保障局资格审查合格;任满1个聘期、当选村“两委”副职及以上职务、考核称职以上的⼤学⽣村官可以报考⾯向优秀村⼲部招录的职位。
7.报考乡镇机关选调⽣(⼤学⽣村官)的还应同时具备下列条件:2014年毕业的吉林省省内⾼校全⽇制⼤学本科及以上学历毕业⽣或省外⾼校吉林省籍⼤学本科及以上学历毕业⽣,且按时取得相应的毕业证书和学位证书;中共党员或预备党员;在校期间担任校、院、系或班级⼲部。
2014年各省政法干警考试资格复审通知及审查时间汇总河南省招警交流群号:107557133【导读】2014年政法干警笔试成绩已经陆续公布,面试工作前的资格复审以及体能测试工作也被提上日程,为帮助考生第一时间了解各省份的面试资讯信息,华图教育网汇总了2014年政法干警各省份资格复审以及体能测试工作通知及时间安排,供考生参考。
更多政法干警面试招考备考资讯信息2014年政法干警笔试成绩已经陆续公布,面试工作前的资格复审以及体能测试工作也被提上日程,为帮助考生第一时间了解各省份的面试资讯信息,华图教育网汇总了2014年政法干警各省份资格复审以及体能测试工作通知及时间安排,供考生参考。
更多政法干警面试招考备考资讯信息,请关注华图教育政法干警考试网。
报考2014年吉林省公安干警招录培养体制改革被确定为面试人选的考生:一、面试前资格复审定于2014年11月8日9时至15时在西点宾馆一楼进行(长春市净月区博硕路1399号,吉林警察学院西行300米)。
二、考生参加资格复审需提供能够证明符合招考职位资格条件的以下材料原件,并将其复印件按顺序装订成册:1.笔试准考证;2.本人有效身份证;3.毕业证(本科及以上学历考生同时提供相应学位证);4.由中国高等教育学生信息网(学信网,网址)查询打印的《教育部学历证书电子注册备案表》(带二维验证码);5.“四项目”人员还须提供本人服务合同、服务单位出具的证明和服务期满的考核材料;6.大学生退役士兵还须提供参军入伍证明、大学生退役士兵证等证明材料。
三、考生本人必须到现场参加资格复审,资格复审合格后方可参加面试。
非因不可抗力原因而未按时参加复审的,视为自动放弃面试资格。
安徽政法干警考试网消息:2014安徽政法干警资格复审、体能测评名单已相继发布,复审及测评时间为11月上旬,望考生多加关注!2014安徽政法干警交流群:144574798。
特此通知。
据了解,体能测评或面试前,各市公务员主管部门会招录机关对体能测评或面试人选进行资格复审。
吉林省人事考试中心网站:2014年吉林省直事业单位招聘272人事业单位面试真题及解析| 事业单位考试内容一、招聘计划纳入本次公开招聘的省直26个主管部门(单位)所属98家事业单位共招聘工作人员272名,其中职员岗位34名、专业技术岗位238名。
二、报名资格条件(一)基本条件年龄一般在18周岁以上、35周岁以下(1978年4月4日—1996年4月4日期间出生),获得博士研究生学历人员年龄可放宽至40周岁以下,招聘岗位对年龄有特殊要求的按招聘岗位要求确定。
年龄计算时间点均以2014年4月4日为准(以本人身份证出生日期为准)。
(二)岗位条件符合岗位所需要的学历、学位、专业、工作经历、实践能力等其它条件,具体要求详见附件1。
三、报名办法本次公开招聘报名、资格审查、缴费确认和下载打印《准考证》等工作均通过网络方式进行。
(一)网上报名时间:2014年4月14日8:30—4月18日11:30。
考生登陆吉林省人事考试中心网站,在“便捷通道”区域点击“网上报名”→“事业单位招聘及其他考试报名”,选择相应报考单位、报考岗位进行报名。
考生网上填写信息后,上传近期6个月内的正面免冠证件数码彩色照片(上传照片前,请使用网上报名流程中提供的“照片处理工具”将照片处理成宽120×高160像素,以保证格式的正确)。
每名考生只允许报考一个岗位,资格审查通过后不能再改报其它岗位。
考生因错报姓名、身份证号、报考单位、岗位等信息而影响资格审查的,责任自负。
其中,报考吉林省公安厅直属事业单位的考生,请持《附件2:2014年吉林省公安厅直属事业单位公开招聘工作人员预报名信息表》(可从网上下载打印填写)、身份证、毕业证(2014年毕业生尚未取得毕业证的需提供毕业生就业推荐表)原件进行现场预报名。
报名时间:2014年4月15日8:30—12:00;报名地点:吉林警察学院体育场西侧入口(长春市净月开发区博硕路1399号)。
预报名审核合格的考生,按照指定的时间和地点参加体能测试,体能测试要求详见《附件3:关于报考吉林省公安厅直属事业单位考生预报名和参加体能测试有关事宜的通知》。
2014年吉林省事业单位考试简章一、报名及资格审查本次招聘报名采取网上报名、现场目测和资格确认、网上缴费、网上打印《报名表》和准考证的方式进行。
(一)报名报名时间:2014年9月23日8:30-9月25日17:00查询时间:2014年9月23日14:30-9月26日17:00报名网址:(中国事业单位考试网)1、个人报名。
应聘人员登陆中国事业单位考试网,如实填写、提交相关个人报考信息资料。
应聘人员必须使用二代身份证进行报名,报名与考试时使用的身份证必须一致。
上传电子照片(照片要求:近期免冠证件照、JPG格式、大小20KB以下,宽约150像素、高约210像素,必须能清晰反映本人面部五官特征,否则将无法通过审查)。
报名申请被接受后,将向报考者反馈一个报名序号。
报名序号是报考者查询报考资格初审结果、下载《报名登记表》、网上缴费、下载打印准考证等事项的重要依据,须妥善保管。
2、资格初审。
根据应聘人员提交的个人信息资料,对应聘人员进行资格初审,并在网上公布初审结果。
对符合应聘资格条件的,准予报名;对不符合应聘条件而未通过初审的人员,说明理由;对报名信息不全的,注明缺失内容,并退回应聘者补充。
审核通过后,考生需立即下载打印《定陶县2014年事业单位公开招聘报名登记表》(必须立即打印,以备目测和现场资格确认时使用,报名结束后将无法打印)。
对应聘人员资格审查工作由县招聘工作领导小组办公室组织实施,并贯穿整个招聘工作的全过程。
(二)现场目测及资格确认应聘人员网上报名通过资格初审后,需携带中国事业单位考试网下载的《定陶县2014年事业单位公开招聘报名登记表》及相关证明材料,证明材料包括学历证书、学位证书、就业报到证、学信网下载的带有二维码的《教育部学历证书电子注册备案表》、二代身份证、户口本等材料的原件和复印件,以及近期同版一寸正面免冠照片6张(与网上报名上传电子照片同底版),进行现场目测及资格确认。
已就业的应聘人员需提交现工作单位出具的同意应聘证明信;服务基层项目人员除提供以上材料外,还需提交本人服务基层项目类别的相关证件和考核材料。
2014年吉林政法干警考试参考资料2014年吉林政法干警考试公告、报名注意事项、职位表考等最新资讯行测、申论在线做题、搜题“神器”---砖题库2014年的公告暂时还未发布,以下2013年公告仅供参考:据悉,本次招聘采取网上报名的方式。
8月22日8时30分-8月27日14时30分,考生可登录吉林省公务员考试网进入报名系统,提交报考申请。
考试时间:9月21日-22日,为考试时间,笔试成绩由公务员公共科目成绩和教育入学考试成绩两部分组成,各占50%。
9月21日9:00--11:00 《行政职业能力测验》14:00--16:30 《申论》9月22日9:00--11:30 《民法学》(本科层次)9:00--12:00 《专业综合Ⅰ》(研究生层次)14:00--17:00 《专业综合Ⅱ》(研究生层次)真题测试:1、从3月下旬到10月上旬,太阳在地球上直射位置的移动规律是()A. 赤道→南回归线→赤道B. 赤道→北回归线→赤道C. 南回归线→赤道→北回归线D. 北回归线→赤道→南回归线解析太阳直射点是地球表面太阳光入射角度(即太阳高度角)为90度的地点。
它是地心与日心连线和地球球面的交点。
太阳直射点所在的经线的地方时为正午12时。
活动规律为:春分(3月21日前后),太阳直射点在赤道(0°),此后北移。
夏至(6月22日前后),太阳直射点在北回归线(23°26′N)上,此后南移。
秋分(9月23日前后),太阳直射点在赤道(0°),此后继续南移。
冬至(12月22日前后),太阳直射点在南回归线(23°26′S)上,在此之后向北移动。
因此,本题选择B项2、环境污染已成为人类社会面临的重大威胁,各种污染数不胜数。
下列名词与环境污染无关的是()。
①温室效应②赤潮③酸雨④光化学污染⑤臭氧空洞⑥潮汐⑦大脖子病⑧富营养化A. ②⑥B. ⑥⑦C. ①③⑤D. ④⑤⑧解析潮汐现象是指海水在天体(主要是月球和太阳)引潮力作用下所产生的周期性运动。
吉林省高级人民法院关于2014年吉林省法院系统选调生报考
资格复审及现场报名的通知
【法规类别】机关工作综合规定
【发布部门】吉林省高级人民法院
【发布日期】2014.05.13
【实施日期】2014.05.13
【时效性】现行有效
【效力级别】地方司法文件
吉林省高级人民法院关于2014年吉林省法院系统选调生报考资格复审及现场报名的通知
根据《2014年全省各级机关考试录用公务员公告》相关规定,现将2014年吉林省法院系统选调生进行资格复审及现场报名的有关事项通知如下:
一、资格复审及现场报名的人员范围
进行资格复审及现场报名的人员为公务员笔试总成绩在120分以上(含120分)且按成绩排名进入所报考职位1:3比例面试范围的考生。
二、资格复审及现场报名的时间
2014年5月24日至25日上午8:30至11:30或下午13:00至16:00。
1 / 1。
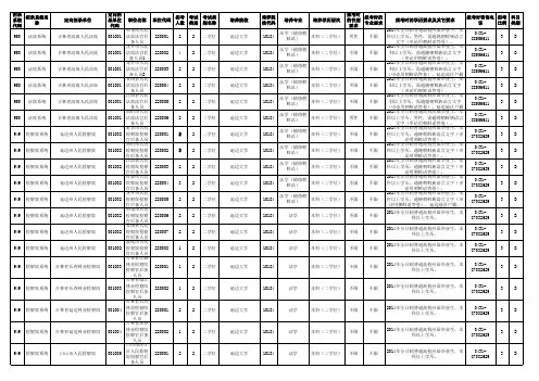
2014年吉林省政法干警考试招考职位表招录系统代码招录系统名称定向招录单位定向招录单位代码职位名称职位代码招考人数考试类别考试类别名称培养院校培养院校代码培养专业培养学历层次报考时的性别要求报考时的专业要求报考时的学历要求及其它要求950法院系统吉林省高级人民法院001001和龙市人民法院法官后备人员220001 2 2二学位延边大学10184法学(辅修朝鲜语)本科(二学位)男性不限2014年全日制普通高校应届毕业生,本科以上学历,男性,需通晓朝鲜族语言文字(申论用朝鲜语答卷)。
950法院系统吉林省高级人民法院001001龙井市人民法院法官后备人员1220002 4 2二学位延边大学10184法学(辅修朝鲜语)本科(二学位)不限不限2014年全日制普通高校应届毕业生,本科以上学历,需通晓朝鲜族语言文字(申论用朝鲜语答卷)。
950法院系统吉林省高级人民法院001001龙井市人民法院法官后备人员2220003 2 2二学位延边大学10184法学(辅修朝鲜语)本科(二学位)不限不限2014年全日制普通高校应届毕业生,本科以上学历,需通晓朝鲜族语言文字(申论用朝鲜语答卷),延边地区户籍。
950法院系统吉林省高级人民法院001001安图县人民法院法官后备人员220004 2 2二学位延边大学10184法学(辅修朝鲜语)本科(二学位)不限不限2014年全日制普通高校应届毕业生,本科以上学历,需通晓朝鲜族语言文字(申论用朝鲜语答卷)。
950法院系统吉林省高级人民法院001001汪清县人民法院法官后备人员220005 2 2二学位延边大学10184法学(辅修朝鲜语)本科(二学位)不限不限2014年全日制普通高校应届毕业生,本科以上学历,需通晓朝鲜族语言文字(申论用朝鲜语答卷),延边地区户籍。
950法院系统吉林省高级人民法院001001图们市人民法院法官后备人员220006 2 2二学位延边大学10184法学(辅修朝鲜语)本科(二学位)男性不限2014年全日制普通高校应届毕业生,本科以上学历,男性,需通晓朝鲜族语言文字(申论用朝鲜语答卷)。
2014年全国政法干警招录人数及公告2014年政法干警考试各省公告已经相继公布,为了方便考生进行查阅和报考,湖北人事考试网将各省的公告汇总如下,更多政法干警考试信息,敬请关注湖北人事考试网政法干警考试频道。
2014年全国政法干警招录人数及公告
安徽191人兵团107人重庆125人
甘肃89人贵州 451人广西193 人
海南55人河北466 人河南1200 人黑龙江535人湖南149 人湖北
吉林341 人江苏66人内蒙古 218人
江西99 人辽宁325人宁夏117人
青海129 人山东563人山西150人
陕西354人四川684人天津
西藏384人新疆174人云南
浙江261人总计7439人。
2014年吉林省政法干警考试录用公告为培养政治业务素质高、实战能力强的应用性、复合型政法人才,充实我省基层政法队伍,根据《中华人民共和国公务员法》、《公务员录用规定(试行)》及《2014年政法干警招录培养体制改革试点工作实施方案》的有关规定,中共吉林省委政法委员会、中共吉林省委组织部、吉林省教育厅、吉林省公务员局决定,采取公务员录用考试与教育招生入学考试一并统考的方式,面向社会定向招录培养一批基层政法机关工作人员。
一、定向单位、招录计划及培养模式本次共计划面向社会定向招录基层政法机关工作人员344名,其中:基层检察机关25名,基层法院机关14名,基层公安机关255名,基层司法行政机关50名。
定向单位具体职位详见《2014年吉林省政法干警招录培养体制改革面向社会定向招录职位及其条件一览表》。
采取专科及以上学历起点的本科和第二学士学位教育模式,学制2年,其中到基层政法机关实习不少于半年。
完成规定学业的学生,按照国家有关规定颁发本科毕业证书和授予学士学位。
二、招录范围和对象2014年全日制普通高等院校应届毕业生。
单列的面向“四项目”人员招录职位,只允许截止2014年8月31 日服务期已满并考核合格经国家和我省选派的高校毕业生“三支一扶”计划、选聘高校毕业生到村〈社区〉任职工作、农村义务教育阶段学校教师特设岗位计划、大学生志愿服务西部计划人员报考;单列的面向大学生退役士兵招录职位,只允许截止2014年8月31日已经退出现役的大学生士兵报考。
“四项目”人员、大学生退役士兵不再实行加分政策。
三、报考条件(一)具有中华人民共和国国籍。
(二)拥护中华人民共和国宪法。
(三)考生报考年龄为18周岁以上、35周岁以下(1996年8月31日至1978年8月31日期间出生);报考基层人民警察职位的报考年龄为18周岁以上、28周岁以下(1996年8月31日至1985年8月31 日期间出生);大学生退役士兵报考年龄为18周岁以上、27周岁以下(1996年8月31日至1986年8月31 日期间出生)。
(四)具有良好的品行。
(五)具有正常履行职责的身体条件。
(六)报考第二学士学位试点班的,须具有国民教育序列本科以上学历;报考专科及以上学历起点本科试点班的,须具有国民教育序列专科及以上学历。
(七)报考人民警察职位的,还应符合人民警察招录条件。
(八)除上述条件外,报考人员还应符合职位规定的其他资格条件。
报考者有下列情形之一的,不得报考:⒈曾因犯罪受过刑事处罚的;2.受过劳动教养、少年管教的;3.有犯罪嫌疑尚未查清的; 4.直系血亲或对本人有重大影响的旁系血亲在境内外从事颠覆我国政权活动的;5.曾被开除公职的;6.曾被辞退的;7.近五年来在参加公务员录用考试中有严重违规纪律行为且在处罚期内的;8.在读的非应届高校毕业生;9.现役军人;10.具有法律规定不得录用为公务员的其他情形的。
四、招录方式招录采取笔试、面试、体检、考察的方式,在报考同一职位的考生中竞争择优录取,签订定向培养协议;学员毕业后,按入学时签订的定向单位正式办理公务员录用手续。
五、报名程序本次招录采取网上报名的方式进行。
(一)提交报考申请。
考生在2014年8月31 日8时30分至9月4 日14时30分期间登陆吉林省公务员考试网进入报名系统,提交报考申请。
报名时,考生要仔细阅读诚信承诺书和相关说明,按照说明要求如实、准确填写报考信息的各项内容并上传电子照片(近期免冠正面证件照,jpg格式)。
考生应对提交的信息和材料负责,凡弄虚作假的,一经查实,取消考试资格或录用资格。
不能用新、旧两个身份证号同时报名,报名与考试时使用的身份证必须一致。
逾期不再受理报名事宜。
其中,报考基层公安和基层司法机关人民警察职位的考生的报名截止时间为9月2 日14时30分,按吉林省公务员考试网上发布的时间和地点参加体能测试,未能通过人民警察体能测试的考生请于9月4日改报其他职位。
报考人民警察职位考生的体能测试按照《录用人民警察体能测评项目和标准(暂行)》(人社部发[2011]48号)执行。
报名缴费人数不足录用计划数3倍的职位,要按1:3的比例核减或取消录用计划。
已报考取消录用计划职位的考生可改报符合资格条件的其他职位。
考生务于9月5 日8时30分登录吉林省公务员考试网查询核减及取消职位报考情况。
已报考取消职位的考生请于9月5日14时30分前改报其他职位。
未改报的,视为自动放弃报考,责任自负。
(二)报名资格审查。
资格审查时间为2014年8月31日8时30分至9月4日15时30分。
招考部门根据考生在网络上填报的材料,按照职位报考条件和要求,在网上进行资格审查,并在考生报名后及时提出审查意见。
对符合报考条件的,不得拒绝报名;对审查不合格的,应说明理由。
各招录部门应下载并打印考生报名信息,供资格复审和考察时使用。
(三)查询报名资格审查结果。
考生请于提交报名申请后及时登录报名网站查询是否通过了资格审查。
未通过资格审查的,可报考符合资格条件的其他职位。
资格审查不合格的,不能参加考试。
报名人员应慎重选择报考职位,一经资格审查通过后,不能改报其他职位。
(四)网上缴费确认。
考生资格审查合格后,须在8月3 1日8时30分至9月4日17时30分前凭身份证号和密码登陆吉林省公务员考试网,通过网上成功支付考试费用后即为报名确认工作结束。
因未达开考比例取消职位而改报其他职位的考生在改报成功后,需于9月5日16时30分前重新进行缴费(原缴报名费在报名数据统计工作结束后退回考生缴费银行卡),仅报名未经缴费确认的考生报名无效。
享受国家最低生活保障金的城镇家庭和农村绝对贫困家庭的考生,携带家庭所在地县(市、区)级民政部门出具的享受最低生活保障金证明(原件)、低保证(复印件)或农村特困证明(原件)、特困家庭基本情况档案卡(复印件)于9月4日17时前到吉林省公务员录用考试中心(长春市南环城路1958号)审核办理免缴考务费手续。
逾期未办理者,不再办理减免考试考务费用事宜。
(五)打印准考证。
网上报名资格审查合格并缴纳了报名考务费的考生,于2014年9月16日至9月20日登录吉林省公务员考试网报名系统打印本人准考证(使用A4纸打印,保证字迹、照片清晰),并在考试当天持本人准考证和身份证原件按时到准考证指定的考点参加考试。
逾期未打印准考证而影响参加考试的,责任由考生自负。
六、考试考试分笔试、面试。
笔试考试大纲在吉林省公务员考试网站上公布,考生可自行下载。
(一)笔试笔试包括公务员公共科目考试和教育招生入学考试两部分内容。
其中,公务员公共科目考试内容为《行政职业能力测验》和《申论》考试。
教育招生入学考试科目根据国家统一高等院校入学考试模式,结合试点班按层次确定,报考专科及以上学历起点的本科和第二学士学位班的考生需参加《民法学》的考试;考试范围以吉林省公务员考试网公布的《考试大纲》为准。
笔试时间为2014年9月20日至21日。
具体安排为:9月20日9:00—11:00 《行政职业能力测验》14:00—16:30 《申论》9月21日9:00—11:30 《民法学》(专科及以上学历起点本科和第二学士学位)笔试总成绩由公务员公共科目成绩和教育入学考试成绩两部分组成,各占50%。
笔试总成绩计算公式为:笔试总成绩=(公务员笔试各科目成绩之和/公务员笔试各科目试卷满分之和)×50+(教育考试笔试各科目成绩之和/教育考试笔试各科目试卷满分之和)×50。
考生笔试成绩和笔试成绩合格线同时在吉林省公务员考试网上公告,考生可同时网上查询。
(二)面试面试由省公务员主管部门按公务员录用的有关规定组织实施。
面试采取无领导小组讨论的方式进行。
参加面试的人选,按照招录计划,根据考生笔试成绩,在合格线以上的人员中,按照1:3的比例从高分到低分依次确定。
如考生笔试成绩总分相同,依次以《行政职业能力测验》、《申论》、《民法学》成绩高者优先;如各科成绩均相同,一并进入面试。
面试前,由招录机关对参加面试的人选进行报考资格条件复审。
资格复审时,考生应提供本招录职位所要求的相关证明材料原件及复印件各1份,具体应提供本人毕业证原件、身份证原件、户口簿原件、笔试准考证和招录职位要求的其他证明材料等。
服务基层项目人员还须提供本人服务合同原件、服务单位出具的证明和服务期满的考核材料等;大学生退役士兵需提供服役证明材料及退出现役证。
资格复审不符合报名条件的,取消面试人选资格,经省级公务员主管部门核准,在报考同一职位且笔试成绩在合格线以上的人员中从高分到低分依次递补。
有关面试具体时间、地点,由招录机关另行通知。
七、体检、考察和公示面试结束后,按笔试总成绩、面试成绩两部分计算考试总成绩,满分为100分。
笔试总成绩、面试成绩各占50%(即:考生总成绩=笔试总成绩×50%+面试成绩×50%)。
计算考试总成绩时,要按照所占比例先折合后再进行汇总,保留小数点后两位。
按照考生考试总成绩,按照招录计划1∶1的比例在考试总成绩在合格线以上人员中从高分到低分确定体检人选。
如考试总成绩相同,依次以面试成绩、笔试成绩高者优先;如考生笔试成绩总分相同,依次以《行政职业能力测验》、《申论》、《民法学》成绩高者优先;如各项成绩均相同,则一同确定为参加体检、考察人选,并根据体检、考察结果择优确定。
报考公安机关和监狱劳教机关的,按人社部、卫生部、国家公务员局颁布的《公务员录用特殊体检标准(试行)》执行;报考其他基层机关的,按照原人事部、卫生部颁布的《国家公务员录用体检通用标准(试行)》的规定和招录职位的有关要求执行。
对体检合格人选由招录机关按照《吉林省录用公务员考察实施细则》规定的考察内容、考察程序、考察方法组织考察。
对体检或考察不合格的,取消其拟录用人选资格,并从报考同一职位考试成绩在合格线以上的人员中从高分到低分依次递补。
对体检、考察合格者,由省级公务员主管部门确定拟录用人选并在吉林省公务员考试网上予以公示,公示期为7天。
八、审批、入学及录用对公示期满后没有反映问题或者有反映问题经核实不影响录取的,由省级公务员主管部门在规定时限内将拟录取人员名单通过“招录工作专网”报中央公务员主管部门。
相关院校根据“招录工作专网”上拟录取人员名单发放录取通知书。
入校后,由相关院校将最终录取人员名单报院校所在省级招办备案。
被录取人员到相关院校报到时,与培养院校、招录机关省级主管部门和定向单位签订定向培养协议书,接受培养。
被录取人员的户口和档案迁入录取学校。
试点班学生在校期间免收学费,并发给生活补助费。
生活补助费的发放和标准,按照财政部财行〔2008〕459号文件规定执行。
对于合格毕业生,所在院校应按原确定的招录单位进行派遣,并将其档案和户口转至相关单位。
学生到定向单位报到后,按有关规定办理公务员录用手续。