南京信息工程大学第一学期《高等数学》(上)期中考试样卷
- 格式:docx
- 大小:23.21 KB
- 文档页数:2
南京信息工程大学_高等数学试卷南京信息工程大学高等数学试卷(A )年级:___ _____专业:___ _____时间:__ _ 2010.07. __学号:________________姓名:_________________得分:________________一、填空题(本题共5小题,每小题3分,满分15分)1.若0),,(=z y x F ,且F 可微,z y x F F F ,,非零,则=x z z y y x _______。
2.交换积分次序,=?xxdy y x f dx 331),(_______。
3.过点()4,2,1-与平面0432=-+-z y x 垂直的直线方程为_______。
4.设有点()3,2,1A 和()4,1,2-B ,则线段AB 的垂直平分面的方程为_______。
5.微分方程02=+'-''y y y 的通解是:二、选择题(本题共5小题,每小题3分,满分15分)1.二元函数),(y x f 在点()00,y x 处两个偏导数),(00y x f x ,),(00y x f y 存在是),(y x f 在该点连续的______。
(A )充分而非必要条件; (B) 必要而非充分条件; (C) 充分必要条件; (D) 既非充分又非必要条件 2.两平面34=-z x 和152=--z y x 与直线153243-=-=+z y x ______。
(A )垂直; (B) 平行; (C) 异面; (D) 相交但不垂直。
3.设∑为球面2222a z y x =++,则()=++??∑ds z y x222_____。
(A )42a π; (B) 48a π; (C) 44a π; (D)434a π。
4.方程xxe y y 22='-''的一个特解具有_______形式。
(A ) ()x e B Ax 2+; (B) xAxe 2; (C) xe Ax 22; (D) ()xe B Ax x 2+。
南京信息工程大学20XX ─ 20XX 学年 第 2 学期高等数学2课程试卷( B 卷) 及参考答案注意:1、本课程为 (表明必修或选修), 学时为 ,学分为2、本试卷共 页;考试时间 分钟; 出卷时间: 年 月3、姓名、学号等必须写在指定地方; 考试时间: 年 月 日4、本考卷适用专业年级: 任课教师: XXX以上内容为教师填写)专业年级 班级学号 姓名一、填充题 (每小题 3 分,共 15 分)1.设L 是周长为a 的椭圆22143x y +=,则曲线积分22(234)L xy x y ds ++⎰=__12a ______. 2.已知:z ∑=zdS ∑=⎰⎰3R π. 3.设{(,,)|,01}D x y z a x b y =≤≤≤≤,且()1Dyf x d σ=⎰⎰,则()baf x dx =⎰_______2_____.4.将xoy 坐标面上的椭圆14922=+y x 绕x 轴旋转一周, 所生成的旋转曲面方程为 222194x y z ++= 5.微分方程230y y y '''--=的通解为 312x x y C e C e -=+,(12,C C 为常数).二、选择题(每小题 3 分,共 15 分)1.级数11(1)n n n ∞=+∑ ( A )(A )发散 (B ) 收敛于1 (C ) 收敛于0 (D )无法判断收敛性2. 22xydx ax dy +在xOy 面内是某一函数(,)u x y 的全微分,则a = ( C ). (A) 1- (B) .2- (C) 1 (D) 23.2.设y x z =, 则zx∂=∂ ( A ) A. 1y yx - B. ln ||y x x C. (ln )y y x x x+ D. ln y x x 4.若区域222:1x y z Ω++≤取外侧,则积分222()xy z dv Ω++⎰⎰⎰等于 ( B )(A) 2120sin d d r dr ππθϕϕ⎰⎰⎰ (B)2140sin d d r dr ππθϕϕ⎰⎰⎰(C)211221()d d z dz πθρρρ-+⎰⎰⎰ (D)21d d πθρρ⎰⎰5.若级数1nn a∞=∑收敛 ,1nn b∞=∑发散,则级数1()nn n ab ∞=+∑ ( A )(A) 一定发散 (B) 一定收敛 (C) 条件收敛 (D) 不能确定三、判别下列各级数是否收敛?若收敛,是绝对收敛还是条件收敛?(本题20分) 1.1(1)sin3n nn π∞=-∑ 绝对收敛解 因为|(1)sin|sin333nnnnπππ-=≤,--------------------------------------------------------4分而级数13nn π∞=∑收敛,所以原级数1(1)sin3n nn π∞=-∑绝对收敛.------------------------------10分2.132nnn n ∞=⋅∑ 解 因为1133(1)2lim1322n n n n nn n ++→∞+⋅=>⋅,--------------------------------------------------------------4分 由比值审敛法知,该级数发散.---------------------------------------------------------------10分四.已知曲线方程:sin ,1cos ,4sin2t x t t y t z Γ=-=-=, 求对应于2t π=的点处的切线 及法平面方程 (本题10分)解 (1,1,2)T = -------------------------------------------------------------------------------4分切线方程11211x y π-+-==-----------------------------------------------------8分 法平面方程402x y π+--= -----------------------------------------------------10分五.求微分方程2x y y y e -'''++=的通解 (本题10分)解 对应的齐次方程的通解12()x y C x C e -=+, --------------------------------------4分 设非次方程的特解2x y Ax e *-=, ---------------------------------------------------------6分 则2(2)x y Ax Ax e -'=-,2(24)x y A Ax Ax e -''=-+代入解得12A =- ------------------------------------------------------------------------------8分 从而原方程的通解为2121()2xy C x C x e -=++ (12,C C 为常数) ------------10分六.求幂级数11n n n x n ∞=+∑的收敛域及和函数,并求1(1)2nn nn ∞=+∑ 的值(本题10分). 解 (2)lim1(1)(1)n n nR n n →∞+==++, --------------------------------------------------------------2分当1x =±时级数发散,故原级数的收敛域为11x -<<, -----------------------------4分又 111111n n n n n n x x n n ∞∞==+-=++∑∑1111n nn n x x n ∞∞===-+∑∑11ln(1),0||110,0x x x xx ⎧+-<<⎪=-⎨⎪=⎩, -------------------------------------------------------8分 令12x =,得12(1ln 2)(1)2nn n n ∞==-+∑. --------------------------------------------------10分 七.将1()arctan1xf x x+=-展为x 的幂级数 (本题10分). 解 221()(1),(11)1n n n f x x x x ∞='==--<<+∑-----------------------------------------------4分 0()(0)()xf x f f x dx '-=⎰221000(1)(1)21n x n nn n n x dx x n ∞∞+==-=-=+∑∑⎰------------------------------------------------------------8分 所以 2101(1)arctan ,(11)1421n n n x x x x n π∞+=+-=+-<<-+∑--------------------------------------10分八.计算曲面积分2(81)(1)4I y xdydz z y dzdx yzdxdy ∑=++-=⎰⎰,其中∑是由曲线13z y x ⎧=≤≤⎪⎨=⎪⎩ 绕y 轴旋转一周所成的曲面,它的法向量与y 轴正向的夹角恒大于2π.(本题10分) 解 曲面∑:221y x z -=+,设2212:3x z y ⎧+≤∑⎨=⎩,取右侧, ---------------------------2分则11I ∑+∑∑=-⎰⎰⎰⎰,由高斯公式212312dv d d dy πρθρπ+∑+∑Ω===⎰⎰⎰⎰⎰⎰⎰, --------------------------------------------6分而122(13)32zxD dzdx π∑=-=-⎰⎰⎰⎰- --------------------------------------------------------------8分从而 23234I πππ=+=. ----------------------------------------------------------------------10分。
南京信息工程大学-高等数学(上册)-试卷B(含答案)南京信息工程大学试卷学年 第 1学期 高等数学 课程试卷( B 卷)本试卷共 页;考试时间 120分钟;任课教师 课程组 ;一、单项选择题 (本大题有4小题, 每小题4分, 共16分) 1.)(0),sin (cos )( 处有则在设=+=x x x x x f .(A )(0)2f '= (B )(0)1f '=(C )(0)0f '= (D )()f x 不可导.2. )时( ,则当,设133)(11)(3→-=+-=x x x x xx βα.(A )()()x x αβ与是同阶无穷小,但不是等价无穷小; (B )()()x x αβ与是等价无穷小;(C )()x α是比()x β高阶的无穷小; (D )()x β是比()x α高阶的无穷小.3. 若()()()02xF x t x f t dt=-⎰,其中()f x 在区间上(1,1)-二阶可导且'>()0f x ,则( ).(A )函数()F x 必在0x =处取得极大值; (B )函数()F x 必在0x =处取得极小值;(C )函数()F x 在0x =处没有极值,但点(0,(0))F 为曲线()y F x =的拐点; (D )函数()F x 在0x =处没有极值,点(0,(0))F 也不是曲线()y F x =的拐点。
4.)()( , )(2)( )(1=+=⎰x f dt t f x x f x f 则是连续函数,且设(A )22x(B )222x +(C )1x - (D )2x +.二、填空题(本大题有4小题,每小题4分,共16分) 5. =+→xx x sin 2)31(lim .6. ,)(cos 的一个原函数是已知x f x x =⋅⎰x x xx f d cos )(则 .7.lim(cos cos cos )→∞-+++=22221L n n nnn n ππππ .8.=-+⎰21212211arcsin -dx xx x .三、解答题(本大题有5小题,每小题8分,共40分)9. 设函数=()y y x 由方程sin()1x y e xy ++=确定,求'()y x 以及'(0)y .10. .d )1(177x x x x ⎰+-求11.. 求,, 设⎰--⎪⎩⎪⎨⎧≤<-≤=132)(1020)(dx x f x x x x xe x f x12. 设函数)(x f 连续,=⎰1()()g x f xt dt,且→=0()limx f x A x ,A 为常数.求'()g x 并讨论'()g x 在=0x 处的连续性.13. 求微分方程2ln xy y x x '+=满足=-1(1)9y 的解.四、 解答题(本大题10分)14. 已知上半平面内一曲线)0()(≥=x x y y ,过点(,)01,且曲线上任一点M x y (,)00处切线斜率数值上等于此曲线与x 轴、y 轴、直线x x =0所围成面积的2倍与该点纵坐标之和,求此曲线方程.五、解答题(本大题10分)15. 过坐标原点作曲线x y ln =的切线,该切线与曲线x y ln =及x 轴围成平面图形D.(1) 求D 的面积A ;(2) 求D 绕直线x = e 旋转一周所得旋转体的体积六、证明题(本大题有2小题,每小题4分,共8分)16. 设函数)(x f 在[]0,1上连续且单调递减,证明对任意的[,]∈01q ,1()()≥⎰⎰qf x d x q f x dx.17. 设函数)(x f 在[]π,0上连续,且0)(0=⎰πx d x f ,cos )(0=⎰πdx x x f .证明:在()π,0内至少存在两个不同的点21,ξξ,使.0)()(21==ξξf f (提示:设⎰=xdxx f x F 0)()()解答一、单项选择题(本大题有4小题, 每小题4分, 共16分) 1、D 2、A 3、C 4、C二、填空题(本大题有4小题,每小题4分,共16分)5. 6e . 6.c x x +2)cos (21 .7. 2π. 8.3π.三、解答题(本大题有5小题,每小题8分,共40分) 9. 解:方程两边求导(1)cos()()0x y e y xy xy y +''+++= cos()()cos()x y x ye y xy y x e x xy +++'=-+0,0x y ==,(0)1y '=-10. 解:767u x x dx du == 1(1)112()7(1)71u du duu u u u -==-++⎰⎰原式 1(ln ||2ln |1|)7u u c =-++ 7712ln ||ln |1|77x x C =-++11. 解:1033()x f x dx xe dx ---=+⎰⎰⎰3()x xd e --=-+⎰⎰00232cos (1sin )x x xe e d x πθθθ----⎡⎤=--+-=⎣⎦⎰令3214e π=--12. 解:由(0)0f =,知(0)0g =。
第一学期高等数学期中考试试卷答案一.填空题(本题满分15分,共有5道小题,每道小题3分),请将合适的答案填在空中.1.已知()()212x x f x f =-+,则()=x f ______________________________.2.设x x x y arcsin 12-+=,则='y ______________________.3.设函数()x y y =由方程42ln 2x y y =+所确定,则=dxdy _______________. 4.设()x f 为可导的奇函数,且()50='x f ,则()=-'0x f ________________.5.函数()22sin x x e x f x +--=在区间()∞+∞-,上的最小值为_____________. 答案:⒈ 3132312-+x x ; ⒉ x x xa r c s i n122--; ⒊ 2212yy x +; ⒋ 5;⒌ 1-.二.选择填空题(本题满分15分,共有5道小题,每道小题3分)。
以下每道题有四个答案,其中只有一个答案是正确的,请选出合适的答案填在空中,多选无效.1.数列极限()[]n n n n ln 1ln lim --∞→是________ . ()A .1 ; ()B .1-; ()C .∞; ()D .不存在但非∞.2.函数()()x x x x x f ---=322不可导点的个数是______________.()A . 3 ; ()B . 2 ; ()C . 1 ; ()D . 0 .3.设()x f 可导且()210='x f ,则0→∆x 时,()x f 在0x 点处的微分dy 是____. ()A .比x ∆低阶的无穷小; ()B .比x ∆高阶的无穷小;()C .与x ∆同阶的无穷小; ()D .与x ∆等价的无穷小.4.已知函数()x f 具有任意阶导数,且()()[]2x f x f =',则当n 为大于2的正整数时,()x f 的n 阶导数()()x f n 为___________.()A .()[]nx f n 2!; ()B . ()[]1+n x f n ; ()C . ()[]n x f 2; ()D .()[]1!+n x f n . 5.设()()[]2x x f ψ=',其中()x ψ在()∞+∞-,上恒为正值,其导数()x ψ'为单调减少函数,且()00='x ψ,则___________ .()A .曲线()x f y =在点()()00x f x ,处有拐点;()B .0x x =是函数()x f 的极大值点;()C .曲线()x f y =在()∞+∞-,上是凹的;()D .()0x f 是()x f 在()∞+∞-,上的最小值.答案:⒈ ()B ;⒉ ()A ;⒊ ()C ;⒋ ()D ;⒌ ()A .三.(本题满分6分)设0>>a b ,()2a a f =',求极限()()ab a f b f a b ln ln lim --→. 解:()()()()ab a b a b a f b f a b a f b f a b a b ln ln lim ln ln lim--⋅--=--→→ ()()()()a b a b a b a f b f a b a f b f a b a b a b ln ln lim lim ln ln lim --⋅--=--=→→→ ()3a a a f =⋅'=,四.(本题满分7分)设()A x f x x =→0lim ,极限()x g x x 0lim →不存在,试问极限 ()()[]x g x f x x +→0lim是否存在?并证明之.解:极限()()[]x g x f x x +→0lim 不存在. 反证法:如果极限()()[]x g x f x x +→0lim 存在,由极限()A x f x x =→0lim 存在,可知极限 ()()()()[]()()[]()x f x g x f x f x g x f x x x x x x 000lim lim lim →→→-+=-+ 存在,即极限()x g x x 0lim →存在,这与题设中()x g x x 0lim →不存在矛盾,因此极限()()[]x g x f x x +→0lim 不存在.五.(本题满分7分)设()⎪⎪⎩⎪⎪⎨⎧->+-=-<-=1arccos 1112x x a x bx x x f ,试确定a 、b 之值,使得函数()x f 在点1-=x 处连续.解:()b f =-1,()()01lim lim 0120101=-==----→--→x x f f x x ,()()()π+=+==+-+-→+-→a x a x f f x x a r c c o s lim lim 010101, 所以,由()()101-=--f f ,得0=b ;由()()101-=+-f f ,得π-=a .因此,当π-=a ,0=b 时,函数()x f 在点1-=x 处连续.六.(本题满分8分)设函数()x y y =由参数方程⎩⎨⎧=+=ty t x cos 12所确定,求22dx y d . 解:tt t t dtdx dt dydx dy 2sin 2sin -=-== , dtdxdx dy dt d dx dt dx dy dt d dx dy dx d dx y d 122⋅⎪⎭⎫ ⎝⎛=⋅⎪⎭⎫ ⎝⎛=⎪⎭⎫ ⎝⎛= ()3224c o s s i n 21s i n c o s 21112s i n t t t t t t t t t t t t dt d t -=⋅--='+⋅⎪⎭⎫ ⎝⎛-= .七.(本题满分8分)求对数螺线θρe =(由极坐标方程给出)在点()⎪⎪⎭⎫ ⎝⎛=22πθρπ,e 处的切线的直角坐标方程.解:我们将其转换为参数方程()()⎩⎨⎧==θθρθθρsin cos y x .在本题中,转换后的参变量方程为⎩⎨⎧==θθθθsin cos e y e x .这时,我们将θ看作参变量,利用参变量方程的求导方法,我们有()()θθθθθθθθθθθs i n c o s s i n c o s s i n c o s s i n c o s -+=-+==e e d d dydx dy . 当2πθ=时,1s i n c o s s i nc o s 22-=-+===πθπθθθθθdx dy ,0cos 22==⎪⎭⎫⎝⎛=πθθθπe x ,22sin 2ππθθθπe e y ==⎪⎭⎫ ⎝⎛=. 因此,所求切线方程为()()012--=-x e y π,即2πe y x =+ .八.(本题满分8分)求曲线5412--=x x y 的铅直渐近线与水平渐近线.解:由于0541limlim 2=--=∞→∞→x x y x x ; 所以,0=y 是曲线5412--=x x y 的水平渐近线;由于 ∞=--=-→-→541lim lim 211x x y x x ,∞=--=→→541lim lim 255x x y x x 所以,1-=x 与5=x 都是曲线5412--=x x y 的两条铅直渐近线. 九.(本题满分8分)求数列⎪⎭⎪⎬⎫⎪⎩⎪⎨⎧⎪⎭⎫ ⎝⎛n n 322的最大项() ,,,321=n .(已知41.05.1ln ≈) 解:设()xx x f ⎪⎭⎫ ⎝⎛⋅=322 ()+∞<≤x 1, 则()⎪⎭⎫ ⎝⎛-⎪⎭⎫ ⎝⎛⋅='23ln 232x x x f x,令()0='x f ,得()x f 在()∞+,0内的唯一驻点为 9.423ln 20≈=x 当23ln 21<≤x 时,()0>'x f ;当x <23ln 2时,()0<'x f . 所以2ln 20=x 是函数()x x x f ⎪⎭⎫ ⎝⎛⋅=322在区间()+∞<≤x 1上的极大值点,也是最大值点. 由于59.423ln 240<≈=<x ,且()44232163244⎪⎭⎫ ⎝⎛⋅=⎪⎭⎫ ⎝⎛⋅=f ,()()4323503255452f f >⎪⎭⎫ ⎝⎛⋅=⎪⎭⎫ ⎝⎛⋅=, 所以数列⎪⎭⎪⎬⎫⎪⎩⎪⎨⎧⎪⎭⎫ ⎝⎛n n 322的最大项为()2438005=f . 十.(本题满分9分)论证πe 与e π的大小.解:由于ππln e e e =,因此只需讨论π与πln e 的大小.设()x e x x f ln -=,则()xe xf -='1 令()0='x f ,得函数()x e x x f ln -=的驻点e x =0.由于()02>=''xe xf ,所以函数()x e x x f ln -=在点e x =0处取极小值 ()0=-=e e e f由于点e x =0是函数()x e x x f ln -=的唯一极值点,因而也是函数()x e x x f ln -=的最小值点.因此当e x >时,()()0=>e f x f .因此由e >π,知()0>πf ,即0ln >-ππe ,或ππln e >所以,ππln e e e >,即ee ππ>. 十一.(本题满分9分)设函数()x f 在闭区间[]10,上可微,对闭区间[]10,上的每一点x ,函数()x f 的值都在开区间()10,内,且()1≠'x f .证明:在开区间()10,内仅有唯一的一点x ,使得()x x f =.解:(存在性):令()()x x f x F -=,则函数()x F 在闭区间[]10,上连续,且当[]10,∈x 时,由()10<<x f ,所以,()()0000>-=f F ,()()111-=f F .因此由连续函数的零点定理,知至少存在一点()10,∈x ,使得()()0=-=x x f x F .即至少存在一点()10,∈x ,使得()x x f =.(唯一性):若存在两点()1021,,∈x x ,21x x <,使得()11x x f =, ()22x x f =由Lagrange 中值定理,知至少存在一点1021<<<<x x ξ,使得()()()112121212=--=--='x x x x x x x f x f f ξ 这与题设中任意()10,∈x ,()1≠'x f 相矛盾.因此,在开区间()10,内仅有唯一的一点x ,使得()x x f =.。
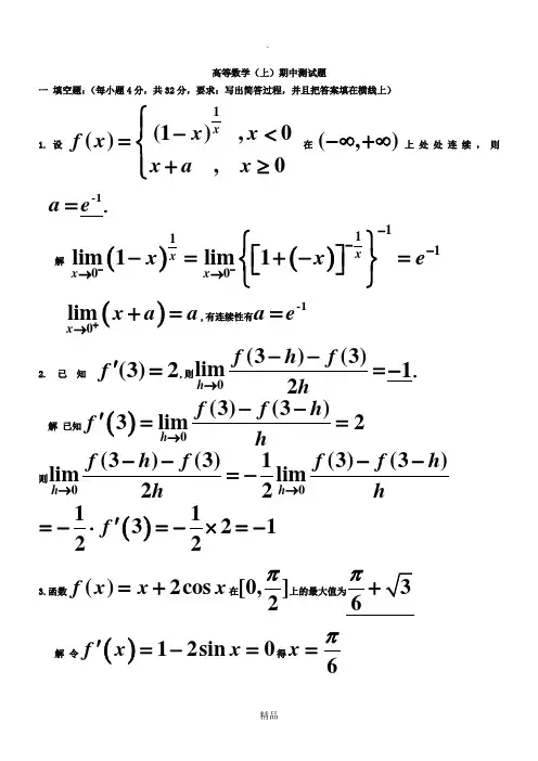
高等数学(上)期中测试题一 填空题:(每小题4分,共32分,要求:写出简答过程,并且把答案填在横线上)1.设1(1),0(),0x x x f x x a x ⎧⎪-<=⎨⎪+≥⎩在(,)-∞+∞上处处连续,则a =-1e。
解()()111100lim 1lim 1xxx x x x e -----→→⎧⎫⎡⎤-=+-=⎨⎬⎣⎦⎩⎭()0lim x x a a +→+=,有连续性有a =-1e2. 已 知 (3)2f '=,则0(3)(3)lim2h f h f h →--=1-。
解 已知()0(3)(3)3lim2h f f h f h→--'== 则00(3)(3)1(3)(3)lim lim 22h h f h f f f h h h →→----=-()1132122f '=-⋅=-⨯=-3.函数()2cos f x x x =+在[0,]2π上的最大值为6π+解 令()12sin 0f x x '=-=得6x π=()026622f f f ππππ⎛⎫⎛⎫==+= ⎪ ⎪⎝⎭⎝⎭则最大值为6π+4. 设5(sin )5(1cos )x t t y t =+⎧⎨=-⎩ , 则 0t dydx ==0,22t d ydx==120解()05sin 051cos t t t dy dy t dt dx dxt dt======+220t t t dy d dy dx d d y dx dt dx dxdxdt===⎛⎫ ⎪⎛⎫⎝⎭ ⎪⎝⎭==()()()22cos 1cos sin 1cos 151cos 20t t t tt t =+++==+5. 设1(0)xy xx +=>,则y '=()1ln xx x x x ++解 两边取对数有()ln 1ln y x x =+两边关于x 求导得1ln y xx y x'+=+,整理后即得结果 6. 设函数()y y x =由方程cos()0x y xy ++=确定,则dy =sin 11sin y xy dx x xy --。
南京信息工程大学试卷20XX -20XX 学年 第 一 学期 高等代数(上) 课程试卷( A 卷)本试卷共 2 页;考试时间 120 分钟;任课教师 杨兴东 昝立博 ;出卷时间20XX 年12月学院 专业 年级 班 学号 姓名 得分一、填空题(15分)1. 设四阶行列式111222333444a b c d a b c d D a b c d a b c d=,ij A 表示行列式D 的第i 行第j 列元素的代数余子式,则11213141A A A A +++= . 2. 设A 为3阶矩阵,且1||2A =,则1*1()43A A --= . 3. 设123(1,2,3),(3,1,2),(2,3,)t ααα==-=,若123,,ααα线性相关,则t = . 4. 若A 为n 级实对称阵,并且T AA O =,则A = .5. 设12410113X ⎛⎫⎛⎫= ⎪ ⎪--⎝⎭⎝⎭,则X = .二、选择题(15分)1. 设()2421(1)x Ax Bx -++,则,A B =( )(A) 1,2 (B) 1,2- (C) 1,2- (D) 1,2- 2. 设A 为n 阶矩阵,*A 是A 的伴随矩阵,则有( )成立(A) *1||||n A A -= (B) *||||n A A = (C) *||||A A = (D) *1||||A A -= 3. 设A 为n 阶方阵,且()r A r n =<,则A 中( ). (A )必有r 个列向量线性无关; (B )任意r 个列向量线性无关; (C )任意r 个行向量构成一个极大无关组;(D )任意一个行向量都能被其他r 个行向量线性表示4. 设,A B 是n 阶方阵,下列结论正确的是( ) (A) 22()()A B A B A B -=+- (B) ||||AB BA = (C) ||||||A B A B +=+ (D) ||||kA k A =5. ,,A B C 均为n 阶矩阵,E 为n 阶单位矩阵,若ABC E =,则有( ) (A) ACB E = (B )BAC E = (C )CAB E = (D )CBA E = 三、判别下列多项式在有理数域上是否可约. (10分) 1. 65322877221153x x x x x +-+--; 2.771x x -+.四、(10分) 计算行列式1111111111111111111111111xx D x x x++=+++五、(10分) 设021112111A -⎛⎫ ⎪= ⎪ ⎪---⎝⎭,试用两种方法求矩阵A 的逆矩阵.六、(10分) 求向量组123413130110,,,320541510αααα-⎛⎫⎛⎫⎛⎫⎛⎫⎪ ⎪ ⎪ ⎪- ⎪ ⎪ ⎪ ⎪====⎪ ⎪ ⎪ ⎪ ⎪ ⎪ ⎪ ⎪⎝⎭⎝⎭⎝⎭⎝⎭的秩与一个极大线性无关组,并将其余向量用此极大无关组线性表示.七、(10分) 证明((),())1f x g x =当且仅当(()(),()())1f x g x f x g x += 八、(10分) 讨论λ取何值时,非齐次线性方程组⎪⎩⎪⎨⎧=+++=+++=+++λλλλ321321321)1(3)1(0)1(x x x x x x x x x (1) 无解;(2) 有唯一解;(3) 有无穷多解?有无穷多解时,求其全部解.九、(10分) 已知A 为n 阶矩阵,E 为n 阶单位矩阵,证明:(2)()r A E r A E n -++= 的充要条件是22A A E O --=.20xx-20xx 学年第一学期《高等代数》(上)期末试卷(A 卷)参考答案一、填空题(本题满分15分, 每题3分)1. 0;2. 2;;3. 5;4. O ;5.6713X ⎛⎫= ⎪--⎝⎭.二、选择题(本题满分15分, 每题3分)1. D2. A3. A4. B5. C三、解:1、取p =3,则 ①p 不整除2;②|87p ,72|-p ,21|p ,|15p -,3|-p ; ③2p =9不整除-3,故由艾森斯坦因判别法,()x f 在有理数域上不可约. -------------------5分 2、 令1-=y x ,77()71(1)7(1)1f x x x y y =-+=---+7654327213535217y y y y y y =-+-+-+.取p =7,由艾森斯坦因判别法,()x f 在有理数域上不可约. --------5分四、解: 12511111555551111111111111111111111111111111111111111r r r xx x x x x x x x x x x x x+++++++++++=++++++213141511111111111111110000(5)(5)111110000111110000111110000r r r r r r r r x x x x xx x x x x----+=+=++++ 4(5)x x =+ ------------10分五、解:法一:因为02111220111A -==-≠---,所以A 可逆。
⾼等数学1期中考试试题参考答案《⾼等数学(Ⅰ)》试卷学院:______ 班级:_____学号:________姓名:________任课教师:_____⼀、选择题(每题2分,共16分)1、下列极限存在的是…………………………………………………………( ) (A )xx 21l i m ∞→(B ) 1310lim -→x x (C ) e x 1l i m ∞→(D ) xx 3lim ∞→2、0)(lim =→x f ax ,∞=→)(lim x g ax ,则下列不正确的是…………………………( )(A ) ∞=+→)]()([lim x g x f ax (B ) ∞=→)]()([lim x g x f ax(C ) 0][lim )()(1=+→x g x f ax (D ) 0)](/)(lim[=→x g x f ax3、,0)(lim >=→A x f ax ,0)(lim <=→B x g ax 则下列正确的是…………………………( )(A ) f (x )>0, (B ) g(x )<0, (C ) f (x )>g (x ) (D )存在a 的⼀个空⼼邻域,使f (x )g (x )<0。
4、已知, ,2lim )(0=→xx f x 则=→)2x (sin3x 0f x ………………………………………………( )(A ) 2/3, (B ) 3/2 (C ) 3/4 (D )不能确定。
5、若函数在[1,2]上连续,则下列关于函数在此区间上的叙述,不正确的是……()(A )有最⼤值(B )有界(C )有零点(D )有最⼩值6、下列对于函数y =x cos x 的叙述,正确的⼀个是………………………………………( ) (A )有界,且是当x 趋于⽆穷时的⽆穷⼤,(B )有界,但不是当x 趋于⽆穷时的⽆穷⼤,(C )⽆界,且是当x 趋于⽆穷时的⽆穷⼤,(D )⽆界,但不是当x 趋于⽆穷时的⽆穷⼤。
南京信息工程大学试卷学年 第 1学期 高等数学 课程试卷( B 卷)本试卷共 页;考试时间 120分钟;任课教师 课程组 ;《高等数学A 》考试试卷一.填空题(本题共5小题,每小题4分,共20分)1.设⎩⎨⎧<+≥=0x 1x 0x e f(x) x ,则 f(x)的一个原函数是 .2.曲线12x 11y ++=与x 轴、y 轴和直线4x =所围成的面积是 .3.已知曲线f(x)y =上的任一点f(x))(x,的切线斜率是2x41+,而且曲线经过定点(2,0),则曲线方程 .4.1x x 12x 4x f(x)234-+++=在R上的零点有 个.5.已知(1)'' f 存在,且1xdx)f(e lim3x2xx =⎰→,则=(1)'' f .二.选择题(本题共5小题,每小题4分,共20分)1.已知F(x)具有二阶连续导数(x)'F',则下面正确的是( ) A.⎰=F(x)dF(x)B. ⎰+=+1]dx (x)'[F'x]dx (x)[F'dC. ⎰+=C F(x)(x)dF'D. ⎰++=+C (x)F'F(x)(x)]dx 'F'(x)[F' 2.=∑=∞→1-n 1i ni 2n e n2lim( )A. ⎰2x dx e 2 B. ⎰1x 2dx e 2C. ⎰2 0x2dx e D. ⎰1x 2dx e3.已知F(x)的一阶导数(x)F'在R上连续,且0F(0)=, 则⎰=0x (t)dt xF'd ( )A. (x)dx xF'-B. (x)dx xF'C. (x)dx]xF'[F(x)+-D. (x)]dx xF'[F(x)+-4.设f(x)的导数在x=a 处连续,又x a()lim1f x x a→'=--,则 ( )A.x=a 是f(x)的极小值点B.x=a 是f(x)的极大值点C.(a,f(a))是曲线y=f(x)的拐点D.x=a 不是f(x)的极值点,(a,f(a))也不是曲线y=f(x)的拐 点。
南京信息工程大学试卷学年 第 1学期 高等数学 课程试卷( B 卷)本试卷共 页;考试时间 120分钟;任课教师 课程组 ;一、单项选择题 (本大题有4小题, 每小题4分, 共16分) 1. )(0),sin (cos )( 处有则在设=+=x x x x x f .(A )(0)2f '= (B )(0)1f '=(C )(0)0f '= (D )()f x 不可导.2. )时( ,则当,设133)(11)(3→-=+-=x x x x xx βα.(A )()()x x αβ与是同阶无穷小,但不是等价无穷小; (B )()()x x αβ与是等价无穷小;(C )()x α是比()x β高阶的无穷小; (D )()x β是比()x α高阶的无穷小.3. 若()()()02xF x t x f t dt=-⎰,其中()f x 在区间上(1,1)-二阶可导且'>()0f x ,则( ).(A )函数()F x 必在0x =处取得极大值; (B )函数()F x 必在0x =处取得极小值;(C )函数()F x 在0x =处没有极值,但点(0,(0))F 为曲线()y F x =的拐点; (D )函数()F x 在0x =处没有极值,点(0,(0))F 也不是曲线()y F x =的拐点。
4.)()( , )(2)( )(1=+=⎰x f dt t f x x f x f 则是连续函数,且设(A )22x (B )222x+(C )1x - (D )2x +.二、填空题(本大题有4小题,每小题4分,共16分) 5. =+→xx x sin 2)31(l i m .6. ,)(cos 的一个原函数是已知x f xx=⋅⎰x xxx f d cos )(则.7.lim(cos cos cos )→∞-+++=22221n n nnn n ππππ .8. =-+⎰21212211arcsin -dx xx x .三、解答题(本大题有5小题,每小题8分,共40分)9. 设函数=()y y x 由方程sin()1x ye xy ++=确定,求'()y x 以及'(0)y .10. .d )1(177x x x x ⎰+-求11. . 求,, 设⎰--⎪⎩⎪⎨⎧≤<-≤=1 32)(1020)(dx x f x x x x xe x f x12. 设函数)(x f 连续,=⎰10()()g x f xt dt,且→=0()limx f x A x ,A 为常数. 求'()g x 并讨论'()g x 在=0x 处的连续性.13. 求微分方程2ln xy y x x '+=满足=-1(1)9y 的解.四、 解答题(本大题10分)14. 已知上半平面内一曲线)0()(≥=x x y y ,过点(,)01,且曲线上任一点M x y (,)00处切线斜率数值上等于此曲线与x 轴、y 轴、直线x x =0所围成面积的2倍与该点纵坐标之和,求此曲线方程. 五、解答题(本大题10分)15. 过坐标原点作曲线x y ln =的切线,该切线与曲线x y ln =及x 轴围成平面图形D.(1) 求D 的面积A ;(2) 求D 绕直线x = e 旋转一周所得旋转体的体积V .六、证明题(本大题有2小题,每小题4分,共8分)16. 设函数)(x f 在[]0,1上连续且单调递减,证明对任意的[,]∈01q ,1()()≥⎰⎰qf x d x q f x dx.17. 设函数)(x f 在[]π,0上连续,且0)(0=⎰πx d x f ,0cos )(0=⎰πdx x x f .证明:在()π,0内至少存在两个不同的点21,ξξ,使.0)()(21==ξξf f (提示:设⎰=xdxx f x F 0)()()解答一、单项选择题(本大题有4小题, 每小题4分, 共16分) 1、D 2、A 3、C 4、C二、填空题(本大题有4小题,每小题4分,共16分)5. 6e . 6.c x x +2)cos (21 .7. 2π. 8.3π.三、解答题(本大题有5小题,每小题8分,共40分) 9. 解:方程两边求导(1)c o s ()()x ye y xy xy y +''+++= cos()()cos()x y x ye y xy y x e x xy +++'=-+0,0x y ==,(0)1y '=- 10. 解:767u x x dx du == 1(1)112()7(1)71u du duu u u u -==-++⎰⎰原式 1(ln ||2ln |1|)7u u c =-++ 7712ln ||ln |1|77x x C =-++11.解:1330()xf x dx xe dx ---=+⎰⎰⎰3()xxd e --=-+⎰⎰00232cos (1sin )x x xe e d x πθθθ----⎡⎤=--+-=⎣⎦⎰ 令3214e π=--12. 解:由(0)0f =,知(0)0g =。
南京信息工程大学试卷学年 第 1学期 高等数学 课程试卷( B 卷)本试卷共 页;考试时间 120分钟;任课教师 课程组 ;一、单项选择题 (本大题有4小题, 每小题4分, 共16分) 1. )(0),sin (cos )( 处有则在设=+=x x x x x f .(A )(0)2f '= (B )(0)1f '=(C )(0)0f '= (D )()f x 不可导.2. )时( ,则当,设133)(11)(3→-=+-=x x x x xx βα.(A )()()x x αβ与是同阶无穷小,但不是等价无穷小; (B )()()x x αβ与是等价无穷小;(C )()x α是比()x β高阶的无穷小; (D )()x β是比()x α高阶的无穷小.3. 若()()()02xF x t x f t dt=-⎰,其中()f x 在区间上(1,1)-二阶可导且'>()0f x ,则( ).(A )函数()F x 必在0x =处取得极大值; (B )函数()F x 必在0x =处取得极小值;(C )函数()F x 在0x =处没有极值,但点(0,(0))F 为曲线()y F x =的拐点; (D )函数()F x 在0x =处没有极值,点(0,(0))F 也不是曲线()y F x =的拐点。
4.)()( , )(2)( )(1=+=⎰x f dt t f x x f x f 则是连续函数,且设(A )22x (B )222x+(C )1x - (D )2x +.二、填空题(本大题有4小题,每小题4分,共16分) 5. =+→xx x sin 2)31(lim .6.,)(cos 的一个原函数是已知x f xx=⋅⎰x xxx f d cos )(则.7. lim (cos cos cos )→∞-+++=22221L n n n n n n ππππ .8. =-+⎰21212211arcsin -dx xx x .三、解答题(本大题有5小题,每小题8分,共40分)9. 设函数=()y y x 由方程sin()1x ye xy ++=确定,求'()y x 以及'(0)y .10. .d )1(177x x x x ⎰+-求11. . 求,, 设⎰--⎪⎩⎪⎨⎧≤<-≤=1 32)(1020)(dx x f x x x x xe x f x12. 设函数)(x f 连续,=⎰10()()g x f xt dt,且→=0()limx f x A x ,A 为常数. 求'()g x 并讨论'()g x 在=0x 处的连续性.13. 求微分方程2ln xy y x x '+=满足=-1(1)9y 的解.四、 解答题(本大题10分)14. 已知上半平面内一曲线)0()(≥=x x y y ,过点(,)01,且曲线上任一点M x y (,)00处切线斜率数值上等于此曲线与x 轴、y 轴、直线x x =0所围成面积的2倍与该点纵坐标之和,求此曲线方程. 五、解答题(本大题10分)15. 过坐标原点作曲线x y ln =的切线,该切线与曲线x y ln =及x 轴围成平面图形D.(1) 求D 的面积A ;(2) 求D 绕直线x = e 旋转一周所得旋转体的体积V .六、证明题(本大题有2小题,每小题4分,共8分)16. 设函数)(x f 在[]0,1上连续且单调递减,证明对任意的[,]∈01q ,1()()≥⎰⎰qf x d x q f x dx.17. 设函数)(x f 在[]π,0上连续,且0)(0=⎰πx d x f ,0cos )(0=⎰πdx x x f .证明:在()π,0内至少存在两个不同的点21,ξξ,使.0)()(21==ξξf f (提示:设⎰=xdxx f x F 0)()()解答一、单项选择题(本大题有4小题, 每小题4分, 共16分) 1、D 2、A 3、C 4、C二、填空题(本大题有4小题,每小题4分,共16分)5. 6e . 6.c x x +2)cos (21 .7. 2π. 8.3π.三、解答题(本大题有5小题,每小题8分,共40分) 9. 解:方程两边求导(1)cos()()0x ye y xy xy y +''+++=cos()()cos()x y x ye y xy y x e x xy +++'=-+0,0x y ==,(0)1y '=- 10. 解:767u x x dx du == 1(1)112()7(1)71u du duu u u u -==-++⎰⎰原式 1(ln ||2ln |1|)7u u c =-++ 7712ln ||ln |1|77x x C =-++11. 解:1033()x f x dx xe dx ---=+⎰⎰⎰03()x xd e --=-+⎰⎰00232cos (1sin )x xxe e d x πθθθ----⎡⎤=--+-=⎣⎦⎰令3214e π=--12. 解:由(0)0f =,知(0)0g =。
高等数学(上)期中考试试卷1 高等数学(上)期中考试试卷1一、选择题(每题5分,共30分)1. 设函数f(x) = 2x^3 + ax^2 + bx + 3,若f(x)的导函数为f'(x) = 6x^2 + 2ax + b,则a的值为()A. 2B. -2C. 3D. -32. 函数y = x^3 - 3x^2 + 2x + k的图像必经过的点为()A. (-1, -1)B. (1, -1)C. (2, 2)D. (-2, 2)3. 设函数y = e^x + a,若a = 1,求y在x = 0处的切线方程为()A. y = x + 2B. y = 2x + 1C. y = x + 1D. y = 2x + 24. 函数y = a^x在点(0, b)处的切线方程为y = x + 1,求a和b的值。
A. a = 1, b = 1B. a = e, b = eC. a = 2, b = 2D. a = e, b = 15. 函数y = ln(x)在点(1, 0)处的切线方程为y = 2x - 2,求曲线在x = 1处的切线方程。
A. y = xB. y = x - 1C. y = 2x - 1D. y = 2x6. 函数y = cos(x)在区间[0, π/2]上的最小值为()A. -1B. -√2/2C. -1/2D. 0二、计算题(共70分)1. 求函数y = 2x^3 - 3x^2 + 4x在区间[0, 2]上的定积分。
2. 求曲线y = x^2 - 2x的长度。
3. 求函数y = 2x^3 - 3x^2 + 4x的最大值和最小值,并求出取得最大值和最小值的点。
4. 求函数y = ln(x)与y = x的交点坐标。
5. 已知函数y = e^x满足条件∫(1, a) y dx = 5,求a的值。
6. 求函数y = x^2 - 2在区间[-2, 2]上的平均值。
三、证明题(共20分)1. 设函数f(x) = x^3 - 3x + 4,证明f(x)在区间[-1, 1]上有且仅有一个零点。
南京信息工程大学试卷学年 第 1学期 高等数学 课程试卷( B 卷)本试卷共 页;考试时间 120分钟;任课教师 课程组 ;一、单项选择题 (本大题有4小题, 每小题4分, 共16分) 1.)(0),sin (cos )( 处有则在设=+=x x x x x f .(A )(0)2f '= (B )(0)1f '=(C )(0)0f '= (D )()f x 不可导.2. )时( ,则当,设133)(11)(3→-=+-=x x x x xx βα.(A )()()x x αβ与是同阶无穷小,但不是等价无穷小; (B )()()x x αβ与是等价无穷小;(C )()x α是比()x β高阶的无穷小; (D )()x β是比()x α高阶的无穷小.3. 若()()()02xF x t x f t dt=-⎰,其中()f x 在区间上(1,1)-二阶可导且'>()0f x ,则( ).(A )函数()F x 必在0x =处取得极大值; (B )函数()F x 必在0x =处取得极小值;(C )函数()F x 在0x =处没有极值,但点(0,(0))F 为曲线()y F x =的拐点; (D )函数()F x 在0x =处没有极值,点(0,(0))F 也不是曲线()y F x =的拐点。
4.)()( , )(2)( )(10=+=⎰x f dt t f x x f x f 则是连续函数,且设(A )22x (B )222x +(C )1x - (D )2x +.二、填空题(本大题有4小题,每小题4分,共16分) 5. =+→xx x sin 2)31(lim .6. ,)(cos 的一个原函数是已知x f x x =⋅⎰x x xx f d cos )(则 .7.lim(cos cos cos )→∞-+++=22221n n nnnn ππππ .8.=-+⎰21212211arcsin -dx xx x .三、解答题(本大题有5小题,每小题8分,共40分)9. 设函数=()y y x 由方程sin()1x y e xy ++=确定,求'()y x 以及'(0)y .10. .d )1(177x x x x ⎰+-求11.. 求,, 设⎰--⎪⎩⎪⎨⎧≤<-≤=132)(1020)(dx x f x x x x xe x f x12.设函数)(x f 连续,=⎰1()()g x f xt dt,且→=0()limx f x A x ,A 为常数. 求'()g x 并讨论'()g x 在=0x 处的连续性.13.求微分方程2ln xy y x x '+=满足=-1(1)9y 的解.四、 解答题(本大题10分)14. 已知上半平面内一曲线)0()(≥=x x y y ,过点(,)01,且曲线上任一点M x y (,)00处切线斜率数值上等于此曲线与x 轴、y 轴、直线x x =0所围成面积的2倍与该点纵坐标之和,求此曲线方程.五、解答题(本大题10分)15. 过坐标原点作曲线x y ln =的切线,该切线与曲线x y ln =及x 轴围成平面图形D.(1) 求D 的面积A ;(2) 求D 绕直线x = e 旋转一周所得旋转体的体积六、证明题(本大题有2小题,每小题4分,共8分)16. 设函数)(x f 在[]0,1上连续且单调递减,证明对任意的[,]∈01q ,1()()≥⎰⎰qf x d x q f x dx.17. 设函数)(x f 在[]π,0上连续,且0)(0=⎰πx d x f ,0cos )(0=⎰πdx x x f .证明:在()π,0内至少存在两个不同的点21,ξξ,使.0)()(21==ξξf f (提示:设⎰=xdxx f x F 0)()()解答一、单项选择题(本大题有4小题, 每小题4分, 共16分) 1、D 2、A 3、C 4、C二、填空题(本大题有4小题,每小题4分,共16分)5. 6e . 6.c x x +2)cos (21 .7. 2π. 8.3π.三、解答题(本大题有5小题,每小题8分,共40分) 9. 解:方程两边求导(1)cos()()0x y e y xy xy y +''+++= cos()()cos()x y x ye y xy y x e x xy +++'=-+0,0x y ==,(0)1y '=-10. 解:767u x x dx du == 1(1)112()7(1)71u du duu u u u -==-++⎰⎰原式1(ln ||2ln |1|)7u u c =-++ 7712ln ||ln |1|77x x C =-++11. 解:1033()xf x dx xe dx ---=+⎰⎰⎰3()xxd e --=-+⎰⎰00232cos (1sin )x xxe e d x πθθθ----⎡⎤=--+-=⎣⎦⎰令3214e π=--12. 解:由(0)0f =,知(0)0g =。
南京信息工程大学第一学期
《高等数学》(上)-期中考试样卷
一、填空题(每题3分,共15分)
1.函数y=ln(1+x)
x
的定义域是
2.lim
n→∞(1
n2+1
+2
n2+2
+⋯+n
n2+n
)=
3.已知f′(3)=2,那么lim
ℎ→0f(3−ℎ)−f(3+ℎ)
2ℎ
=
4.若当x→0时,有ln1−ax2
1+ax2
~sin²(√6x),则a=
5.已知f(x)=sin x+cos x,则f(n)(x)=
二、选择题(每题3分,共15分)
1.f(x)=21x在x=0处()
A.有定义
B.极限存在
C.左极限存在
D.有极限存在
2.数列{x n}有界是它收敛的()
A.充分不必要条件
B.必要不充分条件
C.充要条件
D.不充分也不必要条件
3.当x→1时,1−x是1−x2()
A.高阶的无穷小
B.低阶的无穷小
C.等价无穷小
D.同阶但不等价无穷小
4.设y=y(x)是由方程e x+y−cos(xy)=e−1确定,则曲线y=y(x)在点(0,1)处
的切线方程为()
A.x+y−1=0
B.x−y−1=0
C.−x+y−1=0
D.x+y+1=0
5.由F(x)={f(x)
x
,x≠0
f(0),x=0
其中f(x)在x=0处可导,f′(0)≠0,f(0)=0,则x=
0是F(x)的()
A.连续点
B.第二类间断点
C.第一类间断点
D.连续点或间断点不能由此决定
三、计算题(每题6分,共30分)
1.求极限:lim x→0(1ln (1+x )−1x )
2.lim x→0arc tan x−x
sin 2x 3
3.设f (x )=(x 2−a 2)g (x ),其中g (x )在x =a 处连续,求f′(a)
4.y =f (x 2),f ′(x )=arc tan x 2,求dy dx |x=1
5.求由参数方程{
x =2cos t y =sin t
所确定的函数y =y (x )的二阶导数
四、lim x→+∞(√x 2+ax +1−bx +2)=0,求a,b (本题8分)
五、设曲线y =f (x )在原点处与y =sin x 相切,a,b 为常数,且ab ≠0,试求极限 lim x→0f (ax )+f(bx)sin x (本题8分)
六、设f (x )={e x 3,x ≤1ax +b,x >1
问a,b 取何值时f′(1)存在 (本题8分)
七、设函数f(x)具有二阶连续导数,且lim
x→0f(x)x =0,f ′′(0)=4,求 lim x→0[1+f(x)x ]1x
(本题8分)
八、已知函数f (x )在[0,1]上连续,在(0,1)内可导,f (0)=0,f (1)=1证明:
(1).存在ξ∈(0,1),使得f (ξ)=1−ξ
(2).存在两个不同的点η,ζ∈(0,1),使得f ′(η)f ′(ζ)=1 (本题8分)。