新人教版数学八年级上册分式练习题
- 格式:doc
- 大小:234.50 KB
- 文档页数:3
初二上册数学分式练习题及答案一、基础练习1. 计算:(6/7) + (3/14) = __________2. 计算:(5/6) - (2/9) = __________3. 计算:(1/2) × (2/3) = __________4. 计算:(3/5) ÷ (1/10) = __________5. 化简:(10/16) = __________6. 化简:(18/24) = __________7. 化简:(9/12) = __________8. 化简:(20/25) = __________二、综合运算1. 计算:(3/8) + (1/4) - (5/16) = __________2. 计算:(7/9) × (2/5) ÷ (3/14) = __________3. 计算:(2/5) + (7/12) - (3/10) × (4/9) = __________三、应用题1. 甲地的一大块土地分成三个相等的部分,其中1/3 种了水稻,1/6 种了玉米,还有一块土地没有种植。
这块土地应该种植什么作物才能使得甲地的所有土地都被种植了?2. 小明家中共有24个苹果和32个橘子,小明想将这些水果装入一些袋子中,每袋中苹果和橘子的数量相同且最多,问最少需要几个袋子?3. 三个人一起清理一间教室,甲人一个小时可以清理 2/5 的面积,乙人一个小时可以清理 1/4 的面积,丙人一个小时可以清理 1/3 的面积。
他们一起工作了 3 小时后,教室的 3/5 的面积被清理了吗?答案:一、基础练习1. 11/142. 19/183. 1/34. 65. 5/86. 3/47. 3/48. 4/5二、综合运算1. 21/322. 392/1353. 21/40三、应用题1. 1/42. 83. 是通过以上题目的练习,我们可以巩固和提高对数学分式的运算能力,希望同学们能够认真对待数学学习,勤于练习,不断提高自己的数学水平。
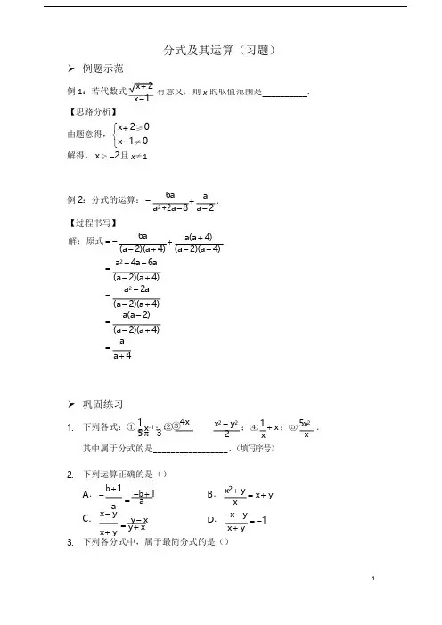
÷ x + 2 - ⎪ . 解:原式 = - ÷例 2:先化简 ⎢⎡ x ( x + 1) + x ⎥ ÷ 解:原式 = ⋅例题示范例 1:混合运算: 分式混合运算(习题)4 - x ⎛ 12 ⎫x - 2 ⎝ x - 2 ⎭【过程书写】x - 4 x 2 - 4 - 12x - 2 x - 2 x - 4 x 2 - 16 =- ÷x - 2 x - 2 x - 4 x - 2 =- ⋅x - 2 ( x + 4)( x - 4)=-1x + 4⎤ 2 x⎣ x - 1 ⎦ 1 - x,然后在 -2 ≤ x ≤ 2 的范围内选取一个你认为合适的整数 x 代入求值.【过程书写】x 2 + x + x 2 - x 1 - x x - 1 2 x2 x 2 1 - x = ⋅x - 1 2 x = - x∵ -2 ≤ x ≤ 2 ,且 x 为整数∴使原式有意义的 x 的值为-2,-1 或 2 当 x =2 时,原式=-2(2) - 1⎪ ÷ (3)⎪(4) y - 1 - y - 1 ⎭ y 2 + y巩固练习1. 计算:(1)1 - x - y x 2 - y 2÷x + 2 y x 2 + 4 x y + 4 y 2;⎛ a ⎫ ⎝ a - 1 ⎭ a 1 2 - 2a + 1;⎛ 2 ⎝ a 2 - b 2 - 1 ⎫ a ÷ a 2 - ab ⎭ a + b;⎛ 8 ⎫ y 2 - 6 y + 9 ⎪ ÷ ⎝;(5) ÷ - ⎪ ; (6) ÷ -1⎪ ;x ⎪ ⎪ ; 3 - x ⎛ 5 ⎫ x - 2 ⎛ -5 ⎫ ÷ - x - 3 ⎪ ; ÷ x + 2 -(10) ( x 2 - 1) - - 1⎪ ; 1a 2 - 2ab + b 2 ⎛ 1 1 ⎫ x 2 - 4x + 4 ⎛ 2 ⎫ 2a - 2b ⎝ b a ⎭ ⎝ x ⎭(7) ⎛ ⎝ 3x + 4 2 ⎫ x + 2 - ÷ x 2 - 1 x - 1 ⎭ x 2- 2 x + 1;(8) (9) 2 x - 4 ⎝ x - 2 ⎭ 2 x - 6 ⎝ x - 3 ⎭⎛ 1 ⎫ ⎝ x - 1 x + 1 ⎭(11) - ÷ - - ⎪ . ⎝ x + y x - y ⎭ x 2- 3xy ⎝x y ⎭ (1)先化简,再求值: 1 - ⎪÷(2)先化简,再求值: + ÷ x 2 - y 2 y 2 - x 2 ⎭ x 2 y - xy 2⎛ 2 1 ⎫ x 2 - y 2 ⎛ 1 1 ⎫ ⎪ ⋅2. 化简求值:⎛ ⎝ 1 ⎫ x 2 + 2x + 1 x + 2 ⎭ x + 2,其中 x = 3 -1.⎛ 5x + 3 y 2 x ⎫ 1 ⎪ ⎝x = 3 + 2 , y = 3 - 2 .,其中(3)先化简 ⎛ + 1⎪ ÷ (4)已知 A = .x + 1 ⎫ x 2 + x 2 - 2 x +⎝ x - 1 ⎭ x 2 - 2 x + 1 x 2 - 1,然后在 -2 ≤ x ≤ 2的范围内选取一个合适的整数 x 代入求值.x 2 + 2 x + 1 x -x 2 - 1 x - 1①化简 A ; ⎧ x -1≥ 0②当 x 满足不等式组 ⎨ ,且 x 为整数时,求 A 的值.⎩ x - 3 < 0x 2 + 3 B . x 2 + 1 D. 2ab 中的分子、分母的值同时扩大为原来的 2 倍,则分式的值(ab 中 a ,b 的值都扩大为原来的 2 倍,则分式的值(x 2 + y 2 中 x ,y 的值都扩大为原来的 2 倍,则分式的值(( x - 2)( x + 3) = x + 3,则 A =_______,B =_______.3. 不改变分式13x - y2 的值,把分子、分母中各项系数化为整数,结果是( )1 3 x2 + 1A . 6 x - yC . 3x - 3 y 18 x - 3 y2 x 2 + 6 18 x -3 y2 x 2 + 34. 把分式 a - 3bA .不变B .扩大为原来的 2 倍C .扩大为原来的 4 倍D .缩小为原来的 12)5. 把分式 3a - 4bA .不变B .扩大为原来的 2 倍C .扩大为原来的 4 倍D .缩小为原来的 126. 把分式 2 xyA .不变B .扩大为原来的 2 倍C .扩大为原来的 4 倍D .缩小为原来的 12))7. 已知 4 x + 7A x - 2 + B2.(1)原式=1,当x=3-1时,原式=【参考答案】巩固练习1.(1)-yx+y (2)a-1(3)1 a2(4)y(y+1)(y2-2y-7) (y-1)(y-3)2(5)ab 2(6)-x+2(7)x-1 x+1(8)-(9)-1 2x+6 1 2x+4(10)-x2+3(11)-yx+y3x+13(2)原式=3xy,当x=3+2,y=3-2时,原式=3(3)原式=2x-4x+1,当x=2时,原式=0(4)①1x-1;②13. 4. 5. 6. 7.BADA 3,1。
人教版八年级上册数学《分式》计算题专项练习学校:班级:姓名:得分:1.计算:÷(﹣1)2.化简:(﹣)÷.3.化简:•.4.化简(1﹣)•.5.化简:÷﹣6.化简:÷(1﹣).7.化简:.8.计算÷().9.化简:1+÷.10.先化简,再求值:•﹣,其中x=2.11.先化简,再求值•+.(其中x=1,y=2)12.先化简,再求值:,其中x=2.13.先化简,再求值:(+)÷,其中x=﹣.14.先化简,再求值:(x﹣)÷,其中x=.15.先化简,再求值:(1+)÷.其中x=3.16.化简分式(+)÷,并在2,3,4,5这四个数中取一个合适的数作为a的值代入求值.17.先化简,再求值:÷(a﹣1﹣),并从﹣1,0,1,2四个数中,选一个合适的数代入求值.18.先化简,再求值:÷(﹣x﹣2),其中|x|=2.19.先化简,再求值:(+)÷,且x为满足﹣3<x<2的整数.20.先化简(﹣)÷,再从﹣2,﹣1,0,1,2中选一个你认为合适的数作为x的值代入求值.21.先化简,再求值:﹣÷,其中a=﹣1.22.先化简÷(a﹣2+),然后从﹣2,﹣1,1,2四个数中选择一个合适的数作为a的值代入求值.人教版八年级上册数学《分式》计算题专项练习参考答案与试题解析1.【解答】解:原式=÷(﹣)=÷=•=.2.【解答】解:原式=[﹣]÷=÷=•=.3.【解答】解:原式=•=.4.【解答】解:(1﹣)•==.5.【解答】解:原式=•﹣=﹣=6.【解答】解:÷(1﹣)===.7.【解答】解:原式=÷(﹣)=÷=•=.8.【解答】解:原式=÷=•=﹣(a+b)=﹣a﹣b.9.【解答】解:原式=1+•=1+=+=.10.【解答】解:原式=•﹣=﹣=﹣=,当x=2时,原式==.11.【解答】解:当x=1,y=2时,原式=•+=+==﹣312.【解答】解:原式=把x=2代入得:原式=13.【解答】解:原式=•=,当x=﹣时,原式=2.14.【解答】解:(x﹣)÷====x﹣2,当x=时,原式=﹣2=﹣.15.【解答】解:(1+)÷=×=x+2.当x=3时,原式=3+2=5.16.【解答】解:原式=[﹣]÷=(﹣)•=•=a+3,∵a≠﹣3、2、3,∴a=4或a=5,则a=4时,原式=7,a=5时,原式=8.17.【解答】解:原式=÷(﹣)=÷=•=,∵a≠﹣1且a≠0且a≠2,∴a=1,则原式==﹣1.18.【解答】解:÷(﹣x﹣2)====,∵|x|=2,x﹣2≠0,解得,x=﹣2,∴原式=.19.【解答】解:原式=[+]÷=(+)•x=x﹣1+x﹣2=2x﹣3由于x≠0且x≠1且x≠﹣2所以x=﹣1 原式=﹣2﹣3=﹣5 20.【解答】解:原式=[﹣]÷=•=,∵x≠±1且x≠﹣2,∴x只能取0或2,当x=0时,原式=﹣1.21.【解答】解:原式====当a=﹣1时,原式=22.【解答】解:原式=•=当a=2时,原式==3.。
第十五章 分式 单元练习一、选择题1.若分式x 2-1x -1的值为零,则x 的值为( ) A .0 B .1 C .-1 D .±12.下列式子计算错误的是( )A.0.2a +b 0.7a -b =2a +b 7a -bB.x 3y 2x 2y 3=x yC.a -b b -a=-1 D.1c +2c =3c 3.人体中红细胞的直径约为0.0000077m ,将数0.0000077用科学记数法表示为( )A .77×10-5B .0.77×10-7C .7.7×10-6D .7.7×10-74.化简a +1a 2-2a +1÷⎝⎛⎭⎫1+2a -1的结果是( ) A.1a 2-1 B.1a +1C.1a -1D.1a 2+15.速录员小明打2500个字和小刚打3000个字所用的时间相同,已知小刚每分钟比小明多打50个字,求两人的打字速度.设小刚每分钟打x 个字,根据题意列方程,正确的是( )A.2500x =3000x -50B.2500x =3000x +50C.2500x -50=3000xD.2500x +50=3000x 6.若关于x 的方程x +m x -3+3m 3-x=3的解为正数,则m 的取值范围是( ) A .m <92 B .m <92且m ≠32C .m >-94D .m >-94且m ≠-34二、填空题7.若分式3x x -2有意义,则x 应满足的条件是________. 8.方程12x =1x +1的解是________. 9.若3x -1=127,则x =________. 10.已知a 2-6a +9与(b -1)2互为相反数,则式子⎝⎛⎭⎫a b -b a ÷(a +b )的值是________.11.关于x 的方程2a x -1=a -1无解,则a 的值是________. 12.若1(2n -1)(2n +1)=a 2n -1+b 2n +1,对任意自然数n 都成立,则a =________,b =________;计算:m =11×3+13×5+15×7+…+119×21=________. 三、13.计算(1)-(-1)2016-(π-3.14)0+⎝⎛⎭⎫-12-2;(2)13a 2+12ab.14.化简:(1)⎝⎛⎭⎫1x 2-4+4x +2÷1x -2;(2)⎝⎛⎭⎫a +1a +2÷⎝⎛⎭⎫a -2+3a +2.15.先化简,再求值:⎝⎛⎭⎫x x +1-1÷1x 2-1,其中x =2016.16.解方程:(1)3x -1-x +3x 2-1=0;(2)2x +1+3x -1=6x 2-1.17.先化简,再求值:⎝⎛⎭⎫x 2x -1+91-x ÷x +3x -1,x 在1,2,-3中选取合适的数.四、18.先化简,再求值:x 2+2x +1x +2÷x 2-1x -1-x x +2,其中x 是不等式组⎩⎪⎨⎪⎧2-(x -1)≥2x ,2x -53-x ≤-1的整数解.19.以下是小明同学解方程1-x x -3=13-x-2的过程. 解:方程两边同时乘(x -3),得1-x =-1-2. …………………………第一步解得x =4. ……………………………………第二步检验:当x =4时,x -3=4-3=1≠0. ………第三步所以,原分式方程的解为x =4. …………………第四步(1)小明的解法从第________步开始出现错误;(2)写出解方程1-x x -3=13-x-2的正确过程.20.某中学组织学生到离学校15km 的东山游玩,先遣队与大队同时出发,先遣队的速度是大队的速度的1.2倍,结果先遣队比大队早到0.5h ,先遣队的速度是多少?大队的速度是多少?五、21.老师在黑板上书写了一个代数式的正确演算结果,随后用手掌捂住了一部分,形式如下:⎝ ⎛⎭⎪⎪⎫-x 2-1x 2-2x +1÷x x +1=x +1x -1. (1)求所捂部分化简后的结果;(2)原代数式的值能等于-1吗?为什么?22.列方程解应用题:老舍先生曾说“天堂是什么样子,我不晓得,但从我的生活经验去判断,北平之秋便是天堂.”(摘自《住的梦》)金黄色的银杏叶为北京的秋增色不少.小宇家附近新修了一段公路,他想给市政写信,建议在路的两边种上银杏树.他先让爸爸开车驶过这段公路,发现速度为60千米/时,走了约3分钟.(1)由此估算这段路长约________千米;(2)然后小宇查阅资料,得知银杏为落叶大乔木,成年银杏树树冠直径可达8米.小宇计划从路的起点开始,每a 米种一棵树,绘制出了示意图,考虑到投入资金的限制,他设计了另一种方案,将原计划的a 扩大一倍,则路的两侧共计减少400棵树,请你求出a 的值.六、23.观察下列方程的特征及其解的特点.①x +2x=-3的解为x 1=-1,x 2=-2; ②x +6x=-5的解为x 1=-2,x 2=-3; ③x +12x=-7的解为x 1=-3,x 2=-4. 解答下列问题:(1)请你写出一个符合上述特征的方程:____________,其解为____________;(2)根据这类方程特征,写出第n 个方程:____________________,其解为________________;(3)请利用(2)的结论,求关于x 的方程x +n 2+n x +3=-2(n +2)(其中n 为正整数)的解.参考答案与解析1.C 2.A 3.C 4.C 5.C6.B 解析:去分母得x +m -3m =3x -9,整理得2x =-2m +9,解得x =-2m +92.∵关于x 的方程x +m x -3+3m 3-x=3的解为正数,∴-2m +9>0,解得m <92.当x =3时,即-2m +92=3,解得m =32.故m 的取值范围是m <92且m ≠32.故选B. 7.x ≠2 8.x =1 9.-2 10.2311.1或0 12.12 -12 1021 解析:1(2n -1)(2n +1)=a 2n -1+b 2n +1=a (2n +1)+b (2n -1)(2n -1)(2n +1)=2n (a +b )+a -b (2n -1)(2n +1),∴⎩⎪⎨⎪⎧a +b =0,a -b =1,解得⎩⎨⎧a =12,b =-12.∴1(2n -1)(2n +1)=122n -1+-122n +1=12⎝⎛⎭⎫12n -1-12n +1,∴m =11×3+13×5+15×7+…+119×21=12⎝⎛⎭⎫1-13+13-15+15-17+…+119-121=12⎝⎛⎭⎫1-121=1021. 13.解:(1)原式=-1-1+4=2.(3分)(2)原式=2b 6a 2b +3a 6a 2b =3a +2b 6a 2b.(6分) 14.解:(1)原式=1+4(x -2)(x +2)(x -2)·(x -2)=4x -7x +2.(3分) (2)原式=a 2+2a +1a +2÷a 2-4+3a +2=(a +1)2a +2·a +2(a +1)(a -1)=a +1a -1.(6分) 15.解:原式=x -x -1x +1·(x 2-1)=-(x -1)=-x +1.(3分) 当x =2016时,原式=-2015.(6分)16.解:(1)方程两边同乘x 2-1,得3(x +1)-(x +3)=0,解得x =0.(2分)检验:当x =0时,x 2-1≠0,∴原分式方程的解为x =0.(3分)(2)方程两边同乘x 2-1,得2(x -1)+3(x +1)=6,解得x =1.(5分)检验:当x =1时,x 2-1=0,∴x =1不是原分式方程的解,∴原分式方程无解.(6分)17.解:⎝⎛⎭⎫x 2x -1+91-x ÷x +3x -1=x 2-9x -1·x -1x +3=(x +3)(x -3)x -1·x -1x +3=x -3.(3分)∵当x =1和x =-3时,原分式无意义,∴选取x =2.当x =2时,原式=2-3=-1.(6分)18.解:原式=(x +1)2x +2·1x +1-x x +2=x +1x +2-x x +2=1x +2.(2分)解不等式组⎩⎪⎨⎪⎧2-(x -1)≥2x ,2x -53-x ≤-1,得-2≤x ≤1.(4分)∵x 是整数,∴x =-2,-1,0,1.当x =-2,-1,1时,原分式无意义,故x 只能取0.(6分)当x=0时,原式=12.(8分) 19.解:(1)一(2分)(2)方程两边同时乘(x -3),得1-x =-1-2x +6,解得x =4.(7分)检验:当x =4时,x -3≠0.所以,原分式方程的解为x =4.(8分)20.解:设大队的速度为x km/h ,则先遣队的速度是1.2x km/h.(1分)根据题意得15x =151.2x+0.5,解得x =5.(5分)经检验,x =5是原分式方程的解且符合实际.(6分)1.2x =1.2×5=6.(7分)答:先遣队的速度是6km/h ,大队的速度是5km/h.(8分)21.解:(1)设所捂部分化简后的结果为A ,则A =x +1x -1·x x +1+x 2-1x 2-2x +1=x x -1+x +1x -1=x +x +1x -1=2x +1x -1.(4分) (2)原代数式的值不能等于-1.(5分)理由如下:若原代数式的值为-1,则x +1x -1=-1,即x +1=-x +1,解得x =0.当x =0时,除式x x +1=0,故原代数式的值不能等于-1.(9分) 22.解:(1)3(3分)(2)由题意可得3000a -30002a =12×400.(6分)解方程得a =7.5.经检验,a =7.5满足方程且符合题意.(8分) 答:a 的值是7.5.(9分)23.解:(1)x +20x=-9 x 1=-4,x 2=-5(3分) (2)x +n 2+n x=-(2n +1) x 1=-n ,x 2=-n -1(6分) (3)x +n 2+n x +3=-2(n +2),x +3+n 2+n x +3=-2(n +2)+3,(x +3)+n 2+n x +3=-(2n +1),由(2)知x +3=-n 或x +3=-(n +1),即x 1=-n -3,x 2=-n -4.(10分)检验:∵n 为正整数,当x 1=-n -3时,x +3=-n ≠0;当x 2=-n -4时,x +3=-n -1≠0.∴原分式方程的解是x 1=-n -3,x 2=-n -4.(12分)。
人教版八年级上册数学分式方程专项练习题(含答案解析)1、甲、乙两人准备整理一批新到的实验器材,甲单独整理需要40分完工;若甲、乙共同整理20分钟后,乙需要再单独整理20分才能完工。
问:乙单独整理需多少分钟完工?解:设乙单独整理需x分钟完工,则解,得x=80经检验:x=80是原方程的解。
答:乙单独整理需80分钟完工。
2、有两块面积相同的试验田,分别收获蔬菜900千克和1500千克,已知第一块试验田每亩收获蔬菜比第二块少300千克,求第一块试验田每亩收获蔬菜多少千克?解:设第一块试验田每亩收获蔬菜x千克,则解,得x=450经检验:x=450是原方程的解。
答:第一块试验田每亩收获蔬菜450千克。
3、甲、乙两地相距19千米,某人从甲地去乙地,先步行7千米,然后改骑自行车,共用了2小时到达乙地。
已知这个人骑自行车的速度是步行速度的4倍。
求步行的速度和骑自行车的速度。
解:设步行速度是x千米/时,则解,得x=5经检验:x=5是原方程的解。
进尔4x=20(千米/时)答:步行速度是5千米/时,骑自行车的速度是20千米/时。
4、小兰的妈妈在供销大厦用12.50元买了若干瓶酸奶,但她在百货商场食品自选室发现,同样的酸奶,这里要比供销大厦每瓶便宜0.2元,因此,当第二次买酸奶时,便到百货商场去买,结果用去18.40元钱,买的瓶数比第一次买的瓶数多,问:她第一次在供销大厦买了几瓶酸奶?解:⑴设她第一次在供销大厦买了x瓶酸奶,则解,得x=5经检验:x=5是原方程的解。
答:她第一次在供销大厦买了5瓶酸奶。
5、某商店经销一种纪念品,4月份的营业额为2000元,为扩大销售,5月份该商店对这种纪念品打九折销售,结果销售量增加20件,营业额增加700元。
⑴求这种纪念品4月份的销售价格。
⑵若4月份销售这种纪念品获利800元,问:5月份销售这种纪念品获利多少元?解:⑴设4月份销售价为每件x元,则解,得x=50经检验:x=50是原方程的解。
分式及分式方程1.分式的概念:一般地,形如B A 的式子叫做分式,其中A 和B 均为整式,B 中含有字母。
分式BA 是否有意义的识别方法: 分式无意义的条件:;分式值为1的条件:;分式有意义的条件:;分式值为-1的条件:;分式为零的条件:;2.分式的基本性质:分式的分子与分母都,分式的值不变。
(1)分式的分子与分母都乘以(或除以)的整式不能等于零.(2)要充分理解基本性质中的“都”和“同”这两个字的含义,避免犯只乘分子或分母一项的错误.(3)分式的分子、分母与分式本身的符号,改变其中,分式的值不变.(4)因为分数线在分式中具有括号的作用,当分子或分母为多项式,要把它看作一个整体变号时,将多项式的各项都改变符号.3.约分:根据分式的基本性质,把一个分式的分子与分母的公因式约去,叫做分式的约分。
分式约分的步骤:先,再。
(1)如果分式的分子、分母是单项式,约去分子、分母的系数的最大公约数和相同因式的最低次幂.(2)如果分式的分子与分母都是多项式时,可先把分子、分母分解因式,然后约去分子与分母的公因式.(3)当分式的分子或分母的系数是负数时,应先把负号提到分式的前边.最简分式:分子与分母没有公因式的分式,叫做最简分式。
(既约分式)分子、分母都是乘积形式时,才能约分.4.通分:(1)分式通分的意义:根据分式的基本性质,把几个异分母的分式分别化成与原来的分式相等的同分母的分式,叫做分式的通分。
(2)通分的关键是确定几个分式的公分母。
(3)取各分母所有因式的最高次幂的积作公分母,这样的公分母,叫做最简公分母。
确定公分母时应注意:系数取,字母因式取。
5.分式的运算:分式的乘法公式:分式的除法公式:异分母分式的加减法法则:异分母分式相加减,先通分,变为同分母分式,然后再加减.用式子表示为:b a ±d c =bdbc ad . 6.分式方程:分母中含有未知数的方程叫做分式方程.解分式方程步骤:(1)去分母:将 抓化为(2)(3)増根:在方程变形时,产生不适合原方程的根,这种根叫做原方程的増根。
八年级数学上册《第十五章 分式》同步练习题含答案(人教版)学校:___________班级:___________姓名:___________考号:___________知识点:一、分式1、分式的概念一般地,用A 、B 表示两个整式,A ÷B 就可以表示成B A 的形式,如果B 中含有字母,式子BA 就叫做分式。
其中,A 叫做分式的分子,B 叫做分式的分母。
分式和整式通称为有理式。
2、分式的性质(1)分式的基本性质:分式的分子和分母都乘以(或除以)同一个不等于零的整式,分式的值不变。
(2)分式的变号法则:分式的分子、分母与分式本身的符号,改变其中任何两个,分式的值不变。
3、分式的运算法则;;bcad c d b a d c b a bd ac d c b a =⨯=÷=⨯ );()(为整数n ba b a n nn = ;cb ac b c a ±=± bdbc ad d c b a ±=± 二、分式方程1、分式方程分母里含有未知数的方程叫做分式方程。
2、分式方程的一般方法解分式方程的思想是将“分式方程”转化为“整式方程”。
它的一般解法是:(1)去分母,方程两边都乘以最简公分母(2)解所得的整式方程(3)验根:将所得的根代入最简公分母,若等于零,就是增根,应该舍去;若不等于零,就是原方程的根。
3、分式方程的特殊解法换元法:换元法是中学数学中的一个重要的数学思想,其应用非常广泛,当分式方程具有某种特殊形式,一般的去分母不易解决时,可考虑用换元法。
练习题一、单选题1.化简22x y y x x y+--的结果为( ) A .﹣x ﹣y B .y ﹣x C .x ﹣y D .x+y2.把分式x x y+(x ≠0,y ≠0)中的分子、分母的x 、y 同时扩大为原来的2倍,那么分式的值( ) A .扩大为原来的2倍B .扩大为原来的4倍C .缩小为原来的12D .不改变 3.小王乘公共汽车从甲地到相距40千米的乙地办事,然后乘出租车返回,出租车的平均速度比公共汽车多20千米/时,回来时路上所花时间比去时节省了14,设公共汽车的平均速度为x 千米/时,则下面列出的方程中正确的是( ) A .4020x +=34×40x B .40x =34×4020x + C .4020x ++14=40x D .40x =4020x +-144.分式方程21124x x x -=--去分母后的结果正确的是( ) A .x 2﹣4﹣1=1B .x 2+2x ﹣(x 2﹣4)=1C .x+2﹣x 2﹣4=1D .x+2﹣1=1 5.已知1a +12b =3,则代数式254436a ab b ab a b-+--的值为( ) A .3 B .-2 C .13- D .12- 6.关于x 的方程31133x a x x-=---有增根,则a 的值是( ) A .3 B .8 C .8- D .14-7.若关于x 的分式方程2311x m x x-=--的解为正数,则m 的取值范围是( ). A .m<-2且3m ≠- B .m<2且3m ≠-C .m>-3且2m ≠-D .m>-3且2m ≠8.已知1112x y z +=+,1113y z x +=+与1114z x y +=+,则234x y z++的值为( ) A .1B .32C .2D .52二、填空题 9.当x= 时,分式 225x x -+ 的值为0.10.小成每周末要到距离家5千米的体育馆打球,他骑自行车前往体育馆比乘汽车多用10分钟,乘汽车的速度是骑自行车速度的2倍.设骑自行车的速度为x 千米/时,根据题意列方程为11.某药品原来每盒p 元,现在每盒提高3元,用200元买这种药品现在比原来少买 盒.12.若关于x 的分式方程23m x x +- ﹣1= 2x无解,则m 的值 13.若x + 1x =3,则 21x x x ++ 的值是 . 14.若关于x 的分式方程 2-1--1k x x x = 的解为正数,则满足条件的非负整数K 的值为 . 三、计算题15.解方程:12133x x x-+=--16.化简:212111a a a a +⎛⎫+÷ ⎪--⎝⎭.17.先化简2344111a a a a a -+⎛⎫-+÷ ⎪++⎝⎭,然后从22a -≤≤的范围内选择一个合适的整数作为a 的值代入求值.18.某公司开发生产的1200件新产品需要精加工后才能投放市场,现有甲、乙两个工厂都想加工这批产品.公司派出相关人员分别到这两间工厂了解生产情况,获得如下信息:信息一:甲工厂单独加工完成这批产品比乙工厂单独加工完成这批产品多用10天;信息二:乙工厂每天比甲工厂多加工20件.根据以上信息,求甲、乙两个工厂每天分别能加工多少件新产品?19.为了深入贯彻习总书记关于“双减”工作的重要指示,增强学生的体质,济南市某中学决定购买一些篮球和足球来促进学生的体育锻炼,已知每个篮球的售价比每个足球的售价单价多20元,并且花费6000元购买篮球的数量是花费3200元购买足球数量的1.25倍.(1)求篮球和足球的单价分别是多少元?(2)根据学校的实际需求,需要一次性购买篮球和足球共200个,并且要求购买篮球和足球的总费用不超过9600元,那么学校最少购入多少个足球?参考答案:1.【答案】A 2.【答案】D 3.【答案】A 4.【答案】B 5.【答案】D 6.【答案】C 7.【答案】C 8.【答案】C9.【答案】210.【答案】5x ﹣52x =1611.【答案】26003p p+ 12.【答案】﹣32 或﹣ 12 13.【答案】1414.【答案】015.【答案】解:等式两边同时乘以 3x - 原方程可化为: 123x x --=-解得 1x =经检验 1x = 是原方程的解.16.【答案】解:原式211112a a a a a++--=⋅- 2(1)(1)12a a a a a+-=⋅- 1a =+. 17.【答案】解:2344111a a a a a -+⎛⎫-+÷ ⎪++⎝⎭=()()231111(2)a a a a a --++⋅+- =()()22211(2)a a a a a +-+-⋅+- =22a a +-- 当a =0时,原式=1.18.【答案】解:设甲工厂每天能加工x 件新产品,则乙工厂每天能加工x+20件新产品,根据题意得:1200x ﹣120020x +=10解得:x=40或x=﹣60(不合题意舍去)经检验:x=40是所列方程的解.乙工厂每天加工零件为:40+20=60(件).答:甲工厂每天能加工40件新产品,乙工厂每天能加工60件新产品.19.【答案】(1)解:设每个足球的售价为x 元,则每个篮球的售价为()20x +元 由题意得600032001.2520x x =⨯+ 解得40x =经检验40x =是所列方程解且正确∴2060x +=答:每个足球售价为40元,则每个篮球售价为60元;(2)解:设购入m 个足球,则购入()200m -个篮球.由题意得()40602009600m m +-≤解得120m ≥答:学校最少购入120个足球。
人教版八年级数学上册《分式方程实际应用》专项练习题-附含答案 类型一、销售利润问题例1.某公司推出一款桔子味饮料和一款荔枝味饮料 桔子味饮料每瓶售价是荔枝味饮料每瓶售价的54倍.4月份桔子味饮料和荔枝味饮料总销售60000瓶 桔子味饮科销售额为250000元 荔枝味饮料销售额为280000元.(1)求每瓶桔子味饮料和每瓶荔枝味饮料的售价?(2)五一期间 该公司提供这两款饮料12000瓶促销活动 考虑荔枝味饮料比较受欢迎 因此要求荔枝味饮料的销量不少于桔子味饮料销量的32;不多于枯子味饮料的2倍.桔子味饮料每瓶7折销售 荔枝味饮料每瓶降价2元销售 问:该公司销售多少瓶荔枝味饮料使得总销售额最大?最大销售额是多少元?【答案】(1)每瓶桔子味饮料的售价为10元 每瓶荔枝味饮料的售价为8元;(2)当m =7200时 销售额最大 w 最大值是76800元【解析】(1)解:设每瓶荔枝味饮料的售价为x 元 则每瓶桔子味饮料的售价为54x 元 依题意 得:2500002800006000054x x += 解得:x =8 经检验 x =8是原方程的解 且符合题意 ∴54x =10(元) 答:每瓶桔子味饮料的售价为10元 每瓶荔枝味饮料的售价为8元.(2)解:设销售荔枝味饮料m 瓶则销售桔子味饮料(12000﹣m )瓶 依题意 得:3(12000)22(1200)m m m m ⎧≥-⎪⎨⎪≤-⎩ 解得:7200≤m ≤8000 设总销售额w 元 则100.7(12000)684000w m m m ⨯⨯-+-+== ∴w 是m 的一次函数 且k =﹣1<0 ∴当m =7200时 销售额最大 w 最大值是76800元【变式训练1】某超市销售A 、B 两款保温杯 已知B 款保温杯的销售单价比A 款保温杯多10元 用600元购买B 款保温杯的数量与用480元购买A 款保温杯的数量相同.(1)A 、B 两款保温杯销售单价各是多少元?(2)由于需求量大 A B 两款保温杯很快售完 该超市计划再次购进这两款保温杯共120个 且A 款保温杯的数量不少于B 款保温杯数量的一半 若两款保温杯的销售单价均不变 进价均为30元/个 应如何进货才使这批保温杯的销售利润最大 最大利润是多少元?【答案】(1)A 款保温杯销售单价为40元 B 款保温杯销售单价为50元(2)购进A 款40个 B 款80个能使销售利润最大 最大利润2000元【解析】(1)解:设A 款销售单价为x 元 则B 款销售单价为(10x +)元 根据题意得:60048010x x=+ 解得40x = 经检验 40x =是原方程的解且符合题意 ∴10401050x +=+=答:A 款保温杯销售单价为40元 B 款保温杯销售单价为50元;(2)解:设购进A 款保温杯m 个 则购进B 款保温杯(120-m )个 总利润为W 元 ∴1201202m m -≤≤ ∴40120m ≤≤ 根据题意得:()()()40305030120102400W m m m =-+--=-+∴100-<∴W 随m 的增大而减小∴40m =时 W 最大 且2000W =最大值 此时1201204080m -=-=答:购进A 款40个 B 款80个能使销售利润最大 最大利润2000元【变式训练2】国家推行“节能减排 低碳经济”政策后 低排量的汽车比较畅销 某汽车经销商购进A B 两种型号的低排量汽车 其中A 型汽车的进货单价比B 型汽车的进货单价多2万元;花50万元购进A 型汽车的数量与花40万元购进B 型汽车的数量相同.(1)求A B 两种型号汽车的进货单价;(2)销售过程中发现:A 型汽车的每周销售量yA (台)与售价xA (万元台)满足函数关系yA =﹣xA +18;B 型汽车的每周销售量yB (台)与售价xB (万元/台)满足函数关系yB =﹣xB +14.若A 型汽车的售价比B 型汽车的售价高1万元/台 设每周销售这两种车的总利润为w 万元.①当A 型汽车的利润不低于B 型汽车的利润 求B 型汽车的最低售价?②求当B 型号的汽车售价为多少时 每周销售这两种汽车的总利润最大?最大利润是多少万元?【答案】(1)A 种型号汽车的进货单价为10万元、B 两种型号汽车的进货单价为8万元(2)①B 型汽车的最低售价为414万元/台 ②A 、B 两种型号的汽车售价各为13万元、12万元时 每周销售这两种汽车的总利润最大 最大利润是23万元【解析】(1)解:设B 型汽车的进货单价为x 万元 根据题意 得:502x +=40x 解得x =8 经检验x =8是原分式方程的根 8+2=10(万元)答:A 种型号汽车的进货单价为10万元、B 两种型号汽车的进货单价为8万元;(2)设B 型号的汽车售价为t 万元/台 则A 型汽车的售价为(t +1)万元/台①根据题意 得:(t +1﹣10)[﹣(t +1)+18]≥(t ﹣8)(﹣t +14) 解得:t ≥414 ∴t 的最小值为414 即B 型汽车的最低售价为414万元/台 答:B 型汽车的最低售价为414万元/台; ②根据题意 得:w =(t +1﹣10)[﹣(t +1)+18]+(t ﹣8)(﹣t +14)=﹣2t 2+48t ﹣265=﹣2(t ﹣12)2+23∴﹣2<0 当t =12时 w 有最大值为23.答:A 、B 两种型号的汽车售价各为13万元、12万元时 每周销售这两种汽车的总利润最大 最大利润是23万元.【变式训练3】某家电销售商城电冰箱的销售价为每台2100元 空调的销售价为每台1750元 每台电冰箱的进价比每台空调的进价多400元 商场用80000元购进电冰箱的数量与用64000元购进空调的数量相等.(1)求每台电冰箱与空调的进价分别是多少?(2)现在商场准备一次购进这两种家电共100台 设购进电冰箱x 台 这100台家电的销售总利润y 元 要求购进空调数量不超过电冰箱数量的2倍 且购进电冰箱不多于40台 请确定获利最大的方案以及最大利润.(3)实际进货时 厂家对电冰箱出厂价下调(0100)k k <<元 若商店保持这两种家电的售价不变 请你根据以上信息及(2)中条件 设计出使这100台家电销售总利润最大的进货方案.【答案】(1)每台空调的进价为1600元 则每台电冰箱的进价为2000元;(2)当购进电冰箱34台 空调66台获利最大 最大利润为13300元;(3)当50100k <<时 购进电冰箱40台 空调60台销售总利润最大;当50k =时 15000y = 各种方案利润相同;当050k <<时 购进电冰箱34台 空调66台销售总利润最大【解析】解:()1设每台空调的进价为x 元 则每台电冰箱的进价为()400x +元 根据题意得:8000064000400x x=+ 解得:1600x = 经检验 1600x =是原方程的解 且符合题意 40016004002000x +=+=答:每台空调的进价为1600元 则每台电冰箱的进价为2000元.()2设购进电冰箱x 台 这100台家电的销售总利润为y 元则()()()21002000175016001005015000y x x x =-+--=-+根据题意得:100240x x x -≤⎧⎨≤⎩ 解得:133403x ≤≤ x 为正整数 34x ∴= 35 36 37 38 39 40 ∴合理的方案共有7种即①电冰箱34台 空调66台;②电冰箱35台 空调65台;③电冰箱36台 空调64台; ④电冰箱37台 空调63台;⑤电冰箱38台 空调62台;⑥电冰箱39台 空调61台;⑦电冰箱40台 空调60台;5015000y x =-+ 500k =-< y ∴随x 的增大而减小∴当34x =时 y 有最大值 最大值为:50341500013300(-⨯+=元)答:当购进电冰箱34台 空调66台获利最大 最大利润为13300元.()3当厂家对电冰箱出厂价下调(0100)k k <<元 若商店保持这两种家电的售价不变则利润()()()()21002000175016001005015000y k x x k x =-++--=-+当500k -> 即50100k <<时 y 随x 的增大而增大 133403x ≤≤ ∴当40x =时 这100台家电销售总利润最大 即购进电冰箱40台 空调60台; 当50k =时 15000y = 各种方案利润相同;当500k -< 即050k <<时 y 随x 的增大而减小 133403x ≤≤ ∴当34x =时 这100台家电销售总利润最大 即购进电冰箱34台 空调66台; 答:当50100k <<时 购进电冰箱40台 空调60台销售总利润最大;当50k =时 15000y = 各种方案利润相同;当050k <<时 购进电冰箱34台 空调66台销售总利润最大.【变式训练4】为迎接“五一”小长假购物高潮 某品牌专卖店准备购进甲、乙两种衬衫 其中甲、乙两种衬衫的进价和售价如下表:若用3000元购进甲种衬衫的数量与用2700元购进乙种衬衫的数量相同.(1)求甲、乙两种衬衫每件的进价;(2)要使购进的甲、乙两种衬衫共300件的总利润不少于34000元 且不超过34700元 问该专卖店有几种进货方案;(3)在(2)的条件下 专卖店准备对甲种衬衫进行优惠促销活动 决定对甲种衬衫每件优惠a 元(6080)a <<出售 乙种衬衫售价不变 那么该专卖店要获得最大利润应如何进货?【答案】(1)甲种衬衫每件进价100元 乙种衬衫每件进价90元;(2)共有11种进货方案;(3)当6070a <<时 应购进甲种衬衫110件 乙种衬衫190件;当70a =时 所有方案获利都一样;当7080a <<时 购进甲种衬衫100件 乙种衬衫200件.【详解】解:(1)依题意得:3000270010m m =- 整理 得:3000(10)2700m m -= 解得:100m = 经检验 100m =是原方程的根 答:甲种衬衫每件进价100元 乙种衬衫每件进价90元; (2)设购进甲种衬衫x 件 乙种衬衫(300)x -件根据题意得:(260100)(18090)(300)34000(260100)(18090)(300)34700x x x x -+--⎧⎨-+--⎩ 解得:100110x x 为整数 110100111-+= 答:共有11种进货方案;(3)设总利润为w 则(260100)(18090)(300)(70)27000(100110)w a x x a x x =--+--=-+①当6070a <<时 700a -> w 随x 的增大而增大 ∴当110x =时 w 最大此时应购进甲种衬衫110件 乙种衬衫190件;②当70a =时 700a -= 27000w =(2)中所有方案获利都一样;③当7080a <<时 700a -< w 随x 的增大而减小 ∴当100x =时 w 最大此时应购进甲种衬衫100件 乙种衬衫200件.综上:当6070a <<时 应购进甲种衬衫110件 乙种衬衫190件;当70a =时 (2)中所有方案获利都一样;当7080a <<时 购进甲种衬衫100件 乙种衬衫200件.类型二、方案问题例.某商店决定购进A 、B 两种纪念品.已知每件A 种纪念品的价格比每件B 种纪念品的价格多5元 用800元购进A 种纪念品的数量与用400元购进B 种纪念品的数量相同.(1)求购进A 、B 两种纪念品每件各需多少元?(2)若该商店决定购进这两种纪念品共100件 考虑市场需求和资金周转 用于购买这100件纪念品的资金不少于800元 且不超过850元 那么该商店共有几种进货方案?(3)已知商家出售一件A 种纪念品可获利m 元 出售一件B 种纪念品可获利(6﹣m )元 试问在(2)的条件下 商家采用哪种方案可获利最多?(商家出售的纪念品均不低于成本价)【答案】(1)购进A 种纪念品每件需要10元 B 种纪念品每件需要5元;(2)共有11种进货方案;(3)当3m ≥;A 种70件 B 种30件时可获利最多;当03m << A 种60件 B 种40件时可获利最多【详解】解:(1)设购进A 种纪念品每件价格为m 元 B 种纪念币每件价格为5m -元 根据题意可知: 8004005m m =- 解得:10m = 55m -=. 答:购进A 种纪念品每件需要10元 B 种纪念品每件需要5元.(2)设购进A 种纪念品x 件 则购进B 种纪念品100x -件 根据题意可得:800105(100)850x x ≤+⨯-≤ 解得:6070≤≤x x 只能取正整数 60,61,,70x ∴=⋅⋅⋅ 共有11种情况故该商店共有11种进货方案分别为:A 种70件 B 种30件;A 种69件 B 种31件;A 种68件 B 种32件;A 种67件 B 种33件;A 种66件 B 种34件;A 种65件 B 种35件;A 种64件 B 种36件;A 种63件 B 种37件;A 种62件 B 种38件;A 种61件 B 种39件;A 种60件 B 种40件. (3)销售总利润为(100)(6)(26)600100W mx x m m x m =+--=-+-商家出售的纪念品均不低于成本价 0m ∴>根据一次函数的性质 当260m -≥时 即3m ≥W 随着x 增大而增大当70x =时 W 取到最大值;即方案为:A 种70件 B 种30件时可获利最多;当260m -<时 即03m << W 随着x 增大而减小当60x =时 W 取到最大值;即方案为:A 种60件 B 种40件时可获利最多.【变式训练1】为切实做好疫情防控工作 开学前夕 我县某校准备在民联药店购买口罩和水银体温计发放给每个学生.已知每盒口罩有100只 每盒水银体温计有10支 每盒口罩价格比每盒水银体温计价格多150元.用1200元购买口罩盒数与用300元购买水银体温计所得盒数相同.(1)求每盒口罩和每盒水银体温计的价格各是多少元?(2)如果给每位学生发放2只口罩和1支水银体温计 且口罩和水银体温计均整盒购买.设购买口罩m 盒(m 为正整数) 则购买水银体温计多少盒能和口罩刚好配套?请用含m 的代数式表示.(3)在民联药店累计购医用品超过1800元后 超出1800元的部分可享受8折优惠.该校按(2)中的配套方案购买 共支付总费用w 元;①当总费用不超过1800元时 求m 的取值范围;并求w 关于m 的函数关系式.②若该校有900名学生 按(2)中的配套方案购买 求所需总费用为多少元?【答案】(1)每盒口罩和每盒水银体温计的价格各是200元、50元;(2)购买水银体温计5m 盒能和口罩刚好配套;(3)①w =450(4)360360(4)m m m m ≤⎧⎨+>⎩;②购买口罩和水银体温计各18盒、90盒 所需总费用为6840元【解析】解:(1)设每盒口罩和每盒水银体温计的价格分别是x 元 (150)x -元根据题意 得1200300150x x =- 解得200x = 经检验 200x =是原方程的解15050x ∴-= 答:每盒口罩和每盒水银体温计的价格各是200元、50元;(2)设购买水银体温计y 盒能和口罩刚好配套根据题意 得100210m y =⨯ 则5y m =答:购买水银体温计5m 盒能和口罩刚好配套;(3)①由题意得:2005051800m m +⨯4501800m ∴ 4m ∴ 此时 450w m =;若4m > 则1800(4501800)0.8360360w m m =+-⨯=+ 综上所述:450(4)360360(4)m m w m m ⎧=⎨+>⎩; ②若该校九年级有900名学生 需要购买口罩:90021800⨯=(支)水银体温计:9001900⨯=(支)此时180010018m =÷=(盒) 51890y =⨯=(盒) 则360183606840w =⨯+=(元).答:购买口罩和水银体温计各18盒、90盒 所需总费用为6840元.【变式训练2】某超市准备购进甲、乙两种牛奶进行销售 若甲种牛奶的进价比乙种牛奶的进价每件少5元 其用90元购进甲种牛奶的数量与用100元购进乙种牛奶的数量相同.(1)求甲种牛奶、乙种牛奶的进价分别是每件多少元?(2)若该商场购进甲种牛奶的数量是乙种牛奶的3倍少5件 两种牛奶的总数不超过95件 该商场甲种牛奶的销售价格为49元 乙种牛奶的销售价格为每件55元 则购进的甲、乙两种牛奶全部售出后 可使销售的总利润(利润=售价﹣进价)超过371元 请通过计算求出该商场购进甲、乙两种牛奶有哪几种方案?【答案】(1)甲种牛奶、乙种牛奶的进价分别是每件45元、50元;(2)商场购进甲种牛奶64件 乙种牛奶23件;或商场购进甲种牛奶67件 乙种牛奶24件;或商场购进甲种牛奶70件 乙种牛奶25件;【详解】(1)设甲种牛奶进价为x 元 则乙种牛奶进价为:()5+x 元根据题意 得:901005x x =+ ∴45x = 当45x =时 0x ≠ 且50x +≠∴45x =是方程901005x x =+的解 ∴550x += ∴甲种牛奶、乙种牛奶的进价分别是每件45元、50元;(2)设该商场购进乙种牛奶数量为m 件 则该商场购进甲种牛奶数量为()35m -件∴两种牛奶的总数不超过95件 ∴3595m m -+≤ ∴25m ≤∴销售的总利润(利润=售价﹣进价)超过371元 ∴()()()3549455550371m m --+-≥∴17391m ≥ ∴23m ≥ ∴2325m ≤≤∴商场购进甲种牛奶64件 乙种牛奶23件;或商场购进甲种牛奶67件 乙种牛奶24件;或商场购进甲种牛奶70件 乙种牛奶25件.【变式训练3】某公司经销甲种产品 受国际经济形势的影响 价格不断下降.预计今年的售价比去年同期每件降价1000元 如果售出相同数量的产品 去年销售额为10万元 今年销售额只有8万元.(1)今年这种产品每件售价多少元?(2)为了增加收入 公司决定再经销另一种类似产品乙 已知产品甲每件进价为3500元;产品乙每件进价为3000元 售价3600元 公司预计用不多于5万元且不少于4.9万元的资金购进这两种产品共15件 分别列出具体方案 并说明哪种方案获利更高.【答案】(1)今年这种产品每件售价为4000元;(2)有三种方案:方案①:甲产品进货8件 乙产品进货7件;方案②:甲产品进货9件 乙产品进货6件;方案③:甲产品进货10件 乙产品进货5件;方案①的利润更高.【详解】解:()1设今年这种产品每件售价为x 元 依题意得:10000080000x 1000x=+ 解得:x 4000=. 经检验:x 4000=是原分式方程的解.答:今年这种产品每件售价为4000元.()2设甲产品进货a 件 则乙产品进货()15a -件.依题意得:()()3500a 300015a 500003500a 300015a 49000⎧+-≤⎪⎨+-≥⎪⎩解得:8a 10≤≤因此有三种方案:方案①:甲产品进货8件 乙产品进货7件;方案②:甲产品进货9件 乙产品进货6件;方案③:甲产品进货10件 乙产品进货5件.方案①利润:()()4000350083600300078200-⨯+-⨯=方案②利润:()()4000350093600300068100-⨯+-⨯=方案③利润:()()40003500103600300058000-⨯+-⨯=820081008000>>∴方案①的利润更高.类型三、工程问题例.为稳步推进5G 网络建设 深化共建共享 现有甲、乙两个工程队参与5G 基站建设工程.(1)已知乙队的工作效率是甲队的1.5倍 如果两队单独施工完成该项工程 甲队比乙队多用20天 求乙队单独施工 需要多少天才能完成该项工程?(2)当甲队施工20天完成5G 基站建设工程的13时 乙队加入该工程 结果比甲队单独施工提前25天完成了剩余的工程.①求乙队单独施工 需要多少天才能完成该项工程?②若乙队参与该项工程施工的时间不超过12天 求甲队从开始施工到完成该工程至少需要多少天?【答案】(1)乙队单独施工 需要40天才能完成该项工程.(2)①36天 ②至少40天【详解】解:(1)设乙队单独施工 需要x 天才能完成该项工程 题意 得1.5120x x=+ 解方程 得40x = 经检验 40x =是原分式方程的解 且符合题意.答:乙队单独施工 需要40天才能完成该项工程.(2)①由题意得 甲队单独施工20天完成该项工程的13 所以甲队单独施工60天完成该项工程. 甲队单独施工完成剩余23的工程的时间为602040-=(天) 于是甲、乙两队共同施工的时间为402515-=(天).设乙队单独施工需要y 天才能完成该项工程则11215603y ⎛⎫+⨯= ⎪⎝⎭解方程 得36y . 经检验 36y 是原分式方程的解 且符合题意.答:若乙队单独施工 需要36天才能完成该项工程.②设甲队从开始施工到完成该工程需要z 天依题意列不等式 得1216036z -≤ 解得:40.z ≥【变式训练1】某工程公司承包了修筑一段塌方道路的工程 并派旗下第五、六两个施工队前去修筑 要求在规定时间内完成.(1)已知第五施工队单独完成这项工程所需时间比规定时间多32天 第六施工队单独完成这项工程所需时间比规定时间多12天 如果第五、六施工队先合作20天 剩下的由第五施工队单独施工 则要误期2天完成那么规定时间是多少天?(2)实际上 在第五、六施工队合作完成这项工程的56时 公司又承包了更大的工程 需要调走一个施工队.你认为留下哪个施工队继续施工能按时完成剩下的工程?【答案】(1)规定的时间是28天;(2)留下第六施工队继续施工能在规定的时间内完成剩下的工程 见解析.【详解】解:(1)设规定的时间是x 天 根据题意 得22013212x x x ++=++ 解得28x = 经检验 28x =是原分式方程的解且符合实际意义.答:规定的时间是28天;(2)设第五、六施工队合作完成这项工程的56用了y 天 根据题意 得115283228126y ⎛⎫+= ⎪++⎝⎭ 解得20y = 由第五、六施工队单独完成剩下的工程 所需的时间分别为:5111062832⎛⎫-÷= ⎪+⎝⎭(天) 51216628123⎛⎫-÷= ⎪+⎝⎭(天) 因为2220103028,206262833+=>+=< 所以留下第六施工队继续施工能在规定的时间内完成剩下的工程.答:留下第六施工队继续施工能在规定的时间内完成剩下的工程.【变式训练1】某校利用暑假进行田径场的改造维修 项目承包单位派遣一号施工队进场施工 计划用30天时间完成整个工程.当一号施工队工作10天后 承包单位接到通知 有一大型活动要在该田径场举行 要求比原计划提前8天完成整个工程 于是承包单位派遣二号与一号施工队共同完成剩余工程 结果按通知要求如期完成整个工程.(1)若二号施工队单独施工 完成整个工程需要多少天?(2)若此项工程一号、二号施工队同时进场施工 完成整个工程需要多少天?【答案】(1)若由二号施工队单独施工 完成整个工期需要45天;(2)若由一、二号施工队同时进场施工 完成整个工程需要18天【详解】(1)设二号施工队单独施工需要x 天 根据题意得:30830810130x---+= 解得:45x = 经检验 45x =是原分式方程的解∴若由二号施工队单独施工 完成整个工期需要45天;(2)一号、二号施工队同时进场施工需要的天数为x 天 根据题意得:1113045x ⎛⎫+= ⎪⎝⎭∴18x =∴若由一、二号施工队同时进场施工 完成整个工程需要18天.【变式训练2】2019年 在新泰市美丽乡村建设中 甲、乙两个工程队分别承担某处村级道路硬化和道路拓宽改造工程.已知道路硬化和道路拓宽改造工程的总里程数是8.6千米 其中道路硬化的里程数是道路拓宽里程数的2倍少1千米.(1)求道路硬化和道路拓宽里程数分别是多少千米;(2)甲、乙两个工程队同时开始施工 甲工程队比乙工程队平均每天多施工10米.由于工期需要 甲工程队在完成所承担的13施工任务后 通过技术改进使工作效率比原来提高了15.设乙工程队平均每天施工a 米 若甲、乙两队同时完成施工任务 求乙工程队平均每天施工的米数a 和施工的天数.【答案】(1)道路硬化里程数为5.4千米 道路拓宽里程数为3.2千米;(2)乙工程队平均每天施工20米 施工的天数为160天【详解】解:(1)设道路拓宽里程数为x 千米 则道路硬化里程数为(21)x -千米依题意 得:(21)8.6x x +-= 解得: 3.2x =21 5.4x -=∴.答:道路硬化里程数为5.4千米 道路拓宽里程数为3.2千米.(2)设乙工程队平均每天施工a 米 则甲工程队技术改进前每天施工(10)a +米 技术改进后每天施工点6(10)5a +米 依题意 得:乙工程队施工天数为3200a 天 甲工程队技术改造前施工天数为:15400180031010a a ⨯=++天 技术改造后施工天数为:15400(1)30003610(10)5a a ⨯-=++天. 依题意 得:3200180030001010a a a =+++ 解得:20a = 经检验 20a =是原方程的解 且符合题意3200a∴160=. 答:乙工程队平均每天施工20米 施工的天数为160天.【变式训练3】某市为了做好“全国文明城市”验收工作 计划对市区S 米长的道路进行改造 现安排甲、乙两个工程队进行施工.(1)已知甲工程队改造360米的道路与乙工程队改造300米的道路所用时间相同.若甲工程队每天比乙工程队多改造30米 求甲、乙两工程队每天改造道路的长度各是多少米.(2)若甲工程队每天可以改造a 米道路 乙工程队每天可以改造b 米道路 (其中a b ).现在有两种施工改造方案: 方案一:前12S 米的道路由甲工程队改造 后12S 米的道路由乙工程队改造; 方案二:完成整个道路改造前一半时间由甲工程队改造 后一半时间由乙工程队改造.根据上述描述 请你判断哪种改造方案所用时间少?并说明理由.【答案】(1)甲工程队每天道路的长度为180米 乙工程队每天道路的长度为150米;(2)方案二所用的时间少【详解】(1)设乙工程队每天道路的长度为x 米 则甲工程队每天道路的长度为()30x +米根据题意 得:36030030x x=+ 解得:150x = 检验 当150x =时 ()300x x +≠ ∴原分式方程的解为:150x = 30180x +=答:甲工程队每天道路的长度为180米 乙工程队每天道路的长度为150米;(2)设方案一所用时间为:111()222s s a b s t a b ab+=+= 方案二所用时间为2t 则221122t a t b s += 22s t a b =+ ∴22()22()a b a b S S S ab a b ab a b +--=++ ∴a b 00a b >>,∴()20a b -> ∴202a b S S ab a b+->+ 即:12t t > ∴方案二所用的时间少.【变式训练4】2008年5月12日 四川省发生8.0级地震 某市派出两个抢险救灾工程队赶到汶川支援 甲工程队承担了2400米道路抢修任务 乙工程队比甲工程队多承担了600米的道路抢修任务 甲工程队施工速度比乙工程队每小时少修40米 结果两工程队同时完成任务.问甲、乙两工程队每小时各抢修道路多少米.(1)设乙工程队每小时抢修道路x 米 则用含x 的式子表示:甲工程队每小时抢修道路 米 甲工程队完成承担的抢修任务所需时间为 小时 乙工程队完成承担的抢修任务所需时间为 小时. (2)列出方程 完成本题解答.【答案】(1)(x ﹣40);240040x -;3000x ;(2)甲工程队每小时抢修道路160米 乙工程队每小时抢修道路200米【详解】(1)设乙工程队每小时抢修道路x 米 则甲工程队每小时抢修道路(x ﹣40)米 甲工程队完成承担的抢修任务所需时间为240040x -小时 乙工程队完成承担的抢修任务所需时间为2400600x =3000x 小时. 故答案为:(x ﹣40);240040x -;3000x . (2)依题意 得:240040x -=3000x 解得:x =200经检验 x =200是原方程的解 且符合题意∴x ﹣40=160.答:甲工程队每小时抢修道路160米 乙工程队每小时抢修道路200米.。
x-1有意义,则x的取值范围是__________.例2:分式的运算:-6a解:原式=-6a1.下列各式:①x-1;②4x2;④+x;⑤x.a=-b+1aB.x+y=y-xy+xD.分式及其运算(习题)➢例题示范例1:若代数式x+2【思路分析】⎧x+2≥0由题意得,⎨⎩x-1≠0解得,x≥-2且x≠1aa2+2a-8+a-2.【过程书写】a(a+4)(a-2)(a+4)+(a-2)(a+4)=a2+4a-6a (a-2)(a+4)=a2-2a (a-2)(a+4)=a(a-2) (a-2)(a+4)=a a+4➢巩固练习15π-3;③x2-y215x2x其中属于分式的是_________________.(填写序号)2.下列运算正确的是()A.-b+1C.x-yx2+yx=x+y-x-yx+y=-13.下列各分式中,属于最简分式的是()85(x+y)B.D.x2-y2x2+1都有意义;x2-2x-3的值为0;x-2÷x+1x-1有意义,则x的取值范围是x≠2且x≠1;π-2是分式.x-1有意义,则x的取值范围是______________.x-1的值为0,则x=___________.A.34(x-y)y2-x2x+yC.x2+y2x2y+xy2(x+y)24.下列结论:①无论x取何值,分式2x②当x=-1时,分式x+1③若使x+1④x+1其中正确的是_____________.(填写序号)5.若代数式x【思路分析】(请参照例1填写)⎧_____________由题意得,⎨⎩_____________解得,_______________6.若分式x2-1【思路分析】(请参照例1填写)⎧_____________由题意得,⎨⎩_____________解得,____________7.计算:xy+y⋅x2+xx2y;a-2a2-3a+2;9-x2÷2x-6x2+3x;(4)16-m2m2+2m-8÷2m+4m+2;(5)x2+9xx2+3x+x2+6x+9;ab+ac;(1)x(2)a-1⋅2a-4(3)x2-6x+9m-4m-2⋅x2-9(6)a+b b-c c-abc+a2-2a+11-a2;x-1-x-1;-2(7)a-1a2+a+(8)122a2-9-a-3;(9)x2(10)xx+1x2-1-1.【参考答案】巩固练习1.①④⑤2.D(2) 23. C4. ①5. x ≥0 且 x ≠1⎧ x ≥ 0思路分析: ⎨⎩ x -1 ≠ 06. -1;x ≥0 且 x ≠1⎧ x 2 - 1 = 0思路分析: ⎨⎩ x - 1 ≠ 07. (1) 1y 2 a - 2 (3) - x2(4)-2 (5)2(6) 2a(7) -1(8) - 2a + 3 (9) 1x - 1(10) - 1x -1; x = -1。
新人教版八年级数学上册分式单元测试题及答案新人教版八年级数学(上)分式单元测试姓名:____________ 分数:____________一、选择题(每题3分,共30分)1.下列各式:(1-x)/(4π-32x),其中分式共有()个。
A。
1个 B。
2个 C。
3个 D。
4个2.下列计算正确的是()A。
xm+xm=x2m B。
2xn-xn=2C。
x3·x3=2x3 D。
x2/x6=x-43.下列约分正确的是()A。
(x+y)/(xm+yy) = (x+y)/(xmmx+yy9b3b) = 1+ (x-y)/(xm+yy)B。
(x-y)/(a-b) = (y-b)/(b-a) C。
(ym+33x-22)/(6a+32a+1) = (ym+33x-22)/(720a) D。
None of the above4.若x、y的值均扩大为原来的2倍,则下列分式的值保持不变的是()A。
3x2/3x3 B。
2/2y2 C。
(2x+1)/(1-x) D。
None of the above5.计算(11/x)+(1-1/x)/(2x+2-2x)的正确结果是()A。
0 B。
2/(2x+2) C。
(2-2x)/(2x+2) D。
(1-x)/(1+xx)6.化简(2x2-2x)/(x2-x-6)的结果是()A。
2(x-1)/(x-3) B。
2(x+1)/(x-3) C。
2(x-1)/(x+3) D。
None of the above7.某厂接到加工720件衣服的订单,预计每天做48件,正好按时完成,后因客户要求提前5天交货,设每天应多做x 件,则x应满足的方程为()A。
(720+5x)/(48+x) = 5 B。
(720+5)/(48+x) = 5 C。
(720-5)/(48+x) = 5 D。
(720-5x)/(48+x) = 58.若xy=x-y≠0,则分式(1/x)-(1/y) =()A。
1 B。
y-x C。
分式练习题一、选择题1.在下列各式中:22a ,1a b +,1a x -,2x x ,2m -,x y x +,分式的个数是( )A .3B .4C .5D .2 2.下列各式中不是分式的是( ) A .3xB .x x C . ab xy D . 11x-3.已知分式2133x x -+的值等于零,x 的值为( ) A .1 B .1± C . 1- D . 124.实数a 、b 在数轴上的对应点如图,则代数式a ba b-+的值( )A .大于0B .小于0C .等于0D .不能确定 5.下列各式正确的是( )A 、11++=++b a x b x aB 、22x y x y =C 、()0,≠=a ma na m nD 、am an m n --=6.下列各分式中,最简分式是( )A 、()()y x y x +-8534B 、y x x y +-22C 、2222xy y x y x ++ D 、()222y x y x +- 7.在等式22211a a a a a M +++=+中,M 的值为 ( ) A. a B. 1a + C. a - D. 21a - 8.如果分式13x x +-有意义,那么x 的取值范围是 ( )A .0x ≠B .1x ≠-C .3x ≠±D .3x =± 9.下列式子正确的是( )A .22b b a a =B .0a b a b +=+C .1a b a b -+=--D .0.10.330.22a b a b a b a b--=++ 10.下列分式中,计算正确的是( )A 、32)(3)(2+=+++a c b a c bB 、b a ba b a +=++122 C 、1)()(22-=+-b a b a D 、xy y x xy y x -=---122211.若把分式xyyx 2+中的x 和y 都扩大3倍,那么分式的值( )A 、扩大3倍B 、不变C 、缩小3倍D 、缩小6倍12.已知1m +1n =1m n +,则n m +m n等于( ) A .1 B .-1 C .0 D .2 13.61x+表示一个整数,则整数x 的可能取值的个数是( ) A .8 B .6 C .5 D .4 14.若0≠-=y x xy ,则分式=-x y 11( ) A 、xy1B 、x y -C 、1D 、-115.汽车从甲地开往乙地,每小时行驶1v 千米,t 小时后可以到达,如果每小时多行驶2v 千米,那么可以提前到达的小时数是 ( ) A .212v t v v + B .112v t v v + C .1212v v v v + D .1221v t v tv v -二、填空题 1.x 时,分式42-x x 有意义;当x 时,分式1223+-x x 有意义.2.当x= 时,分式2152xx --的值为零;当x 时,分式x x --112的值等于零. 3.分式1x ,224x x -,32yx-的最简公分母是___________;分式ab c 32、bc a 3、ac b 25的最简公分母是 .4.若分式aba b+中的a 和b 都扩大到10a 和10b ,则分式的值扩大_______倍.5.计算11rr s r s⎛⎫+= ⎪+⎝⎭__________. 6.将分式22x x x +化简得1x x +,则x 满足的条件是 . 7.已知2009=x 、2010=y ,则()⎪⎪⎭⎫⎝⎛-+⋅+4422y x y x y x = .8.如果32=b a ,且a ≠2,那么51-++-b a b a = ;如果b a =2,则2222b a b ab a ++-= .9.若分式231-+x x 的值为负数,则x 的取值范围是 .10.已知()()2420b k k a k =--≠,用含有b 、k 的代数式表示a ,则a =_________.11.如果213x y x -=,那么x y =_________.12.瑞士中学教师巴尔末成功地从光谱数据9162536,,,,5122132中得到巴尔末公式,从而打开了光谱奥秘的大门,请你按这种规律写出第七个数据是 . 三、计算题(1)22329ab x x a b -⋅ (2)2233b ab a -÷ (3)22122a a a a+⋅-+(4)22222x y x xy x y x y -+÷++ (5)2224414111m m m m m -+-÷+- (6)222244(4)2x xy y x y x y -+-÷-(7)222()x x y y÷- (8)2544()()()m n mn n m -⋅-÷- (9)2222233824217--⋅÷a b a c c cd bd a(10) y x y xy x -+-24422÷()224y x - (11)352242m m m m -⎛⎫÷+- ⎪--⎝⎭(12) 22222xa bxx ax a ax -÷+- (13) ()343446222+-⋅+÷+--x x x x x x(14)2226242x y y x y x xy -+-- (15)2222223223xy yx y x y x y x y x ----+--+(16)1111322+-+--+a a a a (17)29631a a --+ (18) 21x x --x -1(19)3aa --263a a a +-+3a(20)x y y y x x y x xy --++-222 (21)b a b b a ++-22(22)293261623x x x -+--+ (23)xy y x y x y x 2211-⋅⎪⎪⎭⎫ ⎝⎛+--(24) 222x x x +--2144x x x --+ (25)a a a a a a 4)22(2-⋅+-- (26)2239(1)x x x x ---÷(27)232224x x x x x x ⎛⎫-÷ ⎪+--⎝⎭ (28) a a a a a a 112112÷+---+(29) 444)1225(222++-÷+++-a a a a a a (30) )1x 3x 1(1x 1x 2x 22+-+÷-+-(31) )252(23--+÷--x x x x (32)221111121x x x x x +-÷+--+(33)2224421142x x x x x x x -+-÷-+-+ (34)2211xy x y x y x y ⎛⎫÷- ⎪--+⎝⎭(35)b a b a ab b a --÷⎪⎪⎭⎫ ⎝⎛++22222 (36)31213122+++⋅-+--x x x x x x x(37) x x x x x x x x x 416)44122(2222+-÷+----+ (38) a a a a a a a a a 2444122222--÷⎪⎭⎫ ⎝⎛+----+(39)⎪⎭⎫⎝⎛---÷-+225423x x x x (40)⎪⎭⎫ ⎝⎛-⋅⎪⎭⎫ ⎝⎛+-+--x x x x x x x x 4244222(41)()()⎪⎭⎫ ⎝⎛+---+÷+--111112842a a a a a a a a (42)x x x x x x-÷⎪⎭⎫ ⎝⎛+--2422(43)⎪⎭⎫ ⎝⎛+--÷-+-2122412232a a a a (44)()2211n m m n m n -⋅⎪⎭⎫ ⎝⎛-÷⎪⎭⎫ ⎝⎛+四、解答题1.已知一个长方体的体积为22164a b -, 2.化简求值:22222a b a b a b a a-+⋅÷-,其中1, 2.a b == 它的长为2a b +,高为4,求它的宽.3.化简求值:(b a ab 22+)3÷2223)b a ab (-·[)(21b a -]2, 4.先化简x x x x x x 11132-⋅⎪⎭⎫ ⎝⎛+--再取一个数代入求值. 其中a=-21,b=325.3,32,1)()2(222222-==+--+÷+---b a b a a b a a b ab a a b a a 其中6.请你先化简322m m m m --÷211m m -+, 7.先化简后求值:2(5)(1)5a a a a -+-÷(a 2+a ),其中a=-13.再选取一个你喜爱的数代入求值.8.有一道题“先化简,再求值: 2221()244x x x x x -+÷+-- 其中,3-=x ”小玲做题时把“3-=x ”错抄成了“3=x ”,但她的计算结果也是正确的,请你解释这是怎么回事?9.已知x -3y=0,求2222x y x x y +-+·(x -y )的值. 10.已知m+1m=2,计算4221m m m ++的值.11.已知│3a-b+1│+(3a-32b )2=0.求2b a b +÷[(b a b -)·(ab a b+)]的值.12.已知a 2+10a+25=-│b -3│,求代数式42()b a b -·32232a ab a b b +-÷222b a ab b-+的值.13.已知x 2+4y 2-4x+4y+5=0,求22442y xy x y x -+-·22y xy y x --÷(y y x 22+)2的值.14.已知()()223222x ABx x x +=+---求A 、B 的值.15.已知x 为整数,且918232322-++-++x x x x 为整数,求所有的符合条件的x 的值的和.16.已知a x b c =+,b y c a =+,cz a b=+ 求:111x y z x y z +++++的值.学习方法指导同学们只要能做到以下几点你的学习一定能有突飞孟进的提高:上好每堂课,用好每一秒。
分式练习题
一、选择题:
1、下列式子:,,1,1,32,32π
n m b a a b a x x --++ 中是分式的有( )个 A 、5 B 、4 C 、3 D 、2
2、下列等式从左到右的变形正确的是( )
A 、11++=a b a b
B 、22a b a b =
C 、b a b
ab =2 D 、am bm a b = 3、下列分式中是最简分式的是( )
A 、a 24
B 、112+-m m
C 、1
22+m D 、m m --11 4、下列计算正确的是( )
A 、m n n m =•
÷1 B 、111=÷•÷m m m m C 、1134=÷÷m m m D 、n
n m n 1=•÷ 5、计算32)32()23(m
n n m •-的结果是( ) A 、m n 3 B 、m n 3- C 、m n 32 D 、m n 32- 6、计算y
x y y x x ---的结果是( ) A 、1 B 、0 C 、
y x xy - D 、y x y x -+ 7、化简n
m m n m --+2
的结果是( ) A 、n m B 、n m m --2 C 、n m n --2 D 、m
n - 8、下列计算正确的是( )
A 、1)1(0-=-
B 、1)
1(1=-- C 、2233a a =- D 、235)()(a a a =-÷-- 9、如果关于x 的方程8778=----x
k x x 无解,那么k 的值应为( ) A 、1 B 、-1 C 、1± D 、9
10、甲、乙两人做某一工程,如果两人合作,6天可以完成,如果单独工作,甲比乙少用5天,两人单独工作各需多少天完成?设乙单独工作x 天完成,则根据题意列出的方程是( )
A 、61511=++x x
B 、61511=-+x x
C 、61511=--x x
D 、6
1511=+-x x 二、填空题:
11、分式a a
-2,当a______时,分式的值为0;当a______时,分式无意义,当a______时,分式有意义
12、()22y x -x
y x -=. 13、96,91,39222+----a a a a a a 的最简公分母是_____________. 14、
=-÷-b a ab a 11_____________. 15、=-+-a
b b b a a _____________. 16、=--2)21(_____________. 17、把0000000358.0-用科学记数法表示为______________ 18、如果方程3)
1(2=-x m 的解是5,则m=________ 19、如果51=+-x x ,则=+-22x x ___________ 20、一轮船在顺水中航行100千米与在逆水中航行60千米所用的时间相等,已知水流速度为3千米/时,求该轮船在静水中的速度?设该轮船在静水中的速度为x 千米/时,则所列方程为___________________
三、解答题
21、计算:
(1)
21)2(11+-•+÷-x x x x (2)32232)()2(b a c ab ---÷ (3)2323()2()a a a ÷-
(4)0142)3()101()2()
21(-++-----π (5)222)()()(b a a b ab ab b a b a b -•-+-÷-
(6)(3103124π--⎛⎫⎛⎫-⋅-÷ ⎪ ⎪⎝⎭⎝⎭ (7)2211y x xy y x y x -÷⎪⎪⎭⎫ ⎝⎛++-
22、先化简,再求值)1121(1222+---÷--x x x x x x ,其中3
1-=x 分式方程
一. 选择题
1.分式方程13
21=-x 的解为( ) (A )2=x (B )1=x (C )1-=x (D )2-=x
2.第六次火车大提速后,从北京到上海的火车运行速度提高了25%,运行时间缩短了2h 。
已知北京到上海的铁路全长为1462km 。
设火车原来的速度为xkm /h ,则下面所列方程正确的是( )。
A 、2)251(x 1462x 1462=+-%
B 、2x
1462)251(x 1462=--% C 、
2x 1462x 251462=-% D 、2251462x 1462=-% 3.炎炎夏日,甲安装队为A 小区安装66台空调,乙安装队为B 小区安装60台空调,两队同时开工且恰
好同时完工,甲队比乙队每天多安装2台.设乙队每天安装x 台,根据题意,下面所列方程中正确的是( )
A .66602x x =-
B .66602x x =-
C .66602x x =+
D .66602x x
=+
二. 填空题
1.若方程322x m x x -=--无解,则m =
2.南水北调东线工程已经开工,某施工单位准备对运河一段长2240m 的河堤进行加固,由于采用新的加固模式,现计划每天加固的长度比原计划增加了20m ,因而完成河堤加固工程所需天数将比原计划缩短2天,若设现在计划每天加固河堤xm ,则得方程为 。
三. 解答题
1、3386x x +-=
2、8633
x x =+- 两边同时乘以最小公倍数 得: 两边同时乘以最简公分母 得:
( )3386
x x +-=( ) ()()8633x x =+-
(3)12112-=-x x ()()
12
1x =- ()()()()121x =-
解这个整式方程得: x=
检验:
思考:解分式方程的一般步骤是:
四、解方程:
1、(1)3513+=+x x ; (2) 11322x x x
-+=---
(4)512552x x x =--- (5) 25231
x x x x +=++.
(6) (7)
2、当x 为何值时,代数式 的值等于2?
3、若使 互为倒数,求x 的值。
4、若分式方程
3234=++x m mx 的解为1=x ,求m 的值。
1211422+=+--x x x x x 233321122--=++-x x x x 23223+---x x x x 与x x x x 2
31392-
--++。