常微分方程(王高雄)第三版 2.4
- 格式:ppt
- 大小:736.00 KB
- 文档页数:2
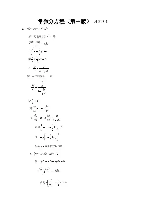
习题2.52.ydy x xdy ydx 2=- 。
解:2x ,得:ydy x xdyydx =-2c y x yd +-=221即c y x y =+221 4.xyx ydx dy -=解:两边同除以x ,得xy x y dxdy -=1令u x y= 则dxdu x u dx dy += 即dx dux u dx dy +=uu -=1 得到()2ln 211y c u -=,即2ln 21⎪⎭⎫ ⎝⎛-=y c y x另外0=y 也是方程的解。
6.()01=-+xdy ydx xy 解:0=+-xydx xdy ydxx d x yx d yy d x -=-2得到c x y x d +-=⎪⎪⎭⎫⎝⎛221即c x y x =+221 另外0=y 也是方程的解。
8.32xy x y dx dy += 解:令u xy= 则:21u x u dx du x u dx dy +=+= 即21u x dx du x= 得到22x dxu du =故c xu +-=-11 即211xx c y += 另外0=y 也是方程的解。
10. 21⎪⎭⎫⎝⎛+=dx dy dx dy x解:令p dxdy= 即pp x 21+=而p dx dy=故两边积分得到 c p p y +-=ln 212因此原方程的解为pp x 21+=,c p p y +-=ln 212。
12.x y xe dx dy e =⎪⎭⎫⎝⎛+-1 解:y x xe dxdy+=+1令 u y x =+则 dx du dx dy =+111-=-=u xe dx du dx dy 即xdx eduu =c x e u+=--221故方程的解为c x eyx =++221 14.1++=y x dxdy解: 令u y x =++1则dx du dx dy =+1 那么u dx du dx dy =-=1dx u du=+1求得: ()c x u +=+1ln故方程的解为()c x y x +=++1ln 或可写 为xce y x =++1 16.()y e dxdyx -=++211 解:令u e y=- 则u y ln -= ()1211-=+-u dxduu x ()dx x du u u 11121+-=-c x u u ++=-`1112 即方程的解为()c x y x e y+=+218.()0124322=-+dy y x dx y x 解: 将方程变形后得124322-=y x y x dx dy 22223412412y x y x y x y x dy dx -=-= 同除以2x 得:232412yy x dy dx x -=令3x z = 则24323yy z dy dz -= 23223cy y z +=即原方程的解为232323cy y x +=19.X(04)(2)2=+-x dxdyy dx dy 解:方程可化为2y()(24)(,4)()22dxdy x dx dy x y x dxdyx dx dy +=+= 令[][]ce t e t c dt e t y pdx dy e t x t p dy x e dxdyc x y x arctg xdx y x darctg xdx y x xdy ydx xdy y x x y y c y y x c y yy x dyy y y x d dy y y y xdy ydx y dy y xdy ydx dy y x ydx cy y x c y yx y d y x d dy y x ydx xy y e y xy x xy xNy M x x N x y M dy x y xydx dy y x y dx y x cye x c e yxy c e z y y e z y dy dz e z e dy dz y z e e z z e e z z ze e e z dy dx dy e z dx e dy dzy z dy dx yz x z y x dy yxe dx e y p c x y c tg c d c d x d d dy p dy dx y y p dx dy dx dy y x c yc c c x c x x c x x y cx p xdp pdx x y p xdp pdx p dp p x dx p p dp x xp dx p p dp p x x dx p p dx dp p x x p p dx dp p x p dx dp x p p x p x p x p x xp y p dx dy t t tt dx dydy y y xy xzzz z z z z z z z z z z yx y x +-+=++==+====-++===+-=-+-=+=+++-=+=+=-+=-=++-=-=-=-=-+=⎰-=-=-∂∂-∂∂-=∂∂=∂∂=-+=-+=+=+=+-=+-=+++=++-=+--+=+-=-=++====-++±==++=+∂=+∂∂=+∂∂=∂∂=∂∂∂∂=∂==∂==∂-∂===⎥⎦⎤⎢⎣⎡-+=+=+⋅===-±===-=∴=---=+-+-=-+--=--++=+=-==⎰⎰⎰----)1(,0.25.2,0)(.240),()111,1,)1(0)1(.23101,0)3(24282,6,20)3(2032.22)(,)(,ln ln 1,111)1(,)1()1(,0)1()1.(2110,1)sec cos cos cos sin sin 1sin ,cos 11(sin 1,sin 1)(1.20.42,2424,,0,24,040)4()4(0)4()4(,0)22()22(,)22()22(2222,2224,22222222222222322323242234422422322222222222222222222232222得由解:令所以方程的解为解:方程可化为也是解。
1常微分方程习题答案2.11.xy dx dy2=,并求满足初始条件:x=0,y=1的特解.解:对原式进行变量分离得。
故它的特解为代入得把即两边同时积分得:e e xx y c y x x c y c y xdx dy y22,11,0,ln ,212=====+==,0)1(.22=++dy x dx y 并求满足初始条件:x=0,y=1的特解.解:对原式进行变量分离得:。
故特解是时,代入式子得。
当时显然也是原方程的解当即时,两边同时积分得;当xy c y x y x c y c y x y dy dx x y++=====++=+=+≠=+-1ln 11,11,001ln 1,11ln 0,11123.yxy dx dy x y 321++=解:原式可化为:x x y xxyxyx yyxyc c c c x dx x dy y yx ydxdy2222222232232)1(1)1)(1(),0(ln 1ln 21ln 1ln 2111,0111=++=++≠++-=++=+≠+∙+=+)故原方程的解为(即两边积分得故分离变量得显然.0;0;ln ,ln ,ln ln 0110000)1()1(4===-==-+=-++=-=+≠===-++x y c y x xy c y x xy c y y x x dy y y dx x x xy x y xdy y ydx x 故原方程的解为即两边积分时,变量分离是方程的解,当或解:由:10ln 1ln ln 1ln 1,0ln 0)ln (ln :931:8.cos ln sin ln 07ln sgn arcsin ln sgn arcsin 1sgn 11,)1(,,,6ln )1ln(21111,11,,,0)()(:53322222222222c dxdy dx dy xycy ud uudx x x y u dx xydy x y ydx dy y x x c dy yy yydxdy c x y tgxdx ctgydy ctgxdy tgydx cx x xycx x u dxx x du xdxdudxdux u dx dy ux y u x y y dx dy xc x arctgu dx x du u u u dx du x u dxdu xu dx dy ux y u x y x y x y dx dy dx x y dy x y ee ee ee eexy uu xy x uu xyxyyx xx+===+=+-===-∙-=--+-=-=+-===-=+∙=+∙=∙=--=+===-+=+-=++=++-++=++===+-==-++-+--两边积分解:变量分离:。
常微分方程习题答案2.11.xy dx dy2=,并求满足初始条件:x=0,y=1的特解.解:对原式进行变量分离得。
故它的特解为代入得把即两边同时积分得:e e xx y c y x x c y c y xdx dy y22,11,0,ln ,212=====+==,0)1(.22=++dy x dx y 并求满足初始条件:x=0,y=1的特解.解:对原式进行变量分离得:。
故特解是时,代入式子得。
当时显然也是原方程的解当即时,两边同时积分得;当xy c y x y x c y c y x y dy dx x y++=====++=+=+≠=+-1ln 11,11,001ln 1,11ln 0,11123yxy dx dy x y 321++=解:原式可化为:x x y xx y x yx y y x y c c c c x dx x dy y y x y dx dy 2222222232232)1(1)1)(1(),0(ln 1ln 21ln 1ln 2111,0111=++=++≠++-=++=+≠+∙+=+)故原方程的解为(即两边积分得故分离变量得显然.0;0;ln ,ln ,ln ln 0110000)1()1(4===-==-+=-++=-=+≠===-++x y c y x xy c y x xy c y y x x dy y ydx x x xy x y xdy y ydx x 故原方程的解为即两边积分时,变量分离是方程的解,当或解:由:10ln 1ln ln 1ln 1,0ln 0)ln (ln :931:8.cos ln sin ln 07ln sgn arcsin ln sgn arcsin 1sgn 11,)1(,,,6ln )1ln(21111,11,,,0)()(:53322222222222c dx dy dx dy xycy ud uudx x x y u dx xydy x y ydx dy y x x c dy yy yydxdy c x y tgxdx ctgydy ctgxdy tgydx cx x xycx x u dxx x du xdxdu dxdux u dx dy ux y u x y y dxdy xc x arctgu dx x du u u u dx du x u dxdu xu dx dy ux y u x y x y x y dx dy dx x y dy x y e e e e e e eexy uu xy x u u x yxyyx xx+===+=+-===-∙-=--+-=-=+-===-=+∙=+∙=∙=--=+===-+=+-=++=++-++=++===+-==-++-+--两边积分解:变量分离:。
常微分方程(第三版) 习题2.52.ydy x xdy ydx 2=-解:2x ,得:ydy x xdyydx =-2c y x yd +-=221即c y x y =+221 4.xyx ydx dy -=解:两边同除以x ,得xy x y dxdy -=1令u x y= 则dxdu x u dx dy += 即dx dux u dx dy +=uu -=1 得到()2ln 211y c u -=,即2ln 21⎪⎭⎫ ⎝⎛-=y c y x另外0=y 也是方程的解。
6.()01=-+xdy ydx xy 解:0=+-xydx xdy ydxx d x yx d yy d x -=-2得到c x y x d +-=⎪⎪⎭⎫⎝⎛221即c x y x =+221 另外0=y 也是方程的解。
8.32xy x y dx dy += 解:令u xy= 则:21u x u dx du x u dx dy +=+= 即21u x dx du x= 得到22x dxu du =故c xu +-=-11 即211xx c y += 另外0=y 也是方程的解。
10. 21⎪⎭⎫⎝⎛+=dx dy dx dy x解:令p dxdy= 即pp x 21+=而p dx dy=故两边积分得到 c p p y +-=ln 212因此原方程的解为pp x 21+=,c p p y +-=ln 212。
12.x y xe dx dy e =⎪⎭⎫⎝⎛+-1 解:y x xe dxdy+=+1令 u y x =+则 dx du dx dy =+111-=-=u xe dx du dx dy 即xdx eduu =c x e u+=--221故方程的解为c x eyx =++221 14.1++=y x dxdy解: 令u y x =++1则dx du dx dy =+1 那么u dx du dx dy =-=1dx u du=+1求得: ()c x u +=+1ln故方程的解为()c x y x +=++1ln 或可写 为xce y x =++1 16.()y e dxdyx -=++211 解:令u e y=- 则u y ln -= ()1211-=+-u dxduu x ()dx x du u u 11121+-=-c x u u ++=-`1112 即方程的解为()c x y x e y+=+218.()0124322=-+dy y x dx y x 解: 将方程变形后得124322-=y x y x dx dy 22223412412y x y x y x y x dy dx -=-= 同除以2x 得:232412yy x dy dx x -=令3x z = 则24323yy z dy dz -= 23223cy y z +=即原方程的解为232323cy y x +=19.X(04)(2)2=+-x dxdyy dx dy 解:方程可化为2y()(24)(,4)()22dxdy x dx dy x y x dxdyx dx dy +=+= 令[][]ce t e t c dt e t y pdx dy e t x t p dy x e dxdyc x y x arctg xdx y x darctg xdx y x xdy ydx xdy y x x y y c y y x c y yy x dyy y y x d dy y y y xdy ydx y dy y xdy ydx dy y x ydx cy y x c y yx y d y x d dy y x ydx xy y e y xy x xy xNy M x x N x y M dy x y xydx dy y x y dx y x cye x c e yxy c e z y y e z y dy dz e z e dy dz y z e e z z e e z z ze e e z dy dx dy e z dx e dy dzy z dy dx yz x z y x dy yxe dx e y p c x y c tg c d c d x d d dy p dy dx y y p dx dy dx dy y x c yc c c x c x x c x x y cx p xdp pdx x y p xdp pdx p dp p x dx p p dp x xp dx p p dp p x x dx p p dx dp p x x p p dx dp p x p dx dp x p p x p x p x p x xp y p dx dy t t tt dx dydy y y xy xzzz z z z z z z z z z z yx y x +-+=++==+====-++===+-=-+-=+=+++-=+=+=-+=-=++-=-=-=-=-+=⎰-=-=-∂∂-∂∂-=∂∂=∂∂=-+=-+=+=+=+-=+-=+++=++-=+--+=+-=-=++====-++±==++=+∂=+∂∂=+∂∂=∂∂=∂∂∂∂=∂==∂==∂-∂===⎥⎦⎤⎢⎣⎡-+=+=+⋅===-±===-=∴=---=+-+-=-+--=--++=+=-==⎰⎰⎰----)1(,0.25.2,0)(.240),()111,1,)1(0)1(.23101,0)3(24282,6,20)3(2032.22)(,)(,ln ln 1,111)1(,)1()1(,0)1()1.(2110,1)sec cos cos cos sin sin 1sin ,cos 11(sin 1,sin 1)(1.20.42,2424,,0,24,040)4()4(0)4()4(,0)22()22(,)22()22(2222,2224,22222222222222322323242234422422322222222222222222222232222得由解:令所以方程的解为解:方程可化为也是解。
目录第三章一阶微分方程的解的存在定理 (I)内容提要及其它 (1)3.1 解的存在唯一性定理与逐步逼近法 (3)3.1.1 存在唯一性定理 (3)3.1.1.1 特殊情况 (3)1、等价积分方程 (4)2、逐步逼近法 (4)3、引理 (4)3.1.1.2 一般情况 (8)3.1.2 近似计算和误差估计 (9)3.2 解的延拓 (11)3.2.1 局部的利普希茨条件 (11)3.2.2 解的延拓 (11)3.2.3 饱和解 (12)3.2.4 解的延拓定理 (13)3.2.5 解延拓定理的应用 (13)3.3 解对初值的连续性和可微性定理 (15)3.3.1 引言 (15)3.3.2 解关于初值的对称性 (15)3.3.3 引理 (15)3.3.4 解对初值的连续依赖定理 (15)3.3.5 解对初值和参数的连续依赖定理 (16)3.3.6 解对初值得可微性 (17)3.4 奇解 (20)3.4.1 包络和奇解 (20)3.4.2 C-判别曲线法 (20)3.4.3 P-判别曲线 (22)第五节内容提要及其它 (24)3.5 数值解 (25)主要内容 (25)具体内容 (25)主题 (25)3.5.1 欧拉公式 (26)3.5.1.1 基本方法 (26)3.5.1.2 格式 (26)3.5.1.3 局部截断误差和精度 (26)3.5.1.4 隐式欧拉公式 (26)3.5.1.5两步欧拉公式 (27)3.5.1.6应用 (27)3.5.2 改进的欧拉方法 (28)3.5.2.1 梯形格式 (28)3.5.2.2 改进的欧拉格式 (28)3.5.2.3 例题分析(p101-102) (29)3.5.3 龙格-库塔方法 (31)3.5.3.1 设计思想 (31)3.5.3.2二阶Runge-Kutta (32)3.5.3.3 三阶Runge-Kutta (33)3.5.4 收敛性和稳定性 (35)3.5.4.1 收敛性问题 (35)3.5.4.2 稳定性 (35)本章小结及其它 (37)第三章一阶微分方程的解的存在定理内容提要及其它授课题目(章、节)第三章:一阶微分方程的解的存在定理教材及主要参考书(注明页数)教材:常微分方程(第三版),王高雄等,高等教育出版社,2006年,p75-119主要参考书:[1]常微分方程,东北师范大学微分方程教研室编,高等教育出版社,2005,p71-115[2]数学分析(下)(第二版),华东师范大学数学系编,高等教育出版社,1998,p33-46[3]常微分方程习题解,庄万主编,山东科学技术出版社,2003,p170-224[4]差分方程和常微分方程,阮炯编著,复旦大学出版社,2002,p149-164目的与要求:掌握一阶常微分方程初值问题的解的存在唯一性定理及其证明方法,理解常微分方程初值问题的解的延拓和解对初值以及参数的连续依赖性和可微性定理.了解一阶常微分方程奇解和包络的概念以及求奇解的方法.教学内容与时间安排、教学方法、教学手段:教学内容:第1节解的存在唯一性定理;第2节解的延拓;第3节解对初值的连续性和可微性;第4节奇解;(数学与应用数学专业)第5节数值解。
第一章 绪论微分方程: 联系自变量、未知函数以及它的导数间的关系式。
自变量只有一个的称为常微分方程.§1.1 常微分方程模型例1 RLC 电路包括电感L , 电阻R 和电容C 及电源的电路称为RLC电路. 电流I 流经R,L,C 的电压降分别是RI, d d I Lt , Q C,其中Q 为电量, 它与电流的关系为d d QI t =. 基尔霍夫第二定律: 闭合回路中, 所有支路上的电压的代数和为零.如图所示的 RL 电路, 电感L , 电阻R 和电源电压E 为常数.设0t =时, 电路中没有电流. 开关S 合上后电流应满足的微分方程d 0d I E L RI t--=, 即d d I R E I t L L +=, 求出的()I t 应满足: 0t =时, 0I =.如果在0t t =时, 0I I =, 电源E 突然短路, 则E 变为0并且此后一直保持为0, 则电流I 满足方程d 0d I RI t L +=, 及条件0t t =时, 0I I =.再看如图所示的RLC 电路, 电阻R, 电感L 和电容C 都是常数. 电源()e t 是时间t 的已知函数.开关S 合上后, 电流I 应满足的微分方程()d d I Qe t L RI t C=++, 微分上式可得()22d d d 1d d d e t I R I I t L t LC L t++=, 如果()e t =常数, 则有22d d 10d d I R I t L t LC++=. 如果电阻R =0, 则有22d 10d I t LC+= 例2 数学摆解 设摆在铅垂线右边时所成夹角ϕ为正. 质点M 沿圆周切向速度v 可表示为d d v l tϕ=. 重力mg 沿圆周切向的分力为MP, 数值为sin mg ϕ-, 于是摆的运动方程为 d sin d vmmg tϕ=-, 即22d sin d gt l ϕϕ=-. 如果是微小振动, 即ϕ比较小时, 可取sin ϕϕ≈, 于是微小振动方程为22d 0d gt lϕϕ+=. 如果摆在一个粘性介质中运动, 设阻力系数为μ, 则摆的运动方程为22d d 0d d gt m t lϕμϕϕ++=. 如果沿摆的运动方向恒有一个外力()F t 作用于它, 则称受迫微小振动, 方程为()22d d 1d d g F t t m t l mlϕμϕϕ++=.摆的初始条件为0t =时, 0ϕϕ=,0d d tϕω=. 例3 人口模型Malthus 假定: 人口出生率是常数r , 则从t 到t t +∆这段时间人口数量()N t 的增长量为()()()N t t N t rN t t +∆-=∆于是人口数量满足d d NrN t = 改写为d d Nr t N= 两边积分可得ln N rt c =+ 这里c 为任意常数, 上式又可变形为rt N ce =这里c c e =, 注意0N =也是解, 所以c 可以是任意常数. 如果设初值条件为0t t =时, ()0N t N =代入上式可得00rt c N e -=, 即方程满足此初始条件的解为()()00r t t N t N e -=.Logistic 模型: 引入环境最大容纳量m N , 假定净相对增长率为()1m N t r N ⎛⎫- ⎪⎝⎭, 则人口模型变为d 1d m N N r N t N ⎛⎫=- ⎪⎝⎭. 例4 传染病模型设某地区在某种传染病传播期间总人数保持不变, 为常数n . 开始感染人数为0x , 在t 时刻的健康人数为()y t ,染病人数为()x t , 则有()()x t y t n +=设单位时间内一个病人能传染的人数和当时健康人数成正比, 比例常数为k , 称之为传染系数, 于是()()()d d x t ky t x t t= 注意到总人数不变, 可得()()0d ,0d xkx n x x x t=-= 此模型称为SI 模型, 即Susceptible, Infective.对无免疫性的疾病, 病人治愈后会再次感染. 设单位时间治愈率为μ, 则SI 模型应修正为 ()()()()()0d ,0d x t ky t x t x t x x tμ=-=, 即()()0d 1,0d x kx n x x kx n x x x t μσ⎛⎫=--=--= ⎪⎝⎭这个称为SIS 模型. 其中1μ是这个传染病的平均传染期,kσμ=是整个传染期内每个病人有效接触的平均人数(接触数).对于免疫性很强的疾病, 病人治愈后不会再被感染, 即在t 时刻的治愈后免疫人数为()r t , 称为移除者(Removed), 设治愈率l 为常数, 即()()d d r t lx t t= 注意到总人口不变, ()()()x t y t r t n ++=, 我们得到d d d d xkxy lx ty kxy t⎧=-⎪⎪⎨⎪=-⎪⎩这个模型称为SIR 模型.例5 两生物种群生态模型某环境中有两种鱼: 被食鱼与捕食鱼. 设t 时刻被食鱼的总数为()x t , 捕食鱼的总数为()y t , 如果没用捕食鱼, 则被食鱼的增长规律为d d xax t=, 设捕食率为b , 则有d d xax bxy t=- 而捕食鱼有一个自然减少率c , 被食鱼供养捕食鱼的能力为d , 则有d d ycy dxy t=-+ 这个称之为Volterra 捕食-被捕食模型.其更一般的模型为()()d d d d d xx a bx cy ty y ex fy t⎧=++⎪⎪⎨⎪=++⎪⎩ 从数学的角度归类:d d I R E I t L L +=, d d N rN t =可以写为d d yay c t+=. 而 ()22d d d 11d d d e t I R I t L t LC L t++= 和()22d d 1d d g F t t m t l ml ϕμϕϕ++= 可以写为()22d d d d y yb cy f t t t++=.§1.2 基本概念和常微分方程的发展历史1.2.1 常微分方程的基本概念(1) 常微分方程和偏微分方程如果在微分方程中自变量的个数只有一个, 则称为常微分方程; 自变量的个数多于一个的微分方程则称为偏微分方程.第一节中的例子都是常微分方程. 以下是偏微分方程2222220T T Tx y z ∂∂∂++=∂∂∂,224T Tx t∂∂=∂∂. 阶数: 微分方程中出现的最高阶导数的阶数称为微分方程的阶数. 一般的n 阶常微分方程具有如下形式:d d ,,,,0d d n n y y F x y x x ⎛⎫= ⎪⎝⎭ ,这里F 是d d ,,,,d d n n y y x y x x 的表达式, 且必含有d d n n yx, y 是未知函数, x 是自变量.此书中常微分方程也简称为微分方程或方程. (2) 线性和非线性如果方程d d ,,,,0d d n n y y F x y x x ⎛⎫= ⎪⎝⎭ 左端为y 及d d ,,d d n n y yx x的一次有理整式, 则称方程为n 阶线性微分方程. 一般n 阶线性微分方程的形式为()()()()1111d d d d d d n n n n n n y y ya x a x a x y f x x x x---++++= , 这里()()()1,,,n a x a x f x 是x 的已知函数.不是线性方程的方程统称为非线性方程. 例如22d sin d gt lϕϕ=- 是二阶非线性方程.(3) 解和隐式解如果函数()y x ϕ=代入方程d d ,,,,0d d n n y y F x y x x ⎛⎫= ⎪⎝⎭ 后能使它变为恒等式, 则称()y x ϕ=为方程的解. 如果关系式(),0x y Φ=决定的隐函数()y x ϕ=是方程的解, 则称(),0x y Φ=为方程的隐式解.例: 一阶微分方程d d y xx y=-的有解y =y =则关系式221x y +=就是此方程的隐式解.解和隐式解统称为方程的解而不加以区别. (4) 通解和特解含有n 个独立的任意常数12,,,n c c c 的解()12,,,,n y x c c c ϕ=称为方程d d ,,,,0d d n n y y F x y x x ⎛⎫= ⎪⎝⎭ 的通解. 同样可定义隐式通解. 它们统称为方程的通解而不加以区分. 为了确定微分方程一个特解所需的条件称为定解条件. 常见的定解条件是初始条件, 方程d d ,,,,0d d n n y y F x y x x ⎛⎫= ⎪⎝⎭ 的初始条件是指当0x x =时, ()()1110001d d ,,,d d n n n y y y y y y x x---=== ,()()110000,,,,n x y y y - 是给定的n +1个常数.求微分方程满足定解条件的解, 就是定解问题. 当定解条件为初始条件时, 称为初值问题, 这也是本书讨论的主要内容.满足初始条件的解称为微分方程的特解. 初始条件不同, 特解也不同.例: 人口模型的解rt N ce =含有一个任意常数c , 所以是d d NrN t=的通解, 而()()00r t t N t N e -=就是满足初始条件0t t =时, ()0N t N =的特解, 它可在通解中令00rt c N e-=得到.例: 二阶微分方程22d d 540d d y yy x x++= 的通解为412x x y c e c e --=+,这里12,c c 是任意常数, 满足初始条件()()d 002,1d y y x== 的特解为43x x y e e --=-. 5) 积分曲线和方向场 一阶微分方程()d ,d yf x y x= 的解()y x ϕ=代表xy 平面上一条曲线, 称为微分方程的积分曲线. 而通解(),y x c ϕ=则对应一族曲线, 称为积分曲线族.满足初始条件()00y x y =的解就是过点()00,x y 的积分曲线. 积分曲线上每一点(),x y 的切线斜率正好就是(),f x y . 反之, 如果有某条曲线, 它在点(),x y 的切线斜率是(),f x y , 则它就是一条积分曲线.方向场: 设(),f x y 的定义域为D , 在每个(),x y D ∈上画一个方向, 此方向的斜率等于(),f x y , 这种带有方向的区域称为方程()d ,d yf x y x=确定的方向场. 等斜线: 在方向场中, 方向相同的点的轨迹称为等斜线. ()d ,d yf x y x =的等斜线方程为(),f x y k =,其中k 是参数.例 d 1d yxy x=+. 利用Maple 模拟出的此方程的方向场:6) 微分方程组用两个及两个以上的关系式表示的涉及多个函数的导数的微分方程称为微分方程组.第二章 一阶微分方程的初等解法初等解法: 即将微分方程的求解问题转化为积分问题 注1 不一定要求用初等函数表示积分.注2 并不是所有的微分方程都有初等解法. §2.1 变量分离方程与变量变换2.1.1 变量分离方程形如()()d d y f x y x ϕ= 的方程, 称为变量分离方程, 这里()f x 和()y ϕ分别是x,y 的连续函数.解法: 如果()0y ϕ≠, 则方程可改写为()()d d y f x x y ϕ=, 两边积分, 得到()()d d y f x x c y ϕ=+⎰⎰,其中c 是任意常数, 而()d y y ϕ⎰和()d f x x ⎰则分别表示()1y ϕ和()f x 的一个原函数. 容易验证方程()()d d y f x x c y ϕ=+⎰⎰所确定的隐函数(),y y x c =就是原微分方程的通解.如果存在0y 使得()00y ϕ=, 则0y y =也是原方程的解, 它不包含的通解中, 须补上.例1 求解方程d d y x x y=-. 解 分离变量, 可得d d y y x x =-,两边积分 2222y x c =-+, 化简可得通解为22x y c +=.例2 求解两种群模型 ()()d d d y c x y x x a by -+=-, 0,0x y ≥≥. 解 分离变量 d d d c a x b y x y ⎛⎫⎛⎫-=-+ ⎪ ⎪⎝⎭⎝⎭, 积分得 ln ln c x dx a y by k -=-++化简为d c x a by xe y e k --=±考虑条件0,0x y ≥≥以及0y =是解, 可得方程的通解为 d c x a by x e y e k --=这里0k ≥是任意常数.例3 求解Logistic 模型 ()()00d 1,,0d m N N r N N t N N t t N ⎛⎫=-=≥ ⎪⎝⎭. 解 分离变量()d d d d m m m N N N N r t N N N N N N ==+--积分可得()ln ln m rt c N N N +=-- 其中c 为任意常数, 化简 ()1rt c m N e N-+=- 即 1m rtN N ce -=+ 这里c c e -=, 代入初值得 001rt m N ce N -=- 最后得到 ()()0011mN r t t mN N N e --=+-.例4 求方程()d d y P x y x=的通解, 其中()P x 是x 的连续函数. 解 分离变量 ()d d y P x x y=, 两边积分()ln d y P x x c =+⎰ , 即()d P x x c y e +⎰= , 于是()d P x x c y e e ⎰=±⋅ ,令c c e =± , 于是()d P x x y ce ⎰=. 此外0y =也是方程的解, 但它已包括在上述解中. 故通解为()d P x x y ce ⎰=, 其中c 为任意常数.2.1.2 可化为变量分离方程的类型介绍两种简单情形:1) 形如 d d y y g x x ⎛⎫= ⎪⎝⎭的方程称为齐次方程, 这里()g u 是u 的连续函数.求解方法: 作变量变换 y u x= 于是 d d d d y u x u x x=+, 将上两式代入原方程可得 ()d d u x u g u x+=, 整理后可得 ()d d g u u u x x-=, 这是一个关于u,x 的变量分离方程, 可求解, 再代回原来的变量即可.例5 求解方程d tan d y y y x x x=+. 解 这是齐次方程, 令y u x =, d d d d y u x u x x =+, 代入原方程d tan d u x u u u x +=+, 即d tan d u u x x=, 分离变量 d cot d x u u x=, 两边积分 ln sin ln u x c=+ , c 是任意常数, 整理可得sin c u e x =±⋅ ,令c c e =± , 可得sin u cx =, 此外方程还有解tan 0u =, 此解已包括在上式中, 故通解为sin u cx =, c 是任意常数, 代回原来的变量可得到原方程的通解为 sin y cx x=, c 是任意常数. 例6求解方程()d 0d y x y x x+=<. 解 将方程改写为d d y y x x= ()0x <, 这是齐次方程, 令y u x =, d d d d y u x u x x =+, 代入原方程得d d u xx=分离变量d x x =, 两边积分()ln x c =-+, 即()()()2ln ln 0u x c x c =-+-+>⎡⎤⎣⎦,这里c 是任意常数, 此外0u =也是方程的解, 它不包括在通解中.代回原来的变量, 得到原方程的通解为()()()2ln ln 0y x x c x c =-+-+>⎡⎤⎣⎦及0y =.或者也可将方程的解表示为 ()()()2ln ,ln 0,0,ln 0.x x c x c y x c ⎧-+-+>⎡⎤⎪⎣⎦=⎨-+≤⎪⎩2) 形如111222d x a x b y c =++ 的方程也可化为变量分离方程. 分三种情形讨论.(1) 120c c ==的情形此时方程可化为 11112222d d yx y x a b a x b y y y g x a x b y x a b ++⎛⎫=== ⎪++⎝⎭ , 从而变为一个齐次方程求解. (2) 11220a b a b =, 即1122a b a b =的情形. 设上面的比值为k , 即1122a b k a b ==, 则方程可写为 ()()22122222d d k a x b y c y f a x b y x a x b y c ++==+++, 令22a x b y u +=, 则有()22d d u a b f u x=+, 这是一个关于u , x 的变量分离方程, 可求解. (3) 11220a b a b ≠, 及1c , 2c 不全为零的情形. 此时方程组11122200a x b y c a x b y c ++=⎧⎨++=⎩ 有解, 设解为(),αβ. 显然()(),0,0αβ≠, 否则与1c , 2c 不全为零矛盾.可通过坐标平移将原点移至(),αβ, 可令,X x Y y αβ=-⎧⎨=-⎩, 从而原方程化为1122d X a X b Y=+, 又转化为情形(1). 对于方程111222d d a x b y c y f x a x b y c ⎛⎫++= ⎪++⎝⎭, 也可用同样方法求解.此外, 下面各种方程也可通过适当的变量变换化为变量分离方程求解.()d d y f ax by c x =++ 令ax by c u ++=. 则()d d d d u y a b a bf u x x=+=+ ()()d d 0yf xy x xg xy y +=令xy u =, 则 ()()()()d d 11d d f u f u u y u y x y x x g u x g u ⎛⎫⎛⎫=+=-=- ⎪ ⎪ ⎪ ⎪⎝⎭⎝⎭. ()2d d y x f xy x= 令xy u =, 则 ()()()d d 11d d u y y x y f u u f u x x x x=+=+=+. 2d d y y xf x x ⎛⎫= ⎪⎝⎭令2y u x =. ()2d d 2d d y u xu x xf u x x=+=, 方程变为()2d d f u u u x x-= ()()()(),d d ,d d 0M x y x x y y N x y x y y x ++-=, 其中M, N 为x, y 的齐次函数. 令y u x =. d d d d y u u x x x=+,方程变为12d d 10d d y y y y y y g g x x x x x x ⎛⎫⎛⎫⎛⎫⎛⎫++-= ⎪⎪ ⎪⎪⎝⎭⎝⎭⎝⎭⎝⎭, 代入可得()()12d d 10d d u u g u u u x g u u x u x x ⎛⎫⎛⎫⎛⎫++++-= ⎪ ⎪ ⎪⎝⎭⎝⎭⎝⎭, 整理可得()()()()()21121d d u g u u x x ug u g u +=-+ 例7 求解方程d 1d 3y x y x x y -+=+-. 解 解方程组1030x y x y -+=⎧⎨+-=⎩, 解得1,2x y ==, 令12X x Y y =-⎧⎨=-⎩原方程变为 d d Y X Y X X Y-=+ 再令 Y u X=, 即 Y uX = 方程又变为 d 1d 1u u u X X u-+=+, 分离变量得 2d 1d 12X u u X u u+=-- 两边积分 22ln ln 21X u u c=-+-+ 整理得 ()2221c X u u e +-=±令1c c e =± , 则有()22121X u u c +-=代回原变量2212Y XY X c +-=, ()()()()22122121y x y x c -+----= 又2210u u +-=也是原方程的解, 故整理上式可得原方程的通解为22262y xy x y x c +---=这里c 为任意常数.2.1.3 应用举例例7 电容器的充电和放电如图所示的R-C 电路, 开始电容C 没有电荷, 其两端电压为零, 开关合上1后, 电容开始充电, 电压逐渐升高, 充电完毕后, 合上开关2, 电容开始放电, 求充放电过程中电容C 两端的电压c u 随时间t 的变化规律.解 对充电过程, 由基尔霍夫第二定律c u RI E +=,由于c Q Cu =, 微分得到 d d d d c u Q I C t t==, 代入可得d d c c u RC u E t+=, 这是c u 满足的微分方程, 分离变量 d d c c u t u E RC=-- 两边积分 11ln c u E t c RC-=-+ 即 1112RC RC t t c c u E e e c e ---=±=,代入初始条件0,0c t u ==可得2c E =-, 于是 ()11RC t c u E e -=-.函数图象如下放电过程类似可讨论.例8 探照灯反射镜面的形状.探照灯要求将点光源射出的光线平行反射出, 求反射镜面的形状.解 将点光源设为坐标原点, 设所求曲面为曲线 ()0y f x z =⎧⎪⎨=⎪⎩绕x 轴旋转而成的. 下面求曲线()f x , 如图.过曲线()y f x =上任一点(),M x y 做切线NT , 由反射定律可得12αα=从而 OM ON =切线斜率为 2d tan d y MP x NPα==,又OP x =, MP y =, OM =可得()y f x =满足的微分方程d d y x = 此为齐次方程, 可令y u x =进行求解. 此外, 齐次方程还可令x v y=, 此时x yv =, 微分可得d d d d x v v y y y=+ 代入方程得到d sgn d v v y v y y+=+整理可得d sgn y y y =ln x c ⎛⎫=+ ⎪⎝⎭ 注意到0y >, 可解得(y c v = 代入x v y =可得2y cx =+,整理得 ()22y c c x =+, c 为任意常数.此曲线为抛物线, 反射镜面即为旋转抛物面()222y z c c x +=+.§2.2 线性方程与常数变易法一阶线性微分方程()()()d 0d y a x b x y c x x ++= 当()0a x ≠时可写为 ()()d d y P x y Q x x=+, 下面主要讨论这种形式, 这里()P x 和()Q x 都是连续函数.当()0Q x =时, 方程 ()d d y P x y x= 称为一阶齐线性方程. 若()0Q x ≠称为一阶非齐线性方程.一阶齐线性方程为变量分离方程, 上节例3已求得其通解为()d P x x y ce ⎰=, 其中c 为任意常数.下面讨论一阶非齐线性方程的求解问题. 设想两种方程( 齐次与非齐次) 的解必有某种联系或者形式上的相似. 但是()d P x x y ce ⎰=必不可能是一阶非齐线性方程的解. 设想c 不是常数, 而是一个关于x 的函数()c x , 这是一个待定的函数. 于是, 将()()d P x x y c x e ⎰=代入到一阶非齐线性方程: ()()()()()()()()()d d d d d P x x P x x P x x c x e c x P x e P x c x e Q x x⎰⎰⎰+=+ 即()()()d d d P x x c x Q x e x-⎰= 积分后可得()()()d d P x x c x Q x e x c -⎰=+⎰ 代入得到()()()d d d P x x P x x y e Q x e x c -⎛⎫⎰⎰=+ ⎪⎝⎭⎰ 这就是非齐线性方程的通解. 此法称为常数变易法.例1 求方程()()1d 11d n x y x ny e x x++-=+的通解, 其中n 为常数.解 将方程改写为 ()d 1d 1n x y n y e x x x =+++, 先求对应的齐次方程 d d 1y n y x x =+ 的通解, 由公式可知通解为()1n y c x =+.下面应用常数变易法, 令 ()()1n y c x x =+ 微分之可得()()()()1d d 11d d n n c x y x n x c x x x-=+++ 代入原方程()d d x c x e x= 积分可得()x c x e c=+ 因此非齐次方程的通解为()()1n x y x e c =++ 其中c为任意常数. 例2 求方程2d d 2y y x x y =-的通解. 解 将方程改写为 d 2d x x y y y=-, 这是一个关于未知函数x 的非齐线性方程.其对应的齐次方程 d 2d x x y y= 的通解是2x cy =.应用常数变易法, 令()2x c y y =并代入方程可得 ()d 1d c y y y=- 积分可得()ln c y y c=-+ 从而原方程的通解为()2ln x y c y =- 这里c是任意常数. 伯努利方程:()()d d n y P x y Q x y x=+ 这里()(),P x Q x 都是连续函数, 且0,1n ≠.可以利用变量变换将伯努利方程化为线性方程. 当0y ≠时, 用n y -乘方程两边()()1d d n n y y y P x Q x x --=+, 令1n z y -=可得 ()d d 1d d n z y n y x x-=- 于是原方程化为 ()()()()d 11d z n P x z n Q x x=-+- 这是一个关于z,x 的线性方程, 可求通解. 此外方程还有解0y =.例3 求方程2d 6d y y xy x x=-的通解. 解 这是2n =时的伯努利方程. 令1z y -=可得 2d d d d z y y x x-=- 代入原方程 d 6d z z x x x=-+, 这是线性方程, 它的通解为 268c x z x =+ 代回原变量y 得到2618c x y x =+ 或688x x c y -= 这里c 是任意常数, 此外方程还有解0y =.§2.3 恰当方程与积分因子2.3.1 恰当方程将一阶方程 ()d ,d y f x y x= 写成微分形式(),d d 0f x y x y -=或写成具有对称形式的一阶微分方程()(),d ,d 0M x y x N x y y +=, 这里假设M, N 是x, y 的连续函数, 且具有连续的一阶偏导数.如果方程左端恰好是某个二元函数(),u x y 的全微分, 即()()(),d ,d d ,d d u u M x y x N x y y u x y x y x y ∂∂+≡≡+∂∂ 则称为恰当方程.恰当方程的通解是(),u x y c =, c 是任意常数.下面将解决两个问题(1) 如何判定方程是恰当方程?(2) 如果方程是恰当方程, 如何求出函数(),u x y ? 分析:如果()(),d ,d 0M x y x N x y y +=是恰当方程, 则有 ,u u M N x y ∂∂==∂∂,上两式对y, x 分别再求偏导 22,u M u N y x y x y x∂∂∂∂==∂∂∂∂∂∂ 由假设上面的混合偏导相等, 于是 M N y x∂∂=∂∂ 这是恰当方程的必要条件. 下证这也是恰当方程的充分条件, 即证明当方程满足此条件时能找到函数(),u x y 满足 ,u u M N x y∂∂==∂∂. 首先积分u M x ∂=∂, 得到 ()(),d u M x y x y ϕ=+⎰这里()y ϕ是y 的任意可微函数, 现在选择()y ϕ使u 能满足u N y∂=∂, 即 ()()d ,d d y M x y x N y yϕ∂+=∂⎰, 所以 ()()d ,d d y N M x y x y yϕ∂=-∂⎰. 上式右端与x 无关, 事实上右端对x 的偏导数()()(),d ,d ,d 0N N M x y x M x y x x y x x y N M x y x x y x N M x y ⎡⎤⎡⎤∂∂∂∂∂-=-⎢⎥⎢⎥∂∂∂∂∂⎣⎦⎣⎦∂∂∂⎡⎤=-⎢⎥∂∂∂⎣⎦∂∂=-≡∂∂⎰⎰⎰ 这样()y ϕ就可以积分得到()(),d d y N M x y x y y ϕ⎡⎤∂=-⎢⎥∂⎣⎦⎰⎰ 即求得()(),d ,d d u M x y x N M x y x y y ⎡⎤∂=+-⎢⎥∂⎣⎦⎰⎰⎰, 于是恰当方程的通解即为()(),d ,d d M x y x N M x y x y c y ⎡⎤∂+-=⎢⎥∂⎣⎦⎰⎰⎰ 这里c 是任意常数.例1 求()()222336d 64d 0x xy x x y y y +++=的通解.解 这里2236M x xy =+, 2364N x y y =+ 12,12M N xy xy y x∂∂==∂∂ 所以这是一个恰当方程.现求u 使得它同时满足 2236u x xy x∂=+∂ 和 2364u x y y y ∂=+∂ 积分上面第一式可得()3223u x x y y ϕ=++再对y 求导 ()223d 664d y u x y x y y y yϕ∂=+=+∂ 所以()3d 4d y y y ϕ= 积分可得()4y y ϕ=所以得到32243u x x y y =++ 方程的通解为32243x x y y c ++=,这里c 是任意常数.恰当方程可以采用”分项组合”的方法. 此法须熟记一些已知的二元函数的全微分, 如()d d d y x x y xy += 2d d d y x x y x y y ⎛⎫-= ⎪⎝⎭2d d d y x x y y x x -+⎛⎫= ⎪⎝⎭ d d d ln y x x y x xy y ⎛⎫-= ⎪⎝⎭22d d d arctan y x x y x x y y ⎛⎫-= ⎪+⎝⎭ 22d d 1d ln 2y x x y x y x y x y ⎛⎫--= ⎪-+⎝⎭例2 用”分项组合”的办法求例1. 解 分组23223d 4d 6d 6d 0x x y y xy x x y y +++= 即342222d d 3d 3d 0x y y x x y +++=再写成()3422d 30x y x y ++= 于是通解为34223x y x y c ++= 这里c 是任意常数.例3 求解方程211cos d d 0x x x y y y y ⎛⎫⎛⎫++-= ⎪ ⎪⎝⎭⎝⎭. 解 因为2211,M N y y x y ∂∂=-=-∂∂, 故方程是恰当方程, 分项组合:211cos d d d d 0x x x y x y y y y ⎛⎫++-= ⎪⎝⎭ 即2d d dsin d ln 0y x x y x y y -++= 或 d sin ln 0x x y y ⎛⎫++= ⎪⎝⎭ 所以方程的通解是 sin ln x x y c y ++= 这里c 是任意常数.2.3.2 积分因子这一部分介绍如何将一个非恰当方程转化为恰当方程.如果存在连续可微的函数(),0x y μ≠使得()()()(),,d ,,d 0x y M x y x x y N x y y μμ+= 成为一个恰当方程, 则称(),x y μ为方程()(),d ,d 0M x y x N x y y +=的积分因子.注: 理论上微分方程有解必存在积分因子且不唯一, 从而通解也可能有不同形式.(),x y μ成为方程()(),d ,d 0M x y x N xy y +=的积分因子的充要条件是()()M N y xμμ∂∂=∂∂ 即 M N N M x y y x μμμ⎛⎫∂∂∂∂-=- ⎪∂∂∂∂⎝⎭这是一个关于μ的一阶线性偏微分方程, 事实上, 解这个方程可能会比解原方程更困难. 但对于特殊形式的μ求解会相对容易许多.如果方程存在只与x 有关的积分因子()x μμ=, 则0yμ∂=∂, 这时上述关于μ的一阶线性偏微分方程变为d d M N N x y x μμ⎛⎫∂∂=- ⎪∂∂⎝⎭ 即 d d M N y x x Nμμ⎛⎫∂∂- ⎪∂∂⎝⎭= 于是方程有只与x 有关的积分因子的充要条件是 ()M N y x x Nψ∂∂-∂∂= 这里()x ψ是仅为x 的函数, 如果此条件成立, 则可积分求得方程的一个只与x 有关的积分因子()d x x e ψμ⎰=.同样, 方程有只与y 有关的积分因子的充要条件是 ()M N y x y Mϕ∂∂-∂∂=- 积分可求得方程的一个只与y 有关的积分因子 ()d y y e ϕμ⎰=.例4 试用积分因子法解一阶线性方程.解 将一阶线性方程改写为()()d d 0P x y Q x x y +-=⎡⎤⎣⎦设()()(),M x y P x y Q x =+, (),1N x y =-, 计算可得()M N y x P x N ∂∂-∂∂=- 因此方程有只与x 有关的积分因子()d P x x e μ-⎰=, 用它乘以方程两边得()()()()()d d d d d d 0P x x P x x P x x P x e y x e y Q x e x ---⎰⎰⎰-+= 即()()()()d d d d d d 0P x x P x x P x x y e e y Q x e x ---⎰⎰⎰+-=或()()()d d d 0P x x P x x ye Q x e --⎛⎫⎰⎰-= ⎪⎝⎭⎰ 故通解为()()()d d d P x x P x x ye Q x e x c --⎰⎰-=⎰或改写为()()()d d d P x x P x x y e Q x e x c -⎛⎫⎰⎰=+ ⎪⎝⎭⎰. 例5求解方程d d y x x y =-+()0y >.解 改写方程d d x x y y x +=即 ()221d 2x y x +=容易看出此方程有积分因子μ=, 用它乘以方程两边22d d x y x +=或写为d x =故通解为x c =+ 或()22y c c x =+.例6 求解方程()d d 0y x y x y +-=解 设M y =, N y x =-,1M y ∂=∂, 1N x ∂=-∂, 此方程不是恰当方程.方法1 因为2M N y x M y∂∂-∂∂=--, 故方程有只与y 有关的积分因子 ()2d 2ln 21y y y e e y μ--⎰=== 用它乘以方程的两边得到211d d d 0x x y y y y y+-= 或 2d d d 0y x x y y y y -+= 故通解为 ln x y c y+=. 方法2 将方程改写为d d d y x x y y y -=-由公式知左端有多种积分因子, 其中只和y 有关的积分因子有21y μ=, 用它乘以方程两边可得同样结果. 方法3 改写方程为 d d y y x x y=- 这是一个齐次方程, 令y u x =可求解. 方法4 改写方程为 d 1d x x y y=-这是一个x 作为未知函数的线性方程, 直接用公式可求解. §2.4 一阶隐方程与参数表示一阶隐微分方程的一般形式(),,0F x y y '=如果能够解出y ', 则方程可以采用前面介绍的方法处理. 如果不能解出y '或者解出后形式太复杂, 则可考虑利用变量变换将其变为导数解出的方程. 本节主要介绍一下四种类型1) (),y f x y '= 2) (),x f y y '= 3) (),0F x y '= 4) (),0F y y '=.2.4.1 可以解出y (或x )的方程1) 先讨论形如 d ,d y y f x x ⎛⎫= ⎪⎝⎭的方程, 假设f 有连续偏导数. 引进参数d d y p x =, 则方程变为 (),y f x p =两边对x 求导可得 d d f f p p x p x∂∂=+∂∂ 这是关于p 的导数解出的方程, 若已求得其通解为 (),p x c ϕ=则原方程的通解为()(),,y f x x c ϕ=.若求得通解为 (),x p c ψ=,则原方程的通解为如下参数形式()()(),,,x p c y f p c p ψψ=⎧⎪⎨=⎪⎩若求得通解为(),,0x p c Φ=,则原方程的通解为()(),,0,x p c y f x p Φ=⎧⎪⎨=⎪⎩ 其中p 是参数, c 是任意常数.例1 求方程3d d 20d d y y x y x x ⎛⎫+-= ⎪⎝⎭的解. 解 解出y , 并令d d y p x =, 得到 32y p xp =+两边对x 求导 2d d 322d d p p p p x p x x=++ 整理得23d 2d d 0p p x p p x ++=当0p ≠时, 用p 乘以方程两边3223d d d 0p p x p p x ++=即 423d 04p xp ⎛⎫+= ⎪⎝⎭ 故通解为 4234p xp c += 解出x 并代入32y p xp =+可得 ()43342c p y p p -=+ 因此原方程的参数式的通解为22334212c x p p c y p p ⎧=-⎪⎪⎨⎪=-⎪⎩ 0p ≠ 当0p =时, 直接计算可知0y =也是原方程的解.例2 求方程22d d d d 2y y x y x x x ⎛⎫=-+ ⎪⎝⎭的解. 解 令d d y p x =, 得到 222x y p xp =-+ 两边对x 求导 d d 2d d p p p p x p x x x=--+ 即()d 120d p p x x ⎛⎫--= ⎪⎝⎭ 由d 10d p x-= 解得p x c =+, 并得到原方程的通解 222x y cx c =++ 又20p x -=可解得2x p =, 代入后可解得原方程的另一个解 24x y = 此解和通解中每一条曲线相切, 称之为奇解, 下一章将详细介绍.2) 形如 d ,d y x f y x ⎛⎫= ⎪⎝⎭的方程解法与1)类似. 引入参数d d y p x =, 方程变为 (),x f y p =两边对y 求导再以d 1d x y p=代入得 1d d f f p p y p y∂∂=+∂∂ 此为关于p 的导数解出方程, 可求解, 设通解为 (),,0y p c Φ=则原方程的通解为()(),,,0x f y p y p c =⎧⎪⎨Φ=⎪⎩ 例3 求解例1中的方程3d d 20d d y y x y x x ⎛⎫+-= ⎪⎝⎭. 解 解出x , 并以d d y p x =代入 ()3,02y p x p p-=≠ 两边对y 求导()()232d d d d 1312p p y y p p y p p p ---= 即3d d 2d 0p y y p p p ++=积分可得42yp p c +=因而 42c p y p-= 代入得 4234c p x p -=, 于是原方程的通解为424342c p x p c p y p ⎧-=⎪⎪⎨-⎪=⎪⎩ 此外还有0y =.2.4.2 不显含y (或x )的方程3) 形如(),0F x y '=的方程, 可令d d y p y x'==, 则(),0F x p =代表xp 平面上一条曲线, 设这条曲线有参数式 ()(),x t p t ϕψ==因为d d y p x =, 代入上面的参数式可得()()d d y t t t ψϕ'=积分可得()()d y t t t c ψϕ'=+⎰ 于是原方程的参数式通解为()()(),d .x t y t t t c ϕψϕ=⎧⎪⎨'=+⎪⎩⎰ 例4 求解方程3330x y xy ''+-=.解 令y p tx '==, 方程变为333230x t x x t +-=可得 331t x t =+ 从而2331t p t =+ 于是()()3233912d d d 1t t y tx x t t -==+积分可得()32331421t y c t +=++ 因此原方程的通解为 ()332331314.21t x t t y c t ⎧=⎪+⎪⎨+=+⎪⎪+⎩4) 形如(),0F y y '=可采用同样方法求解. 令p y '=, 将(),0F y p =表示为参数式()(),y t p t ϕψ==由d d y p x =可得()()d d t t t x ϕψ'=, 所以()()d d t x t t ϕψ'=积分得()()d t x t c t ϕψ'=+⎰于是原方程的通解为()()()d .t x t c t y t ϕψϕ'⎧=+⎪⎨⎪=⎩⎰ 此外若(),00F y =有实根y k =, 则y k =亦是原方程的解.例5 求解方程()()2212y y y ''-=-. 解 令2y yt '-=, 代入原方程得 ()2221y yt y t -=即 1y t t=+故21y t '=-所以2d 1d d y x t y t==-', 积分得1x c t=+于是原方程的通解为11x c ty t t ⎧=+⎪⎪⎨⎪=+⎪⎩此外0y '=时原方程变为24y =, 所以2y =±也是原方程的解.§2.5 习题选讲1. 求下列方程的解(1) d sin cos 1d yy x x x+= 解 方程变形为sin d cos d d y x x x y x +=, 左端寻找只和x 有关的积分因子2cos x -, 积分可得2cos d tan cos yx x c x c x-=+=+⎰. (2) 2d d d y x x y x y y -=. 解 方程两边同乘以21x , 可得 2d d d y x x yy y x -=,即d d y y y x ⎛⎫-= ⎪⎝⎭, 通解为212y y c x +=. (3)d 4sin 1d y ye x x-=- 解 方程变为()4sin d d 0y yx e x e y --=, 因为1M Ny x N∂∂-∂∂= 故方程有积分因子x e , 用x e 乘以方程两边可得4sin d d d 0x y x x y e x x e e x e e y --=,即 4sin d x y xe e e x x c =+⎰,所以通解为()2sin cos y x e x x ce -=-+.(5) 22d d 0xxy y xye y x x e y ⎛⎫+-= ⎪⎝⎭解 方程可变形为齐次方程22d d xyxyy xye y x x e+=. 令x u y=, 则x uy =, d d d d x u u y y y =+,代入方程可得2d d 1u uu u e u y y ue +=+, 化简并且变量分离1d d u y e u u y ⎛⎫+=- ⎪⎝⎭, 两边积分可得 ln ln uu e y c +=-+代入原来的变量ln x yex c +=.(6) ()1d d 0xy y x x y +-= 解 方程改写为2d d d xy x x y y x =-容易看出有积分因子2y -.(7) ()()221d 2d 0x y x x y y +-++-= 解 令u x y =+d d d u x y =+, 方程化为()()()()()()()21d 2d 21d 2d d 1d 2d 0u x u yu x u u x u x u u -+-=-+--=++-= 当1u ≠-时, 变量分离可得2d d 1u u x u -=-+, 积分可得3ln 1u u x c -+=-+, ()31u x c e u +-=+代入u 得到方程通解()321x y x y ce +++=,另外1u =-即1x y +=-也是解, 包含于通解中.(8) 23d d y y y x x x=+(伯努利方程)(9)d 32d yy x x=+-(线性方程) (10) 2d d 1d d y y x x x ⎛⎫=+ ⎪⎝⎭(x 可解出的隐方程) (11)2d 1d 3y x y x x y -+=++ 解 方程化为()()21d 3d 0x y x x y y -+-++=,可验证M Ny x∂∂=∂∂, 此为恰当方程. (12) d 1d y x y e xe x -⎛⎫+=⎪⎝⎭解 方程变形为d d d y y xe x e x xe x --+=容易看出方程有积分因子x e -.(13) ()22d 2d 0x y x xy y +-=(14)d 1d yx y x=++ (15) d d yx y y e x x=+(16) ()d 112d y yx e x-++= 解 方程变形为()()12d 1d 0ye x x y --++=方程有只和y 有关的积分因子.(17) ()()2d 1d 0x y x y x y -++=解 方程改写为1d 1d 11y x y y x x x -=-++ 此为1n =-的伯努利方程.(18) ()2234d 21d 0x y x x y y +-=提示: 寻找只和y 有关的积分因子.22M Nx y y x∂∂-=∂∂, 12M Ny x M y∂∂-∂∂=--,方程有积分因子12y -.(19) 2d d 240d d y y x y x x x ⎛⎫⎛⎫-+= ⎪ ⎪⎝⎭⎝⎭. (20) 22d 11d y y x ⎡⎤⎛⎫-=⎢⎥ ⎪⎝⎭⎢⎥⎣⎦解 令sin y p t '==, 代入得sec y t =±, 由d sin d yt x=可得 sec tan d sin d t t t t x ±=, 整理得2sec d d t t x ±=, 积分得tan x t c =±+消去参数可得()221y x c =++, 此外还有解1y =±.第三章 一阶微分方程的解的存在定理在实际应用当中, 如果能够找出方程的通解表达式, 则可以通过它了解和掌握所研究对象的性质. 但是, 很多一阶方程并不能用初等解法求出通解, 而且实际问题中很多情况下都是要求满足初始条件的解, 因此研究初值问题的解的存在和唯一性具有重要的地位.反例 解存在而不唯一的例子, 方程d d yx=()0,0的解不止一个,0y =和2y x =都是解.解的存在唯一性的意义: 在解的近似计算中提供的理论依据. 在初值问题中对初值测量偏差所产生的影响.§3.1 解的存在唯一性定理与逐步逼近法3.1.1 存在唯一性定理1) 先考虑导数解出的一阶微分方程()d ,d yf x y x= 这里(),f x y 定义在矩形域00:,R x x a y y b -≤-≤上的连续函数.利普希兹条件 如果存在常数0L >使得不等式()()1212,,f x y f x y L y y -≤-对所有()()12,,,x y x y R ∈都成立, 则称函数(),f x y 在R 上满足利普希兹条件, L 成为利普希兹常数.定理1 如果(),f x y 在R 上连续且关于y 满足利普希兹条件, 则方程()d ,d yf x y x=存在唯一的解()y x ϕ=, 定义于区间0x x h -≤上, 连续且满足初始条件()00x y ϕ=这里()(),min ,,max ,x y Rbh a M f x y M∈⎛⎫== ⎪⎝⎭. 证明思路 皮卡逐步逼近法 首先将为微分方程转化为积分方程()00,d xx y y f x y x =+⎰再任取一个连续函数()0x ϕ代入上面积分方程右端的y , 得到()()()0100,d xx x y f x x x ϕϕ≡+⎰,则()1x ϕ也是连续函数, 如果()()10x x ϕϕ≡, 则()0x ϕ就是积分方程的解, 否则继续把()1x ϕ代入积分方程右端的y ,()()()0201,d xx x y f x x x ϕϕ≡+⎰如果()()21x x ϕϕ≡, 则()2x ϕ就是积分方程的解, 否则可以继续此步骤从而得到一个连续函数列()()()01,,,,n x x x ϕϕϕ可以证明上面的函数列有极限函数()x ϕ, 而它正是积分方程的解. 函数列中的第n 项称为n 次近似解.命题 1 设()y x ϕ=是方程()d ,d yf x y x=的定义于区间00x x x h ≤≤+上, 且满足初始条件()00x y ϕ=的解, 则()y x ϕ=是积分方程()00,d xx y y f x y x =+⎰定义于区间00x x x h ≤≤+上的连续解, 反之亦然.取()00x y ϕ=, 构造皮卡逐项逼近函数列()()()()00001,d x nn x x y x y f ϕϕξϕξξ-⎧=⎪⎨=+⎪⎩⎰ 命题 2 对所有的n , 上式中的()n x ϕ在[]00,x x h +上有定义、连续且满足不等式()0n x y b ϕ-≤.命题3 函数列(){}n x ϕ在[]00,x x h +上是一致收敛的.设()()lim n n x x ϕϕ→∞=, 则()x ϕ连续且()0x y b ϕ-≤. 命题 4 ()x ϕ是积分方程()00,d xx y y f x y x =+⎰定义于[]00,x x h +上的连续解.命题 5 设()x ψ是积分方程()00,d xx y y f x y x =+⎰定义于[]00,x x h +上的一个连续解, 则()()x x ϕψ≡.命题1——5即为定理1的证明.注1 利普希兹条件常用(),f x y 在R 上有对y 的连续偏导代替. 此时, 在R 上,fL y∂≤∂,()()()()212121212,,,f x y y y f x y f x y y y yL y y θ∂+--=-∂≤-注 2 对于线性方程()()d d yP x y Q x x=+, 当()P x 和()Q x 都连续时, 则定理条件就能满足.2) 现在考虑一阶隐方程(),,0F x y y '=根据隐函数定理, 如果在()000,,x y y '的某一邻域内F连续且()000,,0F x y y '=, 而0Fy∂≠'∂, 则y '必可唯一的看成是x, y 的函数(),y f x y '=且导数f FFy y y∂∂∂=-'∂∂∂ 也是连续有界的, 这样(),f x y 即满足利普希兹条件, 于是可得到下面定理.定理2 如果在()000,,x y y '的某一邻域中: 1. (),,F x y y '对所有变元连续, 且存在连续偏导数;2. ()000,,0F x y y '=;3.()000,,0F x y y y '∂≠'∂ 则方程(),,0F x y y '=存在唯一解()0,y y x x x h =-≤满足初始条件()()0000,y x y y x y ''==. 3.1.2 近似计算和误差估计§3.2 解的延拓上节中解的存在唯一性定理是局部性的, 即解只在初值附近较小领域存在. 本节讨论如何延拓解的区间至最大范围.解的延拓定理 如果方程()d ,d yf x y x=右端的函数(),f x y 在有界区域G 中连续, 且在G 内关于y 满足局部利普希兹条件, 那么此方程通过G 内任何一点()00,x y 的解()y x ϕ=可以延拓, 直到点()(),x x ϕ任意接近区域G 的边界.推论 如果G 是无界区域, 在上面解的延拓定理的条件下, 方程通过点()00,x y 的解()y x ϕ=可以延拓, 以向x 增大的方向来说, 有两种情况: (1) 解()y x ϕ=可以延拓到区间0[,)x +∞;(2) 解()y x ϕ=只可以延拓到区间0[,)x m , m 为有限数,则当x 趋向于m 时, 或者y 无界, 或者()(),x x ϕ趋向于区域的边界.如果函数(),f x y 在整个xy 平面上定义、连续且有界, 同时存在关于y 的一阶连续偏导数, 则方程()d ,d yf x y x=的任一解可以延拓到区间x -∞<<+∞.§3.3 解对初值的连续性和可微性方程()d ,d yf x y x=的解经过初值()00,x y 是唯一的,当初值()00,x y 变化时,解也随之变化. 因此可以把方程的解看成是三元函数()00,,y x x y ϕ=满足()0000,,y x x y ϕ=.解关于初值的对称性 设方程()d ,d yf x y x=的经过初值()00,x y 的解是唯一的, 记为()00,,y x x y ϕ=, 则此表达式中(),x y 和()00,x y 可以对调位置, 即成立()00,,y x x y ϕ=。
“常微分方程”教学改革初探摘要:常微分方程是数学专业的核心基础课程之一。
本文针对常微分方程教学改革的必要性,提出了几点改革的建议,以提高课堂教学质量,培养适应新时期发展需要的大学生。
关键词:常微分方程教学改革基础课程常微分方程是数学专业的核心基础课程之一。
它既是数学分析的延续,又是偏微分方程、数学建模等课程的基础。
常微分方程的重要性在于它是自然科学和社会科学中精确表述基本定律和各种问题的根本工具之一,只要根据实际背景列出微分方程,并(数值地或定性地)求出方程的解,人们就能预见事情的变化情况。
于是,微分方程成为人们认识、改造自然和社会的有力工具,也是数学联系实际的主要途径之一。
因此,微分方程对本科数学的重要性显而易见。
1.教学改革的必要性目前许多高等院校在“常微分方程”的教学中,或多或少地存在如下问题:现在各高校普遍使用的常微分方程教材往往几年、乃至十几年不变,课程内容跟不上时代步伐。
课程体系仍立足于常微分方程的基本知识及相关课程的纵向发展,忽视学科之间的横向联系。
教学中,多年采用“教师+黑板”、“我讲你听”的填鸭式单向教学模式,以教师为中心,注重理论知识的传授,忽视学生学习能力、研究能力和实践能力的培养。
近几十年来动力系统及非线性科学得到了迅猛发展,极大地促进了力学、物理、生物、地学、机械工程、通信工程、电力工程和航空航天技术的发展。
这对动力系统及非线性科学起奠基性作用的课程“常微分方程”提出了新的要求。
如何用新的思路改进教学方法,如何将新知识新方法注入教学中,如何将时代的新要求贯穿教学始终,成了现代“常微分方程”课程教学面临的新课题[5]。
2.关于教学改革的几点建议2.1.教学模式改革微分方程有两个“端点”,一个端点是实际背景,另一个端点是实际应用。
离开了这两个端点,微分方程就成了无水之源,无本之木。
因此,我们要结合新的教学实际,改革教学模式,不断提高教学质量。
首先,要抓好基本理论和基本技能(解题技巧)的教学工作。
目录第四章高阶微分方程 0内容提要及其它 (1)4.1 线性微分方程的一般理论 (2)4.1.1 引言 (2)4.1.2 齐线性方程的解的性质与结构 (3)4.1.3 非齐线性方程与常数变易法 (4)4.2 常系数线性方程的解法 (7)4.2.1 复值函数和复值解 (7)4.2.2 常系数齐线性方程和欧拉方程 (9)1、常系数齐线性方程 (9)2、欧拉(Euler)待定指数函数法 (9)3、应用 (14)4、欧拉方程 (15)4.2.3 非齐次线性方程:比较系数法和拉普拉斯变换法——求特解 (17)1. 比较系数法 (17)2. 拉普拉斯变换法 (22)4.2.4 质点振动 (25)1. 无阻尼自由振动 (25)2. 有阻尼自由振动 (26)3. 无阻尼强迫振动 (27)4. 有阻尼强迫振动 (29)4.3高阶方程的降阶和幂级数解法 (31)4.3.1可降阶的一些方程类型 (31)1.方程不显含未知函数x (31)t2.方程不显含自变量的方程 (32)3.齐线性方程 (34)4.3.2二阶线性方程的幂级数解法 (35)4.4.3 第二宇宙速度计算 (39)本章小结及其它 (41)第四章高阶微分方程内容提要及其它授课题目(章、节)第四章:高阶微分方程教材及主要参考书(注明页数)教材:常微分方程(第三版),王高雄等,高等教育出版社,2006年,p120-185主要参考书[1]常微分方程,东北师范大学微分方程教研室编,高等教育出版社,2005,p164-223[2]高等代数,北京大学数学力学系几何与代数教研室代数小组编,人民教育出版社,1978,p102-156[3]常微分方程习题解,庄万主编,山东科学技术出版社,2003,p225-383[4]差分方程和常微分方程,阮炯编著,复旦大学出版社,2002,p149-164目的与要求掌握线性微分方程的解的性质和通解结构.掌握常系数齐次线性微分方程的解法和欧拉方程的解法.掌握常数变易法、比较系数法求特解.理解高阶常微分方程的降阶解法的思想,掌握二阶常微分方程的降阶解法.了解二阶齐线性微分方程的幂级数解法的思想.教学内容与时间安排、教学方法、教学手段教学内容第1节线性微分方程的一般理论;第2节常系数线性微分方程的解法;第3节高阶微分方程的降阶和幂级数解法时间安排:12学时教学方法:讲解方法教学手段:传统教学方法与多媒体教学相结合.教学重点分析方法上的重点:常数变易法、特征根法和比较系数法.内容上的重点:线性微分方程解的结构理论是一个重点,它是求解高阶线性微分方程的理论基础,并从理论上给出了高阶线性微分方程求解的一般方法.另一个重点是常系数线性微分方程的解法,它把微分方程求解问题转化为一个代数问题进行讨论.教学难点分析方法上的难点:常数变易法、特征根法和比较系数法.内容上的难点:第一个难点是非齐次线性微分方程的常数变易法,主要是学生理解上有一定难度,没有从理论上理解为何要构造这样一个方程组,从而求解.另一个难点是常系数线性微分方程的解法,因为把求解微分方程的问题转化为了一个代数方程来讨论,而代数方程的讨论相对来说要直观容易一些.在前面的讨论中已经看出,在实际问题中除了已讨论的一阶微分方程外,还将遇到一些其它类型的非一阶的微分方程,即高阶微分方程.而在微分方程的理论中,线性微分方程是非常值得重视的一部分内容,这不仅因为线性微分方程的一般理论已被研究得十分清楚,而且线性微分方程是研究非线性微分方程的基础,它在物理、力学和工程技术中也有着广泛的应用.所以本章着重讨论线性微分方程的基本理论和常系数微分方程的解法,对于高阶微分方程的降阶问题和二阶线性方程的幂级数解法也作适当地介绍和讨论.4.1 线性微分方程的一般理论4.1.1 引言如下的n 线性阶微分方程)()()()(1111t f x t a dt dx t a dtx d t a dt x d n n n n n n =++++−−−L (4.1) 其中b t a t f n i t a i ≤≤=都是区间及)(),,2,1)((L 上的连续函数.如果,则方程(4.1)变为0)(≡t f 0)()()(1111=++++−−−x t a dt dx t a dt x d t a dt x d n n n n n n L (4.2) 定义:(n 阶齐次线性微分方程,或齐线性方程)称(4.2)为n 阶齐线性微分方程,简称为齐线性方程定义:(n 阶非齐次线性微分方程,或非齐线性方程)而一般的方程(4.1)称为n 阶非齐线性微分方程,或简称为非齐线性方程,并且通常把方程(4.2)叫做对应于方程(4.1)的齐线性方程.对于高阶微分方程,同一阶微分方程一样,也存在着解的存在性和唯一性问题,即在什么条件下,高阶微分方程有解和唯一解.为此,先给出方程(4.1)的解存在唯一性定理. 定理 1 如果b t a t f n i t a i ≤≤=都是区间及)(),,2,1)((L 上的连续函数,则对于任一及任意的,方程(4.1)存在唯一解],[0b a t ∈)1(0)2(0)1(00,,,−n x x x x L )(t x ϕ=,定义在区间上,且满足初始条件:b x a ≤≤1(1)(1)0000001()()(),,,n n n d t d t t x x x dt dtϕϕϕ−−−===L (4.3) 证明(略,具体在下一章讨论.)注释;初始条件唯一地确定了方程(4.1)的解,而且这个解在所有()(1,2,,)i a t i n =L 及()f t 连续的整个区间上有定义.a tb ≤≤4.1.2 齐线性方程的解的性质与结构定理2(叠加原理)如果是方程(4.2)的k 个解,则它们的线性组合也是(4.2)的解,这里是任意常数. )(,),(),(21t x t x t x k L )()()(2211t x c t x c t x c k k +++L k c c c ,,,21L 证明:(详细过程略),基本思想:利用导数的性质进行简单的运算即可证明原命题.特别地,当k =n 时,即方程(4.2)有解)()()(2211t x c t x c t x c x n n +++=L (4.4)它含有n 个任意常数,现在问:在什么条件下,表达式(4.4)能构成为n 阶齐次线性方程(4.2)的通解?它将具有什么特性?为了讨论的方便,先引进基本概念:函数线性相关与线性无关及伏朗斯基(Wronsky )行列式.考虑定义在区间上的函数,如果存在不全为零的常数使得恒等式b t a ≤≤)(,),(),(21t x t x t x k L kc c c ,,,21L 0)()()(2211≡+++t x c t x c t x c k k L对于所有都成立,则称这些函数是线性相关的,否则就称这些函数在所给区间上线性无关的.],[b a t ∈例:函数在任何区间上都是线性无关的;但函数在任何区间上都是线性相关的.又如函数在任何区间上都是线性无关的,因为恒等式t t sin cos 和1sin cos 22−t t 和nt t t ,,,,12L 02210≡++++n n t c t c t c c L (4.5)仅当所有时才成立.如果至少有一个),,2,1(0n i c i L ==0≠i c ,则(4.5)的的左端是一个不高于n 次的多项式,它最多可有n 个不同的根.因此,它在所考虑的区间上不能多于n 个零点,更不可能恒为零.由定义在区间],[b a t ∈上的k 个可微k-1次的函数所作成的行列式 )(,),(),(21t x t x t x k L )()()()()(')()()()()()](,),(),([)1()1(2)1(1'2'12121t x t x t x t x t x t x t x t x t x t W t x t x t x W k k k k k k k −−−≡≡L LL L L L L L 称为这些函数的伏朗斯基(Wronsky )行列式.定理3 若函数在区间)(,),(),(21t x t x t x n L ],[b a t ∈上k-1次可微且线性相关,则在[a,b]上它们的伏朗斯基(Wronsky )行列式为零,即有:0)(≡t W证明:(除教材上p123的证明方法外,还可以用反证法.注:该定理的逆命题不一定成立.构造函数如下,得到说明:)(),(21t x t x ⎩⎨⎧≤≤<≤−=10001)(21t t t t x 和. ⎩⎨⎧≤≤<≤−=10010)(22t t t t x 定理4如果方程(2)的解在区间)(,),(),(21t x t x t x n L ],[b a t ∈上线性无关,则在[,的任何点上都不等于零,即有:)](,),(),([21t x t x t x W k L ]a b )(0)(b t a t W ≤≤≠.证明:(反证方法).定理5 n 阶奇线性方程(4.2)一定存在n 个线性无关的解.定理6(通解结构定理) 如果是方程(4.2)的n 个线性无关的解,则方程(4.2)的通解可表为:)(,),(),(21t x t x t x n L )()()(2211t x c t x c t x c x n n +++=L (4.11)其中是任意常数.且通解(4.11)包括了方程(4.2)的所有解.n c c c ,,,21L 推论:方程(4.2)的线性无关解的最大个数等于n .因此有:n 阶齐线性方程的所有解构成一个n 维线性空间.方程(4.2)的一组n 个线性无关解称为方程的一个基本解组,显然,基本解组不唯一.4.1.3 非齐线性方程与常数变易法知道了齐线性方程通解的结构,很容易得到非齐线性高阶微分方程的通解结构了. 考虑n 阶非齐线性方程(4.1))()()()(1111t f x t a dt dx t a dt x d t a dt x d n n n n n n =++++−−−L (4.1) 易见方程(4.2)是它的特殊情形,仿照一阶非齐线性微分方程的解法,两者之间解的性质和结构有着十分密切的联系.性质 1 如果)(t x 是方程(4.1)的解,而是方程(4.2)的解,则也)(t x )()(t x t x +是方程(4.1)的解.性质2 方程(4.1)的任意两个解之差必为方程(4.2)的解.定理7 设为方程(4.2)的基本解组,而)(,),(),(21t x t x t x n L )(t x 是方程(4.1)的某一个解,则方程(4.1)的通解可表为)()()()(2211t x t x c t x c t x c x n n ++++=L (4.14)其中为任意常数,而且这个通解(4.14)包括了方程(1)的所有解.n c c c ,,,21L 证明:(略,仿定理6)根据性质1易知(14)是(4.1)的解,它包含n 个任意常数,可以证明这些常数是相互独立的,因此,它是方程(4.1)的通解.现设是方程(4.1)的任一解,则由性质2,)(~t x )()(~t x t x −是方程(4.2)的解,根据定理6,必有一组确定的常数,使得n c c c ,,,21L )(~)(~)(~)()(~2211t x c t x c t x c t x t x nn +++=−L 即)()(~)(~)(~)(~2211t x t x c t x c t x c t x nn ++++=L 这就是说,方程(4.1)的任一解可以由(4.14)表出,其中为相应的确定常数.由于地任意性,这就证明了通解表达式(14)包括了(4.1)的所有.定理7告诉我们要求一个非齐线性方程的解,只需要先求出对应的齐线性方程的一个基本解组,然后再求非齐线性方程的一个特解,然后按照定理7就可以写出非齐线性方程的通解.通过分析,特别是一阶微分方程的求解方法,进一步还可以指出,只要知道对应齐线性方程的基本解组就可以利用常数变易方法求得非齐线性方程的解.例1 求方程tx x cos 1"=+的通解,已知它的对应齐线性方程的基本解组为:. t t sin ,cos 解:(常数变易方法).步骤:第一步,求对应齐线性方程的一个基本解组;已知对应齐线性方程的一个基本解组为:.t t sin ,cos 第二步,用常数变易法求非齐线性方程的通解.令:t t c t t c x sin )(cos )(21+=将它代入原方程,则可得有关的方程组:)(')('21t c t c 和⎪⎩⎪⎨⎧=+−=+t t tc t c t t t c t t c cos 1)('cos )('sin 0sin )('cos )('2121 解得:1)(',cos sin )('21=−=t c tt t c 由此 2211)(,cos ln )(r t t c r t t c +=+=然后求解得原方程的解t t t t t r t r x sin cos ln cos sin cos 21+++=其中是任意常数.21,r r例2 求方程于域2'"t x tx =−0≠t 上的所有解.解:第一步,求对应齐线性方程的基本解组.对应的齐线性方程为0'"=−x tx容易直接积分求得它的基本解组.事实上,将这个齐线性方程改写为tx x 1'"= 积分即得.所以At x ='B At x +=221,这里A ,B 为任意常数.易见有基本解组.为应用上面的结论(标准的非齐线性方程),也将原方程改写为:2,1t t x t x =−'1" 第二步,把原方程变为标准的非齐线性方程的形式.令:221)()(t t c t c x +=代入原方程有:0)(')('221=+t t c t c 及t t c t =)('22于是2221)(k t t c +=和13161)(k t t c +−= 故原方程的通解为 322131t t k k x ++=. 这里是任意常数.由定理知这个解包括了方程的所有解.作业:P131:2、3、4、5、64.2 常系数线性方程的解法通过前面的学习和讨论,关于线性微分方程的通解的结构问题,从理论上说,可以认为已经是完全解决了.但是,求方程通解的方法还没有具体给出.事实上,对于一般的线性微分方程是没有普遍的解法的.这里将介绍求解问题能够彻底解决的一类方程——常系数线性微分方程及可以化为这一类型的方程.同时将看到,为了求得常系数齐次线性方程的通解,只须解一个代数方程而不必通过积分运算.对于某些特殊的非齐线性方程也可以通过代数运算和微分运算求得它的通解.注:1、本节的内容可以用于解决实际问题:质点振动问题;2、在介绍求解方法时需要用到实变量的复值函数和复指数函数.4.2.1 复值函数和复值解如果对于区间中的每一实数t ,有复数b t a ≤≤)()()(t i t t z φϕ+=与它对应,其中)(t ϕ和)(t φ是在区间上定义的实函数,i 是虚单位,就说在区间b t a ≤≤上给定了一个复值函数.如果实函数)(t z )(t ϕ,)(t φ当趋于时有极限,就称复值函数当趋于时有极限,并且定义t 0t )(lim )(lim )(lim 000t i t t z t t t t t t φϕ→→→+= 如果,就称在连续.显然,在连续相当于)()(lim 00t z t z t t =→)(t z 0t )(t z 0t )(t ϕ,)(t φ在连续.当在区间上每一点都连续时,就称在区间0t )(t z b t a ≤≤)(t z b t a ≤≤上连续.如果极限00)()(lim 0t t t z t z t t −−→存在,就称在有导数(可微),且记此极限为)(t z 0t dtt dz )(0或者.显然在处有导数相当于)('0t z )(t z 0t )(t ϕ,)(t φ在处有导数,且0t dtt d i dt t d dt t dz )()()(000φ+ϕ= 如果在区间)(t z b t a ≤≤上每点都有导数,就称在区间)(t z b t a ≤≤上有导数,对于高阶导数可以类似地定义.设是定义在上的可微函数,c 是复值常数,容易证明下列等式成立(复值函数的微分运算性质):)(,)(21t z t z b t a ≤≤dtt dz t z t z dt t dz t z t z dt dz dtt dz c t z c dt dz dtt dz dt t dz t z t z dt dz )()()()()]()([)()]([)()()]()([212121112121⋅+⋅=⋅=⋅+=+ 在讨论常系数线性方程时,函数将起着非常重要的作用,这里是t K e K 复值常数.下面讨论它的定义,并且讨论其一些性质.设是任一复数,而是实变量,于是定义:β+α=i K t )sin (cos )(t i t e e e t t i t K β+β==αβ+α于是有)(21sin )(21cos t i t i t i t i e e i t e e t β−ββ−β−=β+=β 如果以β−α=i K 表示复数K 的共轭复数,那么有:−=−t K Kt e e函数有下面的重要性质.t K e zt K t K t K K e e e 2121)(=+z Kt tK Ke dtde =,其中是实变量. t zKt n t K ne K e dt d =)( 定理8 如果方程(4.2)中所有系数),,2,1)((n i t a i L =都是实值函数,而)()()(t i t t z x φ+ϕ==是方程(4.2)的复值解,则的实部)(t z )(t ϕ、虚部和共轭复值函数)(t φ)t z 也是方程(4.2)的解.定理9 若方程)()()()()(1111t iv t u x t a dt dx t a dtx d t a dt x d n n n n n n +=++++−−−L 有复值解,这里)()(t iV t U x +=),,2,1)((n i t a i L =及都是实值函数,那么这个解的实部和虚部分别是)(),(t v t u )(t U )(t V )()()()(1111t u x t a dt dx t a dtx d t a dt x d n n n n n n =++++−−−L 和)()()()(1111t v x t a dt dx t a dtx d t a dt x d n n n n n n =++++−−−L 的解.4.2.2 常系数齐线性方程和欧拉方程1、常系数齐线性方程若齐线性方程(4.2)的所有系数都是常数,即原方程可以写为如下形式:0][1111=++++=−−−x a dt dx a dtx d a dt x d x L n n n n n n L (4.15) 其中是常数.此时,称(4.15)为n 阶常系数齐线性方程.),,2,1(n i a i L =2、欧拉(Euler )待定指数函数法通过前面的一阶常系数齐线性方程的解的指数形式可以启示,对于n 阶齐线性方程是否也有类似形式的解.于是用试探法讨论n 阶齐线性方程(4.15)的解,假设形如t a ce t e x λ= (4.16)其中是待定常数,可以是实数,也可以是复数.λ注意到:tt n n n n tnt n n t n n t n te F e a a a e a dt de a dt e d a dt e d e L λλ−−λλ−−λ−λλλ≡+λ++λ+λ=++++≡)()(][1111111L L 其中是n n n n a a a F +λ++λ+λ≡λ−−111)(L λ的n 次多项式.易知(4.16)为方程(4.15)的解的充要条件是:是代数方程λ0)(111=+λ++λ+λ≡λ−−n n n n a a a F L (4.17)的根.因此,方程(4.17)将起着预示方程(4.15)的解的特性的作用,被称为(4.15)的特征方程,它的根被称为特征根.于是,下面根据特征根的情况分别进行讨论(由代数知识知道,特征方程的根由两种情况:单根、重根). z 特征根是单实根的情形设是特征方程(4.17)的n 个彼此不相等等根,则相应地方程(4.16)有如下n 个解:n λλλ,,,21L t t t n e e e λλλ,,,21L (4.18)可以证明这n 个解在区间b t a ≤≤上线性无关,从而组成方程(4.15)的基本解组.事实上,此时,有1121121)(1121121111][1212121−−−λ++λλ−λ−λ−λλλλλλλλλλλλ=λλλλλλ≡n n n n nttn n tn t n tn t t t tt n n n n e e e ee e e e e e t W L L L L L L L L L L L L L LL而最后一个行列式是著名的范德蒙(Vandermonde )行列式,它等于.由于假设,故此行列式不等于零,从而∏≤<≤λ−λni j j i1)()(j i j i ≠λ≠λ0][≠x W ,于是解组(4.18)线性无关,这就是所要证明的.如果均为实数,则(4.18)是方程(4.15)的n 个线性无关的实值解,而方程(4.15)的通解可表示为),,2,1(n i i L =λt n t t n e c e c e c x λλλ+++=L 2121其中为任意常数.n c c c ,,,21L 例1 求方程0452244=+−x dtxd dt x d 的通解.解:(单根的情形).特征方程为:0454=+λ−λ由此得到特征根:2,2,1,14321=λ−=λ=λ−=λ,其对应的基本解组为:t t t t e x e x e x e x 242321,,,====−−故通解为:t t t t e c e c e c e c x 242321+++=−−.如果特征根有单复根的情形),,2,1(n i i L =λ如果特征根有复根,则因方程的系数是实常数,由代数学基本定理,复根将成对共轭的出现.设β+α=λi 1是一特征根,则β−α=λi 2也是特征根,因而与对共轭复根对应的,方程(15)有两个复值解)sin (cos )sin (cos )()(t i t e et i t e e tti t t i β−β=β+β=αβ−ααβ+α根据定理8,它们的实部和虚部也是方程的解.这样一来,对应于特征方程的一对共轭复根,可求得方程(4.15)的两个实值解:β±α=λi t e t e t t ββααsin ,cos此时,方程(4.15)的基本解组为:t t t tn e e t e t e λλααββ,,,sin ,cos 3L 例2 求方程的通解010'18"156)3()4(=+−+−y y y y y解:(单复根的情形).特征方程为:010********=+λ−λ+λ−λ由此得到特征根:i i i i −=λ+=λ−=λ+=λ2,2,1,14321,其对应的基本解组为:x e y x e y x e y x e y x x x x sin ,cos ,sin ,cos 242321====故通解为:)sin cos ()sin cos (43221x c x c e x c x c e y x x +++=.z 特征根是重根的情形设特征方程有k 重根,则由代数学知识有1λ=λ0)(,0)()(')(11)1(11≠λ=λ==λ=λ−k k F F F F L先设,即特征方程有因子,于是01=λk λ011====+−−k n n n a a a L也就是特征方程的形状为011=λ++λ+λ−−k k n n n a a L而对应的方程(4.15)变为0111=+++−−−k k k n n n n n dtxd a dt x d a dt x d L 易见它有个解,而且它们是线性无关的,这样一来,特征方程的k 重零根就对应于方程(4.15)的个线性无关的解.k 12,,,,1−k tt t L k 12,,,,1−k tt t L 如果这个k 重根,作变换,注意到0≠λtyex 1λ=]!2)1([)(1)2(21)1(1)()()(11y y m m y m y e ye x m m m m t m t m λ++λ−+λ+==−−λλL 可得t t n n n n n n te y L e y b dtdyb dt y d b dt y d ye L 121][)(][11111λλ−−−λ=++++=L于是方程(4.15)化为0][11111=++++≡−−−y b dt dyb dty d b dt y d y L n n n n n n L (4.19)其中仍为常数,而相应的特征方程为n b b b ,,,21L 0)(111=+μ++μ+μ≡μ−−n n n n b b b G L (4.20)直接计算易得t t t t t e G e e L e L e F )(1)()(11111)()()()(λ+μλμλ+μλ+μμ===λ+μ因此)()(1μ=λ+μG F从而)()()(1)(μ=λ+μj j G F可见(4.17)的根对应于(20)的根1λ=λ01=μ=μ,而且重数相同,这样,问题就化为前面已经讨论过的情形了.因为,方程(4.20)的重根1k 01=μ对应于方程(4.19)的个解,因而对应于特征方程(4.17)的重根1k 121,,,,1−=k t t t y L 1k 1λ,方程(4.15)有个解:1k t k t t t e t e t te e 11111,,,2λλλλL (4.21)同样,假设特征方程(4.17)其它根m λλλ,,,32L 重数依次为(单根相当于),而且1;,,,32≥i m k k k k L j λ1=j k i j m n k k k λ≠λ=+++,32L (当i j ≠),则方程(4.15)对应地有解:⎪⎩⎪⎨⎧λ−λλλλ−λλλt k t t t tk t t t m m m m m et e t te e e t e t te e 1212,,,,,,,,22222L LL L L L L L (4.22) 下面要证明(4.21)和(4.22)全体n 个解构成方程(4.15)的基本解组. 假若这些函数线性相关,则有0)()(2)(11)(1)(1)(01≡≡+++∑∑=λ−λ=λ−−mr t r mr tk r k r r r r r r e t P et At A AL (4.23)其中是常数,不全为零.不是一般性,假定多项式至少有一个系数不等于零,即.将恒等式(4.23)除以,然后对t 微分次,得到)(r j A )(t P m 0)(≠t P m t e 1λ1k 0)(2)(1≡∑=λ−λmr trr et Q (4.24)其中,为次数低于 的次数的多项式.因此,与次数相同,且)()()()(11t S t P t Q r r kr r +λ−λ≡)(t S r )(t P r )(t Q r )(t P r 0)(≠t Q m .恒等式(4.24)与(4.23)类似,但项数减少了.如果对(4.24)施行同上的手续(这时除以而微分次),于是有项数更少的类似的恒等式(4.23).如此继续下去,经过m-1次后,得到恒等式:te)(12λ−λ0)()(1≡−λ−λt m m m e t R这是不可能的,因为与有相同的次数,且)(t R m )(t P m 0)(≠t R m .事实上,不难直接计算得到)()()()()()(121121t W t P t R m m k m m k m k m m m +λ−λλ−λλ−λ≡−−L其中是次数低于的次数的多项式.)(t W m )(t P m 于是证明了(4.21)和(4.22)全部个解线性无关,从而构成了(4.15)的基本解组. n 对于特征方程有复重根的情况,譬如假设β+α=λi 是k 重特征根,则β−α=λi 也是k 重特征根,仿1一样处理,将得到方程(4.15)的2k 个实值解:te tt e t t t e t e t e t t e t t t e t e tk tttt k t t t ββββββββα−αααα−αααsin ,,sin ,sin ,sin cos ,,cos ,cos ,cos 1212L L3、应用例3 求方程044=−x dtxd 的通解解:(单根的情形).例4 求方程033=+x dtxd 的通解解:(单根、有复根的情形).例5 求方程0332233=−+−x dt dx dtx d dt x d 的通解解:(重根的情形).例6 求方程022244=++x dtxd dt x d 的通解解:(复重根的情形). 特征方程为:01224=+λ+λ由此得到特征根:是2重根,其对应的基本解组为:i ±=λ21、t t x t x t t x t x sin ,sin ,cos ,cos 4321====故通解为:t t c c t t c c x sin )(cos )(4321+++=.4、欧拉方程定义:形如011111=++++−−−−y a dx dy x a dx y d x a dx y d x n n n n n n n n nL (4.25) 的方程被称为欧拉方程.其中),,2,1(n i a i L =是常数.此方程可以简单的变换变为常系数齐线性方程,因而求解问题很容易解决.事实上,引进变换:x t e x t ln ,==经计算得到:dtdy e dx dt dt dy dx dy t−== ()(22222dtdy dt y d edt dy e dt d e dx y d t t t −==−−− 用数学归纳法不难证明:对一切自然数k 均有关系式:(1111dt dy dt y d dt y d e dx y d k k k k kkt k k −−−−β++β+=L 其中都是常数.于是11,,−ββk Ldt dydty d dt y d dx y d x k k k k k k k k1111−−−β++β+=L 将上述关系式代入方程(4.25),就得到常系数齐线性方程11110n n n n n n d y d y dyb b b dt dt dt−−−++++L y = (4.26) 其中都是常数,因而可用上述讨论的方法求出(4.26)的通解,再带回原来的变量(注意:11,,−k b b L x t ln =)就可以求得方程(4.25)的通解.由上述推演过程,知道方程(4.26)有形如的解,从而方程(4.25)有形如的解,因此可以直接求欧拉方程的形如的解.以代入(4.25)并约去因子,就得到确定te y λ=λ=xy Kx y =Kx y =K x K 的代数方程:0)2()1()1()1(1=+++−−++−−n a n K K K a n K K K L L L (4.27)可以证明这正是(4.26)的特征方程.因此,方程(27)的m 重实根,对应于方程(4.25)的m 个解0K K =x x x x x x x m K K K K 12ln ,,ln ,ln ,0000−L而方程(27)的m 重复根β+α=i K ,对应于方程(4.25)的2m 个实值解)ln sin(ln,),ln sin(ln ),ln sin()ln cos(ln ,),ln cos(ln ),ln cos(11x x x x x x x x x x x x x x x x m m ββββββ−ααα−αααL L .例5 求解方程0222=+−y dx dyx dxy d x 解: 寻找方程的形式解,得到确定Kx y =K 的代数方程:或,,因此方程的通解为01)1(=+−−K K K 0)1(2=−K 121==K K x x c c y )ln (21+=其中是任意常数.21,c c4.2.3 非齐次线性方程:比较系数法和拉普拉斯变换法——求特解现在讨论常系数非齐线性方程)(][1111t f x a dt dx a dtx d a dt x d x L n n n n n n =++++=−−−L (4.28)的求解问题.其中是常数,而为连续函数.),,2,1(n i a i L =)(t f 其实,方程(4.28)的求解问题已经解决,因为在前面已经解决了(4.1)的求解问题,即比(4.28)更一般的微分方程(4.1)的通解问题是这样解决的:(常数变易法)用先求出对应齐线性方程(4.2)的一个基本解组,然后找出(4.1)的某一个解,根据前面的定理7就可以写出(4.1)的通解.于是也就完成了(4.28)的求解问题,只是用常数变易法来求解,求解步骤比较繁琐,并且要用到积分运算.(注:大家必须掌握常数变易法求解高阶微分方程,因为它带有普遍性.)但是,在解决实际问题时,往往要解决一些比较简单的微分方程,即带有特殊形式的微分方程,为此,在这里,我们介绍两种常用的比较系数法和拉普拉斯变换法,它们的共同特点是不需要通过积分而用代数运算方法即可求得非齐线性方程的特解.这个方法的特点:比较简单,把求解微分方程的问题转化为某一个代数问题来处理.1. 比较系数法类型Ⅰ设,其中t m m m m e b t b t b t b t f λ−−++++=)()(1110L λ及),,2,1(m i b i L =为实常数,那么方程(28)有形如t m m m m k e B t B t B t B t x λ−−++++=)(~1110L (4.29)的特解,其中k 为特征方程0)(=λF 的根λ的重数(单根相当于1=k ;当不是特征根时,取),而是待定常数,可以通过比较系数来确定. λ0=k m B B B ,,,10L ①如果,则此时,0=λm m m m b t b t b t b t f ++++=−−1110)(L现在再分两种情形讨论z 在不是特征根的情形,即0=λ0)0(≠F ,因而0≠n a ,这时,取,以0=k m m m m B t B t B t B x ++++=−−1110~L 代入方程(4.28),并比较t 的同次幂的系数,得到常数必须满足的方程:m m B B B B ,,,,110−L ⎪⎪⎪⎩⎪⎪⎪⎨⎧=+=−+−+=+−−−mn m n n n n n n b a B b a B m m b a B m a B b a mB a B b a B L L L 2200112110100)1()1( (4.30) 注意到,这些待定常数可以从方程(30)唯一地逐个确定出来. 0≠n a m m B B B B ,,,,110−L z 在是特征根的情形,即,也就是0=λ0)0(,0)0()0(')0()1(≠====−k k F FF F 而L 0,011≠====−+−−k n k n n n a a a a L ,这时相应地,方程(28)将为)(111t f dtxd a dt x d a dt x d k k k n n n n n =+++−−−L (4.31) k k dtxd z =,则方程(4.31)化为)(111t f z a dtzd a dt z d k n k n k n k n k n =+++−−−−−−−L (4.32) 对方程(4.32)来说,由于0,0=λ≠−k n a 已不是它的特征根.因此,由前一种情况,它有形如的特解,因而方程(31)有特解m m m mB t B t B t B z ~~~~~1110++++=−−L x ~满足:m m m m kk B t B t B t B z dtx d ~~~~~~1110++++==−−L 这表明x ~是t 的次多项式,其中的幂次k m +t 1−≤k 的项带有任意常数.但因只需要知道一个特解就够了.特别地取这些任意常数均为零,于是得到方程(4.31)(或方程(4.28))的一个特解)(~1110m m m m k t t t t x γ+γ++γ+γ=−−L这里m m γγγγ−,,,,110L 是已确定了的常数.②如果,则此时可象前面的讨论一样,作变量变换,将方程(4.28)化为0≠λtye x λ=m m n n n n n n b t b y A dt dyA dty d A dt y d ++=++++−−−L L 01111 (4.33) 其中都是常数.而且特征方程(4.17)的根n n A A A ,,,11−L λ对应于方程(4.33)的特征方程的零根,并且重数也相同.因此,利用上面的结果就有下面的结论:在不是特征方程(4.17)的根的情形,方程(4.33)有特解λm m m B t B t B y +++=−L 110~,从而方程(28)有特解t m m m e B t B t B x λ−+++=)(~110L在是特征方程(4.17)的重根的情形,方程(4.33)有特解λk )(~110m m m k B t B t B t y +++=−L ,从而方程(4.28)有特解t m m m k e B t B t B t x λ−+++=)(~110L例7 求方程133222+=−−t x dt dxdtdx 的通解. 解:先求对应的齐线性方程03222=−−x dt dxdtdx 的通解.这里特征方程有两个根0322=−λ−λ1,321−=λ=λ.因此,通解为:,其中为任意常数,再求非齐线性方程的一个特解.这里t t e c e c x −+=23121,c c 13)(+=t t f 0=λ,并且不是特征根,故可取特解形如Bt A x +=~,其中为待定常数.为了确定,将B A ,B A ,Bt A x +=~代入原方程,得到 13332+=−−−t Bt A B比较系数得⎩⎨⎧=−−=−13233A B B 由此得到1,31−==B A ,从而t x −=31~,因此,原方程的通解为 31231+−+=−t e c e c x t t例8 求方程t e x dt dxdtdx −=−−3222的通解. 解:从例7知道对应的齐线性方程的通解为:,其中为任意常数,这里,因为t te c ec x −+=23121,c c te tf −=)(1,321−=λ=λ刚好是特征方程的单根,故有特解形如,将它代入原方程得到,从而,t Ate x −=~t t e Ae −−=−441−=A ,于是,t te x −−=41~,因此,原方程的通解为t t t te e c e c x −−−+=41231类型Ⅱ设,其中te t t B t t A tf αβ+β=]sin )(cos )([)(βα,为常数,而是带实系数的t 的多项式,其中一个的次数为,而另一个的次数不超过,那么有如下结论:方程(28)有形如)(),(t B t A m m t k e t t Q t t P t x αβ+β=]sin )(cos )([~ (4.34)的特解,这里为特征方程k 0)(=λF (4.21)的根β+αi 的重数,而均为待定的带实系数的次数不高于的t 的多项式,可以通过比较系数的方法来确定.)(),(t Q t P m 事实上,分析类型Ⅰ的讨论过程,容易知道,当不是实数,而是复数时,有关结论仍然成立.现将表为指数形式)(t f ti t i et iB t A e t iB t A t f )()(2)()(2)()()(β−αβ+α++−=根据非齐线性方程的叠加原理,方程t i e t iB t A t f x L )(12)()()(][β−α+≡=与ti et iB t A t f x L )(22)()()(][β+α−≡= 的解之和必为方程(4.28)的解.注意到)()(21t f t f =,易知,若为1x )(][1t f x L =的解,则1x 必为的解.因此,直接利用类型Ⅰ的结果,可知方程(4.28)有解形如)(][2t f x L =t k k t i k t i k e t t Q t t t P t e t D t e t D t x αβ+αβ−αβ+β=+=]sin )(cos )([)()(~)()(其中为的的m 次多项式,而)(t D t )}(Im{2)()},(Re{2)(t D t Q t D t P ==.显然为带实系数的的多项式,其次数不高于m .可见上述结论成立.)(),(t Q t P t 例9 求方程t x dt dx dtdx 2cos 4422=++的通解解:先求对应的齐线性方程04422=++x dt dxdt dx的通解.这里特征方程有重根0442=+λ+λ221−=λ=λ.因此,通解为:t e t c c x 221)(−+=其中为任意常数,再求非齐线性方程的一个特解.因为21,c c i 2±不是特征根,求形如t B t A x 2sin 2cos ~+=的特解,将它代入原方程并化简得到t t A t B 2cos 2sin 82cos 8=−比较同类项的系数得81,0==B A ,于是,t x 2sin 81~=,因此原方程的通解为t e t c c x t 2sin 81)(221++=−附注:类型Ⅱ的特殊情形t e t B t f t et A t f t tβ=β=ααsin )()(cos )()(或可用另一种简便方法求解:复数法求解. 例10 用复数法求解例9解:由例9已知对应齐线性方程的通解为t e t c c x 221)(−+=为求非齐线性方程的一个特解,先求方程ite x dt dx dtdx 22244=++ 的特解.这属于类型Ⅰ,而不是特征根,故可设特解为i 2it Ae x 2~=将它代入方程并消去因子得it e 218=iA ,因而,8iA −=,t t i e i x it 2sin 812cos 88~2+−=−=,t x 2sin 81}~Re{=由定理9这是原方程的特解,于是原方程的通解为t e t c c x t 2sin 81)(221++=−2. 拉普拉斯变换法常系数线性微分方程(组)还可以应用拉普拉斯变换法进行求解,有时显得比较简单. 拉普拉斯变换:由积分∫∞−=0)()(dt t f e s F st所定义的确定于复平面σ>s Re 上的复变数的函数,称为函数的拉普拉斯变换,其中于有定义,且满足不等式s )(s F )(t f )(t f 0≥t t Me t f σ<)(这里为某两个正常数,将称为原函数,而称为象函数.σ,M )(t f )(s F 拉普拉斯变换法主要目的是借助于拉普拉斯变换把常系数线性微分方程(组)转换为复变数的代数方程(组),通过一些代数运算,一般地再利用拉普拉斯变换表,即可求出微分方程(组)的 解.虽然这种方法简单,但是有一定的局限性.而对有关拉普拉斯变换的基本概念和基本性质在附录1 中有介绍.设给定微分方程)(][1111t f x a dt dx a dtx d a dt x d x L n n n n n n =++++=−−−L (4.28)及初始条件。