最新人教版初二数学上册分式的计算试题
- 格式:doc
- 大小:105.50 KB
- 文档页数:4
人教版八年级上册数学第15章《分式》单元测试卷一.选择题(共10小题,满分30分)1.下列式子中,属于分式的是()A.B.C.D.2.分式的值是零,则x的值为()A.3B.﹣3C.3或﹣3D.03.已知某新型感冒病毒的直径约为0.000002022米,将0.000002022用科学记数法表示为()A.2.022×10﹣5B.0.2022×10﹣5C.2.022×10﹣6D.20.22×10﹣74.计算的结果是()A.B.C.D.5.在①x2﹣x+,②﹣3=a+4,③+5x=6,④=1中,其中关于x的分式方程的个数为()A.1B.2C.3D.46.如果把分式中的x、y的值都扩大2倍,那么分式的值()A.扩大2倍B.扩大4倍C.扩大6倍D.不变7.若将分式与通分,则分式的分子应变为()A.6m2﹣6mn B.6m﹣6nC.2(m﹣n)D.2(m﹣n)(m+n)8.分式,的最简公分母是()A.a B.ab C.3a2b2D.3a3b39.计算结果等于2的是()A.|﹣2|B.﹣|2|C.2﹣1D.(﹣2)0 10.已知,则的值是()A.66B.64C.62D.60二.填空题(共10小题,满分30分)11.分式的最简公分母是.12.要使分式有意义,则分式中的字母b满足条件.13.若表示一个整数,则整数x可取的个数有个.14.约分:=.15.方程的解是.16.若解分式方程产生增根,则m=.17.用漫灌方式给绿地浇水,a天用水10吨,改用喷灌方式后,10吨水可以比原来多用5天,那么喷灌比漫灌平均每天节约用水吨.18.已知若x﹣=3,则x2+=.19.将分式化为最简分式,所得结果是.20.扶贫工作小组对果农进行精准扶贫,帮助果农将一种有机生态水果拓宽了市场.与去年相比,今年这种水果的产量增加了1000千克,每千克的平均批发价比去年降低了1元,批发销售总额比去年增加了20%.已知去年这种水果批发销售总额为10000元,则这种水果今年每千克的平均批发价是元.三.解答题(共7小题,满分90分)21.神舟十三号飞船搭载实验项目中,四川省农科院生物技术研究所共有a粒水稻种子,每粒种子质量大约0.0000325千克;甘肃省天水市元帅系苹果的b粒干燥种粒,每粒种子质量大约0.002275千克,参与航天搭载诱变选育.(1)用科学记数法表示上述两个数.(2)若参与航天搭载这两包种子的质量相等,求的值.(3)若这两包种子的质量总和为1.04千克,水稻种子粒数是苹果种子粒数10倍,求a,b的值.22.若式子无意义,求代数式(y+x)(y﹣x)+x2的值.23.下列分式中,哪些是最简分式?,,;,,,.24.(1)计算:;(2)解不等式组:.25.若关于x 的方程有增根,求实数m的值.26.一船在河流上游A港顺流而下直达B港,用一个小时将货物装船后返航,已知船在静水中的速度是50千米/时,A、B两地距离为150千米,则该船从A港出发到返回A港共用了7.25小时,如果设水流速度是x千米/时,那么x应满足怎样的方程?27.阅读理解材料:为了研究分式与分母x的变化关系,小明制作了表格,并得到如下数据:x…﹣4﹣3﹣2﹣101234…10.50.0.25……﹣0.25﹣0.﹣0.5﹣1无意义从表格数据观察,当x>0时,随着x 的增大,的值随之减小,并无限接近0;当x<0时,随着x 的增大,的值也随之减小.材料2:对于一个分子、分母都是多项式的分式,当分母的次数高于分子的次数时,我们把这个分式叫做真分式.当分母的次数不低于分子的次数时,我们把这个分式叫做假分式.有时候,需要把一个假分式化成整式和真分式的代数和,像这种恒等变形,称为将分式化为部分分式.如:.根据上述材料完成下列问题:(1)当x>0时,随着x的增大,1+的值(增大或减小);当x<0时,随着x的增大,的值(增大或减小);(2)当x>1时,随着x的增大,的值无限接近一个数,请求出这个数;(3)当0≤x≤2时,求代数式值的范围.。
人教版八年级数学上册《15.2分式的运算》练习题-附带答案一、单选题1.化简的结果为()A.a B.C.D.2.下列计算正确的是()A.B.C.D.3.已知则A=()A.B.C.D.x2﹣14.当分式与经过计算后的结果是时则它们进行的运算是()A.分式的加法B.分式的减法C.分式的乘法D.分式的除法5.已知实数a、b满足且则的值为()A.-2 B.-1 C.1 D.26.如果那么的值是()A.正数B.负数C.零D.不确定7.已知那么之间的大小关系是()A.B.C.D.8.一项工程甲单独做需要m天完成乙单独做需要n天完成则甲、乙合作完成工程需要的天数为()A.m+n B.C.D.二、填空题9..10.计算: = .11.将写成只含有正整数指数幂的形式:.12.若a≠0 b≠0 且4a﹣3b=0 则的值为.13.我们常用一个大写字母来表示一个代数式已知则化简的结果为.三、计算题14.计算下列各小题(1)(2)(3)15.先化简再求值:其中.16.先化简再求值:其中x取不等式组的整数解中的一个值.17.老师所留的作业中有这样一个分式的计算题甲、乙两位同学完成的过程分别如下:甲同学:=第一步=第二步乙同学:=第一步=第二步=第三步=第三步老师发现这两位同学的解答过程都有错误.(1)请你从甲、乙两位同学中选择一位同学的解答过程帮助他分析错因并加以改正.我选择同学的解答过程进行分析(填“甲”或“乙”).该同学的解答从第步开始出现错误错误的原因是(2)请重新写出完成此题的正确解答过程:参考答案:1.A2.D3.B4.A5.A6.B7.B8.C9.110.211.12.-13.14.(1)解:原式(2)解:原式(3)解:原式.15.解:原式当时原式.16.解:===解不等式组得2≤x<5整数解有2 3 4因为x不能取2和4 所以x只能取3当x=3时原式=-217.(1)甲/乙一/二通分时第一个分式的分子少乘了x-1/直接去掉分母(2)解:(选甲为例)===。
人教版数学八年级上册计算及分式方程精选题一.解答题(共30小题)1.先化简,再求值(x﹣1)(x﹣2)﹣(x+1)2,其中x=.2.化简:5x2y﹣2xy2﹣5+3xy(x+y)+1,并说出化简过程中所用到的运算律.3.计算:(x+3)(x﹣5)﹣x(x﹣2).4.化简:a(2﹣a)﹣(3+a)•(3﹣a)5.利用幂的运算性质计算:3××.6.已知a x=5,a x+y=30,求a x+a y的值.7.已知a x=3,a y=2,求a x+2y的值.8.计算:(﹣2x2y)3•3(xy2)2.9.(﹣3x2y2)2•2xy+(xy)5.10.﹣6ab(2a2b﹣ab2)11.观察下列各式(x﹣1)(x+1)=x2﹣1(x﹣1)(x2+x+1)=x3﹣1(x﹣1)(x3+x2+x+1)=x4﹣1…①根据以上规律,则(x﹣1)(x6+x5+x4+x3+x2+x+1)=.②你能否由此归纳出一般性规律:(x﹣1)(x n+x n﹣1+…+x+1)=.③根据②求出:1+2+22+…+234+235的结果.12.若(x+a)(x+2)=x2﹣5x+b,则a+b的值是多少?13.化简:(x+5)(2x﹣3)﹣2x(x2﹣2x+3)14.计算:(x+2)(x﹣1)﹣3x(x+3)15.(2a+1)(a﹣1)﹣2a(a+1)16.已知x+1与x﹣k的乘积中不含x项,求k的值.17.已知x+y=3,(x+3)(y+3)=20.(1)求xy的值;(2)求x2+y2+4xy的值.18.先化简,再求值.已知|m﹣1|+(n+)2=0,求(﹣m2n+1)(﹣1﹣m2n)的值.19.已知x m=5,x n=7,求x2m+n的值.20.已知3×9m×27m=321,求m的值.21.计算:(1)(﹣1)2016+x0﹣+(2)÷.22.计算﹣.23.(1)化简:﹣(2)解不等式组,并写出它的整数解.24.化简:a﹣b﹣.25.化简:.26.化简:+.27.已知(1)化简A;(2)若x满足不等式组,且x为整数时,求A的值.28.化简:(1+)÷.29.化简:(x﹣5+)÷.30.化简:(x﹣)÷.人教版数学八年级上册计算及分式方程精选题参考答案与试题解析一.解答题(共30小题)1.(2016•常州)先化简,再求值(x﹣1)(x﹣2)﹣(x+1)2,其中x=.【分析】根据多项式乘以多项式先化简,再代入求值,即可解答.【解答】解:(x﹣1)(x﹣2)﹣(x+1)2,=x2﹣2x﹣x+2﹣x2﹣2x﹣1=﹣5x+1当x=时,原式=﹣5×+1=﹣.【点评】本题考查了多项式乘以多项式,解决本题的关键是熟记多项式乘以多项式.2.(2016•厦门校级模拟)化简:5x2y﹣2xy2﹣5+3xy(x+y)+1,并说出化简过程中所用到的运算律.【分析】先依据单项式乘多项式的法则进行计算,然后再依据同类项法则进行计算即可.【解答】解:原式=5x2y﹣2xy2﹣5+3x2y+3xy2+1(乘法的分配律)=8x2y+xy2﹣4(乘法的分配律).【点评】本题主要考查的是单项式乘多项式法则,合并同类项法则的应用,熟练掌握相关法则是解题的关键.3.(2016•濉溪县三模)计算:(x+3)(x﹣5)﹣x(x﹣2).【分析】根据多项式与多项式相乘的法则、单项式与多项式相乘的法则以及合并同类项法则计算即可.【解答】解:原式=x2﹣5x+3x﹣15﹣x2+2x=﹣15.【点评】本题考查的是多项式乘多项式,掌握多项式与多项式相乘的法则:多项式与多项式相乘,先用一个多项式的每一项乘另外一个多项式的每一项,再把所得的积相加是解题的关键.4.(2016•南平模拟)化简:a(2﹣a)﹣(3+a)•(3﹣a)【分析】直接利用单项式乘以多项式以及平方差公式化简求出答案.【解答】解:a(2﹣a)﹣(3+a)•(3﹣a)=2a﹣a2﹣(9﹣a2)=2a﹣9.【点评】此题主要考查了单项式乘以多项式以及平方差公式,正确掌握运算法则是解题关键.5.(2016春•杨浦区期末)利用幂的运算性质计算:3××.【分析】根据同底数幂的乘法计算即可.【解答】解:原式=3×××=3×=3×2=6.【点评】本题考查了同底数幂的乘法,解题时牢记定义是关键.6.(2016春•长春校级期末)已知a x=5,a x+y=30,求a x+a y的值.【分析】首先根据同底数幂的乘法法则:同底数幂相乘,底数不变,指数相加,求出a y的值是多少;然后把a x、a y的值相加,求出a x+a y的值是多少即可.【解答】解:∵a x=5,a x+y=30,∴a y=a x+y﹣x=30÷5=6,∴a x+a y=5+6=11,即a x+a y的值是11.【点评】此题主要考查了同底数幂的乘法法则:同底数幂相乘,底数不变,指数相加,要熟练掌握,解答此题的关键是要明确:①底数必须相同;②按照运算性质,只有相乘时才是底数不变,指数相加.7.(2016春•湘潭期末)已知a x=3,a y=2,求a x+2y的值.【分析】直接利用同底数幂的乘法运算法则将原式变形进而将已知代入求出答案.【解答】解:∵a x=3,a y=2,∴a x+2y=a x×a2y=3×22=12.【点评】此题主要考查了同底数幂的乘法运算以及幂的乘方运算,正确应用同底数幂的乘法运算法则是解题关键.8.(2016春•新化县期末)计算:(﹣2x2y)3•3(xy2)2.【分析】先依据积的乘方公式进行计算,然后再依据单项式乘单项式法则计算即可.【解答】(1)原式=﹣8x6y3•3x2y4=﹣24x8y7.【点评】本题主要考查的是单项式乘单项式、积的乘方、幂的乘方,掌握相关法则是解题的关键.9.(2016春•青岛校级期末)(﹣3x2y2)2•2xy+(xy)5.【分析】根据积的乘方等于乘方的积,可得单项式的乘法,根据单项式的乘法,可得同类项,根据合并同类项,可得答案.【解答】解:原式=9x4y4•2xy+x5y5=18x5y5+x5y5=19x5y5.【点评】本题考查了积的乘方、单项式的乘法、合并同类项,熟记法则并根据法则计算是解题关键.10.(2016春•石景山区期末)﹣6ab(2a2b﹣ab2)【分析】根据单项式与多项式相乘的运算法则计算即可.【解答】解:原式=﹣6ab•2a2b+6ab•ab2=﹣12a3b2+2a2b3.【点评】本题考查的是单项式乘多项式,单项式与多项式相乘的运算法则:单项式与多项式相乘,就是用单项式去乘多项式的每一项,再把所得的积相加.11.(2016春•东阿县期末)观察下列各式(x﹣1)(x+1)=x2﹣1(x﹣1)(x2+x+1)=x3﹣1(x﹣1)(x3+x2+x+1)=x4﹣1…①根据以上规律,则(x﹣1)(x6+x5+x4+x3+x2+x+1)=x7﹣1.②你能否由此归纳出一般性规律:(x﹣1)(x n+x n﹣1+…+x+1)=x n+1﹣1.③根据②求出:1+2+22+…+234+235的结果.【分析】①观察已知各式,得到一般性规律,化简原式即可;②原式利用得出的规律化简即可得到结果;③原式变形后,利用得出的规律化简即可得到结果.【解答】解:①根据题意得:(x﹣1)(x6+x5+x4+x3+x2+x+1)=x7﹣1;②根据题意得:(x﹣1)(x n+x n﹣1+…+x+1)=x n+1﹣1;③原式=(2﹣1)(1+2+22+…+234+235)=236﹣1.故答案为:①x7﹣1;②x n+1﹣1;③236﹣1【点评】此题考查了多项式乘以多项式,弄清题中的规律是解本题的关键.12.(2016春•长春校级期末)若(x+a)(x+2)=x2﹣5x+b,则a+b的值是多少?【分析】根据多项式与多项式相乘的法则把等式的左边展开,根据题意列出算式,求出a、b的值,计算即可.【解答】解:(x+a)(x+2)=x2+(a+2)x+2a,则a+2=﹣5,2a=b,解得,a=﹣7,b=﹣14,则a+b=﹣21.【点评】本题考查的是多项式乘多项式,多项式与多项式相乘的法则:多项式与多项式相乘,先用一个多项式的每一项乘另外一个多项式的每一项,再把所得的积相加.13.(2016春•门头沟区期末)化简:(x+5)(2x﹣3)﹣2x(x2﹣2x+3)【分析】根据单项式乘多项式和多项式乘多项式法则把原式展开,根据合并同类项法则计算即可.【解答】解:(x+5)(2x﹣3)﹣2x(x2﹣2x+3)=2x2﹣3x+10x﹣15﹣2x3+4x2﹣6x=﹣2x3+6x2+x﹣15.【点评】本题考查的是单项式乘多项式和多项式乘多项式,多项式与多项式相乘的法则:多项式与多项式相乘,先用一个多项式的每一项乘另外一个多项式的每一项,再把所得的积相加.14.(2016春•扬州期末)计算:(x+2)(x﹣1)﹣3x(x+3)【分析】原式利用多项式乘以多项式,单项式乘以多项式法则计算,去括号合并即可得到结果.【解答】解:原式=x2﹣x+2x﹣2﹣3x2﹣9x=﹣2x2﹣8x﹣2.【点评】此题考查了多项式乘多项式,以及单项式乘多项式,熟练掌握运算法则是解本题的关键.15.(2016春•青岛校级期末)(2a+1)(a﹣1)﹣2a(a+1)【分析】根据多项式的乘法,可得整式的加减,根据整式的加减,可得答案;【解答】解:原式=2a2﹣2a+a﹣1﹣2a2﹣2a=﹣3a﹣1.【点评】本题考查了多项式的乘法、整式的加减,熟记法则并根据法则计算是解题关键.16.(2016春•埇桥区期末)已知x+1与x﹣k的乘积中不含x项,求k的值.【分析】根据多项式的乘法,可得整式,根据整式不含x项,可得关于k的方程,根据解方程,可得答案.【解答】解:由(x+1)(x﹣k)=x2+(1﹣k)x﹣k,得x的系数为1﹣k.若不含x项,得1﹣k=0,解得k=1.【点评】本题考查了多项式乘多项式,利用整式不含x项得出关于k的方程是解题关键.17.(2016春•常州期末)已知x+y=3,(x+3)(y+3)=20.(1)求xy的值;(2)求x2+y2+4xy的值.【分析】(1)先根据多项式乘以多项式法则展开,再把x+y=3代入,即可求出答案;(2)先根据完全平方公式变形,再代入求出即可.【解答】解:(1)∵x+y=3,(x+3)(y+3)=xy+3(x+y)+9=20,∴xy+3×3+9=20,∴xy=2;(2)∵x+y=3,xy=2,∴x2+y2+4xy=(x+y)2+2xy=32+2×2=13.【点评】本题考查了多项式乘以多项式的应用,能熟记多项式乘以多项式法则和乘法公式是解此题的关键.18.(2016春•户县期末)先化简,再求值.已知|m﹣1|+(n+)2=0,求(﹣m2n+1)(﹣1﹣m2n)的值.【分析】先根据非负数的性质,求出m,n的值,再根据多项式乘以多项式,即可解答.【解答】解:∵|m﹣1|+(n+)2=0,∴m﹣1=0,n+=0,∴m=1,n=﹣,∴(﹣m2n+1)(﹣1﹣m2n)=m2n+m4n2﹣1﹣m2n=m4n2﹣1==1×﹣1==﹣.【点评】本题考查了多项式乘以多项式,解决本题的关键是熟记多项式乘以多项式.19.(2016春•港南区期中)已知x m=5,x n=7,求x2m+n的值.【分析】根据同底数幂的乘法,即可解答.【解答】解:∵x m=5,x n=7,∴x2m+n=x m•x m•x n=5×5×7=175.【点评】本题考查了同底数幂的乘法,解决本题的关键是熟记同底数幂的乘法法则.20.(2016春•淮阴区期中)已知3×9m×27m=321,求m的值.【分析】先把9m×27m分解成32m×33m,再根据同底数幂的乘法法则进行计算即可求出m 的值.【解答】解:∵3×9m×27m=3×32m×33m=31+2m+3m=321,∴1+2m+3m=21,∴m=4.【点评】此题考查了同底数幂的乘法,幂的乘方与积的乘方,理清指数的变化是解题的关键.21.(2016•徐州)计算:(1)(﹣1)2016+x0﹣+(2)÷.【分析】(1)先计算负整数指数幂、零指数幂、化简二次根式然后计算加减法;(2)利用完全平方公式、平方差公式、化除法为乘法进行约分化简.【解答】解:(1)原式=1+1﹣3+2=1;(2)原式=×=x.【点评】本题考查了分式的乘除法、实数的运算以及负整数指数幂等知识点,属于基础题.22.(2016•南京)计算﹣.【分析】首先进行通分运算,进而合并分子,进而化简求出答案.【解答】解:﹣=﹣==.【点评】此题主要考查了分式的加减运算,正确进行通分运算是解题关键.23.(2016•青岛)(1)化简:﹣(2)解不等式组,并写出它的整数解.【分析】(1)原式通分并利用同分母分式的减法法则计算即可得到结果;(2)分别求出不等式组中两不等式的解集,找出解集的公共部分确定出不等式组的解集,确定出整数解即可.【解答】解:(1)原式=﹣==;(2),由①得:x≤1,由②得:x≥﹣2,则不等式组的解集为﹣2≤x≤1,则不等式组的整数解为﹣2,﹣1,0,1.【点评】此题考查了分式的加减法,以及解一元一次不等式组,熟练掌握运算法则是解本题的关键.24.(2016•福州)化简:a﹣b﹣.【分析】先约分,再去括号,最后合并同类项即可.【解答】解:原式=a﹣b﹣(a+b)=a﹣b﹣a﹣b=﹣2b.【点评】此题考查了分式的加减法,熟练掌握运算法则是解本题的关键.25.(2016•十堰)化简:.【分析】首先把第一个分式的分子、分母分解因式后约分,再通分,然后根据分式的加减法法则分母不变,分子相加即可.【解答】解:=++2=++2=++==【点评】本题考查了分式的加减法法则、分式的通分、约分以及因式分解;熟练掌握分式的通分是解决问题的关键.26.(2016•甘孜州)化简:+.【分析】先通分变为同分母分式,然后再相加即可解答本题.【解答】解法一:+=+==.解法二:+=+=+=.【点评】本题考查分式的加减法,解题的关键是明确分式的加减法的计算方法.27.(2016•毕节市)已知(1)化简A;(2)若x满足不等式组,且x为整数时,求A的值.【分析】(1)原式第一项利用除法法则变形,约分后两项通分并利用同分母分式的减法法则计算即可得到结果;(2)分别求出不等式组中两不等式的解集,找出解集的公共部分确定出不等式组的解集,确定出整数x的值,代入计算即可求出A的值.【解答】解:(1)A=(x﹣3)•﹣1=﹣1==;(2),由①得:x<1,由②得:x>﹣1,∴不等式组的解集为﹣1<x<1,即整数x=0,则A=﹣.【点评】此题考查了分式的混合运算,以及一元一次不等式组的整数解,熟练掌握运算法则是解本题的关键.28.(2016•资阳)化简:(1+)÷.【分析】首先把括号内的式子通分相加,把除法转化为乘法,然后进行乘法运算即可.【解答】解:原式=÷=•=a﹣1.【点评】本题主要考查分式的混合运算,通分、因式分解和约分是解答的关键.29.(2016•陕西)化简:(x﹣5+)÷.【分析】根据分式的除法,可得答案.【解答】解:原式=•=(x﹣1)(x﹣3)=x2﹣4x+3.【点评】本题考查了分式混合运算,利用分式的除法转化成分式的乘法是解题关键.30.(2016•成都)化简:(x﹣)÷.【分析】原式括号中两项通分并利用同分母分式的减法法则计算,同时利用除法法则变形,约分即可得到结果.【解答】解:原式=•=•=x+1.【点评】此题考查了分式的混合运算,熟练掌握运算法则是解本题的关键.。
人教版八年级数学上册分式运算分式方程练习题一、单选题1.当分式31x -有意义时,字母x 应满足( ) A.1x ≠-B.0x =C.1x ≠D.0x ≠ 2.若分式2a a b+中的a b ,的值同时扩大到原来的10倍,则分式的值( ) A.是原来的20倍 B.是原来的10倍 C.是原来的110 D.不变3.如果1m n +=,那么代数式()22221m n m n m mn m +⎛⎫+⋅- ⎪-⎝⎭的值为( ) A.3-B.1-C.1D.3 4.如果2220m m +-=,那么代数式2442m m m m m +⎛⎫+⋅ ⎪+⎝⎭的值是( ) A.-2 B.-1 C.2 D.35.计算2222ab ab a b a b-÷-+的结果是( ) A.22ab b -+ B.2b a b -+ C.22ab b -- D.2b a b-- 6.在分式2222424312,,,412y x x x xy y a ab a x x y ab b +--++-+-中,是最简分式的有( ) A.1个 B.2个 C.3个 D.4个7.若分式22969x x x -++的值为0,则x 的值为( ) A.3 B.3± C.9 D.9±8.计算2422a a a a a a -⎛⎫-⋅ ⎪-+⎝⎭的结果是( ) A.4- B.4 C.2a D.2a -9.老师设计了接力游戏,用合作的方式完成分式化简,规则:每人只能看到前一人给的式子,并进行一步计算,再将结果传递给下一人,最后完成化简.过程如图所示:接力中,自己负责的一步出现错误的是( )A.只有乙B.甲和丁C.乙和丙D.乙和丁 10.计算2235325953x x x x x ÷⋅--+的结果为( ) A.223x B.2(53)3x + C.253x x - D.2159x x - 11.计算2n n m m m ⎛⎫-÷ ⎪-⎝⎭的结果是( ) A.1m -- B. 1m -+ C. mn m -- D.mn n -- 12.计算2221121a a a a a a --⋅+-+结果是( ) A.1a B.a C.11a a +- D.11a a -+ 13.计算222105a b a b ab a b +⋅-的结果为( ) A.2a b - B.a a b - C.b a b - D.2a a b- 14.计算3362b a b a-⋅的结果为( ) A.223a bB.223a b -C.229a b -D.229a b 15.把分式2112,,2(2)(3)(3)x x x x --++通分,下列结论不正确的是( ) A.最简公分母是2(2)(3)x x -+ B.221(3)2(2)(3)x x x x +=--+C.213(2)(3)(2)(3)x x x x x +=-+-+D.22222(3)(2)(3)x x x x -=+-+ 16.化简分式222()x y y x --的结果是( ) A.1- B.1 C.x y y x +- D.x y x y+- 二、计算题17.计算:1.2222255343x y m n xym mn xy n÷ 2.222132(1)441x x x x x x x-++÷+++- 18.先化简,再求值:2221211x x x x x x--+÷+-,其中2x =-. 三、填空题19.计算293242a a a a-+÷--的结果为_________. 20.如果23a b =,那么22242a b a ab --的值是____________. 21.如果2220m m +-=,那么244()2m m m m m ++⋅+的值是 . 参考答案1.答案:C解析:当10x -≠时,分式有意义。
答卷时应注意事项1、拿到试卷,要认真仔细的先填好自己的考生信息。
2、拿到试卷不要提笔就写,先大致的浏览一遍,有多少大题,每个大题里有几个小题,有什么题型,哪些容易,哪些难,做到心里有底;3、审题,每个题目都要多读几遍,不仅要读大题,还要读小题,不放过每一个字,遇到暂时弄不懂题意的题目,手指点读,多读几遍题目,就能理解题意了;容易混乱的地方也应该多读几遍,比如从小到大,从左到右这样的题;4、每个题目做完了以后,把自己的手从试卷上完全移开,好好的看看有没有被自己的手臂挡住而遗漏的题;试卷第1页和第2页上下衔接的地方一定要注意,仔细看看有没有遗漏的小题;5、中途遇到真的解决不了的难题,注意安排好时间,先把后面会做的做完,再来重新读题,结合平时课堂上所学的知识,解答难题;一定要镇定,不能因此慌了手脚,影响下面的答题;6、卷面要清洁,字迹要清工整,非常重要;7、做完的试卷要检查,这样可以发现刚才可能留下的错误或是可以检查是否有漏题,检查的时候,用手指点读题目,不要管自己的答案,重新分析题意,所有计算题重新计算,判断题重新判断,填空题重新填空,之后把检查的结果与先前做的结果进行对比分析。
亲爱的小朋友,你们好!经过两个月的学习,你们一定有不小的收获吧,用你的自信和智慧,认真答题,相信你一定会闯关成功。
相信你是最棒的!第十五章 分式15.1分式专题一 分式有意义的条件、分式的值为0的条件1.使代数式有意义,那么x 的取值范围是( ) A .x ≥0 B .x ≠1 C .x >0 D .x ≥0且x ≠12.如果分式的值为0,则x 的值应为 .3.若分式的值为零,求x 的值.专题二 约分4.化简的结果是( ) A .2n 2 B . C . D .5.约分:=____________.6.从下列三个代数式中任选两个构成一个分式,并将它化简:4x 2-4xy +y 2,4x 2-y 2,2x -y .状元笔记【知识要点】1.分式的概念一般地,如果A ,B 表示两个整式,并且B 中含有字母,那么式子叫做分式.2.分式的基本性质分式的分子与分母乘(或除以)同一个不等于0的整式,分式的值不变.用式子表示为:x x -123273x x --2299x x x --6+222m mn n m mn-2+-m n m -m n m n -+m n m+29()2727a y x x y--A B=,=(其中A ,B ,C 是整式,C ≠0).3.约分与通分约分:根据分式的基本性质,把一个分式的分子与分母的公因式约去,叫做分式的约分.通分:根据分式的基本性质,把几个异分母的分式分别化成与原来的分式相等的同分母的分式,叫做分式的通分.【温馨提示】1.分式的值为0受到分母不等于0的限制,“分式的值为0”包含两层意思:一是分式有意义,二是分子的值为0,不要误解为“只要分子的值为0,分式的值就是0”.2.分式的基本性质中的A 、B 、C 表示的都是整式,且C ≠0.3.分子、分母必须“同时”乘C (C ≠0),不要只乘分子(或分母).4.性质中“分式的值不变”这句话的实质,是当字母取同一值(零除外)时,变形前后分式的值是相等的.但是变形前后分式中字母的取值范围是变化的.【方法技巧】1.分式的符号法则可总结为:一个负号随意跑,两个负号都去掉.就是说,分式中若出现一个负号,则此负号可“随”我们的“意”(即根据题目要求)跑到分子、分母以及分式本身三者中的任何一个位置上;若分式中出现两个负号,则可以将这两个负号同时去掉.2.分式的分子、分母系数化整问题的基本做法是分式的分子、分母都乘同一个“适当”的不为零的数,这里的“适当”的数又分两种情况:若分式分子、分母中的系数都是分数时,“适当”的数就是分子、分母中各项系数的所有分母的最小公倍数;若分式的分子、分母中各项系数是小数时,则“适当的数”就是10n ,其中n 是分子、分母中各项系数的小数点后最多的位数.最后根据情况需要约分时,则要约分.A B C B C A ⋅⋅A B A C B C÷÷参考答案:1.D 解析:根据题意得:x≥0且x -1≠0.解得x≥0且x≠1.故选D .2.-3 解析:根据分式值为0,可得,解得x =-3.3.解:∵的值为0,∴x 2-9=0且x 2-6x +9≠0.解x 2-9=0,得x =±3.当x =3时,x 2-6x +9=32-6×3+9=0,故x =3舍去.当x =-3时,x 2-6x +9=(-3)2-6×(-3)+9=36.∴当分式的值为0时,x =-3.4.B 解析:==.故选B .5. 解析:===.6.解:答案不唯一,如:==.⎩⎨⎧≠-=-0302732x x 2299x x x --6+2299x x x --6+222m mn n m mn -2+-2()()m n m m n --m n m -3ax ay -29()2727a y x x y --29()27()a x y x y --()3a x y -3ax ay -2222444x xy y x y -+-2(2)(2)(2)x y x y x y -+-22x y x y -+。
15.2 分式的运算知识要点: 1.分式的乘除 ①乘法法则:db c a d c b a ⋅⋅=⋅。
分式乘分式,用分子的积作为积的分子,分母的积作为积的分母。
②除法法则:cb d acd b a d c b a ⋅⋅=⋅=÷。
分式除以分式,把除式的分子、分母颠倒位置后,与被除式相乘。
③分式的乘方:nn n a a b b ⎛⎫= ⎪⎝⎭。
分式乘方要把分子、分母分别乘方。
④整数负指数幂:1nna a -=。
2.分式的加减同分母分式相加减,分母不变,把分子相加减;异分母分式相加减,先通分,变为同分母的分式,再加减。
①同分母分式的加减:a b a b c c c±±=; ②异分母分式的加法:a c ad bc ad bcb d bd bd bd±±=±=一、单选题 1.化简a ÷b •1b的结果是( ) A .2a b B .aC .ab 2D .ab2.化简的结果是( )A.x +3B.x –9C.x -3D.x +93.计算的结果为( )A. B. C.D.4.下列计算正确的是( ) A.B.C.D.5.已知P=999999,Q= 990119,则P 、Q 的大小关系是( )A .P >QB .P =QC .P <QD .无法确定6.化简2m mn mnm n m n +÷--的结果是( ) A .m nn+B .2m m n-C .m nn- D .2m7.计算22m n m n n m+--的结果为( ) A.22m n + B.m n + C.m n - D.n m -8.化简的结果是( )A.x+1B.C.x-1D.9.若分式运算结果为 ,则在“□”中添加的运算符号为( )A.+B.—C.—或÷D.+或×10.清代诗人袁枚的一首诗《苔》中写到:“白日不到处,青春恰自来.苔花如米小,也学牡丹开”,若苔花的花粉直径约为0.0000084米,用科学记数法表示0.0000084( )A .68.410⨯B .78410-⨯C .50.8410-⨯D .68.410-⨯11.22--的值是( ) A.4 B.4-C.14-D.14二、填空题12.若3m =4,3n =2,则92m-n =________.13.某种生物孢子的直径为0.0000016cm ,把该数用科学记数法表示为________.14.计算:20191009142⎛⎫-⨯= ⎪⎝⎭______.15.()0201927318--⎛⎫-+-+-= ⎪⎝⎭__________________.16.老师设计了接力游戏,甲、乙、丙、丁四位同学用合作的方式完成分式化简规则是:每人只能看到前一人给的式子,并进行一步计算,再将结果传递给下一人,最后完成化简过程如图所示接力中,自己负责的一步出现错误的同学是_____.三、解答题 17.计算:(1)×3-21()2-+|1;(2)2m n mm n n m++--. 18.(1)计算:()1132π-⎛⎫-+ ⎪⎝⎭(2)化简:()()()32223x x y x y x yxy -++÷19.先化简,再求值:22923693x x x x x x -⎛⎫+-- ⎪+++⎝⎭,其中1x =-.20.阅读下面的解题过程已知2212374y y =++,求代数式21461y y +-的值. 解:由2212374y y =++,取倒数得,223742y y ++=,即2231y y +=, 所以()2246122312111y y y y +-=+-=⨯-=则可得211461y y =+-. 该题的解题方法叫做“倒数法”,请你利用“倒数法”解下面的题目:已知32321x x +=+++,求35--2242x x x x -⎛⎫÷ ⎪--⎝⎭的值.答案1.A 2.C 3.B 4.D 5.B6.A7.B8.A9.C10.D 11.C 12.64 13.-61.610⨯14.1 2 -15.1 9 -16.乙和丁17.(1) 225;(2) -1 18.(1)3;(2)25x;19.4x-;-5.2032+。
八年级上册数学分式综合题人教版一、单选题(共9道,每道11分)1.在下列各式,,,,,,中,分式的个数为()A.2个B.3个C.4个D.5个答案:C试题难度:三颗星知识点:分式定义2.分式有意义的条件为()A.x≠0且x≠1B.x≠1且x≠3C.x≠0,x≠1且x≠3D.x≠1,x≠2且x≠3答案:D试题难度:三颗星知识点:分式有意义的条件3.如果把分式中的、都扩大2倍,那么分式的值()A.缩小2倍B.扩大2倍C.扩大4倍D.不变答案:B试题难度:三颗星知识点:分式的基本性质4.若分式的值为整数,则整数x有()个。
A.1B.2C.3D.4答案:D试题难度:三颗星知识点:分式的值5.当分式的值为正时,x的范围为()A.B.C.D.答案:B试题难度:三颗星知识点:分式与不等式6.已知,则代数式的值为()A.B.C.4D.-2答案:C试题难度:三颗星知识点:整体代入7.如果,则A,B的值分别为()A.-1,1B.1,-1C.0,2D.2,0答案:A试题难度:三颗星知识点:分式加减逆运算8.先化简,然后从不等式组的解集中,从下面选项中选取你认为合适的一个整数x代入求值,那么应该选择,最后的结果为.()A.5,10B.-5,0C.4,9D.6,11答案:C试题难度:三颗星知识点:选取合适的值代入9.计算的值为()A.B.C.D.答案:B试题难度:三颗星知识点:有一分式分母为1。
(完整)新人教版数学八年级上册——分式练习题编辑整理:尊敬的读者朋友们:这里是精品文档编辑中心,本文档内容是由我和我的同事精心编辑整理后发布的,发布之前我们对文中内容进行仔细校对,但是难免会有疏漏的地方,但是任然希望((完整)新人教版数学八年级上册——分式练习题)的内容能够给您的工作和学习带来便利。
同时也真诚的希望收到您的建议和反馈,这将是我们进步的源泉,前进的动力。
本文可编辑可修改,如果觉得对您有帮助请收藏以便随时查阅,最后祝您生活愉快业绩进步,以下为(完整)新人教版数学八年级上册——分式练习题的全部内容。
分式练习题一、选择题:1、下列式子:,,1,1,32,32πn m b a a b a x x --++ 中是分式的有( )个 A 、5 B 、4 C 、3 D 、22、下列等式从左到右的变形正确的是( )A 、11++=a b a bB 、22a b a b =C 、b a bab =2 D 、am bm a b = 3、下列分式中是最简分式的是( )A 、a 24B 、112+-m mC 、122+m D 、m m --11 4、下列计算正确的是( )A 、m n n m =•÷1 B 、111=÷•÷m m m m C 、1134=÷÷m m m D 、nn m n 1=•÷ 5、计算32)32()23(mn n m •-的结果是( ) A 、m n 3 B 、m n 3- C 、m n 32 D 、m n 32- 6、计算yx y y x x ---的结果是( ) A 、1 B 、0 C 、y x xy - D 、y x y x -+ 7、化简nm m n m --+2的结果是( ) A 、n m B 、n m m --2 C 、n m n --2 D 、mn - 8、下列计算正确的是( )A 、1)1(0-=-B 、1)1(1=--C 、2233a a =- D 、235)()(a a a =-÷-- 9、如果关于x 的方程8778=----xk x x 无解,那么k 的值应为( ) A 、1 B 、—1 C 、1± D 、910、甲、乙两人做某一工程,如果两人合作,6天可以完成,如果单独工作,甲比乙少用5天,两人单独工作各需多少天完成?设乙单独工作x 天完成,则根据题意列出的方程是( )A 、61511=++x xB 、61511=-+x xC 、61511=--x xD 、61511=+-x x 二、填空题:11、分式a a -2,当a______时,分式的值为0;当a______时,分式无意义,当a______时,分式有意义 12、()22y x -xy x -=. 13、96,91,39222+----a a a a a a 的最简公分母是_____________. 14、=-÷-b a ab a 11_____________. 15、=-+-ab b b a a _____________. 16、=--2)21(_____________. 17、把0000000358.0-用科学记数法表示为______________ 18、如果方程3)1(2=-x m 的解是5,则m=________ 19、如果51=+-x x ,则=+-22x x ___________20、一轮船在顺水中航行100千米与在逆水中航行60千米所用的时间相等,已知水流速度为3千米/时,求该轮船在静水中的速度?设该轮船在静水中的速度为x 千米/时,则所列方程为___________________三、解答题21、计算:(1)21)2(11+-•+÷-x x x x (2)32232)()2(b a c ab ---÷ (3)2323()2()a a a ÷- (4)0142)3()101()2()21(-++-----π (5)222)()()(ba ab ab ab b a b a b -•-+-÷-(6)(3103124π--⎛⎫⎛⎫-⋅-÷ ⎪ ⎪⎝⎭⎝⎭ (7)2211y x xy y x y x -÷⎪⎪⎭⎫ ⎝⎛++-22、先化简,再求值)1121(1222+---÷--x x x x x x ,其中31-=x分式方程一. 选择题1.分式方程1321=-x 的解为( ) (A )2=x (B )1=x (C )1-=x (D )2-=x2.第六次火车大提速后,从北京到上海的火车运行速度提高了25%,运行时间缩短了2h 。
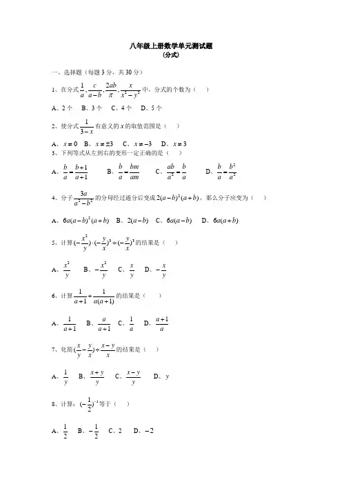
八年级上册数学单元测试题(分式)一、选择题(每题3分,共30分) 1、在分式22,2,,1y x x ab b a c a --π中,分式的个数为( ) A 、2个 B 、3个 C 、4个 D 、5个 2、使分式x-31有意义的x 的取值范围是( ) A 、0≠x B 、3±≠x C 、3-≠x D 、3≠x 3、下列等式从左到右的变形一定正确的是( )A 、11++=a b a b B 、am bm a b = C 、a b a ab =2 D 、22a b a b =4、分子223ba a -的分母经过通分后变成)()(22b a b a +-,那么分子应变为( ) A 、)()(62b a b a a +- B 、)(2b a - C 、)(6b a a - D 、)(6b a a +5、计算332)()()(xyx y y x -÷-⋅-的结果是( )A 、y x 2B 、yx 2- C 、y x D 、y x -6、计算)1(111+++a a a 的结果是( ) A 、11+a B 、1+a a C 、a 1 D 、aa 1+ 7、化简xyx x y y x -÷-)(的结果是( ) A 、y 1 B 、y y x + C 、yy x - D 、y 8、计算:1)21(--等于( )A 、21 B 、21- C 、2 D 、2-9、将数据37000用科学记数法表示为n107.3⨯,则n 的值为( ) A 、3 B 、4 C 、5 D 、6 10、把分式方程xx 142=+转化为一元一次方程时,方程两边需同乘( ) A 、x B 、x 2 C 、4+x D 、)4(+x x 二、填空题(每题4分,共24分)11、计算:xy xy 3232÷-= .12、计算:24123a ab += . 13、化简)11()12(x x x x -÷--的结果是 .14、若0112=--x ,则x = .15、若分式方程a x ax =+-1无解,则a 的值为 .16、杭州到北京的铁路长1487km .火车的原平均速度为h xkm /,提速后平均速度增加了h km /70,由杭州到北京的行驶时间缩短了3h ,则可列方程为 .三、解答题一(每题6分,共18分)17、通分:22-x x ;.23+x x 18、计算:cd b a c ab 4522223-÷19、计算:3132)(y x y x --四、解答题二(每题7分,共21分)20、先化简,再求值:)12(442-÷+-xx x x ,其中.22-=x21、解方程:21482-=+-x xx22、当k 为何值时,关于x 的方程)3)(2(321+-+=+--+x x kx x x x x 的解为负数.五、解答题三(每题9分,共27分)23、为了美化环境,某地政府计划对辖区内602km 的土地进行绿化,为了尽快完成任务,实际平均每月的绿化面积是原计划的1.5倍,结果提前2个月完成任务,求原计划平均每月的绿化面积.24、已知0,0≠=++abc c b a ,求)11()11()11(ba c c abc b a +++++的值.25、某服装厂购进一批甲、乙两种款型时尚T 恤衫,甲种款型共用了7800元,乙种款型共用了6400元,甲种款型的件数是乙种款型件数的1.5倍,甲种款型每件的进价比乙种款型每件的进价少30元.(1)甲、乙两种款型的T 恤衫各购进多少件? (2)商店将进价提高60%标价销售,销售一段时间后,甲款型全部售完,乙款型剩余一半,商店决定对乙款型按标价的五折降价销售,很快全部售完,求售完这批T 恤衫商店共获利多少元?分式参考答案一、BDCCB CBDBD 二、11、yx 292- 12、b a b a 246+ 13、1-x 14、3 15、1或1- 16、37014871487=+-x x 三、17、解:442)2)(2()2(22222-+=+-+=-x x x x x x x x x ;.463)2)(2()2(32322--=-+-=+x x x x x x x x x 18、解:原式2223542b a cd c ab -⨯==.521042223acbdc b a cd ab -=- 19、解:原式xy x y x y x 1013332===--- 四、20、解:原式22)2(2)2(22+-=-⋅--=-÷-=x x xx x x x x x , 当22-=x 时,原式.2222=++-=21、解:原方程可化为21)2)(2(8-=+-+x xx x ,去分母,得)2()2)(2(8+=-++x x x x , 解得2=x .检验:当2=x 时,0)2)(2(=-+x x ,所以2=x 是原方程的增根,即原方程无解.22、解:方程两边都乘)3)(2(+-x x ,整理得35-=k x ,解得53-=k x , 因为0<x ,所以053<-k ,解得3<k ,又因为2≠x 且3-≠x ,即253≠-k 且 353-≠-k ,所以13≠k 且.12-≠k综上可知,当3<k 且12-≠k 时,原分式方程的解为负数. 五、23、解:设原计划平均每月的绿化面积为2xkm ,实际平均每月的绿化面积是1.52km ,由题意得25.16060=-xx , 解得:10=x ,经检验10=x 是原方程的解. 答:原计划平均每月的绿化面积为10.2km24、解:.,,,0a c b b c a c b a c b a -=+-=+-=+∴=++∴原式)()()(cb c a b c b a a c a b b c a c c b a b c a b a +++++=+++++==.3-=-+-+-=+++++ccb b a ac b a b c a a c b 25、解:(1)设乙种款型的T 恤衫购进x 件,则甲种款型的T 恤衫购进x 5.1件,依题意,得xx 6400305.17800=+, 解得40=x ,经检验,40=x 是原分式方程的解,且符合题意,605.1=x , 答:甲种款型的T 恤衫购进60件,乙种款型的T 恤衫购进40件. (2)乙种进价1604064006400==x (元),甲种进价13030160=-(元), 64019204680)240(]5.0%)601(1[160)240(%6016060%60130-+=÷⨯⨯+-⨯-÷⨯⨯+⨯⨯=5960(元)答:售完这批T 恤衫,商店共获利5960元.。
2022学年八年级数学上册第十五章《分式》试题卷三(满分120分)一.选择题(共8小题,满分32分)1.下列各式中:﹣3x,,,,,分式的个数是()A.2B.3C.4D.52.无论a取何值,下列分式中,总有意义的是()A.B.C.D.3.把分式中的x、y都扩大3倍,则分式的值()A.扩大3倍B.扩大6倍C.缩小为原来的D.不变4.下列运算正确的是()A.B.C.D.5.化简的结果是()A.a+b B.a﹣b C.D.6.方程的解为()A.x=﹣1B.x=1C.x=0D.x=﹣37.照相机成像应用了一个重要原理,用公式表示,其中f表示照相机镜头的焦距,u 表示物体到镜头的距离,v表示胶片(像)到镜头的距离.用f,v表示物体到镜头的距离u,正确的是()A.B.C.D.8.为了改善生态环境,某社区计划在荒坡上种植600棵树,由于学生志愿者的加入,每日比原计划多种20%,结果提前1天完成任务.设原计划每天种树x棵,可列方程()A.=1B.=1C.=1D.=1二.填空题(共8小题,满分32分)9.如果分式的值为0,那么x的值为.10.已知x为整数,且分式的值为正整数,则x可取的值有.11.若,则的值是.12.计算:3xy2÷(﹣)3()2=.13.若关于x的分式方程=4有增根,则k=.14.关于x的分式方程无解,则m的值15.定义一种运算☆,规则为a☆b=+,根据这个规则,若x☆(x+1)=,则x=.16.若整数a既使得关于x的分式方程有整数解,又使得关于x,y的方程组的解为正数,则a=.三.解答题(共7小题,满分56分)17.化简:(x﹣1﹣)÷.18.化简求值:,其中a=2022.19.解下列方程:(1)=;(2)﹣=8.20.关于x的分式方程.(1)若方程的增根为x=2,求m的值;(2)若方程有增根,求m的值;(3)若方程无解,求m的值.21.请仿照例子解题:+=恒成立,求M、N的值.解:∵+=∴=则=即=,故,解得:请你按照上面的方法解题:若+=恒成立,求M、N的值.22.现有甲、乙、丙三种糖混合而成的什锦糖50千克,其中各种糖的千克数和单价如表所示,且商店以糖的平均价作为什锦糖的单价.请问:甲种糖乙种糖丙种糖千克数102020单价(元/千克)252015(1)这50千克什锦糖的单价是多少?(2)若要是什锦糖的单价每千克提高2元,问需加入甲种什锦糖多少千克?23.某天运动员小伟沿平路从家步行去银行办理业务,到达银行发现没有带银行卡(停留时间忽略不计),立即沿原路跑回家,已知平路上跑步的平均速度是平路上步行的平均速度的4倍,已知小伟家到银行的平路距离为2800米,小伟从离家到返回家共用50分钟.(1)求小伟在平路上跑步的平均速度是多少?(2)小伟找到银行卡后,发现离银行下班时间仅剩半小时,为了节约时间,小伟选择另外一条近的坡路去银行,小伟先上坡再下坡,用时9分钟到达银行,已知上坡的平均速度是平路上跑步的平均速度的,下坡的平均速度是平路上跑步的平均速度的,且上坡路程是下坡路程的2倍,求这段坡路的总路程是多少米?参考答案一.选择题(共8小题,满分32分)1.解:分式的个数是,,共2个.故选:A.2.解:A.当a=1时,分式没有意义.故本选项不合题意;B.当a=0时,分式没有意义.故本选项不合题意;C.当a=1时,分式没有意义.故本选项不合题意;D.因为a2≥0,所以2a2+1≠0,所以分式总有意义,故本选项符合题意.故选:D.3.解:由题意得:==,∴把分式中的x、y都扩大3倍,则分式的值扩大3倍,故选:A.4.解:A.==﹣,因此选项A不符合题意;B.==,因此选项B不符合题意;C.===﹣,因此选项C符合题意;D.是最简分式,不能约分,因此选项D不符合题意;故选:C.5.解:====a﹣b.故选:B.6.解:,x+5=6x,5x=5,x=1,经检验x=1是原方程的解,则方程的解为x=1.故选:B.7.解:∵=+,∴=﹣=,∴u=,故选:B.8.解:设原计划每天种x棵树,实际每天种树(1+20%)x棵树,由题意得:﹣=1.故选:D.二.填空题(共8小题,满分32分)9.解:如果分式的值为0,则,解得:x=1.故答案为:1.10.解:==2+,∵x为整数,且分式的值为正整数,∴=5或±1,∴x﹣1=1或5或﹣5,∴x=2或6或﹣4,∴满足条件的x可取的有2,6,﹣4.故答案为:2,6,﹣4.11.解:由,可以得到:a﹣b=﹣4ab,∴=.故的值是6.12.解:原式=3xy2÷(﹣)•=﹣3xy2••=﹣x2,故答案为:﹣x2.13.解:去分母,得x﹣k=4(x﹣3),将增根x=3代入x﹣k=4(x﹣3),得3﹣k=0,解得k=3,故答案为:3.14.解:将方程化简为,m+2=x﹣3,可得m=x﹣5,当x=3时,m=x﹣5=3﹣5=﹣2,∴当m=﹣2时,方程无解.故答案为:﹣2.15.解:根据给定的定义,得x☆(x+1)=,∴=,去分母,得2(x+1)+2x=3(x+1),解得x=1,经检验,x=1是原方程的根,故答案为:1.16.解:解方程得,x=,∵分式方程有整数解,且x≠1,∴a﹣3=﹣4或﹣2或﹣1或1或2或4,且a≠7,∴a=﹣1或1或2或4或5,解方程组得,,∵方程组的解为正数,∴,解得a>4,综上,a=5.故答案为:5.三.解答题(共7小题,满分56分)17.解:原式=•=•=.18.解:原式=•=•=•=,当a=2022时,原式=.19.解:(1)=,9(m﹣1)=8m,解得:m=9,检验:当m=9时,m(m﹣1)≠0,∴m=9是原方程的根;(2)﹣=8,x﹣8+1=8(x﹣7),解得:x=7,检验:当x=7时,x﹣7=0,∴x=7是原方程的增根,∴原方程无解.20.解:去分母,得:2(x+1)+mx=3(x﹣2),(1﹣m)x=8,(1)当方程的增根为x=2时,(1﹣m)×2=8,所以m=﹣3;(2)若原分式方程有增根,则(x+1)(x﹣2)=0,∴x=2或x=﹣1,当x=2时,(1﹣m)×2=8,所以m=﹣3;当x=﹣1时,(1﹣m)×(﹣1)=8,所以m=9,所以m的值为﹣3或9时,方程有增根;(3)当方程无解时,即当1﹣m=0时,(1﹣m)x=8无解,所以m=1;当方程有增根时,原方程也无解,即m=﹣3或m=9时,方程无解所以,当m=﹣3或m=9或m=1时方程无解.21.解:∵+==,∴M(x﹣2)+N(x+2)=x+8,∴(M+N)x﹣2M+2N=x﹣8,∴,解得:.22.解:(1)这50千克什锦糖的单价==19(元);(2)设加入甲种糖x千克,则什锦糖的总量为:(10+x+20+20)千克,根据题意得:=19+2,解得:x=25,经检验:x=25是原方程的解,答:需加入甲种糖25千克.23.解:(1)设小伟在平路上跑步的平均速度是x米/分钟,则小伟在平路上步行的平均速度是x米/分钟,依题意得:+=50,解得:x=280,经检验,x=280是原方程的解,且符合题意.答:小伟在平路上跑步的平均速度是280米/分钟.(2)设这段坡路的总路程是y米,则上坡路程是y米,下坡路程是y米,依题意得:+=9,解得:y=2100.答:这段坡路的总路程是2100米.。
人教版八年级上册数学《分式》计算题专项练习学校:班级:姓名:得分:1.计算:÷(﹣1)2.化简:(﹣)÷.3.化简:•.4.化简(1﹣)•.5.化简:÷﹣6.化简:÷(1﹣).7.化简:.8.计算÷().9.化简:1+÷.10.先化简,再求值:•﹣,其中x=2.11.先化简,再求值•+.(其中x=1,y=2)12.先化简,再求值:,其中x=2.13.先化简,再求值:(+)÷,其中x=﹣.14.先化简,再求值:(x﹣)÷,其中x=.15.先化简,再求值:(1+)÷.其中x=3.16.化简分式(+)÷,并在2,3,4,5这四个数中取一个合适的数作为a的值代入求值.17.先化简,再求值:÷(a﹣1﹣),并从﹣1,0,1,2四个数中,选一个合适的数代入求值.18.先化简,再求值:÷(﹣x﹣2),其中|x|=2.19.先化简,再求值:(+)÷,且x为满足﹣3<x<2的整数.20.先化简(﹣)÷,再从﹣2,﹣1,0,1,2中选一个你认为合适的数作为x的值代入求值.21.先化简,再求值:﹣÷,其中a=﹣1.22.先化简÷(a﹣2+),然后从﹣2,﹣1,1,2四个数中选择一个合适的数作为a的值代入求值.人教版八年级上册数学《分式》计算题专项练习参考答案与试题解析1.【解答】解:原式=÷(﹣)=÷=•=.2.【解答】解:原式=[﹣]÷=÷=•=.3.【解答】解:原式=•=.4.【解答】解:(1﹣)•==.5.【解答】解:原式=•﹣=﹣=6.【解答】解:÷(1﹣)===.7.【解答】解:原式=÷(﹣)=÷=•=.8.【解答】解:原式=÷=•=﹣(a+b)=﹣a﹣b.9.【解答】解:原式=1+•=1+=+=.10.【解答】解:原式=•﹣=﹣=﹣=,当x=2时,原式==.11.【解答】解:当x=1,y=2时,原式=•+=+==﹣312.【解答】解:原式=把x=2代入得:原式=13.【解答】解:原式=•=,当x=﹣时,原式=2.14.【解答】解:(x﹣)÷====x﹣2,当x=时,原式=﹣2=﹣.15.【解答】解:(1+)÷=×=x+2.当x=3时,原式=3+2=5.16.【解答】解:原式=[﹣]÷=(﹣)•=•=a+3,∵a≠﹣3、2、3,∴a=4或a=5,则a=4时,原式=7,a=5时,原式=8.17.【解答】解:原式=÷(﹣)=÷=•=,∵a≠﹣1且a≠0且a≠2,∴a=1,则原式==﹣1.18.【解答】解:÷(﹣x﹣2)====,∵|x|=2,x﹣2≠0,解得,x=﹣2,∴原式=.19.【解答】解:原式=[+]÷=(+)•x=x﹣1+x﹣2=2x﹣3由于x≠0且x≠1且x≠﹣2所以x=﹣1 原式=﹣2﹣3=﹣5 20.【解答】解:原式=[﹣]÷=•=,∵x≠±1且x≠﹣2,∴x只能取0或2,当x=0时,原式=﹣1.21.【解答】解:原式====当a=﹣1时,原式=22.【解答】解:原式=•=当a=2时,原式==3.。
人教版八年级上册数学分式方程专项练习题(含答案解析)1、甲、乙两人准备整理一批新到的实验器材,甲单独整理需要40分完工;若甲、乙共同整理20分钟后,乙需要再单独整理20分才能完工。
问:乙单独整理需多少分钟完工?解:设乙单独整理需x分钟完工,则解,得x=80经检验:x=80是原方程的解。
答:乙单独整理需80分钟完工。
2、有两块面积相同的试验田,分别收获蔬菜900千克和1500千克,已知第一块试验田每亩收获蔬菜比第二块少300千克,求第一块试验田每亩收获蔬菜多少千克?解:设第一块试验田每亩收获蔬菜x千克,则解,得x=450经检验:x=450是原方程的解。
答:第一块试验田每亩收获蔬菜450千克。
3、甲、乙两地相距19千米,某人从甲地去乙地,先步行7千米,然后改骑自行车,共用了2小时到达乙地。
已知这个人骑自行车的速度是步行速度的4倍。
求步行的速度和骑自行车的速度。
解:设步行速度是x千米/时,则解,得x=5经检验:x=5是原方程的解。
进尔4x=20(千米/时)答:步行速度是5千米/时,骑自行车的速度是20千米/时。
4、小兰的妈妈在供销大厦用12.50元买了若干瓶酸奶,但她在百货商场食品自选室发现,同样的酸奶,这里要比供销大厦每瓶便宜0.2元,因此,当第二次买酸奶时,便到百货商场去买,结果用去18.40元钱,买的瓶数比第一次买的瓶数多,问:她第一次在供销大厦买了几瓶酸奶?解:⑴设她第一次在供销大厦买了x瓶酸奶,则解,得x=5经检验:x=5是原方程的解。
答:她第一次在供销大厦买了5瓶酸奶。
5、某商店经销一种纪念品,4月份的营业额为2000元,为扩大销售,5月份该商店对这种纪念品打九折销售,结果销售量增加20件,营业额增加700元。
⑴求这种纪念品4月份的销售价格。
⑵若4月份销售这种纪念品获利800元,问:5月份销售这种纪念品获利多少元?解:⑴设4月份销售价为每件x元,则解,得x=50经检验:x=50是原方程的解。
人教版数学八年级上册第十五章《分式》考试试卷(时间:120分钟 满分:120分)一、选择题(每小题3分,共30分) 1.分式x -1x +1的值为0,则x =( B )A .-1B .1C .±1D .02.将分式方程1x =2x -2去分母后得到的整式方程,正确的是( A )A .x -2=2xB .x 2-2x =2x C .x -2=x D .x =2x -4 3.化简xy -2yx 2-4x +4的结果是( D )A.x x +2 B.x x -2 C.y x +2 D.yx -24.已知a =2-2,b =(3-1)0,c =(-1)3,则a ,b ,c 的大小关系是( B ) A .a >b >c B .b >a >c C .c >a >b D .b >c >a5.一种微粒的半径是0.000041米,0.000041这个数用科学记数法表示为( B ) A .41×10-6B .4.1×10-5C .0.41×10-4D .4.1×10-46.下列运算正确的是( D ) A.aa -b -bb -a=1 B.m a -n b =m -na -bC.b a -b +1a =1a D.2a -b -a +b a 2-b 2=1a -b7.化简(1-2x +1)÷1x 2-1的结果是( B )A .(x +1)2B .(x -1)2C.1(x +1)2 D.1(x -1)28.分式方程1x -1-2x +1=4x 2-1的解是( D )A .x =0B .x =-1C .x =±1D .无解9.两个小组同时从甲地出发,匀速步行到乙地,甲乙两地相距7500米,第一组步行的速度是第二组的1.2倍,并且比第二组早15分钟到达乙地.设第二组的步行速度为x 千米/小时,根据题意可列方程是( D )A.7500x -75001.2x =15B.7500x -75001.2x =14 C.7.5x -7.51.2x =15 D.7.5x -7.51.2x =1410.已知关于x 的分式方程m x -1+31-x=1的解是非负数,则m 的取值范围是( C ) A .m >2 B .m ≥2C .m ≥2且m ≠3D .m >2且m ≠3 二、填空题(每小题3分,共18分) 11.计算:xy2xy=__y __.12.计算:(-2xy -1)-3=__-y 38x3__.13.方程2x -1x -3=1的根是x =__-2__.14.若(x -y -2)2+|xy +3|=0,则(3x x -y -2x x -y )÷1y 的值是__-32__.15.若a 2+5ab -b 2=0,则b a -a b的值为__5__.16.已知x 2-3x -4=0,则代数式x x 2-x -4的值是__12__.三、解答题(共72分) 17.(12分)计算:(1)4a 2b ÷(b 2a )-2·a b 2; (2)(a a -2-4a 2-2a )÷a +2a ;解:ab 解:1(3)a 2-b 2a ÷(a -2a -b2a ).解:a +b a -b18.(6分)x 2+x x 2-2x +1÷(2x -1-1x ).(1)化简已知分式;(2)从-2<x≤2的范围内选取一个合适的x 的整数值代入求值. 解:(1)x 2x -1(2)∵x≠±1,且x≠0,且-2<x≤2,∴x =2,将x =2代入得原式=419.(8分)解下列分式方程. (1)2x +3=1x -1; 解:x =5,经检验x =5是分式方程的解 (2)1x -2=1-x 2-x-3. 解:解得x =2.检验:x =2时,x -2=0,所以x =2不是原方程的解,∴原方程无解20.(7分)当x 为何值时,分式3-x 2-x 的值比分式1x -2的值大3?解:解得x =1.经检验,x =1是方程3-x 2-x -1x -2=3的解.即当x =1时,分式3-x2-x的值比分式1x -2的值大321.(7分)已知:[(x 2+y 2)-(x -y)2+2y(x -y)]÷4y=1,求4x 4x 2-y 2-12x +y 的值.解:∵[(x 2+y 2)-(x -y )2+2y (x -y )]÷4y =x -12y ,∴x -12y =1,∴4x4x 2-y2-12x +y=12x -y=12(x -12y )=1222.(7分)已知关于x 的方程1x -2+k x +2=3x 2-4无解,求k 的值.解:去分母,得(1+k )x =2k +1,∵方程无解,∴x =±2,将x =2代入得不成立,将x =-2代入得k =-3423.(7分)已知x 2x 2-2=3,求(11-x -11+x )÷(xx 2-1+x)的值.解:原式化简,得-2x 2.∵x 2x 2-2=3,∴x 2-2x 2=13,∴1-2x 2=13,∴-2x 2=-2324.(8分)马小虎的家距离学校1800米,一天马小虎从家去上学,出发10分钟后,爸爸发现他的数学课本忘记拿了,立即带上课本去追他,在距离学校200米的地方追上了他,已知爸爸的速度是马小虎速度的2倍,求马小虎的速度.解:设马小虎的速度为x 米/分,则爸爸的速度是2x 米/分,依题意得1800-200x=1800-2002x+10,解得x =80.经检验,x =80是原方程的根.答:马小虎的速度是80米/分25.(10分)“汉十”高速铁路襄阳段正在建设中,甲、乙两个工程队计划参与一项工程建设,甲队单独施工30天完成该项工程的13,这时乙队加入,两队还需同时施工15天,才能完成该项工程.(1)若乙队单独施工,需要多少天才能完成该项工程?(2)若甲队参与该项工程施工的时间不超过36天,则乙队至少施工多少天才能完成该项工程?解:(1)设乙队单独施工,需要x 天才能完成该项工程,∵甲队单独施工30天完成该项工程的13,∴甲队单独施工90天完成该项工程,根据题意可得:13+15(190+1x )=1,解得:x =30,检验得:x =30是原方程的根,答:乙队单独施工,需要30天才能完成该项工程 (2)设乙队参与施工y 天才能完成该项工程,根据题意可得:190×36+y ×130≥1,解得:y ≥18,答:乙队至少施工18天才能完成该项工程附赠材料:怎样提高做题效率做题有方,考试才能游刃有余提到考试,映入我眼帘的就是一大批同学在题海里埋头苦干的情景。
15.2.2.2 分式的混合运算一.当堂检测1.计算(1)x x x x x x x x -4)44-1--2-2(22÷++ (2)222444--2y x x y x y x y x y y x x +÷=++二.选择题1.2﹣1等于( )A .2B .﹣2C .D .﹣2.下列计算中,正确的是( )A .a 3•a 2=a 6B .(π﹣3.14)0=1C .()﹣1=﹣3D . =±33.下列计算正确的是( )A .(﹣1)﹣1=1B .(﹣1)0=0C .|﹣1|=﹣1D .﹣(﹣1)2=﹣14.一个代数式的值不能等于零,那么它是( )A .a 2B .a 0C .D .|a| 5.下列计算错误的是( )A .4÷(﹣2)=﹣2B .4﹣5=﹣1C .(﹣2)﹣2=4D .20140=1 6.下列说法正确的是( )A .a 0=1B .夹在两条平行线间的线段相等C .勾股定理是a 2+b 2=c 2D .若有意义,则x ≥1且x ≠2 7.化简(1x -3-x+1x 2-1)·(x-3)的结果是( )A.2B.2x -1C.2x -3D.x -4x -1 8.化简2x -1÷(2x 2-1+1x+1)的结果是( )A.2B.2x+1C.2x -1D.-2三.填空题1.化简(1-1m+1)(m+1)的结果是.2.已知ab=-1,a+b=2,则式子ba +ab的值是.3.已知1a +1b=√5(a≠b),求ab(a-b)−ba(a-b)的值.四.解答题1.先化简,再求值:m-m 2-1m2+2m+1÷m-1m,其中m满足:m2-m-1=0.2.请利用1m-3,mm+3和3m2-9这三个分式组成一个算式,来表示其中两个分式的商减去第三个分式的差,并化简.3.描述证明:海宝在研究数学问题时发现了一个有趣的现象:(1)请你用数学表达式补充完整海宝发现的这个有趣的现象;(2)请你证明海宝发现的这个有趣现象.4.阅读理解题:若1-3x x 2-1=M x+1+N x -1,试求M,N 的值. 解:等式右边通分,得M(x -1)+N(x+1)(x+1)(x -1)=(M+N)x+N -Mx 2-1,根据题意,得{M +N =−3,N -M =1,解得{M =−2,N =−1.仿照上题解法解答下题: 已知5x -4(x -1)(2x -1)=A x -1+B 2x -1,试求A,B 的值.。
新人教版八年级数学(上)分式单元测试题及答案(word版可编辑修改) 编辑整理:尊敬的读者朋友们:这里是精品文档编辑中心,本文档内容是由我和我的同事精心编辑整理后发布的,发布之前我们对文中内容进行仔细校对,但是难免会有疏漏的地方,但是任然希望(新人教版八年级数学(上)分式单元测试题及答案(word版可编辑修改))的内容能够给您的工作和学习带来便利。
同时也真诚的希望收到您的建议和反馈,这将是我们进步的源泉,前进的动力。
本文可编辑可修改,如果觉得对您有帮助请收藏以便随时查阅,最后祝您生活愉快业绩进步,以下为新人教版八年级数学(上)分式单元测试题及答案(word版可编辑修改)的全部内容。
新人教版八年级数学(上)分式单元测试及答案一、选择题1。
下列各式:()2221451, , , 532x x y x x xπ---其中分式共有( ) A .1个 B .2个 C .3个 D .4个2。
下列计算正确的是( )A 。
m m m x x x 2=+B 。
22=-n n x x C.3332x x x =⋅ D.264x x x -÷=3。
下列约分正确的是( )A .313m m m +=+B .212y x y x -=-+ C .123369+=+a b a b D .()()y x a b y b a x =-- 4。
若x 、y 的值均扩大为原来的2倍,则下列分式的值保持不变的是( )A 。
y x 23B 。
223y x C.y x 232 D.2323yx 5。
计算xx -++1111的正确结果是( ) A 。
0 B 。
212x x - C.212x - D.122-x 6. 在一段坡路,小明骑自行车上坡的速度为每小时V 1千米,下坡时的速度为每小时V 2千米,则他在这段路上、下坡的平均速度是每小时( )A .221v v +千米 B .2121v v v v +千米 C .21212v v v v +千米 D .无法确定 7。
2014—2015学年八年级数学(上)周末辅导资料(16) 德尔教育培训中心 学生姓名: 得分:
一、复习巩固:
计算:(1)x x x x x x 39622-⋅+-- (2)4
222
2a b a a ab ab a b a --÷+-
二、知识点梳理:
1、乘法:把分子相乘的积作为积的分子,把分母相乘的积作为积的分母。
2、除法:除以一个分式,把除式的分子和分母颠倒后与被除式相乘。
3、加减法: (1)同分母分式相加减,分母不变,把分子相加减.
c
b a
c b c a ±=± (2)异分母分式相加减,先通分,变为同分母的分式,再加减.b
d bc ad bd bc bd ad d c b a ±=±=± 4、分式的乘方:把分式的分子和分母分别乘方。
例1:计算:
(1)
﹣ (2)1111322+-+--+a a a a
【课堂练习1】
计算:(1)
m m -+-329122 (2)y x y xy y x 223
+++-
例2:计算:
(1) (2)(x ﹣)÷
例3:先化简,再求值:
(1)(1﹣)÷,其中a=﹣1.
(2)÷(x+1﹣),其中x=﹣2.
例4:已知:的值。
求y xy x y
xy x y x 525232,511+++-=+
三、巩固练习:
1、(-3a b )÷6ab 的结果是( ) A .-8a 2 B .-2a b C .-218a b D .-212b
2、已知2231x a b x x x x -=+++,其中a 、b 为常数,则a -b 的值为( ) A 、-8 B 、8 C 、-1 D 、4
3、计算:333a a a a ⎛⎫- ⎪-+⎝⎭
×29a a -=( ) A.a +12 B.2a -12 C. a -12 D.2a +12
4、(-2
b m
)2n+1的值是( ) A .2321n n b m ++ B .-2321n n b m ++ C .4221n n b m ++ D .-42
21n n b m
++ 5、如果(3
2a b )2÷(3a b
)2=3,那么a 8b 4等于( ) A .6 B .9 C .12 D .81
6、若4173222=++y y ,则1
6412-+y y 的值为( ) A 、1 B 、-1 C 、7
1- D 、51 7、计算:(1)22121a a a -++÷21
a a a -+ (2)21x x - - x - 1.
(3)1
11222+++-+-a a a a a a (4)
8、先化简,再求值:
(1)(1﹣
)÷,其中a=﹣2.
(2)先化简
,然后a 在﹣1、1、2三个数中任选一个合适的数代入求值.
9、已知
2
1)2)(1(12++-=+-+x B x A x x x ,求A. B 的值。
10、有这样一道题:“计算22211x x x -+-÷21x x x
-+-x 的值,其中x=2 013”甲同学把“x=2 014”错抄成“x=2 041”,但他的计算结果也正确,你说这是怎么回事?。